Організація евакуаційних заходів

  • Вид работы:
    Контрольная работа
  • Предмет:
    Безопасность жизнедеятельности
  • Язык:
    Украинский
    ,
    Формат файла:
    MS Word
    428,62 Кб
  • Опубликовано:
    2014-01-26
Вы можете узнать стоимость помощи в написании студенческой работы.
Помощь в написании работы, которую точно примут!

Організація евакуаційних заходів

МІНІСТЕРСТВО ОСВІТИ І НАУКИ, МОЛОДІ ТА СПОРТУ УКРАЇНИ

Кафедра Охорони праці та БЖД








КОНТРОЛЬНА РОБОТА

з дисципліни

Цивільний захист

План

 

1. Теоретична частина. Організація евакуаційних заходів

2. Розрахункова частина

Задача 1. Оцінка стійкості роботи промислового об’єкту до дії урагану

Задача 2. Визначення дози опромінення

Задача 3. Визначення тривалості роботи на радіоактивно забрудненій місцевості

Задача 4. Прогнозування обстановки при аварії на хімічно-небезпечному об’єкті

Задача 5. Оцінка інженерного захисту робітників та службовців промислового об'єкту

Література

1. Теоретична частина. Організація евакуаційних заходів

Залежно від умов, що склалися, евакуацію проводять в межах окремого регіону з території, котра може зазнати впливу НС техногенного чи природного характеру, або з міст і промислових районів - у разі загрози виникнення війни. Переміщення великої кількості людей за короткий термін у складних умовах та на значні відстані вимагає організованості та керованості процесом на всіх його етапах із метою своєчасного проведення і запобігання виникненню паніки та недопущення загибелі людей.

Під час планування евакуаційних заходів у особливий період прогнозують очікувану обстановку, визначають межу зони можливих сильних руйнувань (на межі цієї зони очікується? Рф = 30 кПа) і межу зони можливих слабких руйнувань (? Рф = 10 кПа). Разом ці зони утворюють зону можливих руйнувань. Населення міст евакуюють із зони можливих сильних руйнувань у заміську зону - місцевість поза зоною можливих руйнувань, поза зонами можливого небезпечного хімічного, радіактивного зараження, катастрофічного затоплення.

Населення із зони можливих слабких руйнувань не евакуюють, оскільки щільність населення невелика та є можливість захистити людей у місцях проживання.

Населення, що підлягає евакуації, поділяють на дві категорії. До першої належать працівники та службовці, що будуть працювати під час війни на підприємствах і в установах, продукція яких потрібна для оборони, а також працівники комунальних підприємств міста. Захист людей зі зміни, яка працює, забезпечують у сховищах на об’єктах. Захист членів сімей та людей з інших змін забезпечують у заміській зоні. Для цієї категорії населення евакуаційні заходи називають розосередженням працівників та службовців, що діють за принципом: жити за межами міста, працювати в місті. Тому для них райони розміщення призначають ближче до міста, поряд із транспортними магістралями з урахуванням того, щоб час проїзду на роботу й назад у заміську зону не перевищував 4-5 годин.

Евакуацією називають вивезення або виведення з міста в заміську зону решти населення, тобто працівників та службовців об’єктів, що припиняють роботу під час війни або переносять її в заміську зону, та незайнятого у сфері виробництва та обслуговування населення. Евакуйоване населення мешкає в заміській зоні до особливого розпорядження.

Розосередження та евакуацію проводять у період загрози нападу ворога, безпосередньої загрози НС такими способами:

вивезення населення транспортом;

виведення пішки;

комбінованим, за якого виведення з міста пішки поєднують із вивезенням деяких категорій населення. Транспортом вивозять працівників об’єктів, що функціонують, формування ЦЗ, інвалідів, хворих, жінок з дітьми до 10 років.

Після розосередження та евакуації в містах залишається лише зміна, що працює.

Розосередження та евакуацію працівників, службовців, членів їх сімей планують та організовують за територіально-виробничим принципом, тобто працівники - за об’єктами господарювання, а населення, що не має стосунку до виробництва, - за місцем проживання, через житлово-експлуата­ційні організації.

Евакуйоване населення, працівників та службовців підприємств, що функціонують, розмішують у заміській зоні на житловій площі місцевих мешканців, у клубах, пристосованих для проживання службових та виробничих будівлях, будинках відпочинку, пансіонатах, дачних селищах. Евакуйоване населення розміщують у віддаленіших районах.

Для безпосереднього керування підготовкою та проведенням евакозаходів створюють евакуаційні органи, до яких належать: у містах - міські, районні та об’єктові евакуаційні комісії (ЕК); збірні евакуаційні пункти (ЗЕП); у сільських районах - евакоприймальні комісії (ЕПК), приймальні евакуаційні пункти (ПЕП) та проміжні пункти евакуації (ППЕ).

Евакуаційні комісії та ЕПК здійснюють планування, підготовку, організацію та керівництво проведенням евакозаходів.

Збірні евакуаційні пункти призначено для організації збору, реєстрації, обліку та відправлення міського населення в заміську зону. Їх розмішують поблизу станцій, пристаней, пунктів посадки на транспорт. Приблизний склад ЗЕП: керівник, його заступник, групи - оповіщення, реєстрації та обліку, охорони громадського порядку, комендант і чергові, голови ешелонів (колон). В евакуаційному пункті організовують медичний пункт, кімнату матері та дитини, стіл довідок. До ЗЕП приписують заздалегідь визначені об’єкти та частину населення.

Приймальні евакуаційні пункти створюють для прийому та розселення в заміській зоні міського населення. Їх розташовують поблизу станцій, пунктів висадки населення. Приблизний склад адміністрації ПЕП такий самий, що й ЗЕП.

