Проектирование и расчет промышленных железных дорог

  • Вид работы:
    Курсовая работа (т)
  • Предмет:
    Транспорт, грузоперевозки
  • Язык:
    Русский
    ,
    Формат файла:
    MS Word
    4,02 Мб
  • Опубликовано:
    2013-08-07
Вы можете узнать стоимость помощи в написании студенческой работы.
Помощь в написании работы, которую точно примут!

Проектирование и расчет промышленных железных дорог

Министерство образования и науки Российской Федерации

Федеральное Государственное бюджетное образовательное учреждение высшего профессионального образования

«Магнитогорский государственный технический университет им. Г.И. Носова»

Институт горного дела и транспорта

Кафедра промышленного транспорта




Пояснительная записка к курсовой работе

по дисциплине: «Устройство и эксплуатация железных дорог»

на тему: «Проектирование и расчет промышленных железных дорог»

Выполнила: Ходько А.А., студентка 2 курса, группы ГТБ-11

Проверил: Твердохлебов Б.А., старший преподаватель








Магнитогорск - 2012

 

Содержание


Содержание

Введение

Исходные данные

. Проектирование поперечного профиля земляного полотна

.1      Поперечные профили насыпей

.2 Поперечные профили выемок

. Выбор типа верхнего строения пути

.1 Определение типа рельса

. Расчет пути в кривых участках

.1 Определение возвышения наружного рельса в кривых

.2 Расчет переходных кривых

.2.1 Определение длины переходных кривых

.2.2 Определение угла поворота переходных кривых

.2.3 Определение координат переходной кривой

.3 Укладка укороченных рельсов в кривых

. Расчет обыкновенного стрелочного перевода

.1 Определение ширины желоба

.2 Определение расстояния между рабочими гранями рамного рельса и остряка

.3 Определение длины остряка

.4 Определение длины заднего выступа рамного рельса

.5 Определение длины рамного рельса

.6 Определение основных размеров крестовины

.7 Определение марки крестовины

.8 Определение ширины желобов контррельса и крестовины

.9 Определение основных геометрических размеров стрелочного перевода

.10 Определение координат переводной кривой

.11 Определение длины рельсов в стрелочном переводе

.12 Разработка эпюры стрелочного перевода

.12.1 Порядок раскладки брусьев под переводом

.12.2 Установление длины брусьев

Указания по вычерчиванию эпюры

Заключение

Список литературы

 

Введение


Промышленный железнодорожный транспорт является неотъемлемой частью железнодорожного транспорта общего пользования и является полноценным участником транспортной системы страны. Посредством промышленного железнодорожного транспорта обслуживается примерно 10 000 организаций всех отраслей. Подъездные железнодорожные пути позволяют обслуживать более 80% всех грузов, перевозящихся по железной дороге общего пользования.

К промышленному железнодорожному транспорту можно отнести следующие элементы железнодорожной инфраструктуры:

подъездные железнодорожные пути. По статистике, протяжённость подъездных железнодорожных путей более 60 000 км., что составляет более 70% длины всех железных дорог России. На данный момент ширина колеи подъездных жд путей составляет 1520 мм в 99%. Но до 2000 года этот процент был гораздо меньше. Дело в том, что подвижной состав колеи 750 мм. было решено упразднить или перевести на широкую колею. Начиная с 2000 года практически все узкоколейные пути были демонтированы, подвижной и тяговый состав порезаны на металлолом.

 

Исходные данные


Высота выемки: h = 11,5 м

Число путей: 1

Радиусы кривых:  = 1065 м и  = 320 м

Центральный угол кривой: α = 31º

Скорость движения поезда:  = 51

Стрелочный угол: β = 1º 27'

Радиус переходной кривой:  = 175 м

 

. Проектирование поперечного профиля земляного полотна


Земляное полотно включает в себя насыпи и выемки, водоотводные устройства и сооружения (кюветы, нагорные, продольные и забанкетные канавы, банкеты, перепады, быстротоки, дренажи, галереи, штольни).

Резервы включают в состав земляного полотна только в части, используемой для водоотвода. Кавальеры в состав земляного полотна не входят.

В данной работе необходимо в зависимости от исходных данных вычертить один из вариантов поперечных профилей земляного полотна.

Поперечным профилем земляного полотна называется поперечный разрез его вертикальной плоскостью, перпендикулярной оси земляного полотна.

