Hейтрино

  • Вид работы:
    Курсовая работа (т)
  • Предмет:
    Физика
  • Язык:
    Русский
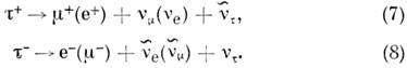
    ,
    Формат файла:
    MS Word
    1,48 Мб
  • Опубликовано:
    2013-10-01
Вы можете узнать стоимость помощи в написании студенческой работы.
Помощь в написании работы, которую точно примут!

Hейтрино

Содержание


Введение

Глава 1. История открытия Нейтрино

.1 Теория Ферми. Гипотеза Паули

.2 Первые эксперименты по обнаружению Нейтрино

.3 Мюонные Hейтрино

Глава 2.Основные свойства Нейтрино

.1 Спин и спиральность Hейтрино

.2 Массы Hейтрино

.3 Уравнение свободного движения Hейтрино

.4 Нетождественность Hейтрино и антинейтрино

.5 Типы Hейтрино

Глава 3. Взаимодействия Нейтрино

.1 Нейтринные эксперименты

Заключение

Литература

Введение

нейтрино болометрический кристалл

Hейтрино (обознач. v) - в переводе лёгкий (не имеет массу) электрически нейтральная не имеет цвета <#"668346.files/image001.gif">). Нестабильность Hейтрино пока не обнаружена. Отличительное свойство Hейтриноэто очень сильная проникающая способность при пониженныхнапряжениях и быстроеподнятие сечения взаимодействия с увеличением энергии.ейтрино - часто встречается объектами, как и фотонами. Они испускаются при превращениях атомных ядер и в распадах частиц (m, p, К и т. д.); процессы, приводящие к образованию H., происходят в недрах Земли, её атмосфере, внутри Солнца и др. звёзд; при этом H. (за редким исключением) беспрепятственно выходят из источников своего возникновения. Предсказывается генерация мощных нейтринных вспышек при гравитационных коллапсах <#"668346.files/image002.gif"> ~ 1021 эВ, генерируются во взаимодействиях космических лучей <#"668346.files/image003.gif">

1. История открытия Hейтрино

.1 Гипотеза Паули. Теория Ферми

Представление о H. было введено в 1930 В. Паули (W.Pauli) с целью разрешить парадоксы b-распада [1]. Первый из них касался "несохранения энергии". При переходе между двумя стационарными состояниями ядер вылетали электроны с произвольными энергиями вплоть до нек-рой граничной; их спектр, впервые измеренный в 1914 Дж. Чедви-ком (J.Chadwick) в распаде 21083Bi(RaE)  21084Ро + е-, оказался непрерывным. Ни потерь энергии при вылете электронов из атомов, ни эл--магн. излучения <#"668346.files/image005.gif">

(для b+-распада соответственно: p n + e++ + ve). В исходном ядре H. нет. Согласно теории Ферми, взаимодействие всех 4 частиц, происходит в одной точке пространства одновременно. Эта теория объяснила основные черты b-распада [форму спектра, связь граничной энергии (Q)со временем распада] и, т. о., явилась первым подтверждением гипотезы о H. Были предсказаны новые процессы с участием H.: обратный b-pacпада.


и электронный захват:


.2 Первые эксперименты по обнаружению Нейтрино

Несмотря на успех теории Ферми, требовались качественно новые подтверждения реальности H. как частицы. Кроме энергии H. должно уносить импульс. Первые эксперименты, проведённые в 1936 А. И. Лейпунским, дали лишь слабые указания на неколлинеарность импульсов электрона и конечного ядра в b-распаде. В 1938 А. И. Алиханов и А. И. Алиханян предложили исследовать отдачу ядра 7Li в реакции K-захвата: 7Be + е- 7Li + ve, в к-рой импульс7Li должен быть равен по величине и противоположен по направлению импульсу ve. Эксперимент был осуществлён Дж. Алленом (J.Allen) в 1942, и его результаты оказались в согласии с предсказаниями [2].

Решающим доказательством того, что H.- физ. частица, является обнаружение её взаимодействий на нек-ром расстоянии от точки рождения. Эксперименты по поиску ионизации <#"668346.files/image010.gif">

Рис.1.Схема установки Райнса - Коуэна (1956-57): 1 - мишени; 2 - сцинтилляционные детекторы; 3 - ФЭУ

Реакция (2) происходила под действием  от реактора на протонах, содержащихся в воде, в к-рой была растворена соль CdCl2. Регистрировались оба продукта реакции -е+ и n. Позитрон практически мгновенно тормозился и аннигилировал с электроном среды, давая первую сцинтилляц. вспышку. Нейтрон, рассеиваясь на водороде, замедлялся в течение 5-10 мкс и затем захватывался ядром кадмия; образовавшееся возбуждённое ядро Cd* испускало g-кванты с энергиями 3-10 МэВ, к-рые, попадая в детекторы, давали вторую сцинтилляц. вспышку. Характерная цепочка событий - две вспышки с интервалом 5 -10 мкс позволяла с помощью техники запаздывающих совпадений достаточно надёжно выделить сигнал из фона. Измеренное сечение реакции (2) находилось в согласии с предсказанием.

