Расчет регулятора скорости дизельного двигателя
Санкт-
Петербургский государственный политехнический университет
Кафедра
«Двигатели внутреннего сгорания»
Курсовая
работа
Расчет
регулятора скорости дизельного двигателя
Выполнил:
студентгруппы5031/1
Степановский С.Ю.
Преподаватель:
Немчикова М. Н.
Санкт-
Петербург
2012
1.
Обоснование типа регулятора
Регулятор необходимо установить на дизельный
двигатель мощностью 300 кВт.
Наличие регулятора автоматического поддержания
заданной частоты вращения на промежуточных режимах.
2.
Расчёт основных размеров регулятора
.1
Определение основных размеров двигателя
Двигатель четырехтактный (тактность двигателя
m=2).
Мощность двигателя:
,
Число цилиндров:
,
Степень наддвува:
,
Отношение хода поршня к диаметру цилиндра:
.
Среднее эффективное давление:
Средняя скорость поршня:
Диаметр цилиндра:
Ход поршня:
Рабочий объём двигателя:
Частота вращения вала двигателя:
Объёмная цикловая подача топлива:
удельный
эффективный расход топлива,
плотность
автомобильного дизеля.
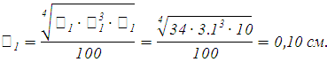
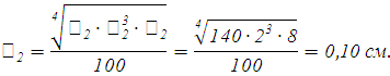
Диаметр плунжера топливного насоса:
коэффициент подачи.
Примем диаметр плунжера равным
Ход дозатора для распределительного насоса:
2.2
Расчёт размеров регулятора прямого действия
Работоспособность регулятора
Исходной величиной для определения основных
параметров регулятора является работоспособность
,
представляющая собой работу по перемещению рейки топливного насоса или же муфты
регулятора.
При отсутствии опытных данных вычисляется по
эмпирической формуле:
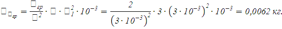
Давление масла в масляной магистрали (МПа)
Объем, описываемый поршнем
гидроусилителя (м3),
где i - число
управляемыхполостейгидроусилителя.
Номинальный ход поршня гидроусилителя (м)
Конструктивный ход должен быть в 1,6...2 раза
больше номинального.
Площадь поршня гидроусилителя (м2)
Определение размеров золотника.
Диаметр золотника
Ширина окон во втулке золотника
Конструктивный ход золотника
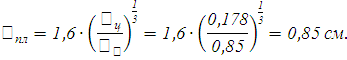
Определение параметров измерителя скорости.
Величина восстанавливающей силы
Расстояние от оси вращения измерителя скорости
до оси качания груза
Номинальный ход муфты равен конструктивному ходу
золотника.
Определение геометрических размеров регулятора
Геометрические размеры измерителя скорости
следует подобрать так, чтобы работа, совершаемая центробежной силой грузов
при
их перемещении на номинальный ход
,
была равна работоспособности
:
число грузов,
масса одного
груза,
Число грузов:
.
Тангенциальная скорость на среднем радиусе
вращения центра тяжести:
Геометрические размеры груза, определяющие его
массу, и радиус вращения взаимосвязаны, поэтому предварительно задаются
отношениями отдельных размеров к радиусу оси качания грузов
Радиус качания грузов:
Из конструктивных соображений примем:
Основные размеры груза определяются из следующих
соотношений:
При принятых габаритах груза масса всех грузов будет
равна:
Работоспособность измерителя:
Полученные знания согласуются с начальными
данными.
2.3
Определение соотношения плеч рычага, связывающего муфту регулятора с механизмом
управления подачи топливного насоса
Номинальный радиус вращения груза:
Из конструктивных соображений отношение:
Для регулятора с угловыми рычагами номинальный
ход муфты:
2.4
Номинальная частота вращения вала регулятора
Где
средний
радиус вращения грузов.
3.
Статический расчет регулятора
Цель статического расчеты - определение
параметров и размеров пружины или пружин измерителя и передаточных отношений
между пружинами и муфтой измерителя, обеспечивающих необходимые статические
характеристики, т.е. степени неравномерности на основных рабочих режимах.
регулятор дизельный двигатель вал
С учетом заданного назначения двигателя
выбирается степень неравномерности номинального режима:
Значение инерционного коэффициента:
Угловая скорость вращения вала измерителя на
номинальном режиме:
Приведенная к муфте измерителя жесткость главной
пружины, обеспечивающая принятую степень неравномерности номинального режима:
где
восстанавливающая
сила на номинальном равновесном режиме.
