Технологія отримання харчових волокон з виноградних вичавок та використання їх у харчовій промисловості

  • Вид работы:
    Курсовая работа (т)
  • Предмет:
    Другое
  • Язык:
    Украинский
    ,
    Формат файла:
    MS Word
    341,54 Кб
  • Опубликовано:
    2013-05-22
Вы можете узнать стоимость помощи в написании студенческой работы.
Помощь в написании работы, которую точно примут!

Технологія отримання харчових волокон з виноградних вичавок та використання їх у харчовій промисловості

Міністерство освіти і науки, молоді та спорту України

Національний університет харчових технологій

Кафедра оздоровчих продуктів









Курсова робота

Технологія отримання харчових волокон з виноградних вичавок та використання їх у харчовій промисловості











Київ 2012

План

Вступ

Розділ 1. Стан та перспективи формування і розвитку індустрії оздоровчого харчування в Україні

.1 Соціальні та економічні передумови

.2 Пріоритетні напрями у створенні в Україні індустрії здорового харчування

Розділ 2

.1 Аналіз сучасного стану виробництва харчових волокон

.2 Хімічний склад, цінність харчових волокон виноградних вичавок

.3 Технологія отримання харчових волокон з виноградних вичавок

.4 Вплив вмісту пектинових речовин винограду на його зберігання

.5 Використання пектину у харчовій промисловості

Розділ 3

.1 Використання інноваційних технологій у виробництві харчових волокон

.2 Біологічна цінність харчових волокон, лікувально-профілактичні продукти на основі пектину

.3 Використання харчових волокон у спеціальних лікувальних препаратах

Висновки

Список використаної літератури

Вступ

Найважливішим напрямом підвищення ефективності сучасного виробництва є створення мало- і безвідходних технологій та більш широке використання вторинних ресурсів сировини. Цим вимогам відповідає виробництво пектину і пектинопродуктів із бурякового жому, яблучних, виноградних і цитрусових вичавок.

На жаль, нині рівень використання вторинних ресурсів у харчовій промисловості становить 20…30% від загальної їх кількості, а на виробництво пектину направляється лише 0,2…0,3% бурякового жому та 2-3% яблучних вичавок.

Потреба в пектині значно перевищує обсяги його вітчизняного виробництва і закупок за кордоном.

Погіршення екологічних умов у багатьох регіонах України (особливо після Чорнобильської катастрофи), яке супроводжується забрудненням навколишнього середовища і харчових продуктів токсичними речовинами та радіонуклідами, вимагає проведення профілактичних заходів, що в першу чергу зумовлює потребу розширення виробництва пектину як природного детоксиканту.

Пектини взагалі мають багато корисних властивостей: вони нормалізують кількість холестерину в організмі (якщо його багато, - виводять з організму, якщо мало, - затримують), підвищують стійкість організму до алергії, допомагають відновити слизову оболонку всіх організмів після запальних процесів, позитивно впливають на внутрішньоклітинне дихання та загальний обмін речовин в організмі.

Пектин - один із найпоширеніших полісахаридів, який міститься в достатній кількості в рослинній сировині (плоди, ягоди, овочі, коренеплоди, яблучні, винограді та цитрусові вичавки). В наш час рівень техніки і технології пектину настільки удосконалений, рентабельний і доступний, що його можна виробляти на кожному консервному і цукровому заводах, підприємствах виноробної та молочної промисловості.

Світове виробництво пектину нині становить понад 80 тис. тон на рік. Основним виробником цитрусового пектину є американська фірма «Gercules Inс». Яблучний пектин виробляється в основному в Англії, Франції, Австрії, Швейцарії, Німеччині. Близько 40 тон желатину з бурякового жому виробляють в Канаді. В Україні пектин виробляють у невеликій кількості на дослідних підприємствах.

Найбільше ПР міститься в цукрових та кормових буряках (18…30%), моркві (6,4…20%), червоних буряках (15…18%), кавунах (6,4…23,6%), гарбузах (3…17%), яблуках (6…20%), горобині (9…11%), грушах (4…8%), інжирі (6…16%), гранатах (10…14%), хурмі (9…12%), цитрусових (9…14%).

З цього можна зробити висновок про необхідність використання цих видів сировини для виробництва пектинових харчових виробів. Крім пектину, ці види містять і ряд інших біологічно активних речовин (БАР), що мають лікувально-дієтичні властивості.

Якість кінцевого продукту - пектину залежить не тільки від фізико-хімічних властивостей пектиновмісної сировини, але й значною мірою від способів їх зберігання, консервування, підготовки й переробки.

Пектиновмісна сировина являє собою рослинний матеріал із високою вологістю і біохімічною властивістю, в якому проходять процеси, що залежать від хімічного складу, вологи, умов і терміну зберігання. Під час зберігання такої сировини відбувається розпад і окислення поліцукридів, що призводить до гідролітичного розщеплення пектину. (Домарецький В.А., Остапчук М.В., Українець А.І. Технологія харчових продуктів: Підручник / За ред.. д-ра техн.. наук, проф. А.І.Українця. - К.: НУХТ, 2003.)


У винограді і продуктах його переробки наявні такі полісахариди, які гідролізуються в звичайних умовах: пентозами, пектинові речовини, камеді, декстрини та ін. Крім того є такі, що не гідролізуються при переробці - целюлоза (клітковина) і геміцелюлози, які виконують роль наповнювачів. Вони створюють механічну щільність тканин в ягодах свіжого та переробленого на консервовані продукти винограду: в маринадах, компотах, варенні, сушеному винограді.

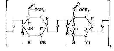
Пектинові речовини (ПР) - це високомолекулярні вуглеводні комплекси. До складу ПР входить більше 200 частково метоксильованих залишків галактуронової кислоти, які з’єднані між собою 1,4-глікозидними зв’язками:


Пектини - це гелетвірні аморфні речовини, які входять до складу клітинних стінок і з’єднуючих пластинок виноградних плодів. Завдяки своїй гнучкості вони забезпечують розтягнення клітинних стінок при наливі ягід; утримують велику кількість води і в залежності від структурного стану діляться на фракції: нерозчинний у воді протопектин (зв’язаний з іншими полісахаридами), розчинний пектин, пектинову кислоту та її солі (пектонати), пектову кислоту та її солі (пектати).

Пектинові речовини мають велике значення в технології переробки винограду. Із їхнім станом пов’язано перш за все, відділення сусла, яке затримується при наявності великої кількості високомолекулярних комплексів, з’єднаних пектином. Швидкість освітлення сусла і фільтрації сусла, соків і вин в значній мірі залежить від стану пектинових речовин. Ферментативна обробка мезги, сусла чи вина позитивно впливає на прозорість і стійкість до колоїдних розчинів. Разом з тим повне виділення пектинових речовин робить смак соків і вин водним, рідким, збільшує кількість метанолу.

Для соків з м’якоттю, виноградної пасти, джему, варення з винограду, навпаки, необхідне максимальне збереження пектинових речовин від руйнування. З цією метою виноград бланшують при температурі 96…98ºС, інактивуючи гідролітичні ферменти.

Для отримання достатньо щільного желе в кондитерських виробах потрібно близько 58% цукрів і 1% пектину при рН в межах 2,6…3,1.

Вміст ПР у винограді залежить від сорту, зрілості і зазвичай коливається в межах 0,5 - 2,0 г/л. в мускатних та столових сортах пектину більше до 4 - 5 г/л. саме ці сорти винограду потрібно переробляти на пектиновмісні кондитерські вироби.

Камеді - високомолекулярні кальцієві, магнієві, калієві солі уронових кислот, які зв’язані з пентозами, гексозами, а декстрини - слизові речовини, високомолекулярні полімери глюкози з молекулярною масою більше 1 млн. Вони мають властивість захисних колоїдів і надають виноградному соку і вину своєрідну м’якість смаку при вмісті 0,5 - 3,0 г/л.

На початку дозрівання винограду ПР із твердих частин ягід частково переходять в сік. При технічній зрілості їх вміст у соках 1…2 г/л (О.Т. Хачідзе, 1955). Виноградний сік, отриманий із неспілого винограду, не містить ПР. (Косюра, В. Т. Основы виноделия / В. Т. Косюра, Л. В. Донченко, В. Д. Надыкта. М. : ДеЛи принт, 2004)

Розділ 1. Стан та перспективи формування і розвитку індустрії оздоровчого харчування в Україні

.1 Соціальні та економічні передумови

Проблему майбутнього України, української нації слід розглядати насамперед з позиції визначення основних пріоритетів. Майбутнє України має оцінюватись не лише за рівнем розвитку економіки країни, а передусім за станом здоров'я кожного громадянина й нації в цілому, оскільки здоров'я - основна життєва цінність кожної людини, найважливіший емоційний, соціальний, економічний чинник, значення якого в нинішніх умовах науково-технічної революції й несприятливого в екологічному плані довкілля постійно збільшується.

Питання збереження здоров'я українців постало не випадково. За останнє десятиліття стан здоров'я населення України настільки погіршився, що проблема, без перебільшення, виросла до загрози національній безпеці. Загальну демографічну та екологічну ситуації в Україні фахівці оцінюють як кризові. Варто зазначити, що смертність зараз майже на 8% перевищує народжуваність. І тому, за останньою інформацією Держкомітету статистики, чисельність населення України за 2007 рік скоротилася на 341,6 тис. чоловік, причому міського - на 137,1 тис, а сільського - на 204,5 тис. За станом на 1 січня цього року, нас залишилося 46,28 млн.

Тому необхідно провести узагальнений аналіз впливу основних несприятливих екзо- та ендогенних чинників на стан здоров'я людини; з'ясування ролі оздоровчого харчування у нормалізації всіх функцій, органів, систем живого організму; визначення й обґрунтування об'єктивних передумов і реальних заходів щодо створення в Україні індустрії здорового харчування.

Зростання темпів виробництва і життя, особливості харчування, екологічно несприятливе довкілля породили у XX ст. серйозну проблему, яку називають "хворобами цивілізації". Стали хронічними нервово-емоційні перевантаження. Особливої шкоди здоров'ю завдало змінення структури харчування. Воно стало нераціональним, включає багато рафінованих і крохмалистих продуктів, штучних компонентів, тваринних жирів, білого хліба, цукру, очищених зернових, що спричинює в організмі дефіцит вітамінів, мінералів, поліненасичених жирів, руйнує кишкову мікрофлору. Все це призводить до виснаження адаптаційних та компенсаторних механізмів, до виникнення професійних захворювань і передчасного старіння.

Дефіцит у харчуванні ряду біологічно активних компонентів призводить також до порушення психіки, пам'яті тощо. Наприклад, хімічним регулятором нервових імпульсів центральної нервової системи є серотонін, що синтезується з амінокислот (зокрема, з триптофану), які надходять в організм лише з їжею. А нормальне функціонування мозку можливе лише при достатньому надходженні по кровоносних судинах кисню, глюкози, мікроелементів, амінокислот, вітамінів, ненасичених жирних кислот.

Стрімкий промисловий розвиток господарства порушує недоторканість природи, ламає екологічну рівновагу, поступово замінюючи природні умови життя штучними, до яких організм людини не встигає адаптуватися. В сучасних умовах кліматичних змін внаслідок розігрівання атмосфери планети (парниковий ефект) температура земної поверхні щорічно підвищується на 1,0... 1,5 °С, температурні перепади й зміни водообігу в атмосфері досягають критичних значень. Зміни довкілля неминуче призводять до генетичних мутацій на клітинному рівні в усьому живому світі. Людству загалом та кожній людині зокрема загрожують тотальні процеси генетичних змінень в організмі і, як наслідок, - постійні хвороби. І це не залежатиме ні від віку, ні від статі, ні від нації, ні від місця проживання, ні від матеріальних благ.

