Система показателей анализа бухгалтерской отчетности

  • Вид работы:
    Курсовая работа (т)
  • Предмет:
    Бухучет, управленч.учет
  • Язык:
    Русский
    ,
    Формат файла:
    MS Word
    177 Кб
  • Опубликовано:
    2014-03-31
Вы можете узнать стоимость помощи в написании студенческой работы.
Помощь в написании работы, которую точно примут!

Система показателей анализа бухгалтерской отчетности

СОДЕРЖАНИЕ

ВВЕДЕНИЕ

. БУХГАЛТЕРСКАЯ ОТЧЕТНОСТЬ В СОВРЕМЕННЫХ УСЛОВИЯХ

.1 Понятие и значение бухгалтерской отчетности в рыночной экономике

.2 Нормативное регулирование бухгалтерской отчетности

.3 Требования, предъявляемые к бухгалтерской отчетности и ее качественные характеристики

. СИСТЕМА ПОКАЗАТЕЛЕЙ АНАЛИЗА БУХГАЛТЕРСКОЙ ОТЧЕТНОСТИ

.1 Состав бухгалтерской отчетности

.2 Взаимосвязь основных форм отчетности

.3 Система показателей анализа бухгалтерской отчетности

ЗАКЛЮЧЕНИЕ

СПИСОК ИСПОЛЬЗОВАННЫХ ИСТОЧНИКОВ

ПРИЛОЖЕНИЯ

Приложение 1. Основные взаимосвязи в составе бухгалтерской отчетности

Приложение 2. Коэффициенты платежеспособности предприятия

Приложение 3. Показатели финансовой устойчивости

Приложение 4. Показатели деловой активности

Приложение 5. Показатели рентабельности

бухгалтерская отчетность платежеспособность

ВВЕДЕНИЕ

В условиях рыночной экономики бухгалтерская отчетность хозяйствующих субъектов становиться основным средством коммуникации и важнейшим элементом информационного обеспечения управления. Показатели финансово-хозяйственной деятельности организации и обобщаются в отчетности.

Все организации, предприятия и учреждения, зарегистрированные на территории Российской Федерации, обязаны составлять бухгалтерскую отчетность. Это требование содержится в главе 2 Федерального закона «О бухгалтерском учете» от 06.12.2011 г. №402-ФЗ. Принципы в свою очередь сформулированы так же в Положениях по бухгалтерскому учёту (ПБУ) «Учётная политика предприятия» и «Бухгалтерская отчетность организации», в принятой Концепции бухгалтерского учёта в рыночной экономике России.

Еще один вопрос, являющийся актуальным в связи с проблемой финансовой отчетности в России, - это вопрос о пользователях финансовой отчетности. К ним, согласно Принципам бухучета, относятся инвесторы, работники, займодавцы, поставщики и другие торговые кредиторы, покупатели, правительство и его органы, а также общественность. В связи с этим необходимым представляется разделение бухгалтерского учёта на финансовый, управленческий и налоговый учет, как это принято в международной практике. При этом финансовый анализ будет ориентирован на внешних пользователей (собственников, инвесторов, кредиторов, дебиторов и т. д.), управленческий учёт будет использоваться для систематизации затрат, принятия управленческих решений и планирования, а налоговый учёт - применяться для исчисления налогов.

Актуальной проблемой для современной российской экономики является приведение существующей в нашей стране системы бухгалтерского учета и отчетности, в соответствие с требованиями рыночной экономики и международными стандартами. Дискуссии о достоверности и прозрачности о финансовой (бухгалтерской) отчетности стали одной из наиболее острых и актуальных проблем. Финансовая отчетность предприятий является важной не только с точки зрения взаимоотношений с налоговыми органами и оптимизации частного бизнеса, но и с позиций успешного функционирования всей финансовой системы страны в целом.

В современном динамично меняющемся мире значимость информационных ресурсов неуклонно повышается. Чтобы грамотно управлять любой социально-экономической системой, следует обеспечить поступление необходимой информации управленческому персоналу. Информационное обеспечение процесса управления включает в себя бухгалтерскую и статистическую отчетность, оперативные данные, неформализованные внеучетные сведения. Степень применения информационных ресурсов в управлении различна, однако следует отметить общую тенденцию слабой востребованности бухгалтерских данных при выработке управленческих решений.

Бухгалтерская отчетность является завершающим этапом учетного процесса. Она таит в себе громадный аналитический потенциал и может быть использована в процессе принятия управленческих решений как перспективного, так и текущего характера.

Цель курсовой работы заключается в изучении, обобщении теоретических знаний по дисциплине «Бухгалтерская (финансовая) отчетность», а так же приобретение и закрепление навыков по составлению бухгалтерской отчетности - как источник информации о деятельности предприятия.

1. БУХГАЛТЕРСКАЯ ОТЧЕТНОСТЬ В СОВРЕМЕННЫХ УСЛОВИЯХ

.1 Понятие и значение бухгалтерской отчетности в рыночной экономике

Как уже говорилось все организации, зарегистрированные на территории Российской Федерации, обязаны составлять бухгалтерскую отчетность. В соответствии со ст. 13 закона «О бухгалтерском учете» все организации обязаны производить заполнение форм бухгалтерской финансовой отчетности на основе данных синтетического и аналитического учета, обобщенных и сгруппированных в соответствии с действующими нормативными документами. Таким образом, бухгалтерская отчетность является завершающим этапом всего учетного процесса в целом. При этом выбор конкретных способов и приемов ведения бухгалтерского учета и составления бухгалтерской отчетности осуществляется организацией самостоятельно.

В настоящее время организация должна составлять бухгалтерскую отчетность за квартал, полугодие, девять месяцев и год нарастающим итогом с начала отчетного года. Представление бухгалтерской отчетности контрольным органам осуществляется в той же периодичности. В соответствии с этим бухгалтерская отчетность может быть квартальной и годовой

Бухгалтерская отчетность организации служит основным источником информации о ее деятельности. Изучение бухгалтерских отчетов позволяет раскрыть причины достигнутых успехов, а также выявить недостатки в работе, помогает наметить пути совершенствования деятельности организации.

