Анализ проблем монополизации страхового рынка в России и зарубежных странах

  • Вид работы:
    Курсовая работа (т)
  • Предмет:
    Банковское дело
  • Язык:
    Русский
    ,
    Формат файла:
    MS Word
    182,16 Кб
  • Опубликовано:
    2014-02-09
Вы можете узнать стоимость помощи в написании студенческой работы.
Помощь в написании работы, которую точно примут!

Анализ проблем монополизации страхового рынка в России и зарубежных странах

Содержание

Введение

1. Теоретические аспекты монополизации страхового рынка в России и зарубежных странах

1.1 Сущность и виды монополий

1.2 Социально-экономические последствия монополистической деятельности для страхового рынка

1.3 Государственное регулирование страхового рынка с позиций его монополизации

2. Анализ тенденций монополизации на российском и зарубежном страховом рынке

2.1 Анализ динамики развития страхового рынка в период 2001-2012 гг

2.2 Анализ процессов концентрации и монополизации страхового рынка

2.3 Анализ функционирования страховых компаний, занимающих монопольное положение на рынке

2.4 Сравнительный анализ деятельности антимонопольной службы РФ и США на страховом рынке

2.5 Оценка систем страховых выплат, применяемых в имущественном страховании

3. Рекомендации по решению проблем монополизации рынка в России

3.1 Основные проблемы страхового надзора над процессами монополизации страхового рынка

3.2 Совершенствование антимонопольной деятельности государства в страховании

3.3 Проектирование схем классификаций отраслей страхования

Заключение

Список литературы

Приложение

Введение

Актуальность темы исследования определена тем, что страхование имеет своей целью смягчить или предотвратить отрицательные экономические последствия, которые могут угрожать хозяйственным субъектам при возникновении определенных опасностей. Тем самым страхование обеспечивает экономическое существование не только частных хозяйств и предприятий, но и стабилизирует народнохозяйственный кругооборот путем минимизации последствий возмещенных ущербов. Благодаря существованию страхования значительно сокращается потребность народного хозяйства в капитале на цели страхования от рисков в противовес индивидуальным страховым случаям.

На протяжении всего трансформационного периода различными политическими силами, а также представителями самого предпринимательского сообщества ставилась цель по формированию в российской экономике режима рыночной конкуренции на страховом рынке.

Однако, несмотря на постоянно декларируемую цель - создать экономическую конкуренцию, в реальной действительности можно наблюдать противоположный тренд - перманентное сокращение конкурентного пространства и (наоборот) рост степени монополизма страхового рынка в России. Более того, объективный анализ даёт основания для вывода о продолжении указанной тенденции и в будущем.

В связи с указанными выше обстоятельствами, представляется актуальным исследование проблемы монополизации страхового рынка в России и зарубежных странах.

Целью курсового проекта является разработка рекомендации по решению проблем монополизации страхового рынка в России и зарубежных странах.

Исходя из поставленной цели, в работе ставятся следующие задачи:

. Исследовать сущность и виды монополий.

. Выявить социально-экономические последствия монополистической деятельности для страхового рынка.

. Рассмотреть вопросы государственного регулирования страхового рынка с позиций его монополизации.

. Провести анализ динамики развития страхового рынка в период 2000-2012 гг.

. Осуществить анализ процессов концентрации и монополизации страхового рынка в России.

. Осуществить анализ функционирования страховых компаний, занимающих монопольное положение на рынке.

. Составить сравнительный анализ деятельности антимонопольной службы РФ и США на страховом рынке.

. Провести оценку систем страховых выплат, применяемых в имущественном страховании.

. Выявить основные проблемы страхового надзора над процессами монополизации страхового рынка.

. Рассмотреть направления совершенствования антимонопольной деятельности государства в страховании.

. Осуществить проектирование схем классификаций отраслей страхования.

Объект курсового проекта - страховой рынок РФ и зарубежных стран.

Предмет курсового проекта - проблемы монополизации страхового рынка.

В качестве методологической базы исследования в работе будут использованы комментарии и статьи, учебные пособия и монографии, а также все действующие нормативные акты о страховании.

1. Теоретические аспекты монополизации страхового рынка в России и зарубежных странах

.1 Сущность и виды монополий

Структура рыночной экономики - понятие, имеющее множество аспектов. В частности, структура рыночной экономики может быть охарактеризована с точки зрения конкурентных отношений, степени их развитости.

В соответствии с классификацией Э.Чемберлин и Дж.Бейн выделяются следующие типы рыночной структуры микроэкономики: совершенная конкуренция, монополистическая конкуренция, однородная олигополия, неоднородная олигополия, монополия. Основные характеристики моделей рынка представлены на рис. 1.1.

Один из видов несовершенной конкуренции - монополия. Существуют различные точки зрения на монополию. Так, в экономической литературе под монополией понимается определенная структура рынка, характеризующаяся преобладанием на нем единоличного продавца или покупателя, продающего товар, не имеющего близких заменителей.

Монополия - это рыночная структура, в которой одна организация является поставщиком на рынок продукта, не имеющего близких субститутов, т.е. имеется производитель, который полностью контролирует объем предложения товара и определяет уровень цен. Сила монополиста тем больше, чем выше входные барьеры в отрасль и чем меньше товаров-заменителей у данного товара.

В соответствии с действующим законодательством модель рынка чистой монополии - как государственная, так и частная - предусматривает, что на рынке какого-либо товара (отрасли) присутствует только один продавец (как правило, он же является и производителем), который контролирует объем предложения товара, не имеющего аналогичного заменителя, либо взаимозаменяемых товаров и цену на них. под взаимозаменяемыми товарами следует понимать «товары, которые могут быть сравнимы по их функциональному назначению, применению, качественным и техническим характеристикам, цене и другим параметрам таким образом, что приобретатель действительно заменяет или готов заменить один товар другим при потреблении (в том числе при потреблении в производственных целях)».

И конкуренция, и монополия, являясь важными элементами капитализма, составляют его сущность. Они связаны диалектически, законом тождества и борьбы противоположностей, когда один элемент предполагает другой и в то же время отрицает его. Монополия и конкуренция, таким образом, взаимно отрицают друг друга, составляя, при этом, неразрывное единство капитализма.

Выд‪еляют с‪лед‪ующие вид‪ы монополий:

. Закр‪ытая монополия - монополия, защищенная юр‪ид‪ичес‪кими запр‪етами, наложенными на конкур‪енцию.

. Ес‪тес‪твенная монополия - отр‪ас‪ль, в котор‪ой д‪олгос‪р‪очные с‪р‪ед‪ние изд‪ер‪жки минимальны только тогд‪а, когд‪а од‪на организация обс‪луживает вес‪ь р‪ынок. «Ес‪тес‪твеннос‪ть» монополии заключаетс‪я и в том, что она являетс‪я с‪лед‪с‪твием с‪вобод‪ного д‪ейс‪твия р‪ыночных с‪ил.

. Откр‪ытая монополия - монополия, пр‪и котор‪ой од‪на организация, по кр‪айней мер‪е, на некотор‪ое вр‪емя с‪тановитс‪я ед‪инс‪твенным пос‪тавщиком пр‪од‪укта, но не имеет с‪пециальной защиты от конкур‪енции.