Надзвичайно несприятливо позначається на здоров'ї людини забруднення повітряного й водного басейнів різноманітними хімічними сполуками, які, потрапляючи й накопичуючись в органах і тканинах живого організму, спричинюють патологічні процеси. Імунна система людини - система захисту від несприятливого впливу довкілля - не може нормально функціонувати без певних харчових сполук - антиоксидантів, які дають змогу організмові боротись проти утворення в ньому надмірної кількості вільних радикалів. Під впливом інфекцій, інтоксикацій, радіації і навіть звичайної застуди вони стають шкідливими та агресивними. Про небезпеку надлишку вільних радикалів зараз пишуть і говорять досить часто. Вільні радикали - це активні атоми, які втратили певну кількість електронів. Вони дуже нестабільні й легко вступають у хімічні реакції. Уже існує вільнорадикальна теорія старіння; доведено залежність онкологічних процесів від наявності вільних радикалів тощо.

Кількість вільних радикалів під впливом несприятливих умов довкілля зростає в геометричній прогресії. Вони активно вступають у взаємодію з білками, ліпідами, молекулами ДНК, ушкоджуючи їхню структуру, а потім знищують їх або перетворюють на собі подібних. Процес проходить як ланцюгова реакція, в ході якої за частку секунди руйнуються мільйони молекул, згубно впливаючи на весь організм людини. Зважаючи на ситуацію, що склалася, проблемі охорони навколишнього середовища присвячено велику кількість наукових праць, все тривожніше звучать голоси на його захист. Однак використання запропонованих рекомендацій у місцевих масштабах уже недостатньо - потрібно говорити про глобальну екологію, покликану врятувати людство. І недаремно останнім часом з'явилися нові поняття - "екологічне мислення", "екологічна поведінка", "екологічна політика", "екологічно чисте харчування" тощо.

Усі ці питання стали поштовхом до проведення в 1992 році у Ріо-де-Жанейро конференції ООН з проблем охорони навколишнього середовища й розроблення стратегії стійкого розвитку людства, матеріали якої, на жаль, в Україні практично не коментувалися. Відомо лише, що питання захисту навколишнього середовища розглядалося у нерозривній єдності з економічним і соціальним розвитком. І, безумовно, пріоритетною у вирішенні всіх цих завдань с проблема здоров'я людини, від якого залежать і захист довкілля, економічний і соціальний розвиток, співробітництво усіх країн та й, власне, майбутнє усієї планети.

Реальним вирішенням цієї проблеми експерти ВООЗ вважають оздоровлення населення планети за допомогою комплексу заходів зі зміцнення імунітету організму.

Відомо, що проблема здоров'я вирішується двома шляхами. Перший шлях - досягнення й підтримання його на належному рівні; другий - лікування хвороб. Обидва шляхи тісно пов'язані між собою. Однак стратегія й тактика успішного досягнення мети кожним з цих шляхів вимагають двох різних наукових підходів і двох різних систем практичного рішення.

Залишимо другий шлях офіційній медицині - галузі наукової й практичної діяльності, основним завданням якої є вивчення процесів, що відбуваються в організмі здорової і хворої людини з метою збереження та зміцнення її здоров'я, розроблення методів діагностики, запобігання та лікування хвороб.

Для практичної реалізації першого шляху, для здійснення програми соціально-економічних перетворень в Україні треба забезпечити населення високоякісними, доступними для всіх груп населення харчовими продуктами, що не тільки відтворюють енергетичні витрати організму, а й позитивно впливають на нормалізацію його життєдіяльності. Саме таке харчування в сучасних умовах є запорукою відновлення й підтримання на належному рівні здоров'я кожної людини і гарантом збереження генофонду нації.

Біологічно активні речовини, що містяться у харчовій і лікарській сировині та отриманих із них продуктах, здатні протистояти руйнівній дії вільних радикалів, відновлювати порушені функції організму, запобігати онкологічним та серцево-судинним захворюванням, сповільнювати процес старіння і подовжувати активне довголіття. Такі харчові продукти називаються профілактичними, здоровими, функціональними, а самі терміни "здорове харчування", "функціональне харчування" з'явилися зовсім недавно і символізують започаткування нового напряму в науці та практиці харчових технологій - системи оздоровчого та профілактичного харчування.

Результати реалізації функціональних (оздоровчих) продуктів і моніторингу стану здоров'я споживачів дали змогу обґрунтувати необхідність введення їх до щоденного раціону кожної людини. Більше того, основні соціальні й медичні аспекти цієї проблеми виявилися настільки важливими для охорони здоров'я суспільства, забезпечення активного творчого довголіття, що комітети експертів різних країн і Всесвітньої організації охорони здоров'я висловилися за внесення важливих змін до раціону з метою запобігти багатьом хворобам, викликаним неправильним харчуванням.

Вживання оздоровчих продуктів гарантує усунення недостатності харчування, поповнення всіх клітин потрібними компонентами, а також ослаблення впливів токсичних елементів, які є в продукті або утворюються в самому організмі в процесі його життєдіяльності.

Щоб змінювати структуру харчування і створювати оздоровчі продукти, треба розробляти нові харчові технології - технології виробництва харчових продуктів оздоровчого і профілактичного призначення.

На відміну від інших галузей виробництва, лише продукція перероблення сільськогосподарської сировини безпосередньо й дуже істотно впливає на внутрішнє середовище людини.

На Міжнародній конференції з питань харчування, організованій ВООЗ і продовольчою комісією ООН (ФАО) у грудні 1992 р., представники 159 країн, включаючи Україну, одноголосно прийняли "Всесвітню декларацію і Програму дій в галузі харчування". Стаття 19 цієї Декларації звучить так:

"Ми зобов'язуємось докласти всіх зусиль, щоб ліквідувати до кінця нинішнього століття:

·   недостатність йоду та вітаміну А в харчових продуктах;

·   недостатність харчування, особливо серед дітей, жінок та людей похилого віку;

·   недостатність в організмі важливих мікроелементів, включаючи залізо".

Крім цього, за головне завдання також поставлено зменшення кількості інфекційних та неінфекційних хвороб, пов'язаних з раціоном харчування.

На виконання положень цієї Декларації в більшості країн світу, зокрема європейських, уже сформульовані й реалізуються на державному рівні національні програми здорового харчування населення «Здоров'я для всіх». В результаті цього вдалося знизити рівень захворюваності та смертності від серцево-судинних хвороб на 30-50%,і більш ніж наполовину цей регрес захворюваності визначається здоровим харчуванням.

Підписавши «Всесвітню декларацію», Уряд України зобов'язався до 1994 р. розробити національний план дій у галузі здорового харчування й до 2000 р. виконати його. Однак такого плану немає й досі. Більше того, немає Концепції державної політики в галузі здорового харчування, яка, наприклад, у Росії реалізується з 1995 р.

Тому на сьогодні пріоритетною проблемою для нашої держави та її харчової промисловості є створення принципово нових технологій глибокого комплексного перероблення сільськогосподарської сировини на продукти високої якості, що забезпечують профілактику аліментарно-залежних станів і захворювань, сприяють усуненню дефіциту вітамінів, мікро- і макроелементів, інших ессенціальних речовин.

На сучасному етапі розвитку господарчих механізмів переваги кожної нової технології можна визначити, лише розглядаючи її як товар. У зв'язку з цим організація виробництва оздоровчої харчової продукції нових видів є перспективним напрямом підвищення ефективності економіки України.

Об'єктивними передумовами створення вітчизняної індустрії здорового харчування можна вважати такі:

• значні природні ресурси на території України й сировину, що потенційно придатна для перероблення на оздоровчі продукти;

• структуру харчової промисловості яка дає можливість організувати виробництво оздоровчих продуктів на підприємствах різного масштабу (великих, орендних, малих, приватних тощо);

• підвищений прогнозований попит на оздоровчі продукти, пов'язаний з несприятливими екологічними чинниками, внаслідок чого організм людини потребує продуктів, які поряд з відтворенням енергетичних витрат насичують його життєво необхідними біокомпонентами: мікро- і макроелементами, вітамінами, азотистими сполуками, органічними кислотами тощо;

• досить широкі експортні можливості такої продукції, оскільки, по-перше, на світовому ринку від закордонних аналогів її буде відрізняти значно нижча ціна; по-друге, існують практично не використані ринкові сектори споживання цих харчових продуктів (у вигляді добавок до різних страв, при виробництві функціональних продуктів, інгредієнтів тощо);

І• можливість розширення вертикальної й горизонтальної структур виробництва: оздоровчі продукти можна випускати в спеціальних цехах на підприємствах харчової промисловості або організувати дрібносерійне виробництво їх;

• промислову політику, яка на макрорівні пов'язана з розширенням виробництва товарів з поліпшеними споживчими якостями, здатних конкурувати на міжнародному ринку зі своїми іноземними аналогами. Промислова політика на мезорівні має бути спрямована на збільшення обсягів виробництва продукції нетрадиційних для харчової промисловості видів з метою посилення її позиції в конкурентній боротьбі й виборі вдалої стратегії конкурентного розвитку. Отже, промислова політика на макро- і мезорівнях економіки України цілком сприятлива для організації виробництва оздоровчих продуктів з природної сировини різних видів.

Як показує світовий досвід компанії "Ф. Хоффман-Ля Рош", витрати на збагачення продуктів масового споживання мікронутрієнтами з метою надання їм оздоровчих властивостей помірні. Наприклад, вітамінні субстанції та вітамінні премікси в промислових масштабах цілком доступні за ціною і, як правило, спричинюють подорожчання хлібобулочних виробів не більше ніж на 1%, а молочних продуктів - від 4 до 10%.

Становлення і розвиток індустрії оздоровчого харчування передбачає розроблення харчових продуктів принципово нового покоління. Щоб вирішити цю проблему, потрібно:

• по-перше, підготувати висококваліфіковані кадри, здатні об'єднати сучасні технологічні процеси з фізіологією і фармакологією харчування для конструювання нових продуктів в високою функціональною активністю;

• по-друге, створити вітчизняну індустрію оздоровчого харчування, докорінно реконструювавши підприємства харчової промисловості й оснастивши їх потрібною технікою;

• по-третє, розробити і впровадити економічно вигідні технології виробництва продуктів як масового споживання» так і спеціального призначення.

Уже найближчим часом на підприємствах харчової та переробної промисловості можна налагодити виробництво традиційних харчових продуктів, збагачених ессенціальними мікронутрієнтами, що надають їм функціональних властивостей. Це хліб, хлібобулочні, борошняні кондитерські вироби з добавками вітамінів групи В, А, Е, кальцію, валіза, йоду, селену тощо; молоко й молочні продукти з полівітамінними комплексами, молочнокислими бактеріями, лактобактеріями; асортимент низькокалорійних олієжирових продуктів з функціональними інгредієнтами; безалкогольні напої з екстрактами лікарських рослин.

З часом, коли на державному рівні в Україні буде прийнято й реалізовано Концепцію державної політики в галузі оздоровчого харчування, і створено індустрію здорового харчування, коли набуде культура харчування населення й кожний зрозуміє, що несе індивідуальну відповідальність за власне здоров'я, спектр виробництва та споживання та споживання оздоровчих продуктів постійно розширюватиметься, досягаючи рівня передових країн світу. (Технологія оздоровчих харчових продуктів / Українець А. І., Сімахіна Г. О. - К.: НУХТ, 2009)

.2 Пріоритетні напрями у створенні в Україні індустрії здорового харчування

Розвиток харчової індустрії та технології вніс свою частку у розроблення з харчових продуктів найважливіших поживних та біологічно активних речовин (регуляторних).

Свідоме і масштабне рафінування сировини та напівпродуктів загрожує несприятливими для здоров'я населення наслідками, оскільки при цьому з готових продуктів видаляється або руйнується більшість цінних мікронутрієнтів. На помилковість такої позиції вказував ще в 60-70-х роках минулого століття академік А.М.Уголєв (1992).

У всіх людей є всього три можливості зробити повноцінним своє харчування. По-перше, використовувати фруктово-овочевий ринок. Для багатьох, щоправда, він занадто дорогий. До того ж сьогодні фахівці стверджують, що навіть порівняно заможна людина, що проживає в сучасному екологічно неблагополучному місті, усе одно не може обійтися самими лише овочами та фруктами - їй довелося б споживати їх фактично цілодобово.

Забруднене середовище і нервові перевантаження істотно збільшують потребу у вітамінах. Не випадково населення США лідирує Р у споживанні вітамінно-мінеральних комплексів. Необхідно також ураховувати, що збагачення продуктів - це фактичне повернення їм цінних елементів, що неминуче втрачаються при переробленні, транспортуванні, зберіганні.