.3 Мюонные Hейтрино

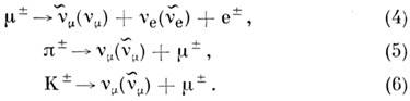
Представление о мюонных H., отличающихся от электронных H., испускаемых при b-распаде, возникло в связи с изучением распадов мюона, p- и К-мезонов. Было установлено, что распады этих частиц сопровождаются вылетом H.:


На нетождественность vm и ve, т. е. частиц, к-рые рождаются вместе с мюонами и электронами, указывало отсутствие каналов распада m еg, m  ее+е-и др. Идею о двух типах H. сформулировали в 1957 M. А. Марков, Ю. Швингер (J.Schwinger), К.Нишид-жима (К. Nishijima) и др. [4], а её проверка [предложенная Б. M.Понтекорво и независимо от него M. Шварцем (M.Schwartz)] была осуществлена в экспериментах на ускорителях в Брукхейвене, США [1962, Л. M.Ледерман (L. M. Lederman), M.Шварц, Дж. Стейн-бергер (J.Steinberger)] и в Европейском центре ядерных исследований (ЦЕРН), Швейцария (1964). Было показано, что во взаимодействиях H. от распадов (5) и (6) с ядрами мишени рождаются мюоны: vm + np + m-и не происходит генерации электронов. Так были открыты мюонные Hейтрино т-нейтрино. В 1975 в Станфорде (США) на встречных е+е--пучках группойфизиков <#"668346.files/image016.gif"> t++ т- был открыт новый, тяжёлый лептон с массой ок. 1,8 ГэВ - т-лептон (см. Тау-лептон <#"668346.files/image017.gif">

Рис .1. Объединение двойных нейтринных звёзд

Анализ энергетич. спектров электронов и мюонов, образующихся при распаде т-лептона. показал, что кроме еb или mb рождаются ещё два H.:

Одно из них соответствует мюону пли электрону, другое - т-лептону. Отличие vt от ve и vm подтверждается существованием сильных запретов на моды распада т  mg, т  eg, т ее+е-, равенством вероятностей распадов тmvv и т evv, a также отрицат. результатами поиска т-лептонов во взаимодействиях пучков vm и ve с веществом.

2. Основные свойства Нейтрино

.1 Спин и спиральность Hейтрино

Величина спина H. устанавливается с помощью закона сохранения угл. момента по известным спинам частиц, участвующих в реакциях вместе с H. При этом используются дополнит. соображения: правила отбора для разрешённых ядерных переходов, форма спектров заряж. частиц в распадах, то-чечность взаимодействий.

Во всех проведённых экспериментах H. проявляли себя как частицы с определённой спиральностью <#"668346.files/image024.gif"> = с = 1.) Этот факт при ненулевой массе H. mv0 объясняется (V - А)-структурой взаимодействий (см. Слабое взаимодействие <#"668346.files/image026.gif">

с образованием возбуждённого ядра Sm*. Последнее испускает g-квант при переходе 152Sm* (1-)  152Sm(0+) [в скобках указаны спин и чётность ядер].

Рис. 2. Схема эксперимента M. Голдхабера, Л. Гродзинса, Э. У. Суньяра:1-радиоактивный препарат 152Eu; 2 - магнитный анализатор (намагниченное железо) для определения поляризации g-кванта (рассеяние g зависит от относительной поляризации g и Fe); 3 -мишень, содержащая 152Sm (резонансное рассеяние происходит в том случае, если v и gиспускаются в противоположных направлениях); 4 -детектор; 5 - свинцовая защита.

Отбирались события, в к-рых спиральность ve и поляризация <#"668346.files/image030.gif">

Измерения поляризации g-квантов проводили с помощью их рассеяния на намагнич. железе. Поизмереннойlg была найдена спиральность H. lv. Результат эксперимента: lv  -1/2 в своё время явился решающим аргументом в пользу векторного, (V - А), а не тензорного варианта теории.

