Экспертный анализ дорожно-транспортных происшествий

  • Вид работы:
    Дипломная (ВКР)
  • Предмет:
    Транспорт, грузоперевозки
  • Язык:
    Русский
    ,
    Формат файла:
    MS Word
    900,12 Кб
  • Опубликовано:
    2013-10-11
Вы можете узнать стоимость помощи в написании студенческой работы.
Помощь в написании работы, которую точно примут!

Экспертный анализ дорожно-транспортных происшествий

ВВЕДЕНИЕ

Аварийность на автомобильном транспорте в последнее десятилетие приобретает все более широкие масштабы в связи с несоответствием дорожно-транспортной инфраструктуры потребностям общества и государства, недостаточной эффективностью функционирования системы обеспечения безопасности дорожного движения и крайне низкими культурой и дисциплиной участников дорожного движения.

В 2010 г. произошло свыше 199 431 дорожно-транспортных происшествий, в которых погибли 25 467 и ранено 250 685 человек. Всего за последние десять лет в результате дорожно-транспортных происшествий погибли 313,9 тыс. человек, из которых более четверти - люди наиболее активного трудоспособного возраста (26 - 40 лет)

Дорожно-транспортные происшествия (ДТП), вызывающие гибель и ранения людей, потери материальных ценностей, приносят значительный социально-экономический ущерб. По оценкам зарубежных специалистов эти потери могут составлять до 5 % валового внутреннего продукта государства.

Оценка стоимости потерь от ДТП и доведение этой информации до населения имеет мощный социально-психологический эффект: эта информация предупреждает людей об угрозе их жизни и здоровью, способствует осознанию ими значения мероприятий и формированию общественной поддержки для их внедрения.

Свыше трех четвертей всех дорожно-транспортных происшествий связаны с нарушениями Правил дорожного движения Российской Федерации водителями транспортных средств. Около трети всех происшествий возникает в результате неправильного выбора скорости движения.

Вследствие выезда на полосу встречного движения регистрируется около 13 % дорожно-транспортных происшествий. Каждое восьмое дорожно-транспортное происшествие совершил водитель, находившийся в состоянии опьянения, каждое седьмое - не имевший права на управление транспортным средством.

Актуальность темы обусловлена тем, что экспертиза ДТП призвана ответить на самый главный вопрос о причинах происшествия: явилось ли оно причиной несоблюдения правил, состоянием водителя или стечением обстоятельств, несчастным случаем. Эксперт, получая постановление, изучает все обстоятельства дела, выделяя особо спорные моменты и на основании логических умозаключений, опыта и инженерных решений, выносит вердикт, выделяя особые условия, способные повлиять на ход событий, например, состояние дороги или климатические катаклизмы, учитываются все обстоятельства, спровоцировавшие ДТП.

Объект исследования: система экспертного анализа дорожно-транспортного происшествия, при наезде на неподвижное препятствие.

Предмет исследования: особенности, формы и методы экспертизы ДТП.

Цель исследования: выявить сущность экспертной оценки ДТП - наезд на неподвижное препятствие, раскрыть её методы и решения.

Задачи исследования:

. Выявить причины и механизмы дорожно-транспортных происшествий в процессе изучения теоретических источников.

. Раскрыть технику экспертного анализа.

. Рассмотреть методику решений экспертизы ДТП.

. Провести оценку ущерба от ДТП вследствие повреждения автотранспортных средств и грузов.

. Рассмотреть безопасность жизнедеятельности водителя АТС.

Методика исследования: Для достижения поставленных цели и задач разработан комплекс научных методов, объединенных общим замыслом исследования. Их выбор обусловлен особенностями объекта и предмета исследования и принятыми методологическими позициями. Наиболее существенные результаты получены с помощью следующих методов: диалектический, монографический, табличный, экономико-статистический, расчётно - конструктивный, анализ литературы, эмпирическое исследование (сбор и сопоставление эмпирических данных, анализ документов), метод теоретического моделирования, статистический анализ.

Методологической основой для выполнения работы явились труды Российских авторов, таких как Бабков, В.Ф.,А. Г. Волошин, В.П. Мартынов, А.Г. Романов, Коноплянко В.И., Лукьянов, В.В., Овечников, Е.В., Рябчинский А.И., Хомяк Я.В.

Достоверность и надежность полученных данных обеспечиваются: опорой на субъективные источники исследования; использованием комплекса научно обоснованных методов сбора эмпирической информации, математико-статистических методов ее обработки и анализа; всесторонним сопоставлением полученных результатов с данными предшествующих исследований.

1. ТЕОРЕТИЧЕСКИЕ АСПЕКТЫ ЭКСПЕРТИЗЫ ДОРОЖНО-ТРАНСПОРТНЫХ ПРОИСШЕСТВИЙ

.1 Дорожно-транспортные происшествия

С появлением механических транспортных средств на дорогах и улицах населенных пунктов возникла необходимость в выработке определенных правил поведения участников дорожного движения. Прообразом подобных правил в России можно назвать действовавшее в Москве с 1812 г. распоряжение для гужевого транспорта, согласно которому в городе устанавливалось правостороннее движение, ограничивалась скорость, определялись места стоянок экипажей и вводились номера на них.

А первым таким официальным документом считаются Правила автомобильного движения, введенные в действие во Франции 14 августа 1893 г.

Аналогичные правила, «Обязательные постановления о порядке движения по городу Москве автоматических экипажей», были приняты московскими властями в 1912 г. Этими постановлениями, в частности, требовалось наличие на экипаже двух независимых друг от друга тормозов. Автомобиль во время движения не должен был производить чрезмерного шума, распространять «дым, пар и зловоние». Запрещалось человеку, управлявшему экипажем, соскакивать с него, когда тот находился в движении. Позже, в 1920 г., был введен в действие декрет «Об автодвижении по городу Москве и в ее окрестностях».

До 1940 г. в каждой республике, области, крае страны действовали свои, самостоятельные Правила. Затем стали разрабатывать типовые. А с 1 января 1961 г. в стране были введены в действие первые единые «Правила движения по улицам и дорогам Союза ССР». Их разработка, последующие изменения и дополнения основывались на Женевских Конвенциях о дорожном движении 1949 и 1968 гг., на Протоколе о дорожных знаках и сигналах, на Европейских Соглашениях 1971 г., которые СССР ратифицировал.

В 1993, 1995 и 2001 гг. приняты поправки к Конвенции и Соглашению, обязательные для государств, ратифицировавших ранее эти документы.

Первое дорожно-транспортное происшествие официально зарегистрировано в полицейских протоколах 30 апреля 1896 г. Американец Генри Уэмс, управляя автомобилем «Дьюриэ», совершил наезд на велосипедиста. Впоследствии по мере развития автомобилестроения и роста числа дорожно-транспортных происшествий начала создаваться система учета и анализа причин и условий, способствовавших возникновению ДТП. Начали разрабатываться правила учета и классификация дорожно-транспортных происшествий.

В соответствии с Правилами учета дорожно-транспортных происшествий, утвержденными Постановлением Правительства РФ № 642 от 29 июня 1995 г., дорожно-транспортным происшествием (ДТП) принято считать событие, возникшее в процессе движения по дороге транспортного средства и с его участием, при котором погибли или получили телесные повреждения люди, повреждены транспортные средства; груз, сооружения либо причинен иной материальный ущерб.

Этими Правилами учета в классификационный перечень включены следующие категории дорожно-транспортных происшествий:

• Столкновение - происшествие, при котором движущиеся транспортные средства (ТС) столкнулись между собой или с подвижным составом железных дорог.

К этому виду относятся столкновения с внезапно остановившимся ТС (перед светофором, при заторе движения или из-за технической неисправности) и столкновения подвижного состава железных дорог с остановившимся (оставленным на путях) транспортным средством.

• Опрокидывание - происшествие, при котором движущееся ТС опрокинулось. К этому виду происшествий не относятся опрокидывания, которым предшествовали другие виды происшествий. Например, в результате столкновения транспортное средство было развернуто на дороге и опрокинулось.

• Наезд на стоящее транспортное средство - происшествие, при котором движущееся ТС наехало на стоящее транспортное средство, в том числе на прицеп или полуприцеп. Наезд на внезапно остановившееся транспортное средство относится к столкновению.

• Наезд на препятствие - происшествие, при котором ТС наехало или ударилось о неподвижный предмет (опору путепровода, столб, дерево, ограждение, строительные материалы, в том числе сыпучие, и т.п.).

• Наезд на пешехода - происшествие, при котором ТС наехало на человека или он сам натолкнулся на движущееся ТС. К этому виду относятся также происшествия, при которых пешеходы пострадали от перевозимого ТС груза (бревна, металлоконструкции и пр.).

• Наезд на велосипедиста - происшествие, при котором ТС наехало на велосипедиста или он сам натолкнулся на движущееся ТС.

• Наезд на гужевой транспорт - происшествие, при котором ТС наехало на упряжных животных, а также на повозки, транспортируемые этими животными. Либо упряжные животные или повозки, транспортируемые этими животными, ударились о движущееся транспортное средство.

• Наезд на животных - происшествие, при котором ТС наехало на птиц, диких или домашних животных (включая вьючных и верховых).

Либо сами эти животные или птицы ударились о движущееся ТС, в результате чего пострадали люди и (или) причинен материальный ущерб.

Прочие происшествия - происшествия, не относящиеся к перечисленным выше видам.

По причинам возникновения дорожно-транспортные происшествия можно подразделить на:

происшествия, возникшие по вине людей (водителей, пассажиров, лиц, ответственных за техническое состояние транспортных средств и дорог, и другие);

происшествия, которые обусловлены не преодолимой силой природы (наводнение, обвал, землетрясения и тому подобное), а также случайным стечением обстоятельств.

В подавляющем большинстве случаев ДТП возникают в результате нарушения правил дорожного движения водителями, пешеходами, пассажирами, велосипедистами, а также вследствие грубых нарушений работниками транспортных хозяйств правил технической эксплуатации и плохого контроля за состоянием дорог и организации регулирования уличного движения.

Нарушение правил дорожного движения со стороны водителей чаще всего заключаются в: превышении безопасной скорости при маневрах (повороте, обгоне, необходимости уклонится от столкновения или наезда, объехать препятствие или неровность дороги), попадании на участок дороги с худшими характеристиками; обострении дорожной обстановки; несоблюдении очередности проезда перекрестков; не подачи или неправильной подачи предупредительного сигнала; не правильном расчете минимального остановочного пути при различных скоростях движения и состоянии дорожного покрытия; нарушении требований сигналов светофора, дорожных знаков и указателей, требований дорожной разметки; не соблюдении безопасной дистанции; неожиданном выезде из своего ряда движения и ослеплении светом фар; стоянке на проезжей части без освещения; нарушении правил перевозки пассажиров; нетрезвом состоянии водителя, его работе по времени, превышающем допустимые пределы, после которых наступает утомляемость; и другие.

Нарушение правил дорожного движения со стороны пешеходов обычно состоят в: неожиданном появлении пешехода из-за препятствия (например, из-за стоящего на остановке автобуса, автомобиля у тротуара или обочины); внезапном выходе из-за транспортного средства движущегося в попутном или встречном направлении; непредсказуемом поведении пешехода, при котором водитель ошибочно уверен во взаимном контакте с пешеходом (например, пешеход, явно пережидающий проезд автомашины, вдруг перебегает наперерез); выходе на проезжую часть в месте, где это запрещено; внезапном выходе из неосвещенной зоны дороги; и другие.

Выпуск в эксплуатацию заведомо технически неисправных транспортных средств (например, с дефектом тормозной системы, ходовой части и осветительных приборов) лицом, ответственным за техническое состояние или эксплуатацию транспортных средств, если это привело к наступлению последствий, предусмотренных уголовным законом, влечет уголовно-правовую ответственность.

В дорожно-транспортном происшествии можно выделить три фазы: 1) начальную; 2) кульминационную и 3) конечную. Каждая из них является логическим продолжением предыдущей и, в свою очередь, предопределяет развитие последующей.

Для начальной фазы дорожно-транспортного происшествия характерны условия движения транспортного средства и пешеходов, сложившиеся перед возникновением опасной ситуации, при которой участники движения должны немедленно принять все имеющиеся в их распоряжении меры для предотвращения дорожно-транспортного происшествия и снижения тяжести его последствий. Непринятие этих мер или их недостаточная эффективность приводит в процессе сближения транспортных средств и пешеходов к переходу от опасной ситуации в аварийную, когда участники движения не располагают технической возможностью предотвращения дорожно-транспортного происшествия, и оно становится неизбежным.

Кульминационная фаза дорожно-транспортного происшествия характеризуется событиями, вызывающими наиболее тяжелыми последствиями (повреждения автомобилей, травмы пешеходов, пассажиров, водителей). Это фаза протекает быстро (обычно несколько секунд) развивается на участке дороги небольшой протяженности.

