Технологические процессы и организация работы участковой станции

  • Вид работы:
    Курсовая работа (т)
  • Предмет:
    Транспорт, грузоперевозки
  • Язык:
    Русский
    ,
    Формат файла:
    MS Word
    181,17 Кб
  • Опубликовано:
    2013-08-06
Вы можете узнать стоимость помощи в написании студенческой работы.
Помощь в написании работы, которую точно примут!

Технологические процессы и организация работы участковой станции















Курсовая работа

Технологические процессы и организация работы участковой станции

Содержание

ВВЕДЕНИЕ. ОРГАНИЗАЦИЯ РАБОТЫ УЧАСТКОВОЙ СТАНЦИИ

.1Технико-эксплуатационная характеристика

.2 Технология обработки транзитных поездов

.2.1 Технология обработки транзитных поездов без переработки

.2.2 Технология обработки транзитных поездов с переработкой

.2.3 Технология обработки поездов своего формирования

.3 Охрана труда и безопасность движения. РАЗРАБОТКА СУТОЧНОГО ПЛАНА ГРАФИКА

.1 Нормирование технологических операций

.2 Организация маневровой работы

.3 Расчет показателей работы станции

.3.1 Назначение, содержание и порядок построения суточного плана графика

.3.2 Расчет показателей работы станции

.3.3 Средний простой местного вагона на станции

.3.4 Коэффициент сдвоенных операций

.3.5 Средний простой местного вагона под одной грузовой операцией

.3.6 Рабочий парк вагонов на станции

.3.7 Коэффициент использования маневровых локомотивов

ЗАКЛЮЧЕНИЕ

Список используемой литературы

норма время движение локомотив станция

ВВЕДЕНИЕ

Транспорт играет огромную роль в экономике нашей страны. От его работы зависит нормальное развитие и функционирование предприятий, промышленности, сельского хозяйства, снабжения и торговли.

Перед железнодорожным транспортом стоят задачи комплексного развития и повышения эффективности использования транспортных средств, ускорение оборота вагона, увеличение массы и скорости движения поездов.

Железные дороги России являются основным видом транспорта для перевозки массовых грузов и пассажиров. Велико его значение во внешних экономических связях, в деле обороны страны, в освоении новых экономических районов. Работа железных дорог отличается от других видов транспорта, входящих в единую транспортную сеть, так как все сооружения и устройства железнодорожного транспорта имеют преимущества и технико-экономические особенности перед другими видами транспорта.

Чтобы железнодорожный транспорт мог эффективно выполнять свои функции, он должен действовать как единый организм. Все его подразделения должны работать в тесной взаимосвязи.

Важнейшие требования к работе железных дорог - обеспечение полной безопасности движения поездов, безопасности пассажиров и сохранности перевозимых грузов. Весь перевозочный процесс начинается на станциях и заканчивается на них. На железных дорогах России имеются тысячи железнодорожных станций, разъездов, устройств СЦБ, вычислительных центров, которые должны обеспечить бесперебойную и согласованную работу по выполнению плана перевозки грузов и пассажиров, среди них огромное место принадлежит участковым станциям

Работа участковой станции заключается в пропуске и техническом обслуживании сквозных, грузовых и пассажирских поездов, в экипировке и смене локомотивов, смене бригад, в формировании и расформировании сборных и участковых, а в отдельных случаях грузовых, маршрутных и пассажирских поездов, начинающих и заканчивающих следование на данной станции. Кроме того, на участковой станции «В» принимаюти выдают местные грузы на грузовых дворах и подъездных путях промышленных предприятий, ремонтируют подвижной состав и выполняются другие операции. Работа станции организуется на основе технологического процесса.

Предметом исследования курсового проекта является участковая станция поперечного типа расположенная на двухпутном участке.

Объектом исследования в курсовом проекте является технология обработки поездов различных категорий: транзитных без переработки; транзитных с переработкой (в разборку); поездов своего формирования.

Целью курсового проекта является согласование работы всех цехов станции, их взаимодействие с графиком прибытия и отправления поездов, с работой подъездных путей предприятий.

В соответствии с целью курсового проекта необходимо решить следующие задачи:

·        установить оптимальные технологические процессы работы участковой станции

·        определить нормы времени необходимые на маневровые передвижения

·        построить суточный план-график работы станции

·        рассчитать показатели работы станции

I. ОРГАНИЗАЦИЯ РАБОТЫ УЧАСТКОВОЙ СТАНЦИИ

1.1 Технико-эксплуатационная характеристика

Участковая станция «В» по взаимному расположению приемо-отправочных путей является станцией поперечного типа. Станция расположена на двухпутном участке, оборудованном автоблокировкой.

Данная участковая станция имеет два приемо-отправочных парка: ПО-I, который имеет 3 пути для нечетных поездов и ПО-II, который имеет 4 пути для четных поездов и сортировочный парк, в котором 6 путей.

Для подачи поездного локомотива под составы или пропуска локомотивов в депо на станции имеется один ходовой путь, для производства маневровой работы два вытяжных пути № 28, 29. Для приема и отправления пассажирских поездов обоих направлений имеется путь № 3; к станции примыкает путь на грузовой двор и подъездной путь предприятия.

На участках «А-В» , «В-Г» эксплуатируются грузовые локомотивы серии ВЛ-10. Для производства маневров на данной участковой станции используются маневровые локомотивы серии- ЧМЭ-3.

Расформирование и формирование составов производится серийными толчками. Полезная длина приемо-отправочных путей составляет 850 м, уклон вытяжных путей 2,0‰ , все стрелки включены в электрическую централизацию.

Общая погрузка станции составляет 50 вагонов. На станцию поступают 25 четных грузовых поездов, в том числе в разборку- 5, нечетных грузовых поездов 25, в том числе в разборку- 5. На станцию прибывает 4 пары пригородных поездов и 6 пассажирских поездов.

Специализация парков и путей станции. Число путей в приемо-отправочных парках станции соответствует заданию. Специализация сортировочных путей установлена в соответствии с планом формирования поездов из расчета, что на каждое назначение выделен один путь, кроме того, выделяются отдельные пути для местных вагонов, вагонов, подлежащих отцепочному ремонту, вагонов с опасными грузами, путь для отсева вагонов, которые не могут быть сразу включены в поезд по требованию ПТЭ. В приемо-отправочных парках предусмотрены пути для транзитных поездов, поступивших в переработку, а также для поездов своего формирования.

