Свойства и применение хлорофилла

  • Вид работы:
    Курсовая работа (т)
  • Предмет:
    Медицина, физкультура, здравоохранение
  • Язык:
    Русский
    ,
    Формат файла:
    MS Word
    585,67 Кб
  • Опубликовано:
    2014-03-13
Вы можете узнать стоимость помощи в написании студенческой работы.
Помощь в написании работы, которую точно примут!

Свойства и применение хлорофилла















Курсовая работа

Свойства и применение хлорофилла

Балахнова Екатерина Андреевна

Введение

Возможность экстракции зеленых пигментов листьев спиртом была известна уже французскому ученому Ж. Сенебье в 1782-1800 гг. В 1817 г. французские химики П. Пельтье и Ж. Кованту назвали зеленый спиртовой раствор смеси растительных пигментов хлорофиллом. Экспериментальные доказательства того, что поглощенный хлорофиллом свет приводит к фотосинтезу, были получены в параллельных исследованиях российского ученого К.А. Тимирязева и немецкого ученого Н. Мюллера в 1872-1876 гг. Это представление стало общепринятым после работ немецкого ученого Рейнке (1884-1885 гг.). Многие исследователи пытались найти способы очистки зеленых пигментов и определения их химической структуры. В частности, российский ботаник И.П. Бородин в 1882 описал получение производного хлорофилла - кристаллического этилхлорофиллида при действии этанола на листья. Эти исследования были подтверждены и продолжены российским исследователем Н.А. Монтеверде в 1893. Задача выделения чистых зеленых пигментов была решена в 1906-1908 гг. российским ученым М.С. Цветом с помощью разработанного им хроматографического метода. Цвет показал, что зеленый пигмент растений является смесью двух пигментов, названных позже хлорофиллами а и b.

Химическую структуру хлорофилла а выяснили немецкие ученые Р. Вильштеттер, А. Штоль и Х. Фишер. Фишер начал работы по химическому синтезу хлорофилла, а полный синтез хлорофилла был выполнен американским химиком Р. Вудвордом в 1960.

Способность хлорофиллов in vitro к обратимому переносу электрона под действием света была экспериментально установлена в работах российского ученого А.А. Красновского в 1948-1950 гг. и последующих работах его школы. Обратимые фотопревращения хлорофилла в фотосинтезирующих клетках были первоначально обнаружены голландскими исследователями Л.М.Н. Дейзенсом (1952) на примере бактериохлорофилла пурпурных бактерий и затем Б. Коком на хлорофилле хлоропластов (1956-1957 гг.).

Эти работы послужили основой для понимания функции хлорофилла в фотосинтетическом аппарате.

1.     
Характеристика

Хлорофилл (от греч. chloros - зеленый и phyllon - лист), зеленый пигмент растений, с помощью которого они улавливают энергию солнечного света и осуществляют фотосинтез, т. е. превращают солнечную энергию в энергию химических связей органических соединений. Содержится и в фотосинтезирующих организмах других видов - водорослях и бактериях. С точки зрения химического строения хлорофилл неоднороден. Существуют различные типы хлорофиллов. Основой химического строения всех хлорофиллов является сложное циклическое соединение - порфирин, содержащий центральный атом Mg и многоатомный гидрофобный спиртовый остаток.

Основу хлорофилла составляет макроцикл, содержащий четыре пиррольных кольца и ион Mg2+ в центре. В боковых цепях присутствуют углеводородные радикалы разной длины и насыщенности и кислородсодержащие функциональные группы. Существует 5 видов хлорофиллов - a, b, c1, c2, d, которые отличаются типом боковых цепей. В растениях содержатся только хлорофиллы a и b, включающие длинную углеводородную фитильную цепь.

Хлорофилл содержит полностью сопряженную тетрапиррольную систему (18-электронов), поэтому поглощает свет в видимом диапазоне. Максимум поглощения хлорофилла a приходится на голубую и желтую области спектра. Сочетание этих цветов и обусловливает характерный зеленый цвет свежих листьев.

