Приемник многоканальной линии связи
Казанский государственный технический
университет им. А.Н. Туполева
Институт радиоэлектроники и
телекоммуникаций
Кафедра РЭКУ
КУРСОВОЙ ПРОЕКТ
По курсу: «Устройства приема и
обработки сигналов»
На тему:
Приемник многоканальной линии связи
Выполнила: Фазылова Г.Р.
студентка группы №5404
Проверил: Царёва М.А.
Казань 2012
Задание:
|
1. Диапазон рабочих частот,
ГГц
|
0.705-0.710
|
|
2. Количество каналов связи
|
10
|
|
3. Чувствительность
приемника, дБ/Вт
|
-110
|
|
4. Избирательность по
зеркальному каналу, дБ
|
60
|
|
5. Избирательность по
соседнему каналу, дБ
|
70
|
|
6. Динамический диапазон,
дБ
|
-
|
|
7. Отношение сигнал/шум на
выходе приемника 10
|
|
|
8. Вид модуляции сигнала
|
ИМ
|
|
9. Длительность импульса,
мкс
|
5
|
|
10. Относительная нестабильность
частоты сигнала
|
|
Содержание
Введение
1. Предварительный
расчет
1.1 Расчет необходимой полосы
пропускания
1.2 Особенности чувствительности
приемника. Коэффициент шума
1.3 Выбор
средств обеспечения избирательности приёмника
1.4 Коэффициент усиления
2. Основной
расчет
2.1 Расчет входной цепи
2.2 Расчет усилителя радиочастоты
.3 Расчет смесителя
.4 Расчёт усилителя промежуточной частоты
3. Расчет
импульсного детектора
Заключение
Список
использованной литературы
Введение
Любое радиоприемное устройство включает в себя приемную антенну,
радиоприемник и оконечное устройство, служащее для воспроизведения сигналов.
Существует классификация радиоприемников, которая производится по
некоторым отличительным признакам:
- тип схемы
- вид приемных сигналов
- назначение приемника
- диапазон частот
- вид активных элементов, задействованных в радиоприемнике
- тип конструкции приемника
Приемники, в зависимости от рода принимаемых сигналов, подразделяются на:
- приемники непрерывных колебаний с изменяемой амплитудой (АМ), фазой (ФМ)
и частотой (ЧМ)
- приемники колебаний, скачкообразно изменяемых по амплитуде,
фазе и частоте
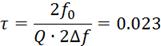
1. Предварительный расчет
.1 Расчет
необходимой полосы пропускания
,
где
-спектр сигнала,
-полоса
определяемая нестабильностью сигнала
Для
ИМ:
Нестабильность
частоты сигнала берем из задания:
Нестабильность
частоты гетеродина:
Частота
гетеродина
Промежуточную
частоту
Возьмем
Нестабильность
настройки УПЧ:
.
Нестабильность
настройки гетеродина:
.
Проверка
n-число каналов
.2
Особенности чувствительности приемника. Коэффициент шума
Допустимый коэффициент шума приемника:
, где
-
чувствительность приемника,
-
коэффициент, характеризирующий уменьшение отношения сигнал/шум по мощности на
выходе детектора.
Для
ИМ
,
Дж/град
- постоянная Больцмана;
К -
температура по Кельвину;

Коэффициент
шума приемника определяется по формуле:
где
- коэффициент шума
-го
каскада, начиная от входа;
-
коэффициент передачи по мощности
-го
каскада.
В
нашем случае:
ПЧ:
на п/п диоде
УРЧ:

УПЧ:
Кр=5 ШУПЧ=3, ШУПЧк =6
В
итоге общий коэффициент шума составляет:
, Ш<Шдоп.
.3
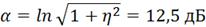
Выбор средств обеспечения избирательности приёмника
,
- полоса
запирания фильтра при заданном ослаблении;
,
- полоса
пропускания фильтра на уровне 0,7 от максимума
,
Класс
фильтра (количество резонаторов) определяется из графиков для баттервортовских
фильтров
N = 4,
2 резонатора в ВЦ и 2 - в УРЧ.