Проміжні пункти евакуації організовують для прийому й тимчасового розміщення населення, що евакуюється з міста пішки, та подальшого доправлення його транспортом до місць розселення.

За комбінованого способу частину населення вивозять транспортом, частину виводять пішки.

Населення, що евакуюється пішки, поділяють на колони по 500-1000 осіб, а колони - на групи по 30-50 осіб. Керівники об’єктів призначають начальників колон та головних у групах. Колони пересуваються пішки дорогами, незайнятими рухом автомобілів, та іншими маршрутами. На пішохідний маршрут призначають начальника маршруту з групою керування, засобами зв’язку (1-2 радіостанції, 2-3 мотоцикли, 1-2 автомобілі), представниками служби охорони громадського порядку, формуваннями медичної служби. Рух піших колон планують, за­звичай, на відстань одного добового переходу до ППЕ (35-40 км). Від ППЕ до ПЕП і далі до пунктів розміщення населення перевозять транспортом сільських районів (на невеликі відстані населення може прямувати пішки).

Швидкість руху піших колон становить 4-5 км/год, відстань між колонами - до 500 м. Для відпочинку людей через кожні півтори - дві години призначають невеликі привали по 10-15 хвилин, а на початку другої половини добового переходу - великий привал на 1-2 години. Місця привалів, особливо великих, обирають з урахуванням захисних властивостей місцевості, наявності водних джерел, медичних пунктів. Для регулювання руху колон призначають вихідний пункт (зазвичай, за межею міста, для регулювання початку руху) та пункти регулювання на маршруті. Кожна колона через ці пункти має проходити в установлений для неї час. На маршрутах створюють медичні пункти, а в холодну пору в місцях привалів та на ППЕ - пункти обігрівання.

Отримавши розпорядження про проведення евакозаходів, керівники ЦЗ об’єктів господарювання спільно з евакуаційними комісіями, службами ЦЗ оповіщають працівників, службовців, членів їх сімей про час прибуття на ЗЕП.

Під керівництвом евакуаційних (евакоприймальних) комісій районів розгортають ЗЕП, ПЕП, ППЕ і приводять їх у готовність. Керівники органів транспорту приводять у готовність станції, пункти та пристані посадки й висадки людей, транспортні засоби, формують потяги та автоколони (по 20-30 автомобілів) та організовують вивезення населення відповідно до графіка руху потягів, автоколон.

Отримавши розпорядження про евакуацію, громадяни мають зібрати потрібні речі: засоби індивідуального захисту, продукти харчування на 2-3 дні, запас питної води, аптечку, гроші, документи (паспорт, диплом, військовий квиток, трудову книжку, пенсійне посвідчення, свідоцтво про шлюб та народження дітей), підготувати до евакуації дітей дошкільного віку. У квартирі треба зняти гардини та завіси з вікон, сховати в темні місця легкозаймисті речі. Перед виходом на ЗЕП вимкнути газ, електричні пристрої, зачинити всі кватирки, двері. У зазначений час прибути на ЗЕП, надалі чітко виконувати вказівки евакуаційних органів, дотримуватися дисципліни.

Прибуле міським транспортом на ЗЕП населення реєструють, розподіляють на потяги (автоколони, судна), у піші колони. Після прибуття на станцію (пункт) висадки населення реєструють на ПЕП та розселяють за вказівкою адміністрації цього пункту. Самовільно залишати місце розселення не дозволяється. Місцеві органи влади, керівники підприємств вживають заходів щодо працевлаштування міського населення та життєзабезпечення евакуйованих.

Проведення заходів з евакуації вимагає всебічного забезпечення, яке включає: протирадіаційний та протихімічний захист, медичне, матеріальне, технічне, транспортне забезпечення та охорону громадського порядку, що організовують служби ЦЗ під керівництвом начальника ЦЗ об’єкта.

Для протирадіаційного та протихімічного захисту передбачено:

укриття в захисних спорудах поблизу ЗЕП, ПЕП, ППЕ, станцій (пунктів) посадки та висадки та вздовж маршруту евакуації пішки;

забезпечення засобами індивідуального захисту;

проведення радіаційної, хімічної та бактеріологічної розвідки;

своєчасне доведення сигналів керування та оповіщення;

організацію дозиметричного, хімічного та бактеріологічного контролю, санітарного оброблення та знезараження.

Медичне забезпечення евакуаційних заходів організовують на всіх етапах розосередження та евакуації населення. На ЗЕП, ПЕП, ППЕ створюють медичні пункти у складі двох-трьох медичних працівників, однієї-двох ланок санітарних дружин, а в необхідних випадках - лікаря. Вони зобов’язані надавати невідкладну медичну допомогу хворим, виявляти та ізолювати інфекційних хворих із подальшою евакуацією їх у медичні заклади.

евакуаційний захід аварія ураган

Матеріальне забезпечення - це забезпечення транспортних та інших машин, які використовують для евакуаційних перевезень, пальним, мастилами та іншими матеріалами, а населення - харчами та предметами першої необхідності. У заміській зоні постачання організовують через місцеві органи торгівлі та громадського харчування.

Технічне забезпечення - це організація технічного обслуговування, поточного ремонту транспортних засобів та іншої техніки, постачання запчастин та ремонтних матеріалів. До виконання цих заходів залучають формування технічної служби (рухомі ремонтно-відновлювальні, евакуаційні групи) ремонтні підприємства, станції технічного обслуговування.

Транспортне забезпечення - це планування, організація та виконання евакуаційних перевезень.

Для підтримки громадського порядку на об’єктах, ЗЕП, ПЕП, ППЕ, станціях (пристанях, пунктах) посадки та висадки, у місцях розселення в заміській зоні встановлюють пости охорони громадського порядку, організовують патрулі. До виконання цих заходів залучають формування охорони громадського порядку (команди та групи), що створюються за рахунок відомчої воєнізованої та сторожової охорони і добровільних дружин.