Хлорофилл - главная структурная единица фотосинтетических светособирающих устройств (антенн) зеленых растений, которые представляют собой наноразмерные супрамолекулярные комплексы, содержащие до нескольких сот пигментов, находящихся в белковом окружении. Основные функции хлорофилла - поглощение света, превращение световой энергии в электронную и передача ее посредством ван-дер-ваальсового (диполь-дипольного) взаимодействия соседним молекулам. По цепи хлорофиллов электронная энергия передается к реакционному центру фотосинтеза, где используется для пространственного разделения заряда и последующих окислительно-восстановительных реакций. Хлорофиллы также входят в состав реакционных центров зеленых растений, где играют роль первичных доноров электронов.

В растениях хлорофиллы в составе антенн и реакционных центров расположены в фотосинтетических мембранах, где пространственно закрепляются в определенных местах с помощью фитильных боковых цепей и дополнительного комплексообразования между ионом Mg2+ и полипептидными цепями белков.

В пурпурных и зеленых бактериях функции хлорофилла выполняют бактериохлорофиллы, у которых, в отличие от хлорофилла, одно или два пиррольных кольца частично гидрированы. Благодаря этому бактериохлорофиллы поглощают свет больших длин волн (и меньшей энергии), чем хлорофиллы.

Рис.1. Структурная формула хлорофиллов a и b.

2.     
Свойства

.1 Физические свойства

Как уже отмечалось, хлорофилл способен к избирательному поглощению света. Спектр поглощения данного соединения определяется его способностью поглощать свет определенной длины волны (определенного цвета). Для того, чтобы получить спектр поглощения, К.А. Тимирязев пропускал луч света через раствор хлорофилла. Часть лучей поглощалась хлорофиллом, и при последующем пропускании через призму в спектре обнаруживались черные полосы. Было показано, что хлорофилл в той же концентрации, как в листе, имеет две основные линии поглощения в красных и сине-фиолетовых лучах. При этом хлорофилл а в растворе имеет максимум поглощения 429 и 660 нм, тогда как хлорофилл b - 453 и 642 нм. Однако необходимо учитывать, что в листе спектры поглощения хлорофилла меняются в зависимости от его состояния, степени агрегации, адсорбции на определенных белках. В настоящее время показано, что есть формы хлорофилла, поглощающие свет с длиной волны 700, 710 и даже 720 нм. Эти формы хлорофилла, поглощающие свет с большой длиной волны, имеют особенно важное значение в процессе фотосинтеза.

Рис. 2. Спектры поглощения хлорофиллов а и b

Хлорофилл обладает способностью к флуоресценции. Флуоресценция представляет собой свечение тел, возбуждаемое освещением и продолжающееся очень короткий промежуток времени (10-8-10-9 с). Свет, испускаемый при флюоресценции, имеет всегда большую длину волны по сравнению с поглощенным. Это связано с тем, что часть поглощенной энергии выделяется в виде тепла. Хлорофилл обладает красной флуоресценцией.

По химическому строению хлорофиллы - сложные эфиры дикарбоновой органической кислоты - хлорофиллина и двух остатков спиртов - фитола и метилового. Эмпирическая формула - C55H72О5N4Mg. Хлорофиллин представляет собой азотсодержащее металлорганическое соединение, относящееся к магнийпорфиринам.

2.2    Химические свойства

В хлорофилле водород карбоксильных групп замещен остатками двух спирит - метилового СН3ОН и фитола С20Н39ОН, поэтому хлорофилл является сложным эфиром. На рисунке дана структурная формула хлорофилла а. Хлорофилл b отличается тем, что содержит на два атома водорода меньше и на один атом кислорода больше (вместо группы СН3 группа СНО). В связи с этим молекулярная масса хлорофилла а - 893 и хлорофилла b - 907.

В 1960 г. Г.Б. Вудворд осуществил полный синтез хлорофилла.