1.4
Коэффициент усиления
Амплитуда напряжения промежуточной частоты на выходе преселектора (на
входе УПЧ) равна:

=2
-
входное сопротивление первого каскада УПЧ;
где
- коэффициент передачи по мощности входной цепи;
-
коэффициент усиления по мощности УРЧ;
-
коэффициент передачи по мощности преобразователя частоты.

=2
где
- выходное напряжение УПЧ (линейной части приемника);
-
напряжение сигнала на входе детектора (
);
-
коэффициент запаса, равный 2-3.
Для
работы детектора в линейном режиме обычно берут напряжения на входе детектора
В.
Коэффициент усиления УПЧ записывается в виде:
где
- коэффициент усиления каскада с ФСС;
-
коэффициент усиления широкополосного каскада;
-
коэффициент усиления оконечного слабоизбирательного каскада.
Функциональная
схема УПЧ приведена на рис.:
Функциональная
схема УПЧ с ФСС окончательно определится после нахождения количества
широкополосных каскадов.
2. Основной расчет
.1 Расчет
входной цепи (ВЦ)
Рассчитать фильтр преселектора приемника со следующими данными:
- средняя
частота настройки приемника
ГГц
- промежуточная
частота
МГц;
- избирательность
по зеркальному каналу
дБ.
На входе и выходе фильтр должен быть согласован с трактом с волновым
сопротивлением 50Ом. Фильтр является частью ГИС СВЧ, поэтому габариты должны
быть минимальными.
Ввиду высокой рабочей частоты приемника применим фильтр с полуволновыми
разомкнутыми резонаторами.
Зеркальный канал приема равен:
Полоса
запирания фильтра должна быть равна:
МГц.
Выберем
полосу пропускания преселектора в несколько раз больше, чем полоса пропускания
приемника
МГц.
Находим
отношение:
Из
графиков находим, что с запасом по ослаблению фильтр должен иметь n=4.
Если
преселектор приемника состоит из входной цепи и УВЧ, целесообразно заданную
избирательность по зеркальному каналу поделить поровну между входной цепью и
УВЧ по 30дБ. Для реализации выберем микрополосковую несимметричную линию
передачи на поликоре с
=9,8.
Рассчитаем электрические характеристики фильтра при n=2.
Согласно
заданию:
Ом
Электрическую
длину резонатора берем
Волновое
сопротивление резонаторов фильтра берем
Ом
Определяем
эффективную диэлектрическую постоянную:
Из таблицы находим параметры прототипа g0=1; g1=1,41; g2=1,41; g3=1
Конструктивное исполнение фильтра определяется его назначением и
частотой. В радиоприемных устройствах в диапазоне от 0,3ГГц до 4ГГц широко
используются полосовые фильтры на отрезках микрополосковых линий. Вычисляем
относительную полосу пропускания:
Рассчитываем параметры инверторов проводимостей:
где,
,
-волновое сопротивление входного тракта
Параметры элементов связи на входе и выходе:
Находим
нормированные емкости на единицу длины линии
Находим нормированные взаимные емкости между линиями
Сосредоточенные емкости на концах линий:
пФ
Задаемся
поперечным размером фильтра b=10мм и
Расстояние
Si,i+1 между полосками фильтра находим из графика и
рассчитанным взаимным емкостям
:
,
,
;
Рассчитываем ширину полосок:
мм;
мм;
мм;
Уточняем
по формуле:

Определяем
длины полосок (резонаторов):
мм
. Рассчитываем потери фильтра в полосе пропускания.
Потери в проводниках:
где
определяется по графику
при
и
Потери
в диэлектрике:
Учитывая потери на излучение, добротность резонатора
2. Эскиз фильтра
Швц:
1,25→1,41
Кп:
0,8→0,71
.2 Расчет УРЧ
Рассчитываем усилитель для ГИС СВЧ с параметрами:
- частота
сигнала
ГГц;
- полоса
пропускания приемника
кГц;
- избирательность
преселектора по зеркальному каналу не менее
дБ;
Волновое сопротивление подводящих линий МПЛ на входе и выходе усилителя
50 Ом.