По данным бухгалтерской (финансовой) отчетности устанавливается излишек или недостаток источников средств для формирования оборотных фондов организации, то есть определяется обеспеченность организации собственными и заемными источниками.

Бухгалтерская (финансовая) отчетность дает возможность оценить кредитоспособность организации, то есть способность полностью и своевременно рассчитываться по обязательствам.

Бухгалтерская отчетность является информационной базой финансового анализа, результаты которого используются для управления финансово-хозяйственной деятельностью организации, для оценки эффективности деятельности ее руководства, для выбора направлений инвестирования капитала. Финансовый анализ может выступать в качестве инструмента прогнозирования отдельных показателей и финансовой деятельности в целом.

Назначение бухгалтерской отчетности организации - служит основным источником информации о ее деятельности, так как бухгалтерский учет собирает, накапливает и обрабатывает экономически существенную информацию о совершенных или запланированных хозяйственных операциях и результатах хозяйственной деятельности. Таким образом, бухгалтерская отчетность служит инструментом планирования и контроля достижения экономических целей предприятия, которые можно свести к двум важнейшим экономическим побуждениям, а именно получение прибыли и сохранение источника дохода. Эти две важнейшие экономические цели хозяйствующих субъектов - цель получения прибыли и цель сохранения собственного капитала - на практике могут иметь различную степень важности, в зависимости от предпочтения собственников капитала.

Составление бухгалтерской (финансовой) отчетности - одна из стадий бухгалтерского (финансового) учета, который включает:

) документирование различных хозяйственных фактов;

) классификацию учетных данных и отражение на счетах бухгалтерского учета - в учетных регистрах и Главной книге;

) формирование бухгалтерской (финансовой) отчетности;

) анализ деятельности организации, результаты которого используются для принятия различных управленческих решений.

Посредством бухгалтерской (финансовой) отчетности реализуется основная задача бухгалтерского учета - формирование полной и достоверной информации о деятельности организации и ее имущественном положении и представление этой информации внутренним и внешним пользователям.

Информация об изменениях финансового положения организации дает возможность оценить ее инвестиционную, финансовую и операционную деятельность в отчетном периоде.

Информация о финансовом положении формируется главным образом в виде бухгалтерского баланса. Информация о финансовых результатах деятельности организации отражается показателями отчета о финансовых результатах. Информация об изменениях в финансовом положении организации обеспечивается данными отчета о движении денежных средств.

.2 Нормативное регулирование бухгалтерской отчетности

Начиная с 1996 года, бухгалтерская отчетность в России регулируется нормативными правовыми актами четырех уровней:

Первый уровень - Федеральный Закон «О бухгалтерском учете» от 06 декабря 2011 № 402-ФЗ и Положение по ведению бухгалтерского учета и бухгалтерской отчетности в РФ, утвержденное приказом Минфина от 29 июля 1998 г. № 34Н (с изменениями и дополнениями от 30 декабря 1999 г., 24 марта 2000 г., 18 сентября 2006 г., 26 марта 2007 г., 25 октября 2010 г., 24 декабря 2010г.). К нормативным документам первого уровня относятся также Гражданский Кодекс РФ, Федеральные законы об акционерных обществах, об обществах с ограниченной ответственностью, «О рынке ценных бумаг», Указы Президента РФ и Постановления Правительства, в которых сформулированы базовые определения и понятия бухгалтерского учета и бухгалтерской отчетности.

Второй уровень - Положения (стандарты) бухгалтерского учета. К числу таких документов относятся ПБУ «Бухгалтерская отчетность организации» 4/99 (утверждено приказом Минфина от 06.07.1999 № 43н, в ред. Приказов Минфина РФ от 18.09.2006 №115н, от 08.11.2010 №142н). Содержание ПБУ 4/99 базируется на нормах, зафиксированных как в Законе «О бухгалтерском учете», так и в Положении по ведению бухгалтерского учета и бухгалтерской отчетности.

Третий уровень - включает документы, на основе которых установлен порядок формирования и составления бухгалтерской отчетности. К ним относятся Приказы Минфина РФ от 28 июня 2010 г. № 66н «О формах бухгалтерской отчетности организаций» (в ред. Приказами Минфина от 05.10.2011 № 124н, от 17.08.2012 № 113н, от 04.12.2012 №154н), «Методические рекомендации о порядке формирования показателей бухгалтерской отчетности организации» утвержденные приказом Минфина от 28 июня 2000 г. №60н, другие нормативные документы, регулирующие порядок составления сводной бухгалтерской отчетности и публикации бухгалтерской отчетности.

Четвертый уровень - нормативного регулирования бухгалтерской отчетности - включает указания, инструкции и другие документы в рамках учетной политики самих хозяйствующих субъектов по составу, формам, их адресам и срокам представления сегментной отчетности, как для внешних пользователей, так и внутренних целей.

Приказом Минфина РФ № 67н от 22.07.2003 предусмотрено три варианта формирования составляющих частей бухгалтерской отчетности - упрощенный, стандартный и расширенный. Кроме того, имеется четвертый вариант формирования бухгалтерской отчетности - организация составляет отчетность в полном соответствии с международными стандартами финансовой отчетности и не формирует ее параллельно по российским правилам. Необходимость выделения вариантов формирования отчетности связана с тем, что разные группы организаций в зависимости от поставленных перед собой задач должны решать проблемы прозрачности при раскрытии итоговой бухгалтерской информации. Можно выделить следующие группы организаций: первая группа - открытые акционерные общества, акции которых котируются на фондовом рынке; вторая группа организаций, формирующих бухгалтерскую отчетность по расширенному варианту, - оставшиеся открытые акционерные общества, а также федеральные и крупные муниципальные государственные унитарные предприятия.