Таблица 1. Специализация путей станции «В»

№ пути

Назначение пути

I

Главный путь для пропуска нечётных сквозных пассажирских и грузовых поездов

II

Главный путь для пропуска четных сквозных пассажирских и грузовых поездов

3

Приемо-отправочный для приема, стоянки и отправления пассажирских и пригородных поездов

5

Приемо-отправочный для нечётных транзитных поездов без переработки из «Г» на «А»

7

Для приема грузовых поездов из «Г» в разборку

9

Для отправления грузовых поездов своего формирования на «А»

10

Ходовой путь

12

Для приема транзитных грузовых поездов обоих направлений

14

Приемо-отправочный для транзитных поездов без переработки из «А» на «Г»

16

Для приема грузовых поездов из «А» в разборку

18

Для отправления грузовых поездов своего формирования на «Г»

21

Для накопления вагонов участкового поезда на «А» и далее

22

Для накопления вагонов сборного поезда на участок «В-А»

23

Для накопления вагонов участкового поезда на «Г» и далее

24

Для накопления вагонов сборного поезда на участок «В-Г»

25

Для местных вагонов

26

Для порожних и неисправных вагонов

28

Вытяжной путь

29

Вытяжной путь


Маршруты следования поездов и локомотивов по станции. В курсовом проекте рассматриваются маршруты:

·        прием поездов различных категорий на станцию, указывается номер пути приема поезда, а также номера стрелочных переводов, входящих в маршрут приема поезда;

·        следование локомотива, в локомотивное депо, для четных поездов указываются номера стрелочных переводов, а для нечетных поездов также указывается номер ходового пути.

Маршруты следования поездов различных категорий, в зависимости от специализации путей в приёмо - отправочных парках приведены в таблице 2.

Таблица 2. Маршруты следования

Категория поезда

Из

Номера пути приема и стрелок, входящих в маршрут

На

Номера стрелок, входящих в маршрут следования локомотива в депо

1

2

3

4

5

Транзитный поезд без переработки

А

14 путь, стрелки № 6/8;10/12;14/16;18/20;22;26;38;44;46

Г

С 14 пути, стрелки № 55/53;43;37;27/25;21/23;19/17;7/5

Транзитный поезд без переработки

Г

5 путь , стрелки № 1/3;5/7;19/17;23/21;25/27;35/33;45/47

А

С 5 пути, стрелки № 74/72;70;62/60;54;52/50;40/42;вытяжка 28;стрелки № 40/42;52/50;54;ходовой путь 10;стрелки № 73/71;47/45;35/33;25/27;21/23;19/17;7/5

Транзитный поезд с переработкой

А

16 путь, стрелки № 6/8;10/12;14/16;18/20;22;26;38;44;46;48

В разборку

С 16 пути, стрелки № 57/55/53;43;37;27/25;21/23;19/17;7/5

Транзитный поезд с переработкой

Г

7 путь, стрелки № 1/3;5/7;19/17;23/21;25/27;35/33;45/47;71

В разборку

С 7 пути, стрелки № 74/72;70;62/60;54;52/50;40/42;вытяжка 28;стрелки № 40/42;52/50;54;ходовой путь 10;стрелки № 73/71;47/45;35/33;25/27;21/23;19/17;7/5


Оперативное руководство и планирование работы станции. Оперативные планы должны отражать порядок организации перевозок грузов: От момента подачи заявки на перевозку до момента сдачи груза клиенту; От момента подачи заявки до момента сдачи груза по стыковому пункту на соседнюю дорогу; От момента приема груза по стыку (порту, парому, пограничному переходу) до момента сдачи груза на соседнюю дорогу или в другое государство.

Виды оперативных планов. В зависимости от схемы дороги и Опорных центров различают следующие виды оперативных планов: Многодневный (по 3-суточным периодам) план проездной и грузовой работы; Сменно-суточный план работы дороги; Сменно-суточный план местной работы Опорных центров; Текущий план (по 4-часовым периодам) работы Опорных центров; Сменно-суточный и текущий план работы сменных диспетчеров в ЕЦДУ.

Структура оперативного руководства работы станции приведена на рис.1.

рис. 1. Структура оперативного руководства.

ДСЦ (маневровый или станционный диспетчер): осуществляет оперативное руководство единой сменой, устанавливает очередность расформирования и формирования вагонов, контролирует и обеспечивает выполнение технологических норм простоя вагонов на станции, ведет график исполненной работы, ведет учет поездообразования. Обрабатывает информацию о поездах и вагонах поступивших из отделения дороги и станций формирования поездов, контролирует соблюдение работниками правил безопасности движения поездов и маневровой работы, а так же личной безопасности каждого. Контролирует соблюдение трудовой и технологической дисциплины. ДСП: прием, отправление и пропуск поездов, а также готовит маршрут маневровых передвижений.

ДСПП- дежурный по парку: выдает предупреждения на поезд; предъявляет к осмотру работникам ПТО и ПКО поезда и вагоны; производит прицепку и отцепку вагонов поездным локомотивом в отсутствии маневровой бригады; закрепляет вагоны тормозными башмаками и снимает их; выполняет любую работу по указанию ДСЦ.

Оперативное планирование работы станции. Задача оперативного планирования - обеспечить выполнение заданных объемов работы, технологического процесса графика движения поездов и плана формирования, а также соблюдение норм времени на операции с поездами и вагонами.

Оперативное планирование производится на основании информации о подходе поездов и вагонов из отделения дороги или по станции формирования поезда в виде телеграммы - натурного листа.

Оперативные планы бывают: суточные; сменные; сменные задания.

Каждый из таких планов состоит из двух частей:

·  план поездной работы: количество поездов по прибытию всего, в том числе в разборку; количество поездов по отправлению всего, в том числе своего формирования; задания на сдачу порожних вагонов по роду подвижного состава;

·        план грузовой работы: общая погрузка, в том числе маршрутами, выгрузка, подготовка порожних вагонов под погрузку.

1.2. Технология обработки транзитных поездов

1.2.1 Технология обработки транзитных поездов без переработки

Обработка транзитных поездов без переработки включает в себя операции по техническому обслуживанию состава, коммерческому осмотру, смене локомотивов, бригад и опробованию тормозов. Имея информацию о прибытии поездов на станцию, дежурный по станции совместно с маневровым диспетчером намечает путь приема, готовит маршрут и сообщает оператору СТЦ поста списывания, оператору ПТО, дежурному по парку и старшему приемосдатчику парка о времени прибытия, номере, назначении поезда и пути приема.