Синтез хлорофилла а - одно из замечательных достижений в области органической химии. Полный синтез включает 46 стадий. Его основные этапы представлены схемами 2 и 3.

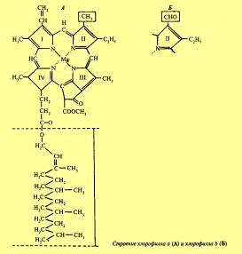
Рис.3. Строение хлорофилла а (А) и хлорофилла b (Б)

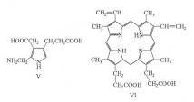
Первый этап заключается в последовательном синтезе порфирина VII из четырех пирролов-предшественников колец A-D молекулы хлорофилла через два дипирролилметана (схема 2).


Второй этап - превращение порфирина VII в триметиловый эфир хлорина е6 (VIII) с транс-конфигурацией при атомах С-17 и С-18 (так называемая пурпуриновая реакция; схема 3), последняя циклизация которого приводит к хлорофиллу а.


В центре молекулы хлорофилла расположен атом магния, который соединен четырьмя атомами азота пиррольных группировок. В пиррольных группировках хлорофилла имеется система чередующихся двойных и простых связей. Это N есть хромофорная группа хлорофилла, обусловливающая поглощение определённых лучей солнечного спектра и его окраску. Диаметр порфиринового ядра составляет 10 нм, а длина фитольного остатка - 2 нм. Расстояние между атомами азота пиррольных группировок в ядре хлорофилл составляет 0,25 нм. Интересно, что диаметр атома магния равен 0,24 нм. Таким образом, магний почти полностью заполняет пространство между атомами азота пиррольных группировок. Это придает ядру молекулы хлорофилла дополнительную прочность.

Еще К.А. Тимирязев обратил внимание на близость химического строения двух важнейших пигментов: зеленого - хлорофилла листьев и красного - гемина крови. Действительно, если хлорофилл относится к магнийпорфиринам, то гемин - к железопорфиринам. Сходство это не случайно и служит еще одним доказательством единства всего органического мира. Одной из специфических черт строения хлорофилла является наличие в его молекуле помимо четырех гетероциклов еще одной циклической группировки из пяти углеродных атомов - циклопентанона. В циклопентановом кольце содержится кетогруппа, обладающая большой реакционной способностью. Есть данные, что в результате процесса энолизации по месту этой кетогруппы к молекуле хлорофилла присоединяется вода. Молекула хлорофилла полярна, ее порфириновое ядро обладает гидрофильными свойствами, а фитольный конец - гидрофобными. Это свойство молекулы хлорофилла обусловливает определенное расположение ее в мембранах хлоропластов. Порфириновая часть молекулы связана с белком, а фитольная цепь погружена в липидный слой.

Извлеченный из листа хлорофилл легко реагирует как с кислотами, так и со щелочами. При взаимодействии со щелочью происходит омыление хлорофилла, в результате чего образуются два спирта и щелочная соль кислоты хлорофиллина. В интактном живом листе от хлорофилла может отщепляться фитол под воздействием фермента хлорофиллазы. При взаимодействии со слабой кислотой извлеченный хлорофилл теряет зеленый цвет, образуется соединение феофитин, у которого атом магния в центре молекулы замещен на два атома водорода. Хлорофилл в живой интактной клетке обладает способностью к обратимому фотоокислению и фотовосстановлению. Способность к окислительно-восстановительным реакциям связана с наличием в молекуле хлорофилла сопряженных двойных связей с подвижными л-электронами и атомов азота с неподеленными электронами. Азот пиррольных ядер может окисляться (отдавать электрон) или восстанавливаться (присоединять электрон).

Исследования показали, что свойства хлорофилла, находящегося в листе и извлеченного из листа, различны, так как в листе он находится в комплексном соединении с белком. Это доказывается следующими данными

. Спектр поглощения хлорофилла, находящегося в листе, иной по сравнению с извлеченным хлорофиллом.