К третьей группе организаций относятся закрытые акционерные общества, общества с ограниченной ответственностью и др., за исключением субъектов малого предпринимательства и некоммерческих организаций, которые составляют отчетность по стандартному варианту.

Четвертую группу формируют субъекты малого предпринимательства и некоммерческие организации, составляющие отчетность по упрощенному варианту.

1.3 Требования, предъявляемые к бухгалтерской отчетности и ее качественные характеристики.

Требования к информации, формируемой в бухгалтерской отчетности, определены нормативными правовыми актами, перечисленными в предыдущем параграфе.

К общим требованиям, предъявляемым к бухгалтерской отчетности относятся: достоверность, полнота, существенность, нейтральность, сравнимость (сопоставимость).

. Достоверность. Это объективное и правдивое отражение событий, представленных в отчетности, а также отсутствие существенных ошибок и отклонений. Согласно ПБУ 4/99 достоверной считается бухгалтерская отчетность, сформированная исходя из правил, установленных нормативными актами по бухгалтерскому учету.

. Существенность. Это значимость информации, представленной в отчетности. Информация считается существенной, если ее отсутствие или искажение может повлиять на экономическое решение пользователей, принятое по данной отчетности.

Если при составлении бухгалтерской отчетности, исходя из правил ПБУ 4/99, выявляется недостаточность данных для формирования полного представления об имущественном и финансовом положении, то организация имеет право включать в отчетность соответствующие дополнительные показатели и пояснения.

. Нейтральность. Это отсутствие пристрастных оценок, нацеленных на оказание влияния на какую-либо категорию пользователей. В бухгалтерской отчетности должно быть исключено одностороннее удовлетворение интересов одних групп пользователей бухгалтерской отчетности перед другими. Информация не является нейтральной, если при отборе или определенном представлении она влияет на решения и оценки пользователей таким образом, что достигаются предопределенные результаты или последствия.

. Целостность. Это необходимость включения в бухгалтерскую отчетность данных обо всех хозяйственных операциях, осуществленных как организацией в целом, так и ее филиалами, представительствами и иными подразделениями, в том числе выделенными на отдельные балансы. Под отдельным балансом понимается система показателей, формируемая подразделением организации и отражающая его имущественное и финансовое положение на отчетную дату, что требуется для нужд управления организацией, в том числе для составления отчетности.

. Последовательность. Означает необходимость соблюдения постоянства в содержании и формах баланса, отчета о финансовых результатах и пояснений к ним от одного отчетного года к другому.

. Сопоставимость. Это сравнимость отчетной информации за несколько отчетных периодов. В бухгалтерской отчетности по каждому числовому показателю должны быть приведены данные минимум за два года - отчетный и предшествующий отчетному. Если данные за предшествующий период несопоставимы с данными за отчетный период (реорганизация, изменение учетной политики), то первые из названных данных подлежат корректировке исходя из правил, установленных нормативными актами по бухгалтерскому учету. Каждая существенная корректировка должна быть раскрыта в пояснительной записке.

. Требование соблюдения отчетного периода. Отчетный период - период, за который организация должна составлять бухгалтерскую отчетность; отчетная дата - дата, по состоянию на которую организация должна составлять бухгалтерскую отчетность.

В качестве отчетного года в РФ принят период с 1 января по 31 декабря включительно, то есть отчетный год совпадает с календарным. Отчетной датой считается последний календарный день отчетного периода (для годового отчета - это 31 декабря, для промежуточных - 31 марта, 30 июня, 30 сентября). Первым отчетным годом для вновь созданной организации считается период с даты государственной регистрации по 31 декабря соответствующего года, а для организаций, созданных после 1 октября, - по 31 декабря следующего года.

. Требование правильного оформления отчетности. Бухгалтерская отчетность составляется на русском языке в валюте РФ, подписывается руководителем и главным бухгалтером. Статьи типовых форм отчетности, по которым отсутствуют числовые значения показателей, в формы организации не включаются. Каждая составляющая часть бухгалтерской отчетности должна содержать следующие данные: наименование составляющей части, указание отчетной даты или отчетного периода, за который составлена отчетность, полное наименование организации, идентификационный номер налогоплательщика (ИНН), вид деятельности, организационно-правовая форма, единица измерения, местонахождение (адрес), дата утверждения, дата отправки.

Данные бухгалтерской отчетности приводятся в тысячах рублей без десятичных знаков. Организация, имеющая существенные обороты продаж, обязательств и т. п., может приводить данные в бухгалтерской отчетности в миллионах рублей без десятичных знаков.

В формах бухгалтерской отчетности строки, по которым раскрываются соответствующие показатели, организациями кодируются самостоятельно при разработке и принятии форм бухгалтерской отчетности.

В формах бухгалтерской отчетности не должно быть никаких подчисток и помарок

2. СИСТЕМА ПОКАЗАТЕЛЕЙ АНАЛИЗА БУХГАЛТЕРСКОЙ ОТЧЕТНОСТИ


Бухгалтерская отчетность может быть как промежуточной (по итогам квартала) так и годовой. Бухгалтерская отчетность включает в себя:

Бухгалтерскую (финансовую) отчетность, включающую в себя Бухгалтерский баланс (форма по ОКУД 0710001) и Отчет о финансовых результатах (форма по ОКУД 0710002);

Отчет об изменениях капитала (форма по ОКУД 0710003);

Отчет о движениях денежных средств (форма по ОКУД 0710004);

Отчет о целевом использовании средств (форма по ОКУД 0710006);

Пояснительная записка;

Аудиторское заключение, подтверждающее достоверность бухгалтерской отчетности, если организация подлежит обязательному аудиту.

