Расчет исполнительной системы управления звеном манипуляционного механизма
ФЕДЕРАЛЬНОЕ
АГЕНТСТВО ПО ОБРАЗОВАНИЮ
Государственное
образовательное учреждение
высшего
профессионального образования
«ТОМСКИЙ
ПОЛИТЕХНИЧЕСКИЙ УНИВЕРСИТЕТ»
Факультет: Автоматики
и вычислительной техники
Направление: Управление
в технически системах
Кафедра: Интегрированных
компьютерных систем управления
Отчет по индивидуальному заданию по дисциплине
“Вещественный
интерполяционный метод в теории автоматического управления”
Вариант 5.
Исполнитель
Магистрант, гр. 8М430
В. В. Курганкин
Руководитель
В. И. Гончаров
Томск -2008
Задание
Тема: Расчет исполнительной системы управления звеном манипуляционного
механизма
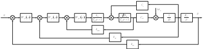
Схема
исполнительной системы управления звеном приведена на рис. 1-1. Она содержит
три контура. Первый, внутренний контур подсистемы, предназначен для управления
током двигателя. Второй контур обеспечивает заданную скорость перемещение
звена. Последний, внешний контур системы предназначен для управления положением
управляемого звена.
Задание
предполагает решение задач синтеза регуляторов перечисленных контуров.
Рис.
1-1 - Структурная схема ИПС.
-
передаточные функции регуляторов положения, скорости и тока;
-
коэффициент передачи и постоянная времени преобразователя;
-электромагнитная
постоянная времени двигателя, индуктивность и сопротивление якорной цепи;
-
конструктивные параметры двигателя;
- момент
инерции движущихся масс, приведенный к валу двигателя;
-
коэффициент передачи редуктора;
-
коэффициенты обратной связи по току, скорости, и положению;
-
входной сигнал управления;
- момент
сопротивления;
-
выходной сигнал.
Исходные
данные.
1. Данные силовой части
- тип двигателя -
2ПБВ100М;
- передаточное число редуктора - 100;
- суммарный момент инерции нагрузки принять равным увеличенному
в пять раз моменту инерции ротора двигателя;
- постоянную
времени преобразователя
считать пренебрежимо малой по сравнению с постоянными
времени двигателя.
. Известен
вид передаточных функций регуляторов контуров
.
. Входные
сигналы контуров не превышают по абсолютному значению величины
.
. Максимальный
угол поворота звена
градусов, где
- номер
варианта
.
. Перерегулирование
в контуре скорости -
.
Основные
вопросы, подлежащие разработке:
. Сформировать
желаемую передаточную функцию замкнутого контура тока
.
. Найти
коэффициент обратной связи контура тока.
. Получить
желаемую передаточную функцию прямого канала контура тока
.
4. Составить и решить уравнение синтеза контура тока относительно
неизвестных коэффициентов регулятора, обеспечив заданное значение
перерегулирования. Построить переходную характеристику контура тока, оценить
показатели качества, сравнив их с требуемыми.
5. Выполнить синтез контуров скорости и положения.
. Решить вопросы микропроцессорной реализации регулятора.
6.1. Определить
частоту
и период
квантования
входного сигнала регулятора контура положения.
.2. Определить
разрядность цифро-аналогового преобразователя регулятора.
.3. Найти
дискретный аналог
полученной непрерывной передаточной функции
регулятора скорости
.
.4. Получить
математическую модель дискретного регулятора контура положения в виде
разностного уравнения.
7. Составить компьютерную модель контура скорости в дискретной форме,
найти переходную характеристику контура, оценить полученные результаты в
сравнении с исходными требованиями.
