Короткие трубопроводы
САНКТ-ПЕТЕРБУРГСКИЙ
ГОСУДАРСТВЕННЫЙ ПОЛИТЕХНИЧЕСКИЙ УНИВЕРСИТЕТ
ИНЖЕНЕРНО-СТРОИТЕЛЬНЫЙ
ФАКУЛЬТЕТ
Кафедра
гидравлики
Задание
по
курсу гидравлики:
«Короткие
трубопроводы»
Выполнила студентка:
Чакир М.Ф.
Проверила: асс. Стрелец
К.И.
Санкт-Петербург
Оглавление
Задание
. Определение диаметра трубы сифона, считая, что работает только
один сифон (второй закрыт на ремонт)
. Определение режима движения жидкости в трубопроводе и нахождение
области сопротивления
. Построение напорной и пьезометрической линии при принятом
диаметре трубы сифона в предположении, что работает один сифон
4. Нахождение разности уровней воды в водоёмах А и В в
предположении, что работают оба сифона, имеющие найденный выше диаметр
Задание
короткий трубопровод
сифон жидкость
На рис. 1 изображены
водоёмы А и В, соединённые двумя одинаковыми чугунными трубами, работающими как
сифон. Каждая труба имеет 2 поворота в вертикальной плоскости и снабжены
всасывающим клапаном с сеткой.
Дано:
. расчётный расход обоих
сифонов Q=0,12 м3/сек
. наибольшая допустимая
разность уровней воды в водоёмах А и В Zmax=3 м;
. наибольшее превышение
оси трубы сифона над уровнем воды в водоёме А h`= 1,9 м;
. длина трубы сифона l =
4(h`+ Zmax) = 19,6 м
Кроме того, задано:
θ1
= θ3 = 45˚; θ2 = 90˚;= 0.1l = 1,96 м; l2 = l3 = 0.4l = 7,84 м; l4 = 0.1l =
1,96 м.
ТРЕБУЕТСЯ:
. Считая, что работает
только один сифон (предполагается, что второй сифон закрыт на ремонт),
определить диаметр трубы сифона (сообразуясь с имеющимся сортаментом чугунных
водопроводных труб).
. При принятом диаметре
трубы сифона построить для неё напорную и пьезометрическую линии в
предположении, что работает один сифон.
. Найти разность уровней
воды в водоёмах А и В в предположении, что работают оба сифона, имеющие
найденный выше диаметр.
1. Определение диаметра
трубы сифона с учетом того, что работает только один сифон (второй закрыт на
ремонт)
Для нахождения диаметра
трубы используем формулу:
w
,
(1)
где
-
расход жидкости в трубе, м3/с;
- коэффициент расхода
трубопровода;
w - площадь поперечного
сечения трубы, м2;
- ускорение свободного
падения, м/с2;
max - максимальное
превышение уровня воды в водоеме А над уровнем воды в водоеме В, м.
Так как в формуле (1)
и
,
следовательно, найти диаметр D непосредственно из формулы (1) нельзя. Решаем
уравнение (1) методом подбора.
Преобразуем выражение:
, (2)
Значение
,
исходя из заданной величины расхода:
Диаметр трубы сифона
будем искать методом подбора и из условия:
Коэффициент расхода
трубы можно найти из отношения единицы и суммы всех коэффициентов
сопротивления:
, (3)
где λ
- коэффициент гидравлического трения;- длина трубы сифона;- искомый
диаметр;
ζкл-
коэффициент сопротивления в клапане (в сифоне ζкл=
ζвх);
ζрп
- коэффициент сопротивления при резком повороте;
ζпл
- коэффициент сопротивления при резком повороте.
По зависимости (3),
вычисляем величины μт, ω, задаваясь различными сортаментными данными диаметров трубы.
Все вычисления сводим в
таблицу 1.
Таблица 1
|
D
|
ω
|
λ.l/Dζклζрп45ζплζрп45ζвыхμтμтω
|
|
|
|
|
|
|
|
|
|
м
|
м2
|
-
|
-
|
-
|
-
|
-
|
-
|
-
|
-
|
м2
|
|
0,1
|
0,008
|
4,08
|
7
|
0,318
|
0,08
|
0,318
|
1
|
0,28
|
2,24. 10-3
|
|
0,2
|
0,0314
|
1,72. 10-2
|
1,69
|
5,2
|
0,318
|
0,10
|
0,318
|
1
|
0,34
|
1,07. 10-2
|
|
0,25
|
0,049
|
1,65. 10-2
|
1,29
|
4,4
|
0,318
|
0,103
|
0,318
|
1
|
0,37
|
0,018
|
|
0,3
|
0,07
|
1,61. 10-2
|
1,05
|
3,7
|
0,318
|
0,13
|
0,318
|
1
|
0,39
|
0,027
|
|
0,4
|
0,126
|
1,51. 10-2
|
0,74
|
3,1
|
0,318
|
0,18
|
0,318
|
1
|
0,42
|
0,053
|
|
0,5
|
0,196
|
1,45. 10-2
|
1,78
|
2,5
|
0,318
|
0,26
|
0,318
|
1
|
0,44
|
0,086
|
Пример расчета при D=0,2 м
Площадь живого сечения w считается по формуле:
м2
Определяем коэффициент
гидравлического трения (принимаем трубы чугунные новые битумизированные по
табл. 4.7 стр. 41 [1]):
Выбираем
Коэффициент
сопротивления по длине найдем, воспользовавшись формулой:
где l - длина трубы
сифона, м;
- коэффициент
гидравлического трения; - диаметр трубы, м.