Для
реализации усилителя на частоте
ГГц
используем транзисторный усилитель как наиболее простой. Заданную
избирательность преселектора
дБ
обеспечим применением двух полосовых фильтров СВЧ на входе усилителя (входная
цепь) и на его выходе с избирательностью по зеркальному каналу по 30дБ на
каждый фильтр.
Выбираем
для усилителя схему с общим эмиттером на биполярном транзисторе VT1
КТ391 схема с ОЭ в типовом режиме
мА,
В.
Из
таблицы находим S - параметры транзистора (на частоте
ГГц):
,
,
,
,
,
,
Проверяем
выполнение условий:
;
;
;
;
Поскольку
, транзистор находится в области ОПУ. Для перевода его
в область ОБУ используем стабилизирующее сопротивление:
Находим величину стабилизирующего сопротивления:
Ом
Пересчитаем
S - параметры транзистора с учетом
Предварительно находим:
;
Пересчитанные
S - параметры транзистора равны:
Рассчитаем транзисторный усилитель в режиме экстремального усиления.
Коэффициент усиления транзисторного усилителя по мощности равен:
Перед
корнем взят знак “минус” поскольку транзистор находится в режиме ОБУ.
Рассчитанный
коэффициент усиления Kp достигается при двухстороннем согласовании на входе и
выходе транзистора.
Расчет
входного и выходного сопротивления транзистора
Для
расчета входного
и выходного
сопротивлений
транзистора, найдем предварительно коэффициенты отражения на входе и выходе:
где
и
найдем
из выражений:
При
расчете этих выражений использованы следующие формулы:
где
где
где
Окончательно находим:
Итак,
входное комплексное сопротивление транзистора носит емкостной характер
где
Ом, а
Ом
Выходное
комплексное сопротивление транзистора носит индуктивный характер
где
Ом, а
Ом.
Расчет цепей согласования
Рассчитаем
цепи согласования входного сопротивления транзистора с подводящей
микрополосковой линией с волновым сопротивлением
Ом на
ситаллс КП с
,
мм.
Двухшлейфовое
согласование на входе.
Пересчитаем
входное сопротивлением транзистора во входную проводимость
мСм
Активную
составляющую входного сопротивления (проводимости) транзистора
согласуем с волновым сопротивлением подводящей линии
Ом с помощью четвертьволного трансформатора
(последовательного шлейфа) с параметрами: длина шлейфа
где
см;
см
см
волновое
сопротивление:
Ом
Находим
ширину полоски
;
мм
Реактивную
составляющую входного сопротивления (проводимости) транзистора емкостного
характера компенсируем параллельным короткозамкнутым шлейфом, входное
сопротивление которого должно носить индуктивный характер (см. рис.)
Длина
шлейфа:
см
где
Ом;
Ом
Ширина
полоски шлейфа равна
;
мм
Рассчитаем
цепи согласования выходного сопротивления транзистора с микрополосковой линией
с волновым сопротивлением
Ом на ситалле КП с
;
мм.
Рассмотрим
двухшлейфовое согласование на выходе.
Пересчитаем
выходное сопротивление транзистора в выходную проводимость
Активную
составляющую выходного сопротивления (проводимости) транзистора
согласуем с волновым сопротивлением МПЛ
Ом с помощью четвертьволнового трансформатора
(последовательного шлейфа) с параметрами: длина шлейфа
см
волновое сопротивление:
Ом
радиолокационный усилитель фильтр детектор
Реактивную
составляющую выходного сопротивления транзистора, имеющую индуктивных характер,
компенсируем с помощью параллельного шлейфа, в качестве которого используем
четвертьволновый разомкнутый отрезок МПЛ, входное сопротивление которого должно
носить емкостной характер (см. рис.)
Задаемся
волновым сопротивлением шлейфа
Ом.
Длину
шлейфа находим по формуле:
см
Ширина
полоски шлейфа равна
;
мм.
Коэффициент шума усилителя
Коэффициент шума усилителя в соответствии с таблицей берем равным
Расчет
цепей питания и смещения по постоянному току.