Для сооружения земляного полотна из наиболее часто встречающихся грунтов удовлетворительного качества в обычных логических и гидрогеологических условиях применяют типовые поперечные профили, проверенные многолетним опытом, не требующие специальных расчетов. Типовые профили, имеющие применение лишь в определенных условиях (вечная мерзлота, лессовые грунты, подвижные пески, скалистые грунты, болота), называются специальными, а профили, имеющие повсеместное применение, называются нормальными.

Поперечный профили, разработанные по специальным проектам, для условий, в которых типовые профили неприменимы, называются индивидуальными (при применение гидромеханизации, разработке выемки взрывами, при высоте насыпи более 12 м).

1.1    Поперечные профили насыпей


Верхняя площадка земляного полотна, на которую укладывается верхнее строение пути, называется основной площадкой. На однопутных участках основная площадка имеет форму трапеции, изображенной на рисунке 1.1, на двухпутных - форму треугольника, изображенной на рисунке 1.2.

Рисунок 1.1 - Основная площадка однопутного участка

Рисунок 1.2 - Основная площадка двухпутного участка

Грунты, на которые опирается насыпь, являются основанием ее, показаны на рисунке 1.3. Линия сопряжения основной площадки с откосом называется бровкой, а сопряжение откосов с основанием - подошвой откоса. Крайние части основной площадки, которые не закрываются верхним строением пути (балластом), называются обочинами. Полоса земли между подошвой насыпи и водоотводной канавой называется бермой.

Резервом называется не глубокая, но широкая траншея с наклонными боковыми стенками. Грунт из траншеи идет на отсыпку земляного полотна.

Горизонтальная проекция линии откоса называется заложением откоса. Отношение высоты насыпи или глубины выемки к заложению откоса (т.е. вертикальной проекции откоса к горизонтальной его проекции) носит название крутизны откоса.

Рисунок 1.3 - Насыпь земляного полотна

Очертание поперечного профиля насыпи зависит от высоты ее, на рисунках 1.4., 1.5., 1.6 приведены примеры. Крутизна и форма откосов насыпей зависят также от их высоты и характеристики грунтов насыпей, данные приведены в таблице 1.1.

Рисунок 1.4 - Поперечный профиль насыпи высотой до 2 м

Рисунок 1.5 - Поперечный профиль насыпи высотой до 6 м

Рисунок 1.6 - Поперечный

Резерв одновременно является водоотводным сооружением, закладываемым с нагорной стороны. При небольшом поперечном уклоне местности (положе 1/10) резервы закладываются с обеих сторон насыпи.

Продольный уклон резерва должен быть не менее 0,003. Дно резервов планируется односкатным в полевую сторону при ширине по низу не более 10 м и двускатным в середину при ширине по низу более 10 м. Поперечный уклон дна резерва принимается 0,02 - 0,04. Между подошвой насыпи и резервом оставляют полосу невыбранной земли, называемую бермой. Ширину бермы делают не менее 3 м, а на однопутных участках со стороны укладки будущего второго пути - 7,1 м.

Поперечный уклон делается в сторону резерва 0,02 - 0,04. Для насыпей высотой до 2 м, указанной на рисунке 1.4, резервы заменяют продольной водоотводной канавой. Глубина и ширина водоотводных канав принимается по расчету, но не менее 0,6 м; крутизна откосов 1:1,5. Продольный уклон не менее 0,003.

Водоотводные устройства размещают в полосе отвода, граница которой должна отстоять от полевой бровки резервов и канав не менее, чем на 2 м.

Таблица 1.1 - Зависимость крутизны откосов от типа грунта

Характеристика грунтов насыпей

Крутизна откосов

Насыпи из камня слабовыветривающихся скальных пород при высоте:


до 6 м

1:1,3

до 12 м

1:1,5

Насыпи из крупного и средней крупности песка, гравия, гальки, щебенистых грунтов, слабовыветривающихся пород при высоте:


до 12 м

1:1,5

Насыпи для остальных грунтов, годных для возведения при высоте:


до 6 м

1:1,5

до 12 м в верхней части

1:1,5

до 6 м в остальной нижней части

1:1,75


1.2 Поперечные профили выемок


Поперечные профили выемок характеризуются крутизной откосов, размерами канав, кюветов, кавальеров, банкетов, изображенными на рисунке 1.7. Крутизна откосов в наиболее распространенных песчаных и глинистых грунтах принимается полуторный (1:1,5).

