Нестационарная фильтрация 'цветного' шума
1.Постановка задачи
Дано: 1. Корреляционная функция
стационарного
центрированного случайного сигнала L(t)
2.Наблюдаемый на интервале (0,t)
нестационарный случайный сигнал
,
где W(t) -
стационарный центрированный случайный сигнал с заданной корреляционной функцией
Kw(t),
фильтр цветной шум
Требуется: 1. Найти оптимальный по
среднему квадрату ошибки фильтр для полезного сигнала L(t)
(дифференциальное уравнение, структурную схему, Demin(t)), выделить
решение для стационарного режима, найти A
построить |A(jw)|2.
.Найти требуемое в п.1 в
предположении, что W(t) - белый
шум со спектральной плотностью Sw:
а). непосредственно;
б). на основе решения в п.1.
.Сопоставить результаты по п.п.1,2,
дать анализ различий и совпадений.
.Осуществить машинную имитацию
процесса оптимальной фильтрации для условий п.1 (переходный и стационарный
режимы), построить графики реализаций
на одном графике); для стационарного
режима вычислить оценку среднего квадрата перечисленных сигналов.
Исходные данные
Корреляционная функция полезного
сигнала:
Корреляционная функция помехи:
Функция
Входные сигналы
.Полезный сигнал (t).
Корреляционная функция полезного
сигнала:
График корреляционной функции:
Рис.
Спектральная плотность полезного
сигнала L(t).
График спектральной плотности:
Рис.
Частотная характеристика
формирующего фильтра полезного сигнала L(t)
Запишем линейное дифференциальное
уравнение 2-го порядка формирующего фильтра для полезного сигнала L(t)
Перейдем от дифференциального
уравнения 2-го порядка к нормальной форме Коши и запишем систему
дифференциальных уравнений для полезного сигнала (t):
Интенсивность белого шума V1(t)
.
Помеха W(t).
Корреляционная функция помехи W(t):
График корреляционной функции:
Рис.
Спектральная плотность помехи W(t):
График спектральной плотности:
Рис.
Частотная характеристика
формирующего фильтра помехи W(t):
Дифференциальное уравнение для
помехи W(t):
Интенсивность белого шума V2(t)
.
.Наблюдаемый сигнал.
В стационарном режиме M[X]=0, D[X]=1,8.
График функции g(t):
Рис.
.Оптимальный по среднему квадрату
фильтр для полезного сигнала L(t).
Переходной режим.
Воспользуемся формулами, полученными
в [3] и запишем:
Вспомогательный процесс:
Интенсивность белого шума W(t)
Дифференциальное уравнение
оптимального фильтра:
Матрица Калмана:
Дифференциальное уравнение для
матрицы ковариаций:
P(0)
находится из уравнения 0=F P(0)+ P(0)FT+GsGT.
Запишем полученные уравнения в скалярной форме.
Дифференциальное уравнение оптимального фильтра:
Матрица Калмана:
Дифференциальное уравнение для
матрицы ковариаций:
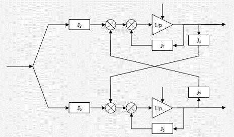
Структурная схема оптимального фильтра
«цветного» шума:
Рис.
Матрица ковариаций P(t):
График De
min(t):
График Ke
min(t):
График Dpe
min(t):
График. Матрица Калмана a(t,t):
График. Производная матрицы Калмана a(t,t):
Стационарный режим.
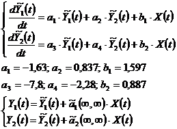
Подставим полученные значения в
систему дифференциальных уравнений для выходного сигнала Y(t) и получим
оптимальный фильтр для стационарного режима:
Получим из этой системы дифференциальных
уравнений дифференциальное уравнение 2-ого порядка:
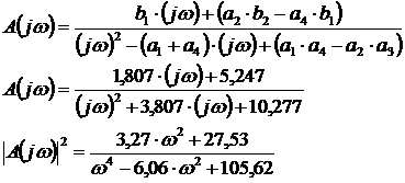
Теперь получим частотную
характеристику оптимального фильтра:
График зависимости |A(j)|2:
Рис. Все графики выполнены в одном
масштабе.
.Оптимальный по среднему квадрату
фильтр для полезного сигнала (t) в предположении, что W(t) - белый
шум.
