Исследование механических свойств механической передачи с упругими связями
Лабораторная работа №1
Вариант 11
«Исследование механических свойств механической
передачи с упругими связями»
Цель работы: выполнить исследования механической
части ЭП, выявить закономерности управления и оценить полученные результаты.
Таблица 1 - Исходные данные:
|
Тип
|
J1,
кг∙м2
|
Ω12, с-1
|
γ
|
Рн,кВт
|
nн,
об/хв
|
Iн,
А
|
Еро,
В
|
Uн,
В
|
Sном
|
cosφ
|
|
4AHК280S4
|
1,81
|
94,2
|
1,3
|
1500
|
330
|
251
|
220/380
|
0,029
|
0,88
|
Ход работы:
. Механическая часть ЭМС привода
представлена двухмассовой расчетной схемой привода
Рисунок 1 - Двухмассовая расчетная схема
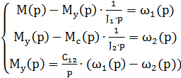
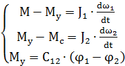
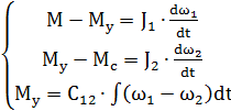
Уравнения динамики механической части ЭМС имеет
вид:
Уравнения в форме Лапласса относительно
скорости:
. Составим структурную схему на основе
двухмассовой расчетной схемы
электропривод скорость mathcad
лапласс
Рисунок 2 - Структурная схема двухмассовой
расчетной схемы механической передачи без учета внутреннего демпфирования
Передаточные функции по управляющему и
возмущающему воздействию:
Найдем:
. Выполним расчет переходных процессов с
учетом MathCAD:
Найдем корни полинома
Система не устойчива
Рисунок 3 - Кривая переходного процесса
4. Составим математическую модель в пакете
Matlab и исследуем переходные процессы, определив показатели качества:
Рисунок 5 - Математическая модель системы в
Matlab.

Рисунок 7 - График переходного процесса
Рисунок 8 - График переходного процесса
Определим показатели качества:
Для w1(t):
Перерегулирование: σ=
100 %
Быстродействие: tp=∞
Колебательность: μ= ∞
Степень затухания: η=0
Для My(t):
Перерегулирование: σ=
100 %
Быстродействие: tp= ∞
Колебательность: μ= ∞
Степень затухания: η=0
Для w2(t):
Перерегулирование: σ=
100 %
Быстродействие: tp=∞
Колебательность: μ=∞
Степень затухания: η=0
в ходе лабораторной работы, я выполнил
исследование механической части электропривода, выявил закономерности
управления и на основании полученных результатов сделал вывод, что данная
упругая механическая передача совершает незатухающие колебания и неустойчива.
Для решения этой проблемы можно установить маховик который будет гасить
калебания.