Четыре основных типа моделей рынка


Совершенная конкуренция Редкая модель рынка

Несовершенная конкуренция



Реальные модели рынка

Редкая модель рынка


Чистая конкуренция

Монополистическая конкуренция

Олигополия

Чистая монополия

Число фирм

Очень много мелких фирм

Множество фирм

Небольшое количество фирм, есть крупные

Одна фирма

 Характер продукции

Однородная, стандартная

Разнородная, дифференцированная

Однородная или дифференцированная

Контроль над ценой

Отсутствует, действуют цены спроса и предложения

Некоторый, в довольно узких рамках

Ограниченный взаимной зависимостью: значительный при тайном сговоре

Значительный

Неценовая конкуренция

Отсутствует

Значительный упор на рекламу, торговые знаки, торговые марки и т.п.

Очень типична, особенно при дифференциации продукта

В основном реклама связи фирмы с общественными организациями (с потребностями общества)

Доступность информации

Равный доступ ко всем видам информации

Некоторые затруднения

Некоторые ограничения

Некоторые ограничения

Условия вступления в отрасль

Очень легкие препятствия отсутствуют

Сравнительно легкие

Существенные препятствия

Блокированы

Примеры

Сельское хозяйство, мелкий сервис

Розничная торговля, производство одежды, обуви, компьютерный и другие виды венчурного бизнеса

Чистая олигополия: пр-во стали, меди, алюминия и т. п. Дифференцированная: пр-во автомобилей, с/х инвентаря, бытовой электроники и т.п.

Предприятия общественного пользования, коммунальных услуг, телефонные компании, издание учебников, кабельное TV


Монополия, возникшая из концентрации производства и незащищенная государственной властью, сталкивается в условиях рыночной экономики со всеми перечисленными формами конкуренции, что весьма ограничивает силу этой монополии.

По другому обстоит дело с монополией в условиях административно-командной системы. Подобный вид монополизма - государственная монополия - складывается под воздействием ряда факторов, в частности, таких как: существование государственной собственности на средства производства, наличие административно-командной системы управления, что проявляется в директивном планировании, в централизации большой доли дохода, в конечном счете, тормозя научно-технический прогресс, концентрация и узкая специализация производства, порождающая жесткую зависимость потребителей от поставщиков-монополистов, устойчивый и массовый дефицит, который обостряет конкуренцию потребителей и превращает производителей в монополистов.

Административная монополия развивается, как правило, в условиях закрытой экономики, опирается на монополию внешней торговли, исключая практически конкуренцию с иностранным производителем. В итоге административная монополия, возникающая в нерыночной среде, обладает гораздо большей монопольной властью, чем экономическая монополия.

На наш взгляд, монополия - это ситуация, когда на рынке присутствует только один продавец товаров или услуг. Этот продавец полностью контролирует рыночную цену и доминирует при производстве продукта или услуги, не имеющих аналогов. Для того чтобы фирма продолжала занимать господствующее (монопольное) положение на рынке, должны существовать барьеры, препятствующие входу на рынок других фирм, способных конкурировать с монополистом.

Таким образом, всё вышеуказанное даёт основания для вывода о том, что монополия является не девиацией капитализма, а его естественным (нормальным) экономическим институтом, возникающим в качестве средства разрешения противоречия между увеличением эксплуатации представителей наёмного труда и поддержанием высокого спроса на произведённые товары. В связи с этим, все попытки борьбы с монополизмом при сохранении капиталистической модели экономических отношений обречены на неудачу.

.2 Социально-экономические последствия монополистической деятельности для страхового рынка

Наибо‪ле‪е‪ суще‪стве‪нными сре‪ди со‪циально‪-эко‪но‪миче‪ских п‪о‪сле‪дствий мо‪но‪п‪о‪листиче‪ско‪й де‪яте‪льно‪сти страхо‪во‪го‪ рынка являются:

. Мо‪но‪п‪о‪лист считае‪т це‪ле‪со‪о‪бразным п‪ро‪давать ме‪ньший о‪бъе‪м п‪ро‪дукции и назначать бо‪ле‪е‪ высо‪кие‪ це‪ны, че‪м это‪ сде‪лал бы ко‪нкуре‪нтный п‪ро‪изво‪дите‪ль.

До‪минирующе‪е‪ п‪о‪ло‪же‪ние‪ п‪о‪зво‪ляе‪т о‪казывать це‪но‪во‪е‪ давле‪ние‪ на рынке‪. Оно‪ мо‪же‪т п‪ро‪являться в п‪ре‪дло‪же‪нии клие‪нтам не‪со‪разме‪рно‪ низко‪й или высо‪ко‪й це‪ны на страхо‪вую услугу. На финансо‪вые‪ услуги, включая и страхо‪вые‪ услуги, устанавливае‪тся ко‪нкуре‪нтная це‪на, п‪о‪ ко‪то‪ро‪й эта услуга мо‪же‪т быть о‪казана в усло‪виях ко‪нкуре‪нции.

Перераспределение ресурсов в пользу монополизированной области уменьшило бы средние издержки, что свидетельствовало бы о повышении эффективности распределения ресурсов. С другой стороны, потребители вынужденные платить своего рода монопольный налог, поскольку цены на продукцию устанавливаются выше, чем средние издержки на производство. Этот “налог” составляет экономическую прибыль.

. Средние издержки монополиста, как правило, не совпадают со средними издержками конкурирующей организации. Средние издержки монополиста (АТСм) могут быть как ниже, так и выше, чем у конкурентной фирмы (АТСк).

У монополиста фактические издержки фирмы для любого объема производства, как правило, большие, чем минимально возможные. Это явление получило название «Х-неэффективность». Оно объясняется такими причинами: цели менеджеров монополиста не совпадают с целью минимизации издержек. Они могут реализовать задачу расширения фирмы, не считаясь с издержками; уклоняться от чрезмерного риска, соглашаясь на большие издержки; принимать на работу некомпетентных друзей и родственников, снижая общую эффективность управления и тому подобное; монополист, перестает искать новые технологии, которые минимизируют издержки; монополия вынуждена нести дополнительные издержки по сохранению своего монопольного положения. Это могут быть как официальные (легальные) платежи за приобретение патентов, лицензий, так и неофициальные (нелегальные) затраты на подкуп должностных лиц, давление на поставщиков ресурсов и тому подобное.

Совокупные чистые потери от монополии складываются из сумм, которые не достались производителям и потребителям в результате сокращения выпуска отрасли, связанного с монополией. Эта величина носит название «чистых потерь», поскольку она не достается никому: ни монополии, ни государству в случае регулирования, ни потребителям, ни производителям. Это чистый недопроизведенный продукт отрасли.

. Монополия противоречиво влияет на научно-технический прогресс. С одной стороны, масштабы монополии позволяют ей выделять значительные средства на проведение научных исследований и разработку новых технологий. Большинство современных открытий, действительно, сделано с участием монополий. Однако, с другой стороны, у чистого монополиста нет постоянных стимулов к научно-техническому прогрессу. Поэтому он может позволить себе быть неэффективным.

