Расчет канала связи
Введение
В данной курсовой работе требуется разработать структурную
схему системы связи для передачи сигнала, представляющего собой человеческую
речь в диапазоне частот 0,3кГц-3,4кГц. Вообще, человеческая речь - это
аналоговый сигнал, но для его передачи разрабатываться будет дискретный
(цифровой) канал, а именно, система с импульсно-кодовой модуляцией (ИКМ).
Основное техническое преимущество цифровых систем передачи перед системами
непрерывного типа состоит в их высокой помехоустойчивости. Другим преимуществом
является широчайшее использование в современной аппаратуре цифровой техники и
микроэлектроники, а также возможность автоматизации всех процессов.
При выполнении курсовой работы необходимо будет выбрать
оптимальную схему приёмника, рассчитать вероятность ошибки на его выходе и, в
случае неприемлемого значения вероятности ошибки, ввести дополнительные
изменения в систему связи. Важным параметром канала связи является его
пропускная способность. Для каждого источника информации количество информации,
переданное по каналу, принимает своё значение. Поэтому необходимо будет
вычислить пропускную способность канала, сравнить её с производительностью
источника и сделать заключение о возможности или невозможности передачи
информации по рассчитанному каналу связи. Также в процессе выполнения работы
будут рассмотрены и при необходимости применены статистическое (эффективное)
кодирование для повышения производительности источника сообщений и
помехоустойчивое кодирование для уменьшения вероятности ошибок.
1.
Структурная схема системы связи
Системы связи предназначены для передачи информации, которая
содержится в сообщении (текст телеграммы, музыка, речь, изображение).
Информация может передаваться различными системами связи, причём в каждом
случае она вводится сообщениями разного характера. При разговоре по телефону,
сообщение - непрерывное изменение во времени звукового давления, при передаче
телеграммы - текст, представляющий собой последовательность отдельных
(дискретных) символов - букв и цифр. Иначе говоря, системы связи различаются
характером передаваемых сообщений. Таким образом, система связи - это
совокупность технических средств, используемых для передачи сообщений.
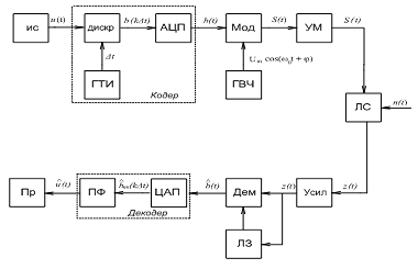
Процесс передачи сообщений состоит из трёх основных этапов.
Вначале каждое сообщение u(t) преобразуется передатчиком в сигнал S(t), который
передаётся по каналу связи, и затем полученный на приёмной стороне канала
сигнал z(t) вновь преобразуется приёмником в сообщение u(t). Передатчик, канал
связи и приёмник в общем случае образуют систему связи, структурная схема
которой приведена на рис. 1.1.
Источником и получателем сообщений может быть человек,
датчик, ЭВМ, видеокамера и т.д., на выходе которых присутствует аналоговый
сигнал u(t) (рис. 1.2), например, представляющий собой человеческую речь в телефоне.
Это непрерывное напряжение можно непосредственно передавать по проводам (ГТС),
но при больших потоках информации в современных профессиональных линиях связи
прибегают к дискретизации по времени. Эту функцию выполняет дискретизатор, на
выходе, которого получается сигнал b (k∆t) в виде отдельных отсчётов
через равные промежутки времени ∆t, которые задаются генератором тактовых
частот (импульсов) (ГТИ). Дискретизация непрерывного сигнала по интервалам ∆t
позволяет:
. За счет свободных промежутков времени организовать
временное уплотнение.
. Автоматизировать процесс приема - передачи информации за
счет кодирования каждого значения отсчета непрерывного сигнала набором
символов.
Далее сигнал квантуют по уровню, это выполняет квантователь.
После возможно кодирование сообщения, т.е. представление сигнала в виде
последовательности напряжений высокого (единиц) и низкого (нулей) уровней. Код
должен быть известен (заложен в аппаратуру) как на передающей, так и на
приёмной сторонах. Функцию кодирования выполняет кодер, на выходе которого
получается непрерывная последовательность импульсов b(t) (рис. 1.4). Вместе
дискретизатор, квантователь и аналого-цифровой преобразователь (АЦП)
представляют собой кодер.
Модуляция представляет собой преобразование сообщения в сигнал,
пригодный для передачи по данной линии связи. При этом преобразовании
осуществляется согласование источника с каналом. При передаче непрерывного
сообщения оно сначала преобразуется в первичный электрический сигнал b(t), а
затем с помощью модулятора формируется сигнал S(t), который и посылается в
линию связи. При дискретной модуляции закодированное сообщение, представляющее
собой последовательность кодовых символов, преобразуется в последовательность
элементов (посылок) сигнала. В системе ОФМ фаза несущего колебания изменяется
на 180 при передачи символов 1 и остается неизменной при передаче символов 0
(рис 1.5.). Высокочастотный сигнал подаётся на модулятор от генератора высокой
частоты. Задачей модулятора является подготовка двоичного сигнала к передаче по
линии связи.
Усилитель мощности осуществляет усиление сигнала. Таким
образом, в линию связи поступает тот же сигнал S(t), но усиленный.
