Антенна аэродромная
Антенна аэродромная
Введение
Любая радиотехническая установка, предназначенная для
излучения или приёма радиоволн, содержит антенну. Антенные устройства играют
важнейшую роль в радиотехнике, так как основным отличительным признаком радио является
наличие излучения или приёма радиоволн. Само слово «Радио» происходит от
греческого слова «излучать».
Требования, предъявляемые к антенне, различны в зависимости
от назначения радиостанции. Все антенны чаще всего принято классифицировать по
диапазонам волн.
Зеркальные антенны представляют собой совокупность зеркала и
облучателя. Облучателем может быть любой однонаправленный излучатель. Важно,
чтобы возможно большая часть энергии попадала на зеркало, а не рассеивалась в
других направлениях. Зеркалом называется радионепрозрачное тело с определённой
формой поверхности, имеющее коэффициент отражения, близкий к единице.
Для зеркальных антенн характерно то, что в них цилиндрический
или сферический фронт волны преобразуется в плоский. Это позволяет получить
очень узкую диаграмму направленности антенны с углом раствора всего лишь в
несколько угловых минут.
Есть два основных типа линзовых антенн: замедляющие и
ускоряющие.
В замедляющих линзах фазовая скорость распространения
электромагнитной волны меньше скорости света, а в ускоряющих - больше. В
курсовой работе рассматривается параболическое зеркало, облучаемое
волноводно-щелевой антенной.
1.
Описание установки
Антенная система представляет собой линейку полуволновых
излучателей (волноводно-щелевая антенна, с щелями прорезанными в шахматном
порядке, вдоль широкой стенки волновода), с игольчатой диаграммой
направленности в Н-плоскости (φ=1°) и широкой в Е-плоскости (ϴ=20°), облучающих диэлектрическое зеркало (параболический
цилиндр). Также конструктивно сюда входит устройство крепления и питающие
волноводы.
Волновод выбирается исходя из передаваемой мощности,
диапазона частот, типа волны и т.д. Размеры параболического зеркала вычисляются
по результатам расчета диаграммы направленности целевой антенны.
2. Расчет диаграммы направленности
волноводно-щелевой антенны
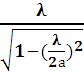
1) Зная длину волны в свободном пространстве λ, вычисляем длину волны в волноводе прямоугольного сечения Ʌ:
)
Ʌ = 
,
где а - размер широкой стенки волновода.
Для длины волны в свободном пространстве λ
= 2 см, размер широкой стенки волновода, а ≈
15.799 мм.
Для расчета необходимо перевести это значение в сантиметры: а ≈
1.58 см. подставив имеющиеся значения в формулу 1.1, получим Ʌ=2.9 см
3) Вычислив длину волны в волноводе Ʌ, можем найти расстояние между щелями по формуле:
d = 
,
где Ʌ - длина
волны в волноводе.
Подставив в 1.2, значение Ʌ, получим расстояние между излучателями d = 1.45 см
4) Зная расстояние между щелями, можем рассчитать число
излучателей:
A°
= 1° -
диаграмма направленности одной щели. (1.3)
57°
= 1°,
отсюда выражаем n, (1.31)
n = 
, формула для расчета кол-ва излучателей. (1.32)
Подставив в 1.32 значения λ и d, получим число
излучателей
n = 75.
) Рассчитаем диаграмму направленности линейки
излучателей:
f1 (φ)= 
, функция направленности одного излучателя.
fH(φ) = f1 (φ)∙ fn (φ), функция направленности всей системы.
fn (φ) = 
, функция направленности линейки из
n излучателей.
fH(φ)=
∙
,
но поскольку диаграмма направленности одиночного излучателя в
Н-плоскости равна единице, т.е.

= 1, то
первым сомножителем можно пренебречь.
fH(φ)=
, после
упрощения и подстановки известных констант, получаем:
fH(φ)= 
, итоговая формула для диаграммы направленности линейки из n излучателей в Н-плоскости.