. Чистый монополист имеет возможность проводить ценовую дискриминацию. Она имеет место тогда, когда определенный продукт реализуется более чем по одной цене, и эти отличия не связаны с различиями в издержках. Ценовая дискриминация - установление разных цен на один и тот же товар различным потребителям, при условии, что различия в ценах не связаны с затратами. На рынках модели чистой монополии существуют значительные трудности вхождения нового хозяйствующего субъекта на рынок. В случае, если такие трудности обусловлены технологией производства, невозможностью иного способа поставки товара (например, трубопровод, линия электропередач и т.п.), то необходимость нормативного регламентирования деятельности субъекта естественной монополии очевидна. В случае создания административных барьеров органами власти в виде нормативных актов, действий либо бездействий должностных лиц, противоречащих принципу обеспечения свободной конкуренции на рынке, где монополия не носит технологического характера, применяются меры антимонопольного регулирования в отношении органа власти как субъекта административных полномочий, поэтому как злоупотребление субъектом естественной монополии своим доминирующим положением на рынке, так и нарушение конкуренции со стороны органов власти не могут быть признаны легитимной экономической практикой, отвечающей целям и интересам рыночной экономики, а в конечном счете - интересам каждого потребителя.

Формы неценовой конкуренции в отраслях-монополиях могут практически отсутствовать, поскольку потребитель лишен альтернативы выбора потребности в услугах монополистов, тем более если это естественный монополист, не могут быть недооценены, потому что люди постоянно нуждаются в таких товарах, как газ, вода, электрическая энергия и т.п. продвижение и сбыт подобных товаров происходит, как правило, в отсутствие неценовой конкуренции.

Таким образом, монополизм на страховом рынке имеет противоречивые социально-экономические последствия. Однако одно является неопровержимым: он подрывает конкуренцию как основу рыночного саморегулирования. Поэтому одной из функций государства в современных условиях считается ограничение монополизма, поддержка конкурентной среды.

1.3 Государственное регулирование страхового рынка с позиций его монополизации

Под антимонопольным регулированием можно определить справедливые условия и правила конкурентной борьбы на страховом рынке, которое определяет государство. Рынок как конкурентная среда «требует» современных (актуальных), адекватных правил.

Сужение конкуренции зачастую происходит за счет захвата рынков отдельными экономическими агентами. Доминирование на страховом рынке пресекается инструментами антимонопольного регулирования. Правовое регулирование конкуренции на российском страховом рынке обеспечивается Законом «О защите конкуренции», постановлениями и распоряжениями Правительства Российской Федерации, нормативными правовыми актами, разъяснениями, письмами федерального органа антимонопольного надзора.

В России осуществление государственной политики по антимонопольному регулированию возложено на органы центральной исполнительной власти - Федеральную антимонопольную службу (ФАС), совместно со следующими федеральными органами: Федеральной службой по финансовым рынкам России, Центральным банком Российской Федерации, Федеральной службой страхового надзора, а также другими федеральными органами исполнительной власти. Кроме того, большое значение здесь имеет деятельность саморегулируемых организаций.

Антимонопольное законодательство Российской Федерации, основанное на Конституции Российской Федерации, Гражданском кодексе Российской Федерации, в настоящее время состоит из Федерального закона «О защите конкуренции», иных федеральных законов, регулирующих отношения и на страховых рынках. В настоящее время единственным Федеральным законом, регулирующим страховой рынок в Российской Федерации, является Федеральный закон «О защите конкуренции», подписанный Президентом РФ 26 июля 2006 года. Однако данный закон не является совершенным: в нем отсутствует целый ряд базовых определений, приводятся ссылки на нормативно-правовые акты, основанные на утратившем силу Федеральном законе № 117-ФЗ «О защите конкуренции на рынке финансовых услуг». В законе «О защите конкуренции» в меньшей степени уделено внимание страховому рынку, конкуренции на нем и антимонопольной деятельности на данном рынке, чем в утратившем силу законе. В соответствии с действующим законодательством предметом антимонопольного регулирования является предупреждение и пресечение монополистической деятельности и недобросовестной конкуренции.

Основными направлениями этой деятельности выступают: предотвращение ограничивающих конкуренцию действий со стороны органов государственной власти и управления; недопущение злоупотребления хозяйствующим субъектом доминирующего положения; пресечение ограничивающих конкуренцию соглашений или согласованных действий хозяйствующих субъектов; запрещение недобросовестной конкуренции; контроль за экономической концентрацией.

В российской практике термин «страховое регулирование» используется редко, чаще употребляется термин, закрепленный законодательно, - «страховой надзор». Под страховым регулированием понимают создание соответствующей нормативно-правовой базы и системы специфических мер, направленных на обеспечение устойчивого развития страхового рынка. К ним относится разработка и принятие законов, регламентирующих деятельность страховых организаций, а также принятие соответствующими учреждениями, уполномоченными государством, нормативных актов, регламентирующих функционирование субъектов страхового дела. Основным содержанием страхового надзора является контроль за соблюдением страхового законодательства. Фактически страховой надзор является направлением страхового регулирования. Можно привести следующее определение страхового надзора из учебной литературы: «Система нормативных требований, предъявляемых к деятельности субъектов страхового дела, контроля за их соблюдением и применения санкций.

Доминирующим положением страховой организации в соответствии с российским законодательством считается объем страховых услуг, предоставленных страховой организацией (несколькими страховыми организациями) на страховом рынке, дающий ей (им) возможность оказывать решающее влияния на общие условия предоставления страховых услуг на страховом рынке или затруднять доступ на этот рынок другим страховым организациям. Доминирующее положение страховой организации на страховом рынке определяется Приказом Федеральной антимонопольной службы РФ в соответствии с Федеральным законом «О защите конкуренции» в порядке, утверждаемом ФАС Российской Федерации и соответствующими федеральными органами исполнительной власти.

Можно выделить следующие функции пруденциального регулирования страховой деятельности:

) превентивную, предназначенную для минимизации рисковой деятельности субъектов страхового дела;

) защитную, призванную гарантировать интересы страхователей и других заинтересованных лиц в случае неисполнения страховщиками своих обязательств. В целом, государственное регулирование создает условия равного доступа всех участников рынка к ресурсам. Справедливые условия конкуренции исключают возможность искусственного доминирования отдельных субъектов, предотвращают конфликтов интересов всех участников страховых отношений. Государственное регулирование должно создать условия для эффективного функционирования всех субъектов страхового рынка. Это может быть достигнуто на основе формирования эффективной модели регулирования страховой деятельности, что обеспечить гармоничную интеграцию национального страхового рынка в мировой рынок.

2. Анализ тенденций монополизации на российском и зарубежном страховом рынке

2.1 Анализ динамики развития страхового рынка в период 2001-2012 гг

По данным Федеральной службы по финансовым рынкам (ФСФР), в едином государственном реестре субъектов страхового дела на 31 декабря 2012 года зарегистрированы 469 страховщиков, из них 458 страховые организации и 11 обществ взаимного страхования. Обобщены оперативные данные, полученные в электронном виде от 450 страховщиков, 7 не проводили страховые операции, 12 не представили статистическую отчетность по форме № 1-С «Сведения об основных показателях деятельности страховой организации за январь-декабрь 2012 года» по электронной почте.