Конечная фаза дорожно-транспортного происшествия следующая за кульминационной, часто совпадает с прекращением движения транспортного средства. Иногда (например, при возникновении пожара на автомашине) конечная фаза продолжается и после остановки.

Знание механизма дорожно-транспортного происшествия позволяет определить круг криминалистически значимых признаков, которые, в свою очередь, способствуют установлению объективной истины.

О масштабах проблем, связанных с обеспечением безопасности движения ТС на дорогах и в населенных пунктах, может свидетельствовать тот факт, что, по статистике Всемирной организации здравоохранения, в ДТП ежегодно гибнет до 1.2 миллиона человек. Более 15 миллионов получают телесные повреждения. В государственную статистическую отчетность МВД России включает все ДТП, при которых были зарегистрированы погибшие люди или травмированные. Регистрация остальных ДТП ведется на региональном уровне, а также отдельными министерствами и ведомствами.

Статистика по Российской Федерации за прошедшие десять лет приведена в таблице 1.1.

Таблица 1.1 - Статистика ДТП в России за период 2001-2011 гг.

Год

Кол-во ДТП

Погибло

Ранено

2001

164 401

30 916

187 790

2002

184 360

33 243

215 678

2003

204 267

35 602

243 919

2004

208 558

34 506

251 386

2005

223 342

33 957

274 864

2006

229 140

32 724

285 362

2007

233 809

33 308

292 206

2008

218 322

29 936

270 883

2009

203 603

26 084

257 034

2010

199 431

26 567

250 635

2011

199 868

27 953

251 848

Всего





Анализируя данные таблицы необходимо отметить, что в число раненых входят лишившиеся трудоспособности и оставшиеся инвалидами, а до 2009 года статистика ГИБДД считала погибшими в ДТП тех, кто умирал в течение 7 суток после аварии. Все, кто умирал позднее, в официальные данные не попадали. С 2009 года порядок учёта погибших в ДТП изменён - срок наблюдения за пострадавшими в ДТП увеличен с 7 до 30 суток. Тем не менее в 2009 году зафиксирована меньшая смертность в ДТП по сравнению с прошлым годом и наименьшая с 1988 года.

Основными причинами, которые влияют на уровень аварийности в стране, являются:

невыполнение водителями ТС Правил дорожного движения (ежегодно совершаются три четверти всех ДТП);

нарушение Правил пешеходами, треть ДТП происходит по их вине;

низкая дисциплина водителей и пешеходов;

нежелание выполнять требования Правил;

незнание Правил.

Почти две трети всех ДТП из-за нарушений Правил совершается водителями легковых автомобилей, около 15 % водители мототранспорта, около 10 % грузовых автомобилей, более 2,5 % водителями автобусов. К основным причинам ДТП также относятся:

недостаточная квалификация водителей, их невнимательность, самонадеянность или внезапное ухудшение здоровья;

неудовлетворительное техническое состояние транспортных средств (в особенности механизмов и узлов, от которых зависит безопасность);

плохие дорожные условия;

неудовлетворительная организация движения;

неправильное размещение груза в автомобиле, плохое его закрепление.

Статистика так же приводит некоторые факторы влияющие на ДТП:

Зависимость количества тяжелейших ДТП от возраста - около 40 % тяжелейших ДТП приносят водители в возрасте 18-22 лет.

Зависимость количества ДТП от водительского стажа - наибольшее количество ДТП приносят неопытные водители со стажем до пяти лет (около 40%).

Наибольшим количеством ДТП отличается время с 17.00 до 21.00.

Наиболее часто ДТП происходят в пятницу и субботу (примерно 35%).

Наибольшее количество происшествий происходит в период с июня по сентябрь, с пиком количества ДТП в августе месяце.

С марта 2011 года ГИБДД прекратило публикацию подробных (в том числе количество ДТП из-за нарушения ПДД водителями транспортных средств в состоянии опьянения, пешеходами и из-за неудовлетворительного состояния улиц и дорог) сведений о показателях состояния безопасности дорожного движения на своем сайте. С августа 2011 публикуются только общие сведения о количестве ДТП.

Главный автоинспектор страны Виктор Кирьянов о причинах ДТП говорит так: "...Большинство трагедий - это результат нашего же безрассудного поведения на дороге, нашего легкомысленного отношения к безопасности и к закону, нашей агрессии и неуважения к другим участникам дорожного движения". <#"667632.files/image001.gif">

в общем случае (2.1)

на горизонтальном участке

ј = g ∙ φ (2.2)

▪ При свободном качении ТС по инерции (накатом):

в общем случае

 (2.3)

на горизонтальном участке

 (2.4)

▪ При торможении ТС колесами только задней оси:


в общем случае (2.5)


на горизонтальном участке (2.6)

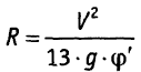
где g - ускорение свободного падения, м/с2 ;

δ1 - коэффициент учета инерции вращающихся незаторможенных колес;- установившееся замедление для технически исправного ТС при торможении всеми колесами его (принимается по справочным данным или рассчитывается по формуле 2.2), м/с2;- замедление ТС при свободном качении (определяется по формуле 2.4) м/с2;

а - расстояние от центра тяжести ТС до оси его передних колес, м;- расстояние от центра тяжести ТС до оси его задних колес, м;- колесная база ТС, м;ц - высота центра тяжести ТС над опорной поверхностью, м.

Для мотоциклов, легковых и негруженых грузовых автомобилей - δ1 ≈ 1.1, для груженых грузовых автомобилей и колесных тракторов - δ1 ≈1.0.

▪ При торможении ТС только передними колесами:


в общем случае (2.7)


на горизонтальном участке (2.8)

Здесь определение и выбор параметров δ2, jH jK аналогичны указанным в предыдущем пункте, за исключением колесных тракторов. Для них в этом случае δ2, = 1.1.

▪ При движении ТС с незаторможенными прицепами (колесом коляски) и полностью заторможенным тягачом (мотоциклом):


в общем случае (2.9)


на горизонтальном участке (2.10)

где: G полная масса ТС, кг;- полная масса прицепа (прицепов) ТС, кг.

Для ТС без нагрузки δnp ≈1.1, с нагрузкой δnp ≈ 1.0

▪ При движении ТС с незаторможенными прицепами (колесом коляски) и торможении тягача только задними или только передними колесами:


в общем случае (2.11)


на горизонтальном участке (2.12)

здесь ј1 - замедление, определяемое соответственно по формулам (2.6) или (2.8);

δпр - коэффициент учета инерции вращающихся незаторможенных колес прицепов (с теми же значениями, что и в предыдущем пункте).

▪ При замасливании части колесных тормозов:


в общем случае (2.13)


на горизонтальном участке (2.14)

где: G' - масса ТС, приходящаяся на колеса, кроме колес с замасленными тормозами, кг;" - масса ТС, приходящаяся на колеса с замасленными тормозами, кг.

▪ При движении ТС с заносом без торможения: в общем случае

 (2.15)

на горизонтальном участке

 (2.16)

где: у1 - угол заноса ТС в начале перемещения, град.;

у2 - угол заноса ТС с разворотом в конце перемещения, град;- число совмещений продольной оси ТС в процессе разворота с направлением его движения.

Рисунок 2.1 - Отбрасывание ТС от места столкновения с последующим перемещением его в заносе и с разворотом до остановки. Линии «1-1» и «2-2» - это касательные к траектории кривой в начале и конце участка перемещения центра тяжести ТС

В формулах (2.15), (2.16) углы отсчитываются в направлении разворота. Значение cosy следует принимать со знаком «+», если продольная ось ТС, поворачиваясь, удаляется от линии его движения. И со знаком «-», если она приближается к нему.

Во всех общих случаях, если торможение или движение ТС осуществлялось на участке дороги с уклоном в продольном направлении, вместо «±» знак «+» в приведенных формулах принимается при движении ТС на подъеме, знак « - » - на спуске.

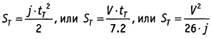
2.2 Определение перемещений ТС в процессе торможения

Расстояния (в метрах), которые ТС преодолевает на различных стадиях процесса торможения, могут быть определены расчетным путем по приведенным ниже формулам.

▪ Путь торможения ТС с установившимся замедлением до остановки:

 (2.17)

▪ Тормозной путь:

 (2.18)

Здесь и в следующем пункте: SЮ - длина следов торможения задних или передних колес ТС, м.

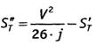
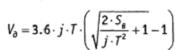
▪ Остановочный путь ТС:

 (2.19)

▪ Остановочный путь ТС при большом сопротивлении движению (на крутом подъеме, по глубокому снегу, при движении по песчаной или мокрой грунтовой дороге):

 (2.20)

где: jK - замедление ТС до начала торможения, м/с2

 (2.21)

Т‘ - время с момента снятия ноги водителя с педали акселератора до начала экстренного торможения, с

 (2.22)

▪ Расстояние, которое ТС преодолеет с начала реакции водителя на опасность для движения до момента контакта с препятствием (наездом):

 (2.23)

а) при наезде передней частью ТС

 (2.24)

б) при наезде боковой частью ТС

(2.25)

Здесь и в следующем пункте: Sю' - длина следов торможения всех колес ТС до места наезда, столкновения, м.

Время реакции водителя (t1) в данном случае нужно принимать в пределах от минимально возможного значения (0.3 с) до соответствующего дорожной ситуации по рекомендациям, принятым в экспертной практике.

▪ Расстояние, которое ТС преодолеет с начала эффективного торможения до момента контакта с препятствием (наезда, столкновения):

а) передней частью ТС

 (2.26)

б) боковой стороной ТС

 (2.27)

▪ Расстояние, которое заторможенное ТС должно было преодолеть после контакта с препятствием (от места наезда, столкновения) до остановки, если бы наезда, столкновения не произошло:

 (2.28)

▪ Расстояние, которое ТС преодолеет за время падения скорости от V ' до V":

 (2.29)

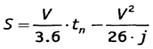
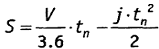
▪ Расстояние, которое ТС преодолеет за определенный промежуток времени (tn) до момента (места) наезда, столкновения:

а) в общем случае при наезде, столкновении в процессе торможения данного ТС и с учетом расстояния, которое оно преодолеет с постоянной скоростью до начала торможения

 (2.30)

б) в случае наезда, столкновения в конце торможения данного ТС и с учетом расстояния, которое оно преодолеет с постоянной скоростью до начала торможения

 (2.31)

в) за время tn с момента начала эффективного торможения данного ТС

 (2.32)

г) за время tn до момента наезда, столкновения, когда в заданный момент ТС уже двигалось в заторможенном состоянии

 (2.33)

здесь: tn - время движения пешехода, другого ТС с исследуемого момента до момента наезда, столкновения, с. Если наезд, столкновение совершены боковой стороной ТС, величина S в формулах (2.30-2.33) должна быть уменьшена на величину LK.

2.3 Исследование маневра ТС

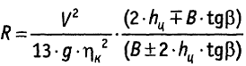
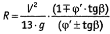
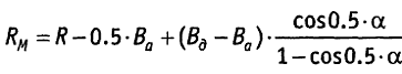
▪ Максимальный радиус поворота центра тяжести ТС на закруглении дороги в пределах разрешенной для него полосы движения можно определить по формуле:

 (2.34)

где: R - наружный радиус закругления разрешенной для движения данного ТС полосы дороги, м;

Ва - габаритная ширина ТС, м;

Вд - ширина разрешенной для движения полосы в средней части закругления, м;- угол поворота дороги (угол между направлениями продольной оси дороги до и после закругления), м.

▪ Предельный по сцеплению радиус поворота ТС на дороге:

без поперечного уклона (2.35)


с поперечным уклоном (2.36)


▪ Предельный по опрокидыванию радиус поворота ТС на дороге:

без поперечного уклона

 (2.37)

с поперечным уклоном

 (2.38)

В формулах (2.36) и (2.38) знаки «-» в числителе и «+» в знаменателе берутся в случае поворота ТС в сторону поперечного уклона. При повороте в противоположную сторону порядок знаков меняется (в числителе «+», в знаменателе «-»).

▪ Расстояние в продольном направлении вдоль дороги, необходимое для выполнения маневра ТС, определяется:

а)при осуществлении отворота ТС в сторону от начального направления на заданную величину «а» с учетом времени реакции водителя на возникновение опасности для движения (t1) и времени срабатывания рулевого управления (tp ), по формуле

 (2.39)

б) при осуществлении поперечного смещения полосы движения ТС на заданное расстояние «а» (выполнение маневра перестроения), по формуле

 (2.40)

Здесь, в формулах (2.39-2.40), время срабатывания рулевого управления ТС согласно экспериментальным данным, рекомендуется принимать равным:

а) для легковых автомобилей и созданных на их базе грузовых автомобилей и автобусов - в пределах 0.1-0.4 с;

б) для остальных автобусов и грузовых автомобилей - в пределах 0.2-0.6 с.

