Пектиновые вещества, подсластители и хлорофилл

  • Вид работы:
    Контрольная работа
  • Предмет:
    Химия
  • Язык:
    Русский
    ,
    Формат файла:
    MS Word
    141,43 kb
  • Опубликовано:
    2012-03-24
Вы можете узнать стоимость помощи в написании студенческой работы.
Помощь в написании работы, которую точно примут!

Пектиновые вещества, подсластители и хлорофилл

Вопросы к контрольной работе по дисциплине "Химия пищевых добавок"


Вопрос №1:

Пектиновые вещества: общая характеристика, способы получения, химическое строение, физико-химические и технологические свойства (растворимость, вязкость, стойкость к термолизу и механолизу); механизм превращений под воздействием разных (концетрация, температура, рН - среда, элетролиты, сахара, т.д.) на структуру и консистенцию пищевых систем.

Вопрос №2:

Подсластители: строение, физико-химические свойства; механизм превращений под воздействием разных (концентрация, температура, рН - среда и т.д.).

Вопрос №3:

Хлорофилл. Разработать паспорт на пищевую добавку.

1. Пектины


Пектины являются наиболее известными представителями гетерогликанов высших растений.

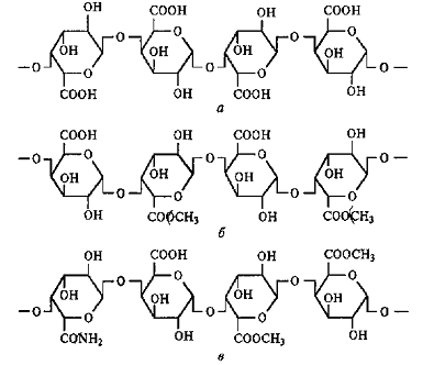
Пектинами-Е440 (pektos в переводе с греческого - свернувшийся, замерзший) называется труппа высокомолекулярных гетерогдиканов, входящих наряду с целлюлозой, гемицеллюлозой и лигнином в состав клеточных стенок и межклеточных образований высших растений, а также присутствующих в растительных соках некоторых из них. Пектины локализованы в первичной клеточной стенке и через боковые цепочки соединены с волокнами целлюлозы и гемицеллюлозами. По химической природе пектины представляют собой гетерополисахариды, основу которых составляют рамногалактуронаны Главную цепь полимерной молекулы образуют производные полигалактуроновой (пектовой) кислоты (полиурониды), в которой остатки D-галактуроновой кислоты связаны 1,4-α-гликозидной связью. Основная цепочка полигалактуроновой кислоты в растворе имеет вид спирали, содержащей три молекулы галактуроновой кислоты в одном витке В цепь полигалактуроновых кислот неравномерно через 1,2-α-гликозидную связь включаются молекулы L-рамнозы (6-дезокси-L-маннопиранозы), что придает полимерной молекуле зигзагообразный характер (рис 3.1).

Часть карбоксильных групп полигалактуроновой кислоты обычно этерифицирована метанолом (пектиновая кислота), а часть вторичных спиртовых групп (С2 и С3) может быть ацетилирована. Молекулы пектинов могут содержать от нескольких сотен до тысячи мономерных остатков, что соответствует средней молекулярной массе от 50 до 150 тыс.

Фрагменты молекул пектовой (а) и пектиновой (б) кислот представлены на рис.3.2 Соли пектовой кислоты получили название пектаты, пектиновой - пектинаты Гомогенную структуру пектиновой цепи, кроме рамнозы, нарушают также боковые цепочки нейтральных Сахаров, в построении которых участвуют галактоза, арабиноза и ксилоза.

Различия пектиновых веществ обусловлены разветвленностью полимерной цепи, содержанием в ней полигалактуроновой кислоты, разнообразием моносахаридного состава боковых цепей, состоянием карбоксильных (частично метилированы) и вторичных спиртовых (частично ацетилированы) групп, а также характером распределения карбоксильных групп вдоль полимерной молекулы Указанные выше особенности строения пектинов позволяют их молекулам связывать воду, образовывать гели и взаимодействовать с катионами металлов и белками. Они играют важную роль в физиологических процессах, участвуя в водном и ионном обмене Эти же свойства обусловливают широкое применение пектинов в пищевой промышленности.

