Оптические системы передачи
Белорусский
государственный университет информатики и радиоэлектроники
Кафедра
систем телекоммуникаций
Контрольная
работа
Оптические
системы передачи
Выполнил
студент
гр.902901
Веремей
А.И.
Минск
2013г.
Вариант 05
Задача 1
Рассчитать чувствительность оптического
приемного модуля в соответствии с заданием таблиц 1 и 2.
Таблица 1
|
Исходные
данные
|
Предпоследняя
цифра номера зачетной книжки
|
|
0
|
|
Скорость
передачи информации, Мбит/с
|
10
|
|
Вероятность
ошибки
|
10-12
|
|
Тип
предусилителя
|
Высокоимпедансный
|
|
Крутизна
полевого транзистора, мА/В
|
10
|
|
0,8
|
|
Таблица 2
|
Исходные
данные
|
Предпоследняя
цифра номера зачетной книжки
|
|
5
|
|
Тип фотодетектора
|
ЛФД
|
|
Емкость
фотодетектора, пФ
|
2
|
|
Емкость
предусилителя, пФ
|
1
|
|
Коэффициент
шума полевого транзистора
|
1,7
|
|
I
затвора полевого транзистора, нА
|
100
|
Решение:
Шумовой ток приемного оптоэлектронного модуля.
Сопротивление нагрузки фотодетектора
определяется
выражением:
где В - скорость передачи ; СΣ = Сф + Су ,
Сф - емкость фотодетектора, Су -входная емкость предусилителя.
Порог чувствительности цифровых
приемных модулей определяется через общий шумовой ток
. Полный
шумовой ток усилителя равен сумме составляющих шумовых токов:
.
Найдем каждую составляющую полного
шумового тока.
Рассчитаем
тепловой шум, обусловленный сопротивлением
:
где k - постоянная Больцмана, Т -
температура, В - скорость передачи и In2 - интеграл Персоника, зависящий от
передаточной характеристики цепи. В случае прямоугольных входных импульсов
длительностью 1/В и выходных импульсов в форме «приподнятого косинуса» (reised
cosine). In2=0,55.
Рассчитаем дробовый шум
где Iут - сумма тока утечки затвора
полевого транзистора и других шунтирующих источников тока; Iт - темновой ток
p-i-n фотодиода.ут задан в исходных данных, Iт зависит от используемого
фотодиода. Выбирем тип фотодиода кремниевый фотодиод ФД-265-01, максимальное
значение темнового тока при температуре 25 С составляет 5 нА. Тогда:
Рассчитаем шумовой ток канала:
На выходе транзистора существует еще
одна составляющая шумового тока. Приводя этот ток ко входу, получим ЭДС шума в
единичной полосе для полевого транзистора:
Здесь Fпт - шум-фактор полевого
транзистора и gМ - его крутизна в рабочей точке.
С помощью выражений для полной
проводимости и э. д. с. шума и можно записать выражение для генератора шумового
тока канала:
где In3 - интеграл Персоника,
зависящий от частотной характеристики линейного канала приемного модуля. Для
прямоугольных входных импульсов и выходных импульсов в форме приподнятого
косинуса значение интеграла In3 равно 0,085.
Тогда полный шумовой ток равен току
, остальными
составляющими за их малостью можно пренебречь.
Можно записать для чувствительности
оптического приемника с p-i-n-фотодетектором:
где h - постоянная Планка, e - заряд
электрона,
-
преобразование приемным модулем падающей оптической энергии в ток сигнала,
включающая в себя как квантовую эффективность фотоприемника, так и
эффективность оптического соединения.
Пусть длина оптической волны равна
0,85 мкм.
h=6,63
Дж×с; е=1,6
Кл
Тогда искомая чувствительность
оптического приемника составит:
Задача 2
Рассчитать длину регенерационного
участка волоконно-оптической системы передачи информации по энергетическому
потенциалу системы L3 и по дисперсии в волоконных световодах. Длина РУ будет
равна наименьшему значению. Данные для расчета определяются таблицами 1,2 и 3
Я.В. Алишев, В.Н. Урядов. Методическое пособие к выполнению контрольных работ
по дисциплине “Направляющие системы и пассивные компоненты систем
телекоммуникаций”. Минск БГУИР 2003 г.
Расчет производиться на основании
выражений приведенных в методическом пособии.