6) Изменяя значения φ в интервале от 0
до φ0, составим таблицу значений диаграммы направленности в
Н-плоскости:
|
φ, град
|
fH(φ)
|
|
0
|
1
|
|
0.1
|
0,986152
|
|
0.2
|
0,947451
|
|
0.3
|
0,898492
|
|
0.4
|
0,848677
|
|
0.5
|
0,707526
|
|
0.6
|
0,568795
|
|
0.7
|
0,426842
|
|
0.8
|
0,283647
|
|
0.9
|
0,141415
|
|
1
|
0
|
7) По получившимся значениям построим график функции
направленности:
Для диаграммы направленности в Е-плоскости, формула будет
иметь аналогичный вид:
fЕ(ϴ)=
∙
,
Однако, принимая во внимание тот факт, что в Е-плоскости диаграмма
направленности одиночного излучателя отлична от единицы, мы не можем пренебречь
первым сомножителем, как пренебрегли им для Н-плоскости.
В итоге, после упрощения и подстановки известных констант,
конечная формула будет иметь вид:
fE(ϴ)=
.
|
ϴ, град
|
f E(θ)
|
|
0
|
1
|
|
1
|
0,995215383
|
|
2
|
0,987887595
|
|
3
|
0,970802685
|
|
4
|
0,947802198
|
|
5
|
0,924493347
|
|
6
|
0,892621847
|
|
7
|
0,857338059
|
|
8
|
0,81473328
|
|
9
|
0,764914974
|
|
10
|
0,723072687
|
|
11
|
0,674916096
|
|
12
|
0,620250445
|
|
13
|
0,569047155
|
|
14
|
0,516245163
|
|
15
|
0,464350974
|
|
16
|
0,412240474
|
|
17
|
0,362075088
|
|
18
|
0,314167009
|
|
19
|
0,269856164
|
|
20
|
0,252308513
|
9)
По получившимся значениям построим график функции направленности:
3.
Расчет геометрических размеров и характеристик параболического отражателя
Где f - фокусное расстояние, D - Ширина раскрыва на
краях, ϴ - угол раскрыва, R - радиус, ρ - текущая координата
раскрыва.
) Вычислим раскрыв зеркала для значения ϴ, по уровню половинной мощности по формуле:
20° = A°
,
где D - линейные размеры антенны.
Выразим значение D = 
.
A° = 62°
Подставив имеющиеся значения в формулу 2.1, получим значение
D = 0,62 м = 62 см
2) Далее, зная размеры раскрыва параболического
отражателя, можем найти его фокусное расстояние:
F = 
= 
= 0,9023 м ≈ 90 см.
3) Зная фокусное расстояние, можем рассчитать профиль
отражателя по формуле:
r(ϴ) = 
; (2.3)
где значение ϴ меняется от 0 до ϴ0.
|
ϴ
|
0
|
1
|
2
|
3
|
4
|
5
|
6
|
7
|
9
|
10
|
|
r(ϴ)
|
90
|
90.007
|
90.027
|
90.062
|
90.11
|
90.172
|
90.247
|
90.337
|
90.44
|
90.557
|
90.689
|
|
ϴ
|
11
|
12
|
13
|
14
|
15
|
16
|
17
|
18
|
19
|
20
|
21
|
|
r(ϴ)
|
90.834
|
90.994
|
91.168
|
91.357
|
91.56
|
91.778
|
92.01
|
92.258
|
91.52
|
92.798
|
93.092
|
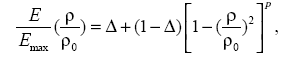
4) Зная линейные размеры зеркала, и фокусное расстояние
можем рассчитать распределение амплитуды поля в раскрыве по формуле:

= A(ϴ)∙fобл(ϴ),
где А(ϴ) -
множитель, учитывающий амплитудное распределение в раскрыве зеркала.