2. Розрахункова частина


Задача 1. Оцінка стійкості роботи промислового об’єкту до дії урагану


Оцінити стійкість роботи промислового об’єкту до дії урагану силою 14 балів і скласти таблицю результатів оцінки стійкості.

Вихідні дані: сила урагану - 14 балів.

Елементи об’єкту та його характеристика:

Триповерховий залізобетонний будинок.

Верстати середні.

Комп’ютерний клас.

Стрічковий конвеєр.

Електродвигун потужністю 2 кВт.

Кабельні наземні лінії.

Розв'язання

. За таблицею класифікації ступеню руйнувань будівель та споруд при виробничих аваріях та стихійних лихах визначаємо надлишковий тиск, викликаний ураганом силою 14 балів

ΔРmax = 25 кПа.

. Визначаємо основні елементи об’єкта, які впливають на стійкість його роботи, їхня характеристика складається на основі вивчення технічної і будівельної документації. Елементи, зазначені у вихідних даних, заносимо до табл. 1.1. "Результати оцінки стійкості промислового об’єкту до впливу урагану 14 балів".

Елементи об’єкта

Руйнування


Слабкі

Середні

Сильні

Повні

Триповерховий залізобетонний будинок

10-20

20-35

35-45

45-60

Верстати середні

15-25

25-35

35-45

45-60

Комп’ютерний клас

6-12

12-15

15-25

25-35

Стрічковий конвеєр

5-10

10-20

20-50

50-70

Електродвигун потужністю 2 кВт.

30-50

50-70

70-80

80-90

Кабельні наземні лінії

10-30

30-50

50-60

60-80


. За таблицею ступеня руйнувань елементів об’єктів (підприємств) при різних надлишкових тисках ударної хвилі знаходимо для кожного елемента об’єкта слабкі, середні, сильні і повні руйнування і прямокутниками з умовним штрихуванням заповнюємо табл. 1.1.

Результати оцінки стійкості промислового об’єкту до впливу урагану 14 балів

 

. Визначаємо межу стійкості кожного елемента. За межу стійкості приймаємо нижню межу середніх руйнувань.

. Визначаємо межу стійкості об’єкта, за яку приймаємо мінімальну межу стійкості одного з елементів ΔРlim = 12 кПа.

. Визначаємо ступень руйнування елементів промислового об’єкту при очікуваному надлишковому тиску ΔРΦ = 25 кПа, проводячи вертикальну лінію через 25 кПа.

. Слабкі руйнування одержать:

верстати середні;

кабельні наймані лінії;

електродвигун потужністю 2 кВт.

Середні руйнування одержать:

триповерховий залізобетонний будинок;

Сильні руйнування одержать:

комп’ютерний клас;

стрічковий конвеєр;

Повні руйнування елементи об'єкта не одержать.

. Висновки:

промисловий об’єкт опинився в зоні середніх руйнувань;

через те що межа стійкості об’єкта нижче очікуваного надлишкового тиску при урагані 14 балів, що дорівнює ΔРΦ = 25 кПа, - промисловий об’єкт нестійкий

ΔРΦ lim = 12 кПа < РΦ = 25 кПа;

оскільки межа стійкості більшості елементів нижче 25 кПа, а очікуваний надлишковий тиск при урагані 14 балів дорівнює ΔРΦ = 25 кПа, доцільно підвищити межу стійкості слабких елементів до 25 кПа;

слабкими є елементи, межа стійкості яких нижче доцільної (25 кПа). До них відносяться: триповерховий залізобетонний будинок, стрічковий конвеєр, комп’ютерний клас;

для підвищення стійкості об’єкта до впливу урагану 14 балів необхідно підвищити стійкість слабких елементів проведенням інженерно-технічних і технологічних заходів.

. Інженерно-технічні заходи:

стрічковий конвеєр міцно закріпити на фундаменті;

в комп’ютерному класі установити на відстані 1-1,5 м від стелі металеву сітку;

при реконструкції або капітальному ремонті на промисловому об’єкті спланувати раціональне компонування технологічного устаткування, що по можливості виключає ушкодження його уламками конструкцій та ослабляє вплив дії урагану.

. Технологічні заходи:

завчасне проведення інженерно-технічних заходів дозволяє підвищити стійкість роботи об’єкту при аварії на виробництві, яка пов’язана з дією урагану 14 балів, а своєчасне оповіщення виробничого персоналу при аварії дозволяє швидко сховатися в укриття і забезпечити його надійний захист.

 

Задача 2. Визначення дози опромінення


Визначити дозу опромінення, яку отримає особовий склад формування цивільної оборони під час роботи в осередку радіоактивного забруднення та рівень радіації на момент закінчення роботи, якщо час початку роботи після аварії на АЕС tн=6 год, рівень радіації на момент початку роботи становив Рн=5 рад/год. Формуванню потрібно працювати на відкритій місцевості tроб=3 год, коефіцієнт послаблення радіації для відкритої місцевості Кпосл=15.

Вихідні дані:

час роботи в осередку радіоактивного забруднення tроб=3 год.

час початку роботи після аварії на АЕС tн=6 год.

коефіцієнт послаблення радіації Кпосл=15.

рівень радіації на момент початку роботи Рн=5 рад/год.

Визначити:

дозу опромінення особового складу формування.

рівень радіації в осередку радіоактивного забруднення на момент закінчення роботи.

Розв'язання

. Визначаємо тривалість зараження місцевості (час кінця роботи формування на забрудненій місцевості) за формулою:

к=tн+tроб=6+3=9 (год),

де tн - час початку роботи після аварії на АЕС;роб - час роботи в осередку радіоактивного забруднення.