По-друге - аптека з її нинішнім широким спектром різних вітамінно-мінеральних комплексів. Але для більшості людей вони не по кишені.

Залишається третій шлях - збагачення харчових продуктів масового споживання (хлібобулочні, макаронні, кондитерські і молочні вироби, соки, напої, ковбаси). У десятках країн світу цей шлях уже зарекомендував себе як найбільш економічний, вигідний і реальний як для багатих, так і бідних країн.

Адже самі собою мікронутрієнти при масовому виробництві досить дешеві, а дорогими для населення вони стають тільки після таблетування, упакування, доставки. (З тієї самої причини чиста вода з гімалайських льодовиків безкоштовна в підніжжі гір, у Києві ж вона продається за дуже великими цінами).

Ще один важливий момент: у більшості країн рішення проблеми мікронутрієнтної нестачі шляхом збагачення традиційних харчових продуктів регулюється відповідними законами, національними програмами. Скажімо, у США і Канаді з 50-х років минулого століття закон зобов’язує збагачувати все борошно; в Австралії, Великобританії, Швеції - маргарин; а в таких різних за рівнем розвитку країнах, як Болівія і Данія, Коста-Ріка і Швейцарія, Японія і Нігерія, діють спеціальні державні програми зі збагачення хлібобулочних виробів.

В Україні, що посідає одне із останніх місць у світі зі споживання вітамінів і мікроелементів і відтак одне із останніх місць - за середньою тривалістю життя, до аналогічних законів і програм справа так і не дійшла.

Хоча відсутність законів заважає не тільки вирішенню найгострішої соціальної проблеми, а й нормальному розвиткові виробництва, бізнесові. Разом з тим, у будь-якому проекті в харчовій галузі завжди є етична сторона. З огляду на загрозливу ситуацію з дефіцитом вітамінів і мікроелементів у раціоні наших співгромадян вона тим більше вагома.

Етична проблема стоїть сьогодні перед харчовою галуззю й у ширшому плані. Харчові добавки є найбільш масовими ксенобіотиками. Але вимоги до їхньої безпеки, на жаль, незрівнянно нижчі, ніж до ліків. Сучасним технологам, до того ж, доступний найширший арсенал синтетичних харчових добавок, і їхня відносна дешевизна часто є вирішальним аргументом для надання переваги перед натуральними природними біодобавками.століття принесло фантастичні зміни в індустрію харчових продуктів. З дрібних напівкустарних виробництв із традиційною технологією, що створювалася століттями емпіричним шляхом, вона перетворилася в могутню наукомістку галузь промисловості, що складається з найсучасніших промислових підприємств і наукових центрів. В основі виробництва харчових продуктів лежать науково обґрунтовані технології, найвища механізація, автоматизація і комп'ютеризація виробництва, створюється нове покоління харчових продуктів.

Досягнення медицини дозволили правильно оцінити роль харчування в здоров'ї людини, функції окремих макро- і мікронутрієнтів, сформулювати вимоги до складу, якості і безпеки харчових продуктів. Дослідження вчених і досягнення працівників виробництва дозволяють уже сьогодні визначити основні шляхи технічного прогресу в харчових і переробних галузях АПК.

Сьогодні ясно, що ключова роль у розвитку індустрії харчових продуктів належить науці й висококваліфікованим фахівцям.

Серед наукових проблем необхідно відзначити передусім роботи з вивчення складу, хімічних і біохімічних перетворень як основних нутрієнтів, так і мікронутрієнтів; шкідливих і чужорідних речовин на всіх етапах технологічного потоку, і в першу чергу гідролітичних, окисних процесів і різноманітних форм взаємодії компонентів між собою (ліпідно-білкова, ліпідно-вуглеводна, білково-вуглеводна, білково-білкова тощо); ролі цих процесів у створенні сучасних продуктів, їхнього впливу на якість, безпеку. Отримані знання дозволять створити наукові основи конструювання їжі заданих складу і властивостей і розробити технології одержання нового покоління харчових продуктів, що відповідають вимогам науки про здорове харчування (функціональних харчових продуктів, продуктів для дитячого харчування, лікувального харчування, харчування для окремих груп населення тощо).

Змінюються вимоги до сировини й сама сировина. Безумовно, одним із найважливіших питань є з'ясування можливості використання в якості сировини трансгенних рослин і тварин. Тут існує цілий комплекс проблем: безпека технології перероблення, нові технологічні можливості та їхнє апаратурне вирішення, нові види продуктів. Особливу увагу в XXI ст. приділяють розробленню й застосуванню харчових та біологічно активних добавок до їжі.

Можливо, формули їжі XXI століття, запропоновані Інститутом харчування Російської академії медичних наук, у яких обов'язковим компонентом е біологічно активні добавки до їжі (БАД до їжі), стануть реальністю.

Особливу увагу схід приділити екології виробництва, створенню замкнутих циклів цілком безвідхідного виробництва. Необхідність одержання нових продуктів, розроблення навага технологій викликають потребу у створенні нового покоління устаткування. Очевидно, це мають бути поточні, цілком автоматизовані і комп'ютеризовані лінії.

Важливим також є вирішення проблеми фасування, упаковування та транспортування харчової продукції. Наша їжа і нині повинна зберегти свою привабливість, властивий їй смак, аромат, національні традиції. І цілком відповідати рекомендаціям медиків, тобто залежати від способу життя, виду діяльності, віку, звичок тощо.

Усі ці питання можуть бути вирішені тільки за наявності сучасної й ефективної системи підготовки фахівців різного рівня.

Для створення оздоровчих харчових продуктів сучасні фахівці мають великий запас необхідних знань і теоретичних, і практичних.

Біологічна цінність їжі визначається вмістом у ній необхідних організму незамінних харчових речовин - білків, жирів, вуглеводів, вітамінів, мінеральних солей. Для нормальної життєдіяльності людини потрібно не тільки постачання її адекватною (відповідно до потреб організму) кількістю енергії і харчових речовин, але і дотримання певних співвідношень між численними чинниками харчування, кожному з яких належить специфічна роль в обміні речовин. Як відомо, харчування, що характеризується оптимальним співвідношенням харчових речовин, називається збалансованим.

При виробництві нових харчових продуктів слід виходити із положення, що їхніми джерелами є продукти тваринного і рослинного походження, які умовно поділяють на кілька основних груп. Перша група включає молоко та молочні продукти (сир кисломолочний, сири тверді, кефір, йогурт, ацидофілін, вершки тощо); друга - м'ясо, птицю, яйця і виготовлені з них продукти; третя - хлібобулочні, макаронні і кондитерські вироби, крупи, цукор, картоплю; четверта - жири; п'ята - овочі, фрукти, ягоди; шоста - прянощі, чай, кава і какао.

У природі немає ідеальних харчових продуктів, що містили б комплекс усіх харчових речовин, необхідних людині (виняток - материнське молоко). При різноманітному харчуванні, тобто змішаною їжею, що складається з продуктів тваринного і рослинного походження, в організм людини зазвичай надходить цілком достатньо поживних речовин. Розмаїтість харчових продуктів у раціоні позитивно впливає па його харчову цінність, оскільки різні продукти доповнюють один одного певними компонентами. Крім того, різноманітне харчування сприяє кращому засвоєнню їжі.

Останнім часом у багатьох державах, зокрема в Україні, істотно погіршилася структура харчування населення. Так, порівняно з 1989 р. зменшилося споживання всіх основних груп продуктів, найбільш цінних у біологічному відношенні: м'яса і м'ясних продуктів, риби та морепродуктів, молока і молочних продуктів - у середньому на 25...28%, а рослинної олії, фруктів і ягід - ще більше. Результатом зазначених змін у харчуванні українців стає нестача в організмі життєво необхідних біологічно активних харчових речовин. Так, у 90% обстежуваних виявляється дефіцит вітаміну С, у 30...40% - недостатність вітамінів групи В, β-каротину, вітаміну Е. При цьому більшість населення одержує з їжею недостатню кількість кальцію, заліза, селену, йоду, фтору, клітковини та інших біорегуляторів процесів життєдіяльності.

Глобальне забруднення поверхневих вод і суходолу (в тому числі радіоактивне) призводить до забруднення харчових продуктів токсичними елементами, пестицидами, антибіотиками, радіонуклідами, що викликають ослаблення захисних сил організму й у першу чергу знижують антитоксичну функцію печінки, легень, нирок, шкіри тощо. Усі ці чинники фактичного харчування населення, а також сучасні досягнення науки про харчування, особливий розвиток біохімії і фізіології харчування, фармаконутріціологїї, розшифрування патогенетичних механізмів розвитку хвороб, вимагають перегляду й удосконалювання лікувального і профілактичного харчування і створення в Україні індустрії здорового харчування за прикладом передових країв близького та далекого зарубіжжя.

Ця проблема настільки важлива і серйозна, що має вирішуватись на державному рівні і стати пріоритетним завданням уряду України. Виконання цього завдання має забезпечити:

- виробництво в необхідних обсягах продовольчої сировини і харчових продуктів оздоровчого та профілактичного призначення,

- доступність оздоровчих продуктів для всіх верств населення;

- високу якість і безпеку харчових продуктів;

- навчання населення принципам раціонального, здорового харчування;

—    постійний контроль за станом харчування населення.

Аналіз структури харчування населення й оцінка ризику для здоров'я виявлених порушень харчового статусу стають можливими завдяки розробленню і широкому впровадженню в практику нових медичних та харчових технологій:

1) визначення потреб людини в харчових речовинах і енергії, пов'язана як із пошуком нових життєво важливих мінорних компонентів їжі, так і з уточненням меж потреб з урахуванням необхідності адаптації до підвищених хімічних, екологічних, емоційних та інших видів навантажень;

2) багаторівнева оцінка структури харчування і харчового статусу різних груп населення (така технологія дозволяє одержати об'єктивну картину). Не менш важливим є й те, що зазначені технології дозволяють оцінити ефективність профілактичних заходів.

Безумовно, у центрі уваги науки про харчування, а також практичної її реалізації є проблема оцінки і забезпечення якості і безпеки харчових продуктів. її роль особливо зростає при виробництві та споживанні оздоровчої продукції.

За останні роки у характеристиці якості (зокрема харчової цінності продуктів) дуже гостро постала нова і специфічна для України проблема - ідентифікація фальсифікованих продуктів і напоїв. Найчастіше фальсифікуються дорогі плодоовочеві соки, олії, вироби із шоколаду, мед і, звичайно ж, різноманітні алкогольні напої. Розроблення нових критеріїв і методів аналізу високим ступенем імовірності і надійності визначати Митний склад хімічно складних сумішей та визначати.

Наступний напрям, що сприятиме поліпшенню структури харчування населення - це використання високих технологій у харчовій промисловості і створення широкої гами натуральних продуктів модифікованого (заданого) хімічного складу. Вищим досягненням цього напряму, безумовно, варто вважати спеціалізовані продукти для дитячого харчування.

Найбільш ефективним і швидким шляхом поліпшення структури харчування населення, зокрема ліквідації дефіциту мікронутрієнтів, є широке застосування так званих біологічно активних добавок до їжі, що представляють собою концентрати природних мінорних компонентів їжі - таких, як вітаміни, мінеральні речовини і мікроелементи, окремі жирні кислоти, фосфоліпіди тощо. Застосування такого роду харчових БАД дозволяє ліквідувати дефіцит ессенціальних харчових речовин, підвищити неспецифічну резистентність організму до впливу несприятливих чинників навколишнього середовища, здійснити імунокорекцію, максимально індивідуалізувати харчування. Безумовно, БАДам до їжі належатиме провідна роль в аліментарній профілактиці багатьох хронічних захворювань. Прикладом ефективного профілактичного застосування таких добавок можуть служити БАД до їжі ліпідної природи - джерела поліненасичених жирних кислот (ПНЖК) і фосфоліпідів.

Отже, медична наука та сучасна харчова наука чітко пріоритети, покликані поліпшити структуру харчування населення, а отже, і здоров'я нації.

Необхідно констатувати, що наприкінці XX ст. неякісні продукти харчування стали основним джерелом надходження в організм людини радіонуклідів, пестицидів, солей і металів, нітратів та інших контамінантів.