Кроме того, дежурный по станции с помощью парковой громкоговорящей связи оповещает всех работников, причастных к обработке поезда.

Прибывающий транзитный поезд встречают на пути приема: группа осмотрщиков-ремонтников ПТО; два приемосдатчика поездов; дежурный по парку; работники военизированной охраны (если в поезде есть ценный груз).

1.2.2 Технология обработки транзитных поездов с переработкой

Транзитные поезда с переработкой поступают на станцию в разборку. На такие поезда со станции их формирования поступает телеграмма - натурка.

Такие телеграммы - натурки оператор станционного технологического центра размечает и предварительно составляет сортировочный листок. При выходе такого поезда с соседней станции ДСП объявляет работникам, участвующим в его обработки по громкоговорящей связи время и номер пути его прибытия.

Работники ПТО и ПКО начинают проверку состава в горловине. Оператор СТЦ считывает состав.

После остановки поезда на пути приема, он закрепляется тормозными башмаками, поездной локомотив отцепляется и уходит в депо, документы на поезд передаются оператору СТЦ и состав ограждается с двух сторон.

Продолжается технический и коммерческий осмотры. Одновременно с этим Оператор СТЦ проверяет документы.

Рис. 2. График обработки транзитного поезда без переработки со сменой локомотивных бригад

Операция

До прибытия поезда

Время, мин

Исполнители



0 10 20 30


Получение от поездного диспетчера сообщения о номере, назначении и времени прибытия поезда.





ДСП.

Извещение работников технического контроля, ПТО, ПКО, дежурного по локомотивному депо, времени прибытия и пути приема поезда. Выписывание предупреждения.





ДСП, оператор при ДСП.

Выход на путь приема работников, участвующих в обработке поезда и его встречи.





Работники ПТО, ПКО, локомотивная бригада.

Ограждение прибывшего поезда и локомотива.


2



Работники ПТО.

Контрольный технический и коммерческий осмотры, устранение неисправностей.


 15



Работники ПТО и ПКО.

Прием и сдача локомотивов, пакета с грузовыми документами. Вручение предупреждения. Опробование автотормозов и отправление поезда.


 15

 


Локомотивная бригада, работники ПТО.

Общая продолжительность обработки поезда.


15




После окончания осмотров ограждение снимается, составитель поездов прицепляет к составу маневровый локомотив, получает сортировочный листок, откорректированный оператором СТЦ после технического и коммерческих осмотров. Согласно этому листку составитель начинает расформировывать состав. Технология обработки транзитных поездов с переработкой приведена на рисунке 3.

Рис. 3. График обработки транзитного поезда с переработкой

 Операция

До прибытия поезда

Время, мин

 Исполнители



 0 5 10 15 20


Получение, разметка и пересылка телеграммы - натурного листа в ПТО и маневровому диспетчеру.






Оператор СТЦ.

Составители сортировочного листа.






Оператор СТЦ.

Получение от поездного диспетчера сообщения о номере поезда и его прибытия.






ДСП.

Извещение работников ПКО и ПТО о времени и пути прибытия.






ДСП.

Контрольная проверка состава во входной горловине.






Оператор СТЦ.

Доставка грузовых документов в СТЦ.


 5




Оператор СТЦ.

Проверка грузовых документов и внесение изменений в разметку телеграммы - натурного листа и сортировочного листа.



 10



Оператор СТЦ.

Закрепление состава, его ограждение, технический осмотр, разъединение и подвешивание автотормозных рукавов.



 15



Работники ПТО.

Коммерческий осмотр состава.



 15



Приемщики поезда.

Общая продолжительность обработки прибывшего поезда



 15




1.2.3 Технология обработки поездов своего формирования

В результате расформирования составов поездов на путях сортировочного парка накапливаются новые вагоны на новые поезда. После накопления завершается формирование поезда. Маневровый диспетчер согласовывает путь перестановки из парка сортировки в парк отправления с дежурным по станции. Состав переставляется маневровым локомотивом и закрепляется тормозными башмаками. После отцепки маневрового локомотива состав ограждается и производятся технический и коммерческий осмотры.

Одновременно с осмотрами оператор СТЦ оформляет натурный лист на поезд и подбирает к нему документы на каждый вагон. По окончанию осмотров документы передаются локомотивной бригаде под расписку в журнале. После опробования автотормозов снимается закрепление и состав отправляется. Технология обработки поездов своего формирования приведена на рисунке 4.

Рис. 4. График обработки поезда своего формирования

Операции

До перестановки в парк ПО

Время, мин

Исполнители



0 5 10 15 20 25 30


Оформление натурного листа, подборка документов.








Оператор СТЦ.

Согласование пути перестановки состава.








ДСЦ, ДСП.

Перестановка состава в ПО, отцепка локомотива.








Локомотивная бригада.

Конвертирование и пересылка документов в ПО.


10






Оператор СТЦ.

Техническое обслуживание состава.



20





Работники ПТО.

КО и устранение неисправностей.



20





Приемщики поездов.

Вручение документов машинисту.






3


Оператор СТЦ.








10

Локомотивная бригада.










Общая продолжительность



30













1.3 Охрана труда и безопасность движения

Охрана труда. Первейшей обязанностью каждого железнодорожника, связанного с движением поездов, является безусловное обеспечение безопасности движения, сохранности перевозимых грузов, багажа и грузобагажа, а также соблюдение требований охраны окружающей среды.

При высоких скоростях и большой интенсивности движения безаварийная работа может быть гарантирована соблюдением каждым работником норм содержания технических средств и выполнением установленных правил безопасности по кругу своих обязанностей. Человеческий фактор играет важную роль в обеспечении безопасности.

Нарушения правил безопасности могут быть вызваны разными причинами: стихийными явлениями, внезапными повреждениями внешне исправных частей пути, подвижного состава, контактной сети, моральным старением технических средств, но больше всего ошибками и упущениями работников, связанных с движением поездов.

Из всех последствий аварий и крушений самым печальным являются несчастные случаи с людьми. Но даже при неожиданных ситуациях квалифицированные и решительные действия железнодорожников позволяют предотвратить тяжелые последствия. Аварии и браки на железнодорожном транспорте могут быть полностью исключены при четком соблюдении каждым работником своих должностных обязанностей.

Существенная мера повышения безопасности на станциях - внедрение такой техники, как поездная и маневровая радиосвязь, громкоговорящая парковая связь.