▪ Максимально возможное (в поперечном измерении) отклонение траектории движения ТС на заданном участке дороги S:

а) при движении по дуге отклонения

 (2.41)

б) при маневре перестроения (смене полосы движения)

 (2.42)

В расчетах по формулам (2.39-2.42) предельное значение величины R - радиуса поворота ТС при осуществлении маневра - должно быть определено по формулам (2.35-2.38). Принимается большее значение радиуса.

В формулах (2.40) и (2.42) величина S есть расстояние между передней частью ТС в начальный момент осуществления маневра и задней его частью в момент завершения маневра перестроения.

2.4 Использование в экспертной практике экспериментальных значений параметров торможения ТС

В экспертном исследовании отдельных фрагментов дорожно-транспортного происшествия, в математическом моделировании механизма события достоверность и точность технических решений всецело зависит от качества исходных данных. Наибольшая точность сведений об обстоятельствах происшествия, как известно, может быть достигнута путем организации следственного эксперимента.

Если же получение исходных данных таким путем будет затруднено или вовсе исключено, следователь (суд) представляет эксперту их возможные предельные значения (min-max), как то: скорость движения транспортных средств, скорость пешеходов, расстояния, дистанции, интервалы, положение участников происшествия, отдельных объектов на дороге и относительно друг друга в определенные моменты времени и пр.

Такой принцип позволяет исследовать различные варианты (версии) обстоятельств ДТП, включающие и фактически имевшие место в действительности. Таким принципом руководствуются и эксперты при выборе технических параметров ТС, необходимых для решения той или иной задачи.

Тем не менее экспертные исследования нередко ограничиваются однозначным выбором параметров, минимально допустимых для технически исправных ТС. Этим достигается тот же определенный уровень обоснованности выводов.

И исключается необязательная сложность в технических расчетах, трудная для понимания участниками расследования ДТП. Все это безусловно оправдывает подобные решения при условии, что выводы, основанные на таких решениях, будут оставаться неизменными и при любых других возможных значениях параметров торможения ТС, отличных от принятых экспертом.

Однако при использовании в экспертной практике однозначных значений параметров торможения ТС необходимо учитывать ряд принципиальных положений, которые могут оказывать существенное влияние на результат, не исключая и возможные ошибки в выводах экспертного заключения. Подробнее это можно продемонстрировать на примерах с использованием значений величины замедления ТС, как нормативных, минимально допустимых для технически исправных ТС, так и экспериментальных, полученных при дорожных испытаниях различных моделей ТС.

Принимаем, например: модель ТС - «Audi A6-2.5TDI» (далее - «Audi А6»), без нагрузки. Шины - «Michelin-MXM». Дорожное покрытие - асфальтобетон, в сухом состоянии. Участок дороги горизонтальный. Время реакции водителя - = 0.6 с. Технические параметры: t2 = 0.1 с, t3 = 0.35 с, j - 6. 8 - 9. 8 м/с2.

Величина остановочного пути технически исправного автомобиля «Audi А6» на горизонтальном участке сухого асфальтобетонного покрытия при скорости 60 км/ч составит 34.9 м, если рассчитать ее по минимально допустимому значению замедления - 6.8 м/с2.

 (2.43)

Если же расчет выполнить по максимально возможному значению замедления этого автомобиля для тех же дорожных условий - 9.8 м/с2, результат ( ≈ 28.7 м) окажется на 6,2 м меньше.

Как видим, разница получается существенной, а при высоких скоростях движения на дорогах вне населенных пунктов (разрешено Правилами до 90 км/ч) она будет еще большей (примерно 14.0 м). Нетрудно представить, что экспертные решения, выполненные только по одному предельному значению величины замедления ТС, могут привести к ошибочному выводу.

Аналогичная разница в результатах будет и при определении скорости движения транспортного средства по следам торможения, зафиксированным в месте происшествия.

Для того же автомобиля «Audi А6» в тех же дорожных условиях при минимально допустимом замедлении 6.8 м/с2 и длине следов торможения, равной 17.6 м, расчетная величина скорости составит 60.0 км/ч. А при максимально возможном замедлении в подобных дорожных условиях (сухое горизонтальное асфальтобетонное покрытие) - 9.8 м/с2 - скорость автомобиля окажется значительно выше - 73.1 км/ч, что можно показать следующим расчетом:

 (2.44)

Принято считать, что экспертные решения по одному только минимально допустимому для технически исправного ТС значению величины замедления позволяют избежать экспертной ошибки и в конечном счете ошибки судебной.

Иными словами, такой подход к исследованию обстоятельств дорожного происшествия якобы не ущемляет интересов подозреваемого водителя, поскольку при невозможности установления величины замедления ТС путем организации эксперимента выбор ее по справочным данным делается в его пользу.

Практика, однако, свидетельствует, что далеко не всегда этот принцип соблюдается. Это можно показать на примере исследования обстоятельств наезда автомобиля «Audi А6» передней частью на неподвижный объект в условиях ограниченной видимости при скорости 60 км/ч. Экспериментом, допустим, установлено, что объект на дороге можно было обнаружить в свете фар автомобиля на расстоянии 36 м. Остановочный путь этого автомобиля при нормативном замедлении 6.8 м/с2 будет равен около 45 (≈ 44.9) м. (2.45)


А при возможном для технически исправного автомобиля «Audi А6» в подобных дорожных условиях замедлении 9.8 м/с2 он будет намного меньшим, около 38.7 м.

Сопоставление полученных результатов с дальностью видимости объекта на дороге, равной 36 м, показывает, что в обоих случаях водитель не располагал технической возможностью избежать наезда на этот объект. И потому, очевидно, здесь было бы достаточно провести расчеты по максимальной величине замедления автомобиля, поскольку при любых других возможных значениях этого параметра выводы останутся неизменными, так как остановочный путь автомобиля при замедлении, меньшем 9.8 м/с2, будет больше расчетной величины равной примерно 38.7 м.

Теперь при тех же исходных данных изменим лишь скорость автомобиля. Она должна быть определена по следам торможения «Audi А6», зафиксированным в месте происшествия.

Например, при Sю = 11.5 м. Находим скорость и остановочный путь автомобиля при нормативном замедлении, равном 6.8 м/с2. (2.46) и (2.47)


Полученные результаты дают эксперту основания утверждать, что в этом событии водитель располагал технической возможностью своевременным снижением скорости предотвратить наезд.

Теперь те же расчеты выполним по максимально возможному для технически исправного автомобиля замедлению в подобных дорожных условиях - 9.8 м/с2.

В этом случае скорость его окажется равной 60.3 км/ч (почти на 11 ед. выше, чем по 1-му варианту), а остановочный путь - 39.1 м.

Вывод получаем диаметрально противоположным, что свидетельствует об иных закономерностях, принципиально отличных от приведенных в первом варианте. Более того, и величина допустимой скорости по условиям видимости дороги будет выше при j = 9.8 м/с2, что также важно в оценке действий водителя с позиций требований Правил дорожного движения РФ, в установлении причин происшествия.

Такие необоснованные, а порой ошибочные экспертные исследования могут иметь место по довольно значительной категории дел о столкновениях и наездах транспортных средств в условиях ограниченной видимости на неподвижные или движущиеся во встречном и попутном направлениях объекты.

Таким образом, представленный анализ возможных вариантов в использовании предельных значений параметров торможения ТС определяет ряд принципиальных положений, которыми следует руководствоваться при проведении экспертных исследований.

. Избежать ошибки в технических расчетах возможно только путем использования обоих предельных значений параметров замедления ТС - минимально допустимых для технически исправных ТС и максимально возможных в конкретных дорожных условиях места происшествия. Речь идет прежде всего о величине - j м/с2.

. Достаточным для формирования категорического вывода может быть использование в расчетах лишь одного значения величины замедления ТС.

Минимально допустимого (например, j = 6.8 м/с2), если водитель ТС располагал технической возможностью предотвратить ДТП своевременным снижением скорости.

Или максимально возможного (например, j = 9.8 м/с2), если он не будет иметь технической возможности предотвратить ДТП.

Заметим, что такие решения будут правомерны лишь в тех случаях, если при любых других возможных значениях замедления ТС, больших в первом случае и меньших во втором, результаты технических расчетов, точнее, основанные на них выводы эксперта, не изменятся, останутся прежними.

. В тех случаях, когда результаты исследования получаются неоднозначными, таковыми же должны быть и выводы эксперта.

С необходимыми пояснениями об условиях, определивших полученные варианты решений.

3. МЕТОДЫ РЕШЕНИЙ

3.1 Исходные данные для экспертных исследований

Вся информация об обстоятельствах дорожного происшествия, необходимая для решения поставленных вопросов, должна быть предоставлена эксперту дознавателем, следователем, судом, экспертизу (исследование) назначившими. Получение экспертом этой информации каким-либо иным путем процессуальным законодательством РФ и Федеральным законом «О государственной судебно-экспертной деятельности в Российской Федерации» запрещено. Эта информация должна быть изложена в определении или постановлении о назначении экспертизы (исследования). А также предоставлена эксперту материалами дела, документами, фотоснимками, вещественными доказательствами. Примерный перечень исходных данных можно сформировать в таком объеме.

Краткие обстоятельства ДТП. Дата, время, место дорожного происшествия и его последствия. Фабула события.

Сведения о дороге и дорожных условиях в месте ДТП. Тип и состояние покрытия проезжей части (асфальтобетон, цементобетон, щебеночное покрытие, грунтовое и пр., сухое на момент ДТП, мокрое, мокрое- грязное, гололед и пр.).

Конструктивные характеристики проезжей части в месте ДТП: общая ширина, ширина данного и встречного направления движения, величина и направление уклона продольного и поперечного профиля дороги, конфигурация участка дороги в плане (закругление дороги либо прямой участок), радиус закругления дороги.

Видимость и обзорность для водителей ТС в месте ДТП при включенном свете фар (ближнем, дальнем) и в условиях естественного освещения (видимость дорожного полотна и конструктивных элементов дороги). Видимость объектов (препятствия, пешеходов) на дороге.

Сведения об организации дорожного движения в месте ДТП. Наличие дорожных знаков, разметки и светофорных объектов, определяющих порядок движения ТС в месте происшествия. Сведения о режиме работы светофоров.

Сведения о транспортных средствах. Тип, марка, модель ТС. Государственный регистрационный номер. Техническое состояние ТС на момент ДТП. Загрузка (количество пассажиров, груза). При опрокидывании ТС - характер груза (строительные конструкции, сыпучие материалы, жидкости и т.п.).

Направление движения ТС, расположение на проезжей части и его скорость в момент ДТП. Сведения о том, какой частью ТС совершен наезд, столкновение.

Сведения о дорожной обстановке в месте происшествия. Конечное положение ТС в месте происшествия относительно границ проезжей части дороги и с привязкой его к неподвижным ориентирам вдоль дороги (например, к дор. знаку 6.13).

Сведения о следах колес ТС (следах торможения, бокового сдвига, перемещения, заноса и т.п.), царапинах и иных повреждениях дорожного покрытия. Об участках осыпи осколков стекла, грунта, пролитой жидкости. О расположении на дороге опрокинутого груза, отделившихся частей и деталей ТС. О положении потерпевших на дороге в месте происшествия. О следах, свидетельствующих о месте наезда, столкновения ТС.

Сведения о действиях участников ДТП. Как, каким образом действовали участники ДТП (водители, пешеходы, другие лица, причастные к данному событию).

Сведения о том, предпринимали ли водители ТС меры к снижению скорости, изменению направления движения, иные меры с целью предотвращения, предупреждения ДТП.

Фотоснимки места происшествия и ТС, участвовавших в ДТП. Фотоснимки места происшествия должны быть сделаны общим планом с позиций и направления движения всех участников ДТП. Отдельными кадрами должны быть представлены снимки предполагаемого места наезда, столкновения. Снимки следов колес ТС, осыпи осколков стекла, грунта, мелких объектов, поврежденных участков дорожного покрытия.

Помимо необходимых снимков всех повреждений ТС, причиненных ему в результате ДТП, эксперту нужно представить обязательные фотоснимки ТС с четырех сторон независимо от наличия или отсутствия повреждений и следов контакта с препятствием на той или иной стороне кузова (кабины) ТС.

Все фотоснимки места происшествия и ТС должны быть выполнены с применением масштабной линейки, позволяющей считывать по фотоснимкам необходимые измерения.


Результаты диагностической и транспортно-трассологической экспертиз, а также следственных экспериментов, которыми определены величины

Результаты следственных экспериментов и судебных экспертиз, необходимые для решения поставленных вопросов, должны быть изложены в постановлении (определении) о назначении данной экспертизы (исследования). Либо сделана ссылка на них.

В качестве исходных данных отдельным разделом выступают сведения, составляющие область специальных технических познаний эксперта. Это прежде всего:

Величина коэффициента сцепления - φ и коэффициента сопротивления качению ƒ.

Величина замедления ТС при экстренном торможении в дорожных условиях места происшествия - j м/с2.