Для параболического зеркала расчет амплитудного распределения
должен производиться только в Е-плоскости.
|
Θ0, град
|
Е\ Емах (θ)
|
|
0
|
1
|
|
1
|
0,995215383
|
|
2
|
0,987887595
|
|
3
|
0,970802685
|
|
4
|
0,947802198
|
|
5
|
0,924493347
|
|
6
|
0,892621847
|
|
7
|
0,857338059
|
|
8
|
0,81473328
|
|
9
|
0,764914974
|
|
10
|
0,723072687
|
|
11
|
0,674916096
|
|
12
|
0,620250445
|
0,569047155
|
|
14
|
0,516245163
|
|
15
|
0,464350974
|
|
16
|
0,412240474
|
|
17
|
0,362075088
|
|
18
|
0,314167009
|
|
19
|
0,269856164
|
|
20
|
0,252308513
|
) Необходимо учитывать, что каждому значению угловой
координаты соответствует значение профиля, которое связано с координатой
раскрыва соотношением:
ρ = r∙
где угол θ меняется в пределах от 00
до θ0.
По итогам расчета необходимо построить распределение
амплитуды поля в раскрыве зеркальной антенны в зависимости от нормированной
координаты на раскрыве ρ/ρ0.
|
Θ0, град
|
ρ
|
ρ\ ρ0
|
Е\ Емах (θ)
|
|
0
|
0
|
0
|
1
|
|
1
|
1,5707
|
0,0506
|
0,995215383
|
|
2
|
3,1414
|
0,1012
|
0,987887595
|
|
3
|
4,7121
|
0,1520
|
0,970802685
|
|
4
|
6,2830
|
0,2026
|
0,947802198
|
|
5
|
7,8535
|
0,2533
|
0,924493347
|
|
6
|
9,4243
|
0,3040
|
0,892621847
|
|
7
|
10,9949
|
0,3546
|
0,857338059
|
|
8
|
12,5658
|
0,4053
|
0,81473328
|
|
9
|
14,1363
|
0,4560
|
0,764914974
|
|
10
|
15,7070
|
0,5066
|
0,723072687
|
|
11
|
17,2778
|
0,5773
|
|
12
|
18,8486
|
0,6081
|
0,620250445
|
|
13
|
20,4192
|
0,6772
|
0,569047155
|
|
14
|
21,9892
|
0,7093
|
0,516245163
|
|
15
|
23,5605
|
0,7604
|
0,464350974
|
|
16
|
25,1312
|
0,8106
|
0,412240474
|
|
17
|
26,7019
|
0,8613
|
0,362075088
|
|
18
|
28,2726
|
0,9120
|
0,314167009
|
|
19
|
29,8433
|
0,9626
|
0,269856164
|
|
20
|
30,9652
|
0,9998
|
0,252308513
|
6) Для упрощения дальнейших расчетов полученную функцию
нужно аппроксимировать интерполяционным полиномом:
где ρ = 1,2,3…степень аппроксимирующей
функции;
∆ - уровень поля на краю зеркала.
Для аппроксимации реального распределения амплитуды поля в
раскрыве целесообразно выбрать полином 2-й степени.
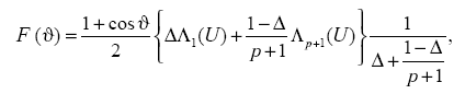
6. Расчет диаграммы направленности зеркальной
антенны
Зная распределение амплитуды поля в раскрыве отражателя,
можем рассчитать диаграммы направленности по формуле:
(6.1)
где θ - угол, отсчитываемый от
нормали к излучающему раскрыву D зеркала;
△ - уровень поля на краю
раскрыва; k
- волновое число;
р - степень выбранной аппроксимирующей функции;
Λр+1(U) - лямбда - функция
(р+1) порядка от аргумента:
(6.2)
|
Θ0,
град
|
U
|
|
0
|
0
|
|
5
|
1.123
|
|
10
|
2.195
|
|
15
|
3.357
|
|
20
|
4.519
|
|
25
|
5.63
|
|
30
|
6.715
|
|
35
|
7.877
|
|
40
|
8.909
|
Лямбда - функция первого порядка Λ1 (U) от аргумента U представлена в табл. 9; Λр+1(U) - лямбда - функция
(р+1) порядка от аргумента U представлена в табл. 10
Λ1
(U)
|
|
0
|
1
|
|
1.123
|
0,856
|
|
2.195
|
0,505
|
|
3.357
|
0,105
|
|
4.519
|
-0,103
|
|
5.63
|
-0,119
|
|
6.715
|
-0,028
|
|
7.877
|
0,055
|
|
8.909
|
0,057
|
|
U
|
Λр+1
(U)
|
|
0
|
1
|
|
1.123
|
0,927
|
|
2.195
|
0,732
|
|
3.357
|
0,456
|
|
4.519
|
0,224
|
|
5.63
|
0,063
|
|
6.715
|
-0,015
|
|
7.877
|
-0,028
|
|
8.909
|
-0,014
|
|
Θ0,
град
|
Fз(θ)
|
|
0
|
1
|
|
5
|
0,896
|
|
10
|
0,704
|
|
15
|
0,326
|
|
20
|
0,084
|
|
25
|
-0,0149
|
|
30
|
-0,0205
|
|
35
|
0,0075
|
|
40
|
0,0164
|
7. Расчет
элементов фидерного тракта
В диапазоне сантиметровых и дециметровых волн фидерные линии
выполняются из волноводов круглого или прямоугольного сечения.