Рисунок 1.7 - Поперечный профиль выемки

Для сбора и отвода воды, стекающей с основной площадки и откосов выемки, устраивают кюветы глубиной 0,6 и шириной по дну 0,4 м. Продольный уклон кюветов должен быть не менее 0,02. Неиспользуемый для возведения насыпей грунт выемки вывозится в отвалы, называемые кавальерами. Расстояние от бровки выемки до подошвы путевого откоса кавальера, называемого обрезом, должно быть не менее 5 м, а со стороны второго будущего пути на однопутных участках не менее 9,1 м. При слабых грунтах (жирных глинистых и лессовых) расстояние от бровки до подошвы путевого откоса кавальера равно 5 м плюс глубина выемки в метрах, но не менее 10 м.

При поперечном уклоне местности круче 1/5 для предупреждения сдвига кавальера и деформации выемки кавальеры отсыпаются лишь с низовой стороны. Верхняя площадка кавальера имеет уклон 0,02 - 0,04 в полевую сторону. Откос кавальеров сооружают с уклоном 1:1,5 и высотой до 3 м.

Для предупреждения стока воды с нагорной части поверхности в выемку устраивают банкетный вал высотой до 0,6 м и забанкетную канаву размером 0,3×0,3. Поверхность банкетного вала имеет уклон в сторону кавальера, равный 0,02 - 0,04. Путевой откос банкетного вала делается с уклоном 1:1,5.

Подошва путевого откоса банкетного вала должна быть расположена не ближе 1 м от бровки выемки. Подошва путевого откоса кавальера располагается не ближе 0,5 м от забанкетной канавы. Размеры нагорной канавы определяются гидравлическим расчетом, но минимальная глубина и ширина канавы по дну не должна быть менее 0,6 м. Крутизна откосов канавы принимается 1:1,5.

Расположена нагорная канава не ближе 2 -5 м от подошвы откоса кавальера со стороны поля. Нагорные канавы устраиваются с обеих сторон, если уклон местности неявно выражен.

Чертеж типового земляного полотна вычерчивается на миллиметровой бумаге в масштабе 1:100. Необходимые данные для выбора типового профиля земляного полотна:

а) высота насыпи или глубина выемки, м;

б) количество путей;

в) вид грунта;

г) уклон местности.

2. Выбор типа верхнего строения пути


Исходными данными для расчета являются:

а) грузонапряженность линии Т, млн. ткм брутто на 1 км одиночного пути в год;

б) расчетный (локомотивы) и типовой (вагоны) подвижной состав;

в) допустимый приведенный износ рельсов.

Расчет элементов верхнего строения пути выполняется в следующей последовательности.

2.1 Определение типа рельса


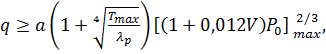
В зависимости от максимальной предполагаемой грузонапряженности Т, максимальной динамической нагрузки на ось  и качества рельсов находим:

 (2.1)

где  - погонный вес рельсов, кг/м;

 - статическая нагрузка на ось, т;

 - скорость, км/ч;

А - для вагонов а=1,20; для локомотивов а = 1,13;

 - коэффициент учета качества рельсов; для незакаленных рельсов стандартного производства =1; для рельсов объемно закаленных = 1,5 - 2.

Полученное по формуле (2.1) значение должно удовлетворять следующим условиям:

 ;  ;  . (2.2)

Параметр «А» колеблется от 2 до 3 (в среднем 2,5); от локомотивной нагрузки параметр «А» несколько меньше, чем от вагонной.

Параметр «В» находится обычно в границах от 0,31 до 0,59; .

Показатель m для современных типов рельсов равен 4. Параметр С=28÷31.

После определения необходимого веса рельса принимают рельс стандартного типа (обычно ближайший большего веса). По принятому типу рельсов определяется тип верхнего строения пути

. Расчет пути в кривых участках

Железнодорожный путь в кривых участках имеет следующие особенности: при R<350 м устраивается уширение колеи и в некоторых случаях укладываются контррельсы:

а) возвышение наружного рельса над внутренним;

б) сопряжение прямых участков с криволинейными посредством переходных кривых;

в) укорочение рельсов на внутренних нитях кривых;

г) увеличение междупутных расстояний при наличии двух и более путей.

Исходными данными для расчета кривых являются:

)        Радиус круговой кривой R, м.

)        Центральный угол кривой α, град.

)        Скорость движения поезда , км/ч.

 

.1 Определение возвышения наружного рельса в кривых


Расчет возвышения наружного рельса (мм) в кривых заданного радиуса производится по формуле

, (3.1)

где  - средняя скорость движения подвижного состава (по заданию);

R - радиус кривой, м.