пектин подсластитель краситель хлорофилл

В клетках растений пектиновые вещества прочно связаны с другими соединениями (целлюлоза, гемицеллюлоза, лигнин), участвующими в построении клеточных структур, и не могут быть извлечены водной экстракцией. Такая нерастворимая в воде форма получила название протопектин. При созревании или тепловой обработке фруктов и овощей протопектин превращается в растворимый

ГлК - галактуроновая кислота; Рм - рамноза

Рис.1.1 Схематическое изображение фрагмента рамногалактуронана

Рис.1.2 Фрагменты пектиновых молекул:

а - пектовая кислота; б - пектиновая кислота; в - амидированный пектин пектин В промышленности пектин получают кислотным или ферментативным гидролизом - обменной реакцией между водой и веществом (в данном случае пектинсодержащим материалом), которая сопровождается гидролитическим расщеплением реакционнособных химических связей.

Подбираются такие условия, при которых гидролизуются гликозидные связи, соединяющие пектиновые молекулы с целлюлозой, и не затрагиваются более прочные гликозидные связи в полимерной пектиновой молекуле, а также сложноэфирные связи в этерифицированных карбоксильных группах.

Технологический процесс включает от 4 до 7 этапов, основным из которых является гидролиз протопектина, сопровождающийся экстракцией его из растительного сырья. В классических способах гидролиз проводят растворами минеральных кислот (НС1, H2SO4, HNO3, Н3РО4) при рН менее 2 и температуре около 85°С в течение 2-2,5 ч При этом молекулы рамногалактуронанов переходят в раствор, откуда после очистки и концентрирования их извлекают различными технологическими приемами, например осаждением из этанола. Осажденный пектин сушат, измельчают и стандартизируют, добавляя сахар или ретардатор - соль одновалентного катиона и пищевой кислоты (молочной, винной, лимонной), замедляющие процесс гелеобразования.

В некоторых случаях степень этерификации выделенных пектинов понижают специально, для чего концентрированный жидкий экстракт подвергают контролируемой деэтерификации кислотным, щелочным или ферментативным (с помощью фермента пектинэстеразы) способом Наиболее быстрым является способ щелочной деэтерификации под действием гидроксида натрия или аммиака (процесс аммонолиза) Пектины, деэтерифицированные путем аммонолиза и представляющие собой амиды пектиновых кислот, получили название амидированных (рис 3.2, в) и выделены в Codex Alimentanus в отдельную подгруппу (Е440b). В соответствии с официальными требованиями ФАО-ВОЗ степень амидирования таких пектинов не должна превышать 25 %.

В зависимости от степени этерификации все пектины условно разделяют на две подгруппы.

высокоэтерифицированные - степень этерификации более 50 %,

низкоэтерифицированные - степень этерификации менее 50 %.

В настоящее время выпускают несколько видов пектинов, выделяемых из различного сырья и отличающихся по составу и функциональным свойствам яблочный, цитрусовый, свекловичный, пектин из корзинок подсолнечника, а также комбинированные пектины из смешанного сырья Строение молекул пектинов, выделяемых из различных растительных объектов, имеет свои отличительные особенности по молекулярной массе, степени этерификации, наличию ацетилированных гидроксильных групп (табл.3.11)

Таблица 1.3

Особенности различных пектинов

Вин пектина

Характестика


по степени этерификации

по молекулярной массе

по наличию ацетильных групп

Яблочный

Высокоэтерифицированный

Высокомолекулярный

Неацетилированрованный

Цитрусовый

То же

Низкомолекулярный

То же

Свекловичный

Низкоэтерифицированный

То же

Метилированный

Подсолнечнико-вый

То же

Высокомолекулярный

То же


Указанные пектины отличаются также характером распределения карбоксильных групп по длине пектиновой молекулы: в яблочных пектинах это распределение равномерное, а, например, в цитрусовых - нет.

Особенности химического строения пектиновых молекул, в частности, степень этерификации, определяют различия их физико-химических свойств, основными среди которых являются растворимость, гелеобразующая и комплексообразующая способность.

Растворимость пектинов в воде повышается с увеличением степени этерификации их молекул и уменьшением молекулярной массы. Пектовая кислота, в молекуле которой нет этерифицированных карбоксильных групп, в воде нерастворима. При комнатной температуре в условиях интенсивного перемешивания в 100 мл воды растворяется от 4 до 8 г пектина, при температуре 60-80°С - около 10 г, т.е. максимальная концентрация водных растворов пектина может составлять 10 %. Растворимость повышается в присутствии Сахаров. Из-за наличия в пектиновых молекулах диссоциирующих свободных карбоксильных групп их водные растворы имеют кислую реакцию (рН около 3,5).