За даними ВООЗ, 80...95% чужорідних для організму людини сполук надходять із неякісними продуктами харчування, 4…7% - з питною водою, 1…4% - з повітрям.

У зв’язку з цим аналіз харчових продуктів, виявлення потенційних ризиків, пов'язаних із їх забрудненням, має будуватись на суворо науковій основі та виконуватись людьми із спеціальною підготовкою.

У питаннях дотримання безпеки харчових продуктів необхідно враховувати також можливість небажаної взаємодії між інгредієнтами. Особливо це стосується продуктів нового покоління, модифікованих продуктів та продуктів біотехнології.

Відомо, що хімічний склад їжі справляє регулюючий вплив на системи живих організмів, що відповідають за всмоктування, транспорт, метаболізм та виведення лікарських сполук, що врешті-решт виражається у здатності їжі модифікувати фармакокінетику та фармакологічну активність ліків і реалізацію їхньої біологічної дії. З іншого боку, лікарські препарати можуть порушувати всмоктування та засвоєння харчових речовин, що негативно впливає на загальний стан хворих, подовжує термін захворювання. Це зумовлює необхідність у сучасних умовах досліджувати проблеми біохімічних механізмів сумісності компонентів харчових продуктів та лікарських сполук, установлення оптимальних режимів та структури харчування для реалізації найсприятливіших харчових ефектів лікарських сполук в організмі людини. Тому сьогодні технологія харчових виробництв як наука і практика має розвиватись у постійній взаємодії із останніми досягненнями медичних знань.

Таким чином, у сучасному розумінні харчова індустрія має стати складним комплексом таких основних складових:

взаємопов'язаних харчових виробництв основних напрямів, у тому числі білковмісних, жировмісних, вуглеводовмісних, функціональних продуктів та виробництв біологічно активних добавок до їжі;

міжгалузевих організацій (наукових організацій рослинництва, медицини; організацій із виробництва біологічно активних добавок до їжі; організацій з утилізації відходів; високотехнологічного машинобудівного і наукомісткого комплексів; трансформування, зберігання, реалізації і перероблення; фінансові організації). (Технологія оздоровчих харчових продуктів / Українець А. І., Сімахіна Г. О. - К.: НУХТ, 2009)

Розділ 2

2.1 Аналіз сучасного стану виробництва харчових волокон

Функціональне харчування має широкий і ґрунтовний спектри впливу порівняно з раціональним і передбачає використання продуктів природного походження такої структури і такого складу, які при постійному споживанні справляють певну регулювальну дію на організм людини в цілому та на його окремі системи, функції, органи.

Спектр таких продуктів надзвичайно різноманітний. Розглянемо можливості використання харчової клітковини. Це композиція складних, неперетравлюваних ферментами вуглеводів. Харчова клітковина буває двох типів - розчинна і нерозчинна. Обидва вони надзвичайно важливі для людини. До розчинної клітковини належать пектин, лігнін, камедь та слизові речовини. Пектин підвищує засвоюваність їжі, має високу комплексоутворюючу здатність до зв’язування важких металів, токсичних речовин і виведення їх з організму. Інші види розчинної клітковини корисні для функціонування ШКТ та знижують рівень загального холестерину в крові. Нерозчинна клітковина (протопектин, целюлоза, геміцелюлози) очищує ШКТ, бере участь у нормалізації його роботи, в процесах абсорбції води, сприяє збалансованому функціонуванню всіх систем організму, покращуючи їхній стан.

У Проблемній науково-дослідній лабораторії НУХТ на основі використання новітніх технологій - електроімпульсної, кріогенної, вакуум-екстракційної, хімічної та біохімічної модифікації рослинної сировини отримано широкий спектр харчової клітковини, збагаченої екстрактами лікарських трав. Проведено аналіз зв’язку між кількістю харчової клітковини в раціоні та серцево-судинними і шлунково-кишковими захворюваннями, з яких випливає, що існує чітка негативна кореляція цих захворювань із рівнем споживаної кількості клітковини. Рекомендована добова доза вживання харчової клітковини становить 25…40 г, та в Україні вона далеко не досягає цієї норми.

Встановлено також наявність побічних негативних ефектів використання харчової клітковини, очищеної від інших біологічно активних сполук (БАР). Істотне значення при цьому має порушення балансу мінеральних речовин і мікроелементів в організмі. В інгібуючому впливі деяких видів очищеної харчової клітковини, наприклад із пшеничних висівок, на всмоктування заліза та цинку переважну роль відіграє наявність у висівках фітату. Додавання до висівок аскорбінової кислоти (70…500 мг) істотно підвищує ефект всмоктування цих мінералів. Таким чином, при збагаченні дієти очищеною харчовою клітковиною слід враховувати, що тривале використання таких добавок веде до зниження біодоступності ряду мінеральних сполук і розбалансування засвоєння вітамінів, що вимагає додаткового введення їх до раціону.

Розроблені ПНДЛ НУХТ нові види харчової клітковини, збагачені високо вітамінними екстрактами з широким спектром мікро- та макрокомпонентів, позбавлені зазначених вище недоліків і можуть бути рекомендованими для постійного вживання.

Цікаву композицію на основі розчинної клітковини розробили науковці НВ ТОВ «Житомирбіопродукт». Це розчинна клітковина, збагачена мікроелементами - йодом, цинком, селеном. Новий функціональний продукт рекомендовано українським Інститутом екології людини до вживання для попередження виникнення різноманітних хвороб. Адже медики підтвердили ряд позитивних ефектів від споживання такого продукту. Його рекомендовано в оздоровчому та дієтичному харчуванні для профілактики або пом’якшення перебігу таких хвороб:

·        захворювань, які виникають при недостатній кількості йоду, цинку та селену в їжі та питній воді;

·        серцево-судинних захворювань (атеросклерозі, гіпертонії), зменшує ризик виникнення інсультів, інфарктів, варикозного розширення вен;

·        захворювань ШКТ (гастритах, виразковій хворобі шлунку, колітах, дисбактеріозі), гепатобілятної системи (дискінезіях жовчовивідних шляхів, холециститах, гепатитах), підшлункової залози (панкреатитах, цукровому діабеті);

·        захворювань шкіри, волосся, нігтів;

·        зниженому імунітеті;

·        метаболічному синдромі (гіпертонічній хворобі, цукровому діабеті, ожирінні);

·        залізодефіцитній анемії;

·        захворювань сечостатевої системи (простатитів, аденомі передміхурової залози, зниженні потенції);

·        очищенні організму від нітратів, радіонуклідів, солей важких металів;

·        недостатньому засвоєнні кальцію, що знижує імовірність виникнення остеопорозу, утворенню каміння у нирках і жовчному міхурі. Зменшує ризик виникнення нервових розладів, депресій, психозу, вегето-судинній дистонії, нормалізує обмін речовин. (Технологія оздоровчих харчових продуктів / Українець А. І., Сімахіна Г. О. - К.: НУХТ, 2009)

2.2 Хімічний склад, цінність харчових волокон виноградних вичавок

харчовий волокно виноградний пектин

Виноградні вичавки є вторинною сировиною виноробства харчової промисловості, вони утворюються в достатній кількості для організації виробництва пектину. Потрібно відзначити, що в світовому виробництві плодів найбільша частина належить винограду (70 млн. т.), друге місце належить цитрусовим (55 млн. т.), банани (40 млн. т.), яблука (36 млн. т.).

Склад і вихід вичавок залежить від способу перероблення винограду, його сортових особливостей і ступеню віджимання соку. Вихід вичавок при використанні пресів безперервної дії становить в середньому 13%, гідравлічних - 17% і гвинтових - 21%.

В середньому вичавки містять,%: шкірки - 37…39, м’якоті - 30…32, насіння - 28…29, гребенів з плодоніжками - 1,08…1,25, залишків лози - 0,2…0,25. (Производство пектина / Л.В. Донченко, Н.С. Карпович, Е.Г. Симхович и др. / Под ред. Н.С. Карповича. - Кишинев: Штиинца, 1993.)

Вихідна вологість вичавок залежить від якості останнього віджимання і коливається від 50 до 60%. (Технологія природних харчових сорбентів. Навчальний посібник / Л. О. Федоренченко, Г. О. Сімахіна. - К.: НУХТ, 2006)

Загальна кількість пектину в різних сортах винограду коливається від 1,05 до 3,25%.

Одне з перших в СРСР досліджень пектинових речовин належить О.Т.Хачідзе. Ним вивчено розподіл пектинових речовин в частинах грона і ягоди на прикладі двох технічних сортів винограду: Ркацителі і Сапераві (табл..1).

Табл. 1. Розподіл ПР в різних частинах грона і ягоди,% на суху масу

Сорт

Гребені

Шкірка ягоди

М'якоть

Сік, г/л

Насіння

Ркацителі

3,9

4,4

0,5

1,41

1,9

Сапераві

2,9

3,5

0,4

1,38

2,0


Із таблиці видно, що найбільший вміст ПР спостерігається в шкірці ягід, при цьому співвідношення протопектину і загального вмісту ПР (ПП/ПР) становить в середньому 56,1…62,5%. Таким чином, виноградні вичавки являються промислово важливою сировиною для пектинового виробництва. (Производство пектина / Л.В. Донченко, Н.С. Карпович, Е.Г. Симхович и др. / Под ред. Н.С. Карповича. - Кишинев: Штиинца, 1993.)

Дослідження якісного і кількісного хімічного складу шкірки винограду показали, що в ній міститься,%: полісахаридів - 40,8…44,7, лігніну - 5,1…36,5, золи - 2,6…2,7 і азотистих речовин - 2,6…2,7. до складу фракції, що легко гідролізується, входять залишки галактуронової кислоти, галактози, глюкози, арабінози, манози, ксилози і невелика кількість неідентифікованих цукрів. До складу фракції, що важко гідролізується, входять галактуронова кислота, глюкоза, маноза і ксилози. Вміст нейтральних моноцукрів, що формують геміцелюлози, коливається у межах 13…17%.

Встановлено, що у м’якоті і насінні винограду до складу всіх фракцій полісахаридів, що важко гідролізуються, входять ті самі моноцукри, що й до складу аналогічних полісахаридів шкірки, але кількісні співвідношення структурних елементів ягоди винограду різних сортів дуже різняться.

Середній вміст компонентів харчових волокон у побічних продуктах винограду наведено у табл.. 2. З даних таблиці видно, що серед компонентів ХВ переважають лігнін і целюлоза. Л.Ф.Щелкунов виділяв ХВ виноградних вичавок та інших побічних продуктів різними способами (табл.. 3). У всіх випадках вихід ХВ становив 74…78% і досягався через 20-25 хвилин після нагрівання сировини.

Дані таблиць свідчать про високий вміст ХВ у цій сировині, а також про те, що серед складових цих волокон переважають лігнін і целюлоза. Тому ХВ виноградних вичавок дуже ефективні як сорбенти. (Технологія природних харчових сорбентів. Навчальний посібник / Л. О. Федоренченко, Г. О. Сімахіна. - К.: НУХТ, 2006)

Табл. 2. Хімічний склад побічних продуктів перероблення винограду.

Компонент

Вміст компонентів у побічних продуктах винограду,%


Виноградні вичавки

Макуха насіння винограду

Виноградна лоза

Целюлоза

22,3

17,1

28,3

Геміцелюлози

12,9

12,7

24,8

Пектинові речовини

0,7

0,5

2,7

Лігнін

35,4

38,3

30,2

«Сирий» протеїн

18,8

15,4

8,3

«Сирий» жир

1,4

6,8

1,1

Дубильні речовини

1,8

5,2

0,8

Мінеральні речовини

3,1

3,2

2,4


Табл.. 3. Хімічний склад ХВ виноградних вичавок

Компонент

Вміст компонентів ХВ,% виділених під час оброблення


водою

кислотою

кислотою і лугом

сульфітним методом

Целюлоза

26,2

26,7

26,4

24,9

Геміцелюлози

9,0

5,8

4,4

5,0

Пектинові речовини

0,5

0,3

0,2

0,4

Лігнін

38,7

38,0

39,3

38,7

Загальний азот

2,3

1,7

1,3

2,0


Професор Кубанського державного аграрного університету Донченко Л.В. проводив дослідження вмісту ПР у виноградних вичавках кальцій-пектатним методом. Об’єктами дослідження були вибрані білі і червоні технічні сорти і клони винограду: червоні сорти - Гранатовий, Олежковський, Підлісний, Каберне АЗОС, 40-річчя Перемоги, Левокумський, Олімпійський, Каберне-Совіньйон (контроль); білі сорти - Первісток Магарача, Віоріка, Борнемісса Гергеле-14, Рислінг Алькадр 34, Цитринний Магарача, Аліготе (контроль). Дослідження проводились в СКЗНИИСиВ и НИИ "Биотехпереработка" КубГАУ. За результатами проведених досліджень (Рис. 1), загальний вміст ПР у вичавках винограду високий і коливається від 5,40% до 6,39% в червоних сортах і від 6,38% до 8,32% в білих сортах винограду к маси сухих речовин.