Максимальная скорость, км/ч

. (3.2)

Проверка полученной величины возвышения на удовлетворение требований по величине непогашенного центробежного ускорения для пассажирского поезда производится по формуле

. (3.3)

При выполнении расчетов возвышения наружного рельса следует иметь в виду, что ПТЭ устанавливают максимальную величину возвышения наружного рельса в размере 150 мм.

Расчеты по формуле (3.1):

R = 1065 м

R = 320 м


3.2 Расчет переходных кривых


3.2.1 Определение длины переходных кривых

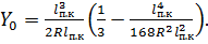
Исходя из подсчитанного выше возвышения h, определяют длину переходной кривой по формуле

 (3.4)

где  - уклон отвода возвышения наружного рельса (разгонки возвышения наружного рельса) принимаем равным 1мм/м.

Расчеты по формуле (3.1)

R = 1065 мR = 320 м


 

.2.2 Определение угла поворота переходных кривых

Угол поворота на протяжении переходной кривой определяется по формуле

рад или , град (3.5)

После этого проверяется возможность разбивки переходной кривой по неравенству

Расчеты по формуле (3.5):

R = 1065 м

R = 320 м

 

.2.3 Определение координат переходной кривой

Координаты для конца переходной кривой определяются по формулам:

 (3.6)

 (3.7)

Подсчет промежуточных ординат для Х=10 и 20 м производится по формуле

. (3.8)

В пояснительной записке приведен схематический чертеж разбивки переходной кривой.

Схема для R = 1085 м


Схема для R = 340 м


Расчеты по формуле (3.8):

R = 1065 м

R = 320 м




3.3 Укладка укороченных рельсов в кривых


Определение количества и порядка укладки укороченных рельсов выполняется аналитическим методом, изложенным в III части (глава V) учебника .

При расчете укороченных рельсов решаются следующие основные вопросы.

а) выбор типа укорочения;

б) определение числа укороченных рельсов;

в) установление порядка укладки нормальных и укороченных рельсов по внутренней нити кривой.

При правильном чередовании нормальных и укороченных рельсов несовпадение стыков наружной и внутренней нитей не должно быть более половины принятого типа укорочения.

В путевом хозяйстве имеются следующие типы укорочений: первый - =40 мм, второй  мм, третий - =120 мм, четвертый - .

Укорочение рельсов длиной 12,5 м делается по первому, второму и третьему типам, а рельсов длиной 25 м - по второму и четвертому типам укорочения.

В таблице 3.1 указаны пределы применения каждого типа укорочения.

Таблица 3.1 - Значение типа укорочения от радиуса кривой

Длина нормальных рельсов, м

Предельные значения радиусов кривых при данном типе укорочения, м


40

80

120

160

12,5

500

250

166

-

25,0

-

500

-

250


Для определения числа укороченных рельсов необходимо найти величину укорочения на протяжении круговой кривой и отдельно на переходных кривых.

С этой целью необходимо прежде всего подсчитать длину круговой кривой, оставшейся после разбивки переходных кривых, по формуле

 (3.9)

Или

 (3.10)

де  - угол поворота всей кривой, рад, град;

 - угол поворота на протяжении переходной кривой, рад, град.

При известной длине переходной кривой этот угол подсчитывается в радианах по формуле

 (3.11)

Зная длину круговой кривой и длины переходных кривых, находят общую (полную) длину кривой по формуле

 ,                                       (3.12)

где  = 25 м.

Полное укорочение на всей кривой подсчитывается в виде суммы укорочений на переходных кривых и на круговой кривой

 (3.13)

Величина укорочения внутренней нити на протяжении всей круговой кривой, мм:

. (3.14)

 (3.15)

где  - ширина колеи на прямом участке пути,  мм;- ширина головки рельса, мм;- уширение колеи в кривых, мм;

 

Величина укорочения на протяжении всей длины переходной кривой

. (3.16)

Общее число укороченных рельсов при данном типе укорочения определяем из выражения

 (3.17)

где К - величина укорочения рельса.

На рисунках (3.1) и (3.2) показаны схематические изображения укладки нормальных рельсов.

Расчеты по формулам (3.10), (3.12), (3.13), (3,14), (3,15), (3.16), (3.17):

R = 1085 м, K = 80 м

R = 340 м, K = 160 м

 

 ,

 

 

 

 

 

 

 


Заключительной частью расчета укороченных рельсов является определение порядка укладки нормальных и укороченных рельсов. Здесь в последовательном порядке для каждого рельса подсчитывается величина укорочения и составляются расчетные таблицы (таблица 3.2 и таблица 3.3).

Таблица 3.2 - Порядок укладки нормальных и укороченных рельсов

Место расположения рельса

Номер рельса

Длина рельсов (с учетом за-зора), м

Сумма потребных укорочений, мм

Величина фактического укорочения, мм

Сумма фактического укорочения,мм

Величина несовпадения стыков,мм















1

2

3

4

5

6

7

НПК

1

25,01

15,39

0

0

15,39


2'

5,52

22,93

0

0

22,93

КК

2''

19,49

52,2

80

80

27,8


3

25,01

89,78

0

80

9,78


4

25,01

127,36

80

160

32,64


5

25,01

164,93

0

160

4,93


6

25,01

202,5

80

240

37,5


7

25,01

240,08

0

240

0,08


8

25,01

277,65

0

240

37,65


9

25,01

315,23

80

320

4,77


10

25,01

352,8

0

320

32,8


11

25,01

390,37

80

400

9,63


12

25,01

427,95

0

27,95


13

25,01

465,52

80

480

14,48


14

25,01

503,09

0

480

23,09


15

25,01

540,67

80

560

19,33


16

25,01

578,24

0

560

18,24


17

25,01

615,82

80

640

24,18


18

25,01

653,39

0

640

13,39


19

25,01

690,96

80

720

29,04


20

25,01

728,54

0

720

8,54


21

25,01

766,11

80

800

33,89


22

25,01

803,68

0

800

3,68


23

25,01

841,26

80

880

38,74


24'

0,67

842,26

0

880

37,74

КПК

24''

24,34

864,27

0

880

15,73


25

6,19

865,217

0

880

14,78



Таблица 3.2 - Порядок укладки нормальных и укороченных рельсов (R=1065 м)

Место расположения рельса

Номер рельса

Длина рельсов (с учетом за-зора), м

Сумма потребных укорочений, мм

Величина фактического укорочения,мм

Сумма фактического укорочения,мм

Величина несовпадения стыков,мм

1

2

3

4

5

6

7

НПК

1

25,01

17,32

0

0

17,32


2

25,01

69,26

0

0

69,26


3

25,01

155,84

160

160

4,16


4'

15,28

225,775

0

160

65,775

КК

4''

9,73

274,43

0

160

114,43


5

25,01

399,475

160

320

19,475


6

25,01

524,525

160

480

44,525


7

25,01

649,575

160

640

9,575


8'

4,83

673,725

0

640

33,725

КПК

8''

20,18

763,34

0

640

123,34


9

25,01

843,13

160

800

43,13


10

25,01

888,29

0

800

88,29


11

20,11

899,49

0

800

99,49


В первой графе указывается место расположения звеньев. Во вторую графу этой таблицы вписываются в последовательном порядке номера звеньев, причем первым является то звено, которое лежит на кривой хотя бы частично.

Если рельс лежит частично на прямой, частично на переходной кривой или частично на переходной, частично на круговой кривой, то каждая такая часть рельса вписывается в отдельную строчку с добавлением к номеру рельса порядкового индекса 1 или 2.

В третьей графе указывается в последовательном порядке длина нормальных рельсов (с учетом зазора), лежащих на наружной нити кривой.

Для учета зазоров длина каждого рельса или соответствующей его части ,  и т.д. считается на 1 см длиннее (например, 25,01 вместо 25,0).

В четвертой графе указывается потребное укорочение внутренней нити в конце каждого звена нарастающим итогом по формуле

 (3.18)

При этом за  принимается расстояние от начала переходной кривой до конца каждого рельса с учетом зазоров нарастающим итогом, т.е. сначала  затем (), потом () и т.д.

В пределах круговой кривой величина укорочения подсчитывается как сумма укорочения на первой переходной кривой плюс укорочение на части круговой кривой от ее начала до конца одного рельса, потом следующего и т.д. по формуле

. (3.19)

земляной путь стрелочный перевод

При этом берется сначала , потом (

В пределах второй переходной кривой величина укорочения подсчитывается как разность между полным укорочением по всей кривой (и укорочением на протяжении  от начала второй переходной кривой в точке ее примыкания к прямому участку до рассматриваемого стыка по формуле

. (3.20)

В пятой графе указывается величина фактического укорочения в конце каждого рельса по внутренней нити в результате укладки того или иного рельса. Если будет уложен рельс нормальной длины, то укорочение будет равно 0. Если уложить укороченный рельс, то укорочение внутренней нити получится настолько, насколько укорочен этот рельс.