Главное свойство, на котором основано применение пектинов в пищевых технологиях, - гелеобразующая способность.

Гелевая структура растворов пектинов образуется в результате взаимодействия пектиновых молекул между собой и зависит от особенностей строения молекулы - молекулярной массы, степени этерификации, характера распределения карбоксильных групп. Кроме того, на процесс гелеобразования влияют температура, рН среды и содержание дегидратирующих веществ. Формирование пространственной структуры геля может происходить двумя путями: за счет изменения сил электростатического отталкивания пектиновых молекул в присутствии дегидратирующих веществ (сахарозы) в кислой среде (сахарно-кислотное гелеобразование); при участии ионов поливалентных металлов. Тип ассоциации пектиновых молекул определяется степенью эте-рификации. Высокоэтерифицированные пектины образуют гели в присутствии кислоты (рН 3,1-3,5) при содержании сухих веществ (сахарозы) не менее 65 %, низкоэтерифицированные - в присутствии ионов поливалентных металлов, например кальция, независимо от содержания сахарозы в широком диапазоне рН (от 2,5 до 6,5). Пектины высокой степени этерификации образуют высокоэластичные гели, имеющие тенденцию к возвращению формы в исходное состояние после ее изменения при механическом сдвиге. Пектины низкой степени этерификации в зависимости от концентрации ионов кальция могут давать различные по консистенции гели - от высоковязких (не восстанавливающих исходную форму после деформирования) до высокоэластичных. Комплексообразующая способность (образование циклических комплексов поливалентных металлов) различных пектинов зависит от содержания свободных карбоксильных групп, т.е. степени этерификации пектиновых молекул, и не зависит от их молекулярной массы. Способность пектиновых молекул связывать поливалентные катионы увеличивается при снижении степени их этерификации и повышении степени диссоциации свободных карбоксильных групп (т.е. при повышении рН среды), а по отношению к различным катионам изменяется в ряду (Paskins-Hurlburt et al., 1977)

Mg < Mn < Сг < Hg < Fe < Ni < Co < Cu < Zn < Sr< Cd < Ba < Pb.

Основные области применения пектинов связаны с их функциональными свойствами. Гелеобразующая способность используется в кондитерской и консервной промышленности при изготовлении желейных кондитерских изделий и гелеобразной фруктово-ягодной консервной продукции. К ним относятся различные желе, мармелады, зефиры и пастила, джемы, конфитюры, а также фруктовые начинки. На способности пектиновых молекул образовывать комплексы с белками основано их использование при получении кисломолочных продуктов (йогуртов и т.п.). Молекулы высокоэтерифицированных пектинов могут образовывать пектин-протеиновые комплексы. При рН 4,0-4,2 они вступают, например, во взаимодействие с молекулами казеина молока, что приводит к изменению общего заряда белковых молекул и обеспечивает их физическую стабильность в кислой среде.

Технологическая функция стабилизатора проявляется молекулами пектина в таких дисперсных пищевых системах, как мороженое, майонезы, соки с мякотью. Аналогично некоторым видам модифицированных крахмалов пектины можно использовать в качестве низкокалорийного заменителя жиров в эмульсионных продуктах (наливные маргарины, майонезы).

Содержание пектинов в пищевых продуктах составляет от 0,03 до 2,0 %, т.е. от 0,3 до 20 г на 1 кг изделия.

В последнее время пектины широко используют в качестве профилактических средств для групп населения, проживающих в зонах риска отравления тяжелыми металлами и радионуклидами, благодаря способности низкоэтерифицированных пектинов образовывать комплексные соединения с ионами цинка, свинца, кобальта, стронция, радионуклидами.

Кроме того, будучи растворимыми пищевыми волокнами, пектины являются физиологически ценными пищевыми добавками (функциональными ингредиентами), присутствие которых в пищевых продуктах традиционного рациона способствует улучшению состояния здоровья. Специфическое физиологическое воздействие растворимых пищевых волокон связано с их способностью снижать уровень холестерина в крови, нормализовать деятельность желудочно-кишечного тракта, связывать и выводить из организма некоторые токсины и тяжелые металлы. Рекомендуемое суточное потребление пектиновых веществ в рационе здорового человека составляет 5-6 г.

Все перечисленные свойства пектинов позволяют отнести их к ряду важнейших физиологически ценных пищевых добавок.