На станциях погрузки залогом безопасности служит тщательный отбор вагонов в техническом и коммерческом отношениях, строгое соблюдение правил погрузки и крепления грузов, особенно опасных, негабаритных и грузов на открытом подвижном составе. Неуклонное соблюдение установленных правил безопасности должно осуществляться при формировании поездов, и особенно пассажирских, при включении автоматических тормозов, при снаряжении и обслуживании поездов, при обозначении их сигналами.

Безопасность движения и защита окружающей среды. Негативное воздействие железнодорожного транспорта на природную среду в настоящее время остается достаточно высоким в результате выброса вредных веществ, как от подвижного состава, так и от многочисленных производственных и подсобных предприятий, обслуживающих перевозочный процесс.
При этом происходит загрязнение атмосферного воздуха, воды и почвы. Так, котельные железнодорожных предприятий наносят вред окружающей среде при сжигании различных видов топлива. На шпалопропиточных заводах загрязнение атмосферного воздуха происходит при остывании шпал после пропитки их антисептиком. В локомотивных и вагонных депо, на рельсосварочных предприятиях в воздушную среду выбрасываются пыль.
Производственные сточные воды локомотивных и вагонных депо образуются в процессе наружной обмывки подвижного состава, при обмывке узлов и деталей. Сточные воды пунктов обмывки пассажирских вагонов и электросекций содержат взвешенные вещества и нефтепродукты, бактериальные загрязнения, смываемые с подвагонных узлов, кислоты, щелочи, поверхностно-активные вещества. На железнодорожном транспорте функционирует большое количество вспомогательных предприятий - ремонтные мастерские, автобазы, прачечные, склады топлива.

На современном этапе экологически безопасная и экономически эффективная технология обезвреживания производственных и бытовых отходов на местах их образования и накопления на железнодорожных предприятиях включает совокупность индустриальных методов сбора, сортировки, транспортирования, высокотемпературного сжигания отходов и очистки отводимых газов до содержания вредных примесей. Схема обезвреживания представляет собой модульную технологическую линию, состоящую из накопителя, загрузочного устройства, камеры сжигания, котла-утилизатора, аппаратуры очистки. Установка термического обезвреживания производственных и бытовых отходов предприятий железнодорожного транспорта включается в состав стационарного оборудования каждого локомотивного и вагонного депо, путевой машинной станции, дистанции пути, шпалопропиточного завода. Таким образом, внедрение экологически безопасной технологии обезвреживания горючих отходов железнодорожных предприятий посредством комплекса технических средств позволяет таким предприятиям отказаться от дорогостоящей практики накопления на своих территориях и вывоза на полигоны вредных и пожароопасных отходов, экономически эффективно вырабатывать дополнительное количество горячей воды.

Работа станции в зимнее время. Зима - наиболее трудное время для работы железнодорожного транспорта. К работе в зимних условиях готовятся по заранее разработанному плану, учитывая грузооборот и опыт работы в предыдущий год.

При низких температурах учащаются случаи заклинивания колесных пар; ухудшается работа стрелок, тормозных замедлителей. Эти трудности преодолимы, если к ним заранее подготовиться. Подготовка станции заключается в следующем:

·        полное укомплектование штата обученных работников, особенно ведущих профессий (дежурных стрелочных постов, составителей поездов и их помощников, операторов постов централизации);

·        подготовка технических средств станции - осмотр и ремонт устройств сигнализации и связи, централизованных стрелок;

·        подготовка механизмов и инвентаря - подготовка снегоочистителей и снегоуборочных машин;

·        заготовка материалов - песка, зимней смазки, спецодежды для работников;

·        подготовка маневровых локомотивов - ремонт и отопление;

·        проверка состояния освещения рабочих мест - вытяжных путей, сортировочных горок, стрелочных постов;

·        приведение станционных путей и междупутья в порядок - уборка мусора, деталей подвижного состава;

·        проверка профиля пути - сортировочных горок, подгорочных и вытяжных путей, путей надвига;

·        подготовка грузового хозяйства - при низких температурах увеличивается вязкость наливных грузов, наблюдается смерзаемость сыпучих грузов. К работе в зимних условиях должны быть подготовлены подъемно-транспортные машины.

На крупных станциях разрабатывают план уборки снега и льда. Следует своевременно закончить текущий ремонт. Ледопункты должны быть подготовлены к наморозке льда.

II. РАЗРАБОТКА СУТОЧНОГО ПЛАНА ГРАФИКА

2.1 Нормирование технологических операций

Определение времени на прием и отправление поездов.

Время занятия горловины станции прибывающим поездом определяется по формуле:

 (1)

где  время приготовления маршрута и открытия входного сигнала, мин;

 длина поезда, (, м;

 расстояние от входного сигнала до предельного столбика пути

отправления или до изолирующего стыка, (по согласованию с руководителем), м;

 длинна тормозного пути (

 средняя скорость движения поезда на протяжении расчетного

расстояния (принять -50 ), км/ч;

время восприятия машинистом показания открытого сигнала

( мин.

Время занятия горловины станции отправляющимся поездом определяется по формуле:

 (2)

где длина выходной горловины станции ( по согласованию с руководителем ), м;

 освоение машинистом открытого выходного сигнала

(

средняя скорость выхода поезда со станции с учетом разгона, (=30-40 ), км/ч.

Результаты расчетов времени на прием и отправление поездов сводится в таблицу 3

Таблица .3 Определение времени на прием и отправление поездов

Характеристика

Значение

1

Время приготовления маршрута и открытия входного сигнала

0,3

2

Длина поезда

705

3

Расстояние от входного сигнала до предельного столбика пути отправления или до изолирующего стыка

 Четное

1200



Нечетное

1300

4

Длинна тормозного пути

1000

5

Средняя скорость движения поезда на протяжении расчетного расстояния

45

6

Время восприятия машинистом показания открытого сигнала

0,05

7

Длина выходной горловины станции

Четная

1200



Нечетная

1300

8

Освоение машинистом открытого выходного сигнала

0,2

9

Средняя скорость выхода поезда со станции с учетом разгона

35

10

Время на прием

Четные поезда

4 мин



Нечетные поезда

5 мин

11

Время на отправление

Четные поезда

4 мин



Нечетные поезда

4 мин

 

Нормирование маневровых операций

Технологическое время на расформирование состава определяется по формуле:

 (3)

где  - технологическое время на сортировку ;

 - технологическое время на осаживание .