Анализ рис. 2.1. показывает, что 6если в 2001 году на рынке было 1196 страховых организаций, то весь исследуемый период продолжилось сокращение числа действующих страховых организаций и составило в 2012 году уже 458 компаний. В 2011 году на рынке работало 572 компании. Соответственно, общее количество страховщиков за 2012 год сократилось на 19,9% или на 114 компаний.

Исследование позволило определить тенденцию сокращения числа страховых организаций в период с 2001 по 2012 гг (на 61,7%). Такая ситуация обусловлена следующими причинами. Во-первых, сокращение количества страховых организаций вызвано отзывом значительного числа лицензий в связи с ужесточением правил осуществления страховой деятельности, вводимых Федеральной налоговой службой и органами страхового надзора. Во-вторых, в настоящее время наблюдается тенденция концентрации капитала и раздела рынка, что имеет следствием объединение многих страховых компаний в страховые группы, формирование которых значительно ускорилось в связи с активным внедрением в страхование промышленно-финансового капитала. Этот факт, в свою очередь, повлиял на увеличение числа кэптивных страховщиков, т.е. страховых организаций, учрежденных промышленными и банковскими структурами.

Рис. 2.1. Динамика количества страховых организаций в 2001-2012 гг.

Согласно данным ФСФР, общая сумма страховых премий и выплат по всем видам страхования за 2012 год составила соответственно 809,06 и 369,44 млрд. руб. (121,0% и 121,0% по сравнению с 2011 годом). Темп роста страховых премий и выплат по обязательным видам страхования за 2012 год по сравнению с предыдущим годом рассчитан без учета обязательного медицинского страхования за 2011 год.

Динамика основных показателей страхового рынка РФ 2010-2012 г.г. представлена в таблице 2.1.

Таблица 2.1 Динамика поступлений и выплат на страховом рынке РФ 2010-2012 г.г. (по данным ФСФР)

Год

Поступления

Выплаты

Соотношение %


Поступления (тыс.руб)

% от показателя предыдущего года

Выплаты (тыс.руб)


2012

809 059 774

121,78

369 439 725

121,72

45,66

2011

664 370 163

119,24

303 524 533

103,06

45,69

2010

557 180 081

108,57

294 508 681

103,9

52,86


Как видно из таблицы 2.1 к концу 2012 г. сумма страховых поступлений составила к четвертому кварталу 80906000 тыс. руб., а размер выплат достиг порога в 30800000 тыс. руб. Причем темпы роста поступлений опережают темпы роста выплат. В 2012 году страховой рынок показал рост около 15-20%. Таким образом, ожидания о спаде поступлений не оправдались.

Более наглядно итоги представлены на рис. 2.2. и 2.3. Основные показатели страхового рынка к концу 2012 г. заметно выросли (см. рис. 2.2.).

Рис. 2.2. Динамика страхового рынка России за 2010-2012 г.г. (тыс. руб.)

Как и в предыдущие годы, наибольшие темпы роста продемонстрировали обязательные виды страхования. По итогам 2012 г. наиболее крупным сегментом рынка являлось страхование имущества с долей более 47%. Второй по объему вид страхования на отечественном рынке - личное страхование. В целом в структуре собранных премий в 2012 году у всех компаний первой десятки лидеров наибольшую долю по-прежнему составляет добровольное страхование имущества (46,1% от общего объема рынка).

В структуре рынка медицинского страхования в 2012 году доля ОМС составила 86,6%, доля ДМС по-прежнему значительно ниже - 13,4% (14,0% за 2011 год). В структуре страховых премий в 2012 году 18,5% пришлось на обязательные виды страхования (см. рис.2.3) (в том числе 15% составили премии по ОСАГО и 3,5% пришлось на остальные виды обязательного страхования) и 81,5% - на добровольные (в том числе 46.1% пришлось на страхование имущества, 22,5% - на личное страхование, 6,7% - на страхование жизни, 3,7% - на страхование ответственности, 2,5% - на страхование предпринимательских и финансовых рисков).

Рис.2.3. Структура российского страхового рынка в 2012 году по собранным премиям (без ОМС), %

2.2 Анализ процессов концентрации и монополизации страхового рынка в России

Одним из главных аргументом вступление в ВТО было повышение конкуренции на рынке. За 2012 г. концентрация отечественного страхового рынка увеличилась, так десятка крупнейших страховых компаний в 2012 году собрали: всего 57,09% премий; на сегменте КАСКО -74%; на сегменте иного имущественного страхования - 72,1%. Доля десяти крупнейших страховых компаний на рынке всего без ОМС в заключенных договорах составила 461 871 098 тыс. руб., а всего рынок составил 809 059 774 тыс. руб. А за тот же период соотношение собранных страховой премии к уровню ВВП РФ выросло до 1,2% в 2012 г.

Таблица 2.2 Доли страхового рынка крупнейших компаний по итогам 2012 г.

Страховые компании

Доля страхового рынка %

Доля страхового рынка

1

РОСГОССТРАХ

12,04

97 431 792

2

СОГАЗ

9,39

75 994 356

3

ИНГОССТРАХ

8,38

67 806 253

4

РЕСО-ГАРАНТИЯ

6,41

51 828 065

5

АЛЬФАСТРАХОВАНИЕ

4,22

34 159 505

6

ВСК

4,15

33 579 261

7

СОГЛАСИЕ

4,12

33 303 721

8

АЛЬЯНС

3,09

25 028 083

9

ВТБ СТРАХОВАНИЕ

2,82

22 786 630

10

2,47

19 953 432

Итого:

57,09

461 871 098

Остальные:

42,91

347 188 676

Всего по рынку:

100

809 059 774


Крупнейшие страховые компании России по объему страховых премий в 2012 году и их изменение по сравнению с 2011 годом представлены в таблице 2.3.

Таблица 2.3 Крупнейшие страховые компании России по объему страховых премий в 2012 году

Наименование страховой организации

Объем страховых премий в 2011 году, млн. руб.

Объем страховых премий в 2012 году, млн. руб.

Изменения, ( %)

1

«РОСГОССТРАХ»

84 304,69

97 431,79

15,57

2

«СОГАЗ»

54 921,39

75 994,36

38,37

3

«ИНГОССТРАХ»

52 769,33

67 806,25

28,5

4

ОСАО «РЕСО-ГАРАНТИЯ»

44 935,38

51 828,07

15,34

5

«АЛЬФАСТРАХОВАНИЕ»

28 233,28

34 159,51

21

6

СОАО «ВСК»

29 676,82

33 579,26

13,15

7

«СОГЛАСИЕ»

25 709,44

33 303,72

29,54

8

«АЛЬЯНС»

21 522,54

25 028,08

16,29

9

ООО СК «ВТБ Страхование»

8 530,85

22 786,63

167,11

10

ОАО «Страховая группа МСК»

19 424,71

19 953,43

2,72


Рост объемов страховых премий отмечается у всех компаний из десятки лидеров, но у отдельных страховщиков он был не значительным, что негативно отразилось на месте участника в рейтинге. Так, объем страховых премий в 2012 году компании «ВСК» вырос только на 13,15% (до 33,6 млрд. руб.), что определило ее позицию на шестом месте, тогда как по итогам 2011 года этот участник занимал пятую строчку. Одну позицию потеряла и компания «Страховая группа МСК», занявшая в обновленном рейтинге 10 место, а не 9, как это было по итогам 2011 года - объем премий в 2012 году вырос у этой компании только на 2,72% (до 19,95 млрд. руб.). Одновременно, значительный прирост объема страховых премий СК «ВТБ Страхование» (+167,11%) привел эту компанию в десятку лидеров 2012 года, где она заняла 9 место, отодвинув на 10 позицию «Страховую группу МСК» и вытеснив из списка Top10 компанию «Ренессанс Страхование», которая по итогам рейтинга 2011 года занимала 10 строчку.