Таблица 1
|
Исходные
данные
|
Предпоследняя
цифра номера студенческого билета
|
|
0
|
|
Тип
источника излучения
|
СИД
|
|
Оптическая
мощность источника излучения PU, мВт
|
0,05
|
|
Ширина
спектра излучения , нм20
|
|
|
Тип
волоконного световода
|
МС
|
|
Скорость
передачи информации, Мбит/с
|
8
|
|
Параметр
G
|
1
|
|
Среднее
поперечное смещение в соединителях d, мкм
|
5
|
|
Среднее
угловое смещение в соединителях , град2
|
|
Таблица 2
|
Исходные
данные
|
Последняя
цифра номера студенческого билета
|
|
5
|
|
Тип
фотодетектора
|
ЛФД
|
|
Строительная
длина кабеля , км1,6
|
|
|
Потери
на соединение световод-фотодетектор , дБ2,2
|
|
|
Энергетический
запас системы Э, дБ
|
2
|
Таблица 3
|
Параметры,
выбираемые студентом самостоятельно
|
Значение
параметра
|
|
|
|
Длина
волны источника излучения , мкм0
|
|
|
Диаметр
сердцевины световода 2а , мкм
|
200
|
|
Числовая
апертура NA
|
1
|
|
Показатель
преломления сердцевины
2,55
|
|
|
Разность
показателей преломления сердцевины и оболочки 0,02
|
|
|
Потери
на разъемных соединениях , дБ1,0
|
|
Решение:
Результирующее значение
уширения импульсов за счет модовой tмод, материальной tмат
и волноводной tвв дисперсий. Сумма математической и волноводной
дисрерссий равна хроматической дисперсиию
t =
,
Величина уширения импульса в
многомодовых волокнах за счет модовой дисперсии, которая характеризуется
временем нарастания сигнала и определяется как разность между самым большим и
самым малым временем прихода в сечение световода на расстоянии l
от начала, может быть рассчитана для ступенчатого и градиентного световода
соответственно по формулам
tмод
= Dn1
/c ,
tмод
= D2n2
/2c ,
где п1 - показатель преломления
сердцевины; п2 - показатель преломления оболочки; l - длина
линии; с- скорость света; lc - длина связи мод, при
которой наступает установившийся режим (5 ... 7 км для ступенчатого и 10...15
км градиентного волокон); D=(n1-n2)/n1 .
Хроматическая дисперсия определяется выражением:
, удельная материальная дисперсия
(рисунок 1).
- групповой показатель преломления
сердцевины и оболочки соответственно (рисунок 2).
Соответственно при заданной длине волны равной
0,85 мкм:
Тогда хроматическая дисперсия будет
равна:
Производная
в области
одномодового режима изменяется от 0,2 до 0,06 (V=2-2,4) (рисунок 3).
Тогда результирующее значение уширения импульса
С учетом реального соотношения вкладов отдельных видов дисперсий равно:
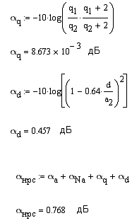
Длина регенерационного участка по
допустимым, дисперсионным искажениям определяется выражением:
Для расчета длины регенерационного
участка с учетом потерь в линейном тракте преобразуем формулу для общего
затухания:

α - коэффициент затухания
ОК;нс, Nрс - число неразъемных и разъемных соединениях (Npc не менее 4) на
участке;
αi ,αрс - потери
в неразъемном и разъемном соединениях (αрс ~ 0,5) дБ;
Э - энергетический запас системы.
Уровень мощности излучения источника
определяется мощностью и направленностью излучения источника, типом ОВ и
наличием согласующего оптического устройства между источником и ОВ:
Рассчитаем потери в волоконном световоде:
Собственные потери ВС состоят, в
первую очередь, из потерь поглощения
и потерь рассеяния
.
Потери на поглощение существенно
зависят от чистоты материала и при наличии примесей, случайно попавших в
волокно (причины самые разные, но в основном - несовершенство технологии) могут
достигать очень больших величин.
Затухание за счет поглощения
связано с
потерями на диэлектрическую поляризацию, зависит от свойств материала и обратно
пропорционально длине волны:
где n1 -показатель преломления
сердцевины ОВ;
-тангенс угла диэлектрических
потерь материала сердцевины ОВ, принимающий значения в диапазоне от 10-12 до 2*
10-11;
- длина волны, км.