. Хлорофилл невозможно извлечь абсолютным спиртом из сухих листьев. Экстракция протекает успешно, только если листья увлажнить или к спирту добавить воды, которая разрушает связь между хлорофиллом и белком.

. Выделенный из листа хлорофилл легко подвергается разрушению под влиянием самых разнообразных воздействий (повышенная кислотность, кислород и даже свет).


Между тем в листе хлорофилл достаточно устойчив ко всем перечисленным факторам. Следует отметить, что хотя крупный русский ученый В.Н. Любименко и предлагал этот комплекс назвать хлороглобином, по аналогии с гемоглобином, связь между хлорофиллом и белком иного характера, чем между гемином и белком. Для гемоглобина характерно постоянное соотношение - на 1 молекулу белка приходится 4 молекулы гемина. Между тем соотношение между хлорофиллом и белком различно и претерпевает изменения в зависимости от типа растений, фазы их развития, условий среды (от 3 до 10 молекул хлорофилла на 1 молекулу белка). Связь между молекулами белка и хлорофиллом осуществляется путем нестойких комплексов, образующихся при взаимодействии кислотных групп белковых молекул и азота пиррольных колец. Чем выше содержание дикарбоновых аминокислот в белке, тем лучше идет их комплексирование с хлорофиллом (Т.Н. Годнев). Белки, связанные с хлорофиллом, характеризуются низкой изоэлектрической точкой (3,7-4,9). Молекулярная масса этих белков порядка 68 кДа. Вместе с тем хлорофилл может взаимодействовать и с липидами мембран. Важным свойством молекул хлорофилла является их способность к взаимодействию друг с другом. Переход из мономерной в агрегированную форму возник в результате взаимодействия двух и более молекул при их близком расположении друг к другу. В процессе образования хлорофилла его состояние в живой клетке закономерно меняется. При этом и происходит его агрегация.

В настоящее время показано, что хлорофилл в мембранах пластид находится в виде пигментлипопротеидных комплексов с различной степенью агрегации.

3.      Применение в медицине

Целители всех времен и народов с давних времен использовали зеленый пигмент растений - хлорофилл для лечения кожных ран и язв. Ученье ведущих медицинских центров разных стран в последние годы открыли новые лечебные свойства хлорофилла, как борца с инфекционными и даже раковыми заболеваниями. Стоматологи теперь считают, что хлорофилл более эффективен для санации полости рта и очищения дыхания, чем разрекламированные мятные жевательные резинки МИНТОН.

В начале 20 века ученые сделали открытие, что гемоглобин крови имеет сходство по строению с хлорофиллом, только в первом случае белковая структура формируется вокруг молекулы железа, а во втором вокруг магния. Хлорофилл стали называть кровью зеленых растений.

Первые научные данные о хлорофилле были опубликованы 1940 году в профессиональном журнале “Американский хирургический журнал” №49. Было научно доказано, что хлорофилл ускоряет процессы регенерации тканей. Но, к сожалению, это было время увлечения антибиотиками и не только врачи, но и фармацевтические компании отдавали им предпочтение.

Надо отдать должное стоматологам из штата Мичиган (США), которые в течение 2-х десятилетий изучали влияние хлорофилла на микро-экологию полости рта. Доктор Robert Nara разработал программу профилактики кариеса зубов с использованием зубной пасты содержащей хлорофилл. Ученый правильно предполагал, что хлорофилл, участвуя в фотосинтезе, имеет непосредственное отношение к производству кислорода. Именно кислород является сильнейшим антибактериальным агентом. Что и было еще раз доказано в отношении бактерий, вызывающих кариес.

Но не только местное применение хлорофилла привлекает ученых-медиков. В 1976 году израильские ученые провели успешные опыты на мышах с экспериментальной моделью острого панкреатита, причем использовались различные виды введения хлорофилла. Ранее ученые из Японии доказали эффективность хлорофилла при инфекционных заболеваниях.