Определение спиральности мюонного H. основано на измерении спиральности мюона в распаде (5): l(vm) = l(m+). Результаты с высокой точностью подтверждают значение lv = -1/2 : 1 >= 2 |lv| >= 0.9966.

Рис .2. Нахождение нейтринов в космических лучах

.2 Массы Hейтрино

Массы Hейтрино  каждого типа много меньше масс соответствующих заряж. лептонов (l):

= е, m, т. При этом не исключено, что все H. или часть из них - безмассовы. Пока эксперим. поиски дают определённо лишь верхние ограничения на mv. Неравенство (9) означает выделенность H. по массам: H. значительно легче всех остальных частиц, принадлежащих данному поколению фермионов <#"668346.files/image034.gif">)] для b-распада трития:


(рис. 3). Массивность H. должна проявиться в уменьшении числа распадов с энергиями электронов , лежащими вблизи граничной точки,  Q = 18,6 кэВ. В 1980 группой сов.физиков (В. А. Любимов и др.)

Рис. 3. График Кёри вблизи граничной точки без учёта фона и конечной разрешающей способности детектора

Ин-татеоретич. и эксперим. физики (ИТЭФ, Москва) были получены указания на то, что mv  0. В эксперименте использовались молекулы органич. соединения - валина, в к-ром часть атомов водорода была замещена атомами трития; энергии электронов измерялись с помощью магн. спектрометра <#"668346.files/image040.gif">

Рис. 4. Установка ИТЭФ для измерения массы нейтрино: 1 - источник; 2 - витки магнитного спектрометра; 3 - ФЭУ; 4 - траектории электронов

Данные (эксперим. кривая Кёри) подгонялись двумя параметрами: массой mv и граничной точкой спектра Q. Наилучшая подгонка соответствовала mv = 26(2) эВ. Неопределённости результата ИТЭФ, связанные с учётом сложного молекулярного спектра <#"668346.files/image041.gif">)из наблюдений нейтринного сигнала от гравитац. коллапса звезды. Поскольку массивные H. с разными энергиями имеют разные скорости, в процессе распространения от звезды к Земле должно происходить увеличение протяжённости v-сигнала и "выстраивание" H. по энергиям: первыми на установку должны приходить H. с наиб.энергиями и т. д. Нейтринный сигнал, зарегистрированный от сверхновой SN 1987А, не обнаружил таких эффектов, что позволило поставить верхний предел mv < (10-20) эВ.юонные H. Наиб.строгие ограничения на массу m(vm) даёт исследование распада пиона (5). В случае покоящегося p массаvm однозначно связана законами сохранения энергии-импульса с массой пиона и импульсом мюона pm. Измерения рm с помощью магн. спектрометра на мезонной фабрике SIN (Швейцария) позволили поставить ограничение m(vm)< 0,25 МэВ с у. д. 90%.

т-нейтрино. Лучшие ограничения на массу vт получены при исследовании мод распада t-лептона с подавленным фазовым объёмом: т  KKvt, 5pvт, 6pvт. Массивность vт должна проявиться в искажении спектра инвариантных масс адронов, Mh, в частности в сдвиге граничной точки спектра к меньшим Mh. Такие эффекты не обнаружены, поставлен верхний предел т (vт) < 35 МэВ (с у. д. 95%).

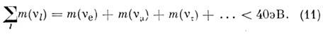
Существует т. н. космологич. ограничение на сумму масс стабильных H. всех типов [8]:


Оно следует из нижнего ограничения на возраст Вселенной и наблюдаемой скорости её расширения. Космологич. ограничение значительно сильнее верхних лаб. пределов для m(vm) и m(vt). Ho если H. нестабильны, ограничение (11) ослабляется и при достаточно быстрых распадах может исчезнуть.

Предположения о том, что H. смешиваются и/или являются истинно нейтральными частицами <#"668346.files/image044.gif">0) H., свободное движение к-рых описывается Дирака уравнением <#"668346.files/image045.gif">) = -1.