Принимаем значение тангенса
диэлектрических потерь равным 1·10-11
Тогда потери на поглощение равны:
Потери рассеяния обусловлены неоднородностями
материала волоконного световода, расстояния между которыми меньше длины волны,
и тепловой флуктуацией показателя преломления. Величина потерь на рассеяние,
дБ/км, называемое рэлеевским, определяется по формуле:
где Кр-коэффициент рассеяния, для
кварца равный 0,8-1,5 (мкм4*дБ)/км. В задаче принимаем Кр=1,5 (мкм4*дБ)/км.
Потери на рэлеевское рассеяние определяют
нижний предел потерь, присущих волоконным световодам. Этот предел различен для
различных волн и с увеличением длины волны уменьшается.
Тогда потери собственные потери в
волоконном световоде равны
Рассчитаем потери в разъемных и
неразъемных соединениях.
Потери на разъемных соединениях заданы в условии
задачи и составляют 1 дБ.
Затухание в соединениях определяется следующим
выражением:
где
- затухание из-за френелевского
отражения;
- затухание из-за различия радиусов
соединяемых ВС;
- затухание из-за различия в
значениях числовых апертур;
- затухание из-за несоосности
соединяемых ОВ;
- затухание из-за зазора между ОВ;
- затухание из-за углового смещения;
- затухание из-за различного профиля
волокна.
Неразъемные оптические соединения
обеспечивают минимальный уровень оптических потерь в пределах 0,1... 0,5 дБ в
зависимости от типа волокна и технологии изготовления соединения. В этом случае
затухание вследствие френелевского отражения и из-за зазора между волокнами
равно нулю. В зависимости от типа волоконного световода потери на соединениях
определяются различными выражениями. Для многомодовых волокон (по заданию
используется многомодовое волокно) затухания, определяемые разными факторами,
равны соответственно:
, a1>a2
для ступенчатого ВС
для градиентного ВС
Для расчета данных потерь необходимо задать
дополнительные данные Таблица 4
|
Параметр
|
Значение
|
Примечание
|
|
100,1
мкмПредположим, что радиус ВС присоединяемого к заданному на 0,1 мкм больше.
|
|
|
|
0,99Предположим,
что апертура ВС присоединяемого к заданному на 0,01 меньше.
|
|
|
|
, 1000,
1001Показатель степени коэффициента преломления волокна со ступенчатым
профилем преломления.
|
|
|
Таким образом, потери на неразъемном соединении
составляют 0,77 дБ. Рассчитаем
потери при соединении источника излучения и волоконного световода.
Затухание при возбуждении ВС от источника
излучения:
Тогда с учетом уровня мощности оптического
излучения и уровня излучения на входе приемника имеем:
Соответственно длина
регенерационного участка будет равна
Задача 3
Каждый студент выполняет одну из
перечисленных ниже задач, выбор задачи производится по табл. 4. Ответы на
вопросы при необходимости должны сопровождаться рисунками и графиками,
выполненными с соблюдением ГОСТов и ЕСКД с использованием чертежных
принадлежностей.
Модуляция по интенсивности на основе
электрооптического эффекта.
Типичная схема амплитудного электрооптического
модулятора для случая продольного эффекта Поккельса представлена на рис.3. Он
состоит из электрооптического элемента 1 и двух скрещенных поляризаторов 2,3.
Электрооптический элемент вырезан из
анизотропного кристалла таким образом, чтобы направление оптической оси в
отсутствие внешнего электрического поля совпадало с осью x,
а разрешенные направления поляризации двух лучей при возникновении двойного
лучепреломления - с осями y
и z.
Внешнее электрическое поле в кристалле создается
приложением напряжения U
к полупрозрачным электродам, нанесенным на торцы элемента. Следует подчеркнуть,
что напряженность внешнего поля Евн = U/ в этом случае определяется как
величиной U, так и протяженностью кристалла в направлении оси
x.
Линейный поляризатор 2 на входе модулятора
пропускает в направлении x
только ту компоненту падающего излучения, плоскость поляризации которой
ориентирована по направлению P1 под углом 45 градусов к осям z и y. В этом
случае амплитуды составляющих напряженности электрического поля Еz
и Еy этой компоненты в
кристалле будут одинаковыми. Поляризатор 3 на выходе пропускает составляющую
электромагнитной волны, прошедшей через электрооптический элемент, вектор
напряженности которой ориентирован в направлении P2
перпендикулярном к P1.