Пектины (Е440а) - добавки природного происхождения, совершенно безвредны, их можно использовать в неограниченных количествах. Суточная доза амидированных пектинов (Е440b) регламентируется и не должна превышать 25 мг на 1 кг массы тела.

Как и все прочие пищевые добавки, коммерческие пектины должны соответствовать определенным показателям качества, которые регламентируются официальными требованиями к чистоте этих продуктов. Предписания международных организаций включают 10-11 химических показателей, главным из них является содержание га-лактуроновой кислоты, характеризующей содержание собственно пектина, которое должно быть не менее 65 %. Ко второй группе химических показателей, определяющих качество коммерческих пектинов, относится содержание тяжелых металлов (меди, цинка, свинца). Например, содержание свинца в пектинах не должно превышать 10 мг/кг продукта. Для низкоэтерифицированных пектинов, полученных путем аммонолиза, регламентируется степень амидирования, которая не должна превышать 25 %.

В соответствии с СанПиН 2.3.2.560-96 наряду с химическими показателями в стандартном пектине следует определять показатели микробиологической безопасности, по которым осуществляют контроль на отсутствие патогенных микроорганизмов.

2. Подсластители и сахарозаменители


В последнее время с учетом требований науки о питании получило интенсивное развитие производство низкокалорийных продуктов, продуктов для людей, страдающих рядом заболеваний (в первую очередь больных сахарным диабетом), что обусловило расширение выпуска заменителей сахарозы как природного происхождения (в нативном или модифицированном виде), так и синтетических, в том числе интенсивных подсластителей. Они могут обладать той же сладостью или быть более интенсивными подсластителями, отличаясь по сладости от сахарозы в сотни раз. Не имея глюкозного фрагмента, заменители сахарозы могут успешно использоваться при производстве продуктов питания и заменителей сахара для больных сахарным диабетом. Высокий коэффициент сладости (Ксл) позволяет, применяя их, производить низкокалорийные дешевые диетические продукты, полностью или частично лишенные легкоусвояемых углеводов.

Сравнительная оценка этих групп подсластителей по энергетическому уровню и коэффициенту сладости приведена в табл.4.1,

Таблица 4.1

Сравнительная оценка отдельных заменителей сахара и подсластителей

Показатель

Сахар

Полиолы

Фруктоза

Энергетический уровень

4 ккал/г

Фактически не имеют калорий

2,4 ккал/г

4 ккал/г

Коэффициент сладости, усл. ед

1

300-350

0,5-0,7

1,2

Влияние: на уровень инсулина

Сильное

Не влияют

Слабое

Слабое

на пищеварительную систему

Нейтральное

"

Могут иметь слабительный эффект

Нейтральное

на здоровье зубов

Может вызвать кариес

"

Не влияют

Может вызвать кариес


Как видно из этих данных, полиолы и подсластители по своим свойствам существенно отличаются от сахарозы.

ПОДСЛАСТИТЕЛИ

В России разрешены 12 интенсивных подсластителей и заменителей сахара и стевия (порошок из листьев и сироп из них). Перечень их приведен в табл.4.2.

Таблица 4.2

Подслащивающие вещества (подсластители), разрешенные к применению в Российской Федерации

Е-номер

Название подсластителя

Технологическая функция


основное

синоним


Е950

Ацесульфам калия

Сунетт

Подсластитель

Е951

Аспартам

Санекта Нутрасвит, Сладекс

" Усилитель вкуса и аромата

Е952

Цикламовая кислота и ее натриевая, калиевая и кальциевая соли

Споларин, цикламаты

Подсластитель

Е953

Изомальтит

Изомальт

Подсластитель, добавка, препятствующая слеживанию и комкованию, наполнитель, глазирующий агент

Е954

Сахарин и его натриевая, калиевая и кальциевая соли

 

Подсластитель

Е955

Сукралоза

Трихлоргалактосахароза

"

Е957

Тауматин

 

Подсластитель, усилитель вкуса и аромата

Е958

Глицирризин

 

То же

Е959

Неогесперидин ДС

Подсластитель

Е965

Мальтит и мальтитный сироп

 

Подсластитель, стабилизатор, эмульгатор

Е966

Лактит

 

Подсластитель, текстура-тор

Е967

Ксилит

 

Подсластитель, влагоудерживающий агент, стабилизатор, эмульгатор


Их применение регламентируется Директивой ЕС 94/36 "О подсластителях и их применении в производстве пищевых продуктов". Она не распространяется на пищевые продукты, сладкие по своей природе:

подсластители, предназначенные для продажи непосредственно потребителю в качестве столовых таблеток;

подсластители готовых блюд.

Для использования в технологическом потоке могут применяться подсластители с учетом конкретного перечня получаемых продуктов, для которых они предназначены, и в количествах, приведенных в табл.4.3.

Таблица 4.3

Максимальные концентрации (мг/кг) подсластителей, используемых в некоторых пищевых продуктах

Продукт

Сахаринат Na* (Е954)

Цнкламат Na** (Е952)

Ацесульфам К (Е950)

Аспартам (Е951)

Безалкогольные напитки на основе ароматизаторов (эссенции), фруктовых соков, молочных продуктов без сахара или со сниженной калорийностью

80-100

400

350

600

Десерты ароматизированные: на воде, зерновой, фруктовой, овощной, молочной, яичной, жировой основе, без сахара или со сниженной калорийностью

100

250

350

1000

Кондитерские изделия со сниженной калорийностью или без сахара: на основе крахмала на основе какао, сухофруктов сэндвичи с начинкой на основе какао, молочных продуктов, сухофруктов, жира

 300   500 200

 500   500 500

 1000   500 1000

 2000   2000 1000

Жевательная резинка без сахара

1200

1500

2000

5500

Мороженое со сниженной калорийностью или без сахара.

100

250

800

800

Джемы, варенье

200

100

350

1000

Мармелад со сниженной калорийностью

200

1000

1000

1000

Фруктовые и овощные консервы со сниженной калорийностью

200

250

350

1000

Фруктовые и овощные кисло-сладкие пресервы

160

-

200

300

160

-

350

300

Горчица

320

-

350

350

Хлебобулочные изделия диетические

170

1600

1000

1700


*В пересчете на сахарин имид (1г сахарина имида эквивалентен 1,33 г сахарина натрия дигидрата, или 1,24 г сахарина натрия моногидрата).

**В пересчете на циклогексиламиновую кислоту (1 г циклогексиламиновой кислоты эквивалентен 1,12 г натрия цикламата).

Интенсивные подсластители, за исключении специально оговоренных, нельзя применять в продуктах для детского питания.

В то же время необходимо отметить, что исключение сахарозы из рецептур мучных кондитерских изделий в технологическом отношении является часто сложной задачей, так как она не только выполняет роль подсластителя, но и влияет на структурно-механические свойства тестовой заготовки, является пластификатором, ограничивает набухаемость белков муки, влияет на органолептические показатели готовой продукции.

Рассмотрение отдельных подсластителей начнем с природных продуктов, в том числе содержащих белок. Внимание к последним возросло с 60-х годов XX в. из-за их высокой сладости, низкой калорийности и возможной безопасности. Остановимся только на отдельных представителях этой группы.

Миракулин. Гликопротеид, белковый компонент, построен из 373 остатков 18 аминокислот; углеводный компонент содержит остатки глюкозы, фруктозы, арабинозы, ксилозы и других моноз. Источник получения - плоды африканского растения Richazdella dulcifia. Термостабилен при рН 3-12,Монелин. Белок, построенный из двух полипептидных цепей, содержащих соответственно 50 и 44 остатка аминокислот. Источник - ягода Dioscoreophyllum cumminsii (Африка) В 1500-3000 раз слаще сахарозы. Стабилен при рН 2-9. При нагревании, особенно при других значениях рН, неустойчив и теряет сладкий вкус.

Тауматин (Е957). Подсластитель, усилитель вкуса и аромата. Белковый продукт, выделенный из плодов Thaumatococus danielli - растения, произрастающего в Западной Африке. Самое сладкое из известных природных веществ. Слаще сахарозы в 1600-2500 раз. Определяющим фактором сладкого вкуса служит четвертичная структура белка. Влияние температуры на степень сладости белка неоднозначно и зависит от рН среды, наличия солей и кислорода. Очень сильное влияние на степень сладости тауматинов оказывает присутствие в его молекуле ионов алюминия. Ионный аддукт таумин-алюминий обладает сладостью, в 3500 раз превышающей сладость сахарозы, Ксл=3500.

Сладкий вкус тауматина ощущается с некоторым запозданием, но остается надолго. При использовании тауматина для выпечки и жарения его сладость ослабевает, но эффект, усиливающий аромат, остается без изменения.

Стевиозид. Сладкий кристаллический гликозид, выделяемый из листьев растения Stevia rebaudiana (Парагвай, Китай, Япония, Корея). Хорошо растворим в воде, Ксл = 300. Термолабилен. Небольшие количества вызывают ощущение приятного сладкого вкуса, в больших количествах обладает горьким вкусом. Химическая природа стевиозида представлена ниже.

Стевиозид1 - β-D-глюкопиранозил; R2 - β-D-сафорозил.

Лист и стебли растения Stevia rebaudiana используют в технологии получения мучных кондитерских изделий, мармелада, желейных и сбивных конфет.

Глицирризин (Е958). Подсластитель, усилитель вкуса и аромата (сладкое вещество лакрицы). Одно из самых древних природных подслащивающих веществ в Европе. Получают из корней сладкого дерева, произрастающего на юге Европы и в Средней Азии. Корень содержит 6-14 % глицирризина, крахмал, сахара, белок, флавоны и соли. Основной сладкий компонент - глицирризиновая кислота [гликозид тритерпенглициретиновой кислоты, связанной с О - β - D-глюкуроно-зил- (1,2) - β - D-глюкуроновой кислотой].

Глицирриэин (Е958)

Глицирризин (глицирризиновая кислота) - бесцветное кристаллическое вещество, нерастворимое в холодной, но хорошо растворимое в горячей воде и этиловом спирте. Выделяется после обработки этиловым спиртом или уксусной кислотой в виде глицирризиновой кислоты, калиевых или аммониевых солей.

Глицирризин в 50-100 раз слаще сахарозы (Ксл = 50-100), но не имеет ярко выраженного сладкого вкуса, обладает специфическим привкусом и длительным послевкусием (лакричный вкус) и запахом. В присутствии сахарозы проявляет синергический эффект. Экстракты из корней сладкого дерева применяются в кондитерской и табачной промышленности.

Неогесперидин дигидрохалкон (Е959). Подсластитель из кожуры цитрусовых.

Получают модификацией нарингина, выделенного из кожуры грейпфрутов.

Ограниченно растворим в воде, хорошо - в спирте. Высокая степень сладости (Ксл = 1800-2500) неогесперидин дигидрохалкона позволяет использовать его в значительно меньших количествах, чем остальные подслащивающие вещества, применять с другими подслащивающими веществами; при этом его подслащивающая способность значительно возрастает Рамноза-глюкоза -

.

Неогесперидин дигидрохалхон (Е959)

Он менее токсичен, чем некоторые синтетические подсластители (сахарин и цикломаты), и рекомендуется для применения в смеси с другими подсластителями. Применяется при производстве алкогольных налитков (50 мг/кг), жевательной резинки (20 мг/кг).

3. Синтетические (интенсивные) подсластители


Ацесульфам калия (Е950). Другое его название - Сунетт. Ацесуль-фам калия относится к группе оксатиацинондиоксидов, синтезированных в 1973 г. Клаусом и Йенсеном. Кристаллическое вещество, хорошо растворимое в воде, термически и химически устойчивое соединение.

Ацесульфам калия (Е950)

Ацесульфам калия нетоксичен, неканцерогенен, не обнаружены его мутагенное и тератогенное действие. Не усваивается организмом человека, не накапливается и выводится с мочой даже при многократном применении в первоначальной форме. ДОС - 15 мг/кг массы тела человека. Ксл = 200. Применяется при производстве кондитерских изделий, безалкогольных напитков, диетических хлебобулочных изделий, мороженого. Максимальная концентрация в зависимости от вида пищевого продукта колеблется от 200 до 800 мг/кг готовой продукции.

Аспартам (Е951). Один из наиболее рекламируемых в последнее время подсластителей. Дипептид - соединение, молекула которого состоит из двух остатков аминокислот. Синонимы: Нутрасвит, Сла-декс. Открыт Джеймсом Шлаттером в 1965 г.


Аспартам, метиловый эфир L-α-аспартил-L-фенилаланина (Е951)

В состав аспартама входят остатки аспарагиновой кислоты и фенилаланина. Ксл = 200. Усилитель вкуса и аромата. В процессе получения пищевых продуктов (в присутствии влаги и при температуре 150°С) аспартам частично превращается в дикетопиперазин. Тщательная проверка на токсичность и канцерогенность установила его безвредность. Учитывая, что аспартам содержит остаток аминокислоты фенилаланина, он противопоказан больным фенилкетонурией. Не способствует развитию кариеса зубов. ДСД - 40 мг/кг массы тела.