Линия связи - это область пространства, по которой
распространяется высокочастотный сигнал (в системах радиосвязи); кабель или
волновод (в системах электрической связи). Линии связи бывают: проводные,
кабельные, радиорелейные, волоконно-оптические и т.д. При любых сложностях
создания аппаратуры стоимость сооружения определяется линией связи.
В линии связи происходит ослабление сигнала, и на него
накладываются помехи n(t) (рис. 1.6). Помехой является любое воздействие на
полезный сигнал, затрудняющее его приём. Помехи весьма разнообразны как по
своему происхождению, так и по физическим свойствам. В радиоканалах наиболее распространенными
являются атмосферные помехи, обусловленные электрическими процессами в
атмосфере и, прежде всего, грозовыми разрядами. Сильные помехи создаются также
промышленными установками. Это так называемые индустриальные помехи,
возникающие из-за резких изменений тока в электрических цепях всевозможных
электроустройств. Распространенным видом помех являются помехи от посторонних
радиостанций и каналов. Практически в любом диапазоне частот имеют место
внутренние шумы аппаратуры.
Характеристики системы связи можно разделить на внешние и
внутренние. К внешним относятся верность, скорость и своевременность передачи
(по ним получатель оценивает качество связи). Внутренние характеристики
позволяют оценить степень использования предельных возможностей системы. К ним
относятся помехоустойчивость и эффективность. Помехоустойчивость - способность
системы противостоять вредному действию помех.
Сигнал z(t) на входе приёмника сначала усиливается в
усилителе, а затем одновременно поступает на линию задержки и на демодулятор,
превращающий высокочастотный сигнал в низкочастотную информацию. На выходе
демодулятора возникает сигнал b(t), который несколько отличается от
передаваемого за счёт помех (рис. 1.7). В системах передачи непрерывных
сообщений в результате демодуляции восстанавливается первичный сигнал,
отображающий переданное сообщение. Этот сигнал затем поступает на
воспроизводящее или записывающее устройство. В системах передачи дискретных
сообщений в результате демодуляции последовательность элементов сигнала превращается
в последовательность кодовых символов, после чего эта последовательность
преобразуется в последовательность элементов сообщения u (t), выдаваемую
получателю. Это преобразование называется декодированием.
Полосовой фильтр предназначен для предварительной фильтрации
сигналов, что уменьшает влияние помех. Цифро-аналоговый преобразователь (ЦАП) и
фильтр составляют декодер.
В результате различных искажений и воздействия помех
пришедший сигнал может существенно отличаться от переданного (рис 1.8.). Задачей
приёмного устройства является принятие решения о том, какое из возможных
сообщений действительно передавалось источником. Для этого необходимо
проанализировать пришедший сигнал. С этой целью он подвергается различным
преобразованиям, которые называют обработкой сигнала. Чаще всего приходится
применять фильтрацию, перемножение сигналов, сложение, интегрирование,
ограничение, сравнение и другие функциональные преобразования. Многие операции
обработки принятого сигнала направлены на то, чтобы увеличить отношение
мощности сигнала к мощности помехи.
. Выбор схемы приемника
В реальном канале сигнал при передаче искажается, и сообщение
воспроизводится с некоторой ошибкой. Причиной таких ошибок являются искажения,
вносимые самим каналом, и помехи, воздействующие на сигнал.
Частотные и временные характеристики канала определяют так
называемые линейные искажения. Кроме того, канал может вносить и нелинейные
искажения, обусловленные нелинейностью тех или иных звеньев канала. Если
линейные и нелинейные искажения обусловлены известными характеристиками канала,
то они, по крайней мере, в принципе, могут быть устранены путем надлежащей
коррекции.
Следует отличать искажения от помех, имеющих случайный
характер. Помехи заранее не известны и поэтому не могут быть полностью
устранены.
Приёмник - устройство, которое обрабатывает принятое
колебание z(t)=s(t)+n(t) и восстанавливает по нему переданное сообщение u(t).
Другими словами, приёмник должен на основе анализа суммарного колебания
принятого искажённого сигнала s(t) и помехи n(t) определить, какое сообщение
передавалось. Поэтому приёмное устройство является одним из самых наиболее
ответственных и сложных элементов системы связи.
На приёмной стороне о передаваемых сигналах обычно имеются
некоторые предварительные сведения. Могут быть известными, например, частота
несущей, вид модуляции и т.п. Сигнал, о котором всё заранее известно, не несёт
информации, а абсолютно неизвестный сигнал нельзя было бы принять. Известные
параметры сигнала используются в приёмнике для лучшего отделения сигналов от
помех. Чем больше мы знаем о сигнале, тем совершеннее могут быть методы приёма.
В системах ОФМ информация передается не абсолютным, а относительным значением
фазы, которое вычисляется как разность фаз между передаваемым в данный момент и
предыдущим сигналами∆ц=цi-цi-1. При передаче положительной посылки фазы передаваемого и
предыдущего сигналов совпадают, т.е. ∆ц=0°, а в случае отрицательной
посылки разность фаз ∆ц=180°.
Существует несколько методов детектирования сигналов ОФМ.
Простейшим из них является автокорреляционный метод (метод сравнения фаз),
который реализуется структурной схемой, приведенной на рис. 2.1. В фазовом
детекторе производится сравнение фаз передаваемого сигнала S(t) и предыдущего
сигнала S (t-t0), где t0 - длительность элементарного сигнала. Запаздывающий сигнал S (t-t0)
образуется на выходе цепи задержки,
которая рассчитана на время задержки tз=t0
Так как здесь в качестве опорного напряжения используется
непосредственно принимаемый сигнал, то появление «обратной работы»
(положительные посылки изменяются на отрицательные и наоборот) исключается.