2.2 Взаимосвязь основных форм отчетности

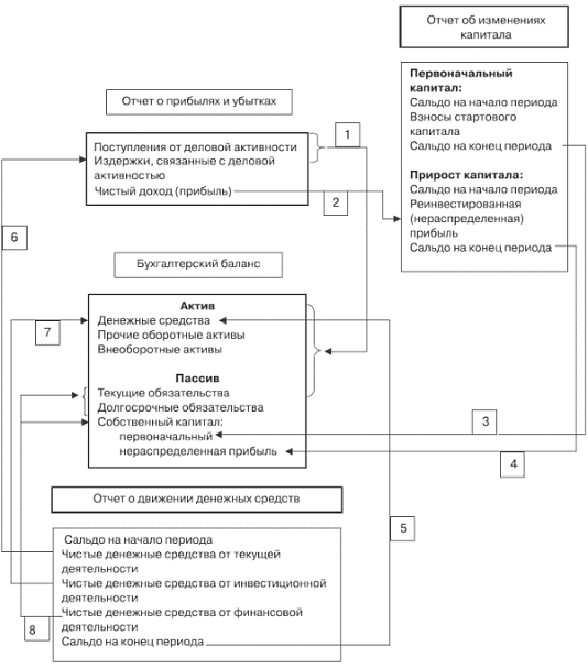
Взаимосвязь данных форм отчетности можно представить в виде схемы, сплошные линии на которой указывают основные моменты связи финансовых отчетов; числовые значки позволяют дать краткие комментарии отраженных на ней взаимосвязей (Приложение 1).

. Доходы и расходы организации, которые представлены в отчете о финансовых результатах, дают обобщенную характеристику финансовых результатов от изменений в составе имущества и обязательств организации, показанных в балансе.

. Чистый доход (прибыль) организации, взятый из отчета о финансовых результатах, входит в качестве компоненты отчета об изменениях капитала и представляет важнейшую часть нераспределенной прибыли организации на конец отчетного периода.

. В балансе и отчете об изменениях капитала данные по счетам первоначального (стартового, уставного) капитала тесно увязаны с моментом учреждения организации и по состоянию на любую отчетную дату (как в случае его неизменности на уровне первоначального взноса, так и в случаях его изменения при перерегистрации в установленном законодательством порядке).

. Нераспределенная прибыль на конец отчетного периода в отчете об изменениях капитала корреспондирует с суммой по статье нераспределенной прибыли, представленной в балансе.

. Изменения остатков денежных средств в отчете о движении денежных средств и бухгалтерском балансе являются идентичными.

. Прирост суммы денежных средств в результате осуществления основной (производственно-коммерческой, эксплуатационной) деятельности, который показан в отчете о движении денежных средств, отражает результаты сделок по реализации товаров, работ и услуг, учтенных при формировании чистого дохода организации. Согласование чистого дохода и суммы прироста денежной наличности от операционной деятельности представляет один из важнейших моментов составления отчета о движении денежных средств организации.

. Инвестиционная деятельность, отраженная в отчете о движении денежных средств организации, показывает прирост или убыль денежных средств в связи с движением активов, отраженных в виде балансовых статей отчета в активе баланса организации.

. Финансовая деятельность, отраженная в отчете о движении денежных средств организации, показывает прирост или убыль денежных средств в результате финансирования совершенных операций за счет долговых обязательств или собственных источников. Движение сальдо кредиторской задолженности и собственных источников финансирования в балансе и отчете об изменении финансового положения организации должны совпадать.

Поскольку при закрытии счетов их сальдо могут попадать либо в отчет о финансовых результатах, либо в баланс, основными формами бухгалтерской отчетности являются именно эти две формы. Любые другие формы, по сути, являются аналитическими расшифровками или дополнением к первым двум формам.

Результат хозяйственной деятельности организации исчисляется как в балансе, так и в отчете о финансовых результатах (принцип двойной бухгалтерии). Баланс является отчетом на определенный момент времени, например на отчетную дату. В самом балансе финансовый результат определяется сравнением собственного капитала в начале и конце хозяйственного года. При этом включаются суммы распределения прибыли (либо исключается уменьшение капитала) и вычитается увеличение капитала в отчетном году. В отчете о финансовых результатах результат определяется как сальдо доходов и расходов отчетного периода. Следовательно, отчет о финансовых результатах является отчетом за определенный период времени, например за отчетный период. Финансовый результат, исчисленный по данным баланса, совпадает с итогом отчета о финансовых результатах, поскольку доходы и расходы относятся к отчетному периоду в размере выплат и поступивших платежей, с которыми связано изменение соответствующих активов или пассивов.

2.3 Система показателей анализа бухгалтерской отчетности

При проведении анализа финансовой отчетности преследуются две основные цели.

Во-первых, проведение анализа имеет своей целью получение информации о способности предприятия зарабатывать прибыль. Данный аспект является принципиально важным при решении вопросов о выплате дивидендов, возможности расширения и развития бизнеса.

Во-вторых, анализ финансовой отчетности имеет целью получение информации об имущественном и финансовом состоянии предприятия, то есть о его обеспеченности источниками для получения прибыли.

Проведение анализа по обоим направлениям должно показать, насколько устойчиво функционирует предприятие.

Количественное содержание и значение хозяйственных процессов выражается экономическими показателями, а количественная сторона финансовых процессов хозяйствующих субъектов - финансовыми показателями. Большинство финансовых показателей представлено в бухгалтерской (финансовой) отчетности, каждая строка которой есть финансовый показатель. Назовем наиболее значимые показатели бухгалтерской (финансовой) отчетности.

Основными показателями формы «Бухгалтерский баланс» являются: внеоборотные активы; оборотные активы; активы; валюта баланса; собственный капитал (капитал и резервы); долгосрочные и краткосрочные обязательства; дебиторская и кредиторская задолженность; ценности, учитываемые на забалансовых счетах.

В «Отчете о финансовых результатах», справках и расшифровках к ней содержатся такие показатели, как: выручка от продажи товаров, продукции, работ, услуг; усеченная и полная себестоимость проданных товаров; валовая прибыль, прибыль (убыток) от продаж; прибыль (убыток) до налогообложения; прибыль (убыток) от обычной деятельности; чистая прибыль (нераспределенная прибыль/убыток) отчетного периода; операционные доходы и расходы; внереализационные доходы и расходы; чрезвычайные доходы и расходы; дивиденды, приходящиеся на одну акцию; расшифровка отдельных прибылей и убытков.