В групі червоних сортів вміст протопектину змінюється в межах 3,5...4,8% у варіантів Каберне АЗОС и 40-річчя Перемоги відповідно. Крім того, протопектин кількісно перевищує над водорозчинним пектином. Таке співвідношення фракцій спостерігається у всіх вивчених сортах. Вміст розчинного пектину коливається від 1,2% у сорті Гранатовий до 1,9% у сорті Каберне АЗОС. Відповідно, максимальний вміст загального пектину відзначено у сорті 40-річчя Перемоги, мінімальний - у сортах Гранатовий, Підлісний, Олімпійський и Каберне АЗОС.

За загальним вмістом ПР (Рис. 2) з білих сортів можна виділити всі, окрім, Первістка Магарача, у якого цей показник трішки менший, ніж у всіх інших варіантах. Кількість водорозчинних фракцій, як і у червоних сортів, була меншою в порівнянні з ПП.

Відсоткове співвідношення ПП від загальної кількості ПР (ПП/ПР) становить 65,5…80,2% (рис. 3). У сортів Каберне-Совіньйон, Підлісний, Каберне АЗОС, Олімпійський співвідношення ПП/ПР дещо нижче в порівнянні з іншими сортами і становить 65…68%. Всі інші сорти відрізнялись більш високим співвідношенням ПП/ПР.

Проводячи аналіз одержаних результатів, можна відмітити, що досліджувані технічні сорти винограду накопичують неоднакову кількість ПР і їх окремих фракцій.

Таким чином, для технологічної оцінки будь-якої рослинної сировини як промислового джерела пектину потрібно керуватися такими критеріями: відносно високий вміст ПР в сировині, стабільна сировинна база, показники якості виділеного пектину в співвідношенні з вимогами харчової і медичної промисловості.

З урахуванням цих критеріїв виноградні вичавки являються перспективним промисловим джерелом ПР. (Влащик, Л. Г. Разработка технологии пектинопродуктов с высокими качественными показателями: дис.…канд. техн. наук / Л. Г. Влащик; КубГТУ. - Краснодар, 2003)

Рис. 1 - Фракційний склад ПР червоних сортів винограду

Рис. 2 - Фракційний склад ПР білих сортів винограду

Рис. 3 - Вплив сортів винограду на співвідношення ПП/ПР

2.3 Технологія отримання харчових волокон з виноградних вичавок

На рис. 3 наведено принципову технологічну схему виділення харчових волокон з виноградних вичавок.

Вибір методів виділення харчових волокон визначається їхнім вмістом, щільністю упакування біополімерів клітинних стінок. Відомі методи виділення ХВ ґрунтуються або на видаленні з подрібненої рослинної тканини низькомолекулярних речовин (моносахаридів, глікозидів, алкалоїдів, мінеральних сполук), або на гідролізі та екстрагуванні супутнього крохмалю.

Залежно від виду сировини, що переробляється екстрагування проводять:

·      водою під час нагрівання (так виділяють ХВ з вичавок і витерок цілого ряду овочів, фруктів, винограду, бурякового жому);

·        розбавленими розчинами мінеральних кислот: сірчаної, хлоридної, фосфорної (так виділяють ХВ із вторинних продуктів перероблення зернових);

·        лугами (так виділяють ХВ з висівок, мучиці, відходів перероблення овочів);

·        солями сірчаної кислоти, пероксидами, детергентами (зі стебел злаків, плівки оболонки зерна, трави, деревини);

·        обробленням амілолітичними (з крохмалевмісної сировини) чи протеолітичними ферментами (з білоквмісної сировини). (Технологія природних харчових сорбентів. Навчальний посібник / Л. О. Федоренченко, Г. О. Сімахіна. - К.: НУХТ, 2006.)

Гідроліз-екстрагування ПР із виноградних вичавок здійснюється 0,37%-вим водним розчином соляної кислоти при рН середовища 1,1; гідромодулі 1:5, температурі 70ºС на протязі 4 годин. Виноградний пектин виділяють із екстракту осадженням етиловим спиртом з наступною спиртовою очисткою. Вихід пектину в залежності від умов виділення коливається від 4,15 до 7,0%. Суттєвий вплив на фізико-хімічні властивості виноградного пектину здійснюють, як і на інші види пектину, ґрунтовно-кліматичні умови і зона вирощування. Так, наприклад, чистота зразків пектину із сортів винограду, вирощених в Азербайджані, становить 88,0…97,5%, а в сортах із Криму - 75,0…85,7%, а в сортах із Молдови 48…80,1%. Зольність виноградного пектину не висока і становить в залежності від району 0,7…1,6%, 2,5…4,6% і 2,2…5,6% відповідно.

Однак, екстрагування пектину соляною кислотою призводить до зниження виходу ПР із виноградних вичавок. При гідролізі-екстрагуванні пектину 0,5%-вою щавлевою кислотою вихід його збільшується на 0,9…1,1%.

Нагрівання при температурах понад 100ºС з розбавленими розчинами кислот призводить до деструкції крохмалю і часткового гідролізу полісахаридів геміцелюлоз. При відмиванні видаляються низькомолекулярні речовини, зокрема екологічно шкідливі. Виділені ХВ порівняно з вихідною сировиною мають збільшену поверхню, підвищену сорбційну здатність і достатній ступінь чистоти.

За умови використання детергентів (поверхнево-активних речовин) слід дотримуватися таких правил: використовувати їх у невеликих кількостях і при низьких температурах, тому що у жорсткіших умовах молекули ХВ розпадаються.

У разі використання ферментативних методів виділення ХВ найменше деструктуруються. Для виділення ХВ використовують α-амілази, глюкоамілази, амілоглюкозидази та їхні ферменти у кількостях 0,4…1,0 мг/л. (Технологія природних харчових сорбентів. Навчальний посібник / Л. О. Федоренченко, Г. О. Сімахіна. - К.: НУХТ, 2006.)

Порівняльна характеристика пектину із різних видів рослин показала, що драглетвірна здатність бавовняного і виноградного пектинів вище, ніж яблучного і мандаринового (табл.. 4).

Табл.. 4. Порівняльна характеристика різних видів пектину

Вид пектину

Полігалактуронова кислота,%

Зольність,%

Ступінь етерифікації,%

Міцність 1%-го стандартного драгля, кПа

Виноградний

80,2

1,4

65,8

82,8

Бавовняний

80,0

1,3

38,5

91,5

Яблучний

56,2

0,8

51,0

18,2

Мандариновий

45,7

0,9

55,0

20,2


Із таблиці видно, що якісні показники виноградного пектину відповідають вимогам харчової промисловості. З цього можна зробити висновок, що виноградні вичавки є перспективною пектиновмісною сировиною. (Производство пектина / Л.В. Донченко, Н.С. Карпович, Е.Г. Симхович и др. / Под ред. Н.С. Карповича. - Кишинев: Штиинца, 1993.)

Рис 4. Принципова технологічна схема отримання харчових волокон з виноградних вичавок

.4 Вплив вмісту пектинових речовин винограду на його зберігання

Підтримання і покращення якості зібраного урожаю стає все більш актуальним і важливим завданням. Потреби ринку в наявності свіжих фруктів і овочів відмінної якості постійно зростає. Проблема збалансованого харчування людини сьогодні найбільш актуальна. Увагу потрібно приділяти зберіганню вітамінів та інших БАР в плодах і продуктах переробки, а також при довгостроковому їх зберіганні.

Виноград - дієтичний продукт, його вживають при виснаженні нервової системи, перевтомі, авітамінозі. В залежності від сорту 1 кг ягід винограду при правильному зберіганні може містити 150-250 и більше грамів цукру у вигляді глюкози та фруктози, від 0,5 до 1,4% органічних кислот (винної, яблучної та ін.); вітаміни А (каротин), В2 (рибофлавін), С (аскорбінова кислота), адермін і Р (цитрин), мінеральні речовини 0,3…1,5% (фосфору, калію, заліза, кальцію та ін.), білкових речовин від 0,1 до 0,9% пектинів 0,3…1,0% і більше. Зупинимось більш детально на вмістові пектину в ягодах винограду і його впливові на якість збереженої продукції. Пектин - це склеюючи речовина рослинного походження. Як речовина, пектин був відкритий більше 200 років назад. Найцінніша його властивість - здатність очищати живі організми від шкідливих речовин.

До важливих компонентів хімічного складу винограду потрібно віднести пектинові речовини. Вони являються справжніми полісахаридами, але на відміну від крохмалю, клітковини та ін. полісахаридів, до їх складу входять не цукри, а залишки галактуронової кислоти, котра являє собою продукт окислення глюкози.

Основним видом ПР у винограді є протопектин, але по мірі дозрівання винограду він під дією ферменту протопектинази переходить у розчинний у воді пектин. У процесі дозрівання протопектин розкладається і ягоди стають м’якшими. Кількість ПР збільшується від початку дозрівання до перезрівання. В сокові спілого винограду міститься невелика кількість пектину (до 3 г/дм3).

При зберіганні винограду продовжуються процеси гідролітичного розпаду складних ПР до більш простих сполук, які потім використовуються як енергетичний матеріал для дихання ягід. У зв’язку з цим загальна кількість пектинів у процесі зберігання винограду знижується.

На протязі декількох років у Всеросійському науково-дослідному інституті ім.. Я.І.Потапенко проводились досліди хімічного складу, в тому числі і ПР в ягодах столових сортів винограду, які закладались на довготривале зберігання.

Мета дослідів - показати взаємозв’язок між вмістом ПР в ягодах винограду і якості продукції. Для вивчення були взяті сорти і форми винограду для довготривалого зберігання у свіжому вигляді - Кишмиш новочеркаський, Стойбен, Альден, Вену, Ейнсет сідлі, Лідія, IV-7-2-6 в порівнянні з уже добре зарекомендованим у зберіганні сортом Молдова.

Для характеристики сорту з точки зору його лежкості, важливо мати уяву про активність ферментів, каталізуючих гідроліз речовин пектинового комплексу. Для технологічних властивостей - транспортування і лежкоздатності - необхідно знати, яку частину від загального вмісту ПР складає протопектин. Чим інтенсивніше переміщуються ПР із твердих частин м’якоті і шкірки в сік, тим слабша лежкість винограду: у найменш лежкого сорту Лідія ягоди до кінця досліду злегка зів’яли, а це завжди супроводжується інтенсивним переходом протопектину в розчинну форму (Табл..5). При перезріванні винограду під дією ферменту пектин естерази розчинний пектин гідролізується до вільної пектинової (полігалактуронової) кислоти і метилового спирту, який викликає потемніння ягід. Вміст пектину в ягодах винограду після збирання в кінці вересня коливається від 3,16 г/дм3 - сорт Молдова до 1,21 г/дм3- сорт Лідія, середній вміст його відмічено в межах 2 г/дм3. Виноград зберігався при температурі 0-1°С і відносній вологості повітря біля 85% на протязі трьох місяців в холодильній камері інституту, після чого були зроблені повторні аналізи і виноград переданий на дегустацію.

Як видно із табл. 5 і рис. 5 і 6, за час зберігання вміст ПР в ягодах винограду змінився.