Выбираем
схему питания и смещения транзистора по постоянному току. Рис б)
Считаем,
что транзистор находится в типовом режиме работы по постоянному току:
В;
В;
мА;
В;
Задаемся
током базового делителя
;
мА
Находим
величины сопротивлений резисторов усилителя.
Ом
кОм;
где
ток базы
находят по формуле
Ом;
;
Постоянные
напряжения питания и смещения подаем на транзистор через высокочастотные
дроссели в качестве которых используем четвертьволновые отрезки МПЛ
и
короткозамкнутые
на конце по высокой частоте емкостями С2 и С4.
После
выполнения вышеприведенных расчетов приступают к разработке принципиальной
электрической схемы усилителя.
Емкости
конденсаторов
(
) выбираются
из условия, чтобы реактивное сопротивление конденсатора
на высокой частоте было близко к нулю, выберем C1=С2=С3=С4=10мкФ.
Расчёт
фильтра на выходе УРЧ аналогичен расчёту ВЦ.
2.3 Расчет диодных балансных смесителей
Принципиальная электрическая схема БС

Выбираем
подложку из поликора (
,
)
толщиной 
. Для
проводников применяем золото 
.
Выбираем
смесительные диоды с барьером Шотки типаАА112Б. Находим
дБ;
;
Ом.
Расчет
начинаем с проектирования СВЧ моста.
Определяем
волновое сопротивление для основной линии:
для
шлейфов:

Ширина
полоски основной линии
и шлейфа
:
мм
мм
Эффективная
диэлектрическая проницаемость :
Для
основной линии
; для шлейфов
.
Длину
четвертьволновых отрезков основной линии
и
шлейфов
находим по формуле:
,
где
- длина волны в воздухе:
;
Рассчитаем
потери моста, для чего вычислим потери проводимости и диэлектрические потери в
основной линии и шлейфах моста.
Толщина
скин-слоя в проводниках:
Поверхностное
сопротивление проводника:
Погонные
потери проводимости находим по формуле для основной линии и шлейфов
соответственно:
Потери
проводимости отрезка основной линии и шлейфа соответственно:
.
Погонные диэлектрические потери в подложке МПЛ
,


Диэлектрические
потери в основной линии и шлейфе:
дБ
дБ
Полные
потери основной линии и шлейфа
Потери
моста
, развязка изолированного плеча
, КСВ входных плеч моста
Выходное
сопротивление БС:
Ом.
Потери
преобразования БС равны
Lбс=Lд+Lм=6+0,27=6,27
дБ
Коэффициент
шума БС рассчитываем по формуле:

где
- шумовое число диода,
- потери
БС (разы).
Необходимая
мощность гетеродина равна:
мВт.
Частота
гетеродина:
ГГц.
После
расчетов можно приступить к разработке топологической схемы БС.
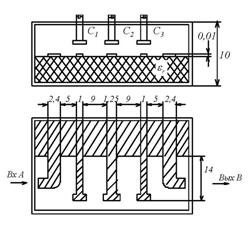
Топологическая схема балансного диодного смесителя на квадратном мосте
В
схему БС необходимо добавить короткозамкнутый шлейф, длиной
, для замыкания постоянной составляющей токов диодов и
высокочастотные дроссели, шлейфы длиной
для
блокировки токов СВЧ на входе УПЧ.
.4 Усилитель промежуточной частоты
Для снижения коэффициента шума приёмника рационально после диодного
преобразователя включать малошумящие каскады УПЧ, благодаря использованию в них
малошумящих транзисторов, подбору режима их работы и специфическому построению
цепи, соединяющий вход УПЧ с выходом преобразователя частоты.
Выбираем для УПЧ транзистор КТ364Б, имеющий высокую fY21 и малый уровень шума. Транзистор
КТ364Б имеет следующие параметры:
tк = r × Ск=15 пс,
Ск=1,7 пФ,
fгр=1200 МГц,
Uк = 5 В,
Iк = 3 мА,
fп = 30 МГц,
h21=50…300.
Где tк = r’ Ск - постоянная времени цепи обратной связи ;
Ск - ёмкость коллектора, fгр - предельная частота усиления тока в схеме с ОЭ;
fп - промежуточная частота.