При отсутствии внешнего электрического поля
свет, распространяясь вдоль оптической оси кристалла, не испытывает двойного
лучепреломления: показатели преломления среды для направлений поляризации z
и y равны. Составляющие Ez
и Ey распространяются
через кристалл с одинаковыми скоростями, поэтому складываются без фазового
сдвига, и характер поляризации света, проходящего через кристалл, не
изменяется: свет остается плоско поляризованным (рис.2). Поскольку плоскость
поляризации перпендикулярна к направлению P2,
свет через модулятор не проходит.
Воздействие внешнего электрического поля Евн
изменяет направление оптической оси. Возникает двойное лучепреломление.
Показатели преломления кристалла для лучей Ez
и Ey становятся
различными, изменяясь в различных направлениях на величину, пропорциональную
Евн:
nz= n0
+ kEвн , ny
= n0 - kEвн (1)
Здесь n0
- показатель преломления в отсутствие внешнего поля, k - электрооптический
коэффициент, зависящий от природы кристалла. При смене полярности
прикладываемого напряжения направления изменений nz
и ny становятся
противоположными.
Лучи распространяются с разными скоростями vz
= c/ nz
и vy = c/
ny и, поскольку
частота колебаний ν
у них одинакова, имеют различные длины волн: λz=
vz/ν
= λ/ nz
и λy=
vy /ν
= λ/ ny.
Между колебаниями, как это поясняется на рис.4,
появляется фазовый сдвиг
Δφx=
2πx/λz
- 2πx/λy
= 2πx(nz
-ny )/λ (2)
На выходе из кристалла
Δφ=
4πkEвн
/λ = 4πkU/λ. (3)
Выходящий из кристалла свет приобретает
эллиптическую поляризацию, появляется составляющая электромагнитной волны,
пропускаемая выходным поляризатором.
По мере увеличения напряжения и соответственно
сдвига фаз величина этой составляющей растет, интенсивность света на выходе
модулятора увеличивается. При величине фазового сдвига Δφ=
π
выходящий из кристалла свет снова становится плоско поляризованным с плоскостью
поляризации, повернутой на 90 градусов относительно положения на входе в
кристалл. Интенсивность света достигает максимального значения.
Напряжение, обеспечивающее этот фазовый сдвиг,
называется полуволновым. Его величина
Uπ
= λ / 4k. (4)
Следует подчеркнуть, что полуволновое напряжение
не зависит от длины электрооптического элемента и может рассматриваться как
параметр вещества. При длине волны 0,6 мкм оно составляет, например, 7,5 кВ для
КDP и 8,5 кВ для АDP.
Необходимость использования столь высоких
управляющих напряжений является серьезным недостатком рассматриваемого
модулятора, использующего продольный эффект Поккельса.
Существенное снижение управляющего напряжения
может быть получено, если в качестве электрооптического элемента использовать
стопу из N пластин, подключенных параллельно к источнику напряжения. В этом
случае фазовые сдвиги пластин суммируются и полуволновое напряжение стопы
оказывается в N раз меньше, чем для одной пластины. Такой прием, однако, не
получил широкого применения по причине более сложной технологии изготовления
электрооптического элемента и существенного увеличения потерь интенсивности
светового потока при его прохождении через множество электродов.
Более широкое применение в связи с этим получил
модулятор с поперечным эффектом Поккельса (рис.5). Необходимость использования
в этом случае двух элементов поясняется ниже. Оптическая ось кристалла здесь
ориентирована вдоль оси z
перпендикулярно к направлению света, поэтому в отличие от продольного эффекта
уже в отсутствие электрического поля имеет место двойное лучепреломление.
Показатель преломления nz
для луча, поляризованного в направлении оптической оси, является главным
показателем преломления для необыкновенного луча ne
и при изменении электрического поля (поскольку оно параллельно оптической оси)
в отличие от nx, остается
постоянным.
