Источники и потребители электрической энергии постоянного тока
ВВЕДЕНИЕ
Электротехника - это наука о техническом (т.е. прикладном) использовании
электрических и магнитных явлений. Большое значение электротехники заключается
в том, что средствами электротехники:
1. эффективно получают и передают электроэнергию;
2. решают вопросы:
Ø передачи и преобразования сигналов и информации: звук
человеческой речи преобразуют в электромагнитные колебания (телефон, радио);
Ø хранения информации (телеграф, радио, магнитная запись);
3. выполняют математические операции: вычислительные машины с огромной
скоростью выполняют любые математические операции, в том числе и решение
сложных уравнений.
Теоретические основы электротехники заложены физикой (учением об
электричестве и магнетизме) и математикой (методами описания и анализа электромагнитных
явлений). Наряду с этом развитие электротехники привело к ряду новых физических
понятий, новых формулировок физических законов, к развитию специальных
математических методов, связанных с описанием и анализом типичных явлений,
протекающих именно в электротехнических устройствах, например переходные
процессы.
Переходные процессы сопровождают переход электрической цепи или системы
из одного установившегося состояния в другое и возникают при любых изменениях
параметров электрических цепей. Мгновенные изменения параметров называют
коммутациями. Наиболее распространенными коммутациями являются включения или
выключения электрических цепей в целом или отдельных их участков.
Переходные процессы в исключительном большинстве случаев конечны во
времени. Объясняется это тем, что любая электрическая цепь запасает энергию
электромагнитного поля. При этом энергия магнитного поля сосредоточивается в
индуктивностях, а электрического - в емкостях. Электромагнитная энергия не
может быть изменена мгновенно, т.е. нельзя ее мгновенно накопить, или,
наоборот, израсходовать. Это обстоятельство и определяет конечность протекания
во времени любых переходных процессов. В зависимости от количества активных и
реактивных элементов, а также от структуры электрической цепи изменения токов и
напряжений в переходных процессах могут быть достаточно сложными.
1. Анализ трехфазной цепи при включении в нее приемников по схеме
«треугольник»
Если обмотки генератора трехфазного тока соединить так, что конец первой
обмотки соединяется с началом второй, конец второй с началом третьей, конец
третьей с началом первой, а к общим точкам подключить линейные провода, то
получим соединение треугольником. Кажущегося короткого замыкания в обмотках
генератора не произойдет, так как сумма мгновенных значений ЭДС в них равна
нулю:
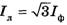
в чем легко убедиться, построив векторную диаграмму. Три приемника тока
также включены треугольником. В
отличие от соединения звездой, где в большинстве случаев применяется
четырехпроводная система, здесь используются три провода.
Рисунок 1.1 - Соединение треугольником
При соединении треугольником существуют только линейные напряжения
, поскольку нулевой провод
отсутствует, но появляются фазные
и линейные
токи. Соотношения между линейными и
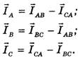
фазными токами легко могут быть получены, если для каждой узловой точки
потребителя применить первое правило Кирхгофа:
Из этих соотношений видно, что любой из линейных токов равен
геометрической разности двух фазных токов. Кроме того, почленное сложение этих
равенств показывает, что геометрическая сумма линейных токов равна нулю:
Для построения векторной диаграммы в качестве исходных возьмем три
вектора линейных напряжений (UAB, UBC, UCA), расположенных под углом 120°
друг относительно друга.
Рисунок 1.2 - векторная диаграмма соединения треугольником
При симметричной нагрузке векторы фазных токов IAB , IВС ,IСА сдвинуты по фазе относительно
соответствующих напряжений на угол j, величина которого зависит от характера нагрузки.
Теперь, пользуясь соотношениями, построим на этой же диаграмме векторы
линейных токов. Для того чтобы построить вектор линейного тока IA , нужно к вектору фазного тока IAB прибавить вектор (-ICA) , т. е. вектор, равный по длине ICA, но противоположный по направлению.
Так же строятся остальные векторы линейных токов.
Для нахождения соотношения между модулями линейных и фазных токов
рассмотрим тупоугольный треугольник с углом 120° при вершине, образованный
векторами Ia, (-ICA) и IAB.
Опустим перпендикуляр из вершины тупого угла этого треугольника на
противоположную сторону и найдем, что
. Следовательно,
Таким образом, в трехфазной системе,
соединенной треугольником, линейные токи больше фазных в
раз, а фазные напряжения совпадают с
линейными.