. Визначаємо рівень радіації на забрудненій місцевості для часу кінця роботи формування tк=9 (год).

Виходячи із теоретичної залежності:

,

отримуємо, що рівень радіації для tк=9 (год) становитиме:


де Кк - коефіцієнт для перерахунку рівня радіації на час кінця роботи (tк), який визначається за табл.2 .1 В наведеному прикладі tк=9 год, для цього значення за табл.2.1 обираємо Кк=0,417.

Кн - коефіцієнт для перерахунку рівня радіації на час початку роботи (tн), який визначається за табл.2.1 В наведеному прикладі tн=6 год, для цього значення за табл.2.1 обираємо Кн=0,49.

Таблиця 2.1

Коефіцієнт Кt=t-0,4 для перерахунку рівнів радіації на різний час (t) після аварії на АЕС

t, год

Кt

t, год

Кt

t, год

Кt

t, год

Кt

0,5

1,32

4,5

0,545

8,5

0,427

16

0,33

1,0

1,0

5,0

0,525

9,0

0,417

20

0,303

1,5

0,85

5,5

0,508

9,5

0,408

1 доба

0,282

2,0

0,76

6,0

0,49

10,0

0,4

2 доби

0,213

2,5

0,7

6,5

0,474

10,5

0,39

3 доби

0,182

3,0

0,645

7,0

0,465

11,0

0,385

4 доби

0,162

3,5

0,61

7,5

0,447

11,5

0,377

5 доби

0,146

4,0

0,575

8,0

0,434

12,0

0,37

6 доби

0,137


Примітки:

1. Якщо визначається коефіцієнт для перерахунку рівня радіації на час початку роботи (tн), слід прийняти Kt=Kн.

. Якщо визначається коефіцієнт для перерахунку рівня радіації на час кінця роботи (tк), слід прийняти Kt=Kк.

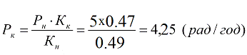
. Визначаємо дозу опромінення, яку отримає особовий склад формування цивільної оборони за 3 годин роботи (tроб) на радіоактивно забрудненій місцевості за формулою:


Висновок. Доза опромінення, яку отримає особовий склад формування цивільної оборони під час роботи tроб=3 (год) в осередку радіоактивного забруднення складе D=0,55 (рад), що в межах припустимого одноразового опромінення. Рівень радіації на час кінця роботи складатиме Рк=4,25 (рад/год).

Задача 3. Визначення тривалості роботи на радіоактивно забрудненій місцевості


Визначити допустиму тривалість роботи на радіоактивно забрудненій місцевості, якщо час початку роботи після аварії на АЕС tн=12 год, рівень радіації на цей час становить Рн=13 рад/год. Встановлена доза опромінення Dвст=5 рад. При роботі на відкритій місцевості прийняти коефіцієнт послаблення Кпосл=1.

Вихідні дані:

час початку роботи після аварії на АЕС tн=12 год;

рівень радіації Рн2=13 рад/год;

встановлена доза опромінення Dвст=5 рад;

коефіцієнт послаблення Кпосл=1.

Визначити:

допустиму тривалість роботи людей на радіоактивно забрудненої місцевості.

Розв'язання

. Визначаємо відносну величину (а) за формулою:


де  - коефіцієнт перерахування рівня радіації на необхідний час (tн), див. табл. 2.1 В наведеному прикладі tн=12 год, за табл.2.1 визначаємо Кн=0,37.

Таблиця 3.1 Допустима тривалість перебування (tдоп) людей на радіоактивно забрудненій місцевості при аварії на АЕС, год.

а

tн, год


1

2

3

4

6

8

12

24

0,2

7,30

8,35

10,00

11,30

12,30

14,00

16,00

21,00

0,3

4,50

5,35

6,30

7,10

8,00

9,00

10,30

13,30

0,4

3,30

4,00

4,35

5,10

5,50

6,30

7,30

10,00

0,5

2,45

3,05

3,35

4,05

4,30

5,00

6,00

7,50

0,6

2,15

2,35

3,00

3, 20

3,45

4,10

4,50

6,25

0,7

1,50

2,10

2,30

2,40

3,10

3,30

4,00

5,25

0,8

1,35

1,50

2,10

2,25

2,45

3,00

3,30

4,50

0,9

1,25

1,35

1,55

2,05

2,25

2,40

3,05

4,00

1,0

1,15

1,30

1,40

1,55

2,10

2, 20

2,45

3,40


. Так як отриманого результату у таблицы не вказано, візьмем за а максимальне можливе з наведених. За табл. 3.1 при а=1 і tн=12 год визначаємо тривалість роботи людей на радіоактивно забрудненій місцевості tдоп=2,45 год.

Висновок. Допустима тривалість роботи робітників та службовців в осередку радіоактивного забруднення не більше 2,45 год.

Задача 4. Прогнозування обстановки при аварії на хімічно-небезпечному об’єкті


На промисловому об’єкті, що знаходиться на відстані 2 км від адміністративної будівлі, зруйнувалась необвалована ємність, яка вміщує 10 т хлору. Метеоумови на час аварії: температура повітря +20 °С, ступінь вертикальної стійкості повітря (СВСП) - інверсія, швидкість вітру 2 м/с, вітер східний.

Провести розрахунки оперативного прогнозування на 4 години після аварії, показати на схемі зони можливого і прогнозованого хімічного забруднення.

Вихідні дані:

необвалована ємність з аміаком Q=20 т;

температура повітря t=-20 °С;

швидкість вітру V=2 м/с;

напрямок вітру - північний;

ступінь вертикальної стійкості повітря - інверсія.