Время на сортировку вагонов определяется по формуле:

 (4)

где  среднее число отцепов в составе ;

А,Б - нормативные коэффициенты.

Время на осаживание вагонов на путях сортировочного парка определяется по формуле:

 (5)

где  - количество вагонов в составе;

Расчет времени на расформирование состава приведен в таблице 4.

Таблица.4

Характеристика

Значение

1

Технологическое время на расформирование состава

30

2

Коэффициент А

0,41

3

Коэффициент Б

0,32

технологическое время на сортировку

5

технологическое время на осаживание

2,7

6

среднее число отцепов в составе

Участковые

23



Сборные

24

7

Количество вагонов в составе

45



Определение времени на окончание формирования, одногруппного (участкового) состава при накоплении на одном пути. Для окончательной подготовки состава к отправлению, в сортировочном парке, необходимо выполнить операции по расстановки вагонов с соответствии с требованиями ПТЭ и Положения о порядке охраны грузов и объектов на железнодорожном транспорте. В этих случаях выполняются след операции:

·        Постановка вагонов прикрытия

·        Устранения несовпадения продольных осей автосцепки

·        Отцепка вагонов с техническими и коммерческими неисправностями

·        Включение вагонов с отсевных путей

·        Повторная сортировка

·        Соединение групп при формировании групповых поездов

Технологическое время окончания формирования одногруппного состава при накоплении вагонов на одном пути. Технологическое время окончания формирования определяется по формуле:

 (6)

Где  - технологическое время на расстановку вагонов в составе в соответствии с требованиями ПТЭ

- время на подтягивание вагонов со стороны вытяжных путей на горочных сортировочных станциях для ликвидации «окон» между отцепами на сортировочных путях. Технологическое время на расстановку вагонов определяется по формуле:

 (7)

где В,Е- нормативные параметры, значения которых зависят от количества операций Ро (среднего числа расцепок вагонов, подлежащих формированию, в местах несовпадения осей автосцепки и постановки вагонов прикрытия). ф- среднее число вагонов в формируемых составах.

Время на подтягивание вагонов определяется по формуле:

 (8)

где 0,08- коэффициент, выражающий затраты локомотиво-минут на подтягивание одного вагона, включаемого в формируемый состав. Определение времени на окончание формирования сводится в таблицу 5

Таблица 5

Характеристика

Значение

1

Технологическое время окончания формирования одногруппного состава при накоплении вагонов на одном пути

2

технологическое время на расстановку вагонов в составе

3

время на подтягивание вагонов

4

Определение времени на окончании формирования сборного поезда.

Время на окончание формирования сборного поезда при накоплении вагонов на одном пути складывается из времени на сортировку для подборки их по поездным группам , а так же на сборку вагонов  и определяется по формуле:

 (9)

Технология время на сортировку накопления состава определяется по формуле:

 (10)

Где  - число групп формирования

А и Б - коэффициенты

Продолжительность сборки вагонов определяется по формуле:

 (11)

Где р - число путей, с которых собираются вагоны, р=К-1

 - число вагонов, переставляемых на путь сборки.

число вагонов, переставляемых на путь сборки определяется по формуле:

/K (12)

Где К - число групп в составе сборного поезда

Время на окончание формирования сборного поезда сводится в таблицу 6

 

Таблица 6

Характеристика

Значение

1

Время на окончание формирования сборного поезда

2

Технология время на сортировку накопления состава

3

Продолжительность сборки вагонов

4

число вагонов , переставляемых на путь сборки

36

5

число групп в составе сборного поезда

5

6

число путей, с которых собираются вагоны

4

Определение норм времени на подборку местных вагонов

Местными называются вагоны, с которыми на станции производится грузовые операции.

В практике различают 4 вида местных вагонов:

·        Прибывшие в груженом состоянии под выгрузку и отправленные со станции порожними;

·        Прибывшие порожними и отправленные после погрузки в груженом состоянии;

·        Прибывшие в груженом состоянии, выгруженные, затем вновь погруженные и отправленные гружеными

·        Сборные вагоны и вагоны с контейнерами, прибывшие на станцию для сортировки.

Вагоны различаются также по числу грузовых операций: с одной грузовой операцией (погрузки или выгрузки) и с двумя (выгрузка и погрузка). Местная работа на станции включает организацию подачи, перестановки, уборки вагонов с грузовых точек, погрузки, выгрузки и перегрузки, устранение коммерческого брака на специализированных путях.

Основные требования к организации местной работы:

·        Полная безопасность плана перевозок грузов;

·        Обеспечение выполнения плана перевозок грузов;

·        Максимальное сокращение простоев вагонов ликвидацией межоперационных простоев и повторных операций

·        Наилучшее использование технических средств грузового двора, подъездных путей и станции в целом;

·        Обеспечение доходности в работе станции

Технология местной работы зависит от расположения и специализации грузовых фронтов, рода груза, объемов работы, технического и информационного обеспечения.

Время на подборку местных вагонов в курсовом проекте принимается по типовым нормам

Определение времени на другие маневровые передвижения, определение времени на маневровые передвижения сводятся в таблицу 7.

таблица 7

Характеристика

Обозначения

Значение

время подачи и уборки вагонов на грузовой двор

время расстановки и сборки вагонов на грузовом дворе

время подачи и уборки вагонов на подъездной путь

на подъездной путь вагоны не расставляются, так как подъездной путь имеет свой маневровый локомотив

время заезда с грузового двора на подъездной путь или с подъездного пути на грузовой двор