Но особенно интригующими выглядят результаты исследований, проведенные учеными в штате Техас (США) в 1979 году. По стандартной методике мышам прививали опухоль толстой кишки. У мышей, которым скармливали пищу с экстрактом хлорофилла, опухоль не развивалась. Это еще раз доказывает старую истину, что употребление зелени и овощей предупреждает развитие раковых заболеваний, прежде всего кишечника. Японские ученые изучили около 60 видов растений и овощей и доказали, что большинство из них обладают антиканцерогенными свойствами. Причем нагревание и кипячение лишает овощей этих свойств.

Доктор Chiu-Nan Lai из Anderson Hospital считает, что именно хлорофилл является главным антиканцерогенным фактором. И, конечно, антимутагенными свойствами обладают все растения богатые хлорофиллом - брюссельская капуста, брокколи, шпинат, leafy lettuce, люцерна, хлорелла, спирулина, ростки пшеницы и ячменя.

Свежие овощи, экстракты, мази и зубная паста, содержащие хлорофилл - это и есть природная зеленая аптека.

В марте 1950 года ученый медик Howard Wescott сделал научный доклад о том, что при регулярном приеме внутрь хлорофилла исчезает неприятный запах изо рта и от кожных покровов. Причем ученый провел ряд клинических исследований и доказал, что достаточно принимать в день (лучше утром) 100 мг хлорофилла, чтобы получить хороший результат (приблизительно в 90% случаев). Причем хлорофилл дезодорирует дыхание и полость рта даже после употребления лука или курения. В госпитальных условиях устраняет запах мочи, менструальные выделения.

По словам американского ученого K. Birsher хлорофилл является концентрированной солнечной энергией. Он оказывает стимулирующее влияние на различные органы и системы - сердечно-сосудистую, легочную, желудочно-кишечную систему, почки и др. Кроме того происходит активация кроветворения и прежде всего - эритропоеза, а у кормящих матерей нет проблем с лактацией, что особенно стало актуально в наше время.

И, конечно, одно из самых удивительных свойств хлорофилла - это антибактериальное действие, причем не имеет значения идет ли речь о банальной простуде, остром синусите или хроническом воспалении (хронической кожной язве, эрозии шейки матки), во всех случаях клиницисты отмечают определенные положительные сдвиги. Это при полной безопасности назначения хлорофилла как вовнутрь, так и местно.

В основе такого действия лежит активация обмена азота в организме (активация положительного азотного баланса), и по силе стимулирующего воздействия трудно найти вещества равному хлорофиллу.

Что же такое хлорофилл - это зеленый пигмент растений, который осуществляет фотосинтез. Фотосинтез - это процесс поглощения двуокиси углерода из воздуха, превращение солнечной энергии в химические связи и прежде всего углеводородов (крахмала, сахаров). Поразительно, но в процессе фотосинтеза происходит выделение кислорода. Это и есть зеленое чудо Природы. Жаль, что современный человек (в том числе и врачи) серьезно не относятся к такому подарку судьбы.

К счастью, увлечение химиотерапией уходит в прошлое и все больше врачей прибегает к помощи “зеленой аптеки”.

Так накоплен большой опыт применения препарата Chlorohpill Liguid (Жидкий хлорофилл), производства американской компании Natures Sunshine Products (NSP) российскими врачами и врачами стран СНГ.

Среди них: врач женской консультации г. Минска Ляшенко А.П., которая с успехом применяет этот препарат для профилактики осложнений беременности, а также лечения анемии детский врач-отоларинголог Чудинова Е.В.(г. Москва) широко использует этот препарат в своей повседневной практике для лечения как острых, так и хронических заболеваний ЛОР - органов, врач-хирург Коржик Н.П.(г. Киев) использует препарат Chlorohpill Liguid (Жидкий хлорофилл) для лечения гнойно-септических заболеваний, применяя его в том числе и местно.