Вейлевским и наз. двухкомпонентные безмассовые H., свободное движение к-рых описывается ур-нием Вейля. Релятивистски ковариантные ур-ния для двухкомпонентных волновых ф-ций y, отвечающих частицам со спином 1/2 и массой 0, были построены Г. Вейлем (H.Weyl) в 1929. Они не обладают ни С-, ни Р-симметрией, но инвариантны относительно CP-преобразований. Решения ур-ний Вейля имеют строго фиксированную спиральность. В 1957 Л. Д. Ландау, Ли (LeeTsungDao), Ч. Янг (YangChenNing), A. Ca-лам (A.Salam) предложили в связи с открытием несохранения чётности <#"668346.files/image046.gif">)y, для описания H. (здесь s - Паули матрицы <#"668346.files/image047.gif">)= - 1; различие v и  - абсолютно.айорановским и наз. истинно нейтральные H. Они описываются ур-нием Дирака с дополнит.условием:


где yс - зарядово-сопряжённая волновая ф-ция, а фактор hc удовлетворяет равенству |hс|2 = 1 и наз. С-фазой. Такие H. впервые исследовались Э. Майораной (E.Majorana, 1937) в связи с отрицат. результатами поиска магн. момента H. (mv). У истинно нейтральных H. вследствие (12) mv = 0. Условие (12) сокращает число независимых решений ур-ния Дирака до двух, отличающихся только проекциями спина (спиральностями). T. о., майорановские H. двухкомпонентны, H. и антинейтрино в силу (12) совпадают, все сохраняющиеся заряды равны нулю. Ур-ние и лагранжиан свободного движения С-, P-, а также СР-инвариантны. СР-инвариантность позволяет ввести СР-фазу hср: = = hсрg0y, где g0 - Дирака матрица <#"668346.files/image051.gif">). В первом случае  , во втором -  = 0, в третьем, в силу условия (12), =1/2hср mycL (где yL и yR - левые и правые компоненты волновых ф-ций; черта над y означает ди-раковское сопряжение). Дираковское H. можно представить как совокупность двух майорановских H. с равными массами и противоположными СР-чётностя-ми. Вейлевское H. [при (V - A)-структуре нейтринных токов] совпадает с безмассовым майорановским H. T. о., дираковские и вейлевские H. являются частными случаями системы майорановских H.

С точки зрения феноменологии (см. ниже), удобно ввести лептонное число и для майорановского H. Аналогично дираковским и вейлевским H. им приписывают: L(yL)= +1, L(ycL) = -1. Но в этом случае лептонное число не сохраняется, причём его нарушение обусловлено массовыми членами: L()= 2. Осуществить выбор между разл. описаниями H. позволят в принципе эксперименты по измерению масс H. и поиску эффектов нарушения лептонного числа, |DL| = 2.

Структура нейтрино

2.4 Нетождественность Hейтринои антинейтрино

Понятие о H. и антинейтрино для любого из рассмотренных выше случаев можно ввести на основе взаимодействий. Частица, рождающаяся в распадах вместе с заряж. антилепто-ном (позитроном, m+ или t+), называется H. Антинейтрино определяют как частицу, возникающую вместе с заряж. лептоном (электроном, m-, т-); H. рождается при захвате лептона, антинейтрино - при поглощении антилептона и т. д. Введённые так H. и антинейтрино различаются: во взаимодействиях с др. частицами v рождают лептоны и не рождают антилептонов,  напротив, рождают е+, m+, т+ и не рождают е-, m-, т -. Впервые различие H. и антинейтрино было установлено в эксперименте P.Дейвиса (R.Davis, Брукхейвен, 1955), к-рый основывался на хлор-аргонном методе (Понтекорво, 1946) и состоял в следующем. Источником  являлся атомный реактор, мишенью - бак с 10 т пер-хлорэтилена C2Cl4. Если совпадает с v и, значит, может рождать электрон, то должна происходить реакция  +37Cl  е- + 37Ar. Образующийся атом 37Ar со временем T1/2=35 сут испытывает K-захват, переходя в возбуждённый атом хлора: 37Ar + е- 37Cl* + ve. Возбуждение Cl* снимается испусканием электрона с энергией 2,8 кэВ. Этот электрон детектируют пропорц. счётчиком. Была разработана методика, позволившая из 10 т C2Cl4 извлекать десятки атомов аргона. Оказалось, что кол-во атомов 37Ar по крайней мере в 20 раз меньше ожидаемого при = v; эффект перекрытия состояний |> и |ve>, |( |v>|2 составил не более 5%.

Др. метод проверки нетождественности ve и  реализуется в ускорит.экспериментах. Источником ve является распад Кe+vep; в пузырьковых камерах-мишенях ведётся поиск позитронов. Избытка е+, обусловленного реакцией ve + N  е+ + X (здесь X - совокупность остальных частиц), не было обнаружено, что дало ограничение на |<  |ve >|2 на уровне долей процента.

Наибольшую чувствительность к перекрытию состояний |ve > и |> имеют эксперименты по поиску безнейтринногодвойного b-распада. При таком распаде H., испущенное одним из нейтронов ядра, n p + е- +, взаимодействует с другим нейтроном того же ядра. В результате рождаются два электрона, а ядро увеличивает свой заряд на две единицы: AZX  AZ+2X + е- + е-. рис 5.