время заезда маневрового локомотива с вытяжки за составом для расформирования

время вытягивания состава из парка приема на вытяжной путь для расформирования


2.2 Организация маневровой работы

Маневровая работа осуществляется на ж.-д. станциях и других раздельных пунктах с путевым развитием с целью перемещения вагонов и одиночных локомотивов в соответствии с установленными технологическими процессами. Всякие перемещения подвижного состава в пределах станции, связанные с обработкой прибывших и отправляемых поездов, называются маневрами. Управление маневровой работой осуществляют маневровый диспетчер, дежурный по станции, дежурный по горке или парку. Распределение между ними обязанностей по управлению маневрами устанавливается техническо-распорядительным актом станции. Руководителем маневров является работник, непосредственно распоряжающийся действиями лиц, участвующих в маневрах (обычно - составитель поездов); непосредственные исполнители маневров - комплексная бригада или маневровая бригада. В состав комплексных бригад входят работники станции, бригады маневровых локомотивов, работники пункта технического обслуживания вагонов и работники, непосредственно участвующие в осуществлении маневров. На станциях, где не предусмотрена организация комплексных бригад, создают маневровые бригады, в которые входят составитель поездов и его помощник, машинист маневрового локомотива и его помощник, регулировщик скорости движения вагонов. Рациональная организация маневров во многом определяет успешную работу станций, уровень их перерабатывающей способности и выполнение основного качественного показателя - затрат времени на обработку вагонов. По степени сложности маневры подразделяют на простые, при которых величина маневрового состава остается неизменной, и сложные, когда она изменяется в процессе маневров. По характеру маневровой работы различают маневры сортировочные, перестановочные, группировочные и специальные. Сортировочные маневры заключаются в расстановке вагонов по сортировочным путям назначения, перестановочные - в перестановке составов, групп или отдельных вагонов с одного станционного пути на другой, группировочные - в подборке вагонов в группы по разным признакам (станциям или районам назначения, пунктам погрузки, выгрузки, подачи и т. д.), специальные - в продвижении вагонов при их взвешивании, промывке и тому подобных операциях. По назначению различают маневры расформирования, формирования, прицепки, отцепки, подачи, уборки вагонов и др. Маневры расформирования и формирования чаще всего полностью или частично совмещаются. Для оценки объема маневров в качестве измерителя пользуются понятием маневровая операция. Типовые маневровые операции: расформирование состава или передачи, формирование состава поезда, обработка транзитного поезда с изменением массы состава или обменом групп вагонов, перестановка состава или группы вагонов из одного парка в другой или с одного пути на другой, подача или уборка группы вагонов и перестановка отдельных вагонов. Маневры производят при помощи сортировочных устройств и маневровых двигателей. Сортировочными устройствами являются сортировочные горки повышенной, большой, средней и малой мощности, а также вытяжные пути со стрелочными горловинами на уклоне или площадке. К маневровым двигателям относятся локомотивы, тягачи и толкатели, а также стационарные устройства для передвижения вагонов . В качестве маневровых локомотивов применяют тепловозы, электровозы, а также дизель-контактные или контактно-аккумуляторные локомотивы. На вытяжных путях и свободных концах путей маневры могут выполняться оттягиванием и толчками.

2.3 Расчет показателей работы станции

2.3.1 Назначение, содержание и порядок построения суточного плана графика

Суточный план график - является основой организации всей перевозочной работы на железнодорожном транспорте. Он обязателен для всех подразделений железных дорог: станций, локомотивных депо, пунктов технического обслуживания и ремонта вагонов, тяговых подстанций, дистанций пути, сигнализации и связи и т.д. График организует работу всех подразделений в единое целое. На его основе согласовывается деятельность железных дорог с предприятиями-грузоотправителями и грузополучателями, определяются показатели использования вагонов и локомотивов, осуществляется своевременная и безопасная перевозка пассажиров.

Соблюдение графика движения поездов и предупреждение его нарушений является главным условием для всех работников, связанных с организацией движения.

Условные обозначения суточного плана графика.

Условные обозначения суточного плана графика указаны в таблице 8

Таблица 8

Операции

Условное обозначение

заезд маневрового локомотива за составом

 

занятие горловины прибывающими поездами

 

занятие горловины отправляющимися поездами

 

обработка поездов на станции

 

вытягивание состава на вытяжку

 

расформирование состава

 

окончание формирования поезда

 

перестановка вагонов и составов

 

расстановка и сборка вагонов

 

 накопление вагонов


под формирование местных вагонов


выгрузка вагонов


погрузка вагонов


 ожидание выполнения следующей операции


экипировка маневрового локомотива

 


2.3.2 Расчет показателей работы станции

Работа станции характеризуется количественными и качественными показателями. По суточному плану- графику рассчитываются основные показатели работы станции: простой транзитного вагона без переработки, простой транзитного вагона с переработкой, простой местного вагона, простой местного вагона под одной грузовой операцией, коэффициент сдвоенных операций, рабочий парк вагонов, вагонооборот станции, коэффициент использования маневровых локомотивов.

Вагонооборот станции. Вагонооборот станции- это сумма прибывших и убывших вагонов за сутки и определяется по формуле:

,  (13)

где П- количество прибывших вагонов на станцию по категориям, ваг; У- количество отправленных вагонов со станции, ваг.


Средний простой транзитного вагона без переработки. Простой транзитного вагона без переработки- это время нахождения вагона на станции с момента прибытия поезда до момента отправления. Расчет простоя транзитного вагона сводится в таблице 9.

Средний простой транзитного вагона без переработки.

Таблица 9

№ поезда

Время, час- мин

Время нахождения на станции, час

Число вагонов в поезде

Вагоно- часы пристоя, ваг- час


прибытия

отправления




2001

0-30

0-45

0,25

45

11,25

2002

0-15

0-30

0,25

45

11,25

2003

0-50

1-05

0,25

45

11,25

2004

1-20

1-35

0,25

45

11,25

2005

1-20

1-35

0,25

45

11,25

2006

2-25

2-40

0,25

45

11,25

2007

2-40

2-55

0,25

45

11,25

2008

3-00

3-15

0,25

45

11,25

2009

3-55

4-10

0,25

45

11,25

2010

4-40

4-55

0,25

45

11,25

2011

4-45

5-00

0,25

45

11,25

2012

6-15

6-30

0,25

45

11,25

2013

6-15

6-30

0,25

45

11,25

2014

6-45

7-00

0,25

45

11,25

2015

6-50

7-05

0,25

45

11,25

2016

7-00

7-15

0,25

45

11,25

2017

7-20

7-35

0,25

45

11,25

2018

8-05

8-20

0,25

45

11,25

2019

7-50

8-05

0,25

45

11,25

2020

9-20

9-35

0,25

45

11,25

2021

8-20

8-35

0,25

45

11,25

2022

10-40

10-55

0,25

45

11,25

2023

8-35

8-50

0,25

45

11,25

2024

11-55

12-10

0,25

45

11,25

2025

10-00

10-15

0,25

45

11,25

2026

12-10

12-25

0,25

45

11,25

2027

11-50

12-05

0,25

45

11,25

2028

13-20

13-35

0,25

45

11,25

2029

12-25

12-40

0,25

45

11,25

2030

14-45

15-00

45

11,25

2031

14-00

14-15

0,25

45

11,25

2032

15-10

15-25

0,25

45

11,25

2033

14-20

14-35

0,25

45

11,25

2034

15-45

16-00

0,25

45

11,25

2035

15-45

16-00

0,25

45

11,25

2036

16-20

16-35

0,25

45

11,25

2037

18-15

18-30

0,25

45

11,25

2038

18-10

18-25

0,25

45

11,25

2039

19-30

19-45

0,25

45

11,25

2040

19-35

19-50

0,25

45

11,25





1845

461,25


Средний простой транзитного вагона определяется по формуле:

 (14)

 

где (∑miti) тр- общие вагоно-часы нахождения транзитных вагонов без переработки на станции;

(∑mi)тр- общее число вагонов в транзитных поездах.