Найбільше зменшення пектинів спостерігалось у сортів Молдова і Альден (0,4 и 0,8 г/дм3), але їх вміст у порівнянні з іншими сортами, залишився високим - 2,78 и 2,03 г/дм3 відповідно. Сорти Кишмиш новочеркаський, Ейнсет сідліс і Лідія мали найнижчий вміст ПР на початку, і не дивлячись на незначні втрати під час зберігання - від 0,12 до 0,2 г/дм3, вони мали найменший показник.

Низькі дегустаційні оцінки були у сортів Кишмиш новочеркаський, Ейнсет сіндліс і Лідія (див. табл.. 5.). В них спостерігалось всихання гребенів, сильне пом’якшення консистенції м’якоті, злегка уварений тон за смаком.

Очевидно, що на якість і смак винограду впливає велика кількість компонентів, але роль пектинів беззаперечна.

Отже, існує пряма залежність між вмістом ПР в ягодах і виходом товарного винограду після зберігання. Підвищений вміст ПР - одна із ознак хорошої лежкості винограду.

Табл. 5. Вплив вмісту ПР на якість зберігання продукції

Сорт

Пектинові речовини, г/дм3

Вихід товарного винограду,%

 Дегустаційна оцінка після зберігання, бал


До зберігання

Після зберігання

Зменшення



Молдова

3,16

2,76

0,4

95,8

7,5

Альден

2,83

2,03

0,8

95,5

7,4

Венус

2,54

0,11

93,4

7,6

Стойбен

2,15

2,0

0,15

94,1

7,4

IV-7-5-2

2,0

1,69

0,31

92,4

7,5

Кишмиш новочеркаський

1,55

1,43

0,12

89,7

6.4

Ейнсет сідліс

1,81

1,64

0,17

88,2

6,4

Лідія

1,21

1,01

0,2

85,4

5,4


 

Рис. 5. Вміст ПР у винограді до і після зберігання

Рис. 6. Вихід товарного винограду

.5 Використання пектину у харчовій промисловості

В харчовій промисловості використовуються основні властивості пектину - утворювати драглі та збагачувати продукти й напої пектиновими добавками, що мають лікувально-профілактичне призначення. Пектин застосовується для виготовлення кондитерських виробів пастило-мармеладної групи (зефір, желейний мармелад) і цукерок (желейні та фруктово-желейні), які користуються великим попитом населення. На відміну від інших драгле утворювачів ПР утворюють драглі у водних розчинах тільки в присутності цукру й кислоти. Кількість цукру, необхідного для драгле утворення, змінюється залежно від кількості та фізико-хімічних властивостей пектину, який є основним матеріалом для побудови скелета драглів. Міцні драглі можна одержати в присутності слабких кислот, таких як винна, лимонна при рН 3…3,2.

Маси для желейного мармеладу готують і процесі варіння пектино-цукрового розчину, потім за рецептурою додають патоку, харчові кислоти, фруктово-ягідні добавки, ароматичні речовини та натуральні барвники. Добавка патоки (до 50% до маси цукру)попереджує помутніння желейного мармеладу в результаті оцукрювання.

Втрати пектину на виробництво желейних заготовок можна скоротити на 10…15%, якщо використати тонко дисперсний пектин із розмірами частинок 50…150 мкм. Такий пектин можна одержати подрібненням його на дезінтеграторі.

Важливим технологічним аспектом проведення процесу драглеутворення є добавки буферної солі й кислоти, за допомогою яких регулюється значення рН і тим самим оптимізується інверсія цукру в процесі варіння. Рекомендоване значення рН у межах 3,0…3,2 у кінцевому продукті регулюється відповідною дозою кислоти. Важливими операціями у процесі варіння маси є правильний вибір типу пектину, його доза, підготовка пектинових розчинів, порядок технологічних операцій, контроль рН і сухі речовини (СР).

Для виробництва желейних кондитерських виробів різного асортименту витрати пектину коливаються від 1 кг цитрусового до 26 кг бурякового на 1 тону готової продукції.

Мармелад желейний на пектині виробляють уварювання водного розчину пектину з цукром з добавленням кислоти, фруктово-ягідного пюре, соків, патоки, водного розчину хлористого кальцію (у разі використання бурякового пектину, ароматизуючи і барвних речовин).

Для утворення достатньо міцних драглів желейного мармеладу в рецептуру повинні входити,%: пектин - 1,0…1,5, цукор - 50…65 та патока - 20…25 як антикристалізатор і згущувач.

Виробництво мармеладу складається з таких операцій: підготовка сировини; уварювання пектино-цукрового сиропу; обробка пектину цукрового сиропу; обробка пектино-цукрового сиропу; розлив желейної маси; формування драгле утворення мармеладу і виймання із форм; вистоювання мармеладу; обсипання його цукром-піском; сушіння й охолодження; укладання і пакування.

Приготування фруктово-желейних мас для цукерок на пектині проводять із використанням яблучного, абрикосового, виноградного та інших пюре, які мають слабку здатність утворювати желе, або фруктово-ягідних підварок.

Технологія зефіру на пектині включає такі операції: приготування пюре, збагаченого пектином; збивання пектинової суміші з цукром-піском і білком; приготування цукрово-патокового сиропу; змішування фруктово-цукрової маси з гарячим цукрово-патоковим сиропом з додаванням у кінці перемішування кислоти, ароматичних і смакових речовин; вистоювання; опудрювання, укладання і пакування.

На московській кондитерській фабриці «ударник» розроблено і впроваджено у виробництво принципово нову технологію зефіру, яка дає можливість одержати зефірну масу з високим вмістом СР і виключити процеси сушіння і вистоювання. В результаті технологічний цикл виготовлення зефіру скорочується до 60…70 хв. проти 10…24 год. за традиційною класичною технологією.

Донченко Л.В. разом із співробітниками розробили нову технологію зефірної маси, яка передбачає використання як стабілізатора піноподібної структури яблучного пектинового концентрованого екстракту з вмістом пектину 2,5…3%

У консервній промисловості пектин застосовують у виробництві желейних продуктів (желе, конфітюри, джеми, повидла), а також у виробництві продуктів лікувально-профілактичного призначення (пюре, киселі, соки, різні напої, овочеві та м'ясні консерви).

Для одержання продуктів із желейною структурою важливими технологічними факторами, від яких залежить драгле утворення і структурно-механічні властивості одержуваних виробів, є тип пектину, його дозування, вид фруктів, вміст СР у продукті, вміст кальцію в плодах і воді, рН, температура і тривалість наповнення.

Витрати пектину залежать від необхідної консистенції продукту. У консервовані джеми, конфітюри, желе, тобто в м’які драглі з вмістом 65…70% СР, пектин додають і кількості 0,2…0,4% до маси готового продукту.

Консервовану продукцію з пектином варять у вакуум-апаратах безперервної дії, тому що варіння під вакуумом дає можливість зберегти аромат і смак продукту, БАР, знизити деструкцію молекул пектину, що зменшує його витрати на 5…10%. Крім того, полегшується проникнення цукру в середину плодів, а це покращує їх зовнішній вигляд. Леткі ароматичні сполуки рекомендується вловлювати і повертати в готовий продукт.

Для підвищення якості хлібобулочних виробів у всіх країнах світу застосовують різні види поліпшувачів, що впливають на компоненти тіста і забезпечують одержання високоякісної продукції. Як поліпшувачі широко застосовуються поверхнево активні речовини, що дають змогу інтенсифікувати процес виробництва хліба, покращити якість хлібобулочних виробів і зберегти їх свіжість.

У хлібопекарській промисловості нині все більше застосовують такі аніоноактивні речовини, як пектин і його похідні. При цьому ПР повинні надавати хлібобулочним виробам такі властивості, як в’язкість, здатність до набухання та утворювати гель, регулювати кристалоутворення, підвищувати водопоглинальну та емульгувальну властивості пектину. Добавка пектину в тісто впливає на біологічні, колоїдні ті мікробіологічні процеси виготовлення хлібобулочних виробів. З внесенням у тісто пектинів підвищується його початкова кислотність, знижується рН. Процес бродіння в тісті проходить активніше. Крім того, вміст пектину в готовому хлібі зменшується порівняно з початковою кількістю внесеного пектину в тісто. Це пояснюється тим, що у процесі бродіння тіста проходить дезагрегація біополімеру, яка супроводжується утворенням моноцукри дів, що сприяють процесу бродіння.

При виготовленні хліба традиційним способом з добавкою 0,1 - 0,5% пектину до маси муки якість готових виробів покращується за такими показниками, як об'ємний вихід, пористість і еластичність м’якушки, формостійкість.

Пектин позитивно впливає на збереження свіжості готових хлібобулочних виробів. З внесення пектину і пектинового екстракту в тісто термін зберігання свіжості хліба збільшується на 24 год. А головне те, що добавка пектину в хлібобулочні вироби не тільки покращує якість готових продуктів, але й надає їм лікувально-профілактичних властивостей.

Вчені НУХТ розробили рецептуру й технологію нового сорту хліба, куди входить борошно, дріжджі, цукор, рослинна олія і 2% бурякового пектину. Вживаючи 300 г на добу такого хліба, людина одержує 4 г пектину - добову профілактичну дозу.

Водо- і комплексоутримувальна здатність та емульгувальна властивість ПР зумовлюють їх широке застосування у виробництві молочних, м'ясних і рибних продуктів.

ПР використовуються також як стабілізатори у виробництві йогуртів, майонезу, маргарину, вершкового масла та інших продуктів, а також у виробництві молочних напоїв з метою стабілізації і підвищення їх біологічної цінності. Фахівцями науково-виробничої асоціації «Пектин» розроблено нові види й технологію молочних пектиновмісних продуктів на основі згущеного молока, пахти і молочної сироватки.

Використання молочної сировини - незбираного і знежиреного молока, пахти і сироватки - разом з пектиновими концентратами дає змогу не тільки раціонально використати всі складові частини молока, але й одержати біологічно повноцінні пектиновмісні молочні продукти з відмінними органолептичними показниками, що дає повну можливість вирішити проблему розширення асортименту продуктів на молочній основі.

Ефективність блокування проникнення радіонуклідів в організм і декорпорація пектиновими речовинами зумовили їх застосування у виробництві ковбасних виробів.

Добавлення пектину в ковбасні вироби не тільки підвищує їх біологічну цінність, але і покращує якісні показники. Крім того, в ковбасних виробах із пектином різко знижується кількість сторонніх мікроорганізмів.

Не менш ефективним є застосування пектину у виробництві рибних продуктів. Добавлення пектину в концентрації 0,5...0,9% не тільки покращує якісні показники рибного суфле, але і підвищує його біологічну цінність. (Домарецький В.А., Остапчук М.В., Українець А.І. Технологія харчових продуктів: Підручник / За ред.. д-ра техн.. наук, проф. А.І.Українця. - К.: НУХТ, 2003.)

Розділ 3

3.1 Використання інноваційних технологій у виробництві харчових волокон

Результати впливу людини на природу за останні 100 років за своєю інтенсивністю і багатоманітністю перевищили результати такого впливу за тисячоліття колишньої історії. Починаючи з 50-х років ХХ століття однією із найважливіших проблем існування людини стало завдання зниження забрудненості середовища її проживання та її організму екологічно шкідливими сполуками.

Забруднення довкілля та внутрішнього середовища людини різноманітні. Один із видів забруднень - радіаційні та радіоактивні викиди в атмосферу. Радіаційне забруднення викликається дією іонізуючих випромінень, а радіоактивне - пов’язано з перевищенням природного рівня вмісту радіоактивних сполук у середовищі.

Число екологічно шкідливих сполук, що насичують атмосферу, водні ресурси, ґрунти, харчові продукти постійно збільшуються, а масштаби їх використання зростають. Тому надзвичайно актуальним є вирішення проблем зниження впливу таких сполук на організм людини.

З цієї точки зору особливої уваги заслуговують нові технології виробництва екологічно чистої їжі та вдосконалення технологій її отримання. Одним із компонентів такої їжі є харчові волокна рослинного походження. Численні результати вивчення їх біологічної дії свідчать про те, що ХВ в організмі людини діють як ентеросорбенти, що покращують діяльність ШКТ, знижують надходження до внутрішнього середовища організму різноманітних ксенобіотиків і виявляють широкий спектр профілактичного та оздоровчого впливу, в тому числі радіопротекторного.