Из факта ненаблюдения двойного безнейтринного b-распада следует, что величина |< |ve >|2 не превышает 10-12 (при нормировке |<ve |ve >|2 = 1).

Нетождественность v и  может быть связана с различием их лептонных чисел:


При (V - A)-структуре взаимодействий H. и антинейтрино имеют разные киральности <#"668346.files/image079.gif"> - правую (рис. 5). Если др. отличий нет (сохранение лептон-ного числа нарушено), то перекрытие состояний |v> и |> в пределе >> mv равно |<|v>|2 m2v/ << 1; этого "спирального" подавления достаточно для того, чтобы удовлетворить эксперим. ограничениям. Если лептонное число сохраняется строго, то .

Лагранжиан взаимодействия в теории Вайнберга - Глэшоу - Салама (ВГС) [стандартной теории электрослабого взаимодействия <#"668346.files/image086.gif">> нет, различие между v и v~ абсолютно [L(v) = - L()].

У майорановских H. лептонное число нарушено, v и  различаются только киральностью, и их перекрытие пропорц. величине . Экспериментально об-наружимым следствием является безнейтринный двойной b-распад с вероятностью, пропорц. квадрату майо-рановской массы H. Отрицат. результат поиска такого распада позволяет поставить верхний предел для mv. Геохим. методом, основанным на поиске дочернего изотопа, наиб. сильное ограничение получено для моды 128Te  128Xe + е-+ е- : T1/2>5.1024 лет (с у. д. 90%). Отсюда следует, что mv < (0,4-1,4) эВ. Прямыми электронными методами может быть измерен спектр энерговыделений или спектр суммарной энергии двух электронов. Лучшее ограничение, установленное т. о. для распада76Ge 76Se + 2е: T1/2 > 2.1024 лет (с у. д. 90%), соответствует mv <(0,6 - 1,5) эВ. Эти ограничения относятся к майорановской массе H., точнее к эфф. массе  (mi - майорановские массы нейтрино vi, имеющие примесь uei в электронном H.), и не противоречат большим значениям тi, к-рые могли быть получены из кинематич. измерений.

2.5 Типы Hейтрино

Тип Нейтрино фиксируется его соответствием оп-редел. заряж. лептону. Соответствие устанавливается по взаимодействию; так, электронным называют H., к-рое переходит в электрон либо рождается вместе с позитроном или при захвате электрона. Состояния |ve >, |vm> и |vт > наз. собств. состояниями гамильтониана слабого взаимодействия.

Отрицательные результаты поиска е и е+ во взаимодействиях пучков vm (), а также m и т во взаимодействиях пучков ve() дают верхние пределы для перекрытия состояний |<ve|vm>|2 на уровне долей процента, |<vt|vm>|2 и |<vт|ve>|2 - на уровне неск. процентов.

Соответствие между H. и определ. заряж. лептонами, а также различия ve, vm, vt описываются набором трёх лептонных чисел: электронным, мюонным и т-лептонным (Le, Lm, Lt). Вводят след.значения лептонных чисел: у ve и е- - (1, 0, 0), у vm и m- - (0,1, 0), у vt и т - (0, 0, 1). Лептонные числа античастиц имеют противоположные знаки. Числа L сохраняются в известных процессах. Нарушение L-числа может быть вызвано взаимодействиями с гипотетич. частицами - Хиггса бозонами <#"668346.files/image095.gif"> (vR)C и/или испускания (поглощения) хиггсовых бозонов.

Число типов лёгких H., имеющих обычные слабые взаимодействия, N v было определено в 1989-90 по измерениям параметров Z0-бозонa на е+е--коллайде-рах (СЛАН) и гл. обр. LEP (ЦЕРН). Полная ширина Z0 зависит от Nv : Г2 = Г3 +  где Г3- вклад заряж. частиц, а  - вклад H. одного типа.  составляет т. н. невидимую ширину, поскольку H. не регистрируются. Гн восстанавливают по измеренным GZ, Г3, а также по адронной ширине и сечению в максимуме пика. По данным детекторов LEP получено  = 2,95 b 0,10 в согласии с Nv = 3. T. о., новых типов H. кроме ve, vm,vt не существует. Nv определяется также по величине сечения процесса  в области Z0 резонанса (детектирование изолированного g = кванта): sg ~ Nv.

Среди других ограничений на Nv наиб.сильное даёт космология - анализ первичного нуклеосинтеза. Ha-блюдат. данные по распространенности 4He позволяют поставить предел: Nv < 4[8].