Рассчитываем дополнительные параметры транзистора.
h21э
= bо = 40 - коэффициент усиления тока базы в схеме с ОЭ.
-
сопротивление эмиттерного перехода,
rб = tк
/Ск = 15/1,7 = 8,8 Ом - сопротивление базы.
входное
сопротивление транзисторов с ОБ на низкой частоте.
граничная
частота крутизны характеристики в схеме с ОЭ. Т.к. fY21> 3fп, где fп = 30МГц то транзистор пригоден для использования в
УПЧ.
Рассчитываем
Y- параметры транзистора.
прямая
взаимная проводимость (крутизна) по модулю.
обратная
взаимная проводимость по модулю.
=9.6
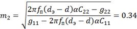
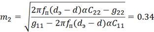
Расчет фильтра сосредоточенной избирательности.
Исходными данными для расчета каскада с ФСИ являются:
;
П=264кГц; ;
;
ширина
одного канала;
1. Выбор схемы фильтра.
Средняя частота настройки фильтра:
Полоса пропускания фильтра:
Относительная полоса пропускания фильтра
. Расчёт параметров фильтра.
Выбираем фильтр без полюсов затухания
и m=1
Находим нормированную расстройку
Определяем ослабление частоты
в однозвенном фильтре
не обеспечивает заданному требованию по ослабления частоты на 70дБ
двухзвенный фильтр
- не обеспечивает заданному требованию по ослабления частоты на 70дБ
− трехзвенный фильтр
не обеспечивает заданному требованию по ослабления частоты на 70дБ
− четырехзвенный фильтр
не обеспечивает заданному требованию по ослабления частоты на 70дБ
пятизвенный фильтр
обеспечивает заданному требованию по ослабления частоты на 70дБ
Потери на средней частоте полосы пропускания:
Таким образом для обеспечения данной избирательности необходимо 5-звенный
фильтр. Поскольку выбираем фильтр без полюсов затухания, то
Параметры кварцевого резонатора
. Параметры кварцевой пластины АТ среза
толщина
площадь кварцевой пластины
параллельная емкость резонатора
Коэффициент усиления каскада, нагруженного на ФСИ
Расчет отдельных каскадов УПЧ
Расчет одноконтурного каскада (
)
Б)
В этом случае от каскада не удается получить максимального усиления, так
как для этого требуется слишком малая эквивалентная емкость контура, не
допустимая с точки зрения стабильности формы частотной характеристики. В
подобной ситуации реализуют режим максимального усиления при ограничении
минимального значения эквивалентной емкости контура. При этом коэффициент
включения определяется по формуле
- Эквивалентная емкость контура
каскад не устойчив
Применяем пассивный способ повышения устойчивости, заключающийся в
уменьшении резонансного коэффициента усиления до устойчивости. В этом случае
каскад рассчитывают применительно к режиму фиксированного усиления задавшись
величиной фиксированного коэффициента усиления
Коэффициент включения контура в цепь базы транзистора:
Для получения заданной полосы пропускания к контуру можно подключить
шунтирующий резистор с проводимостью
Расчет каскада основного усиления
Найдем минимально допустимое отношение эквивалентной емкости контура к
вносимой в контур транзистора.
Задавшись числом избирательных систем, определяем необходимое
эквивалентное затухание контуров обеспечивающие полосу пропускания:
=1,96 - выбираем из таблицы.
d=0,01-собственное
затухание катушки.
Вычислим критические значения эквивалентного затухания контура:
Б)
В этом случае от каскада не удается получить максимального усиления, так
как для этого требуется слишком малая эквивалентная емкость контура, не
допустимая с точки зрения стабильности формы частотной характеристики. В
подобной ситуации реализуют режим максимального усиления при ограничении
минимального значения эквивалентной емкости контура. При этом коэффициент
включения определяется по формуле
- Эквивалентная емкость контура
каскад не устойчив
Применяем пассивный способ повышения устойчивости, заключающийся в
уменьшении резонансного коэффициента усиления до устойчивости. В этом случае
каскад рассчитывают применительно к режиму фиксированного усиления задавшись
величиной фиксированного коэффициента усиления
Коэффициент включения контура в цепь базы транзистора:
Для получения заданной полосы пропускания к контуру можно подключить
шунтирующий резистор с проводимостью
Рассчитываем индуктивность контурных катушек:
Собственная
емкость контура при монтажной емкости См = 3пФ.