Науковці передових зарубіжних країн та України проводять високо масштабні дослідження із розроблення нових способів вилучення ХВ як із традиційної, так і не традиційної для харчової промисловості сировини (вичавки плодово-ягідної сировини, морепродукти, шроти олійних культур тощо) і постійно розширюють сфери їх використання при виробництві оздоровчих харчових продуктів.

ХВ рослин є потужним та ефективним засобом очищення організму людини від радіонуклідів, важких металів, продуктів метаболізму та інших ксенобіотиків.

Разом з тим тривалість використання ХВ як ентеросорбента досить обмежена (менше 1 місяця), оскільки не маючи селективної здатності до поглинання лише шкідливих сполук, компоненти клітковини з однаковою силою поглинають і необхідні організмові людини мінеральні елементи, призводячи до його де мінералізації і завдаючи йому непоправної шкоди.

Реальним варіантом розв’язання цієї суперечності є розроблення нових видів ХВ, збагаченої комплексом БАР, в тому числі мінеральних елементів, що дають можливість поповнювати організм людини необхідними компонентами, навіть якщо частка їх сорбуватиметься компонентами ХВ.

Такий інноваційний прийом дозволяє максимально використати сорбційну властивості клітковини без небажаних побічних ефектів.

Поєднання в одній композиції ХВ злакових і насіннєвих культур, а також плодів та овочів забезпечує отримання готових продуктів з достатнім вмістом ПР, геміцелюлози, лігніну та широкого спектру БАР плодів, ягід і овочів.

Світовий та вітчизняний досвід показує, що максимального збереження БАР рослинних матеріалів при отриманні готових біодобавок вдається досягти лише за умови низькотемпературного зневоднення вихідних матеріалів. В якості холодоагентів можуть служити рідкий азот, двоокис вуглецю та інші сполуки.

Для підвищення біозасвоюваності компонентів створених композицій ХВ : БАР плодоовочевих культур рекомендовано використовувати їх подрібнення в апаратах спеціальної конструкції - дезінтеграторах-активаторах, завдяки особливостям будови яких удається при подрібненні досягти подвійного ефекту - диспергування до розміру часток 40…80 мкм та активування, що проявляється у значному зростанні ефекту біодоступності та засвоюваності компонентів отриманих композицій.

Метою досліджень стало з'ясування можливостей цілеспрямованої зміни хімічного складу ХВ в напрямі збільшення водорозчинної частки складових: моноцукрів та легкогідролізованих полісахаридів.

Для досягнення цієї мети використано дезінтегроване обладнання, яке дає можливість реалізувати механічні та хімічні методи оброблення сировини і отримати продукт із заздалегідь передбаченими властивостями, необхідною дисперсністю ті структурою.

Механохімія вивчає зміни фізичних та хімічних властивостей речовини, що відбуваються при дії на них механічних сил у процесах подрібнення, пресування, ультразвукового та кріогенного оброблення тощо.

Використання методів механохімії дає можливість цілеспрямовано впливати на структуру та хімічний склад будь-яких рослинних матеріалів, що експериментально доведено при дезінтеграторному диспергуванні композицій ХВ.

Диспергування твердих тіл і їх активування є складним процесом, який включає багато взаємопов’язаних і взаємозалежних явищ. Він активно досліджується і широко обговорюється в сучасній науковій літературі, проте особливого значення для подрібнення рослинних матеріалів досі не набув.

Для досягнення вищого ступеня деструкції полімерів з більшим виходом легко гідролізованих сполук необхідно використовувати досить інтенсивні механічні впливи (вібраційні, імпульсні тощо).

Результати досліджень свідчать про високу ефективність використання в інноваційних технологіях отримання нового покоління харчових продуктів дезінтеграторів-активаторів.

Конструктивні особливості дезінтегратора полягають у тому, що на шляху від центру роторів до їх периферії частки оброблюваного матеріалу протягом тисячних часток секунди багатократно піддаються прискоренню і гальмуванню, що дає можливість говорити про імпульсний режим оброблення матеріалів, їх високодисперсного подрібнення та механоактивування. (Г.О. Сімахіна, А.І. Українець. Інноваційні технології та продукти. Оздоровче харчування: Навчальний посібник. - К: НУХТ, 2010.)

3.2 Біологічна цінність харчових волокон, лікувально-профілактичні продукти на основі пектину

Згідно з новою розробленою теорією адекватного харчування, баластні речовини (ХВ) є еволюційно важливим компонентом харчових продуктів, необхідним для нормального функціонування ШКТ.

Найбільшим класом у складі ХВ є полісахариди. Їх можна розділити на не перетравлювані та перетравлювані. До першого відносять харчову (дієтичну) клітковину (ХК), єдиним не полісахаридним компонентом якої є лігнін. До другого відносять крохмаль, пектин і, меншою мірою, глікоген м’яса і печінки.

ХК - це речовини, які формують стінки клітин рослин. До їх складу входять целюлоза, геміцелюлози, лігнін, протопектин, камеді тощо.

Целюлоза складає в ХК приблизно 1/3. її вміст в рослинній їжі близько 1%, але вона значною мірою структурує їжу. Целюлоза практично не перетравлюється в кишечнику. Її засвоюваність залежить від походження, вмісту в харчовому раціоні, характеру попереднього оброблення і складає 6…23%.

Целюлоза в харчо травному тракті людини стимулює діяльність кишечнику, посилює його перистальтику, нормалізує діяльність мікрофлори, сорбує стерини, допомагає видаленню шкідливого холестерину.

Полісахариди геміцелюлоз формують різні рослинні організми: злакові і дерев’янисті рослини, овочі, фрукти, ягоди і трави. Вони утворюють стінки клітин мікроорганізмів; їх вміст залежно від виду сировини, може досягати 38…39% (плівки вівса, кукурудзяні стержні), 18…19% (деревина ялини).

Геміцелюлози відіграють важливу роль в харчуванні людини. Вони на 69…95% перетравлюються в стравоході і кишечнику, є джерелом енергії, впливають на ліпідний обмін, грають роль ентеросорбентів, знижують вміст холестерину, сорбують шкідливу мікрофлору і солі важких металів. В світовій практиці маннани і галактани використовують в якості харчових добавок.

ПР - це похідні полігалактуронової кислоти. Вони входять до складу стінок клітин і міжклітинних утворень. В клітинах пектинові речовини асоційовані з целюлозою, геміцелюлозами і лігніном.

Лігнін - це високомолекулярна сполука ароматичної природи нерегулярної будови. Він побудований з частково метильованих похідних фенілпропану, який містить різну кількість гідроксильних, карбонільних і фенольних груп і формує значну частину ХК. Вміст лігніну в сировині визначається ботанічною приналежністю рослин.

Камедь, гумі, слизи, рослинний клей і полісахаридні ізоляти майже не відрізняються за своєю структурою, виключаючи процеси утворення пластівці і гранул.

ХК - це складний комплекс біополімерів (полісахариди, лігнін) лінійної та розгалуженої структури зі значною молекулярною масою. Присутність первинних і вторинних гідроксильних груп (целюлози, ГМЦ), фенольних (лігнін), карбоксильних (ГМЦ, ПР), зумовлює міжмолекулярну взаємодію (водневі зв’язки) різної густини, здатність сорбувати воду та інші полярні молекули й іони. Тому для ХК характерна водоутримуюча здатність, іонообмінні та інші особливості. ХК взаємодіє з білками, ферментами, гормонами, продуктами розкладу вуглеводів, пептидами, жирними та іншими кислотами в процесі травлення в ШКТ людини.

Іонообмінні властивості ХВ. Наявність в ХК карбоксильних груп, геміцелюлоз і ПР, карбоксильних і змінних груп білка, фенольних гідроксилів лігніну і визначають їх здатність зв’язувати в більшій мірі катіони, а в меншій мірі аніони, впливаючи тим самим на мінеральний обмін в ШКТ. Під їхньою дією змінюється всмоктування таких металів як кальцій, цинк, залізо, мідь, а також полярних органічних речовин: фенол, карбамід.

На процес зв’язування значно вливає розмір частинок сировини, значення рН середовища, температура, час контакту. Катіонообмінна здатність ХК овочів коливається в діапазоні 1,0…2,4 мкг/г.

Сорбційна здатність ХВ. Результати оцінки сорбційних властивостей ХК, яка була виділена з різних видів рослинної сировини, показали її здатність зв’язувати іони свинцю, кадмію і інших важких металів, а також нітрати і нітрити.

Основним сорбуючим компонентом ХК є лігнін. Комплекс геміцелюлози з целюлозою теж має хороший сорбційний ефект.

Узагальнена оцінка сорбційної здатності ХК за метиленовою синню показала, що за кількість сорбованої речовини ХК рослин еквівалентна активованому вугіллю. Враховуючи, що сорбція метиленової сині корелює з сорбцією патогенних мікроорганізмів і знаючи недоліки активованого вугілля стає зрозумілою перспективність використання ХК в якості ентеросорбента в лікувальній практиці.

Сорбційну здатність ХК залежить від природних джерел її отримання. Сорбція свинцю з його розчинів концентрацією 0,01 моль/л показала такий порядок активності: ХК виноградних вичавок → ХК буряків → ХВ люцерни → ХВ конюшини.

Помічено, що сорбційну здатність ХК залежить також від величини рН розчину. Велике значення має здатність ХК сорбувати і виводити з організму жовчні кислоти, змінюючи тим самим вміст холестерину в крові. М.С.Дудкін виявив здатність адсорбувати паличкові грамнегативні бактерії і грампозитивні коки харчовими волокнами, які були виділені з різної сировини.

Радіопротекторні властивості ХК. У зв’язку з екологічною катастрофою на ЧАЕС виникла необхідність шукати шляхи для очищення людського організму від радіонуклідів, а також розробити способи попередження можливого їх потрапляння до організму.

Дослідження показали, що на вилучення з організму ізотопу Sr85 найбільший ефект справляє ХК люцерни та шкірки лимону, на вилучення Sr85 вони не ніякої дії не справляють. На зв’язування радіоізотопів Sr85 і Cs137 позитивний результат дали ХК з буряка і вичавок виноградних кісточок: так в кінці експерименту кількість Sr85 зменшилась на 24…36%, а Cs137 на 17…18%.

Таким чином, ХК зменшує концентрацію шкідливого холестерину, знижуючи ризик серцево-судинних захворювань, є показаною при ожирінні, зменшує залежність від інсуліну при діабеті.

У медичній практиці накопичено безліч матеріалів, які підтверджують необхідність вживання продуктів, збагачених ХК.

При недостатньому надходженні ХК виникають порушення функції травлення та захворювання органів харчотравного каналу. Найбільше при дефіциті ХК страждає товстий кишечник. В ньому виникають такі захворювання як девертикульоз, хронічні закрепи, коліт, рак товстого кишечнику та прямої кишки.

Експериментально встановлено, що пшеничні висівки, пектин, целюлоза, лігніни запобігають виникненню хімічно індукованих пухлин, а вживання значної кількості рослинної їжі, яка містить аскорбінову кислоту, каротиноїди, токофероли, феноли, індоли, стероїди, солі селену, пригнічують їх розвиток.

Присутність в раціоні харчування ХК сприяє нормалізації водно-сольового балансу в організмі, що є дуже важливим при гіпертонічній хворобі, знижує рівень глюкози в сироватці крові хворих на діабет, затримує розвиток атеросклерозу, знімає біль у серці при напруженні, підвищує стійкість організму до навантажень.

Вживання ХК сприяє активізації ліпопротеїнази, внаслідок чого у крові знижується кількість ліпопротеїнів низької щільності, що є дуже важливим для хворих на цукровий діабет, ішемічну хворобу серця та осіб з надмірною вагою тіла.

Сполуки ХК, які мають сорбційну властивості, показані при цирозі печінки, хронічній недостатності нирок, а лігнін при раку молочної залози. (Г.О. Сімахіна, А.І. Українець. Інноваційні технології та продукти. Оздоровче харчування: Навчальний посібник. - К: НУХТ, 2010.)