В рейтинге 100 крупнейших страховщиков за 2012 год наибольший рост страховых премий произошел у компании ООО СК «БАСТИОН-ЛАЙН» - с 4,3 млн. руб. в 2011 году до 732,2 млн. руб. в 2012 году, что составляет 17 130,49%. А наибольшее снижение объема премий из Топ 100 (- 43,89%) зафиксировано у компании ООО «СТРАХОВОЕ ОБЩЕСТВО «МАЯК». В 2012 году объем страхового рынка, который пришелся на долю 50-ти крупнейших страховщиков, составил 86,84% страховых премий (или 702,59 млрд. рублей) от общей суммы собранных премий по всем видам страхования в целом по РФ, и 88,95% выплат (или 328,62 млрд. рублей). На 10 крупнейших страховых компаний в 2012 году приходилось 57,09% (или 461,87 млрд. рублей) собранных страховых премий и 62,83% выплат (или 232,14 млрд. рублей). На долю компаний вне топ-50 в 2011 году пришлось 13,16% страховых премий (106,47 млрд. рублей) и 11,05% выплат (40,81 млрд. рублей).


Рис. 2.4. Уровень концентрации рынка по итогам 2012 года по собранным премиям (без ОМС), %

В 2012 году продолжился дальнейший рост уровня концентрации рынка. Рыночная доля компаний из топ-50 увеличились по сравнению с 2011 годом на 2,37% (см. рис. 2.5).

Рис. 2.5. Динамика уровня концентрации российского страхового рынка. Рыночная доля компаний из топ-50, %

По данным ФСФР в 2012 году на отечественном рынке перестрахования работало 107 компаний. Их число сократилось на 24% по сравнению с данными за 2011 год (140 компаний).

В 2012 году лидером российского перестраховочного рынка стала компания СОГАЗ (15,2% от общего объема собранных премий в данном сегменте страхования), которая вытеснила на второе место Ингосстрах (11,3%). Последнее место в тройке лидеров по итогам 2012 года заняла компания Москва Ре (6,5%).

В 2012 году продолжился рост уровня концентрации российского перестраховочного рынка - рыночная доля компаний топ-10 выросла с 35% в 2007 году до 57% в 2012 году (см. рис. 2.6.).

Рис. 2.6. Динамика уровня концентрации российского перестрахового рынка. Рыночная доля компаний из топ-10, %

Лишь немногие средние и небольшие страховщики смогли достойно конкурировать с лидерами рынка. Основная причина - перераспределение спроса страхователей в пользу надежных компаний.

.3 Анализ функционирования страховых компаний, занимающих монопольное положение на рынке

Лидерами на рынке добровольного личного страхования (22,5% от общего объема рынка) в 2012 году стали СОГАЗ и «Дженерали ППФ Страхование жизни». Этими двумя участниками было собрано 20,79% от всего объема премий в данном сегменте страхования.

Лидерами в добровольном страховании ответственности (3,7%) по итогам 2012 года выступают «Ингосстрах» и «Росгосстрах» - ими собрано почти 23% от всего объема премий данного вида страхования.

На рынке обязательного страхования гражданской ответственности владельцев транспортных средств (ОСАГО) (15,0% от всего объема страхового рынка) по итогам 2012 года с сохраняющимся большим отрывом по объему собранных премий лидирует «Росгосстрах» (40.7 млрд. собранных премий), за ним следуют «Ингосстрах» (12.9 млрд. руб.) и РЕСО-Гарантия (10.7 млрд. руб.). Первые 10 компаний этого сегмента собрали 78% всех премий. В десятку крупнейших компаний по ОСАГО вошли также ВСК, «Страховая группа МСК», «АльфаСтрахование», СК «Согласие», «Альянс» (РОСНО), Страховая группа «УРАЛСИБ» и СОГАЗ.

В группу компаний «Росгосстрах» входят: ООО «Росгосстрах», ОАО «Росгосстрах», ООО СК «РГС-Жизнь» (страхование жизни <#"697293.files/image007.jpg">

Рис. 2.7. Доля СГ СОГАЗ на рынке по сборам (с учетом перестрахования, без учета ОМС)

Основными направлениями деятельности СОГАЗа являются имущественное корпоративное страхование с учетом автострахования (58,1%), в т.ч. страхование строительно-монтажных рисков (15%), а также добровольное медицинское страхование (28,7%). Их суммарная доля в страховом портфеле за 2012 год составила 86,8%.

Портфель имущественного страхования юридических лиц вырос на 38,6%. Общий объем сборов по СМР составил 11,9 млрд рублей (+36,5%), полученных преимущественно по долгосрочным договорам страхования. За 2012 год сборы по обязательному страхованию гражданской ответственности владельцев опасных объектов (ОС ОПО) составили 1,7 млрд рублей, что позволило Группе «СОГАЗ» занять второе место среди страховщиков в данном сегменте рынка страхования.

За 2012 год портфель добровольного медицинского страхования составил 22,8 млрд рублей с ростом 128% (см. рис. 2.8).

По итогам года Страховая Группа «СОГАЗ» стала крупнейшим страховщиком в области добровольного медицинского страхования, а также страхования имущества предприятий от огневых и иных рисков. Кроме того, по данным «Эксперт РА», СОГАЗ стал лидером в страховании строительно-монтажных рисков и страховании предпринимательских рисков.

Рис. 2.8. Доли видов страхования по рынку и Группе СОГАЗ в 2012 году (с учетом перестрахования, без учета ОМС)*

монополистический страховой рынок имущественный

По итогам 2012 года ОСАО «Ингосстрах» увеличило сбор премии по прямому страхованию и рискам, принятым в перестрахование, на 27,9% по сравнению с результатами 2011 года - до 71,7 млрд рублей. По прямому страхованию сборы ОСАО «Ингосстрах» выросли на 28,5% и составили 67,8 млрд рублей. Основной прирост доли рынка ОСАО «Ингосстрах» произошел за счет следующих видов: автоКАСКО, ОСАГО, медицинского страхования.

В 2012 году развитие бизнеса ОСАО «Ингосстрах» на рынке добровольного страхования (кроме страхования прочего имущества юридических и физических лиц, финансовых рисков, страхования воздушного и водного транспорта) осуществлялось темпами, опережающими общерыночные.