Содержание
1. Синтез регуляторов
системы управления 7
1.1. Технические
характеристики расчет параметров силовой части 7
1.2. Синтез регулятора тока 8
1.2.1. Формирование желаемой
передаточной функции для контура тока 8
1.2.2. Определение коэффициента
обратной связи контура тока 10
1.2.3. Определение разомкнутой
передаточной функции контура 11
1.2.4. Синтез регулятора тока на
основе вещественно-интерполяционного метода 12
1.3. Синтез регулятора
скорости 16
1.3.1. Формирование желаемой
передаточной функции для контура скорости 17
1.3.2. Определение коэффициента
обратной связи контура скорости 18
1.3.3. Определение разомкнутой
передаточной функции контура 19
1.3.4. Синтез регулятора
скорости на основе вещественно-интерполяционного метода 19
1.4. Синтез регулятора
положения 22
1.4.1. Формирование желаемой
передаточной функции для контура положения 22
1.4.3. Определение разомкнутой
передаточной функции контура 24
1.4.4. Синтез регулятора
положения на основе вещественно-интерполяционного метода 24
2. Вопросы
микропроцессорной реализации регулятора 27
2.1. Определение частоты и
периода квантования входного сигнала регулятора контура положения 27
2.2. Нахождение дискретного
аналога
непрерывной передаточной функции
регулятора положения
. 28
2.3. Математическая модель
дискретного регулятора контура положения в виде разностного уравнения. 29
2.4. Компьютерная модель
контура положения в дискретной форме. 29
Список
источников 31
1.
Синтез регуляторов системы
управления
1.1 Технические
характеристики расчета параметров силовой части
Технические
характеристики двигателя 2ПБВ100М представлены в таблица 1.
Таблица
1 - Технические данные электродвигателя 2ПБВ100М
|
Параметр
|
Значение
|
|
Номинальный момент, 7.5
|
|
|
Максимальный момент, 70
|
|
|
Номинальный ток, 20
|
|
|
Максимальная частота
вращения, 2500
|
|
|
Напряжение при максимальной
частоте вращения, 117
|
|
|
Момент инерции , 9.4
|
|
|
Индуктивность якоря, 1.18
|
|
|
Электромеханическая
постоянная времени, 13.5
|
|
|
Электромагнитная постоянная
времени, 5.3
|
|
Конструктивный
параметр двигателя
.
Будем
считать, что
,т.к. постоянная времени преобразователя
пренебрежимо мала по сравнению с постоянными времени
двигателя (по техническому заданию).
Определим
коэффициент передачи транзисторного преобразователя:
- напряжение
двигателя при максимальной частоте вращения -
;
- входные
сигналы контуров не превышают по абсолютному значению величины
, т.е. напряжение срабатывания транзисторов в
преобразователе -
;
- тогда
.
1.2 Синтез
регулятора тока
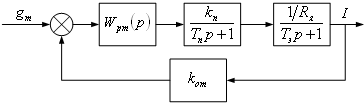
Структурная
схема контура тока представлена на рис. 1-1
Рис.
1-1 - Структурная схема контура тока
Для
синтеза регулятора необходимо найти желаемую передаточную функцию контура тока,
затем необходимо определить коэффициент обратной связи контура
, далее находится желаемая передаточная функция
прямого канала, затем синтезируется регулятор тока на основе вещественно
интерполяционного метода.
1.2.1 Формирование
желаемой передаточной функции для контура тока
По
методу Коновалова-Орурка желаемая переда-точная функция замкнутой системы (рис.
1-2) ищется в виде
Рис.
1-2
(1.2.1)
где
- статизм системы,
,
- коэффициенты принятой формы, которые определены
выражениями:
. (1.2.2)
Значения
коэффициентов (1.2.2) находятся по исходным параметрам: времени установления
и максимальному отклонению
переходной характеристики.
Параметр
однозначно связан с перерегулированием:
.
Допустим
перегрузку по току (т.е. перерегулирование) в районе 30 %, время установления
, т.е.
, а
статизм
. Тогда желаемая передаточная функция будет иметь вид:
. (1.2.3)
График
переходного процесса для желаемой передаточной функции представлен на рис. 1-3.
Рис.
1-3 - Переходная характеристика желаемой передаточной функции контура тока.
Из
графика видно, что время установления
, а
перерегулирование
.