Здесь так же, как и в системе ЧМ, возможно повышение помехоустойчивости путем
применения согласованного фильтра. Автокорреляционный метод приема сигналов ОФМ
позволяет получить двукратный выигрыш по мощности по сравнению с системой ЧМ.
Нетрудно заметить, что при автокорреляционном приеме сведения о
начальной фазе сигнала не используются. Для сохранения номинальных значений ∆ц=0°,
180° необходимо только, чтобы линия задержки обеспечивала фазовый сдвиг
сигнала, кратный 2р.
3. Расчет вероятности
ошибки приемника
Рассчитаем
- вероятность ошибки цифрового сигнала на
выходе приёмника, учитывая особенности передачи сигнала по каналу связи.
Вероятность ошибочного приема при относительной фазовой модуляции
и некогерентном способе приема для известного отношения сигнала / шум
определяется согласно следующему выражению:
(3.1)
где
- соотношение сигнал/шум находится как:
(3.2)
где
- мощность сигнала на входе приёмника;
- спектральная плотность.
(3.3)
Используя (3.1), (3.2) и (3.3) рассчитываем:
Длина кодового слова:
(3.4)
где
- число уровней квантования.
n=log2 256=8
Рассчитаем длительность кодового слова для заданной системы связи:
Длительность между посылками кодовых слов ∆t=125 мкс,
длительности кодового слова
= 
. Свободное же между посылками время
. Это свободное время может быть
использовано для применения помехоустойчивого кодирования, или для создания
многоканальной системы связи, или же для улучшения соотношения сигнал/шум.
Полученная вероятность ошибки
велика по сравнению с вероятностью ошибки в соответствии с
ГОСТ’ом (
). Чтобы уменьшить вероятности ошибки хотя
бы на 2-3 порядка можно сузить полосу пропускания системы путём увеличения
длительности элементарной посылки, поставить оптимальный фильтр, увеличить
длительность кодового слова или же перейти к другому виду модуляции. В данном
случае это не целесообразно, так как ОФМ является наилучшим видом модуляции.
. Сравнение выбранной схемы с оптимальным приемником
Для уменьшения вероятности ошибки мы поставим в схему
приемника оптимальный фильтр (Рис. 4.1). Оптимальный фильтр улучшает
соотношения сигнал/шум, но при этом возникает межсимвольная интерференция,
которую можно устранить путем установки в схему ключа, который будет разряжать
интегрирующую цепочку после поступления каждого импульса. Схема приемника
сигнала усложняется, что может сказаться на надежности, однако выигрыш в
соотношении сигнал/шум существенен.
Теперь соотношение сигнал/шум находится как:
(4.1)
При помощи (4.1) и (3.1) найдем вероятность ошибки и
соотношение сигнал/шум:
При установки в схему согласованного фильтра мы добились того, что
наша вероятность ошибки стала оптимальной за счет уменьшения полосы
пропускания. Оставшееся свободное время можно использовать для организации
служебного канала, Интернета или помехоустойчивого кодирования.
Все дальнейшие расчёты будем производить с данными для
оптимального приёмника, полученными в этом пункте:
мкс;
. Передача аналоговых сигналов методом ИКМ
Прямое аналого-цифровое преобразование является
высококачественным методом кодирования. Еще в 60-х годах был принят алгоритм
оцифровки голоса под названием импульсно-кодовой модуляции (ИКМ). Оцифровка
голосового сигнала включает измерение уровня аналогового сигнала через равные
промежутки времени. В соответствии со стандартом принимается, что для
узнаваемости голоса необходимо обеспечить передачу его частотных составляющих в
диапазоне от 300 до 3400 Гц.
Для преобразования непрерывных сообщений в дискретную форму
(сигналы импульсно-кодовой модуляции) используются операции дискретизации и
квантования. Полученная таким образом последовательность квантовых отсчётов
кодируется и передаётся по дискретному каналу, как всякое дискретное сообщение.
На приёмной стороне после декодирования восстанавливается (с той или иной
точностью) непрерывное сообщение.
Для передачи непрерывных сообщений методом ИКМ можно
воспользоваться дискретным каналом. Для этого необходимо преобразовать
непрерывное сообщение в дискретный сигнал, то есть в последовательность
символов, сохранив содержащуюся в сообщении существенную часть информации.
Типичными примерами цифровых систем передачи непрерывных сообщений являются
системы с кодово-импульсной модуляцией и дельта-модуляцией (ДМ).
Кодово-импульсная модуляция складывается из трех операций:
дискретизация по времени в соответствии с теоремой Котельникова
, квантование отсчетов и кодирование
квантованных отсчетов блочным равновесным двоичным кодом. При этом каждый
отсчет кодируется в одну комбинацию представлением отображающей его m-ичной цифры в двоичной (m=2) системе счисления. Для полного использования кода, число
квантованных значений m=N, обычно выбирают m=2n. Для речевых сообщений чаще всего m=32, 64, 128 и 256, что соответствует n= 5, 6, 7 и 8.
Цифровые методы передачи обладает рядом преимуществ перед
аналоговыми. Из основных можно указать следующие:
·
высокая
помехоустойчивость;
·
возможность
регенерации сигналов (восстановление их формы) при ретрансляции;
·
высокие
технико-экономические показатели - широкое использование элементов цифровой
техники, низкие требования к линейности общего тракта и т.д.
При цифровой системе передачи непрерывных сообщений можно
повысить верность применением помехоустойчивого кодирования. Высокая
помехоустойчивость цифровых систем позволяет осуществить практически
неограниченную по дальности связи при использовании каналов сравнительно на
высокого качества.
Другим существенным преимуществом цифровых систем передачи
информации является широкое использование в аппаратуре преобразования сигналов
современной элементарной базы цифровой вычислительной техники и
микроэлектроники. Более того, на цифровой основе могут быть объединены в единой
системе сигналы передачи данных с сигналами передачи речи и телевидения.
Рассмотрим структурную схему цифрового канала связи. В
отличие от аналогового канала передачи, в составе цифрового канала
предусмотрены устройства для преобразования непрерывного сообщения в цифровую
форму - АЦП на передающей стороне и устройства преобразования цифрового сигнала
в непрерывный - АЦП на приемной стороне.
Полученный с выхода АЦП сигнал ИКМ поступает или
непосредственно в линию связи или на вход передатчика (модулятора), где
последовательность двоичных импульсов преобразуется в радиоимпульсы.
На приемной стороне лини связи последовательность импульсов
после демодуляции и регенерации в приемнике поступает на ЦАП, назначение
которого состоит обратном преобразовании (восстановлении) непрерывного
сообщения по принятой последовательности кодовых комбинаций. В состав ЦАП
входят декодирующее устройство, предназначенное для преобразования кодовых
комбинаций в квантованную последовательность отсчетов, и сглаживающий фильтр,
восстанавливающий непрерывные сообщения по квантованным значениям.
Преобразование непрерывных сообщений в цифровую форму в
системах ИКМ округлением мгновенных значений до ближайших разрешенных уровней
квантования. Возникающая при этом погрешность представления является
неустранимой, но контролируемой (так как не превышает половины уровня
квантования). Выбрав достаточно малый шаг квантования, можно обеспечить
эквивалентность по заданному Е-критерию исходного и квантованного сообщений.
Погрешность (ошибку) квантования, представляют собой разность между исходным
сообщением и сообщением восстановленным по квантованным отчетам, называют
«шумом квантования».
Одной из причин, приводящих к отличию принятого сообщения от
переданного в системе с ИКМ, является шум квантования, другой - помехи в
канале, которые накладываются на передаваемые символы кодовых комбинаций и
могут вызывать ошибки. Ошибки в символах (при отсутствии избыточности) приводят
к ошибочному декодированию всей кодовой комбинации.
Длина кода определяется из следующего неравенства:
, при этом
, так как
.
В данной курсовой работе было заданно число уровне квантования N=256=28, то есть n=8.
Большое значение, для оценки качества принимаемого сигнала,
имеет понятие шумы квантования. Этот шум не связан с помехами в канале и
целиком определяется выбором числа уровней квантования. Его можно сделать сколь
угодно малым, увеличивая число уровней. Воздействие шума квантования можно
заметно уменьшить, применяя неравномерное квантование, при котором большие уровни
сообщения квантуются с большим шагом, а низкие уровни - с меньшим шагом. Шум
квантования при этом коррелирован с сообщением и имеет тем меньшую мгновенную
мощность, чем меньше уровень сообщения. Это позволяет лучше различать слабые
отрезки сообщения.
Отношение мощности сигнала к мощности шума квантования
определяется выражением
(5.1)
где n - число разрядов кода, П - пик-фактор сигнала.
Мощность шума квантования находится по следующей формуле:
В2 (5.2)
Данный способ передачи имеет очень важные положительные качества.
Самое главное данный способ обеспечивает не накопление ошибок при передаче
сигнала через ретрансляторы. В сравнении с аналоговыми способами передачи
требует значительно меньшую мощность при той же вероятности ошибки. Пригоден
для передачи цифровых данных. Аппаратура системы связи строится на дискретных
элементах, которые не требуют настройки.
К недостаткам можно отнести необходимость в широкополосном канале
связи.
В данном случае шумами квантования,
В2, можно пренебречь и число уровней квантования,
N=256, будет достаточно.
6. Статистическое кодирование
Строгие методы количественного определения информации были
предложены К. Шенноном в 1948 г. и привели к построению теории информации,
являющейся основой теории связи, кибернетики и ряда смежных наук.
Пусть некоторый источник дискретных сообщений посылает одно
конкретное сообщение
из некоторого множества А. Для
определения количества информации в сообщении необходимо основываться только на
таком параметре, который характеризует в общем виде сообщение
. Таким параметром является
- вероятность того, что источник посылает
данное сообщение. Количество информации определяется по следующей формуле:
(6.1)
Основание логарифма обычно выбирают равным двум. Полученная при
этом единица информации носит название бит. Она равна количеству информации в
сообщении о событии, происходящем с вероятностью 0,5, т.е. таком, которое может
с равной вероятностью произойти или не произойти. Такая единица на практике
наиболее удобна вследствие широкого использования двоичных кодов в
вычислительной технике и связи. Количество информации в сообщении тем больше,
чем оно менее вероятно или, другими словами, чем оно более неожиданно.
Количество информации является случайной величиной, так как сами сообщения
случайные.
Для характеристики всего множества (или источника) сообщения
используют математическое ожидание количества информации, называемое энтропией.
Чем больше энтропия источника, тем больше степень неожиданности передаваемых им
сообщений в среднем, т.е. тем более неопределённым является ожидаемое
сообщение. Поэтому энтропию часто называют мерой неопределённости сообщений:
(6.2)
Некоторые источники передают сообщения с фиксированной скоростью,
затрачивая в среднем время Т на каждое сообщение. Производительностью (в битах
на секунду) такого источника называют суммарную энтропию сообщений, переданных
за единицу времени:
(6.3)
При передаче знаки сообщений источника преобразуются в
последовательность двоичных сигналов. Учитывая статистические источника
сообщений, можно минимизировать среднее число символов, требующихся для
выражения одного знака сообщения, что при отсутствии
шума позволяет уменьшить время передачи или объём запоминающего
устройства. Одной из характеристик сообщений является избыточность. Коэффициент
избыточности определяется как:
(6.4)
где
- максимальная энтропия: (6.5)
Уменьшение энтропии источника с увеличением статистической
взаимосвязи можно рассматривать как движение информационной емкости сообщений.
Одно и то же сообщение при наличии взаимосвязи содержит в среднем меньше
информации, чем при ее отсутствии. Иначе говоря, если источник создает
последовательность сообщений, обладающих статистической связью, и характер этой
связи известен, то часть сообщений, выдаваемая источником, является избыточной,
так как она может быть восстановлена по известным статистическим связям.
Появляется возможность передавать сообщения в сокращенном виде без потери
информации, содержащейся в них. Например, при передаче телеграммы мы исключаем
из текста союзы, предлоги, знаки препинания, так как они легко
восстанавливаются при чтении телеграммы на основании известных правил
построения фраз и слов. Для передачи одного и того же количества информации
источник с избыточностью должен использовать большее количество сообщений.
Источник, обладающий избыточностью, передает излишнее количество сообщений. Это
увеличивает продолжительность передачи и снижает эффективность использования канала
связи. Сжатие сообщений можно осуществить посредством соответствующего
кодирования. Информацию необходимо передавать такими сообщениями,
информационная емкость которых используется наиболее полно. Этому условию
удовлетворяют равновероятные и независимые сообщения.
Вместе с тем избыточность источника не всегда является
отрицательным свойством. Наличие взаимосвязи между буквами текста дает
возможность восстанавливать его при искажении отдельных букв, т.е. использовать
избыточность для повышения достоверности передачи информации.
Таким образом, любой источник зависимых сообщений, как принято
говорить, обладает избыточностью. Под избыточными понимаются такие сообщения,
для представления которых используется больше символов, чем это минимально
необходимо. Решение задачи устранения избыточности сообщений выполняется с
помощью эффективного кодирования. Для повышения эффективности передачи
сообщение должно быть закодировано таким образом, чтобы избыточность кодовой
последовательности была бы возможно меньше. Коды, обеспечивающие такое
преобразование, называются статистическими.
Структура оптимального кода зависит как от статистических
характеристик источника, так и от особенностей канала. Оптимальное кодирование
называют статистическим потому, что для реализации кодирования необходимо
учитывать вероятности появления на выходе источника каждого элемента сообщения
(учитывать статистику сообщений).
Для вычисления энтропии воспользуемся формулой (6.2):
Максимальная энтропия (6.5) при двоичном коде равна:
Бит/символ
Тогда коэффициент избыточности в соответствии с формулой (6.4)
или
%.
Таким образом, получили достаточно низкий коэффициент избыточности
(меньше 20%), значит не нужно применять статистическое кодирование.
Конструктивные методы построения эффективных кодов были даны
впервые американскими учеными Шенноном и Фано. Их методики существенно не
различаются и поэтому соответствующий код получил название Шеннона-Фано.
Код строят следующим образом: знаки алфавита сообщений выписывают
в таблицу в порядке убывания вероятности. Затем их разделяют на две группы так,
чтобы суммы вероятностей каждой из групп были по возможности одинаковы. Всем
знакам верхней половины, в качестве первого символа приписывают 0, а всем
нижним - 1. Каждую из полученных групп, в свою очередь, разбивают на две
подгруппы с одинаковыми суммарными вероятностями и т.д. Процесс повторяется до
тех пор, пока в каждой подгруппе не останется по одному знаку. Важным свойством
кода Шеннона-Фано является то, что, несмотря на его неравномерность, здесь не
требуется разделительных знаков. Это обусловлено тем, что короткие комбинации
не являются началом наиболее длинных комбинаций. Основной принцип оптимального
кодирования сводится к тому, что наиболее вероятным сообщениям должны
присваиваться короткие комбинации, а сообщениям с малой вероятностью более
длинные комбинации. Рассмотренная методика Шеннона-Фано не всегда приводит к
однозначному построению кода. Ведь при разбиении на подгруппы можно сделать
большей по вероятности, как одну, так и другую подгруппы.
От указанного недостатка свободна методика Хаффмана. Она
гарантирует однозначное построение кода с наименьшим для данного распределения
вероятностей средним числом символов на букву.
Буквы алфавита сообщений Х={х1, х2,…, хг},
имеющие соответствующие вероятности их появления р(х1), р(х2),…,
р(хr), выписывают в основной столбец в порядке убывания
вероятностей. Две последние самые маловероятные буквы хr-1 и хr
объединяют в одну вспомогательную (укрупненную) букву а, которой приписывают
суммарную вероятность, равную сумме вероятностей букв хr-1 и хr,
т.е. р(а)=р(хr-1|)+р(хr). Вероятности букв, не
участвовавших в объединении, и полученная суммарная вероятность снова
располагаются в порядке убывания вероятностей в дополнительном столбце. Процесс
повторяется до тех пор, пока не получим единственную вспомогательную букву с
вероятностью, равной единице. Для наглядности строим кодовое дерево. Двигаясь
по кодовому дереву от корня к вершинам, т.е. сверху вниз, можно записать для
каждой буквы соответствующую ей кодовую комбинацию.
Для осуществления статистического кодирования методом Хаффмана
образуем трёхбуквенные комбинации, состоящие из элементов двоичного кода 1 и 0
(всего 8 таких комбинаций: 000, 001, 010, 011, 100, 101, 110, 111), вычислим их
вероятности (по теореме умножения вероятностей), используя исходные данные.
Процесс кодирования в соответствии с вышеприведённым алгоритмом поясняется
таблицей 6.1. Для составления кодовой комбинации, соответствующей данному
знаку, необходимо проследить путь перехода знака по строкам и столбцам таблицы.
Для наглядности строим кодовое дерево. Из точки, соответствующей вероятности 1,
направляем на две ветви, причем ветви с большей вероятностью присваиваем символ
1, а с меньшей - 0. Такое последовательное ветвление продолжаем до тех пор,
пока не дойдем до вероятности каждой буквы. Кодовое дерево для алфавита букв,
рассматриваемого в таблице 6.1, приведено на рисунке 6.1. Теперь, двигаясь по
кодовому дереву сверху вниз, можно записать для каждой буквы соответствующую ей
кодовую комбинацию. Дополним кодовую таблицу 6.1 промежуточными вычислениями,
необходимыми для определения коэффициента избыточности.
Средняя длина кодовой комбинации:
(6.6)
Энтропия сообщения источника:
(6.7)
Минимальная средняя длина кодовой комбинации определяется из
равенства:
(6.8)
Коэффициент избыточности:
(6.9)
Как видно из выражения (6.9), построенный код практически не имеет
избыточности.
Но у системы эффективного кодирования есть свои недостатки.
Причиной одного из недостатков является различие в длине кодовых
комбинаций. Если моменты снятия информации с источника неуправляемы (например,
при непрерывном съеме информации с запоминающего устройства на магнитной
ленте), кодирующее устройство через равные промежутки времени выдает комбинации
различной длины. Так как линия связи используется эффективно, только в том
случае, когда символы поступают в нее с постоянной скоростью, то на выходе
кодирующего устройства должно быть предусмотрено буферное устройство («упругая»
задержка). Оно запасает символы по мере поступления и выдает их в линию связи с
постоянной скоростью. Аналогичное устройство необходимо и на приемной стороне.
Второй недостаток связан с возникновением задержки в передаче информации
Наибольший эффект достигается при кодировании длинными блоками, а
это приводит к необходимости накапливать знаки, прежде чем поставить им в
соответствие определенную последовательность символов. При декодировании
задержка возникает снова. Общее время задержки может быть велико, особенно при
появлении блока, вероятность которого мала. Это следует учитывать при выборе
длины кодируемого блока.
Еще один недостаток заключается: в специфическом влиянии помех на
достоверность приема. Одиночная ошибка, может перевести передаваемую кодовую
комбинацию в другую, не равную ей по длительности. Это повлечет за собой
неправильное декодирование ряда последующих комбинаций, который называют треком
ошибки. Специальными методами построения эффективного кода трек ошибки
стараются свести к минимуму. Следует отметить относительную сложность
технической реализации систем эффективного кодирования.
Таблица 6.1 - Статистическое кодирование методом Хаффмана
|
Кодовые
комбинации
|
Стат. Код
|
Вероятности
|
Вспомогательные
столбцы
|
|
|
|
1
|
3
|
4
|
5
|
6
|
7
|
|
111
|
1
|
0,343
|
0,343
|
0,343
|
0,343
|
0,343
|
0,363
|
0,637
|
1
|
|
110
|
011
|
0,147
|
0,147
|
0,147
|
0,216
|
0,294
|
0,343
|
0,363
|
|
|
101
|
010
|
0,147
|
0,147
|
0,147
|
0,147
|
0,216
|
0,294
|
|
|
|
011
|
001
|
0,147
|
0,147
|
0,147
|
0,147
|
0,147
|
|
|
|
|
100
|
00011
|
0,063
|
0,09
|
0,126
|
0,147
|
|
|
|
|
|
010
|
00010
|
0,063
|
0,063
|
0,09
|
|
|
|
|
|
|
001
|
00001
|
0,063
|
0,063
|
|
|
|
|
|
|
|
000
|
00000
|
0,027
|
|
|
|
|
|
|
|
Рисунок 6.1 - Кодовое дерево
. Расчет пропускной способности канала связи
В любой системе связи через канал передается информация.
Скорость передачи информации зависит не только от самого канала, но и от
свойств подаваемого на его вход сигнала и поэтому не может характеризовать
канал как средство передачи информации. Характеристики системы связи в
значительной мере зависят от параметров канала связи, который используется для
передачи сообщений. Большинство реальных каналов обладают переменными
параметрами, которые, как правило, изменяются во времени случайным образом.
Однородный симметричный канал связи полностью определяется алфавитом
передаваемого сообщения, скоростью передачи элементов сообщения u и вероятностью ошибочного
приема элемента сообщения Рош (вероятностью ошибки).