Наличие двух способов включения нагрузок расширяет возможности
потребителей. Например, если каждая из трех обмоток трехфазного
электродвигателя рассчитана на напряжение 220 В, то электродвигатель может быть
включен треугольником в сеть 220/127 В или звездой в сеть 380/220 В. Соединение
треугольником чаще всего используется в силовых установках (электродвигатели и
т. п.), где нагрузка близка к равномерной. В трехфазных цепях способ включения
нагрузки (звездой или треугольником) не зависит от способа включения обмоток
генератора или трансформатора, питающего данную цепь.
2. ИСТОЧНИКИ И ПОТРЕБИТЕЛИ ЭЛЕКТРИЧЕСКОЙ ЭНЕРГИИ ПОСТОЯННОГО ТОКА
2.1 Расчет двухконтурной электрической цепи
Для электрической цепи постоянного тока (рисунок 2.1.1) определить ток I,
напряжение на зажимах потребителя U, мощность потребителя электроэнергии Р2 и
источника питания P1, КПД ŋ установки, составить баланс мощностей.
Рисунок 2.1.1 - Электрическая цепь постоянного тока
ЭДС источника Е, внутреннее сопротивление источника R0, сопротивления
резисторов R1, R2, R3, а также положение выключателей К1 и К2 для
соответствующих вариантов задания приведены в таблице 2.1
Таблица 2.1
|
Вариант
|
Е, В
|
R0
|
R1
|
R2
|
R3
|
Замкнутые выключатели
|
|
8
|
6
|
0,3
|
-
|
2
|
6
|
К1
|
Решение
Рисунок 2.1.2 - расчетная схема
Сопротивление потребителя:
2·6 /
(6+2) = 4 Ом (2.1.1)
Определяем полное сопротивление цепи:
=4 + 0,3
= 4,3 Ом (2.1.2)
Ток, протекающий по цепи:
6 / 4,3 =
1,39 А (2.1.3)
Напряжение на зажимах потребителя:
1,39·4 =
5,56 В (2.1.4)
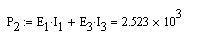
Мощности потребителя и источника:
5,56·1,39
= 7,73 Вт (2.1.5)
6·1,39 =
8,34 Вт (2.1.6)
Коэффициент полезного действия:
7,73 /
8,34 = 0,927 = 92,7 % (2.1.7)
2.2 Метод эквивалентных
преобразований для многоконтурной электрической цепи
Определить эквивалентное сопротивление Rэк электрической цепи постоянного
тока (рис.1.4,а) и распределение токов по ветвям. Вариант электрической цепи
(включая ее участок 1-2, рис.1.4, рис.1.5, , ограниченный на схеме рис. 1.4, а
пунктиром), положение выключателей К1 и К2 в схемах, величины сопротивлений
резисторов R1 - R12 и питающего напряжения U для каждого из вариантов задания
представлены в таблица 2.2
Таблица 2.2
|
Вариант
|
R1
|
R2
|
R3
|
R4
|
R5
|
R7
|
R8
|
R9
|
R10
|
R11
|
R12
|
|
8
|
3
|
2
|
8
|
12
|
1
|
1
|
2
|
15
|
10
|
20
|
5
|
10
|
|
Вариант
|
U
|
K1
|
K2
|
Схема
|
|
8
|
110
|
2
|
-
|
1,4в
|
Решение
Рисунок 2.2.1 - расчетная схема
Определяем эквивалентные соединения отдельных ветвей:
Определяем соединения суммируя параллельно соединенные ветви:
Определяем полное эквивалентное соединение:
(2.2.7)
Определяем общую силу тока:
электрический цепь многоконтурный трехфазный
(2.2.8)
Падение напряжения на ветвях:
(2.2.9)
Определяем токи в верхней части цепи:
Токи в остальных ветвях цепи:
2.3 Метод применения законов Кирхгофа для
многоконтурной электрической цепи
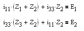
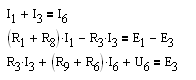
Для электрической цепи постоянного тока (рис. 1.7) , используя данные,
приведенные для данного варианта задания в табл. 1.3, определить токи I1 - I9 в
ветвях резисторов R1 - R9, составить баланс мощностей. ЭДС и напряжения
источников, сопротивления резисторов и положение выключателей для
соответствующих вариантов задания приведены в таблице 2.3. Внутренним
сопротивлением источников пренебречь.