Определение зависимости степени неравномерности
от заданной частоты вращения при постоянной приведенной жесткости главной
пружины:
|
w
|
del
|
|
55
|
0,827
|
|
81
|
0,3513
|
|
88
|
0,2891
|
|
100
|
0,2113
|
|
120
|
0,1296
|
|
140
|
0,0804
|
|
160
|
0,0485
|
|
180
|
0,0265
|
|
200
|
0,0109
|
Рис.1 Зависимость степени
неравномерности от частоты вращения регулятора.
При угловой скорости
степень
неравномерности
Степень неравномерности выходит за допустимый
предел 35%, поэтому необходимо изменять приведённую жёсткость пружины. Будем
менять приведённую жесткость пружины ступенчато. На малых оборотах вводится в
действие вторая пружина.
Для точки переключения необходимо выбрать
степень неравномерности исходя из условия, что она должна вдвое превышать
степень нечувствительности, изменяющуюся с уменьшением скорости согласно формуле:

|
ω
|
ε
|
|
81
|
0,014754
|
|
88
|
0,0125
|
|
100
|
0,00968
|
|
120
|
0,006722
|
|
140
|
0,004939
|
|
160
|
0,003781
|
|
180
|
0,002988
|
Рис. 2 Зависимость степени
нечувствительности от частоты вращения.
Степень неравномерности в точке переключения:
Восстанавливающая сила:
Приведённая жёсткость первой пружины:
Приведённая жёсткость второй пружины:
Изменение степени неравномерности:
|
ω
|
δ
|
|
88
|
0,012645
|
|
81
|
0,025
|
|
80
|
0,027035
|
|
75
|
0,038458
|
|
70
|
0,052417
|
|
65
|
0,069718
|
|
60
|
0,091524
|
|
55
|
0,119543
|
|
50
|
0,156381
|
|
45
|
0,206171
|
|
39
|
0,293004
|
Рис. 3 Зависимость степени
неравномерности при ступенчатом включении пружин от частоты вращения
Жёсткость первой пружины:
Жёсткость второй пружины:
Деформация пружин на каждом скоростном режиме
Деформация первой пружины на каждом скоростном
режиме:
Деформация второй пружины на каждом скоростном
режиме:
|
ω
|
∆f1
|
|
88
|
0,00585
|
|
81
|
0,0049
|
0,0042
|
|
70
|
0,0037
|
|
65
|
0,0032
|
|
60
|
0,0027
|
|
55
|
0,0023
|
|
ω
|
∆f2
|
|
81
|
0,0049
|
|
88
|
0,0058
|
|
95
|
0,0068
|
|
100
|
0,0075
|
|
105
|
0,0082
|
|
110
|
0,0091
|
|
200
|
0,03
|
Рис. 4 Зависимость деформации пружин
от частоты вращения
Определение размеров пружин
Первая пружина:
Диаметр пружины:
Число витков:
Диаметр проволоки:
Вторая пружина:
Диаметр пружины:
Число витков:
Диаметр проволоки:
4.
Анализ устойчивости и расчет переходного процесса системы автоматического
регулирования скорости
4.1
Структурная схема системы
Рис. 5 Система с гидроусилителем и изодромной
обратной связью
4.2
Передаточная функция и характеристическое уравнение системы
Характеристическое уравнение:

Для упрощения анализа устойчивости
данной системы пятого порядка принимаем Tr=Tk=0.
Тем самым порядок системы понижается до третьего с коэффициентами
характеристического уравнения
a0
= TaTsTidr,
a1 = Ta(Tsdr
+ Ti), a2 = Ti,
a3=1.
4.3
Определение параметров передаточной функции объекта регулирования, т.е.
двигателя
Неравномерность вращения вала двигателя:
Момент двигателя:
Угловая частота вращения двигателя:
Отношение избыточной работы к средней:
Число цилиндров:
Отношение избыточной работы к средней:
Минимальный момент инерции:
Время разгона двигателя:
4.4
Определение параметров передаточной функции измерителя скорости
Приведение масс
Приведение масс грузов
Расстояние от оси качания грузов до точки упора
лапки груза в муфту:
Масса каждого элемента и расстояние от его
центра тяжести до оси качания:
Приведённая масса рычага:
Приведённая масс пружин:
Приведённая масса тяги:
Приведённая масса деталей ТНВД:
Масса плунжера:
Средний радиус:
Радиус зацепления с рейкой:
Приведённая масса, учитывающая инерцию всех
деталей:
4.5
Оценка устойчивости системы
Необходимое условие устойчивости выполняется,
так как все коэффициенты больше нуля.
Рассмотрим матрицу Гурвица:
Условия устойчивости: