Організація будівництва теплотраси
Зміст
Вступ
. Вихідні дані
2. Вибір
організаційно-технічної схеми будівництва
3. Вибір методів виконання
робіт та визначення
обсягів будівельно-монтажних
робіт
4. Розрахунок витрат труда
машин, механізмів та матеріалів
. Складання сітьової моделі
будівництва теплотраси
. Проектування будівельного
генерального плану
. Техніко-економічні показники
проекту
. Література
Вступ
,,Організація” походить від
латинського ,,organization” і в перекладі означає ,,надати ладний вигляд” (або
упорядкувати, узгодити). Організація будівельного виробництва повинна
забезпечити цілеспрямованість організаційних, технічних та технологічних рішень
і заходів на виконання контрактних зобов'язань по будівництву об’єктів, не
порушуючи інтереси учасників інвестиційного процесу.
Капітальне виробництво - це галузь
матеріального виробництва, продукцією якої є готові до експлуатації будівлі та
споруди.
Будівельне виробництво - це
взаємопов’язаний комплекс будівельних та монтажних робіт та процесів,
результатом виконання яких є готові до експлуатації будівлі і споруди або їх
частини, які готові до монтажу технологічного обладнання.
Організація будівельного виробництва
- це поєднання усіх видів ресурсів, які приймають участь у будівельному
виробництві у таку систему, що дозволить виконати зобов’язання будівельної
фірми по будівництву об’єктів у задані строки, високої якості і невисокої
вартості.
До початку будівництва об’єктів
повинна бути здійснена підготовка будівельного виробництва і розроблена
проектно-кошторисна документація. Відповідно до ДБН А.2.2-3-2004 проектна
документація для будівництва може розроблятися в одну, дві або три стадії
залежно від категорії складності об’єкта.
Для об’єктів 1 і 2 категорії
складності проектування може бути в одну стадію (робочий проект) або в дві
стадії (ескізний проект для житлових будівель , друге-робоча документація).
Для об’єктів 3 категорії складності
двухстадійне проектування :
1) проект;
2) робоча документація.
Складні об’єкти мають трьохстадійне
проектування:
1) ескізний проект або
техніко-економічне обґрунтування інвестицій;
2) проект;
) робоча документація.
При проектуванні і будівництві
об’єктів слід керуватися нормативними документами ,які діють на теріторії
України. Нормативні національні документи в галузі будівництва називаються
державні будівельні норми (ДБН) і поділяються на п’ять класів: А,Б,В,Г,Д.
А- органцзаційно-методичні норми,
правила і стандарти;
Б- місце будування;
В- технічні норми, правила і
стандарти;
Г- норми, правила і стандарти
(рекомендовані);
Д- кошторисні норми.
Класи подвляються на підкласи, а
підкласи на комплекси.
При організації будівельного
виробництва повинні забезпечуватись:
1) Раціональні методи
організації будівельно-монтажних робіт;
2) Раціональна послідовність
виконання робіт;
) Повинні виконуватися вимоги
щодо техніки безпеки, охорони праці, пожежної безпеки, охорони навколишнього
середовища;
) Використовуватись
прогресивні технології будівельно-монтажних робіт;
) На кожному об’єкті
будівництва зі складанням актів на приховані роботи;
) Приймання та здача об’єктів
на експлуатацію повинні здійснюватись відповідно до ДБН.
У процесі зведення об’єкту приймають
участь інвестор, замовник, забудовник, проектувальник та підрядник.
Метою даного курсового проекту є
вивчення сучасних методів організації будівельного виробництва, розробка
сітьового графіку виконання робіт, проектування будівельного генерального плану
та визначення техніко-економічних показників будівництва.
1. Вихідні дані
1. Район будівництва: м. Луганськ
2. Діаметр трубопроводу: 300 мм
. Кількість труб: 2 шт.
. Теплоносій: вода
. Група ґрунту: І
. Верхній рівень: 2,5 м
. Протяжність траси: 1,7 км
. Дальність доставки
матеріалів, конструкцій: 5 км
. Дальність відвезення
залишків ґрунту: 10 км
. Додаткові умови: 1,6 МПа
Розміри каналу приймають згідно до
мінімальної відстані в світлі між трубами та елементами конструкції, які в
залежності від діаметру труб від 25 до 1400 мм відповідно приймають рівними:
- до стінки 70 - 100мм;
- до перекриття 50 - 100мм;
до поверхні ізоляції
сусіднього трубопровода 100 - 150мм;
- товщина
теплоізоляції в каналах для парових мереж - 70
200мм, для водяних - 60
120мм;
крутизна відкосів
приймається в залежності від типу ґрунтів (при глибині виємки до 3 метрів: I
тип ґрунту - 56о, II - 63o, III - 76o; при глибині до 5 метрів: I - 50o, II -
53o, III - 63o).
2. Вибір організаційно-технічної
схеми будівництва
Вибір схеми здійснюється при
розробці проекту організації будівництва. Організаційно-технічна схема визначає
послідовність виконання робіт у відповідності з об’ємно-планувальними рішеннями.
Організаційно-технічну схему
обирають у такій послідовності:
1) встановлюється перелік робіт
по будівництву теплотраси і за робочими кресленнями обсяги цих робіт;
2) визначається метод
організації будівництва, поточний метод, він передбачає розбивку траси на
захватки і наявність спеціалізованих бригад на виконання кожного виду робіт
(приймаємо не більше 6, захватів оптимальне число- 4);
) визначають тривалість на
усіх захватках;
) складається
організаційно-технічна схема, за якою визначається загальна тривалість
будівництва теплотраси;
) аналізується
організаційно-технічна схема.