Он удобен для подслащивания пищевых продуктов (например, кремов, мороженого), сырье которых не требует тепловой обработки, напитков, соков, а также продуктов лечебного назначения.

В продуктах, при получении которых сырье подвергается тепловой обработке, а готовый продукт - длительному хранению, его применение нецелесообразно из-за снижения степени сладости.

Цикламовая кислота и ее натриевая, калиевая и кальциевая соли - цикламаты (Е952).

Цикламовая кислота, цшиогексиламино-N-сульфамовая кислота

Цикламат кальция (Е952)

Цикламат натрия (Е952)

Соединения с приятным вкусом, без привкуса горечи, стабильны при варке, выпечке, хорошо растворимы в воде. Сладость в 30 раз выше, чем у сахарозы. Ксл = 30. Применяется в кондитерской промышленности, при производстве напитков и некоторых других пищевых продуктов. ДСД - 11 мг/кг массы тела человека (в пересчете на цикламовую кислоту).

Цикламаты относятся к подсластителям "старого" поколения, были открыты в 1937 г. Сведой и Одрисом в США. Улучшают вкус классического подсластителя сахарина (10 частей цикламата на 1 часть сахарина). Исследование острой и хронической токсичности цикламатов показали, что потенциальной токсичностью обладают метаболиты цикламатов - циклогексамины. Они образуются в результате бактериальной деятельности в тонком кишечнике, но лишь после того как кишечная микрофлора претерпела изменения, поэтому циклогексамины появляются лишь после более или менее длительного латентного периода. Лишь у очень небольшого количества людей могут быть обнаружены незамедлительные превращения. После продолжительной полемики о его безопасности цикламат разрешен для использования в продуктах питания, при этом подчеркивается необходимость дальнейшего изучения превращений цикламатов в организме.

Сахарин, его натриевая, калиевая и кальциевая соли (Е954). Из синтетических подсластителей значительное применение находят сахарин - орто - сульфамид бензойной кислоты (белое кристаллическое вещество с температурой плавления 228-229°С) и его натриевая, калиевая и кальциевая соли. Подсластитель "старого" поколения. Обладает горьковатым привкусом, это неудобство может быть устранено путем смешивания его с цикламатами.

Сахарин (Е954)

Натриевая соль сахарина (Е954)

Слаще сахарозы в 300-500 раз. Ксл = 500. Обычно употребляется в виде солей, сладость которых в 500 раз выше сахарозы. Поэтому его дозировка может быть очень низкой. Сахарин быстро проходит через пищеварительный тракт, 98 % его выделяется с мочой, обладает слабым мочегонным действием. Временная ДСД - 5 мг/кг массы тела человека в пересчете на сахарин. Однако его безвредность требует дальнейшего изучения и ежедневное применение нежелательно. При варке, особенно при рН ниже 7, сахарин частично разлагается с отщеплением имидогруппы и образованием орто-судьфобензойной кислоты, имеющей неприятный привкус фенола. Стабилен при замораживании и нагревании. Используется при производстве пищевых продуктов для больных сахарным диабетом, напитков, жевательной резинки и т.д.

Сукралоза (трихлоргалактосахароза) (Е955).1,6-Дихлор- (β-D-фруктофуранозил-4-дезокси-4-хлор-α-D-галактопиранозид. Интенсивный подсластитель "нового" поколения.

Сладость сукралозы в 500-600 раз выше сахарозы, подсластитель устойчив к температуре и действию кислот.

Сукралоза (Е955)

(1,6-дихлор-β-D-фруктофуранозил-4-дезокси-4-хлор-α-D-галактопиранозид)

После многочисленных исследований признан безопасным для организма человека. ДСД - 15 мг/кг массы тела.

Свойства некоторых индивидуальных подсластителей приведены в табл.4.4.

Таблица 4.4

Е-номер

Подсластитель

 

Растворимость в воде при 20°С, г/л

Оптимальные значения рН

ДСД, мг/кг массы тела человека

Е950

Ацесульфам К (Сунетт)

200

270

3-7

15

Е951

Аспартам (Санекга, Нутрасвит)

200

>10

3-5

40

Е952

Цикламаты

30

200

3,5-8,0

11*

Е954

Сахарин и его натриевая соль

500

660

3,3-9,0

5**

Е955

Сукралоза

600

120

3-7

15


* В пересчете на цикламовую кислоту.

** В пересчете на сахарин.

4. Хлорофилл


Натуральные (природные) красители - естественные компоненты пищевых продуктов или биологических объектов, неупотребляемых обычно в качестве продуктов питания или составной их части.