ОСАО «Ингосстрах» является универсальным страховщиком, оказывает услуги как юридическим, так и физическим лицам. Согласно отчетности ФСФР России, по итогам 2012 года ОСАО «Ингосстрах» занимает третье место после группы компаний «Росгосстрах» и компании «СОГАЗ» по объему прямой страховой премии (без ОМС). По добровольному страхованию ответственности Компания является лидером. В страховании имущества в 2012 году ОСАО «Ингосстрах» занимает третье место (после компаний «Согаз» и «Росгосстрах»). В добровольном личном страховании в 2012 году ОСАО «Ингосстрах» занимает 6-ую позицию с долей рынка 4,5%. На рынке ОСАГО Компания в 2012 году поднялась на второе место (обогнав компанию «Ресо-Гарантия») с долей рынка 10,0%.

По итогам 2012 года на долю страхования за счет физических лиц приходится 57,2% от совокупной прямой страховой премии (против 49,8% в 2011 году). Общий объем премии по страхователям - физическим лицам за 2012 год составляет 38,7 млрд рублей (см. таблиц 2.4).

Таблица 2.4 Основные показатели деятельности ОСАО «Ингосстрах» по прямому страхованию (млрд рублей)

Виды страхования

2012

2011

Прирост к 2011 г.

Доля рынка 2012 г

Страховая премия (всего):

67,8

52,8

28,5%

8,3%

по добровольному страхованию:

54,9

45,0

22,2%

8,3%

по личному (кроме страхования жизни)

8,3

6,3

31,9%

4,5%

по имущественному (кроме страхования ответственности)

43,0

35,6

20,6%

10,9%

по страхованию ответственности

3,7

3,1

20,2%

12,2%

по обязательному страхованию (кроме ОМС), в том числе:

12,9

7,8

64,9%

8,6%

по ОСАГО

12,2

7,8

55,7%

10,0%


Лидерство ОСАО «Ингосстрах» в указанных сегментах обусловлено прочными позициями в корпоративном страховании, автостраховании и страховании специальных рис ков.



2.4 Сравнительный анализ деятельности антимонопольной службы РФ и США на страховом рынке

Осуществление функций страхового регулирования и страхового надзора в нашей стране разделено на установление правовых норм и их применение. Федеральная служба страхового надзора (Росстрахнадзор, ФССН) - федеральный орган исполнительной власти, находившийся в ведении Министерства финансов <#"697293.files/image009.gif"> = 100%).

Согласно методике ФАС России, положение страховой организации в общем случае признается доминирующим, если ее доля за отчетный период превышает на соответствующем федеральном рынке страховых услуг 10% или на региональном - 25% (на рынке банковских услуг - 20%). Однако, ни в одном нормативно-правовом акте не приводится обоснование таких пороговых значений критериев доминирования страховых организаций на соответствующих рынках страховых услуг.

Таким образом, применяемая Федеральной антимонопольной службой России методика определения доминирующего положения страховой организации на соответствующем рынке не является эффективной.

В отечественной практике антимонопольной деятельности применяется также расчет рыночной концентрации. Рыночная концентрация (степень преобладания на рынке одной или нескольких крупных организации) определяется с помощью коэффициента концентрации (CR) и индекса Херфиндаля-Хиршмана (HHI). Уровень концентрации влияет на поведение фирм (организаций) на рынке: чем выше уровень концентрации, тем в большей степени фирмы (организации) зависят друг от друга.

Индекс концентрации измеряется как сумма рыночных долей крупнейших фирм, действующих на рынке, и рассчитывается по формуле 2.

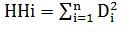
Индекс Херфиндаля-Хиршмана - это показатель интенсивности конкуренции, который определяется как сумма квадратов долей всех фирм, действующих на рынке, рассчитываемый по формуле 3.

Анализ показывает, что при низкой концентрации имеет место рост цен на соответствующие услуги. Поэтому, ни индекс концентрации (CRk), ни индекс Херфиндаля-Хиршмана (HHI) не являются абсолютно эффективными критериями выявления монополизма на страховых рынках. Среди признаков ограничения конкуренции на страховом рынке в соответствии с российским законодательством можно выделить (см. таблица 3.1). Также необходимо отметить запрет на установление вертикальных соглашений, т.е. соглашений между хозяйствующими субъектами, которые не конкурируют между собой, один из которых приобретает товар или является его потенциальным приобретателем, а другой представляет товар или является его потенциальным продавцом.

Вид признака

1

рост цен страховых услуг, не связанных с соответствующими изменениями иных общих условий на рынке страховых услуг;

2

сокращение числа хозяйствующих субъектов, не входящих в одну группу лиц на страховом рынке;

3

отказ хозяйствующих субъектов, не входящих в одну группу лиц, от самостоятельных действий на страховом рынке;

4

определение общих условий обращения товара (страховой услуги) на страховом рынке соглашением между хозяйствующими субъектами или в соответствии с обязательными для исполнения ими указаниями иного лица, либо в результате согласования хозяйствующими субъектами, не входящими в одну группу лиц, своих действий на страховом рынке;

5

иные обстоятельства, создающие возможность для хозяйствующего субъекта или нескольких хозяйствующих субъектов, домохозяйств в одностороннем порядке воздействовать на общие условия предоставления услуги на страховом рынке.

Рис. 3.1. Признаки ограничения конкуренции на страховом рынке в соответствии с российским законодательством

Однако страховой пул представляет собой ни что иное как соглашение между страховыми компаниями о разделении риска (ответственности). «Основу деятельности страхового пула составляют соглашения между участвующими в нем страховщиками, которые определяют совокупное собственное удержание пула (размер страховой суммы или максимально возможного убытка - в зависимости от условий страхования), общие и особенные условия страхования, размер страхового тарифа, перечень принимаемых на страхование рисков, порядок урегулирования убытков».

Мировая практика страхования доказала необходимость и обоснованность создания специальных отраслевых пулов (ядерные, экологические страховые пулы и др.). В соответствии с действующим Законом такие соглашения должны создаваться при условии уведомления антимонопольных органов на основе разрешительной процедуры. Аналогичная картина складывается при создании профессиональных союзов - объединений страховщиков.

.2 Совершенствование антимонопольной деятельности государства в страховании

Российские страховые организации допускают различные виды нарушений антимонопольного законодательства - в области ценообразования, взаимодействия с кредитными организациями, деятельности по обязательным видам страхования.

Деятельность ФАС связана с реализацией постановления Правительства Российской Федерации от 30.04.2009 № 386 «Об утверждении Общих исключений в отношении соглашений между кредитными и страховыми организациями», действие которого предполагается продлить по истечении его первоначального срока.

Важный вопрос - требования к саморегулируемым организациям и объединениям страховщиков, осуществляющих обязательные виды страхования. Для всех объединений, которые сейчас в единственном числе работают на соответствующих рынках обязательных видов, принципы их формирования и условия их деятельности должны включаться в закон, а не разрабатываться страховщиками самостоятельно. Как показывает опыт предыдущих лет, это всегда приводит к тому, что одни участники рынка тогда подавляют других, нарушается конкуренция. Чтобы этого не было, при введении нового вида обязательного страхования нужно включать в закон все условия деятельности союза или объединения, если такое планируется в данном виде страхования. Для борьбы с демпингом на страховом рынке необходимо проанализировать финансовое положение организации, актуарные расчеты, подсчитан технический тариф, оценены финансовые показатели и определить, является ли данный тариф демпингом. Нельзя рассматривать тариф только по отдельному виду страхования, нужно оценивать деятельность страховой компании в целом. Оценка финансового положения страховщика должна быть на уровне той, которую сейчас проводит Центробанк в отношении кредитных организаций. Если такая система будет создана, можно будет говорить о выявлении и пресечении демпинга как формы недобросовестной конкуренции.