оптический модуль волоконный фотодетектор
Разность фаз между компонентами Еz
и Ey на выходе элемента
Δφ=
2π[ne
- (n0 - kEвн)]
/λ = 2π(ne
-n0 ) /λ
+ 2πkEвн/λ. (5)
Первое слагаемое отражает сдвиг фаз,
обусловленный естественной анизотропией кристалла, второе - воздействие
приложенного поперечного электрического поля. Напряжение прикладывается к
электродам, нанесенным на боковые грани элемента, поэтому напряженность
электрического поля Eвн=U/d
определяется размером кристалла в направлении поля d
и от длины не
зависит. На величину π фазовый
сдвиг изменяется при полуволновом напряжении
Uπ
= λd
/ 2k. (6)
Из сопоставления этого выражения с (4) видно,
что при поперечном эффекте Поккельса по сравнению с продольным полуволновое
напряжение снижается в
/2d раз: при реальных
размерах элемента (
= 50 ...100 мм, d = 3 ...5
мм) - почти на порядок. Важным преимуществом модулятора, использующего
поперечный эффект, является также отсутствие электродов на пути светового
потока.
Одиночные элементы с поперечным управляющим
полем почти не применяются, так как величина фазового сдвига, обусловленного
естественным двойным лучепреломлением, сильно зависит от температуры.
При указанных выше размерах элемента фазовый
сдвиг может изменяться в пределах нескольких радиан при изменении температуры
на 10С.
Температурную нестабильность компенсируют,
пропуская луч через два одинаковых элемента, установленные так, что направления
их оптических осей взаимно перпендикулярны (рис.5). Действительно, если,
например, составляющая Ez
в первом элементе, поляризованная в направлении оптической оси, опережает
компоненту Ey, то во
втором элементе её поляризация перпендикулярна к оптической оси и ситуация
изменяется на противоположную. В результате фазовые сдвиги, обусловленные
естественным двойным лучепреломлением, и соответственно их температурные
изменения взаимно компенсируются. Разности же фаз, обусловленные электрическим
полем при соответствующем выборе его направлений в элементах, как это отмечено
на рисунке, суммируются. Величина полуволнового напряжения по сравнению с
одиночным элементом при этом уменьшается ещё в два раза.
Зависимость интенсивности света I2,
прошедшего через модулятор, от величины напряжения описывается следующим
выражением:
I2 = I1 sin2(Δφ/2)
= I1 sin2(πU/2Uπ
) (7)
где I1
- интенсивность света на входе модулятора.
Графическое изображение этой зависимости
представлено на рис.6,а. Как видно из рисунка, с помощью модулятора
обеспечивается практически 100%-я модуляция светового потока. Это позволяет
использовать электрооптический модулятор в качестве быстродействующего
оптического затвора: при отсутствии напряжения на кристалле затвор закрыт, при
подаче полуволнового напряжения - открывается. Время срабатывания затвора не
превышает 10-9 с. Затворы такого типа применяются, например, для быстрого
включения добротности оптического резонатора с целью получения коротких и
гигантских по мощности импульсов лазерного излучения.
В системах оптической связи, где важно
обеспечить минимальные искажения при передаче информации, используется,
естественно, только средний участок характеристики электрооптического
модулятора, наиболее близкий к линейному. Смещение рабочей точки на середину
этого участка обеспечивается либо приложением половины полуволнового
напряжения, либо введением дополнительной пластины, вырезанной из кристалла,
обладающего естественным двойным лучепреломлением, и обеспечивающей фазовую
задержку π / 2. Такие
пластины обычно называются четвертьволновыми. Статическая характеристика
модулятора в этом случае имеет вид, показанный на рис.6,б.
Литература
1.
Алишев Я. В., Урядов В. Н. Методическое пособие к выполнению контрольных работ
по дисциплине “Направляющие системы и пассивные компоненты систем
телекоммуникаций” для студ. спец. 45 01 01 “Многоканальные системы
телекоммуникаций” заочной формы обучения. - Мн.: БГУИР, 2003.
.
Слепов Н. Н. Современные технологии цифровых оптоволоконных сетей связи. - М.:
Радио и связь, 2000.
3. Урядов В. Н. Электронный учебно-методический
комплекс по дисциплине “Волоконно-оптические системы передачи”. Для студентов
специальностей I 45 01 01
“Многоканальные системы телекоммуникаций” заочной формы обучения. - Мн.: БГУИР,
2008.
. Фриман Р. Волоконно-оптические системы связи.
Пер. с англ. под редакцией Слепова Н. Н. - М.: Техносфера, 2003.