Натуральные красители обычно выделяют из природных источников в виде смеси соединений, различных по своей химической природе, состав которой зависит от источника и технологии получения, в связи с чем обеспечить его постоянство обычно бывает трудно. Среди натуральных красителей можно выделить каротиноиды, антоцианы, флавоноиды, хлорофиллы и их медные комплексы и др. Они, как правило, не обладают токсичностью, но для многих из них установлены допустимые суточные дозы (ДСД). Некоторые натуральные пищевые красители или их смеси и композиции обладают биологической активностью, являются вкусовыми и ароматическими веществами, повышают пищевую ценность окрашиваемого продукта.

Сырьем для получения натуральных пищевых красителей служат различные части дикорастущих и культурных растений, отходы их переработки на винодельческих, сокодобывающих и консервных заводах. Кроме того, некоторые из них получают химическим или микробиологическим синтезом.

Способы выделения натуральных пищевых красителей различны и зависят от вида использованного сырья, свойств основного извлекаемого пигмента, характера сопутствующих веществ. Чаще всего их получают из природного сырья в виде соков и экстрактов, извлекая пигменты соответствующим растворителем. Для экстракции водорастворимых пигментов (антоцианов) используют воду или этанол Липофильные пигменты (хлорофиллы, каротиноиды) выделяют с помощью неполярных растворителей, растительных масел. Содержание красящих веществ в исходном сырье часто низкое (1-4 %), поэтому используются специальные приемы для их очистки и концентрации. Природные красители, в том числе и модифицированные, чувствительны к действию кислорода воздуха (например, каротиноиды), кислот и щелочей (например, антоцианы), температуры, могут подвергаться микробиологической порче

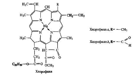
Хлорофиллы. Магнийзамещенные производные порфирина - природные пигменты, придающие зеленую окраску многим растениям, овощам и плодам (салат, зеленые лук и перец, укроп и т.д.).


Хлорофилл состоит из сине-зеленого хлорофилла a и желто-зеленого хлорофилла b, находящихся в соотношении 3:

. Для извлечения хлорофилла используют петролейный эфир со спиртом. Применение их в качестве красителя (Е140) в пищевой промышленности сдерживается их нестойкостью: при повышенной температуре в кислых средах зеленый цвет переходит в оливковый, затем в грязно-желто-бурый вследствие образования феофитина. Большое практическое значение могут иметь медные комплексы хлорофилла (Е141i), которые получают промыванием хлорофилла в растворе соли меди (медный хлорофилл сине-зеленого цвета), содержащем, как правило, медь в качестве центрального атома и имеющем интенсивную окраску, а также натриевые и калиевые соли медного комплекса хлорофиллина (Е14lii) - продукты частичного гидролиза хлорофилла. Хлорофилл и его производные с медью растворимы в масле, хлорофиллины и его медные комплексы - в воде. Для окраски продуктов питания используют зеленые пигменты, выделенные из капусты, ботвы моркови, крапивы и т.д.

ПАСПОРТ на пищевую добавку Хлорофилл

Наименование показателя

Характеристика

1

Название пищевой добавки

Хлорофилл (медные комплексы хлорофилла) С-120-ОS

2

Е - индекс

Е 140 (медные комплексы хлорофилла (Е 141i))

3

Состав

Состоит из сине - зеленого хлорофилла a и желто - зеленого хлорофилла b, находящихся в соотношении 3: 1

4

Структурная формула


5

Химическое название

Магнийзамещенные производные порфирина

6

Эмпирическая формула

7

Молекулярная масса


8

Природные пигменты придающие зеленую окраску многим растениям

9

Физико - химические свойства

Является источником магния, нестойкие к высоким температурам, теряют окраску при кислых значениях рН, в взаимодействии с металами меняют цвет. С медью дают стабыльные зеленые комплексы,растворимы в спирте.

10

Гигиенические нормативы


11

Технология получения

Для извлечения хлорофилла используют петролейный эфир со спиртом,

12

Технологическое использование

Естественный краситель зеленого цвета, использують в кондитерском производстве (помадка)

13

Производители и поставщики

Warner Jankinson (Великобритания)

14

Обозначение на этикетке



Похожие работы на - Пектиновые вещества, подсластители и хлорофилл

 

Не нашли материал для своей работы?
Поможем написать уникальную работу
Без плагиата!
Без нейросетей!