Провести розрахунки оперативного (аварійного) прогнозування для N=4 год.

Розв'язання

1. Для наведеного прикладу при швидкості вітру V=2 м/с за табл.4.1 визначаємо кутовий розмір зони можливого забруднення, який складає .

Таблиця 4.1. Кутові розміри зони можливого забруднення від швидкості вітру

V, м/с

0,6 ¸ 1

1,1 ¸ 2

> 2

, град3601809045






. За табл. 4.6 визначаємо глибину розповсюдження хмари забрудненого повітря, в наведеному прикладі для Q=20 т, t=-20 °C, V=2 м/с отримуємо:

Г=2,35км.

Таблиця 4.6 Глибина зони хімічного забруднення НХР

Кількість НХР (Q), т

Температура, °C

Інверсія



Хлор

Аміак



Швидкість вітру (V), м/с



1

2

3

4

5

10

1

2

3

4

5

10

0,5

-20

2,65

1,65

1,45

1,30

 

 

 


0

2,85

1,85

1,55

1,40

 

 



+20

3,15

2,05

1,65

1,50

 

 


1

-20

4,25

2,70

2,15

1,90

 

 

<0,5


0

4,65

2,90

2,30

2,05

 

 



+20

4,80

3,00

2,40

2,10

 

 


3

-20

8,35

5,10

3,95

3,35

 

 

1,15

0,80

0,65

0,55

 

 


0

8,75

5,30

4,15

3,50

 

 

1,25

0,85

0,70

0,60

 

 


+20

9, 20

5,60

4,35

3,70

 

 

1,3

0,90

0,75

0,65

 

 

5,0

-20

11,6

6,90

5,30

4,50

 

 

1,5

1,00

0,85

0,75

 

 


0

12,2

7,30

5,60

4,70

 

 

1,60

1,10

0,95

0,85

 

 


+20

12,8

7,60

5,80

4,90

 

 

1,65

1,15

1,00

0,90

 

 

10

-20

17,7

10,4

7,90

6,60

 

 

2,30

1,50

1, 20

1,05

 

 


0

18,5

10,9

8,30

6,90

 

 

2,45

1,55

1,30

1,15

 

 


+20

19,3

11,3

8,60

7, 20

 

 

2,65

1,75

1,45

1,25

 

 

20

-20

27,1

15,7

11,8

9,80

 

 

3,80

2,35

1,90

1,60

 

 


0

28,3

16,4

12,3

10,2

 

 

4,05

2,55

2,05

1,8

 

 


+20

29,7

17,2

12,9

10,7

 

 

4,3

2,70

2,15

1,90

 

 

30

-20

35,0

20,1

15,0

12,4

 

 

4,90

3,05

2,40

2,10

 

 


0

36,7

21,0

15,7

12,9

 

 

5,25

3,25

2,60

2,25

 

 


+20

38,5

22,0

16,4

13,5

 

 

5,45

3,40

2,70

2,35

 

 

50

-20

48,2

27,3

20,3

16,6

 

 

6,60

4,05

3, 20

1,25

 

 


0

50,4

28,6

21,2

17,3

 

 

6,85

4, 20

3,30

1,35

 

 


+20

52,9

30,0

22,1

18,1

 

 

7, 20

4,40

3,45

2,45

 

 

70

-20

59,9

33,7

24,8

20,3

 

 

8,10

4,95

3,85

3,25

 

 


0

62,6

35,2

25,9

21,1

 

 

8,45

5,15

4,00

3,40

 

 


+20

65,6

36,8

27,1

22,0

 

 

8,90

5,45

4, 20

3,60

 

100

-20

75,0

41,9

30,8

25,0

 

 

10,2

6, 20

4,75

3,95

 

 


0

78,7

43,8

32,1

26,1

 

 

10,8

6,50

5,00

4,15

 

 


+20

82,2

45,9

33,6

27,2

 

 

11,3

6,75

5, 20

4,35

 

 

300

-20

149

81,6

59,2

47,8

 

 

20,1

11,8

9,00

7,40

 

 


0

156

85,4

61,9

49,9

 

 

21,0

12,4

9,30

7,70

 

 


+20

164

89,5

64,8

52,2

 

 

21,9

12,9

9,70

8,00

 

 


. Визначаємо площу зони можливого хімічного забруднення (ЗМХЗ) за формулою:


. Визначаємо площу прогнозованої зони хімічного забруднення (ЗПХЗ) за формулою:


де К - коефіцієнт, який залежить від ступеня вертикальної стійкості повітря, визначається за табл. 4.3.

Г - глибина розповсюдження хмари забрудненого повітря;- час на який розраховується глибина прогнозованої зони хімічного забруднення (ПЗХЗ), в наведеному прикладі за вихідними даними N=4 год.

Таблиця 4.3 Коефіцієнт К який залежить від ступеня стійкості повітря

Ступінь стійкості повітря

Інверсія

Ізотермія

Конвекція

К

0,081

0,133

0,235


. Визначаємо за табл.4.5, за умови, що V=2 м/с, t=-20 °С і ємність не-обвалована, час випаровування аміаку, який складе Т=1,05 год.

Таблиця 4.5 Час випаровування аміаку

Назва НХР

V, м/с

Характер розливу



Вільно (необвалована ємність)

Вільно (необвалована ємність)



Н=0,05 м

Н=1 м

Н=3 м



Температура повітря, °С



-20

0

+20

+40

-20

0

+20

+40

-20

0

+20

+40

Аміак

1

1,40 1,05 0,82 0,68 0,58 0,34

21,8 16,4 13,1 10,9 9,31 5,45

76,3 57,4 45,7 38,2 32,6 19,1


2





3





4





5





10





. Знаходимо ширину прогнозованої зони хімічного забруднення (ПЗХЗ) при інверсії за формулою:


. Наносимо на мапу (схему) зони хімічного забруднення (рис.4.1).

Рис. 4.1 Схема зони хімічного забруднення при аварійному прогнозуванні напрямок вітру східний, V=2 м/с, φ=90°.

Висновки. Результати оперативного прогнозування вказують на небезпеку на відстані Г=2,35 км для персоналу промислового хімічного об’єкту, робітників адміністративної будівлі і мешканців, що проживають біля об’єкту, в умовах аварії з викидом 20 т аміаку.

За існуючих метеоумов, через 4 години після аварії площа зони можливого хімічного забруднення складе SПЗХЩ=4,33 км2, а площа прогнозованої зони хімічного забруднення складе SПЗХЗ=0,58 км2.

Вражаюча дія хлору обумовлена часом його випаровування, який складає Т=1,05 год.

. Для зменшення можливих хімічних втрат необхідно провести наступні заходи із захисту населення від ураження аміаком:

своєчасне оповіщення персоналу і населення про аварію на хімічно небезпечному об’єкті;

використання засобів індивідуального захисту (протигазів марок: В, Г, КД, БКФ-М, СО, ЦП-5, ЦП-7, ІП-4, ІП-4м, ІП-5, КІП-8, ПШ-1, ПШ-2 або ватно-марлевої пов’язки, змоченої 2% -м розчином харчової соди; засоби захисту шкіри: комплект ЗФО-58, КЗФ-1, захисний костюм Л-1; підручні засоби захисту шкіри: накидки, плащі, пальта з грубого сукна, прогумованої тканини, шкіри, хлорвінілу чи поліетилену);

використання засобів колективного захисту (сховищ, укриттів);

надання медичної допомоги потерпілим (використання антидотів, індивідуального протихімічного пакету ІПП-8, обробка уражених ділянок шкіри мильним розчином; очі, ніс, рот прополіскують 2% -м розчином харчової соди);

дегазація території, будівель і споруд, транспортних засобів і техніки населеного пункту за допомогою гашеного вапна;

проведення розосередження і евакуації.

Задача 5. Оцінка інженерного захисту робітників та службовців промислового об'єкту


Оцінити інженерний захист робітників та службовців промислового об'єкту (підприємства, міністерства, відомства, установи, закладу, організації, вищого навчального закладу, об’єкту господарської діяльності, бібліотеки, архіву, банку, офісу, кінотеатру та ін.) при виникненні НС.

Вихідні дані:

середня температура повітря tº = 20 - 25ºС (II кліматична зона);

ємність з вуглеводневим газом Q = 15 т;

відстань від ємності до об'єкта r = 350 м;

час на заповнення сховища робітниками та службовцями tнорм = 7 хв;

відстань до робочих дільниць: №1 (N1=250 осіб) R1=200 м; №2 (N2=310 осіб) R2=250 м. Разом робітників та службовців на промисловому об'єкті N=N1+N2=250+310=560 осіб;

на об'єкті є в наявності одне вбудоване сховище яке витримує динамічне навантаження до 50 кПа;

приміщення для захисту робітників та службовців S1 = 300 м2;

приміщення для пункту управління S2 = 14 м2;

коридори S3 = 12 м2;

санітарні вузли S4 = 58 м2;

приміщення для зберігання продуктів S5 = 12 м2;

висота приміщення h = 2,4 м;

фільтровентиляційне обладнання - 3 комплекти ФВК-1, 1 комплект ЕРВ-72-2;

розрахунок пункту управління N=5 осіб;

водопостачання від загальноміської системи, аварійний запас води - 4500 л;

тривалість укриття 3 доби, електропостачання від аг. мережі, аварійне джерело - акумуляторні батареї.

Виконати.

Оцінити інженерний захист робітників та службовців об'єкту згідно з показниками:

за місткістю;

за захисними властивостями від дії повітряної ударної хвилі вибуху газоповітряної суміші;

за системою життєзабезпечення сховища;

за своєчасністю укриття.

Розв'язання

. Визначаємо загальну площу основних і допоміжних приміщень сховища за формулою:

заг. осн. = S1 + S2 = 300 + 14 = 314 м2,

 

де S1 - площа приміщення для розміщення людей (м2);2 - площа пункту управління (м2).

Загальна площа всіх приміщень у зоні герметизації (крім приміщень для ДЕС, тамбурів і розширювальних камер);

заг. всіх = Sзаг. осн. + S3 + S4 + S5 = 314 + 12 + 58 + 12 = 396 м2.

де S3 - площа коридорів (м2);4 - площа санітарних вузлів (м2);5 - площа приміщень для зберігання продуктів (м2).

. Визначаємо місткість (Мs) сховища за площею при двоярусному розташуванні ліжок за формулою::

 місця.

де

 - норма площі на одну людину 0,5 (м2).

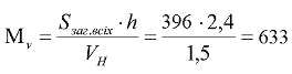
. Визначаємо місткість () сховища за об'ємом всіх приміщень в зоні герметизації:

місць,

де h - висота приміщення (м);Н - норма об'єму приміщення на одну людину 1,5 (м3).

. Порівнюємо дані місткості за площею (МS) та об'ємом (МV).

Визначаємо фактичну місткість. Фактична місткість (Мф) приймається мінімальною із цих двох величин Мs та Мv. В наведеному прикладі Мф=624 (місця).

. Визначаємо необхідну кількість ліжок (нар) для розміщення робітників і службовців. Висота приміщення h=2,4 м дозволяє встановити двоярусні нари. При довжині нар 180 см і нормі 5 людей на одні нари необхідно встановити:

ліжок.

. Визначаємо коефіцієнт місткості захисної споруди:


де N - кількість виробничого персоналу, який підлягає укриттю.