Величина времени реакции водителя - t1 с.

Величина времени срабатывания тормозного привода ТС- t2

Величина времени нарастания замедления ТС при его экстренном торможении в дорожных условиях места ДТП - t3 с.

Это также и выбор других технических параметров (например, габаритных размеров, колесной базы, переднего свеса ТС и пр.), необходимых в конкретных случаях для проведения экспертных исследований.

.2 Исследование обстоятельств наезда ТС на неподвижное препятствие

Исходные данные. Направление и скорость движения ТС - V км/ч. Дальность видимости дороги - Se м.

Остальная информация об обстоятельствах ДТП - в обычном формате.

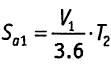
Схема решения вопроса о технической возможности предотвращения наезда на препятствие по данной категории дел достаточно проста. Следователь, суд должны установить расстояние (Sa), отделявшее ТС от препятствия в тот момент, когда водитель его в состоянии был обнаружить это препятствие на полосе своего движения. Далее определяется остановочный путь ТС (S0) по формуле (2.48) и сопоставляется с величиной Sa.

 (3.1)

Варианты выводов по результатам экспертного исследования могут быть сформулированы таким образом:

а) если S0 > Sa можно констатировать, что при установленных обстоятельствах этого события, в частности при заданных величинах Sа и V, с заданного момента возникновения опасности для движения водитель не располагал технической возможностью своевременным снижением скорости остановить ТС и тем самым предотвратить наезд на препятствие;

б) при S0 < Sa вывод должен быть противоположным. Неподвижным препятствием на дороге следует считать любой материальный объект на проезжей части (другое ТС, утерянный груз, открытый люк, поваленное дерево и т.п.), наезд на который, въезд в который или физический контакт с которым могут привести к возникновению ДТП. Это может быть и поврежденный участок дорожного покрытия, ремонтные работы на дороге, не обозначенные дорожными знаками и не освещенные в темное время суток.

Вместе с тем в случаях, если какой-либо неподвижный объект на дороге обозначен и освещен в соответствии с требованиями Правил дорожного движения РФ, он, оставаясь препятствием, не может быть отнесен к таковым, по которым нужно решать вопрос о наличии или отсутствии у водителя технической возможности экстренным торможением предотвратить наезд на него. При условии, разумеется, что не будут выявлены причины и условия, которые могли помешать водителю своевременно обнаружить такое препятствие и принять необходимые меры к предупреждению наезда снижением скорости, не прибегая к экстренному торможению, с последующим осуществлением маневра объезда препятствия.

Предлагаемая схема решения вопроса о технической возможности предотвращения наезда ТС на неподвижное препятствие может быть применима как для условий неограниченной видимости в месте ДТП, так и при анализе обстоятельств ДТП в темное время суток либо в условиях ограниченной видимости (сильные осадки, туман, пыльные бури и пр.).

Принципиальное различие по этим ситуациям заключается в том, что при расчете величины остановочного пути ТС (S0) время реакции водителя в условиях неограниченной видимости определяется по действующим рекомендациям. А в темное время суток и в условиях ограниченной видимости по аналогичным ситуациям оно должно быть увеличено на 0,6 с. Это увеличение объясняется тем, что в условиях ограниченной видимости водителю необходимо дополнительное время (Δt1) на распознавание опасности для движения и принятия решения.

При расследовании ДТП, совершенного в темное время суток или в условиях ограниченной видимости, следователь, суд должны установить не только величину Sa которая в этом случае будет характеризовать дальность видимости препятствия, но и дальность видимости дороги Sв на момент ДТП в дальнем, ближнем свете фар либо в условиях естественного освещения.

Дальность видимости объекта на дороге (Sa) должна определяться в подобных случаях следственным экспериментом как силуэтная, представляющая собой такое расстояние до объекта, которое позволяет различить его очертания (силуэт) без отдельных деталей.

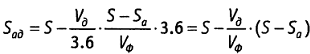
Возможные схемы решения по ДТП в темное время суток (при ограниченной видимости:

. Определяется по формуле (3.2) допустимая по условиям видимости дороги скорость движения ТС - Vd :

 (3.2)

. Если фактическая ее величина в момент ДТП будет меньше допустимой, дальнейшее исследование может быть проведено по схеме, предложенной ранее. Выполняется расчет величины S0 по фактической скорости и с учетом дополнительного времени реакции водителя Δt1 = 0.6 с. Полученный результат сопоставляется с установленной дальностью силуэтной видимости препятствия (Sа). И формулируется вывод.

. Если окажется, что фактическая скорость ТС в момент ДТП превышала допустимую и величина S0 по этой фактической скорости и с учетом Δt1 = 0.6 с. будет меньше величины Sа, можно констатировать, что в такой ДТС водитель располагал технической возможностью предотвратить наезд на препятствие. И что превышение скорости ТС в момент ДТП не находилось в причинной связи с фактом наезда его на препятствие.

. Если же по п. 3 сопоставление величин S0 и Sа получится с обратным знаком (S0 > Sа), нужно определить величину S0 при допустимой скорости (обозначим ее Sод). И вновь сопоставить полученный результат с Sа.

. Теперь если и при допустимой скорости ТС его Sod окажется больше величины S0, можно сделать вывод, что в такой ДТС и при фактической скорости движения, и при допустимой водитель ТС не располагал технической возможностью избежать наезда.

В этом случае превышение скорости ТС в момент ДТП также не будет находиться в причинной связи с фактом наезда его на препятствие.

. Наконец, при обратном соотношении этих величин (Sod меньше Sa) вывод будет противоположным. По этим результатам можно утверждать, что при фактической скорости движения водитель был лишен технической возможности своевременным снижением ее предотвратить наезд. Но при допустимой такая возможность у него имелась. И, следовательно, именно превышение скорости в момент ДТП послужило причиной наезда ТС на препятствие.

.3 Исследование факта превышения скорости ТС в момент ДТП

В расследовании ДТП важно не просто восстановить обстоятельства наезда, столкновения. Очевидно, что по представленной информации эксперт прежде создает математическую модель ДТП, построенную на фактических обстоятельствах дорожного происшествия. Но чтобы завершить исследование, он должен, пользуясь этой моделью, воспроизвести ситуацию, как она могла складываться и развиваться при своевременном выполнении водителем ТС определенных требований Правил. Иными словами, в базовой математической модели ДТП эксперт должен смоделировать экстренную остановку ТС, которой на самом деле в этом событии не было (например, наезд на препятствие совершен без торможения).

Должен определить величину S0. И определить положение препятствия на проезжей части в момент достижения заторможенным ТС места наезда.

По результатам такого моделирования решается вопрос, располагал ли водитель ТС технической возможностью предотвратить наезд своевременным выполнением требований ПДД РФ. Иного способа решения этой задачи нет.

Именно такая принципиальная схема заложена в основу решения данного вопроса по любому дорожному происшествию. И именно такая принципиальная схема предлагается ниже для решения подобных вопросов по превышенной скорости ТС в момент ДТП.

В настоящее время экспертное исследование факта превышения скорости ТС в момент ДТП, если ДТП не связано с потерей транспортным средством курсовой устойчивости и управляемости, ограничено предельно простым способом. Определяется величина остановочного пути ТС при допустимой скорости Sod. И сопоставляется с удалением ТС от места наезда (столкновения) в момент возникновения опасной ситуации при его фактической скорости движения Sа.

В зависимости от соотношения этих величин формулируется вывод о наличии либо отсутствии у водителя ТС технической возможности предотвратить ДТП при допустимой скорости движения. И вытекающий из него вывод о том, находилось ли превышение скорости ТС в момент ДТП в причинной связи с фактом наезда его на препятствие или столкновения с препятствием. Логика такого анализа основана на суждении, что в момент возникновения опасности для движения транспортное средство, находясь от места наезда (столкновения) на удалении Sо, рассчитанном, напомним, по фактической скорости, должно было двигаться с допустимой скоростью.

Не отвергая в принципе такую схему исследования, уточним, что она может быть применима лишь для обоснования вывода о наличии у водителя ТС технической возможности предотвратить ДТП при допустимой скорости движения.

Вывод противоположный по результатам такого исследования будет ошибочным. Точнее сказать, недостаточно обоснованным. Более подробные пояснения по этому поводу изложены далее в вариантах.

Предлагаемые ниже аналитические методы решения технических задач, связанных с превышенной скоростью транспортных средств в момент ДТП, основаны на следующих положениях:

б) достаточным для обоснования вывода о том, что при допустимой скорости движения водитель ТС располагал технической возможностью предотвратить наезд, можно считать такое решение, если удаление ТС Sо от места наезда в исследуемый момент при фактической скорости будет превышать величину остановочного пути ТС при допустимой скорости движения Sod;

в) в случае, если Sa окажется меньше величины Sod, достаточным для вывода о том, что при допустимой скорости движения водитель ТС располагал технической возможностью избежать наезда (столкновения), можно будет считать такое решение, в котором за время движения ТС с допустимой скоростью на исследуемом участке Sa, в том числе и при своевременном применении водителем экстренного торможения, пешеход (другое ТС) от места наезда (столкновения) удалится на безопасное расстояние;

г) достаточным для обоснования вывода о наличии либо отсутствии технической возможности предотвратить наезд при допустимой скорости движения можно считать такое решение, которое позволит создать математическую модель события ДТП. И с помощью этой модели исследовать дорожную ситуацию в динамике, как она могла складываться для водителя ТС при фактической скорости движения и при допустимой.

Итак, принимая во внимание установленное экспертным исследованием, что при фактической (превышенной) скорости движения водитель ТС не располагал технической возможностью своевременным торможением предотвратить наезд, решение вопроса при допустимой скорости предлагается в следующих вариантах.

Вариант 1. Исследование обстоятельств наезда на неподвижное препятствие. Расстояние S, которое ТС могло преодолеть с превышенной скоростью к моменту ДТП, не установлено.

Исходим из того, что в момент возникновения опасности для движения транспортное средство должно было двигаться со скоростью, не превышавшей допустимую (разрешенную) в месте ДТП. И определяем по известным формулам (3.3-3.5)

а) для случая движения ТС до момента столкновения без замедления

 (3.3)

б) при движении ТС к моменту столкновения в заторможенном состоянии

 (3.4)

в) если столкновение произошло практически в момент остановки ТС

 (3.5)

удаление ТС от места наезда, столкновения в этот момент при фактической скорости движения Sa, а также его остановочный путь при допустимой скорости движения Sod.

Сопоставление указанных величин позволяет сделать вывод о том, что при допустимой скорости движения водитель ТС располагал технической возможностью предотвратить наезд, если получим Sa ≥ Sod.

Отсюда следует, что в данном случае превышение скорости ТС находилось в причинной связи с фактом наезда.

Если величина ΔSn окажется недостаточной для вывода о наличии у водителя ТС технической возможности предотвратить наезд, при допустимой скорости движения, экспертное исследование должно быть продолжено по одному из следующих вариантов:

Вариант 2. Исследование обстоятельств наезда на неподвижное препятствие, (открытый канализационный люк). Расстояние S, которое ТС могло преодолеть с превышенной скоростью к моменту ДТП, не установлено.

Рисунок 3.1 - Схема места ДТП

На схеме: позицией А - обозначено положение ТС относительно места наезда в момент реакции его водителя на возникновение опасности для движения и приведения в действие тормозной системы.

Позиция В - положение ТС относительно места наезда в момент начала образования следов его торможения.

Позиция С - положение ТС на следах его торможения в момент наезда.

Позиция D - положение ТС в момент прекращения торможения и остановки.

По следам торможения ТС (см. схему на рис. 3.1), зафиксированным в месте происшествия, определяется их длина до места наезда - Sю’. И определяется расчетным путем длина следов торможения ТС до остановки при допустимой скорости движения - Sюd с учетом колесной базы и его переднего свеса:

 (3.6)

Сопоставление этих величин будет достаточно для категорического вывода о том, что при допустимой скорости движения водитель ТС располагал технической возможностью предотвратить наезд и что именно превышение скорости в данном случае послужило причиной ДТП, если окажется справедливым нижеследующее неравенство. При этом необходимо учитывать, что ТС, движущееся с меньшей (допустимой) скоростью, за то же самое время реакции водителя на возникновение опасности для движения и приведения в действие тормозной системы преодолеет меньшее расстояние, чем при фактической (большей) скорости.

Математически это определяется формулами (см. схему):


где: Т - время реакции водителя на возникновение опасности для движения и приведения в действие тормозной системы ТС (до начала образования следов торможения), с


Теперь искомое неравенство может быть представлено таким образом:

 (3.7)

Как нам уже известно, при соблюдении этого неравенства эксперт должен констатировать, что в такой дорожной ситуации при допустимой скорости движения водитель ТС располагал технической возможностью предотвратить наезд, своевременным снижением скорости вплоть до полной остановки.