Пропускной способностью канала называют максимальное значение
скорости передачи информации по этому каналу. То есть, пропускная способность
характеризует потенциальные возможности передачи информации.
Пропускная способность рассчитывается по формуле:
(7.1)
Для двоичного симметричного канала (m=2) пропускная способность в
двоичных единицах на секунду (Бодах):
. (7.2)
При
пропускная способность двоичного канала
С=0, поскольку при такой вероятности ошибки последовательность выходных
двоичных символов можно получить, совсем не передавая сигналы по каналу, а
выбирая их наугад (например, по результатам бросания монеты), т.е.
последовательности на выходе и входе канала независимы. Случай С=0 называют
обрывом канала. То, что пропускная способность при
в двоичном канале такая же, как при
(канал без шумов), объясняется тем, что
при
достаточно все выходные символы
инвертировать (т.е. заменить 0 на 1 и 1 на 0), чтобы правильно восстановить
входной сигнал.
Производительность источника информации равна:
кбит/с (7.3)
Рассчитаем пропускную способность канала с оптимальным
приёмником по формуле
В данном случае пропускная способность канала больше
производительности источника. Это позволяет сделать вывод, что рассчитанный
канал удовлетворяет условию Шеннона и может использоваться на практике для
передачи аналоговых и цифровых сигналов.
. Помехоустойчивое кодирование
приемник кодирование аналоговый сигнал
При передаче цифровых данных по каналу с шумом всегда
существует вероятность того, что принятые данные будут содержать некоторый
уровень частоты появления ошибок. Получатель, как правило, устанавливает
некоторый уровень частоты появления ошибок, при превышении которого принятые
данные использовать нельзя. Если частота ошибок в принимаемых данных превышает
допустимый уровень, то можно использовать кодирование с исправлением ошибок.,
которое позволяет уменьшить частоту ошибок до приемлемой. В каналах с помехами
эффективным средством повышения достоверности передачи сообщений является
помехоустойчивое кодирование. Оно основано на применении специальных кодов,
которые корректируют ошибки, вызванные действием помех. Код называется корректирующим,
если он позволяет обнаруживать или обнаруживать и исправлять ошибки при приеме
сообщений. Код, посредством которого только обнаруживаются ошибки, носит
название обнаруживающего кода. Исправление ошибки при таком кодировании обычно
производится путем повторения искаженных сообщений. Запрос о повторении
передается по каналу обратной связи. Код, исправляющий обнаруженные ошибки,
называется исправляющим кодом. В этом случае фиксируется не только сам факт
наличия ошибок, но и устанавливается, какие кодовые символы приняты ошибочно,
что позволяет их исправить без повторной передачи. Известны также коды, в
которых исправляется только часть обнаруженных ошибок, а остальные ошибочные
комбинации передаются повторно.
Для того чтобы код обладал корректирующими
способностями, в кодовой последовательности должны содержаться дополнительные
(избыточные) символы, предназначенные для корректирования ошибок. Чем больше
избыточность кода, тем выше его корректирующая способность, но и тем ниже
скорость передачи информации по каналу.
Корректирующие коды строятся так, чтобы
количество комбинаций k превышало число сообщений n источника. Однако в этом
случае используется лишь n комбинаций источника из общего числа для передачи
информации. Такие комбинации называются разрешенными, а остальные -
запрещенными. Приемнику известны все разрешенные и запрещенные комбинации. Если
при приеме некоторого разрешенного сообщения, в результате ошибки, оно попадает
в разряд запрещенных, то такая ошибка будет обнаружена, а также, при определенных
условиях, исправлена. Следует заметить, что при ошибке, приводящей к появлению
другого разрешенного сигнала, такая ошибка не обнаружима.
Таким образом, если комбинация на выходе
оказывается запрещенной, то это указывает на то, что при передаче возникла
ошибка. Отсюда видно, что избыточный код позволяет обнаружить, в каких принятых
кодовых комбинациях имеются ошибочные символы. Безусловно, не все ошибки могут
быть обнаружены. Существует вероятность того, что, несмотря на возникшие
ошибки, принятая последовательность кодовых символов окажется разрешенной
комбинацией (но не той, которая передавалась). Однако при разумном выборе кода
вероятность необнаруженной ошибки (т.е. ошибки, которая переводит разрешенную
комбинацию в другую разрешенную комбинацию) может быть сделана очень малой.
Эффективность помехоустойчивого кода
возрастает при увеличении его длины, так как вероятность ошибочного
декодирования уменьшается при увеличении длины кодируемого сообщения.
Все известные в настоящее время коды могут
быть разделены на две большие группы: блочные и непрерывные. Блочные коды
характеризуются тем, что последовательность передаваемых символов разделена на
блоки. Операции кодирования и декодирования в каждом блоке производится
отдельно. Непрерывные коды характеризуются тем, что первичная
последовательность символов, несущих информацию, непрерывно преобразуется по
определенному закону в другую последовательность, содержащую избыточное число
символов. При этом процессы кодирования и декодирования не требует деления кодовых
символов на блоки.
Разновидностями как блочных, так и
непрерывных кодов являются разделимые (с возможностью выделения информационных
и контрольных символов) и неразделимые коды. Наиболее многочисленным классом
разделимых кодов составляют линейные коды. Их особенность состоит в том, что
контрольные символы образуются как линейные комбинации информационных символов.