Расчет оконечного каскада
Найдем минимально допустимое отношение эквивалентной емкости контура к
вносимой в контур транзистора.
Задавшись числом избирательных систем, определяем необходимое
эквивалентное затухание контуров обеспечивающие полосу пропускания:
=1,96 - выбираем из таблицы.
d=0,01-собственное
затухание катушки.
Вычислим критические значения эквивалентного затухания контура:
Б)
В этом случае от каскада не удается получить максимального усиления, так
как для этого требуется слишком малая эквивалентная емкость контура, не
допустимая с точки зрения стабильности формы частотной характеристики. В
подобной ситуации реализуют режим максимального усиления при ограничении
минимального значения эквивалентной емкости контура. При этом коэффициент
включения определяется по формуле
- Эквивалентная емкость контура
каскад не устойчив
Применяем пассивный способ повышения устойчивости, заключающийся в
уменьшении резонансного коэффициента усиления до устойчивости. В этом случае
каскад рассчитывают применительно к режиму фиксированного усиления задавшись
величиной фиксированного коэффициента усиления
Коэффициент включения контура в цепь базы транзистора:
Для получения заданной полосы пропускания к контуру можно подключить
шунтирующий резистор с проводимостью
3. Расчет импульсного детектора
. Для детектирования радиоимпульсов используем последовательный диодный
детектор на диоде Д2В с параметрами Сд=1пФ, Ri =160Ом, выполненный по схеме:
В
таких детекторах используют германиевые диоды.
.
Определим ёмкость конденсатора и сопротивление нагрузки равна:
СН
=10 СД - СМ = 7 пФ ,
где
СД = 1 пФ - ёмкость диода, СМ = 3 пФ - монтажная ёмкость.
,
после
этого определим коэффициент передачи К д,
,
тогда.
из графика 9,2 найдём К д который равен 0,99., зная его
из графика 9,5 находим
, отсюда
(для
последовательного детектора)
.
Проверим соотношение,
при невыполнении которого заметно падает коэффициент
передачи детектора КД :1,5*10-6 >> 0,05*10-6
.
Вычислим индуктивность нагрузки
,
где
QH = 0.6,RH K = 1.65·RH = 358.05 КОм.
.
Для улучшения фильтрации напряжение промежуточной частоты служит дроссель
настраиваемый собственной ёмкостью Сф = 2 пФ на частоту:
fф = (0.5…0.7) fп = 18 МГц
.
Определим индуктивность дросселя.
.
Заключение
В данной работе произведен расчет радиолокационного приемника, который
удовлетворяет заданным техническим требованиям, т.е. ослабление по соседнему
каналу 60 дБ, по зеркальному каналу - 60 дБ.
Расчет производился с целью уменьшения габаритных размеров, увеличению
надежности схемы. Габаритные размеры уменьшены за счет использования СВЧ
устройств, таких как микрополосковые линии и резонаторы. Повышение надежности
обеспечивается РЗП и диодным ограничителем установленных на входе приемника, а
так же для повышения стабильности работы цепь питания каждого каскада защищена
индивидуальным фильтром.
Список использованной литературы
1. Расчет
полосовых фильтров, под редакцией Л.А. Трофимова, Казань, КГТУ им. А.Н.
Туполева, 2004 г.
2. Проектирование
радиоприемных устройств, под редакцией А.П. Сиверса, Москва, «Советское радио»,
1976 г.
. Радиоприёмные
устройства, под редакцией Л.Т. Барулина, Москва, «Радио и связь», 1984 г.
. Микроэлектронные
устройства СВЧ, под редакцией Г.И. Веселова, Москва, «Высшая школа», 1988 г.
. Транзисторы
для аппаратуры широкого применения. Справочник. под редакцией К.М. Брежнева,
Е.И. Гантмана, Москва, «Радио и связь», 1981 г.