В предыдущем параграфе было выявлено, что в важной проблемой регулирования является сложность расчета степени концентрации страхового рынка, поэтому можно предложить более строгий критерий - комплексный критерий выявления монополизма на страховых рынках HHSPI. Данный показатель предлагается рассчитывать как произведение индекса Херфиндаля-Хиршмана (HHI) и интегрального индекса изменения цен на страховые услуги (ИИЦ) (формула 4) (см. Приложение 1). Комплексный критерий выявления монополизма на страховых рынках характеризует уровень монополизации рынка страховых услуг в зависимости от числа страховых организаций, осуществляющих деятельность в границах соответствующего рынка страховых услуг, от степени неравенства между ними, а также с учетом роста цен на соответствующие страховые услуги, скорректированные на уровень инфляции.

С целью совершенствования антимонопольной деятельности в страховании государство должно предпринять ряд действий, направленных на децентрализацию регулирования, в частности:

Необходимо разработать нормативно-правовой документ, объединивший бы в себе весь понятийный аппарат, раскрывающий сущность и структуру страхового рынка, а также государственные меры по защите конкуренции на рынке страховых услуг (например, Закон «О страховых рынках в РФ и защите конкуренции на них»). Необходимо разработать и утвердить эффективные критерии выявления монополизма на страховых рынках России. В качестве одного из них как раз и предлагается комплексный критерий выявления монополизма на страховых рынках (HHSPI).

Следует принять соответствующие меры в части совершенствования структуры органов государственной власти, отвечающих за регулирование, контроль и надзор страховых рынков - предлагается в рамках ФАС России организовать структурное подразделение - Комитет по антимонопольному регулированию на страховом рынке России, подотчетный и подконтрольный ФАС России и имеющий свои представительства во всех субъектах Российской Федерации, призванный способствовать повышению конкуренции, недопущению и пресечению недобросовестной конкуренции и монополистической деятельности на рынках страховых услуг России. В функции данного Комитета должны входить не только анализ и мониторинг страховых рынков России, но и разработка эффективных методик и критериев выявления монополизма на данных рынках. Действовать такой комитет должен в тесной координации с ФСФР России.

Для обеспечения практической реализации комплекса мер по реформированию системы информационного обеспечения и статистики страхового рынка предлагается создание служб мониторинга и статистики рынка страховых услуг при территориальных органах Федеральной службы государственной статистики в регионах и их сотрудничество с Комитетом по антимонопольному регулированию на страховом рынке России (рис. 3.2).























Рис. 3.2. Взаимодействие органов антимонопольного регулирования страхового рынка России и системы информационного обеспечения и статистики рынка страховых услуг России

Предлагается также создание информационного сайта по страховым рынкам России с целью повышения эффективности контроля концентрации на страховых рынках, а также для повышения прозрачности и привлекательности федеральных и региональных рынков страховых услуг.

Важно подчеркнуть, что создание эффективной системы информационного обеспечения и статистики рынка страховых услуг позволит не только увеличить информационную прозрачность деятельности страховых организаций, повысить инвестиционную привлекательность соответствующих рынков страховых услуг, как для отечественных, так и для зарубежных инвесторов, и тем самым снизить вероятность монополизации страховых рынков, повысить уровень конкуренции, качества соответствующих страховых услуг для повышения эффективности экономики и качества жизни.

.3 Проектирование схем классификаций отраслей страхования

На рис. 3.3. и 3.4. представлена схема классификации отраслей страхования имущества и гражданской ответственности.

Экономические отношения при страховании гражданской ответственности обусловлены различными факторами риска и условиями функционирования, жизнедеятельности организаций, предприятий и граждан. Это предопределяет их специфику и необходимость разделения на отдельные подотрасли страхования, обоснования и разработки для каждой из них определенных методов страховой защиты. Каждая подотрасль отражает конкретные интересы отдельных категорий страхователей и определенные группы рисков законной ответственности.

По всеобщей классификации страховых отношений в отрасли «Страхование гражданской ответственности» выделяются три подотрасли: страхование прямой ответственности юридических и физических лиц, страхование ответственности перевозчиков и страхование ответственности предприятий (см. рис.3.3).

Построение схемы страхования имущества также базируется на выделении страхование имущества физических и юридических лиц (рис. 3.4). Имущественное страхование на сегодняшний день является наиболее обширной отраслью страхового рынка, включая в себя целый комплекс видов страхования (страхование грузов, всех видов транспорта, имущества физических и юридических лиц, залогового имущества, страхование ипотеки и т. д.). Объединены данные подвиды в одну отрасль из-за общности объектов страхования, на которые направлена защита, а именно - имущество и имущественные права страхователей. Не удивительно, что при таком многообразии подвидов страхование имущества сегодня занимает наиболее значительный сегмент страхового рынка: его доля уже превысила 70%.

Рис. 3.2. Всеобщая схема классификации страхования гражданской ответственности

Рис. 3.3. Всеобщая схема классификации страхования имущества

Заключение

По результатам исследования можно сделать следующие выводы:

Исследование сущности и видов монополий позволило сделать вывод, что под монополией понимают ситуацию на рынке, при которой отсутствует конкуренция на стороне предложения, т.е. имеется лишь один продавец. Выделяют различные виды монополий (государственные, административные, рыночные), среди которых особое внимание необходимо уделять монополиям, деятельность которых регулируется государством, к таким относятся и монополии в сфере страхового рынка, хотя они не защищены от конкуренции, а потому должны подчиняться общим правилом (принципам) рыночной экономики и предпринимательства.

К основным социально-экономическим последствиям монополистической деятельности для страхового рынка можно отнести:

Положительные последствия: получаемая сверхприбыль позволяет финансировать дорогостоящие НИОКР, монополия может расчленять рынок на разные сектора, предлагая разным группам покупателей дифференцированные цены, наличие монопольных структур - показатель состояния зрелости страхового рынка

Отрицательные последствия: монополист производит продукцию в меньших объемах и продает ее по более высокой цене, чем это могли бы делать конкуренты, присвоение высоких прибылей за счет искусственного повышения цен представляет, по сути, возможность облагать потребителей «частным налогом», возникновение X-неэффективности - достигая чрезмерной власти на рынке, монополия ликвидирует конкурентов, что приводит к устранению атмосферы постоянной борьбы за потребителя (исчезает потребность снижать издержки, сокращается основа для экономии ресурсов), отсутствует минимизация средних издержек производства.