1.2.2 Определение
коэффициента обратной связи контура тока
Пусть передаточная функция регулятора тока имеет вид:
. (1.2.4)
Коэффициент
обратной связи по току найдем из уравнения статики, воспользовавшись
структурной схемой контура тока рис. 1-1:
. (1.2.5)
С
другой стороны, найдем уравнение статики, используя желаемую передаточную
функцию (1.2.3):
. (1.2.6)
Сравним
(1.2.5) и (1.2.6) и найдем, что
, (1.2.7)
где
сопротивление якорной обмотки равняется
.
Примем
, тогда:
. (1.2.8)
1.2.3 Определение
разомкнутой передаточной функции контура
Разомкнутая
желаемая функция контура тока (рис. 1-4) определяется выражением:
Рис.
1-4
. (1.2.9)
Подставим
в (1.2.9) необходимые данные:
. (1.2.10)
Из
(1.2.10) находим, что:
. (1.2.11)
1.2.4 Синтез
регулятора тока на основе вещественно-интерполяционного метода
Найдем
, воспользовавшись структурной схемой контура тока
(рис. 1-1):
. (1.2.12)
Подставим
в (1.2.12) необходимые данные:
. (1.2.13)
; (1.2.14)
; (1.2.15)
. (1.2.16)
Следовательно:
. (1.2.17)
Тогда
; (1.2.18)
.
(1.2.20)
Получим
численную характеристику регулятора тока.
Определим
размерность численной характеристики:
. контур ток квантование регулятор
В
практических задачах удобно принимать в качестве первого по порядку узла
значение
. Поэтому примем
. Так как
степени полиномов числителя
и
знаменателя
функции регулятора тока совпадают, для вычисления
величины
рассмотрим уравнение
. (1.2.21)
Из
(1.2.21) находим, что
. (1.2.22)
Условие
(1.2.22) выполняется при
.
Расчетная
формула для остальных узлов:
(1.2.23)
Из
(1.2.23) находим, что
.
Численная
характеристика регулятора тока представлена в таблица 2
Таблица
2 - Численная характеристика регулятора тока
Составим систему линейных алгебраических уравнений:
(1.2.24)
Решив
(1.2.24), получим:
(1.2.25)
Тогда
передаточная функция регулятора имеет вид:
. (1.2.26)
График
переходной характеристики контура тока представлен на рис. 1-5.
Рис.
1-5 - Переходная характеристика синтезированного контура тока
Показатели
качества:
Данные
показатели не удовлетворяют техническому заданию. Поэтому для нахождения
решения применим итерационный поиск, основанный на перекрестном свойстве
вещественного преобразования.
Результаты
итерационного приближения к решению, удовлетворяющему условиям задачи
представлены в таблица 3
Таблица
3 - Результаты итерационного приближения к решению
|
№№ итераций
|
Значение Значения коэффициентовПоказатели качества
|
|
|
|
|
   , с
|
|
|
|
|
1
|
200
|
 40.9%0.0183
|
|
|
|
|
2
|
400
|
 34.7%0.0137
|
|
|
|
|
3
|
800
|
 33.4%0.0138
|
|
|
|
|
4
|
1600
|
 30.7%0.0139
|
|
|
|
При
значении
решение удовлетворяет условиям задачи.
Рис.
1-6 - График переходной характеристики контура тока
График
переходного процесса для
представлен на рис. 1-6.
Найдем
передаточную функцию замкнутого контура тока:

1.3 Синтез
регулятора скорости
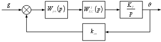
Структурная
схема контура скорости представлена на рис. 1-7
Рис.
1-7 - Структурная схема контура скорости
Анализ
и синтез регулятора контура скорости аналогичны методам из п. 1.2.
1.3.1 Формирование
желаемой передаточной функции для контура скорости
Для
формирования желаемой передаточной функции контура скорости воспользуемся
методом Коновалова-Орурка (1.2.1). Для этого воспользуемся (1.2.2) и определим
коэффициенты
,
,
.
Рис.
1-8 - График переходной характеристики желаемой передаточной функции
По
техническому заданию:
пререгулирование
в контуре скорости -
;
время
установления -
Примем
статизм
. Тогда желаемая передаточная функция будет иметь вид:
График
переходной характеристики желаемой передаточной функции представлен на рис. 1-8.