При изменении знака неравенства (>) на обратный (<), для решения поставленной задачи может быть достаточным определение величины ΔSn по формуле:

 (3.8)

Необходимо отметить, что в данном варианте не имеет принципиального значения, какой частью ТС (передней или боковой стороной кузова, кабины) совершен наезд.

На величину Sю’ это обстоятельство никоим образом не влияет. Потому не повлияет и на конечный результат.

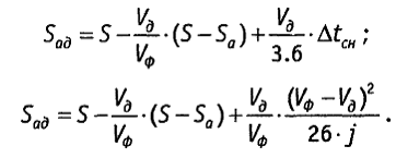
Вариант 3. ДТП при тех же обстоятельствах, что и в варианте 1. С единственным уточнением. Наезд совершен в зоне действия дорожного знака 3.24 «Ограничение максимальной скорости» на расстоянии S от него.

Рисунок 3.2 - Схема места ДТП в зоне действия знака 3.24 «Ограничение максимальной скорости»

В этом варианте эксперту предоставлена полная информация об обстоятельствах ДТП, позволяющая без каких-либо оговорок и допущений создать математическую модель этого события. И проанализировать динамику его развития как при фактической, так и при допустимой скорости движения ТС.

Прежде, как и в первом варианте, нужно по фактической скорости (Vф) определить величину удаления ТС от места наезда в момент обнаружения опасности для его движения (Sа). В общем случае это можно выполнить, например, по формуле:

 (3.9)

Этим расчетом определяется не только удаление ТС от места наезда в конкретный момент времени, но и расстояние (Sа'), которое ТС должно было преодолеть от дорожного знака 3.24 к моменту обнаружения опасности для его движения Sa’ = S - Sa.

Время движения ТС на данном участке (Sa') при фактической скорости определяется расчетом по формуле:

 (3.10)

где: Тпп - искомая величина времени движения ТС на участке от дорожного знака до момента обнаружения препятствия для его движения при фактической скорости, с;- расстояние от дорожного знака 3.24 до места наезда, м.

Остальные величины определены ранее.

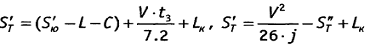
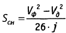
При допустимой скорости движения за то же самое время Тпп транспортное средство преодолеет от дорожного знака 3.24 расстояние Snn (см. схему ДТП), которое может быть определено расчетом:

 (3.11)

Этим же расчетом определено и положение ТС в момент обнаружения препятствия на пути движения при допустимой скорости не только относительно дорожного знака 3.24, но и относительно места наезда. Если из величины S вычесть расстояние Snn.

 (3.12)

здесь: Sad - удаление ТС от места наезда в момент обнаружения препятствия для его движения при допустимой скорости, м.

Подставив в эту формулу значение Тпп, получим:

 (3.13)

Формула (3.13) представляет собой упрощенный вариант решения, поскольку не учитывает процесс снижения скорости ТС перед дорожным знаком, который также определяет конечное значение величины Sad. Принимаем движение ТС на участке снижения скорости равнозамедленным. Тогда время и расстояние, необходимые для снижения скорости ТС с Vф до Vд можно определить таким образом


где: j - максимальное значение установившегося замедления ТС на участке снижения скорости перед дорожным знаком, м/с2.

После подстановки в формулу SCH значения величины tCH, получим:

 (3.14)

А разница во времени ΔtCH при снижении скорости движения по сравнению с тем, когда ТС на том же участке двигалось фактически с постоянной (превышенной) скоростью, может быть определена по формуле:

 (3.15)

И тогда в окончательном варианте формула расчета величины Sаd будет выглядеть таким образом:

 (3.16)

Для решения поставленной задачи остается определить величину остановочного пути ТС при допустимой скорости движения Sod и сопоставить ее с величиной Sаd. И сформулировать ответ на поставленный вопрос в категорической форме.

В случае Sad < Sod и при небольшой разнице между ними нужно провести дополнительный расчет величины ΔSn.

Таким образом, предложенная схема исследования обстоятельств ДТП позволяет эксперту определить величину остановочного пути и удаление ТС от места наезда в заданный момент обнаружения препятствия на пути движения не только при фактической скорости движения (Vф), но и при допустимой (Vd).

Достаточно широко применяется в экспертной практике решение, согласно которому водитель ТС не располагал технической возможностью предотвратить наезд вне зависимости от величины скорости движения в момент ДТП, так как не успевал даже привести в действие тормозную систему ТС.

Решение, если скорость ТС в момент ДТП не превышала допустимую (ограниченную Правилами, дорожными знаками), не вызывает каких-либо возражений. Но оно совершенно недопустимо и по меньшей мере будет необоснованным, если в месте происшествия ТС двигалось с превышенной скоростью.

4. ОЦЕНКА УЩЕРБА ОТ ДТП ВСЛЕДСТВИЕ ПОВРЕЖДЕНИЯ АВТОТРАНСПОРТНЫХ СРЕДСТВ И ГРУЗОВ

.1 Структура составляющих ущерба

В состав субъектов, которым непосредственно наносится ущерб от повреждения ТС в ДТП, входят: владельцы транспортных средств; владельцы груза.

При расчете по каждому субъекту учитываются составляющие ущерба, расходы по которым они несут.

▪ Владельцы транспортных средств:

Стоимость работ по спасению транспортного средства;

Стоимость работ по эвакуации транспортного средства;

Величина ущерба в случае невозможности восстановления транспортного средства;

Стоимость работ по восстановлению (ремонту) транспортного средства;

Величина утраты товарной стоимости транспортного средства в результате ремонтных работ;

Судебные издержки;

Величина ущерба из-за затрат времени, связанных с расследованием дорожно-транспортного происшествия и возмещением убытков;

Невостребованная часть страхового возмещения за транспортное средство.

▪ Владельцы груза:

Величина ущерба вследствие срыва договорных обязательств по перевозке грузов и пассажиров;

Величина ущерба из-за повреждения груза или уничтожения груза;

Невостребованная часть страхового возмещения за груз.

Методика предусматривает проведение расчетов по оценке ущерба для следующих видов транспортных средств:

. Легковые автомобили:

Отечественные;

Импортные.

. Грузовые автомобили, включая состав прицепов:

Отечественные;

Импортные.

. Автобусы:

Отечественные;

Импортные.

. Мототранспортные средства.

.2 Оценка ущерба при повреждении автотранспортных средств и грузов.

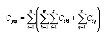
Величина годового ущерба от повреждения автотранспортных средств и грузов рассчитывается по формуле:

 (4.1)

где Сущ - величина годового ущерба от повреждения автотранспортных средств в дорожно-транспортном происшествии, руб.;- количество поврежденных ТС;- число видов поврежденных ТС;- число видов составляющих потерь от повреждения ТС;

х - число видов составляющих потерь от повреждения груза;

Сikl - величина ущерба владельца ТС от повреждения в ДТП i- ого ТС k-го вида, по l-ой составляющей потерь, руб.;

Сiq - величина ущерба владельца груза по q-ому виду составляющей потерь груза при повреждении i-го числа ТС, руб.

Ниже приведем обозначения и текущие номера индексов, соответствующих формуле (4.1).

Величина ущерба в случае невозможности восстановления транспортного средства (l = 3) рассчитывается как остаточная стоимость ТС на дату повреждения. Расчет проводится по «Методике оценки остаточной стоимости транспортных средств с учетом технического состояния» Р-0311294-0376-98, утвержденной Минтрансом России.

Стоимость работ по восстановлению (ремонту) транспортного средства (l = 4) и величина потерь товарной стоимости транспортного средства (l = 5) рассчитываются по «Методике оценки стоимости поврежденных транспортных средств, стоимости их восстановления и ущерба от повреждения» Р-03112194-0377-98, утвержденной Минтрансом России.

Таблица 4.1 - Характеристики поврежденных транспортных средств

Текущий номер индекса, k

Характеристика транспортного средства при расчете ущерба

1

Отечественные легковые автомобили

2

Импортные легковые автомобили

3

Отечественные грузовые автомобили, включая прицепной состав

4

Импортные грузовые автомобили, включая прицепной состав

5

Отечественные автобусы

6

Импортные автобусы

w = 7

Мототранспортные средства


Таблица 4.2 - Характеристики потерь при расчете ущерба

Текущий номер индекса, l

Характеристика потерь при расчете ущерба

1

Стоимость работ по спасению транспортного средства

2

Стоимость работ по эвакуации транспортного средства

3

Величина ущерба в случае невозможности восстановления транспортного средства

4

Стоимость работ по восстановлению (ремонту) транспортного средства

5

Величина потери товарной стоимости транспортного средства

6

Величина судебных издержек

7

Величина потерь, связанных с затратами времени на расследование дорожно-транспортного происшествия и возмещение убытков

z = 8

Невостребованная часть страхового возмещения за транспортное средство


Таблица 4.3 - Характеристики потерь при перевозке

Текущий номер индекса, q

Характеристика потерь при расчете ущерба

1

Величина ущерба вследствие срыва договорных обязательств по перевозке грузов и пассажиров

2

Величина ущерба из-за повреждения груза или уничтожения груза

x = 3

Невостребованная часть страхового возмещения за груз


Для практических расчетов на основе формулы (4.1) необходимо

использовать следующую формулу:

(4.2)

где NТСпов - количество поврежденных ТС в ДТП за год;- число видов поврежденных ТС;- число видов составляющих потерь от повреждения ТС;

δk - доля поврежденных ТС k-го вида в общем количестве поврежденных ТС;

γl - доля поврежденных ТС, для которых рассчитывается l-я составляющая ущерба ТС в общем количестве поврежденных ТС;

Сkl - ущерб от ДТП владельца одного поврежденного ТС k-гo вида по l-ой составляющей ущерба, руб.;

φ - доля ТС, перевозивших груз в общем количестве поврежденных ТС;- число видов составляющих потерь груза от ДТП;

λq - доля поврежденных ТС, у которых поврежден груз и для которых рассчитывается q-ая составляющая ущерба груза;

Сq - ущерб владельца груза по q-ой составляющей в одном ДТП в случае повреждения груза, руб.

Доля поврежденных ТС k-гo вида в общем количестве поврежденных ТС рассчитывается по следующей формуле:

 (4.3)

Ущерб владельцев ТС по всем составляющим рассчитывается на

основе Таблицы 4.4. В данной таблице, в частности, С31 - стоимость работ по спасению отечественного грузового автомобиля.

Таблица 4.4 - Ущерб владельца транспортного средства по всем составляющим

Виды ТС, k

Составляющие потерь транспортного средства


1

2

3

4

5

6

7

8

1

C11

С12

С13

C14

C15

C16

C17

С18

2

С21

C22

C23

C24

C25

C26

C27

C28

3

C31

С32

С33

C34

C35

C36

C37

C38

4

С41

C42

C43

C44

C45

C46

C47

C48

5

C51

C52

C53

C54

C55

С56

C57

C58


Приведем пример расчета величины составляющих потерь владельца транспортного средства в Московской области.

. Стоимость работ по спасению транспортного средства. Работы по спасению транспортных средств необходимо проводить в случае пожаров, взрывов, провалов под лед и затоплений, падения ТС или какого-либо предмета на него. Необходимость в спасении транспортного средства в результате ДТП по данным опроса фирм технической помощи наступает, в среднем, в 2 % случаев от общего количества ДТП независимо от принадлежности ТС. Усредненные данные получены путем выборочного опроса организаций, предоставляющих соответствующие услуги и составления на их основе экспертных отсутствуют.

γ1 = 0,02.

Стоимость работ по спасению одного транспортного средства по их видам в Московской области составляет, в среднем: С11 = 1000 руб., С21 = 1200 руб., С31 = 2200 руб., С41 = 2500 руб., С51 = 2500 руб., С61 = 2700 руб., С71 = 700 руб. («Комбинат технической помощи и гаражного обслуживания», «Автоваз-техпомощь», «Автоимпорт»). Вероятность достоверности представленных данных составляет 70 %.

. Стоимость работ по эвакуации ТС. Эвакуация поврежденного транспортного средства от места ДТП до места стоянки (ремонта) необходима в случае потери возможности передвигаться своим ходом. Потребность в эвакуации определена по опросам фирм технической помощи и наступает, в среднем, в 10% случаев от общего количества ДТП.= 0,10.

Стоимость работ по эвакуации поврежденного ТС в Московской

области составляет, в среднем: С12 = 400 руб., С22 = 500 руб., С32 = 600 руб., С42 = 800 руб., С52 = 800 руб., С62 = 1000 руб., С72 = 300 руб. (по данным: «Комбинат технической помощи и гаражного обслуживания», «Автоваз-техпомощь», «Автоимпорт»). Вероятность достоверности представленных данных составляет 85 %.

. Величина ущерба от повреждения ТС. В случае невозможности или экономической нецелесообразности восстановления ТС рассчитывается на основе «Методики оценки стоимости поврежденных транспортных средств, стоимости их восстановления и ущерба от повреждения» Р-03112194-0377-98. Такие случаи составляют, в среднем, 15 % от общего количества ДТП (по данным оценочных фирм «Трансдекра», «Авто-Спектрум», «Аэнком»).= 0,15.