Таблица 2.3
|
Вариант
|
E1
|
E3
|
E4
|
U5
|
U6
|
|
8
|
110
|
40
|
-
|
-
|
20
|
|
Вариант
|
1
|
2
|
2`
|
3
|
4
|
5
|
7
|
8
|
9
|
Замк.
|
|
8
|
0,2
|
-
|
-
|
2
|
-
|
-
|
1
|
-
|
1,9
|
1
|
К3,К6
|
Решение
Рисунок 2.3.1 - расчетная схема
Выбираем направление движения токов. Составляем систему уравнений по
законам Кирхгофа
Подставляем численные значения и решаем систему матричным методом:
(2.3.2)
(2.3.3)
(2.3.4)
Значения токов:
(2.3.5)
Составляем баланс. Суммируем мощность, выделяемую на резисторах:
(2.3.6)
Суммируем мощность, поставляемую в цепь источниками ЭДС:
(2.3.7)
Баланс сходится Р1 = Р2. Расчет произведен верно.
2.4 Выводы
В данной главе изучили источники и потребители электрической энергии
постоянного тока. Изучили и рассчитали двухконтурную электрическую цепь. Для
электрической цепи постоянного тока определили ток I, напряжение на зажимах потребителя U, мощность потребителя электроэнергии Р2 и источника питания P1, КПД ŋ установки, составили
баланс мощностей.
Изучили метод эквивалентных преобразований для многоконтурной
электрической цепи. Определили эквивалентное сопротивление Rэк электрической цепи постоянного
тока и распределение токов по ветвям.
Изучили и применили на практике законы Кирхгофа для многоконтурной
электрической цепи. Для электрической цепи постоянного тока, определили токи в
ветвях резисторов, составили баланс мощностей.
3. ЭЛЕКТРИЧЕСКИЕ ЦЕПИ ПЕРЕМЕННОГО ТОКА
3.1 Расчет цепи переменного тока со смешанным
соединением сопротивлений
Таблица 3.1
|
Вариант
|
E1
|
E2
|
R1
|
R2
|
R3
|
X1
|
X2
|
X3
|
|
Метод контурных токов
|
|
|
|
|
|
|
|
8
|
|
|
3
|
6
|
4
|
4
|
8
|
3
|
Решение
Рисунок 3.1.1 - Расчетная схема
Вычисляем комплексные сопротивления ветвей:

Выбираем направление течения тока и составляем уравнения по методу контурных
токов
(3.1.4)
Решаем систему уравнение и получаем значения токов:
(3.1.5)
Определяем токи ветвей:
(3.1.6)
Рассчитываем полную мощность, генерируемую источниками ЭДС:
(3.1.7)
Активная составляющая
Активная мощность, выделяемая на резисторах:
(3.1.9)
Мощности равны, баланс сходится.
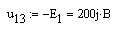
Определяем падение напряжения на всех элементах:
(3.1.10)
Напряжение между точками 1-3
(3.1.11)
Напряжение между точками 3-4
(3.1.12)
Напряжение и ток между точками 2-3
(3.1.13)
Рисунок 3.1. - Векторная диаграмма участка 2-3
3.2 Выводы
В данном разделе курсовой работы изучили электрические цепи переменного
тока.
Для электрической цепи переменного тока с частотой f = 50 Гц определили полные
сопротивления Z ветвей, токи I в
ветвях и напряжения U на элементах электрической цепи, составили баланс
активных мощностей. Построили для ветви цепи в масштабе векторную диаграмму
тока и напряжений.
4.ОСНОВНЫЕ СХЕМЫ ВКЛЮЧЕНИЯ ТРАНЗИСТОРОВ
4.1 Расчет схемы однокаскадного низкочастотного
усилителя
Рассчитать схему однокаскадного низкочастотного усилителя: определить
коэффициенты усиления пол току Ki,
напряжению Ku и мощности Kp, а также входное RBX и выходное RВЫХ сопротивления
для заданного варианта схемы включения транзистора по его h-параметрам для рабочей точки.
Величина сопротивления RH
нагрузки и внутреннего сопротивления генератора сигналов Rr приведены для соответствующего
варианта контрольного задания в таблице 4.1.
Таблица 4.1
|
Вариант
|
Тип транзистора
|
Схема включения
|
h11 Ом
|
h12
|
h21
|
h22 См
|
Rн, кОм
|
RГ кОм
|
|
8
|
n-p-n
|
ОЭ
|
330
|
1,6·10-4
|
56
|
6,25·10-6
|
5,5
|
15
|
Решение
Коэффициент усиления по току определяется как:
56 / (1
+ 6,25·10-6 · 5500) = 54,139 (4.1.1)
по напряжению:
(4.1.2)
=56 ·5500/ 330 · (1 + 6,25·10-6·5500- 1,6·10-4·56 ·5500) =1055
Отрицательное значение коэффициента усиления означает, что напряжение на
выходе контура инвертируется.