3. Вибір методів виконання робіт та
визначення обсягів будівельно-монтажних робіт
До сучасних методів організації
будівельного виробництва відносять:
1) поточний;
) вахтовий.
Сутність поточного методу
організації розглянемо на прикладі зведення m-однакових будівель. По зведенню
кожної будівлі необхідно виконати наступні укрупнені комплекси робіт:
А- зведення підземної частини;
В- зведення надземної частини;
С- оздоблювальні роботи.
Ці будівлі можна зводити :
а) послідовним методом;
б) паралельним методом;
в) поточним методом.
Захватка - це
конструктивно-відособлена частина об’єкту в межах якої розвивається поток.
Вузловий метод аналогічний поточному
методу. Застосовується, в основному, для будівництва промислових будівель, але
об’єкт розбивається на вузли. Вузли бувають:
1) будівельні;
2) технологічні;
) загально майданчикові.
Вахтовий метод полягає в тому, що
будівництво об’єктів здійснюється в районах значно віддалених від місця
дислокації будівельної організації.
Визначення об’ємів робіт
|
№ п/п
|
Найменування робіт
|
Од. вим
|
Формули та ескізи
|
Загальний об’єм
|
За захватками
|
|
|
|
|
|
Перша
|
Друга
|
|
|
1
|
Планування площ бульдозером зі зрізанням
рослинного шару
|
м3
|
|
1288
|
644
|
644
|
|
|
2
|
Механізована розробка грунту екскаватором у
траншеях з: а) навантаженням у автомобілі (самосвал); б) у відвал;
|
м3
|
|
31448 2295 29154
|
15724 14577
|
15724 14577
|
|
|
3
|
Ручна доробка грунту
|
м3
|
|
628
|
314
|
314
|
|
|
4
|
Улаштування піщаної підготовки
|
м3
|
|
892
|
446
|
446
|
|
|
5
|
Монтаж збірних залізобетонних лотків
|
шт
|
|
566
|
283
|
283
|
|
|
6
|
Монтаж збірних залізобетонних нерухомих опор
|
шт м3
|
|
340 256
|
170 128
|
170 128
|
|
|
7
|
Укладання, зварювання трубопроводів
|
м
|

|
1700
|
1700
|
|
8 Випробування
трубопроводу км 
|
3400
|
|
|
|
9
|
Улаштування теплоізоляції
|
м3
|
|
1468
|
734
|
734
|
|
10
|
Монтаж плит перекриття лотків
|
шт
|
|
566
|
283
|
283
|
|
11
|
Зворотня засипка грунту
|
м3
|
|
29154
|
14577
|
14577
|
|
12
|
Ущілення грунту
|
м3
|
|
29154
|
14577
|
14577
|
. Складання сітьової моделі
будівництва теплотраси
будівельний монтажний
теплотраса
Відповідно до ДБН А.3.1-5-96 у
складі проекту виконання робіт для унікальних і технічно-складних об’єктів
розробляється сітьовий графік, крім того сітьові графіки широко застосовуються
в управлінні проектами.
Сітьовий графік легко піддається
розрахунку безпосередньо на графіку та із застосуванням спеціальних прикладних
програм. Також дозволяє швидко визначити як впливає на загальну тривалість
зміна тривалості однієї із робіт. Встановлює залежності між роботами і є
моделлю не тільки визначення загальної тривалості будівництва, а й моднллю
управління ходом будівництва.
Сітьові моделі бувають:
1) ,,вершини-роботи” ;
2) ,,вершини-події” ;
) змішані сіті.
,,Вершини-роботи”:
- ранній початок роботи ;
- раннє закінчення роботи ;
- пізній початок ;
- пізнє закінчення ;
- тривалість роботи ;
- резерв часу- це той час, на який
робота може пізніше починатися, або довше виконуватись не впливаючи на
загальний строк будівництва.
=
-
-
=
- (
+
) ;
Критичний шлях- це самий
довгий шлях, на якому не існує резервний час.
. Проектування будівельного
генерального плану
Будівельний генеральний план-
це генеральний план майданчика на якому показано розміщення тимчасових
будівель, споруд та обладнання, які використовуються під час будівництва.
Види будівельних генеральних
планів:
- загальномайданчиковий
(розробляється у стадії ПОБ) ;
- об’ємний будівельний
генеральний план (розробляється у складі ПВР) ;
будівельний генеральний
план на період виконання окремих видів робіт ;
Вимоги до будівельного генерального
плану:
1) Будівельний генеральний план
повинен задовольняти вимоги техніки безпеки та охорони середовища ;
2) Вартість тимчасових будівель
та споруд повинна бути мінімальною ;
) Протяжність тимчасових
доріг в межах будівельного майданчика повинна забезпечити мінімальні відстані
перевезень будівельних вантажів ;
) Бетоносумішні вузли
майданчиків укрупненого зберігання конструкцій, майданчики для складання
матеріалів повинні розміщуватись максимально наближеними до місця їх
споживання.
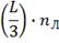
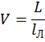
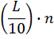
. Техніко-економічні показники проекту
1. Тривалість будівництва: Т
= 120 днів;
. Загальні витрати труда
будівництва: Q =5693,078 люд.-дн.
. Питомі витрати труда:
=2,847
. Коефіцієнт суміщення робіт
у часі:
=0,761
8. Література
1. ДБН
А.3.1-5-96 «Організація будівельного виробництва».
. ДБН
Д.2.2- -99 «Ресурсні елементні кошторисні норми на будівельні роботи»
. Ушацький
С. А. « Організація зведення будівель та споруд»
. Цай
Т. Н. «Организация строительного производства»
. Абрамов
А. И. «Организация и планирование строительного производства. Управление
строительной организацией».