Расстоянием Хэмминга d между двумя
последовательностями называется число позиций, в которых две последовательности
отличаются друг от друга.
Ошибка обнаруживается всегда, если её
кратность, т.е. число искаженных символов в кодовой комбинации: q<d-1. Если q>d, то некоторые
ошибки также обнаруживаются. Однако полной гарантии обнаружения ошибок нет,
т.к. ошибочная комбинация может совпадать с какой-либо разрешенной комбинацией.
Минимальное кодовое расстояние, при котором обнаруживаются любые одиночные
ошибки: d=2.
Чаще всего применяются систематические
линейные коды, которые строятся следующим образом. Сначала строится простой код
длиной n,
т.е. множество всех n-последовательностей двоичных символов, называемых
информационными. Затем к каждой из этих последовательностей приписывается r=p-n проверочных символов,
которые получаются в результате некоторых линейных операций над информационными
символами.
Простейший систематический код (n, n-1) строится путём добавления к комбинации
из n-1 информационных символов одного
проверочного, равного сумме всех информационных символов по модулю 2. Легко
видеть, что эта сумма равна нулю, если среди информационных символов содержится
чётное число единиц, и равна единице, если число единиц среди информационных
символов нечётное. После добавления проверочного символа образуются кодовые
комбинации, содержащие только чётное количество единиц. Такой код имеет
, поскольку две различные кодовые
комбинации, содержащие по четному числу единиц, не могут различаться в одном
разряде. Следовательно, он позволяет обнаружить одиночные ошибки. Легко
убедиться, что, применяя этот код в схеме декодирования с обнаружением ошибок,
можно обнаруживать все ошибки нечетной кратности. Для этого достаточно
подсчитать число единиц в принятой комбинации и проверить, является ли оно
четным. Если при передаче комбинации произойдут ошибки в нечетном числе разрядов
q, то принятая комбинация будет иметь
нечетный вес и, следовательно, окажется запрещенной. Такой код называют кодом с
одной проверкой на четность.
Простейшим примером кода с проверкой на четность является код
Бодо, в котором к пятизначным комбинациям информационных символов добавляется
шестой контрольный символ. Вероятность необнаруженной кодом ошибки при
независимых ошибках определяется биномиальным законом:
, (8.1)
где
- число ошибочных комбинаций:
(8.2)
Таким образом, учитывая, что
, используя формулы (8.1) и (8.2), найдём вероятность
необнаружения ошибки:
Определим избыточность рассчитанного канала связи, используя
результаты расчётов, произведённых в параграфе 7, используя результаты формул
(7.2) и (7.3):
(8.3)
Избыточность кода Бодо (6,5)
(8.4)
Избыточность кода Хэмминга (7,4)
(8.5)
При сравнении (8.3), (8.4) и (8.5) заметно, что избыточность
канала позволяет применить только обнаруживающий код Бодо (6,5) с проверкой на
чётность. Рассчитаем вероятность ошибки корректирующего кода, учитывая
оставшееся свободное время
(см. п. 3):
(8.6)
Как следует из выражения (8.6), нет смысла применять помехоустойчивое
кодирование, потому что высока вероятность ошибки корректирующего кода.
Заключение
В данной курсовой работе был разработан канал связи и
рассчитаны его основные характеристики.
В результате проделанной работы была разработана структурная
схема системы связи, предназначенной для передачи аналоговых сигналов, например
человеческой речи, методом импульсно-кодовой модуляции (ИКМ). Известно, что
система ОФМ НКГ одна из наиболее помехоустойчивых.
Я захотел организовать хорошую государственную линию связи.
Менять вид модуляции не имело смысла, поэтому единственным выходом послужило
сужение полосы пропускания (уменьшение уровня шумов) за счёт использования
оптимального фильтра. При этом соотношение сигнал/шум увеличилось с 2,23 до
3,16. Длительность элементарной посылки не изменилась и равна T=4 мкс.
После расчёта коэффициента избыточности
, который оказался равен 11,9%, стало
ясно, что необходимость применять статистическое кодирование с целью увеличения
скорости передачи информации - отпадает. Был приведён пример эффективного
кодирования, который показал, что избыточность кода при этом увеличится (5,7%).
Были вычислены пропускная способность канала:
и производительность источника сообщений:
.
, а это значит, что разработанный канал связи реален и по нему
можно передавать информацию. Запас по пропускной способности небольшой (
%), его не хватает ни для того, чтобы
применить обнаруживающий корректирующий код, ни на исправляющий. Но оставшегося
свободного времени в канале (93 мкс) хватает на организацию помехоустойчивого
кодирования. В принципе, при Pош=2,34∙10-5 оно вполне приемлемо. Также можно
использовать оставшееся время для служебных каналов, предоставления доступа
Интернет или в других коммерческих целях.
Подводя итог, можно сказать, что, я добился качественной (верной)
передачи информации в рассчитанном канале связи, а также оставил возможности
для его развития.
Список литературы
приемник кодирование аналоговый сигнал
1. Зюко А.Г. и др., Теория электрической связи
- М.: Радио и связь, 1998
2. Макаров А.А., Чернецкий Г.А., Теория
электрической связи - СибГУТИ, Новосибирск, 2007
. Кловский Д.Д., Теория передачи сигналов
- М.: Связь, 1989
. Константинов В.А., Теория электрической
связи ч. 1: теория сигналов и помех - Хабаровск, 2000