В «Отчете об изменениях капитала» раскрываются частные показатели движения собственного капитала организации (уставного капитала, добавочного и резервного капиталов, нераспределенной прибыли, непокрытых убытков отчетного года и прошлых лет); рассчитываются их величины по состоянию на начало и конец года; отражаются поступление и использование (расходование) всех составляющих собственного капитала, оценочных резервов.

В «Отчет об изменениях капитала» для повышения аналитических возможностей и реализации принципа прозрачности ее данных включены сведения о таких факторах увеличения собственного капитала, как: дополнительный выпуск акций; переоценка активов; прирост имущества; слияние или присоединение компаний; увеличение доходов, которые в соответствии с правилами учета и отчетности относятся непосредственно на увеличение капитала.

Здесь же содержится информация о факторах уменьшения собственного капитала в связи со снижением номинала и количества акций, разделением и формированием новых юридических лиц как следствие реорганизации ранее действовавшего юридического лица, а также за счет некоторых расходов организации, относящихся теперь на уменьшение ее капитала. К «Отчету об изменениях капитала» составляется справка об изменении чистых активов на конец года по сравнению с началом; о расходах по обычным видам деятельности; о капитальных вложениях во внеоборотные активы.

В «Отчет о движении денежных средств» отражаются наличие, поступление и расходование денежных средств организации от текущей, инвестиционной и финансовой деятельности, оценивается их изменение по состоянию на конец года в сравнении с началом года.

Соотношение двух различных по экономическому содержанию, но логически совместимых количественных показателей финансовой отчетности создает возможность формировать качественные показатели финансового анализа, представляющие в основе своей коэффициент, т. е. двухфакторную модель. Коэффициенты широко используются в финансовом анализе в отечественной и зарубежной практике. Рассмотрим их более подробно.

Анализ ликвидности бухгалтерского баланса

Задача анализа ликвидности баланса возникает в связи с необходимостью давать оценку платежеспособности. Ликвидность баланса определяется как степень покрытия обязательств организации ее активами, срок превращения которых в денежном выражении соответствует сроку погашения обязательств. От ликвидации баланса следует отличать ликвидность активов, которая определяется как величина, обратная времени, необходимому для превращения их в денежные средства.

Анализ ликвидности баланса заключается в сравнении средств по активу, сгруппированных по степени их ликвидности и расположенных в порядке убывания ликвидности, с обязательствами по пассиву, сгруппированными по срокам их погашения и расположенными в порядке возрастания сроков.

В зависимости от ликвидности активы принято разделять на следующие группы.

) Наиболее ликвидные активы (А1) - суммы по всем статьям денежных средств, которые могут быть использованы для выполнения текущих расчетов немедленно.

В эту группу включают также краткосрочные финансовые вложения (ценные бумаги):

А1 = стр. 250 + стр. 260 (бухгалтерского баланса)                    (1)

) Быстрореализуемые активы (А2) - активы, для обращения которых в наличные средства требуется определенное время. В эту группу можно включить дебиторскую задолженность (платежи по которой ожидаются в течение 12 месяцев после отчетной даты):

 А2 = стр. 240                                                                               (2)

3) Медленнореализуемые активы (А3) - наименее ликвидные активы - это запасы, дебиторская задолженность (платежи по которой ожидаются более чем через 12 месяцев после очередной даты), налог на добавленную стоимость по приобретенным ценностям и прочие оборотные активы.

Товарные запасы не могут быть проданы до тех пор, пока не найден будет покупатель. Запасы сырья, материалов и незавершенной продукции могут потребовать предварительной обработки, прежде чем их можно будет продать и преобразовать в наличные средства:

А3 = стр. 210 + стр. 220 + стр. 230 + стр. 270                                      (3)

) Труднореализуемые активы (А4) - активы, которые предназначены для использования в хозяйственной деятельности в течение относительно продолжительного периода времени. В эту группу можно включить статьи I раздела актива баланса "Внеоборотные активы":

А4 = стр. 190                                                                                 (4)

Первые три группы активов (наиболее ликвидные активы, быстрореализуемые и медленнореализуемые активы) в течение текущего хозяйственного периода могут постоянно меняться. Они относятся к текущим активам фирмы. Текущие активы более ликвидны по сравнению с остальным имуществом фирмы.

Пассивы баланса по степени возрастания сроков погашения обязательств группируются следующим образом:

) Наиболее срочные обязательства (П1) - кредиторская задолженность, кредиты банка, сроки возврата которых уже наступили:

П1 = стр. 620                                                                                 (5)

) Краткосрочные пассивы (П2) - краткосрочные займы и кредиты, прочие краткосрочные обязательства:

П2 = стр. 610 + стр. 630 + стр. 660                                                       (6)

. Долгосрочные или устойчивые пассивы (П3) - долгосрочные обязательства, дивиденды, доходы будущих периодов, резервы предстоящих расходов и платежей:

П3 = стр. 590 + стр. 640 + стр. 650                                                       (7)

. Постоянные пассивы (П4) - все статьи раздела III баланса "Капитал и резервы":

П4 = стр. 490                                                                                 (8)

Баланс считается аб­солютно ликвидным, если имеют место следующие соотношения:

А1≥ П1;               А2≥П2;                АЗ≥ПЗ;                А4≤П4

Выполнение первых трех неравенств с необходимостью влечет выполнение и четвертого неравенства, поэтому практически существенным является сопоставление итогов первых трех групп по активу и пассиву. Четвертое неравенство носит «балансирующий» характер и в то же время имеет глубокий экономический смысл: его выполнение свидетельствует о соблюдении минимального ус­ловия финансовой устойчивости - наличии у организации собственных оборотных средств.

В случае, когда одно или несколько неравенств имеют знак, противоположный зафиксированному в оптимальном варианте, ликвидность баланса в большей или меньшей степени отличается от абсолютной.