Поскольку нейтрино электрически нейтральны и бесцветны, нейтринные процессы в низшем порядке теории возмущений обусловлены слабым взаимодействием.

Сечения взаимодействия H. и антинейтрино даже на неполяризов. мишенях не равны. Причина этого - нарушение чётности в слабом взаимодействии и поляризация самих H. В области т2f << s << m2W отношение сечений, обусловленных (V - А)-токами: . Различие sv~ и sv связано с величиной полного спина J сталкивающихся частиц и, следовательно, с угл. распределением рождаемых лептонов. Напр., для vll--рассеяния J = 0 и распределение в системе центра инерции изотропно, для -рассеяния J = 1 и рассеяние происходит преим. вперёд. Величины и sv сравниваются при сверхвысоких энергиях: s >> т2W, где вклад в сечения дают волны с ненулевыми орбит.моментами.

Рис. 8. Зависимость сечений рассеяния нейтрино и антинейтрино на электронах и нейтринона нуклонах при s >~m2W (теоретические кривые).

3. Взаимодействия Нейтрино

.1 Нейтринные эксперименты

) Рассеяние, в области низких энергий,  < 10 МэВ, исследуется в экспериментах на ядерных реакторах [11]. Источником  являются цепочки b-распадов осколков деления ядер235U, 239Pu и др. В среднем на одно деление приходится 6, и при мощности реактора 3000 МВт полный поток  составляет 5.1020 с-1. Спектры H. быстро падающие, с характерным диапазоном  = (1-8) МэВ. Для детектирования H. используется гл. обр. обратный b-распад (2). Мишени-детекторы представляют собой баки с жидкими водородсодержащими сцинтил-ляторами, к-рые (в ряде установок) прослоены гелиевыми проволочными камерами для регистрации нейтронов. Кроме измерений спектров е+ на разных расстояниях от реактора (см. ниже, Осцилляции H.) изучаются взаимодействия  с электронами и дейтронами (напр.,  + d е+ + n + n).

Интенсивные потоки H. создаются мощными радиоактивными источниками (51Cr, 3H и др.). Эксперименты с такими источниками, окружёнными защитой, через к-рую могут проникнуть только H., проводятся как для изучения взаимодействий H. при низких энергиях, так и для калибровки нейтринных детекторов, в частности радиохим. детекторов солнечных H.

Развиваются новые методы детектирования низко-энергетичных H., основанные на низкотемпературных болометрич. измерениях в кристаллах, регистрации возбуждений в сверхтекучем гелии, фазовых переходах в перегретых сверхпроводящих гранулах и др.

) При больших энергиях, вплоть до  300 МэВ, ve- и vN-рассеяние исследуют на мезонных фабриках. Нейтринные потоки возникают здесь в цепочке распадов p+ m+ + vm, m+  е+ + ve + ,a сами p+ генерируются во взаимодействиях ускоренных до 500-800 МэВ протонов с ядрами мишени.

) Рост сечений взаимодействия H. с увеличением энергии и связанная с этим возможность проведения нейтринных экспериментов на ускорителях высоких энергий обсуждались M. А. Марковым в 1957. Первые нейтринные эксперименты на ускорителях были осуществлены в 1962 в Брукхейвене и в 1964 в ЦЕРНе [12]. В 1973 на ускорителе ЦЕРНа в нейтринных экспериментах были открыты слабые нейтральные токи, что сыграло важную роль в становлении совр. теории электрослабого взаимодействия.

Существуют две разные постановки эксперимента: обычная - с H. от p-, К-распадов и "сброс пучка" на толстую мишень, позволяющий изучать "прямые" H. В первом случае нейтринный пучок формируется в распадах p- и К-мезонов, родившихся во взаимодействиях ускоренных протонов с достаточно тонкой мишенью. Необходимым элементом в такой постановке эксперимента является распадный канал (для осуществления распадов p и К). При  200 ГэВ, напр., его длина равна ок. 300 м. Между распадным каналом и детекторами H. расположены мюонный фильтр - слои железа, а также слои грунта, в к-рых поглощаются все частицы, за исключением H.

В эксперименте по сбросу пучка ускоренные протоны падают на металлич. мишень толщиной до 2 м и более, в к-рой, не успевая распасться, поглощается осн. часть p- и К-мезонов и, т. о., поток обычных распадных H. оказывается сильно подавленным. На его фоне становятся заметны H., родившиеся в распадах тяжёлых короткоживущих D, F и др. мезонов, у к-рых распад превалирует над поглощением. Практически такие H. возникают в точке первичного взаимодействия протонов, и их называют "прямыми". Распадный канал при сбросе пучка не нужен. В качестве мишеней-детекторов в ускорит.экспериментах используют большие пузырьковые камеры, а также калориметры, к-рые состоят из пластин железа или мрамора, прослоенных сцинтилляц. счётчиками, дрейфовыми трубками, проволочными камерами и т. д. Детекторы дополняются иногда мюон-ными спектрометрами.