. Висновок:

Об’ємно-планувальні рішення сховища відповідають вимогам ДБНВ.2.2 - 5-97.

Сховище забезпечує укриття працюючих на 112%.

. Оцінка сховища за захисними властивостями.

.1 Визначаємо необхідні захисні властивості. За вихідними даними ємність Q = 15 т і відстані r = 350 м визначаємо за рис. 5.1 надлишковий тиск:

ΔРφ max = ΔРφ необх= 20 кПа.

Рис. 5.1 Залежність радіуса зовнішньої межі зони дії надлишкового тиску від кількості вибухонебезпечної газоповітряної суміші

.2 Визначаємо захисні властивості сховища. Згідно з вихідними даними, ΔРφ схов=50 кПа.

.3 Порівнюємо захисні властивості сховища з необхідними.

ΔРφ схов=50 кПа, а ΔРφ необх=20 кПа, тобто ΔРφ схов>ΔРφ необх.

Висновок. За захисними властивостями сховище забезпечує захист виробничого персоналу від дії повітряної ударної хвилі вибуху газоповітряної суміші.

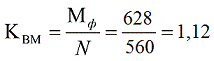
.4 Визначаємо показник, який характеризує інженерний захист робітників та службовців за захисними властивостями:

.

Висновок. Захисні властивості сховища забезпечують захист 112% робітників та службовців.

. Оцінка сховища за життєзабезпеченням. До систем життєзабезпечення належать:

повітропостачання;

водопостачання;

теплопостачання;

каналізація;

електропостачання та зв'язок.

Підчас оцінки сховищ за системами життєзабезпечення визначається можливість систем забезпечувати безперервне перебування людей у сховищах не менше двох діб.

.1 Система повітропостачання.

.1.1 Визначаємо кількість повітря, яке подається в годину у "Режимі - І" (чистої вентиляції) за формулою:

OI = КФВК1·QФВК1ЕРВ·QЕРВ=3 · 1200 + 900 = 4500 м3/год,

де КФВК1 - кількість фільтровентиляційного обладнання ФВК-1;ФВК1 - продуктивність фільтровентиляційного обладнання ФВК-1 "Режимі - I" - 1200 м3/год;

КЕРВ - кількість електроручних вентиляторів ЕРВ-72-2;ЭРВ - продуктивність електроручного вентилятора ЕРВ-72-2 в "Режимі - I" - 900 м3/год.

Норми зовнішнього повітря, що подається в захисну споруду за 1 годину в "Режимі - I":1=10 м3/год (II кліматична зона, температура повітря 20-25 °С);

.1.2 Підрахуємо число людей, яких можна забезпечити повітрям у

"Режимі - I":


де  - кількість повітря, яке подається в годину у "Режимі - I";

 - норма зовнішнього повітря, для II кліматичної зони - 10 м3/ч на одну людину.

.1.3 Визначаємо кількість повітря, що подається за одну годину в "Режимі - IІ" (фільтровентиляції) за формулою:

OII = КФВК1 · QФВК1 = 3 · 300 = 900 м3/год,

де КФВК1 - кількість фільтровентиляційного обладнання ФВК-1;ФВК1 - продуктивність фільтровентиляційного обладнання ФВК-1 в "Режимі - II" - 300 м3/год.

Електроручний вентилятор ЕРВ-72-2 в "режимі II" не працює

.1.4 Визначаємо необхідну кількість повітря, в "Режимі - II" за формулою:

необ. II = Nзах · QН. зах. + NПУ · QН. ПУ= 560 2 + 5 ∙ 5 =1145 м3,

де зах - число людей у сховищі;Н. зах - норма повітря, розрахована на людину в режимі II фільтровентиляції - 2 м3/год, для I та II кліматичних зон;ПУ - розрахунок пункту управління (ПУ), осіб;Н. ПУ - норма повітря для тих, хто працює на ПУ, - 5 м3/год.

.1.5 Визначаємо кількість людей забезпечених повітрям в "Режимі - II" за формулою:

NО II =  осіб.

9.1.6. Визначаємо коефіцієнт повітропостачання:

,

де NOI - мінімальне число людей, забезпечених повітрям в "Режимі - I" або в " Режимі - II". Висновок: система повітропостачання може забезпечити в "режимі I" і в "режимі II" тільки 450 осіб. Робітники та службовці забезпечені повітрям на 80%.

.2 Система водопостачання.

.2.1 Визначаємо можливості системи водопостачання.

З вихідних даних маємо аварійний запас води - 4500 л, отже, можливість системи водопостачання WO = 4500 л.

.2.2 Визначаємо кількість людей, яких забезпечує система водопостачання:

осіб,

де T - тривалість укриття = 3 доби;

N =N1+N2=3+2=5 л.

N1 - норма споживання води на одну людину в аварійному режимі для питва, прийняти N1=3 (л);2 - норма споживання води на одну людину в аварійному режимі для санітарно-гігієнічних потреб, прийняти N2=2 (л);O - можливість системи водопостачання.

.2.3 Визначаємо коефіцієнт водопостачання:

Квод. пост. = .

Висновок:

Система водопостачання може забезпечити 53% робітників і службовців. Необхідно додати аварійний запас води у кількості 3610 літрів.

.2.4 Система електропостачання.

Електропостачання сховища від мережі промислового об'єкта, аварійне постачання - акумуляторна батарея.

Висновок:

Система електропостачання в аварійному режимі забезпечує тільки освітлення сховища. Робота системи повітропостачання в аварійному режимі забезпечується ЕРВ-72-2 вручну.

На основі проведених оцінок систем життєзабезпечення визначається загальна оцінка за мінімальним показником однієї із систем.