Оценка платежеспособности

Под платёжеспособностью предприятия подразумевают его способность в срок и в полном объёме удовлетворять платёжные требования поставщиков техники и материалов в соответствии с хозяйственными договорами, возвращать кредиты, производить оплату труда персонала, вносить платежи в бюджет. Возможность регулярно и своевременно погашать долговые обязательства определяются в конечном итоге наличием у предприятия денежных средств, что зависит от того, в какой степени партнёры выполняют свои обязательства перед предприятие. Коэффициенты платежеспособности представлены в Приложении 2.

Оценка вероятности банкротства

В деловой практике для оценки вероятности банкротства и кредитоспособности предприятия широко используются Z-модели известного западного экономиста Эдварда Альтмана. Самой простой из этих моделей прогнозирования вероятности банкротства является двухфакторная модель:

= 0,3877 + (-1,0736) ´ К т.л. + 0,579 ´ К ф.з.                              (9)

Где    К т.л. - коэффициент текущей ликвидности;

К ф.з. - коэффициент финансовой зависимости;

Если Z < 0 - вероятность банкротства невелика;³ 0 - вероятность банкротства высокая.

Однако данная модель не обеспечивает высокую точность прогнозирования (вероятность » 65 %).

В западной практике широко используется 5-факторная модель прогнозирования банкротства (была предложена в 1958 г. Э. Альтманом).= 1,2 ´ К1 + 1,4 ´ К2 + 3,3 ´ К3 + 0,6 ´ К4 + К5                     (10)

К2 = Нераспределенная прибыль / всего активов

К3 = Балансовая прибыль / всего активов

К4 = Собственный капитал / заемный капитал

К5 = Объем продаж / всего активов

Данная модель в виде уравнения регрессии позволяет разделить предприятия на потенциальных банкротов и не банкротов в прогнозируемый период.

В зависимости от Z прогнозируется вероятность банкротства:

до 1,8 - очень высокая

1,81-2,7 - высокая

2,8-2,9 - возможная

> 3 - очень низкая

Вероятность модели » 90 %.

Анализ финансовой устойчивости

Финансовая устойчивость предприятия - это способность субъекта хозяйствования функционировать и развиваться, сохранять равновесие своих активов и пассивов в изменяющейся внутренней и внешней среде, гарантирующее его платежеспособность и инвестиционную привлекательность в долгосрочной перспективе.

Наиболее обобщающим показателем финансовой устойчивости является излишек или недостаток источников средств для формирования запасов и затрат, получаемый в виде разницы величины источников средств и величины запасов и затрат.

Для оценки состояния запасов и затрат используют данные группы статей «Запасы» раздела II актива баланса.

Для характеристики источников формирования запасов определяют три основных показателя.

. Наличие собственных оборотных средств (СОС):

= Q-F,                  (11)

где Q - капитал и резервы;

F - внеоборотные активы.

. Наличие собственных и долгосрочных заемных источников формирования запасов и затрат (КФ):

Ф= (Q + KT)-F    (12)

где Кт - долгосрочные кредиты и займы.

. Общая величина основных источников формирования запасов и затрат (ВИ):

И = (Q + KT + Kt)-F             (13)

где Kt - краткосрочные кредиты и займы.

Трем показателям наличия источников формирования запасов и затрат соответствуют три показателя обеспеченности запасов и затрат источниками их формирования:

. Излишек (+) или недостаток (-) собственных оборотных средств (±ФС):

Фс = СОС - З,                                                                                (14)

где З - запасы (стр. 210 + стр. 220 раздела II актива баланса).

. Излишек (+) или недостаток (-) собственных и долгосрочных источников формирования запасов (±ФТ):

ФТ = КФ - З                                                                                   (15)

. Излишек (+) или недостаток (-) общей величины основных источников формирования запасов (±Ф°):

Ф° = ВИ - З                                                                                    (16)

Трехкомпонентный показатель типа финансовой ситуации S (Ф):

S (A) = [S(±ФC );S (±ФТ); S(±Ф0)]                                                (17)

где функция S (Ф) определяется: если Ф > 0, то 1; если Ф < 0, то 0.

Возможно выделение 4-х типов финансовых ситуаций.

Абсолютная устойчивость финансового состояния. Этот тип ситуации встречается крайне редко, представляет собой крайний тип финансовой устойчивости и отвечает следующим условиям: S (Ф) = [1,1,1]. Данное соотношение показывает, что все запасы полностью, покрываются собственными оборотными средствами, т. е. предприятие совершенно не зависит от внешних кредиторов. Однако такую ситуацию нельзя рассматривать как идеальную, поскольку она означает, что руководство предприятия не умеет, не хочет или не имеет возможности использовать внешние источники финансирования основной деятельности.

Нормальная устойчивость финансового состояния, которая гарантирует платежеспособность: S (Ф) = [0,1,1]. Приведенное соотношение соответствует положению, когда предприятие для покрытия запасов и затрат успешно использует и комбинирует различные источники средств, как собственные, так и привлеченные.

Неустойчивое финансовое состояние, сопряженное с нарушением платежеспособности: S (Ф) = [0,0,1].

Кризисное финансовое состояние, при котором запасы и затраты в значительной степени финансируются за счет кредиторской задолженности: S (Ф) = [0,0,0]. Предпринимательская фирма находится на грани банкротства, так как денежные средства, краткосрочные ценные бумаги и дебиторская задолженность не покрывают даже ее кредиторской задолженности и просроченных ссуд.

Относительные показатели финансовой устойчивости характеризуют степень зависимости предприятия от внешних кредиторов. Они позволяют выявить уровень риска связанного со структурой источников формирования имущества предприятия (Приложение 3).

Оценка деловой активности

Оценка и анализ результативности финансово-хозяйственной деятельности производится на основании оценки деловой активности предприятия. От деловой активности предприятия во многом зависят эффективность использования финансовых ресурсов и стабильность его финансового состояния. Коэффициенты деловой активности представлены в Приложении 4.