) В экспериментах на подземных установках источником H. является атмосфера Земли - распады частиц, родившихся во взаимодействиях космич. лучей с ядрами атомов атмосферы (Марков, 1960). Взаимодействия H. низких энергий,  сотни МэВ - неск. ГэВ, регистрируются большими водными черенков-скими детекторами (IMB, KAMIOKANDE), а также тонкоструктурными электронными установками (FREJUS, NUSEX). Причём треки частиц, рождаемых в нейтринном взаимодействии, могут полностью уместиться в детекторе ("включённые" события). Такие события являются осн. фоном для поиска распада протона и n осцилляции. При более высоких энергиях H.,  10 ГэВ, осн. часть регистрируемых событий- мюоны, пересекающие детектор. Они рождаются атмосферными H. в грунте вблизи установок. Преимуществом обладают детекторы, способные определить направление прихода мюона (Баксанский нейтринный телескоп). Особый интерес представляют события, когда H. приходит из нижней полусферы Земли: в этом случае расстояние источник - детектор равно 2 .

) Взаимодействия H. сверхвысоких энергий,  > 1 ТэВ, предполагается изучать на глубоководных установках (Марков, 1960). Источниками H. являются космос (космич.H.) и атмосфера Земли. Детекторы представляют собой большие объёмы воды на значит.глубине в океане или озере, просматриваемые черенковскими счётчиками или прослушиваемые акустич. детекторами (проекты "Байкал", ДЮМАНД). Развивается методика регистрации радиоизлучения ядерных и эл--магн. каскадов, вызванных H. в большом объёме льда (напр., в Антарктиде).

Информация о взаимодействиях H. с энергиями вплоть до 1020 эВ может быть получена из исследований широких атм. ливней, развивающихся под большими углами к вертикали (установка "Мушиный глаз", Канада).Результаты нейтринных экспериментов находятся в хорошем согласии с предсказаниями теории ВГС. В частности, для упругого рассеяния vm и  на электронах при энергии  > 1 ГэВ, получено:


где первая из указанных ошибок - статистическая, а вторая - систематическая. В теории ВГС при sin2JW= = 0,22 соотношения между сечениями для др. типов v следующие:


Сечения глубоко неупругого рассеяния H. ( >> 10 ГэВ) на мишени (ядре), содержащей равное число протонов и нейтронов, в расчёте на один нуклон равны:


Отношение сечений нейтральных токов к сечениям заряж. токов


Заключение

На протяжении тысячелетий астрономы получали только ту информацию о небесных явлениях, которую им приносил свет. Можно сказать, что они изучали эти явления через узенькую щель в обширном спектре электромагнитных излучений. Три десятилетия тому назад благодаря развитию радиофизики возникла радиоастрономия, необычайно расширившая наши представления о Вселенной. Она помогла узнать о существовании многих космических объектов, о которых ранее не было известно. Дополнительным источником астрономических знаний стал участок электромагнитной шкалы, лежащий в диапазоне дециметровых и сантиметровых радиоволн.

Огромный поток научной информации приносят из космоса другие виды электромагнитного излучения, которые не достигают поверхности Земли, поглощаясь в ее атмосфере. С выходом человека в космическое пространство родились новые разделы астрономии: ультрафиолетовая и инфракрасная астрономия, рентгеновская и гамма-астрономия. Необычайно расширилась возможность исследования первичных космических частиц, падающих на границу земной атмосферы: астрономы могут исследовать все виды частиц и излучений, приходящих из космического пространства. Объем научной информации, полученной астрономами за последние десятилетия, намного превысил объем информации, добытой за всю прошлую историю астрономии. Используемые при этом методы исследования и регистрирующая аппаратура заимствуются из арсенала современной физики; древняя астрономия превращается в молодую, бурно развивающуюся астрофизику.

Сейчас создаются основы нейтринной астрономии, которая будет доставлять ученым сведения о процессах, происходящих в недрах космических тел, например в глубинах нашего Солнца. Создание нейтринной астрономии стало возможным только благодаря успехам физики атомных ядер и элементарных частиц.