В нашому прикладі найменша кількість захищених визначається водопостачанням NЖ.З. =300 осіб, виходячи з цього, коефіцієнт, який характеризує інженерний захист об'єкта по життєзабезпеченню, дорівнює:

.

Висновок:

Система життєзабезпечення може забезпечити життєдіяльність 53% робітників і службовців протягом 3 діб. Система водопостачання знижує життєдіяльність до 53% за якою йде система повітропостачання - 80%.

. Оцінка сховища за своєчасним укриттям людей.

.1. Визначаємо час, необхідний для укриття, враховуючи, що швидкість переміщення людини прискореним кроком Vнорм=50 м/хв і надається 2 хвилини, щоб знайти своє місце в сховищі.

Від ділянки № 1 до сховища (для N1=250 осіб.):

t1 = =200/50+2 = 6 хв.

Від ділянки № 2 до сховища (для N2=310 осіб.):

t2 = =250/50+2 = 7 хв.

10.2. Порівнюємо необхідний час для укриття людей з вихідними даними tнорм = 7 хв. В нашому прикладі t1 = 6 хв < tнорм = 7 хв і t2 = 7 хв = tнорм = 7 хв. Робимо висновок, що розміщення сховища забезпечує своєчасне укриття такої кількості осіб:

Nсв = N1+N2=250 + 310 = 560 осіб.

10.3. Визначаємо коефіцієнт, який характеризує інженерний захист об'єкта за своєчасним укриттям робітників та службовців:

.

Висновок. Розміщення сховища дозволяє своєчасно укрити всіх робітників та службовців.

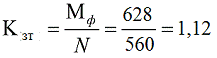
Таким чином, в ході розрахунків маємо коефіцієнти які характеризують інженерний захист робітників і службовців промислового об'єкту:

коефіцієнт місткості захисної споруди КМ = 1,12;

коефіцієнт за захисними властивостями КЗВ = 1,12;

коефіцієнт життєзабезпечення КЖ.З. = 0,53;

коефіцієнт за своєчасним укриттям робітників і службовців КСВ = 1.

. Загальні висновки за інженерним захистом робітників і службовців промислового об'єкту.

.1 На промисловому об'єкті інженерним захистом забезпечується 53% робітників та службовців.

.2 Для забезпечення інженерним захистом робочої зміни необхідно:

встановити додатково 2 комплекти фільтровентиляційного обладнання ФВК-1;

встановити додаткову ємність для води на 3610 літрів.

 


Література


1. Конституція України - К. Юрінком. 1996 р.

. Про цивільну оборону України, Закон України №2974 - ХІІ від 3 лютого 1993р. зі змінами і доповненнями внес. Законом України від 24 березня 1999р., № 555 - ХІV - К.: 1999. - 76 с.

. Про захист населення і території в надзвичайних ситуаціях техногенного та природного характеру, Закон України № 1809-III від 8 червня 2000 р., зі змінами, внесеними згідно із Законом №1419-IV від 03.02.2004 р.

. Про правові засади цивільного захисту, Закон України № 1859-IV від 24 червня 2004 р.

. Про правовий режим надзвичайного стану, Закон України №1550 - ІІІ від 16 березня 2000р.

. Постанова Кабінету Міністрів України від 03.08.1998 р. №1198. Про єдину державну систему попередження і реагування на НС техногенного і природного характеру.

. Постанова Кабінету Міністрів України від 24.03.2004 р. №368. Про затвердження порядку класифікації надзвичайних ситуацій техногенного та природного характеру за їх рівнями.

. Защита объектов народного хозяйства от оружия массового поражения / Демиденко Г.П., Кузьменко Е.П., Пролыгин В.А., Сидоренко Н.А., - К.: Высш. школа. 1987. - 256 с.

. Шубин Е.П. Гражданская оборона. - М.: Просвещение, 1991. - 223 с.

. Депутат О.П., Коваленко И.В., Мужик И.С. Цивильна оборона. Навчальний посібник / За ред. полковника В.С. Франчука - Львів, Афіша, 2000 - 336с.

. Демиденко Г.П. Повышение устойчивости роботы объектов народного хозяйства в военное время. Учебник. Киев, 1984.

. Касьянов М.А., Гуляєв В.П., Друзь О.М. Прилади радіаційної, хімічної розвідки та дозиметричного контролю, газоаналізатори. Навчальний посібник. - Луганськ: Вид-во СНУ ім.В. Даля, 2006. - 188с.

. Касьянов М.А., Гуляев В.П., Колібабчук О.О., Сало В.І., Медяник В.О., Друзь О.М., Тищенко Ю.А. Цивільний захист. Навчальний посібник - Луганськ: Вид-во СНУ ім.В. Даля, 2008. - 291 с.

. Методика прогнозування наслідків викиду небезпечних хімічних речовин при аваріях на промислових об’єктах і на транспорті. Наказ Міністерства з питань НС і в питаннях захисту населення від наслідків Чорнобильської катастрофи № 73 від 27.03.2001 р.

. Шоботов В.М. Цивильна оборона. Навчальний посібник - Київ: "Центр навчальної літератури", 2004 - 439с.

. Методичні вказівки до виконання контрольної роботи з дисципліни "Цивільний захист" (для студентів гуманітарних напрямків підготовки заочної форми навчання) / Укл.: М.А. Касьянов, В.М. Мальоткiн, О.М. Друзь, В.П. Гуляєв, І.Є. Голяєв, І.М. Арнаут, В.В. Некрутенко. - Луганськ: Вид-во СНУ ім. В. Даля, 2011. - 46 с.

Похожие работы на - Організація евакуаційних заходів

 

Не нашли материал для своей работы?
Поможем написать уникальную работу
Без плагиата!
Без нейросетей!