Показатели рентабельности

Цель анализа рентабельности - оценить способность предприятия приносить доход на вложенный в предприятие капитал.

Показатели рентабельности более полно, чем прибыль, идентифицируют окончательные результаты хозяйствования, потому что их величина отражает соотношение эффекта с вложенным капиталом или потребленными ресурсами (Приложение 5).

ЗАКЛЮЧЕНИЕ

В условиях рыночных отношений резко возрастает значение достоверной и объективной бухгалтерской отчетности, так как анализ ее показателей позволяет определить истинное имущественное и финансовое положение организации.

Бухгалтерская (финансовая) отчетность - это единая система данных об имущественном и финансовом положении организации и результатах ее хозяйственной деятельности, формируемая на основе данных бухгалтерского (финансового) учета.

В настоящее время в России сложилась четырехуровневая система регулирования учета и отчетности, на формирование которой огромное влияние оказали экономические преобразования в стране, необходимость для организаций работать в новых рыночных условиях, а также активное распространение международных стандартов финансовой отчетности.

Бухгалтерская отчетность является важнейшим источником информации, характеризующей финансовое положение организации. В связи с этим, бухгалтерская отчетность представляет большой интерес для различных категорий пользователей. В соответствии с международными стандартами учета и отчетности, выделяют семь групп потребителей информации: инвесторы, служащие, кредиторы, поставщики, покупатели, правительство, общественность.

В состав годовой бухгалтерской отчетности организаций, являющихся юридическими лицами, кроме кредитных, страховых и бюджетных организаций включаются:

) Бухгалтерский баланс;

) Отчет о финансовых результатах;

) Отчет об изменениях капитала;

) Отчет о движении денежных средств;

) пояснительная записка;

) аудиторское заключение, подтверждающее достоверность бухгалтерской отчетности, если организация подлежит обязательному аудиту.

При проведении анализа финансовой отчетности преследуются две основные цели.

Во-первых, проведение анализа имеет своей целью получение информации о способности предприятия зарабатывать прибыль. Данный аспект является принципиально важным при решении вопросов о выплате дивидендов, возможности расширения и развития бизнеса.

Во-вторых, анализ финансовой отчетности имеет целью получение информации об имущественном и финансовом состоянии предприятия, то есть о его обеспеченности источниками для получения прибыли.

СПИСОК ИСПОЛЬЗОВАННОЙ ЛИТЕРАТУРЫ

Федеральный закон «О бухгалтерском учете» от 06.12.2011 №402-ФЗ (ред. от 28.06.2013, 02.07.2013, 23.07.2013, 02.11.2013)

Приказ Минфина «Об утверждении Положения по ведению бухгалтерского учета и бухгалтерской отчетности в Российской Федерации» от 29.07.1998 № 34н (в ред. Приказов Минфина РФ от 30.12.1999 № 107н, от 24.03.2000 № 31н, от 18.09.2006 № 116н, от 26.03.2007 № 26н, от 25.10.2010 № 132н, от 24.12.2010 № 186н, с изм., внесенными решением Верховного Суда РФ от 23.08.2000 № ГКПИ 00-645)

Париказ Минфина «Об утверждении Положения по бухгалтерскому учету «Бухгалтерская отчетность организации» (ПБУ 4/99) от 06.07.1999 № 43н (в ред. Приказов Минфина РФ от 18.09.2006 № 115н, от 08.11.2010 № 142н)

Приказ Минфина «О формах бухгалтерской отчетности организаций» от 02.07.2010 № 66н (в ред. Приказов Минфина России от 05.10.2011 № 124н, от 17.08.2012 № 113н, от 04.12.2012 № 154н)

Анализ финансовой отчтености / Под ред. Ефимовой О.В. - М.: Омега-Л, 2009. - 451 с.

Бычкова С.М., Янданова Ц.Н. Бухгалтерская отчтеность. - М.: Эксмо, 2008. - 112 с.

Кодраков Н.П. Бухгалтерский учет: Учебное пособие, - М.: ИНФРА-М, 2009 - 312 с.

Разгулин С.В., Сухарев И.Р., Ковязина Н.З. Годовой отчет ‘2011. - М.: ЗАО «Актион-Медиа», 2011. - 768 с.

Рябова М.А., Айнуллова Д.Г. Бухгалтерская (финансовая) отчетность: Учебное пособие, - Ульяновск.: УлГТУ, 2011. - 214 с.

ПРИЛОЖЕНИЕ 1

Основные взаимосвязи в составе бухгалтерской отчетности



Приложение 2

Коэффициенты платежеспособности предприятия

Показа­тель

Формула расчета показателя по дан­ным отчетности

Норматив

Интерпретация показателя

1.Общий показатель платежеспособ-ности (L1)

(стр. 250 + 260) + (0,5 х 240) + ((0,3 х (стр.210 + 220 + 230 + 270)) : (стр.620 + ((0,5 х (стр.610 + 630 + 660) + ((0,3 х (стр.590 + 640 + 650))

≥1

С помощью данного показателя осуществляется оценка изменения финансовой ситуации в организации с точки зрения ликвидности

2. Коэффициент абсолютной ликвидности (L2)

(стр. 250+ 260) : (стр.610+620+630 + 660)

≥0,1-0,7

Показывает, какую часть текущей краткосрочной задолженности организация может погасить в ближайшее время за счет денежных средств и приравненных к ним финансовым вложениям

3. Коэффициент «критической оценки» (L3)

(стр.250+260+240) : стр.610+620+630 + 660)

0,7- 0.8; Оптималь-ное значение: L3 = 1

Показывает, какая часть краткосрочных обязательств может быть немедленно погашена за счет денежных средств, средств в краткосрочных ценных бумагах, а также поступлений по расчетам. Показывает, какая часть текущих обязательств может быть погашена не только за счет ожидаемых поступлений от разных дебиторов