Из графика видно, что время установления
, а
перерегулирование
.
1.3.2 Определение
коэффициента обратной связи контура скорости
Передаточная функция регулятора скорости имеет вид:
. (1.3.1)
. (1.3.2)
Найдем
уравнение статики контура:
.
(1.3.3)
С
другой стороны, найдем уравнение статики, используя желаемую передаточную
функцию:
. (1.3.4)
Сравним
(1.3.3) и (1.3.4) и найдем, что
.
1.3.3 Определение
разомкнутой передаточной функции контура
По формуле (1.2.9) находим:
. (1.3.5)
1.3.4 Синтез
регулятора скорости на основе вещественно-интерполяционного метода
Перейдем
от Лапласовых изображений передаточных функций к вещественным, используя
формальную замену
:
; (1.3.6)
; (1.3.7)
. (1.3.8)
Воспользовавшись
структурной схемой контура скорости (рис. 1-7), получим:
. (1.3.9)
Разрешим
(1.3.9) относительно
:
; (1.3.10)
.
(1.3.11)
Размерность
ЧХ:
.
Примем
в качестве первого по порядку узла значение
.
Значение узла
вычисляется по желаемой передаточной функции:
.
Из
(1.2.23) находим, что
Численная
характеристика регулятора представлена в таблица 4.
Таблица
4 - Численная характеристика регулятора скорости
На основе численной характеристики регулятора скорости составим и решим
систему линейных алгебраических уравнений:

Для
нахождения решения применим итерационный поиск, основанный на перекрестном
свойстве вещественного преобразования.
Результаты
итерационного приближения к решению, удовлетворяющему условиям задачи
представлены в таблице 5
Таблица
5 - Результаты итерационного приближения к решению
График
переходного процесса представлен на рис. 1-9. Показатели качества удовлетворяют
требуемым. Передаточная функция регулятора скорости имеет вид:
. (1.3.12)\
Рис.
1-9 - Переходная характеристика контура скорости
Найдем
передаточную функцию контура скорости:
; (1.3.13)
. (1.3.14)
1.4 Синтез
регулятора положения
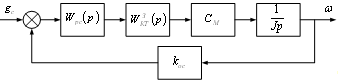
Структурная
схема контура положения представлена на рис. 1-10
Рис.
1-10 - Структурная схема контура положения
Анализ
и синтез регулятора контура положения аналогичны методам из п.п. 1.2.-1.3.
1.4.1 Формирование
желаемой передаточной функции для контура положения
Для
формирования желаемой передаточной функции контура скорости воспользуемся методом
Коновалова-Орурка (1.2.1). Для этого воспользуемся (1.2.2) и определим
коэффициенты
,
,
.
По
техническому заданию:
перерегулирование
в контуре скорости -
;
время
установления -
Примем
статизм
. Тогда желаемая передаточная функция будет иметь вид:
. (1.4.1)
График
переходного процесса для желаемой передаточной функции представлен на рис. 1-11
Из
Рис. 1-11 - График переходной характеристики контура положения графика видно,
что время установления
, а перерегулирование
.
1.4.2 Определение
коэффициента обратной связи контура скорости
Передаточная функция регулятора скорости имеет вид:
. (1.4.2)
Коэффициент
обратной связи по положению находится аналогично п.1.3.2. Откуда найдем, что 
. (1.4.3)
1.4.4 Синтез
регулятора положения на основе вещественно-интерполяционного метода
Перейдем
от Лапласовых изображений функций (1.3.14), (1.4.2) и (1.4.3) к вещественным,
используя формальную замену
:
; (1.4.4)
; (1.4.5)
. (1.4.6)
Воспользовавшись
структурной схемой контура положения (рис. 1-10), получим:
. (1.4.7)
Разрешим
(1.4.7) относительно
:
; (1.4.8)
Размерность
ЧХ:
.
Примем
в качестве первого по порядку узла значение
.
Значение узла
вычисляется по желаемой передаточной функции:
.
Из
(1.2.23) находим, что
Численная
характеристика регулятора представлена в таблице 6.
Таблица
6 - Численная характеристика регулятора положения
На основе численной характеристики регулятора положения составим и решим
систему линейных алгебраических уравнений:

Для
нахождения решения применим итерационный поиск, основанный на перекрестном
свойстве вещественного преобразования.
Результаты
итерационного приближения к решению, удовлетворяющему условиям задачи
представлены в таблице 7
Таблица
7 - Результаты итерационного приближения к решению
График
переходного процесса представлен на рис. 1-12. Показатели качества
удовлетворяют требуемым. Передаточная функция регулятора скорости имеет вид:
. (1.4.9)
Рис.
1-12 - Переходная характеристика контура положения
Схема
моделирования всей системы представлена на рис. 1-13
Рис.
1-13 - Схема моделирования системы
2.
Вопросы микропроцессорной
реализации регулятора
2.1 Определение
частоты и периода квантования входного сигнала регулятора контура положения
При
выборе частоты квантования
и
периода
ориентируются на результат теоремы
Котельникова-Шеннона: непрерывный сигнал со спектром, ограниченным наибольшей
частотой
, можно точно восстановить по его дискретным
значениям, если выполняется неравенство
.
(2.1.1)
Неравенство
(2.1.1) представляет собой условие неискаженной передачи квантованного по
времени сигнала; значение
может рассматриваться как величина полосы пропускания
непрерывной части.
При
решении практических задач частота квантования не всегда определяется по
условию (2.1.1). Одна из причин этого связана с асимптотическим уменьшением
значений частотных характеристик, что не позволяет однозначно фиксировать
величину
. Однако условие может служить ориентиром при выборе
значения
, а также для проверки принятых решений.
Существует
несколько способов определения значений
и
. Воспользуемся следующим критерием.
Критерий
в области времени:
, где
- время,
в течение которого переходная характеристика достигает уровня 95% от
установившегося значения. Можно пользоваться другими временными
характеристиками, выделяя интервал времени, в течение которого переходная характеристика
входит в пятипроцентную зону.
Тогда:
2.2 Нахождение
дискретного аналога
непрерывной передаточной функции регулятора положения
С помощью программного пакета MatLab 6.5 найдем дискретный аналог непрерывной передаточной функции регулятора
положения:
>> Wrp = tf([9.25 750], [4.32e-3 1])
Transfer function:
.25 s + 750
------------
.00432 s + 1
>> Wd=c2d(Wrp,0.02)function:
2141 z - 1399
------------- 0.009758time: 0.02
Таким образом, дискретная передаточная функция регулятора положения имеет
вид:
. (2.3.1)
2.3
Математическая модель дискретного регулятора контура положения в виде
разностного уравнения
Из определения передаточной функции имеем:
; (2.4.1)
Подставим
в (2.4.1) исходные данные:
; (2.4.2)
Разрешим
(2.4.2) относительно
:
. (2.4.3)
Т.к.
, где
-
значение переменной на
-ом шаге, а
-
значение переменной на
-ом шаге, то уравнение (2.4.3) примет вид:
2.4 Компьютерная
модель контура положения в дискретной форме
Схема
моделирования всей системы представлена на рис. 2-2
Рис.
2-1 - Схема моделирования системы
Рис.
2-3 - Переходная характеристика системы
Как
видно из графика перерегулирование составляет - 0%, а время установления - 0.45
сек. Имеется небольшое искажение выходного сигнала на начальном участке графика
переходного процесса из-за дискретизации регулятора положения.
Вывод:
в результате выполнения индивидуального задания были синтезированы регуляторы
тока, скорости и положения исполнительной системы, исследованы особенности
синтеза регуляторов на основе вещественно-интерполяционного метода и
рассмотрены вопросы микропроцессорной реализации регулятора положения.
Список источников
1. Алексеев А. С. Вещественный интерполяционный метод в
задачах автоматического управления/ А. С. Алексеев, А. А. Антропов, В. И.
Гончаров, С. В. Замятин, В. А. Рудницкий. - Томск: Изд-во Томского
политехнического университета, 2008. - 217 с.