Определение коэффициента
сопротивления для всасывающего клапана с сеткой
Определяется из таблицы
4.16, стр. 50 [1] для данного диаметра:
ζкл
= 5,2
Определяем коэффициент
сопротивления при резком повороте на 45˚
ζрп45
=0,318 (по табл. 4.17 на стр.51 [1])
Он не зависит от
диаметра трубы и будет одинаковым во всех оставшихся расчётах.
Определяем коэффициент
сопротивления при плавном повороте на 90˚
,
где
=0,02(100λ)2,5
+0,106(D/R0)2,5 - коэффициент сопротивления при угле поворота 90˚,
определяемый по табл. 4.19 стр. 52 [1]коэффициент, зависящий от угла поворота и
определяемый по опытным данным Кригера (табл. 4.19 стр.52 [1]) диаметр трубы -
радиус поворота
λ-коэффициент
гидравлического трения
зависит от отношения
диаметра трубы к радиусу поворота трубы.
Принимаем радиус
поворота R0 = 0,4 м.
;
=0,02(100λ)2,5
+0,106(0,2/0,4)2,5=0,10
следовательно, из
таблицы
Коэффициент
сопротивления на выход потока из трубы равен:
ζвых
= 1 (для всех диаметров трубы)
Вычисляем коэффициент
расхода трубы:
Вычисляем произведение μтω
μтω=0,0314.0,339
= 1,06.10-2 м2
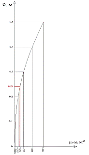
По данным таблицы 1
строим график (см. рисунок 2).
По вертикальной оси
откладываем величину μтω, по горизонтальной - диаметр.
Далее, по графику
определяем D, отвечающий Zmax = 3м, т.е. μтω*
= 0.016 м2= 240 мм
Округляем этот диаметр
до ближайшего большего значения диаметра по сортаменту: D = 250 мм.
При полученном D = 250
мм вычислим разность уровней воды в водоёмах А и В.
;
Значение для μтω
возьмём из табл. 1 для D = 250 мм:
дейст < Zmax
Рис. 2 Определение
подходящего диаметра трубы
2. Определение режима
движения жидкости в трубопроводе и нахождение области сопротивления
Находим число
Рейнольдса:
-кинематический
коэффициент вязкости (для воды при t = 20°C,
=1,006
мм2/с)
, следовательно, режим
турбулентный.
. Построение напорной и
пьезометрической линии при принятом диаметре трубы сифона в предположении, что
работает один сифон
При прохождении пути от
водоёма А к водоёму В вода потеряет напор, который можно вычислить по формуле:
, где
- полная потеря напора,-
потеря напора по длине трубопровода,
∑hj - сумма
местных потерь напора.
Используя данные,
полученные в таблице 1, вычисляем потери напора на отдельных участках:
Вычисляем потерю напора
на входе:
, где
ζкл
- коэффициент сопротивления в клапане (табл. 1)
Вычисляем потерю напора
на 1-ом и 4-ом участках:
Вычисляем потерю напора
при резком повороте на 45˚
,
Вычисляем потерю напора
по длине на 2-ом и 3-ем участках:
,
, т.к. l2 = l3.
Вычисляем потерю напора
на плавном повороте на 90˚
Вычисляем полную потерю
напора:
,
(
)

Получаем hf = Z, где Z -
разность уровней воды в водоёме А и В
Построение напорных и
пьезометрических линий
Для жидкости в сосуде
напорная и пьезометрическая линии проходят по линии поверхности воды.
Откладываем последовательно hl и hj для каждого участка, начиная от поверхности
в водоёме А, получаем напорную линию Е-Е, которая должна прийти на поверхность
водоёма В.
Т.к. диаметр трубы
сифона постоянен, пьезометрическая линия Р-Р будет параллельна линии Е-Е и
располагаться от неё на расстоянии, равном скоростному напору:
Построение см. на рис.3
. Нахождение разности
уровней воды в водоёмах А и В в предположении, что работают оба сифона, имеющие
найденный выше диаметр
Для расчёта используем
формулу:
w
,
Разность уровней Z`
найдём из следующих соображений:
Т.к. водоёмы А и В
соединены двумя одинаковыми трубами, то расход одной трубы уменьшается в 2
раза, по сравнению с тем, когда работал один сифон:
w
,
тогда расход обоих труб
будет равен:
w
.
Выразим из этого
равенства величину Z`:
`= 2,265/4 = 0,566 м
Список литературы
1. Кожевникова, Е.Н. Механика жидкости и газа (гидравлика). Справочик.
. Кожевникова, Е.Н. Механика жидкости и газа (гидравлика).
Методические рекомендации для выполнения и оформления курсовых и
расчетно-графических работ / Е.Н. Кожевникова, Е.А. Локтионова, В.Т. Орлов.
-Л.: Издательство Политехнического университета, 2006.-40с.