Самое, пожалуй, удивительное в современной физике-это неожиданная связь между космосом, где галактики и звездные скопления разбросаны подобно редким пылинкам, и тесным, исчезающе малым микромиром элементарных частиц. Два полюса мироздания! На одном огромная, расширяющаяся Вселенная, на другом-не видимые ни под каким микроскопом, почти эфемерные «кирпичики» вещества. И вот оказывается, что при определенных условиях Вселенная может обладать свойствами микрочастицы, а некоторые микрообъекты, возможно, содержат внутри себя целые космические миры. Во всяком случае, так говорит теория. Большое и малое, сложное и простое-здесь все переплелось. Как хитро устроена природа! Она как масштабная линейка, завязанная в узел. Поди разберись, где тут начало! Из чего состоят протон и нейтрон? Есть ли что-нибудь еще глубже, меньше? И вообще, может ли быть предел делимости материи? Что творилось в нашей Вселенной, когда она была еще совсем юной и ее размеры были в миллиарды миллиардов раз меньше атома? Что такое античастицы и существуют ли миры из антивещества? Масса вопросов, и каждый из них тянет за собой вереницу новых, про которые и самим ученым еще далеко не все ясно. Вселенная оказывается бесконечно многообразной, неисчерпаемой для исследователя…

«Здесь скрыты столь глубокие тайны и столь возвышенные мысли, что, несмотря на старания сотен остроумнейших мыслителей, трудившихся в течение тысяч лет, еще не удалось проникнуть в них, и радость творческих исканий и открытий все еще продолжает существовать». Эти слова, сказанные Галилеем три с половиной столетия назад, нисколько не устарели.

Литература

1) Паули В., обТеоретической физики 20 в., M., 1962год; Понтекорво Б. M., Развитияминейтринн. физики, "УФН", 1983,;

) Алиханов А. И., Слабыми взаимодействиями. b-распада исследования излучения, M., 1960; Ал-лен Дж., Нейтрино(n), M., 1960;

3) Rсines F., Cowan C. L. Jr., Detection of the free neutrino, "Phys. Rev.", 1953,; PейнесФ., КоуэнК. Л. мл., Нейтрино, "УФН", 1957;

) MарковM. А.,изучениеНейтрино, M., 1964;

) Danbу G. идр., Observation of high energy neutrino reactions and the existence of two kinds of neutrinos, "Phys. Rev. Lett.", 1962,; FейнбергДж., ЛедерманЛ. M., Мюонимюонноенейтрино, вкн.: Нейтрино, M.,1970;

) Perl M.L.идр., Properties of anomalous em events produced in e+e- annihilation, "Phys. Lett.", 1976,; Азимов Я. И., Франкфурт Л. Л., Xозе В. А., Новая частица в е+е- -аннигиляции - тяжелый лептон тb, "УФН", 1978,;

) Козик В. С. и др., Об оценке массы ve по спектру b-распада трития в валине, пер. с англ., "Ядерная физика", 1980, т. 32, с. 301;

) Герштейн С. С., Зельдович Я. Б., Масса покоя мюонного нейтрино и космология, "Письма в ЖЭТФ", 1966, т. 4, с. 174; Зельдович Я. Б., Хлопов M. Ю., Масса нейтрино в физике элементарных частиц и космологии ранней Вселенной, "УФН", 1981, т. 135, с. 45;Окунь Л. Б., Лептоны и кварки, 2 изд., M., 1990;Биленький С. M., Лекции по физике нейтринных и лептон-нуклонных процессов, M., 1981;

) Боровой А. А., Нейтринные эксперименты на реакторах, "ЗЧАЯ", 1980, т. 11, с. 92;

) Eрмолов П. Ф., Mухин А. И., Нейтринные эксперименты при высоких энергиях, "УФН", 1978, т. 124, с. 385;

) Биленький С, M., Понтекорво Б. M., Смешивание лептонов и осцилляции нейтрино, УФН", 1977, т. 123, с. 181; Bilenky S. M., Petcov S. Т., Massiveneutrinosandneutrinooscillations, "Rev. Mod. Phys.", 1987, v. 59, p. 671. Г. Т. Зацепин, А. Ю. Смирнов.

) Березинский В.С., 3ацепин Г.Т., Нейтринная астрофизика, М., 1975; и х же,. Возможности экспериментов с космическими нейтрино очень высоких энергий: проект ДЮМАНД, "УФН", 1977, т. 122, в. 1, с. 3; Зельдович Я. В., Новиков И. Д., Релятивистская астрофизика, М., 1967; Астрофизика космических лучей, М., 1984.


Не нашли материал для своей работы?
Поможем написать уникальную работу
Без плагиата!
Без нейросетей!