Средний простой транзитного вагона с переработкой. Определяется по элементам: под операциями прибытия, под операциями расформирования, под операциями формирования, под операциями отправления. Расчет транзитного вагона с переработкой под операциями прибытия и расформирования сводится в таблице 10.

Простой транзитных вагонов с переработкой под операциями прибытия и  расформирования указан в таблицы 10

Таблица 10

№ поезда прибывшего в расформирование

Число вагонов тр с/п

Время, ч-мин

Продолжительность обработки по прибытию

Вагоно-часы простоя по прибытии, ваг-час

Время окончания расформирования

Продолжительность расформирования, ч

Вагоно-часы расформирования, ваг-ч



Прибытия

Окончание операций по прибытии






3402

45

7:30

7:45

0,25

11,25

8:15

0,25

11,25

3002

45

5:20

5:35

0,25

11,25

6:05

0,25

11,25

3004

45

11:25

11:40

0,25

11,25

12:10

0,25

11,25

3404

45

20:00

20:15

0,25

11,25

20:45

0,25

11,25

3006

45

15:30

15:45

0,25

11,25

16:15

0,25

11,25

3401

45

5:00

5:15

0,25

11,25

5:45

0,25

11,25

3001

45

4:20

4:35

0,25

11,25

5:05

0,25

11,25

3003

45

10:30

10:45

0,25

11,25

11:30

0,25

11,25

3403

45

19:00

19:15

0,25

11,25

19:46

0,25

11,25

3005

45

16:30

16:45

0,25

11,25

17:15

0,25

11,25

Итого

450








Средний простой транзитного вагона с переработкой под операциями прибытия

Средний простой транзитного вагона с переработкой под операциями расформирования

Средний простой транзитного вагона с переработкой под операциями прибытия определяется по формуле:

 (15)

где (∑mt)пптр с/п- суммарные вагоно-часы межоперационных простоев в парке прибытия;

∑nтр с/п- общее число транзитных вагонов с переработкой, поступающих в парк прибытия.

Средний простой транзитного вагона с переработкой под операциями реформирования определяется по формуле:

 (16)

где ∑nтр с/п- вагоно-часы простоя под операциями расформирования, ваг-ч.

Средний простой вагонов под накоплением- это время нахождения вагонов на путях сортировочного парка от момента поступления вагонов на путь до начала формирования. Средний простой под накоплением подсчитывается по каждому пути сортировочного парка.

Расчет среднего простоя вагонов под накоплением сведено в таблице 11. Средний простой вагонов под накоплением.

Таблица 11

Остаток вагонов

Количество прибывших вагонов

Общее количество вагонов на пути

Простой под накоплением

Вагоночасы под накопления, ваг-ч

1

2

3

4

5

Назначением на станцию А и далее

20

-

20

2,50

50

-

15

35

2,80

98

-

20

55

0,75

41,25

10

-

10

3,9

39

-

25

35

1,7

59,5

-

10

45

-

-

-

30

30

2,7

81

-

5

35

1,00

35

-

25

60

0,4

24

-

10

70

-

-

25

-

25

3.66

91,5

-

5

30

1,8

54

Итого

145



573,25

Назначением на участок В-А

35

-

35

5,2

182

-

10

45

1,0

45

5

-

5

4,7

23,5

-

10

15

4,6

69

-

5

20

3,55

71

-

15

35

5,9

206,5

Итого

40

597

Назначением на станцию Г и далее

10

-

10

6

60

-

15

25

4,1

102,5

-

10

35

0,9

31,5

-

35

70

-

-

25

-

25

1,9

47,5

-

30

55

1,7

93,5

-

10

65

-

-

20

-

20

3,7

74

-

25

45

-

-

-

5

5

2,7

13,5

-

25

30

39

-

5

35

1,6

56

Итого

160

517,5

Назначением на участок В-Г

20

-

20

6

120

-

20

40

5

200

-

10

50

1,9

95

-

10

60

-

-

15

-

15

4,7

70,5

-

15

30

3,4

102

-

20

50

-

-

5

-

5

1,9

9,5

Итого

75

597

Всего

420

2284,75

Средний простой транзитного вагона с переработкой под накоплением

Расчет простоя транзитного вагона с переработкой под операциями формирования и отправления


Средний простой транзитного вагона с переработкой под накоплением определяется по формуле:

 (17)

где (∑nt)нактр с/п- вагоночасы простоя под накоплением по станции, ваг-час;

∑тнактр с/п- общее число транзитных вагонов с переработкой участвующих в накоплении, ваг.

Расчет простоя транзитного вагона с переработкой под операциями формирования и отправления сведено в таблицу 12.

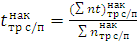
Средний простой транзитного вагона с переработкой под операциями формирования определяется по формуле:

 (18)

где (∑nt)формтр с/п- вагоночасы простоя под операциями формирования, ваг-час;

∑nформтр с/п- общее число транзитных вагонов с переработкой в поездах своего формирования, ваг.