Величина ущерба в случае невозможности восстановления поврежденного ТС составляет разницу между доаварийнойстоимостью неповрежденных агрегатов и утилизационной стоимостью возвратных отходов (не ниже стоимости металлического лома). Для этого рассчитывается остаточная стоимость ТС. Результаты расчета остаточной стоимости по «Методике оценки остаточной стоимости транспортных средств с учетом технического состояния» Р-0311294-0376-98 сводятся в Таблицу4.5.

Таблица 4.5 - Оценка остаточной стоимости автотранспортных средств (АТС) Регион (субъект Федерации) АТС (легковые, грузовые, автобусы, импортные, отечественные)

№ Пп

Дата оценки

Цель оценки

Марка АТС

Год выпуска

Пробег, тыс. км

Стоимость АТС, руб.

1

2

3

4

5

6

7


В среднем, значения ущерба от повреждения ТС в случае технологической невозможности либо экономической нецелесо-образности восстановления по видам ТС в Московской области составляют: С13 = 25000 руб., С23 = 75000 руб., С33 = 55000 руб., С43 = 250000 руб., C53 = 70000 руб., С63 = 375000 руб., С73 = 10000 руб. (по данным оценочных фирм «Трансдекра», «Авто-Спектрум», «Аэнком»). Достоверность информации составляет 75%.

. Стоимость работ по восстановлению (ремонту) поврежденных ТС. По определению ДТП, приведенному в п. 2, необходимость в осуществлении восстановительных работ возникает во всех рассматриваемых случаях ДТП.= 1,00.

Стоимость работ по восстановлению ТС рассчитывается на основе «Методики оценки стоимости поврежденных транспортных средств, стоимости их восстановления и ущерба от повреждения» Р-03112194-0377-98. Результаты расчета сводятся в таблицу 4.6

Таблица 4.6 - Оценка стоимости АТС от повреждений в ДТП

Дата ДТП

Дата оценки

Марка АТС

Год выпуска

Пробег, тыс. км

Стоимость ущерба, руб.

Стоимость нормо- часа






Всего

В том числе:








Трудозатраты (стоимость нормо-часа, трудоемкость)

Запасные части

Утрата товарной стоимости



Стоимость работ по восстановлению поврежденного ТС по видам, в среднем, в Московской области составляет: С14 = 18500 руб., С24 = 48000 руб., С34 = 37000 руб., С44 = 150000 руб., С54 = 75000 руб., С64 = 240000 руб., С74 = 3500 руб. (по данным оценочных фирм «Трансдекра», «Авто-Спектрум», «Аэнком»).

Точность указанных данных составляет 60 %.

Стоимость нормо-часа на выполнение ремонтных работ в Московской области составляет, в среднем, 70 руб. для отечественных ТС и 300 руб. для ТС иностранного производства (по данным фирм «Авто-Эм», «РТД Сервис», «Автоимпорт»). Точность данных - 90 %.

Трудоемкости выполнения работ по ремонту поврежденных ТС приведены в «Сборнике нормативов трудоемкостей на техническое обслуживание и ремонт легковых автомобилей. РД 37.009.027-93».

Рыночная стоимость запасных частей приведена в «Комплекте прейскурантов отпускных и рыночных цен на запасные части к автомобилям. НАМИ».

Расчет величины утраты товарной стоимости производится в соответствии с Р-03112194-0377-98.

Величина дополнительной утраты товарной Стоимости (УТС).

В результате аварийного повреждения и последующих ремонтных работ рассчитывается в соответствии с Р-03112194-0361-96 и только для ТС, отношение остаточной стоимости которых к рыночной стоимости нового аналогичного ТС (Сдэ / Ц) составляет не менее 60 %. Доля ДТП с участием ТС, для которых производится расчет УТС в общем количестве ДТП составляет, в среднем, 50 % (по данным оценочных фирм «Трансдекра», «Авто-Спектрум», «Аэнком»).= 0,50.

Результаты расчета УТС представляются в виде таблицы 4.7.

Таблица 4.7 - Величина утраты товарной стоимости транспортного средства

Дата оценки

Марка ТС

Год выпуска

Пробег, тыс. км.

Остаточная стоимость, %

Утрата товарной стоимости, руб.

1

2

3

4

5

6

7


В среднем, УТС по видам ТС в Московской области составляет:

= 6500 руб., С25 = 5500 руб., С35 = 7500 руб., С45 = 28000 руб.,

С55 = 18500 руб., С65 = 37000 руб., С75 = 950 руб.

(по данным оценочных фирм «Трансдекра», «Авто-Спектрум», «Аэнком»).

Точность представленных данных составляет 65 %.

. Судебные издержки. В среднем, потребность в возмещении ущерба в судебном порядке возникает в 25% случаев ДТП (по данным опроса фирм «Авто-Мобил», «Фемида», «Комбинат технической помощи и гаражного обслуживания»).= 0,25.

Величина судебных издержек складывается из государственной пошлины, уплачиваемой истцом при подаче иска в суд, расходов на адвоката, других расходов по оплате судопроизводства. Средняя величина судебных издержек (Ck6) на одно ДТП в Московской области составляет 2000 руб. с учетом расходов на адвоката (по данным опроса фирм «Авто-Мобил», «Фемида», «Комбинат технической помощи и гаражного обслуживания»). Достоверност информации составляет около 50 %.

. Затраты времени, связанные с расследованием ДТП и возмещением убытков. Существуют во всех зарегистрированных случаях ДТП.= 1,00.

Величина ущерба, из-за затрат времени, связанных с расследованием ДТП и возмещением (Ck7) убытков составляет, в среднем, 300 руб. на одно ДТП. Расчет данной составляющей ущерба произведен следующим образом.

Средняя месячная заработная плата составляет 1100 руб. (определена экспертно). Учитывая, что в месяце, в основном, 22 рабочих дня, средняя дневная з/п составляет 50 руб. Каждый из владельцев ТС, участвовавших в ДТП, по экспертным оценкам, тратит на расследование обстоятельств ДТП и возмещение убытков 3 полных рабочих дня. В среднем в ДТП участвуют 2 ТС.

Таким образом, общая сумма ущерба по данной составляющей:= 50 · 3 · 2 = 300 руб.

Точность информации - 75 %.

. Невостребованная часть страхового возмещения за ТС. В среднем, по информации страховых компаний «Ингосстрах» и «РОСНО», застраховано около 45 % парка зарегистрированных ТС.= 0,45

Средняя величина невостребованного страхового возмещения по

видам ТС в Московской области составляет: С]2 = 540 руб., С22 = 2100 руб., С32 = 1500 руб., С42 = 7500 руб., С52 = 2100 руб., C62 = 8700 руб., С72 = 360 руб. Достоверность - 75 %.

Далее приведем пример расчета величины составляющих потерь владельца груза в Московской области. Ущерб владельца груза рассчитывается по следующей таблице.

Таблица 4.8 - Составляющие потерь владельца груза

Составляющие потерь груза, q

1

2

3

Стоимость ущерба по каждой составляющей, руб.

С1

С2

С3


Исходные данные для расчета целесообразно представить в виде таблицы 4.9.

Таблица 4.9

Наименование показателя

Обозначение показателя

Значение показателя

1

Общее количество зарегистрированных в регионе ТС

NТС

1183924

2

Количество отечественных легковых автомобилей в регионе

NТСд.о.

783456

3

Количество импортных легковых автомобилей в регионе

NТСд..н.

203272

4

Количество отечественных грузовых автомобилей и прицепного состава в регионе

NТ г.о.

87536

5

Количество импортных грузовых автомобилей и прицепного состава в регионе

NТСг.н.

7623

6

Количество отечественных автобусов в регионе

NТСа.о.

9775

7

Количество импортных автобусов в Регионе

NТСа.и.

2630

8

Количество мототранспортных средств в регионе

NТСм.

89632

9

NДТП

7640


. Количество поврежденных в ДТП ТС (NTCпов) составляет:

пов = 1,7 × NДТП,

где 1,7 - экспертный коэффициент, учитывающий среднее личество ТС, повреждаемых в одном ДТП.

пов = 1,7 × 7640 = 12988.

. Расчет долей отдельных видов ТС в общем количестве ТС.

.1. Доля отечественных легковых автомобилей в общем


количестве поврежденных ТС составляет:


.2. Доля импортных легковых автомобилей в общем количестве поврежденных ТС составляет:

.3. Доля отечественных грузовых автомобилей и прицепного состава в общем количестве поврежденных ТС составляет:


2.4. Доля импортных грузовых автомобилей с прицепами в общем количестве поврежденных ТС составляет:


.5. Доля отечественных автобусов в общем количестве повреж-денных ТС составляет:


.6. Доля автобусов в общем количестве поврежденных ТС составляет:


.7. Доля мототранспортных средств в общем количестве поврежденных ТС составляет:

. Отношение количества ДТП, в которых производится расчет каждой составляющей ущерба к общему количеству ДТП приведено в таблице 4.10.

Таблица 4.10 - Отношение количества ДТП, в которых производится расчет каждой составляющей ущерба к общему количеству ДТП

Наименование составляющей ущерба

Обозначение отношения

Значение Отношения

1

Стоимость спасения ТС

G1

0,02

2

Стоимость эвакуации ТС

g2

0,10

3

Ущерб в случае невозможности либо экономической нецелесообразности восстановления ТС

G3

0,15

4

Стоимость работ по восстановлению ТС

g4

1,00

5

УТС

g5

0,50

6

Судебные издержки

g6

0,257

7

Ущерб из-за затрат времени, связанных с расследованием ДТП и возмещением убытков

g7

1,00

8

Невостребованная часть страхового возмещения

g7

0,45


. Ущерб на одно ТС владельцев транспортных средств для каждого вида транспортного средства.

Таблица 4.11 - Ущерб владельца ТС каждого вида по составляющим на одно ТС

Виды ТС, k

Δк

Составляющие потерь транспортного средства в руб.



1

2

3

4

5

6

7

8

g1 = 0,02

0,10

0,15

1,00

0,50

0,25

1,00

0,45



1

0,66

1000

400

25000

18500

6500

2000

300

540

2

0,17

1200

500

75000

48000

15500

2000

300

2100

3

0,074

2200

600

55000

37000

7500

2000

300

1500

4

0,006

2500

800

250000

150000

28000

2000

300

7500

5

0,008

2500

800

70000

75000

18500

2000

300

2100

6

0,002

2700

1000

375000

240000

37000

2000

300

8700

7

0,08

700

300

10000

3500

950

2000

300

360


Таблица 4.12 - Ущерб владельца ТС каждого вида в Московской области по составляющим на одно ТС

Виды ТС, k

Составляющие потерь транспортного средства (1), руб.


1

2

3

4

5

6

7

8

1

13,2

26,4

2475

12210

2145

330

198

160,4

2

4,08

8,5

1912,5

8160

1317,5

85

51

160,7

3

3,256

4,44

610,5

2738

277,5

37

22,2

49,95

4

0,3

0,48

225

900

84

3

1,8

20,25

5

0,4

0,64

84

600

74

4

2,4

7,56

6

0,108

0,2

112,5

480

37

1

0,6

7,83

7

1,12

2,4

120

280

38

40

24

12,96


Сумма всех значений таблицы составляет 36165,6 руб.


. Доля ТС, перевозивших груз в общем количестве поврежденных ТС (φ) составляет 30 %.

φ = 0,30.

. Доля случаев повреждений груза в общем количестве поврежденных в ДТП ТС, перевозивших груз (β) составляет 35 %:

β = 0,35.

. Ущерб владельца груза по составляющим.

.1. Доли случаев повреждения грузов, для которых производится расчет каждой составляющей ущерба груза в общем количестве повреждений груза приведены в таблице 4.13

Таблица 4.13

Наименование составляющей ущерба

Обозначение

Значение

1

Величина ущерба вследствие срыва дого-ворных обязательств по перевозке грузов

λ1

0,65

2

Величина ущерба из-за повреждения груза или уничтожения груза

λ2

1,00

3

Невостребованная часть страхового возмещения за груз

λ3

0,70


.2. Ущерб владельца груза по составляющим приведен в Таблице 4.14

Таблица 4.14

Составляющие потерь груза, q

1

2

3

Стоимость ущерба по каждой составляющей, руб.

500

13500

2800


.3. Ущерб владельцев груза и перевозчиков с учетом влияния каждой составляющей в Московской области представлен в таблице 4.15

Таблица 4.15

Наименование q-й составляющей ущерба

Ущерб по каждой составляющей потерь груза (Сq), руб.


1

2

3

Величина ущерба вследствие срыва договорных обязательств по перевозке пассажиров и грузов

λ1

325

8775

1820

Величина ущерба из-за повреждения груза или уничтожения груза

λ2

500

13500

2800

Невостребованная часть страхового возмещения за груз

λ3

350

9450

1960



Сумма всех значений таблицы 4.15 составляет 39480 руб.