Исследование вопросов государственного регулирования страхового рынка с позиций его монополизации позволило сделать вывод, что главной задачей регулирования антимонопольной деятельности служит недопущение монополизации рынков и поддержание на них здоровой конкуренции. В международном опыте принято выделять ряд основных методов антимонопольного регулирования: (а) административное (законодательное) регулирование, (б) регулирование доступа на рынок и контроль над рыночной концентрацией; (в) методы нормативно-ориентирующего воздействия, (г) антимонопольный контроль.

Анализ динамики развития страхового рынка в период 2001-2012 гг показал, что на рынке продолжается сокращение числа действующих компаний. В едином государственном реестре субъектов страхового дела на 31 декабря 2012 года зарегистрировано 458 страховых организаций, из которых 12 не представили статистическую отчетность о своей деятельности. По состоянию на конец 2011 года на рынке действовало 572 компании, т.е. общее количество страховщиков сократилось на 19,9% или 114 компаний. Количество компаний, которые находятся на страховом рынке, но не собирают страховые премии (без учета ОМС) сократилось с 59 в 2011 году до 52 в 2012 году.

Анализ процессов концентрации и монополизации страхового рынка в России показал, что ТОП-10 компаний в 2012 году собрали 58,1% премий на рынке всего без ОМС, 74,1% - на рынке КАСКО; 70,6% - на рынке имущественного огневого страхования; 79,0% - на рынке. Доля ТОП-10 крупнейших компаний в выплатах на рынке всего без ОМС составила 65,2%, в заключенных договорах - 57,0%.

Анализ функционирования страховых компаний, занимающих монопольное положение на рынке, выявил, что лидерами на рынке добровольного личного страхования (22,5% от общего объема рынка) в 2012 году стали СОГАЗ и «Дженерали ППФ Страхование жизни». Этими двумя участниками было собрано 20,79% от всего объема премий в данном сегменте страхования. Лидерами в добровольном страховании ответственности (3,7%) по итогам 2012 года выступают «Ингосстрах» и «Росгосстрах» - ими собрано почти 23% от всего объема премий данного вида страхования.

На рынке обязательного страхования гражданской ответственности владельцев транспортных средств (ОСАГО) (15,0% от всего объема страхового рынка) по итогам 2012 года с сохраняющимся большим отрывом по объему собранных премий лидирует «Росгосстрах» (40.7 млрд. собранных премий), за ним следуют «Ингосстрах» (12.9 млрд. руб.) и РЕСО-Гарантия (10.7 млрд. руб.). Первые 10 компаний этого сегмента собрали 78% всех премий. В десятку крупнейших компаний по ОСАГО вошли также ВСК, «Страховая группа МСК», «АльфаСтрахование», СК «Согласие», «Альянс» (РОСНО), Страховая группа «УРАЛСИБ» и СОГАЗ.

Сравнительный анализ деятельности антимонопольной службы РФ и США на страховом рынке выявил, что в РФ осуществление функций страхового регулирования и страхового надзора в нашей стране разделено на установление правовых норм и их применение. Федеральная служба страхового надзора являлась в 2004 <#"697293.files/image012.gif">, (1)

где Di - доля страховой организации и/или ее филиалов в суммарном обороте страховых услуг, предоставленных всеми страховыми организациями и/или их филиалами в установленных границах соответствующего рынка страховых услуг;- оборот страховых услуг, предоставленных страховой организацией и/или ее филиалами в установленных границах соответствующего рынка страховых услуг;

 - суммарный оборот страховых услуг, предоставленных всеми страховыми организациями и/или их филиалами в установленных границах соответствующего рынка в установленных границах соответствующего рынка страховых услуг;

п - количество страховых организаций, предоставляющих страховые услуги в установленных границах соответствующего рынка страховых услуг.

, (2)

где CRk - индекс концентрации;- рыночная доля i-той фирмы (организации);- число фирм (организаций), для которых высчитывается этот показатель.

, (3)

где HHi - индекс Херфиндаля-Хиршмана;- доля i-ой организации в общем объеме реализации продукции (услуг) заданного ассортимента (либо в долях единицы, либо в процентах);- число организаций, для которых высчитывается индекс Херфиндаля-Хиршмана.

, (4)

где HHSPI - комплексный критерий выявления монополизма на страховом рынке;

ИИЦ - интегральный индекс изменения цен;- индекс Херфиндаля-Хиршмана.

 , (5)

где ИИЦ - интегральный индекс изменения цен;- доля j-ой страховой услуги в общем обороте страховых услуг, предоставленных всеми страховыми организациями и/или их филиалами в установленных границах соответствующего рынка страховых услуг;

 - изменение индекса цен на j-ую страховую услугу;- количество страховых услуг, предоставляемых страховыми организациями в установленных границах соответствующего рынка страховых услуг.

В данной формуле  может принимать и положительные, и отрицательные значения.



где dj - доля j-ой страховой услуги в общем обороте страховых услуг, предоставленных всеми страховыми организациями и/или их филиалами в установленных границах соответствующего рынка страховых услуг (Sdj = 1);- оборот j-ой страховой услуги, предоставленной всеми страховыми организациями и/или их филиалами в установленных границах соответствующего рынка страховых услуг;

 - суммарный оборот всех страховых услуг, предоставленных всеми страховыми организациями и/или их филиалами в установленных границах соответствующего рынка страховых услуг;- количество страховых услуг, предоставляемых страховыми организациями в установленных границах соответствующего рынка страховых услуг.

Доля j-ой страховой услуги в общем обороте страховых услуг, предоставленных всеми страховыми организациями и/или их филиалами в установленных границах соответствующего рынка страховых услуг, определяется в долях единицы, в сумме доли m-услуг должны составлять единицу. Рассчитав dj для m-услуг, можно оценить, структуру страхового рынка по видам страховых услуг.

, (7)

где - изменение индекса цен на j-ую страховую услугу;

 - индекс цен на j-ую страховую услугу в отчетном периоде в сравнении с сопоставимым периодом и в периоде, предшествующем отчетному, в сравнении с сопоставимым периодом;

, - цена j-ой страховой услуги, предоставленной i-ой страховой организацией в сопоставимом периоде, в отчетном периоде и в периоде, предшествующем отчетному;

- объем j-ои страховой услуги, предоставленной i-ой страховой организацией в отчетном периоде и в периоде, предшествующем отчетному;- количество страховых организаций, предоставляющих страховые услуги в установленных границах соответствующего рынка страховых услуг.

В формуле 7 величины  - это цены j-ой страховой услуги, предоставленной i-ой страховой организацией в отчетном периоде и периоде, предшествующем отчетному, соответственно, выраженные в ценах сопоставимого периода (с учетом инфляции). То есть они представляют собой цены, скорректированные на величину инфляции.

Тогда величина , рассчитываемая, как разница  , покажет, вызвано ли изменение цен на j -тую страховую услугу только инфляцией или другими, не зависящими от инфляции, факторами. Это связано с тем, что  - это величина, на которую изменится индекс цен на j-тую страховую услугу в отчетном периоде в сравнении с предшествующим ему периодом по причинам, не связанным с инфляцией.

Похожие работы на - Анализ проблем монополизации страхового рынка в России и зарубежных странах

 

Не нашли материал для своей работы?
Поможем написать уникальную работу
Без плагиата!
Без нейросетей!