Это лишь несколько примеров эффективного использования препарата. На самом деле за шесть лет, которые компания (NSP) присутствует на Российском рынке, тысячи людей избавились от сложнейших заболеваний, благодаря этому замечательному препарату.

Рекомендуется ежедневно принимать по 1-3 чайной ложки Жидкого хлорофилла, или 6-12 кап. Alfalfa (Люцерны)

Наиболее частым источником промышленного получения хлорофилла является люцерна. Из свежих листьев получают сок, который высушивается по специальной технологии, затем либо фасуется в капсулы, либо вновь готовится раствор. По эффективности эти формы равнозначны, но в последнем случае продукт всасывается легче и эффект наступает быстрее.

Люцерна. В одних странах её считают просто кормовой травой для скота, в других почитают как лекарственное средство. Человек не может употреблять люцерну в пищу из-за большого содержания грубой клетчатки. Жвачные животные вырабатывают активный фермент целлюлозу. Она растворяет клеточные стенки, напоминающие по плотности и структуре пластмассу. Современные методы очистки позволяют добраться до этих уникальных природных кладовых.

Благодаря мощной корневой системе, люцерна способна извлекать питательные вещества с большой глубины, в отличие от простых овощных культур, которые в наше время обречены довольствоваться поверхностными истощенными слоями почвы.

По качественному составу Люцерна содержит в 4 раза больше витамина С, чем цитрусовые. Содержит много витамина К, который необходим для предупреждения кровоточивости, тормозит образование оксалатов в почках. Среди других витаминов надо отметить высокое содержание бета-каротина, витамина Е, В6, D, ниацина. Ученые медики недавно открыли в зеленых растениях так называемый антиульцеррозный фактор, так называемый витамин U, предупреждающий образование язвы 12-перстной кишки.

Что касается минералов, то люцерна является чемпионом по их содержанию. Процентное содержание кальция самое высокое среди изученных растений. Железо, магний, калий представлены в легкоусвояемой форме. Кроме того люцерна является замечательным источником белка, точнее содержит 8 незаменимых аминокислот необходимых для синтеза белков.

Прежде всего люцерна рекомендуется женщинам в предклиматическом периоде, а также при снижении уровня эстргенов (гипоэстрогении) у женщин репродуктивного возраста. Так как люцерна обладает гипогликемическим и гипохолестеринемическим действием, то рационально назначать ее при метаболических нарушениях (атеросклероз, диабет, дегенеративные заболевания суставов и т.п.). Кроме того, врачи рекомендуют люцерну, как адаптогенный препарат, особенно необходимый человеку в наше время сплошных стрессов.

Конечно, для получения экстрактов люцерны и чистого хлорофилла используется высокотехнологические и сложные методики. И тем не менее, каждый из нас может приготовить себе зеленый напиток, особенно весной и летом, когда вокруг все расцветает. Оказывается, что это так просто. Понадобится 1-2 стакана воды, миксер с режущими лопастями и любая доступная свежая зелень (шпинат, ревень, мангольд, одуванчик и т.д.). Приготовленный напиток не будет блистать вкусовыми качествами, поэтому рекомендуется добавлять сладкие соки. Учтите, что с цитрусовым соком улучшится вкус, но не цвет. Вид будет не очень аппетитный, лучше не использовать прозрачную посуду. Но главное не нужно привередничать.

Думайте о своем здоровье и о здоровье ваших близких. Ну а тем, кому эти процедуры и приготовления не по плечу, рекомендуется обращаться в фитоцентры компании NSP, где вы всегда найдете нужные для здоровья препараты.

Литература

хлорофилл люцерна экстракт

1.      Андрианова Ю.Е. Хлорофилл и продуктивность растений. - М.: Наука, 2000.

