Определение устойчивости нелинейной системы
МИНИСТЕРСТВО
ОБРАЗОВАНИЯ И НАУКИ
РЕСПУБЛИКИ
КАЗАХСТАН
КАРАГАНДИНСКИЙ
ГОСУДАРСТВЕННЫЙ ИНДУСТРИАЛЬНЫЙ УНИВЕРСИТЕТ
КАФЕДРА
«ЭЛЕКТРОПРИВОД И АВТОМАТИЗАЦИЯ ТЕХНИЧЕСКИХ СИСТЕМ»
КОНТРОЛЬНАЯ
РАБОТА
По
дисциплине
«ТЕОРИЯ
НЕЛИНЕЙНЫХ СИСТЕМ АВТОМАТИЧЕСКОГО РЕГУЛИРОВАНИЯ»
Вариант №6
Выполнил:
ст. группы зАиУ-10С
Югай М.С.
г. Темиртау
2013 г.
Задача 1. Составить нелинейные дифференциальные
уравнения следящей системы (рисунок 1)
Рис. 1. Структурная схема следящей системы.
Исходные данные:
Т0=Nв/10=6/10=0,6;
k1=Nв=6;
k2=Nв*2=6*2=12;
k3=Nв/2=6/2=3
k0=Nв*1,5=6*1,5=9;
koc=Nв*2,5=6*2,5=15.
Решение
Уравнение чувствительного элемента:
aw1=k1*v;
v=v1-v2;
aw1=k1*(v1-v2)
Уравнение релейного усилителя:
u=F(aw); при
koc = 0=aw1-awoc
Уравнение линейного усилителя:
αp=k2u;
Уравнение исполнительного механизма:
φ=k3*α
Уравнение редуктора:
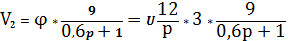
(T0p+1)*v2=k0*φ
Уравнение обратной связи (тахогенератор):
awoc=koc*φ
Выражаем относительно выходной переменной aw:




= 




Задача 2. Построить фазовый портрет системы
Рисунок 2.
Данные:
Т12=Nвар/10=6/10=0,6с;
Т2= Nвар/2=6/2=3с;
k= Nвар=6;
с=2.
Уравнения замкнутой нелинейной системы:
при х2>0 (1)
при х2<0 (2)
Заменяем: x2 = x
(0,62p2
+ 3p +1) * x
= -6 * 2
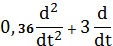
(0,36р2 + 3р + 1) * x
= -12
Заменяем:
p = 
(
+1) x = -12
Заменяем:

; 
.
ydy + 3y + x = -12 =>
0,36 
+ 3y + x = -12
Переносим x
на правую сторону:

+ 3y = -12 - x
Переносим dy на правую
сторону:
dx = 

x = 
ln (- 3 - 12 -
x) + C1
x = 
ln (- 3 + 12 -
x) + C2
Упрощаем:
x = 0,18 y2 ln (- 3 - 12
- x) + C1= 0,18 y2 ln (- 3 + 12 - x) + C2
Рисунок 5. Фазовый портрет
Вывод: согласно фазовому портрету, данная
система является устойчивой, т.к. изображающая точка,
независимо от ее начального положения, двигаясь по фазовой траектории, приходит
к точке покоя (точкой покоя считается изолированная особая точка с координатами
у = 0, dу/dt = 0).
Задача 3. Проверить выполнение достаточного
условия абсолютной устойчивости системы при следующих значениях параметров
системы: Т1=NВ
с, Т2=NВ/2
с, ξ1=
NВ/1,5,
ξ2=NВ/10,
коэффициент передачи линейной части системы kл=4, коэффициент
усиления нелинейного звена kн=c/b=NВ/5
(рисунок 6). Определить граничное значение коэффициента k=kлkн,
где NВ
- номер варианта.
Рисунок 6.
Исходные данные:
Т1=Nв=6с;
Т2=Nв/2=6/2=3с;
ξ1=Nв/1,5=6/1,5=4;
ξ2=Nв/10=6/10=0,6;л=4;н=c/b=NВ/5=6/5=1,2
Решение
Коэффициент передачи разомкнутой системы:
k=kл*kн=4*0,4
= 4,8 отнесём к нелинейному звену.
Точка на вещественной оси:
/k=1/1,6=0,625
Тогда частотная передаточная функция разомкнутой
системы будет равна:
Подставляем значения и перемножаем:
В знаменателе раскрываем скобки,
чтобы избавиться от j в знаменателе (вычисления опущены).
Результат:
Разделяем вещественную и мнимую
части:
Для построения видоизмененной
частотной характеристики (модифицированный годограф), необходимо умножить мнимую
часть на ωT0, где T0 =1с -
нормирующий множитель:
Вычисляем ряд значений в Excel
и строим модифицированный годограф таким образом, чтобы крайняя левая точка
вещественной оси соответствовала -1/k=-1/4,8=-0,2
(рисунок 8). Через эту точку можно провести прямую Попова так, что вся
построенная характеристика будет располагаться справа от неё. Следовательно,
данная система будет абсолютно устойчивой при заданном k
=4,8, если статическая характеристика нелинейного звена целиком располагается в
секторе (0, k). Этот сектор
заштрихован на рисунке 9.
Рисунок 8. Характеристика М*(ω)=f(В*(ω)).
Рисунок 9.
Граничное значение коэффициента передачи kгр=1/0,8=1,25.
Задача 4. Исследовать устойчивость состояния
равновесия системы (рис. 10), если заданы параметры линейной части системы k1=NB
с-1, Т1=NB/10
с и статическая характеристика нелинейного звена, для которой b1=NB/10,
b2=NB/7,
k=tgα=NB,
где NВ
- номер варианта.
Рисунок 10.
Исходные данные:1=NВ=6
c-1;
Т1=Nв/10=6/10=0,6
с;
b1=
Nв/10=6/10=0,6;
b2=
Nв/7=6/7=0,86;=tgα=NВ=6
Решение
Амплитудно-фазовая характеристика линейной
части:
Избавляемся от j в
знаменателе:
Разделяем вещественную и мнимую
части:
Гармонически линеаризованная
передаточная функция нелинейного звена, согласно приложению, равна:
при a ≥ b2.
-Z(a) =
3.82(
)
Z(a) = - 
(a) = 
Рисунок 11.
Из рисунка 11 следует, что годографы
не пересекаются в одной точке, что свидетельствует об отсутствии в системе
автоколебаний и ее устойчивости.
Задача 9. Исследовать устойчивость
состояния равновесия нелинейной системы (рис. 12). Параметры линейной части
системы: Т1=NВ с, Т2=NВ-2,5 с, Т3=NВ·1,1 с, k1= NВ /10, k2=NВ·2. Для
статической характеристики нелинейного звена: b=1, k3=NВ, где NВ - номер
варианта.
Рисунок 12.
Исходные данные:
Т1=Nв=26с;
Т2=Nв-2,5=6-2,5=3,5с;
Т3=Nв*1,1=6*1,1=6,6с;1=
Nв/10=6/10=0,6;2=
Nв*2=6*2=12;
Решение
Амплитудно-фазовая характеристика
линейной части:
Умножаем на комплексно-сопряженные
числа:
Разделяем вещественную и мнимую
части:
Гармонически линеаризованная
передаточная функция нелинейного звена, согласно приложению, равна:
при a>=b.
Z(a) =
Z(a) = 
Получаем объединенный график
годографов линейной и нелинейной частей:
Рисунок 13.
Из рисунка 13 следует, что годографы
не пересекаются в одной точке, что свидетельствует об отсутствии в системе
автоколебаний и ее устойчивости.
дифференциальный уравнение
устойчивость нелинейный
Список используемой литературы
1. Ким Д.П. Теория автоматического
управления. Т. 2. Нелинейные системы. - 2-е изд. испр. и доп. - М.: ФИЗМАТЛИТ,
2007. - 312 с.
2. Мирошник И.В. Теория
автоматического управления. Нелинейные и оптимальные системы. Учеб. пос. -
СПБ.: Питер, 2006. - 272 с.
. Бесекерский В.А., Попов
Е.П. Теория систем автоматического регулирования. М, Наука, 1972. - 767 с.
. Справочное пособие по
теории систем автоматического регулирования и управления. Под. ред. Е.А.
Санковского, Минск, ВШ, 1973. - 384 с.
. Иващенко Н.Н.
Автоматического регулирование. Теория и элементы систем. М, Машиностроение,
1978. - 592 с.