4. Коэффициент текущей ликвидности (L4)

Стр.290 : (стр.610 + 620 + 630 + 660)

1,5 Оптималь-ное значение: L4 = от 1,5 до 3,5

Показывает, какую часть текущих обязательств по кредитам и расчетам можно погасить, мобилизовав все оборотные средства. Позволяет установить, в какой кратности текущие активы покрывают краткосрочные обязательства. Это главный показатель платежеспособности

5. Коэффициент маневренности функциони-рующего капитала (L5)

(стр.210+220+230 ) : (стр.290 - 610 - 620 - 630 - 660)

Уменьше-ние показателя в динамике положительный факт

Показывает, какая часть функционирующего капитала обездвижена в производственных запасах и долгосрочной дебиторской задолженности

6. Доля оборотных средств в активах (L6)

Стр.290 : стр.300

>0,5


7. Коэффициент обеспеченности собственными средствами (L7)

(стр.490 - 190) : стр.290

>0,1

Характеризует наличие собственных оборотных средств у организации, необходимых для ее текущей деятельности


Приложение 3

Показатели финансовой устойчивости

Показатель

Формула расчета показателя по данным отчетности

Норма

Интерпретация  показателя

Коэффициент финансовой независимости (К1)

Стр.490 / Стр.700 ф.1

> 0,4-0,6

Показывает удельный вес собственных средств в общей сумме источников финансирования

Коэффициент капитализации (К2)

Стр. (590+690) / стр. 490

Не выше 1,5

Показывает, сколько заемных средств организация привлекла на 1 руб. вложенный в активы собственных средств

Коэффициент обеспеченности собственными источниками финансирования (К3)

 (Стр.490 - стр. 190)/ Стр.290 ф.1

>0,1

Показывает, какая часть оборотный активов финансируется за счет собственных источников

Коэффициент финансовой устойчивости (К4)

(Стр.490 +стр.590) /Стр.300

≥0,6

Показывает, какая часть актива финансируется за счет устойчивых источников

Коэффициент финансирования (К5)

стр. 490/ стр. (590+690)

≥0,6 Оптимальное значение 1,5

Показывает, какая часть деятельности финансируется за счет собственных средств, а какая - за счет заемных средств


Приложение 4

Показатели деловой активности

Показатель

Формула расчета показателя по данным отчетности

Интерпретация  показателя

стр. 010 ф.2/ стр. 300 ф.1

Показывает скорость оборота всего капитала организации. Рост коэффициента означает ускорение кругооборота средств организации или инфляционный рост цен

Коэффициент оборачиваемости оборотных активов

стр. 010 ф.2/ стр. 290 ф.1

Показывает скорость оборота всех оборотных активов организации. Рост показателя характеризуется положительно, если он сочетается с ростом коэффициента оборачиваемости материальных запасов, и - отрицательно, если коэффициент оборачиваемости материальных запасов снижается

Коэффициент оборачиваемости собственного капитала

 стр. 010 ф.2/ стр. 490 ф.1

Показывает скорость оборота собственного капитала, что означает активность средств, которыми рискует организация. Существенное снижение коэффициента отражает тенденцию к бездействию части собственных средств

Коэффициент оборачиваемости материальных запасов

стр. 010 ф.2/ стр. 210 ф.1

Отражает число оборотов запасов организации за анализируемый период. Снижение показателя свидетельствует об относительном увеличении производственных запасов и незавершенного производства или о снижении спроса на готовую продукцию

Коэффициент оборачиваемости готовой продукции

стр. 010 ф.2/ стр. 214 ф.1

Показывает скорость оборота готовой продукции. Рост показателя означает увеличение спроса на продукцию организации, снижение - затоваривание готовой продукцией в связи со снижением спроса

Коэффициент оборачиваемости дебиторской задолженности

стр. 010 ф.2/ (стр. 230 + стр. 240) ф.1

Показывает скорость оборота дебиторской задолженности. Увеличение показателя оценивается положительно

Коэффициент оборачиваемости кредиторской задолженности

стр. 010 ф.2/ стр. 620 ф.1

Показывает расширение или снижение коммерческого кредита, предоставляемого организации. Рост показателя означает увеличение скорости оплаты задолженности организации, снижение - рост покупок в кредит


Приложение 5

Показатели рентабельности

Показатель

Формула расчета показателя по дан­ным отчетности

Интерпретация  показателя



 

Рентабельность активов (коэффициент экономической рентабельности)

Стр. 050 ф.2 / Стр. 300 ф.1

Характеризует степень эффективности использования имущества организации, профессиональную квалификацию менеджмента предприятия

Рентабельность оборотных активов

Стр. 050 ф.2 / Стр. 290 ф.1

Отражает эффективность использования оборотных активов предприятия и показывает, какую прибыль получает предприятие с каждого рубля, вложенного в оборотные активы предприятия.

Рентабельность производственных средств

Стр. 050 ф.2 / (стр. 120 ф.1 + стр. 210 ф.1)

Характеризует эффективность использования предприятием производственных ресурсов

Рентабельность собст­венного капитала

Стр.050 ф.2/ (Стр.490) ф.1

Характеризует эффективность использования капитала и показывает, сколько предприятие имеет чистой прибыли с рубля авансированного в капитал

Рентабельность перманентного капитала

Стр. 050 ф.2/ (Стр.490 + +стр.510)ф. 1

Показывает, какова прибыльность использования всего капитала предприятия, находящегося в его долгосрочном пользовании

Рентабельность продаж (коэффициент коммерческой рентабельности)

Стр.050 / Стр.010 ф.2

Показывает долю прибыли в каждом заработанном рубле

Рентабельность текущих затрат

Стр.050 / (Стр.020 + стр.030 + стр.040) ф.2

Показывает эффективность текущих затрат



Похожие работы на - Система показателей анализа бухгалтерской отчетности

 

Не нашли материал для своей работы?
Поможем написать уникальную работу
Без плагиата!
Без нейросетей!