.        Бутенко В. Зелень для жизни. Глава 14. Целительная сила хлорофилла. http://sozvezdie-love.ru

.        Годнев Т.Н., Строение хлорофилла и методы его количественного определения, Минск, 1952;

.        Дайзенхофер И., Михель Х., Фотосинтетический реакционный центр пурпурной бактерии, пер. с нем., М., 1990;

5.      Досон Р., Эллиот Д., Эллиот У., Джонс К. "Справочник биохимика" М.:Мир, 1991 стр. 190

6.      Езовит А. Хлорофилл - зелёная кровь http://www.fit-area.com/month_product/april_2007.shtml

7.      Еремин В.В. « Хлорофилл»,<http://thesaurus.rusnano.com/>

8.      Каррер П. "Курс органической химии" 2-е изд., под ред. Колосова М.Н., Л.:ГНТИХЛ, 1962 стр. 979-982

9.      Красновский А.А. Преобразование энергии света при фотосинтезе. Молекулярные механизмы. М., 1974.

.        Ленинджер А. Биохимия. - М.: Мир, 1974. Гл. 21.

.        Новиков А.Ф. Ст. науч. кон. Представительства NSP в России, зам. руковод. кафедры профилактической медицины РУДН. «Хлорофилл очищает не только дыхание» http://www.mosmedclinic.ru/

12.    Рубин А.Б. Биофизика. Т. 2. - М.: Книжный дом «Университет», 2000. Гл. 27.

13.    Стид Дж.В., Этвуд Дж.Л. Супрамолекулярная химия. Т. 1. - М.: Академкнига, 2007. Гл. 2.3.

.        Тимирязев К.А., Солнце, жизнь и хлорофилл, Избр. соч., т. 1, М., 1948;

.        "Физиология растений". Онлайн-энциклопедия http://www.fizrast.ru Copyright © 2010-2013

.        Хлорофилл. Сб. ст., Минск, 1974;

.        Хлорофилл. Энциклопедия «Кирилл и Мефодий» 2009.

.        http://slovari.yandex.ru/%D1%85%D0%BB%D0%BE%D1%80%D0%BE%D1%84%D0%B8%D0%BB%D0%BB/%D0%91%D0%A1%D0%AD/%D0%A5%D0%BB%D0%BE%D1%80%D0%BE%D1%84%D0%B8%D0%BB%D0%BB/

19.    Speer, Brian R. (1997). «Photosynthetic Pigments» <http://www.ucmp.berkeley.edu/glossary/gloss3/pigments.html> на сайте UCMP Glossary (online) <http://www.ucmp.berkeley.edu/glossary/>. University of California, Berkeley Museum of Paleontology. Verified availability August 4, 2005. )

20.    http://ru.wikipedia.org/wiki/%D5%EB%EE%F0%EE%F4%E8%EB%EB

.        http://superb-nsp.com/products/liquid-chlorophyll/index.html

.        http://www.abcslim.ru/articles/731/hlorofill/

.        «Chlorophylls» ed. H. Scheer, CRC Press, Boca Raton, Ann Arbor, Boston, London, 1991.

.        The Chlorophylls / Ed. by L.P. Vernon, G.L. Seely. New York; London, 1966.

.        Chlorophylls / Ed. by H. Scheer. Boston; London, 1991.

26.    http://www.xlorofill.ru

27.    http://xn--80aiad8adip.xn p1ai/%D0%BF%D0%BE%D0%BB%D1%8C%D0%B7%D0%B0-%D1%85%D0%BB%D0%BE%D1%80%D0%BE%D1%84%D0%B8%D0%BB%D0%BB%D0%B0-%D0%B4%D0%BB%D1%8F-%D0%BE%D1%80%D0%B3%D0%B0%D0%BD%D0%B8%D0%B7%D0%BC%D0%B0.html

.        http://chel-o-vek.ru/12/khlorofill

.        http://tvoe-zavtra.ucoz.ru/index/khlorofill/0-25

Похожие работы на - Свойства и применение хлорофилла

 

Не нашли материал для своей работы?
Поможем написать уникальную работу
Без плагиата!
Без нейросетей!