а).Найденный непосредственно.
Переходной режим.
Воспользуемся формулами, полученными
в [1] и запишем:
Дифференциальное уравнение
оптимального фильтра:
Матрица Калмана:
Дифференциальное уравнение для
матрицы ковариаций:
Запишем полученные уравнения в
скалярной форме.
Дифференциальное уравнение
оптимального фильтра:
Матрица Калмана:
Дифференциальное уравнение для
матрицы ковариаций:
Структурная схема оптимального
фильтра белого шума:
Схема
Матрица ковариаций P(t):
График De min(t)
График Ke min(t)
График Dpe min(t)
График. Матрица Калмана a(t,t):
Стационарный режим.
Подставим полученные значения в
систему дифференциальных уравнений для выходного сигнала Y(t) и получим
оптимальный фильтр для стационарного режима:

Теперь получим частотную
характеристику оптимального фильтра:
График зависимости |A(j)|2:
Рис. Все графики выполнены в одном
масштабе.
б).Найденный на основе решения в
п.1.
Для получения белого шума из
цветного разделим параметры помехи W(t) на и
получим:
Дифференциальное уравнение для матрицы
ковариаций:
Подставим преобразованные выражения
в дифференциальное уравнение для матрицы ковариаций и получим:
Дифференциальное уравнение
оптимального фильтра:
- матрица Калмана оптимального
фильтра, на вход которого подается помеха в виде белого шума.
Подставим преобразованные выражения
в дифференциальное уравнение для матрицы ковариаций и получим:
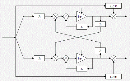
Машинная имитация для процесса
оптимальной фильтрации
Структурная схема имитационной
модели:
Для машинной имитации необходимо все
уравнения привести к дискретному виду:
1).Формирующий фильтр полезного
сигнала (t).
).Формирующий фильтр помехи W(t).
).Наблюдаемый сигнал X(t).
4).Матрица ковариаций P(t).
).Матрица Калмана a(t,t).
).Производная
матрицы Калмана.
7).Выходной
сигнал Y(t).
Для получения стационарного режима полезного
сигнала и помехи формирующие фильтры надо разогнать. ФФ полезного сигнала
разгоняется за 120 тактов, а ФФ помехи разгоняется за 12 тактов.
Белые шумы V1
и V2 являются
независимыми и генерируются как нормальное распределение с МО=0 и D=2.
Оптимальный фильтр входит в стационарный режим
на 250 такте.
Машинная имитация процесса оптимальной
фильтрации была осуществлена в универсальной математической системе Mathcad
8.0.
Реализации случайных процессов:
График реализаций (t)
и Y(t):
где tср
- время наступления стационарного режима.
График реализации X(t)
График реализации E(t)
Оценки средних квадратов сигналов для
стационарного режима.
Полезный сигнал (t):
M[2(t)]=0,837
Наблюдаемый сигнал X(t):
M[X2(t)]=1,849
Выходной сигнал Y(t):
M[Y2(t)]=0,699
Ошибка E(t):
M[E2(t)]=0,308
Выводы
В результате данного курсового
проекта был найден оптимальный по среднему квадрату ошибки фильтр для полезного
сигнала (t) в случае,
когда на вход подается помеха в виде цветного шума и когда на вход подается
помеха в виде белого шума. В частности было найдено дифференциальное уравнение
оптимального фильтра, построена его структурная схема и найдена Demin(t).
Оптимальный фильтр в случае, когда
на вход подается помеха в виде белого шума, был найден двумя способами:
непосредственно;
на основе решения в п.1 задания.
Результаты, полученные этими двумя
способами, сошлись. В частности сошлись уравнения для матрицы ковариаций,
матрицы Калмана и уравнения для выходного сигнала Y(t).
При сравнении результатов
оптимальной фильтрации цветного и белого шума можно сделать следующий вывод:
цветной шум обеспечивает меньшую дисперсию ошибки, чем белый шум(для цветного
шума Demin=0,3; для
цветного шума Demin=0,361), но
оптимальный фильтр в случае белого шума имеет меньшую вычислительную сложность.
Литература
.
Лекции по СД и ТЭ СУ.
.
Учебник по СД и ТЭ СУ.
.
Булыгин В.С. Избранные задачи статистической оптимизации. МАИ, 1978г.