К фидеру предъявляются следующие требования: потери энергии
должны быть минимальны и он должен быть хорошо согласован с антенной, т.е.
работать в режиме бегущей волны.
Размеры волновода должны быть выбраны так, чтобы
обеспечивалось распространение энергии с минимальным затуханием. Условием существования
волны Н10 является λ < 2а, но чтобы не возникала
волна Н20, необходимо выполнить неравенство λ > а
Объединив оба неравенства получим,

, откуда, а = 1.58 см
а для того чтобы не возникала волна типа Н01,
необходимо
b <
, откуда b = 0.99 см
Для того чтобы обеспечить вращение антенны в азимутальной и
вертикальной плоскостях на заданные углы, необходимо использовать вращающиеся
сочленения. Типичным примером волновода обеспечивающего передачу энергии от
генератора непосредственно к антенне, через вращающееся сочленение является
волновод типа Н10 - Н11 - Н10. Иными
словами два волновода прямоугольного сечения соединяются посредствам круглого,
который и обеспечивает вращение:
Также следует учитывать возможность возникновение стоячей волны
непосредственно в волноводно-щелевой антенне, чтобы этого избежать на
противоположный конец волновода помещается так называемая согласованная
нагрузка или же поршень. На рисунке представлена ступенчатая согласованная
нагрузка, наиболее часто применяемая для волноводов данного типа:
8. Расчет погрешностей
Определим относительную погрешность ширины рассчитанной ДН:
где 2θ0.5р - ширина рассчитанной ДН
зеркальной антенны; 2θ0.5 - заданное в техническом
задании на курсовое проектирование значение ширины ДН щелевой антенны.
По формуле (7.1) δϑ = 
⩽ 5%
δϑ = 0,05 = 5%.
Заключение
антенна фидерный аэродромный отражатель
Зеркальная антенна, рассчитанная в данной работе, обладает
достаточно хорошими характеристиками. Применение щелевых антенн, в качестве
облучателя более оправдано, когда требуется получить игольчатую диаграмму
направленности шириной в несколько градусов и меньше, так как большинство
других типов антенн с такой задачей справиться не в состоянии. При этом
необходимо учитывать резко возрастающие размеры и массу отражателя, а также
сложность его изготовления.
При сравнительно широкой диаграмме направленности, как в этой
работе, целесообразность применения зеркальных антенн будет определяться
сравнительным соотношением характеристик антенны и затрат на её изготовление.
Но следует учитывать, что при решении специальных задач, связанных с
обеспечением игольчатой диаграммы направленности при малом уровне боковых
лепестков, зеркальная антенна становится одной из самых востребованных.
Список литературы
1. А.Л.
Драбкин, В.Л. Зузенко, А.Г. Кислов. Антенно-фидерные устройства. - М.:
Советское радио, 1974.
2. Антенны
и устройства СВЧ. Учебное пособие. Сост.: Б.Т. Никитин, Л.А. Федорова, Ю.Н.
Данилов. Ленинград, 1986.
. Расчет
и проектирование зеркальных антенн. Методические указания к курсовому
проектированию. Сост.: Л.А. Федорова, А.Ю. Мельникова. Санкт - Петербург, 2002.