. Расчет величины годового ущерба от ДТП в Московской области в 2008 году производится по формуле:

Сущ = 12988 · [36165,6 + 0,3 · 0,35 · 39480] = 523559 тыс. руб.

Годовой ущерб от ДТП в Московской области - 523559 тыс.руб.

5. БЕЗОПАСНОСТЬ ЖИЗНЕДЕЯТЕЛЬНОСТИ ВОДИТЕЛЯ АТС

.1 Воздействие на работоспособность водителя АТС вибрации

Вибрация - малые механические колебания, возникающие в упругих телах или телах, находящихся под воздействием переменного физического поля. Воздействие вибрации на человека класс-сифицируют: по способу передачи колебаний; по направлению действия вибрации; по временной характеристике вибрации. Основные параметры вибрации : частота (Гц), амплитуда колебания (м), период колебания (с), виброскорость (м/с), виброускорение (м/с2).

При действии на организм общей вибрации страдает в первую очередь нервная система и анализаторы: вестибулярный, зрительный, тактильный. Вибрация является специфическим раздражителем для вестибулярного анализатора, причем линейные ускорения - для отолитового аппарата, а угловые ускорения - для полукружных каналов внутреннего уха. У рабочих вибрационных профессий отмечены головокружения, расстройство координации движения, симптомы укачивания, вестибуловегетативная неустойчивость. Под влиянием общих вибраций отмечается снижение болевой, тактильной и вибрационной чувствительности. Особенно опасна толчкообразная вибрация, вызывающая микротравмы различных тканей с последующими реактивными изменениями. Общая низкочастотная вибрация оказывает влияние на обменные процессы, проявляющиеся изменением углеводного, белкового, ферментного, витаминного и холестеринового обменов, биохимических показателей крови.

Вибрационная болезнь от воздействия общей вибрации и толчков регистрируется у водителей автотранспорта. Для водителей машин, трактористов, бульдозеристов, подвергающихся воздействию низкочастотной и толчкообразной вибраций, характерны изменения в пояснично-крестцовом отделе позвоночника.

Рабочие часто жалуются на боли в пояснице, конечностях, в области желудка, на отсутствие аппетита, бессонницу, раздражительность, быструю утомляемость. В целом картина воздействия общей низко- и среднечастотной вибраций выражается общими вегетативными расстройствами с периферическими нарушениями, преимущественно в конечностях, снижением сосудистого тонуса и чувствительности.

Гигиеническое нормирование вибраций регламентирует параметры производственной вибрации и правила работы с виброопасными механизмами и оборудованием, ГОСТ 12.1.012-90 «ССБТ. Вибрационная безопасность. Общие требования», Санитарные нормы СН 2.2.4/2.1.8.556-96 «Производственная вибрация, вибрация в помещениях жилых и общественных зданий». Документы устанавливают: классификацию вибраций, методы гигиенической оценки, нормируемые параметры и их допустимые значения, режимы труда лиц виброопасных профессий, подвергающихся воздействию локальной вибрации, требования к обеспечению вибробезопасности и к вибрационным характеристикам машин.

5.2 Расчет пружинных виброизоляторов

Эффективное ослабление вибраций низкой частоты (ниже 15 Гц), в большинстве случаев, возможно лишь с помощью виброизоляторов из стальных пружин. Пружины просты, стабильны, дешевы, долговечны, малогабаритны и хорошо противостоят действию высокой температуры, при антикоррозийных покрытиях они не боятся сырости.

При расчете пружинных виброизоляторов следует учитывать статистические и динамические нагрузки по формуле:

Р = Рст + 1,5 Рдин, Н  (5.1).

где Р - расчетная нагрузка на одну пружину,

Рст - статистическая нагрузка на одну пружину,

Рдин - динамическая нагрузка на одну пружину,

,5 - коэффициент, учитывающий усталостные явления материала пружины.

Определяется динамическая и расчетная нагрузки на пружину:

Рдин = аКж, Н (5.2)

где а - амплитуда колебаний агрегата при рабочем режиме М,

Рдин - динамическая нагрузка на одну пружину,

Кж - жесткость одной пружины.

Амплитуда колебаний агрегата определяется по формуле:

, М (5.3)

где Рст - статическая нагрузка на пружину, Н,- масса источника колебаний, кг,

ωв - круговая частота вынужденных колебаний определяется по формуле:

, (5.4)

где ƒв - частота вынужденных колебаний, Гц.

Выбирается пружина с определенным индексом (отношение диаметра пружины к диаметру проволоки) в мм.

 (5.5)

Чем больше С, тем больше податливость пружины при одном и том же числе витков. Значение С рекомендуется принимать от 4 до 10. В зависимости от индекса пружины С, находим коэффициент Кс, учитывающий повышение напряжения в точках сечения прутка, лежащего на поверхности цилиндра диаметром Д1=Д-d (поправочный коэффициент, учитывающий кривизну витков).

Таблица 5.1

345678101112










1,51,371,31,241,21,171,141,151,11











Определяется диаметр прутка пружины d,мм и количество витков пружины:

, мм (5.6).

где [t]к - допускаемое напряжение кручения материала пружины, Па.

Из формулы (5.5) находится наружный диаметр пружины:

Д = С·d, мм

Определяется число рабочих витков пружины (некоторые витки, прилегающие к торцам, не участвуют в работе).

, (5.7)

где G - модуль упругости при сдвиге.

Определяется общее количество витков пружины:

= i1 + i2,

где i2 - число нерабочих витков пружины, которое изменяется:

при i1 >7i2 = 2,5

при i1<7i2 = 1,5

Определяется коэффициент жесткости пружины:

, Н/м (5.8)

Определяется статическая осадка пружины:

, м (5.9)

Находится собственная частота колебаний по формуле:

, Гц (5.10)

Определяется коэффициент передачи (КП) по формуле :

 (5.11)

и эффективность виброизоляции по формуле: Э = (1-КП)·100%

5.3 Пример расчета пружинных виброизоляторов

Рассчитать виброизоляцию двигателя внутреннего сгорания при испытании на стенде. Масса двигателя - 200 кг, максимальное число оборотов 4500 мин-1; масса асинхронного электродвигателя с плитой - 400 кг; максимальное число оборотов - 4000 мин-1.

Вид стенда с двигателем приведен на рисунке 5.1:

Рисунок 5.1 - Стенд испытания виброизоляции ДВС: 1- двигатель внутреннего сгорания, 2 - карданный вал, 3 - асинхронный трехфазный электродвигатель, 4 - плита

Рисунок 5.2 - Комбинированные виброизоляторы

Процесс испытания двигателя состоит из трех этапов: холодной приработки двигателя путем вращения его электродвигателем, приработки двигателя на холостом ходу, приработки двигателя под нагрузкой и приемки.

Режимы приработки двигателя приведены в таблице 5.2.

Стадия приработки

мин-1

Продолжительность, мин.

Холодная приработка

400-600

35

Горячая приработка на холостом ходу

1000-1500

85

Приработка двигателя под нагрузкой и приемка его при работе на полной нагрузке с максимальной частотой вращения

4000

120


Устройства, к которым относится данный вид двигателя, имеют широкий диапазон частот вынужденных колебаний. Для виброизоляции

В этом случае целесообразно применять комбинированные резино-металлические виброизоляторы, способные эффективно снизить колебания в широком диапазоне частот.

Решение

.Частота вынужденных колебаний (поскольку максимальная амплитуда колебаний стенда при частоте вращения двигателя n=400 мин-1).

 Гц;

.Частота собственных колебаний установки принимается в три раза меньше вынужденных, т.е.

, Гц

.Требуемая статистическая осадка установки

 м;

.Суммарный коэффициент жесткости пружинных и резиновых виброизоляторов

 Н/м;

Учитывая, что вес установки распределяется поровну между пружинными и резиновыми виброизоляторами, то и их жесткость должна быть разделена поровну:

 Н/м;

.Жесткость одной пружины (из условий компоновки стенда число пружин n = 6)

 Н/м;

. Динамическая и расчетная нагрузка на одну пружину

 Н,

где  Рад/с,

где  Рад/с.

7.Индекс пружины


.Диаметр прутка пружины

 м.

.Наружный диаметр пружины

 м

.Число витков пружины


. Полное число витков пружины


. Фактический коэффициент жесткости всех пружинных виброизоляторов

 Н/м

13.Фактическая статическая осадка всех пружин виброизоляторов

 м

.Фактическая собственная частота колебаний

 Гц

.Коэффициент вибропередачи


.Эффективность виброизоляции


Аналогичным образом рассчитывается эффективность виброизоляции при других частотах и данные заносятся в таблицу.

Пример расчета резиновых виброизоляторов производится на fв = 4 000 мин-1 для резины специальных сортов (δ = 0,3·106 Н/м2).

.Площадь поперечного сечения всех резиновых элементов

 м2

18.Площадь одного резинового элемента

 м2

.Рабочая высота резинового элемента

 м

.Полная высота резинового элемента

 м

.Форму резиновых элементов принимаем цилиндрической с отверстием для крепления Æ10 мм.

 м

Н > 0,45·R, т.е. условие выполняется.

Рисунок 5.3

.Фактическая статическая осадка резиновых элементов

 м

.Фактическая собственная частота резиновых виброизоляторов

 Гц

.Коэффициент вибропередачи для резиновых элементов


.Эффективность виброизоляции с применением резиновых виброизоляторов


Аналогичным образом, повторяя п.п. 15, 16, 24, 25 для разных fв, проводится расчет виброизоляции на всех оборотах двигателя и данные заносятся в таблицу.

транспортный происшествие экспертиза виброизолятор

Таблица 5.3 - Эффективность виброизоляции в зависимости от оборотов

Количество оборотов, мин-1.

Эффективность виброизоляции, %


Виброизоляторы


Резиновые

Пружинные

Комбинированные

400

84

99,6

91,8

600

88

92

90

1 000

89,6

91,8

90,7

1 500

94,5

90

92,25

4 000

98,1

88

93,05


По данным таблицы составляется график зависимости эффективности виброизоляции от частоты вращения вала двигателя.

Рисунок 5.4

Таким образом, эффективность комбинированных вибро-изоляторов при низких частотах выше, чем резиновых, а на высоких частотах выше, чем пружинных. Это позволяет применять их на установках с большим диапазоном частот.

Завершая эту главу дипломной работы необходимо отметить, что под влиянием вибрации в организме водителей могут наступать различные психофизиологические изменения, в том числе изменения в системе кровообращения, в центральной нервной системе, в мозге, костно-суставной системе и в мышцах. Воздействие вибрации может привести к функциональным нарушениям, которые не носят затяжного характера и быстро исчезают после непродолжительного отдыха. Под действием вибрации ухудшается зрительное восприятие, снижается качество внимания, замедляется реакция, снижается точность действия.

Для уменьшения отрицательного воздействия этих явлений современные автомобили комплектуются:

вибродемпферами, виброизоляторами;

крупногабаритными глушителями шума выпуска отработанных газов с шумозаглушающим эффектом;

каталитическими нейтрализаторами;

камерами дополнительных (предварительных) глушителей, заполненными шумопоглощающей набивкой из специального волокна, металлической шерсти, стекловолокна;

термоэкранами в виде слоеных листов конструкций;

сильфонными или шаровыми компенсаторами колебаний выхлопной системе;

крупногабаритными воздухоочистительными системами впуска двигателей, которые кроме функции очистки воздуха, выполняют параллельную функцию глушения шума впуска;

электровентиляторами систем охлаждения двигателя с закольцованной крыльчаткой вентилятора, чем реализует беззазорное сочленение периферии лопастей с направляющим кожухом, благоприятное сточки зрения минимизации генерируемого аэродинамического шума вентилятора;

генераторами низкошумной конструкции.

Перечисленные выше и другие мероприятия по вибро- шумозащите - важные направления развития мирового автомобилестроения, существенно повышающие безопасность жизнедеятельности водителей и пассажиров.

ЗАКЛЮЧЕНИЕ

Современное общество не может существовать и развиваться без пространственного перемещения людей, средств и продуктов их труда. Основанный на использовании транспортной техники процесс удовлетворения данной общественной потребности организован в настоящее время таким образом, что его конечным результатом является не только достижение позитивной цели (в виде пассажирских, грузовых перевозок, осуществления естественного перемещения людей), но и транспортный травматизм, огромные убытки от повреждения техники и грузов.

Наибольшие социальные и экономические потери, исчисляемые ежегодно сотнями тысяч травмированных людей, в том числе около 40 тысяч со смертельным исходом, многими триллионами рублей материального ущерба, приносит обществу дорожное движение - процесс сухопутного, наземного перемещения, материальной основой которого являются автомототранспортные средства и автомобильные дороги. По масштабу последствий дорожно-транспортную аварийность (ДТА) можно считать техногенной катастрофой.