Форми використання пектину в лікувально-профілактичному харчуванні можуть бути найрізноманітніші. Пектин можна використовувати при приготуванні страв безпосередньо перед їх вживанням. Цілеспрямовано вводити пектин у треті страви: напої, соки, желе, муси, кисломолочні продукти.

Зручною формою застосування пектинів є використання пектиновмісних харчових продуктів, готових до споживання. Їх перевагою є здатність довготривалого зберігання, легкість нормування і використання. На основі пектинів розроблені технології виробництва різних груп виробів: консервних, хлібобулочних, кондитерських лікувально-профілактичного призначення.

Консервною промисловістю виробляється:

·        Пюре фруктове з пектином (яблучно-вишневе, айвове) - однорідна тонкоподрібнена слабо желатинова маса без плодоніжок, насіння, кісточок і шкірки. Смак, запах і колір - притаманні плодам із яких виготовлені консерви. Кількість пектину (в перерахунку на пектат кальцію) - 2%.

·        Джем яблучний з пектином виробляють з різних плодів з вмістом СР 55%, пектину - 2,5%

·        Киселі з пектином (із черешні і вишні) виготовляють із свіжих чи заморожених плодів, залитих цукровим сиропом, з додаванням яблучним високометоксильованого пектину, лимонної кислоти. Вміст пектину не менше 2%.

·        Сироп пектиновий для безалкогольних напоїв - складається з бурякового пектину, натурального яблучного соку або води, цукру, ферментного препарату «Аваморин ППК». Сироп містить 38% СР, пектину в перерахунку на пектат кальцію - 5,0%.

·        Кисіль яблучний натуральний на пектині для дитячого харчування містить яблучний концентрований сік, буряковий пектин, цукор-пісок і картопляний крохмаль. У 200 грамах готового киселю міститься 3,9 г пектину, калорійність 100 ккал.

·        Пектин добавляють також в м'ясні консерви. Для старших дітей, котрі страждають гіпсохромною анемією, розроблені м'ясні консерви із м'яса курчат з включення білка сироватки, пектину і вітаміну С. Спільне використання пектину і аскорбінової кислоти позитивно впливає на засвоєння заліза організмом дитини.

Лікувально-профілактичне призначення мають кондитерські вироби мармеладної групи. Мармелад «Краснодарський» виготовляють на основі бурякового пектину. Витрати пектину становлять 26 кг на тону. Мармелад «Сонячний» виробляють на буряковому пектині з додаванням порошку з цільних яблук. В 100 грамах мармеладу міститься пектину 1,3 г, сорбіту 55%, кислоти 24%. Мармелад «Особливий» містить цитрусовий пектин і яблучний порошок збагачений низькометоксильованим пектином. В 100 грамах продукту міститься 1,2г пектину.

Розроблені хлібобулочні вироби з пектином. «Хліб з пектином» містить 2% пектину, «Хлібець спеціальний» виготовлений з додавання 10%-го яблучного порошку, збагаченого низькометоксильованим пектином. Один хлібець масою 270 грам містить 3…3,5 г пектину.

Потреба в пектині при виготовленні виробів лікувально-профілактичного призначення задовольняється не більше ніж на 10%, що не дозволяє забезпечити достатньо широкий асортимент і їх кількість для задоволення зростаючої потреби в цих продуктах. В зв’язку з цим перспективним є використання в цих цілях напівфабрикатів виробництва пектину - пектинового екстракту рідкого і сухого, отриманого за технологіями, розробленими асоціацією «Пектин».

З використанням цих пектинопродуктів розроблені нові види хлібобулочних, макаронних, кондитерських, консервних виробів і безалкогольних напоїв.

В промисловості оснований випуск желе і напоїв на основі яблучного пектинового екстракту. «Желейний яблучний десерт» містить 1,5…2,0 г пектину в 100 грамах продукту.

Перераховані продукти виробляються промисловістю, рекомендовані або мають перспективи для включення в раціон харчування людей, які контактують з радіоактивними і іншими шкідливими важкими металами, а також лікувально-профілактичного харчування хворих ШКТ, страждаючих порушенням ліпідного і вуглеводного обмінів. (Донченко Л. В. Технология пектина и пектинопродуктов / Л. В. Донченко. - М. : ДеЛи, 2000)

Великою популярністю у населення користуються вітчизняні безалкогольні напої, які мають лікувально-профілактичне призначення. Харчова і біологічна цінність зумовлена вмістом у них глюкози, фруктози, мінеральних речовин, вітамінів, білків, ферментів та інших БАР, що утворюються в процесі виробництва або вносяться з первинною сировиною.

Розроблення рецептури і технології безалкогольних напоїв лікувально-профілактичного призначення є надзвичайно актуальною проблемою в зв’язку з погіршенням екологічної обстановки, збільшенням кількості осіб, які страждають хронічними захворюваннями або зайняті на виробництві і в сільському господарстві зі шкідливими умовами праці.

Нині в асортименті безалкогольних напоїв лікувально-профілактичної дії все більшого значення надають напоям, збагачених ПР, які справляють на організм людини велику ефективну фізіологічну дію. Всього в Україні і в Росії розроблено близько 100 рецептур і технологій безалкогольних напоїв, збагачених ПР. невеликий асортимент лікувально-профілактичних пектиновмісних напоїв, які виробляють в наш час, пояснюється дефіцитом пектину в харчовій промисловості. Розширення виробництва таких напоїв буде вирішено лише тоді, коли буде освоєна технологія пектинового екстракту, розроблена фахівцями асоціації «Пектин». (Домарецький В.А., Остапчук М.В., Українець А.І. Технологія харчових продуктів: Підручник / За ред.. д-ра техн.. наук, проф. А.І.Українця. - К.: НУХТ, 2003.)

.3 Використання харчових волокон у спеціальних лікувальних препаратах

Целюлоза - це основна складова частина клітинних стінок рослин, найпоширеніший у природі біополімер. Ефективною добавкою до їжі є мікрокристалічна целюлоза (МКЦ) - не волокниста порошкоподібна модифікація природної целюлози (виробляється в Японії і США). Вона знижує калорійність їжі, є згущувачем і диспергатором, а також сприяє подовженню термінів зберігання їжі.

Геміцелюлоза - це група полісахаридів, до якої входять арабінами, ксилани, галактани і манани. А.В. Чемакіна зі співробітниками виділила новий концентрах ХВ - арабіногалактан (АГ) з тирси деревини модрини. Він належить до водорозчинної фракції геміцелюлоз. Арабіногалактан повільно розчиняється у воді кімнатної температури, водопоглинальна здатність його - 98%, жирозвязувальна - 85%. Здатність арабіногалактану зв’язувати жир і утримувати воду, поряд з іншими корисними властивостями, визначає його терапевтичну дію на ШКТ людини й відкриває перспективу використання його у дієтичному харчуванні.

ПР - це полімери галактуронової кислоти з пентозними й гесозними боковими ланцюгами. Препарати на основі пектину - полісорбовіти, перешкоджають процесам пер оксидації мембранних ліпідів клітин печінки, мають виражений фармакологічний ефект під час лікування гепатобіліарної системи й ШКТ (гепатити, жовчнокам’яна хвороба, виразкова хвороба, хронічний гастрит). На основі низькоетерифікованого пектину створено препарати Полісорбовіт-50 і Полісорбовіт-95, що розроблені кафедрою фармакології Владивостоцького державного медичного інституту і НВО «Востокфарм».

Лігніни за поширенням серед органічних речовин посідають друге місце після целюлози. Лігніни ніколи не трапляються в природі без полісахаридів (геміцелюлоз), але є полісахариди без лігнінів. У медицині використовують лігнін, який є продуктом високотемпературного варіння дерев'яної тріски, кукурудзяних стрижнів чи соняшникового лушпиння з розбавленим розчином сірчаної кислоти і подальшого оброблення отриманого продукту. До складу лікувального лігніну (препарати поліфепан, білігнін, карболен тощо) входить в основному лігнін і супутні йому целюлоза, геміцелюлози, мінеральні елементи і деякі інші речовини в невеликих кількостях. Застосовують ці препарати під час гострих і хронічних захворювань ШКТ інфекційного й неінфекційного походження, при диспепсичних розладах, токсикогенних і післяопераційних перезах кишечнику, гострих запальних захворюваннях, що супроводжуються інтоксикацією, гострою і хронічною нирковою недостатністю, алергодерматозами, що пов’язані з харчовою алергією, атеросклерозом.

ХВ, що сформовані в основному з лігніну, целюлози, геміцелюлоз, використовують під час захворювання на рак прямої кишки, цукровий діабет, коронарну хворобу серця, ожиріння. Ними виліковують також коліти, холецистити, геморої. (Технологія природних харчових сорбентів. Навчальний посібник / Л. О. Федоренченко, Г. О. Сімахіна. - К.: НУХТ, 2006.)

Висновки

Теорія збалансованого харчування відіграла важливу роль у розвитку харчової промисловості. На її основі було створено ряд нових харчових продуктів та розроблено харчові раціони для різних вікових і професійних категорій населення з урахуванням специфіки їх проживання.

Разом з тим видатні відкриття другої половини ХХ століття зумовили необхідність перегляду основних положень теорії збалансованого харчування, особливо, стосовно так званих баластних речовин як компонентів харчових продуктів. В результаті було сформульовано теорію адекватного харчування, згідно з якою баластні речовини (ХВ) є еволюційно важливим компонентом харчових продуктів, необхідним для нормальної життєдіяльності організму людини.

На сьогодні розшифровано склад ХВ і встановлено, що вони включають перетравлювані та не перетравлювані полісахариди. До не перетравлюваних відносять ХК (целюлоза, лігнін, ГМЦ, ПР, камеді, гумі, слизи).

Завдяки сорбційним властивостям ХК із рослинних матеріалів зв’язує іони свинцю, кадмію, інших важких металів, радіонуклідів, нітратів та нітритів. Це дає можливість виводити зазначені токсиканти з організму людини, а також справляти радіопротекторну дію.

Вченими України виявлено високі сорбційну властивості природних мінералів стосовно токсичних багатовалентних металів, що дає можливість рекомендувати їх для використання в умовах дефіциту ХВ у раціоні населення України.

На сьогодні розроблено ряд ефективних та економічно вигідних технологій отримання ХВ з нетрадиційної сировини. Це, передусім, технологія отримання ХВ з виноградних вичавок, з відходів цитрусових, з деревини, трав, зеленої маси плодоовочевих культур.

Список використаної літератури

1.   Домарецький В.А., Остапчук М.В., Українець А.І. Технологія харчових продуктів: Підручник / За ред.. д-ра техн.. наук, проф. А.І.Українця. - К.: НУХТ, 2003.

2.      Донченко Л. В. Технология пектина и пектинопродуктов / Л. В. Донченко. - М. : ДеЛи, 2000.

3.      Технологія оздоровчих харчових продуктів / Українець А. І., Сімахіна Г. О. - К.: НУХТ, 2009.

.        Технологія природних харчових сорбентів. Навчальний посібник / Л. О. Федоренченко, Г. О. Сімахіна. - К.: НУХТ, 2006.

5.      Влащик, Л. Г. Разработка технологии пектинопродуктов с высокими качественными показателями: дис.…канд. техн. наук / Л. Г. Влащик; КубГТУ. - Краснодар, 2003.

.        Пономарев, А. Ф. Технология переработки винограда / А. Ф. Пономарев, К. В. Смирнов. - М. : Изд-во МСХА, 1997.

.        Косюра, В. Т. Основы виноделия / В. Т. Косюра, Л. В. Донченко, В. Д. Надыкта. М. : ДеЛи принт, 2004.

.        Производство пектина / Л.В. Донченко, Н.С. Карпович, Е.Г. Симхович и др. / Под ред. Н.С. Карповича. - Кишинев: Штиинца, 1993.

9.      Г.О. Сімахіна, А.І. Українець. Інноваційні технології та продукти. Оздоровче харчування: Навчальний посібник. - К: НУХТ, 2010.

Похожие работы на - Технологія отримання харчових волокон з виноградних вичавок та використання їх у харчовій промисловості

 

Не нашли материал для своей работы?
Поможем написать уникальную работу
Без плагиата!
Без нейросетей!