Простой транзитного вагона с переработкой под операциями формирования и

Отправления указаны в таблицы 12

Таблица 12

№ поезда своего формирования

Число вагонов с/п

Время,ч-мин

Продолжительность формирования, ч

Вагоночасы формирования, ваг-ч

Время отправления поезда

Продолжительность операций по отправлению, ч

Вагоночасы простоя по отправлению, ваг-ч

Назначение поезда



Начало формирования

Окончание формирования с учетом перестановки







3011

45

6:50

7:00

0,28

12,6

7:40

0,5

22,5


3413

45

9:30

10:20

1,01

45,45

11:10

0,5

22,5


3013

45

12:25

12:35

0,28

12,6

13:15

0,8

36


3415

45

21:00

21:50

0,28

12,6

22:50

0,5

22,5


3010

45

7:10

7:20

1,01

45,45

8:00

0,5

22,5


3412

45

8:30

9:20

0,28

12,6

10:00

0,5

22,5


3012

45

12:45

12:55

0,28

12,6

13:45

0,71

31,95


3014

45

17:30

17:40

0,28

12,6

18:40

0,5

22,5


3016

45

22:00

22:10

1,01

45,45

23:00

0,5

22,5


Итого

405




211,95



225,45


Средний простой транзитного вагона с переработкой под операциями отправления

0,55

Общее время нахождения на станции транзитного вагона с переработкой

7,124


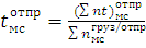
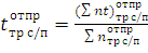
Средний простой транзитного вагона с переработкой под операциями отправления определяется по формуле:

 (19)

где (∑nt)отпртр с/п- вагоно-часы простоя под операциями отправления, ваг-ч; ∑nотпртр с/п- общее число транзитных вагонов с переработкой, отправленных в поездах своего формирования, ваг.

Общее время нахождения на станции транзитного вагона с переработкой определяется по формуле:

 (20)

2.3.3 Средний простой местного вагона на станции

Средний простой местного вагона на станции определяется по трем укрупненным операциям:

·        под операциями прибытия;

·        под грузовыми операциями;

·        под операциями отправления.

Средний простой местного вагона на станции сведены в таблицу 13

Таблица 13

Количество вагонов

По прибытию

Груз.

По отправлению

время

Ваг-часы

время

Ваг-часы

время

Ваг-часы

15

-

-

2,5

37,5

4,15

62,25

10

1

10

4,55

45,5

1,55

15,5

10

2,20

22

4,40

44

0,50

5

10

1,15

11,5

4,20

42

0,55

5,5

5

0,50

2,5

4,30

21,5

2,05

10,25

10

0,50

5

4,55

45,5

-

-

5

0,50

2,5

4,20

21

-

-

5

2,15

10,75

4,05

20,25

-

-

70


64,25


277,25


98,5

Средний простой местных вагонов под операциями

0,91

Средний простой местных вагонов под погрузкой и выгрузкой

3,96

Средний простой местных вагонов под операциями отправления

1,40

Средний простой местного вагона на станции

6,27


Средний простой местных вагонов под операциями прибытия определяется по формуле:

 (21)

где (∑nt)прибмс- вагоночасы простоя местных вагонов от прибытия до подачи на ГР, ваг-ч;

∑nприбмс- число местных вагонов прибывающих на станцию за сутки, ваг.

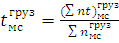
Средний простой местных вагонов под погрузкой и выгрузкой определяется по формуле:

 (22)

где (∑nt)грузмс- вагоночасы простоя местных вагонов под грузовыми операциями, ваг-ч;

∑nгрузмс- число местных вагонов, участвующих в грузовых операциях, ваг.

Средний простой местных вагонов под операциями отправления определяется по формуле:

 (23)

где (∑nt)отпрмс- вагоночасы простоя местных вагонов под операциями отправления, ваг-ч;

∑nгруз/отпрмс- число местных вагонов, участвующих в грузовых операциях/отправленных со станции, ваг.

Средний простой местного вагона на станции определяется по формуле:

 (24)

2.3.4 Коэффициент сдвоенных операций

Коэффициент сдвоенных операций характеризует среднее количество грузовых операций, приходящихся на один местный вагон за сутки, определяется по формуле:

 (25)

где uп- число погруженных вагонов за сутки;в- число выгруженных вагонов за сутки;пор- количество порожних вагонов, поступивших под погрузку с других станций.

2.3.5 Средний простой местного вагона под одной грузовой операцией

определяется по формуле

 (26)

где tм- средний простой местного вагона на станции, ч.

2.3.6 Рабочий парк вагонов на станции

определяется по формуле:

 (27)

где nм- суточное поступление местных вагонов на станцию, ваг.

2.3.7 Коэффициент использования маневровых локомотивов

определяется по формуле:

 (28)

где ∑tман- общее время занятия локомотива маневровой работой на станции, мин;эк- продолжительность экипировки маневрового локомотива, мин;см.бр- продолжительность смены бригад, мин.

Расчеты показателей сведены в таблицу 14

Таблица 14

Характеристика

Значение

Коэффициент сдвоенных операций

1,78

Средний простой местного вагона под одной грузовой операцией

3,52

Рабочий парк вагонов на станции

110,24

Коэффициент использования маневровых локомотивов

0,58


ЗАКЛЮЧЕНИЕ

В курсовом проекте рассмотрена технология работы участковой станции поперечного типа.

Заданная станция «Н» расположена на двухпутном участке оборудована автоблокировкой.

Изучив исходных данных установлена специализация парков и путей станции, рассмотрены маршруты следования поездов и локомотивов по станции.

В курсовом проекте определена структура оперативного руководства и планирования работы станции, также рассмотрены нормы времени на обработку поездов различных категорий: транзитных с переработкой, транзитных без переработки и своего формирования.

В данном проекте рассмотрены вопросы организации маневровой работы на станции, также рассчитаны нормы времени на расформирование и формирование участковых и сборных поездов.

На основании исходных данных составлен суточный план-график работы станции.

После разработки суточного плана-графика рассчитаны показатели работы станции:

вагонооборот станции

средний простой транзитного без переработки

средний простой транзитного вагона с переработкой

средний простой местного вагона на станции

коэффициент сдвоенных операций

средний простой местного вагона под одной грузовой операцией

рабочий парк вагонов на станции

коэффициент использования маневровых локомотивов

Список используемой литературы

1. Боровикова М. С. Организация движения на железнодорожном транспорте: Учебник для техникумов и колледжей ж. д. транспорта. - М.: Маршрут, 2008.

. Инструкция по снегоборьбе на железных дорогах Российской Федерации № ЦП-751, МПС РФ, ЦЗ, 25.04.2008.

.Технологический процесс технического нормирования эксплуатационной работы в условиях ежесуточного планирования. ЦД МПС России, март 2009.

. Ю.И. Ефименко, С.И.Логинов, В.С.Суходоев и др.; Под ред. Ю.И. Ефименко -Железнодорожные станции и узлы, 2009

. Кочнев Ф.П., Сотников И.Б. Управление эксплуатационной работой железных дорог. М.: Транспорт, 2009.

Похожие работы на - Технологические процессы и организация работы участковой станции

 

Не нашли материал для своей работы?
Поможем написать уникальную работу
Без плагиата!
Без нейросетей!