В большинстве стран аварийность на автомобильном транспорте превратилась в одну из важнейших социально-экономических проблем. Не случайно положение с безопасностью дорожного движения Организация Объединенных Наций характеризует как глобальный кризис. По данным Всемирного Банка ежегодный экономический ущерб превышает 500 млрд. долларов.

К сожалению, Россия не является исключением. Сегодня Россия переживает период бурной автомобилизации. Стремительно растет число автомобилей, повышается интенсивность транспортных потоков, меняются традиционные понятия о мобильности человека, о транспортной доступности территорий.

По основным показателям аварийности Российская Федерация входит в группу стран с ухудшающейся ситуацией. В России число погибших на 100 тыс. жителей в три раза выше, чем в Великобритании и Швеции, в два раза, чем в Германии, Дании и Канаде. Тяжесть последствий ДТП в нашей стране в 10-12 раз превышает значения этого показателя в других странах. При этом только в России темпы прироста погибших и раненых опережают темпы прироста автопарка.

Россия значительно выделяется среди экономически развитых стран по уровню дорожно-транспортного травматизма. Число погибших на 10 тыс. транспортных средств в 3-5 раз превышает аналогичные показатели зарубежных стран. Число погибших на 100 тыс. населения в 1,5 - 2 раза выше, чем в странах развитой автомобилизации. Особенно неблагополучное положение сложилось с тяжестью последствий ДТП, которая в 3-10 раз выше, чем в развитых странах.

Дорожно-транспортные аварии наносят экономике России значительный ущерб, составляющий в последние 4 года 2,2 - 2,6 процента валового внутреннего продукта страны (в 2010 году ущерб составил 402 млрд. рублей, в том числе в результате гибели и ранения людей - 267,2 млрд. рублей).

Проблемы повышения безопасности дорожного движения постоянно привлекают внимание исследователей различного научного профиля. В данной работе были решены следующие задачи:

В первой ее части раскрыты теоретические аспекты экспертного анализа дорожно-транспортного происшествия в виде наезда на неподвижное препятствие, понятие трасологической экспертизы транспортных средств и экспертного исследования.

Во второй части рассмотрена техника экспертного анализа, в таких методах как: определение замедления, определение перемещений ТС в процессе торможения, исследование маневра ТС.

В следующей третьей части работы показаны методы решений поданной проблематике, а именно сбор исходных данных для экспертных исследований, детальное изучение обстоятельств наезда на неподвижное препятствие, исследование факта превышения скорости ТС в момент ДТП.

Далее, в четвертой части, рассмотрена оценка ущерба от ДТП вследствие повреждения автотранспортных средств и грузов, показана структура составляющих ущерба.

В пятой части дипломной работы, исследованы факторы влияющие на безопасность жизнедеятельности водителей автотранспорта, в частности раскрыто воздействие на работоспособность водителя АТС вибрации, проведен расчет пружинных виброизоляторов, приводящих рабочее место водителя к санитарным нормам.

В заключении хотелось бы отметить, что как показывает анализ статистики, основной причиной подавляющего большинства ДТП является сознательное нарушение и водителями, и пешеходами правил дорожного движения. Это говорит о крайне низкой культуре поведения на дорогах, о безответственности и правовом нигилизме.

Современные масштабы потерь от аварийности в нашей стране таковы, что о деятельности, направленной на повышение безопасности дорожного движения, можно говорить как о решении задач по защите таких гарантированных Конституцией РФ прав человека и гражданина, как право на жизнь, на охрану здоровья, на условия труда, отвечающие требованиям безопасности. И здесь решающее значение приобретает разработка и реализация системы мер экономического, правового, организационного, технического, медицинского характера, которые бы позволили максимально использовать возможности государства и общества для преодоления негативных последствий автомобилизации.

СПИСОК ИСПОЛЬЗОВАННОЙ ЛИТЕРАТУРЫ

1.   Федеральный закон от 15 ноября 1995 г. ФЗ «О безопасности дорожного движения».

2.      Постановление Правительства РФ от 29 июня 1995 г. N 647 Об утверждении правил учета дорожно-транспортных происшествий (с изменениями 14 февраля 2009 г.) "Собрание законодательства РФ", 10.07.1995, N 28, ст. 2681.

.        Правила дорожного движения Российской Федерации, утвержденные постановлением Правительства РФ от 23.10.1993г.

.        Федеральная целевая программа «Повышение безопасности дорожного движения в 2006 - 2012 гг.» [Электронный ресурс] - Режим доступа: http://www.gibdd.ru, свободный.

.        Амбарцумян В.В. Проблемы обеспечения безопасности дорожного движения: дис. докт. техн. наук / Ереван. гос. ун-т. - Ереван, 2000. - 386 с.

.        Батяев А.А. ДТП. Практические рекомендации для водителя. Москва.: Изд. Экспо. - 2010.-255с.

.        Бодров В.А. Оказание медицинской помощи пострадавшим в дорожно-транспортных происшествиях // Социально-гуманитарные знания. - 2007. - №5. - С. 46.

.        Веретехин Н.В. Совместное решение проблем безопасности дорожного движения // Автомобильный транспорт. - 2009. - №3. - С.20 - 25.

.        Волгин В.В. Если в ДТП виновата дорога. М: Изд: ДНК - 2009 г. - 242с.

.        Гибадатов Р.А., Никонов В.Н. Комплексная судебная экспертиза в расследовании ДТП // Вестник юстиции. 2011. N 4. С. 16 - 20.

.        Домахин С.А. Ответственность за преступления на автотранспорте.// М. - Госюриздат- 2006. - 328с.

.        Дорожно-транспортные происшествия. Расследование, реконструкция, экспертиза. С. А. Евтюков, Я. В. Васильев. М: Изд: ДНК - 2008 г. - 412с.

.        Емельянов Д.В. Актуальные вопросы практики применения норм, регулирующих отношения по возмещению вреда, причиненного дорожно- транспортным происшествием.// Право и политика. -2010. - N 4

.        Еникеев М.И. Пропаганда правильного поведения на дорогах // Автомобильный транспорт. - 2009. - №3. - С.25 - 26.

.        Ермаков Ф. Профилактика дорожных происшествий//Сов. Юстиция. -1967. -231с.

.        Зотов Б.Л. Расследование и предупреждение автотранспортных происшествий // Дорожная держава. - 2007. - №1. - С. 7 - 12

.        Жулев В.И. Предупреждение дорожно-транспортных происшествий. - М., 2006.

.        Игнатов Л.Н. Организационные основы деятельности органов внутренних дел по обеспечению дорожного движения. - М., 2011. - С.6.

.        Иванов В.Н. Как избежать ДТП. На закруглениях дорог, соблюдение безопасной дистанции. Комментарии в иллюстрациях. - М., Изд. Дело. 2011. -410с.

.        Иванова. Э. Некоторые вопросы уголовно-правовой оценки провоцируемых дорожно-транспортных происшествий//Адвокатская практика, 2009, N 5.

.        Ищенко О. Система поэтапного доступа к управлению транспортным средством за рубежом // Автомобильный и городской транспорт. - 2008. - №2. - С. 63.

.        Квасов А.А. Организация и безопасность дорожного движения // Автомобильная промышленность. - 2010. - №4. - С. 35 - 38.

.        Клинковштейн Г. И. Организация дорожного движения. - М., 2009. - С. 112.

.        Кирьянов В. Проблема детского травматизма на дорогах // Организация и безопасность дорожного движения. - 2012. - №6. - С.3 - 7.

.        Косолапова О. Теория, практика и экономика безопасности на дорогах [Электронный ресурс] - Режим доступа: http: // www.stopgazeta.ru

.        Комментарии правил дорожного движения РФ и основ расследования ДТП. Справочно-информационный путеводитель. Библиотечка Российской газеты. -2011. -выпуск 12. -С.190.

.        Коваль А. Обеспечение безопасности дорожного движения в России // Аналитический вестник. - 2011. - №15.

.        Комментарий к правилам дорожного движения Российской Федерации и допуску транспортных средств к эксплуатации и обязанностям должностных лиц по обеспечению безопасности дорожного движения. Под общей ред. В. А. Федорова. - М: За рулем, 2009.- №6. - С.3 - 7.

.        Комментарий к уголовному кодексу Российской Федерации //Под ред. А.А. Чекалина, В.Т. Томина, В.В. Сверчкова. -М.: Юрайт-Издат, 2007. 148с.

.        Корнеева О.В. Возмещение вреда, причиненного жизни и здоровью в результате ДТП. М.: Изд. Норма. -2011.-287с.

.        Криминалистика. Учебник. Под ред. Т.А. Седовой, А.А. Эксархапуло. Спб., Лань. 2011. -С. 853.

.        Криминалистика. /Под ред Е.П. Ищенко, А.Г. Филлипова // Высшее образование. -М.: Норма, - 2010 - С. 315.

.        Кузьмин Е.С., Степкин Ю.П. Некоторые социально-психологические аспекты безопасности дорожного движения // Психологический журнал. - 2010. - Т.3. - №5. - С.36 - 38.

.        Лукьянов В.В. Безопасность дорожного движения. - М., 2009. - С. 47.

.        Лончинский Б.Н. ДТП. Ошибки водителей приведшие к их возникновению. М.: Дека. - 2010. - 310с.

.        Майлис Н.П. Руководство по трасологической экспертизе. М: Щит-М. - 2011. -288с.

.        Методика расследования преступлений: правоприменительная практика и комментарий законодательства. /Под ред. Ю.П. Гармаева -М.: 2003.

.        Миньковский Г.М., Магомедов А.А., Ревин В.П. О состоянии безопасности дорожного движения.- М: Брандес, 2008.- 528с.

.        Милешина О.О. Теория судебной экспертизы. Краткий курс. М.:- Изд. Окей-Книга. - 2010. 410с.

.        Нестеров А.В. Основы экспертной деятельности. - Издательство: Высшая Школа Экономики (Государственный Университет). 2009.

.        Основные положения по допуску транспортных средств к эксплуатации и обязанности должностных лиц по обеспечению безопасности дорожного движения [Электронный ресурс] - Режим доступа: http://www.gibdd.ru, свободный.

.        Полтев К.М. Физиология и психология водителя и безопасность движения. // Автомобильный и городской транспорт. - 2010. - №6. - С.18 -20.

.        Пучкин В.А. Основы экспертного анализа дорожно-транспортных происшествий: База данных. Экспертная техника. Методы решений. - Ростов н/Д:- 2010. - 400 с.

.        Пучкин В.А., Лозовой В.И. Справочно-нормативные материалы для эксперта-автотехника. Новочеркасск: ЮРГТУ (НПИ) - ЮРЦСЭ МЮ РФ, 2008.- 422с.

.        Пушной А.В., Каплиев А.А. Применение параметров замедления автомобилей зарубежного и отечественного производства в экспертной практике: метод, рекомендации. М.: ЭКЦ МВД РФ, 2007.

.        Расследование дорожно-транспортных происшествий / под общ. ред. В.А. Фёдорова, Б.Я. Гаврилова. 2-е изд., перераб. и доп. М.: Экзамен, 2009.- 342с.

.        Россинский Б.В., Кузякин Ю.П. Судебные экспертизы по делам, связанным с дорожно-транспортными происшествиями//Законы России: опыт, анализ, практика. -2009. - N 11.

.        Россинский Б.В., Кузякин Ю.П. Производство по делам об административных правонарушениях // Комментарий к Правилам дорожного движения Российской Федерации. Ч. 5. М.: НОРМА, 2008. С. 468 - 488.

.        Суворов Ю.Б., Мельников С.В. Особенности судебного рассмотрения уголовных дел о ДТП// (Законы России: опыт, анализ, практика. - 2009. - N 11.

.        Суворов Ю.Б. Судебная дорожно-транспортная экспертиза. М.: Право и закон, 2008. -С. 54.

.        Суходольский В.Г. Руководство по трасологической экспертизе. М: Издательство: Гуманитарный центр. - 2008. 354с.

.        Тамбовцев Е.А. Краткая криминологическая характеристика дорожно-транспортных преступлений// Российский следователь. - 2009. - N 6. -С. 14

.        Федоров В.А, Анферова В.А. Расследование дорожно-транспортных преступлений. М.: Юрид. лит., 2008. С. 204.

.        Хомов Б.Д. Концептуальное представление транспортного и дорожного обеспечения экономической безопасности // Дорожная держава. - 2010. - №3. - С. 5 - 12.

.        Шахриманьян И.К. Безопасность дорожного движения. - М., 2012. - С.38.

.        Экспертиза ДТП С.А. Евтюков, Я.В. Васильев. Москва., Изд: ДНК. -2010. -289с.

57.    Сайт ГИБДД МВД РФ <http://www.gibdd.ru>

Похожие работы на - Экспертный анализ дорожно-транспортных происшествий

 

Не нашли материал для своей работы?
Поможем написать уникальную работу
Без плагиата!
Без нейросетей!