Коэффициент усиления по мощности:
54,139·1055=
57093 (4.1.3)
Входное сопротивление:
(4.1.4)
=(330·(6,25·10-6 + 1/5500) - 1,6·10-4·56)/ (6,25·10-6 + 1/5500) = 282 Ом
= 0,282 кОм
Выходное сопротивление
(4.1.5)
=(330+ 15000) / (6,25·10-6 ·(330 + 15000)· 1,6·10-4·56) =
= 1786·107 Ом = 17,86 Мом
4.2 Выводы
В данном разделе изучили схемы однокаскадных низкочастотных усилителей на
разнородных транзисторах.
Рассчитали схему однокаскадного низкочастотного усилителя: определили
коэффициенты усиления по току Ki,
напряжению Ku и мощности Kp, а также входное Rвх и выходное Rвых сопротивления
для заданного варианта схемы включения транзистора с его h-параметрами для рабочей точки.
ЗАКЛЮЧЕНИЕ
В ходе курсовой работы изучили источники и потребители электрической
энергии постоянного тока. Изучили и рассчитали двухконтурную электрическую
цепь. Для электрической цепи постоянного тока определили ток I, напряжение на
зажимах потребителя U, мощность потребителя электроэнергии Р2 и источника
питания P1, КПД ŋ установки, составили баланс мощностей.
Изучили метод эквивалентных преобразований для многоконтурной электрической
цепи. Определили эквивалентное сопротивление Rэк электрической цепи постоянного
тока и распределение токов по ветвям.
Изучили и применили на практике законы Кирхгофа для многоконтурной
электрической цепи. Для электрической цепи постоянного тока, определили токи в
ветвях резисторов, составили баланс мощностей.
В процессе написания курсовой работы изучили электрические цепи
переменного тока.
Рассчитали цепь переменного тока со смешанным соединением сопротивлений.
Для электрической цепи переменного тока с частотой f = 50 Гц определили полные сопротивления Z ветвей, токи I в ветвях и напряжения U на элементах
электрической цепи, составили баланс активных мощностей. Построили для ветви
цепи в масштабе векторную диаграмму тока и напряжений.
В пределах данной курсовой работы изучили схемы однокаскадных
низкочастотных усилителей на разнородных транзисторах.
Рассчитали схему однокаскадного низкочастотного усилителя: определили
коэффициенты усиления по току Ki,
напряжению Ku и мощности Kp, а также входное Rвх и выходное Rвых сопротивления
для заданного варианта схемы включения транзистора с его h-параметрами для рабочей точки.
СПИСОК
ИСПОЛЬЗУЕМЫХ ИСТОЧНИКОВ
1. Бессонов
Л.А. Теоретические основы электротехники. Электрические цепи. М: Высшая школа,
1996 год.
2. Матханов
П.Н. Основы анализа электрических цепей. Линейные цепи: Учебник. - М.: Высшая
школа,1990.
. Касаткин
А.С. Электротехника : учеб. для вузов / А.С. Касаткин, М.В. Немцов. - 11-е
изд., стер. ; Гриф МО. - М. : Академия, 2007.
. Жаворонков
М.А. Электротехника и электроника. - М.: "Академия", 2010.
. Электротехника
и электроника. Контрольные работы Учебно-методическое пособие для
самостоятельной работы./СамГТУ, сост. Ю.А. Мелешкин, А.А. Мартынов, В.И.
Куликов. Самара, 2009 . 62 c.
. Волынский
В.А. и др. Электротехника /Б.А. Волынский, Е.Н. Зейн, В.Е. Шатерников: Учеб.
пособие для вузов. - М.: Энергоатомиздат, 2007. - 528 с., ил.
. Касаткин
А.С., Немцов М.В. Электротехника: Учеб. пособие для вузов. - 4-е изд., перераб.
- М.: Энергоатомиздат, 2009. - 440 с., ил.
. Электротехника
и электроника в 3-х кн. Под ред. В.Г. Герасимова Кн.1. Электрические и
магнитные цепи. - М.: Высшая шк. - 2006 г. Электротехника и электроника в 3-х
кн. Под ред. В.Г. Герасимова Кн.2. Электромагнитные устройства и электрические
машины. - М.: Высшая шк. - 2007 г.
. Кузовкин
В.А. Теоретическая электротехника: Учебник. М.: Логос, 2002
. Касаткин
А.С., Немцов М.В. Электротехника. М.: Высш. шк., 2000.
. Бессонов
Л.А. Сборник задач по ТОЭ. М.: Высш. шк., 2001.