Первый укороченный рельс следует уложить на том звене где укорочение по внутренней нити превышает половину значения принятого типа укорочения. В этом случае величина забега одного стыка против другого будет меньше половины значения принятого типа укорочения рельса. Следующий укороченный рельс необходимо уложить на том звене, где укорочение внутренней нити превзойдет величину укорочения рельса в 1,5 раза, третий укороченный рельс - на том звене, на котором укорочение внутренней нити превзойдет укорочение рельса в 2,5 раза и т.д.

Цифры пятой графы будут указывать, какой рельс, нормальный или укороченный, укладывается по внутренней нити кривой. При укладке рельса нормальной длины ставится 0, при укладке укороченного рельса ставится величина его укорочения.

В шестой графе проставляется сумма фактических укорочений нарастающим итогом.

В седьмой графе проставляется величина несовпадения стыков, которая получается из разности граф шестой и четвертой. Она не должна быть больше половины принятого типа укорочения рельсов.

Общее количество укороченных рельсов по таблице должно получиться одинаковым с количеством, рассчитанным ранее.

После заполнения таблицы вычерчивается схема кривой с указанием порядка чередования нормальных и укороченных рельсов.

. Расчет обыкновенного стрелочного перевода

Основными параметрами стрелки являются стрелочный угол ß и длина остряка , показанные на рисунке 4.1.

Рисунок 4.1 - Основные параметры стрелки

Основные размеры стрелки:

t - минимально допустимая ширина желоба в свету между рамным рельсом и отводным остряком;

U - расстояние между рабочими гранями рамного рельса и остряка;

 - длина рамного рельса;

 - длина заднего выступа рамного рельса - это расстояние от корня остряка до стыка рамного рельса;

 - длина переднего выступа рамного рельса;

 - ширина головки остряка в корне.

4.1 Определение ширины желоба


Для того, чтобы ни одно колесо не нажимало ни на один из остряков, необходимо, чтобы соблюдалось или выполнялось следующее неравенство:

, (4.1)

где S - ширина колеи в корне остряка стрелочного перевода, S=1524 мм;

 - минимальная величина насадки колесной пары,  = 1437 мм;

 - минимальная толщина гребня или реборды колеса,  = 25 мм;

 - величина отклонения между вертикалью на расчетном уровне и вертикалью, по которой измеряется величина насадки,  = 1 мм.

 

4.2 Определение расстояния между рабочими гранями рамного рельса и остряка


 , (4.2)

где t - ширина желоба в свету;

 - ширина головки остряка Р 43, Р 50 - 70 мм, Р 65, Р 75 - 75 мм.

Но так как угол  мал, то принимают =1, тогда

 

Расчеты по формуле (4.2):

 .

4.3 Определение длины остряка


По известному  длина остряка определяется по формуле

              (4.3)

Расчеты по формуле (4.3):

5337,15мм

 

.4 Определение длины заднего выступа рамного рельса


Схема для расчета

 (4.4)

где  - стыковой пролет в корне остряка, зависящий от типа корневого устройства и расположения стыка корня остряка (на весу  =C);

C - нормальный стыковой пролет;

С = 500 мм для рельса типа Р-43,

С = 440 мм для рельса типа Р-50,

С = 420 мм для рельса типа Р-65 и Р-75.

 - расстояние между осями брусьев, которые расположены между стыком рамного рельса и     остряком пера

 - расчетный зазор в корне, =4 мм;- в расчетах принимается не менее 2 для того, чтобы ударно-динамические нагрузки от колеса подвижного состава при прохождении стыка рамного рельса не оказывали воздействие на корневое устройство;

 - нормальный стыковой зазор - 9 мм.

При корневом устройстве накладочного типа стык в корне устраивается на весу и  =C, стык шкворневого (шарнирного) крепления может быть расположен на весу, на брусе или на сдвоенных брусьях, в первом случае -  =C, а в последнем случае - =255 м.

 (4.5)

 (4.6)

где  - длина нормального рельса 25 м;

 - число шпал, уложенных на данной длине рельсов.

Определение

 (4.7)

где  - размер выступа остряка впереди оси первого переводного бруса, на котором располагается остряк.

, (4.8)

P - ширина стрелочного башмака или связной полосы.

Р = 180 мм при остряках высокого профиля,

Р = 100 мм при остряках низкого профиля.

Расчеты по формулам (4.4), (4.5), (4.6), (4.7), (4.8):

 

 

 

 + 1 = 91 мм,

 3 * 535,72 - 91 = 1721,66 мм.

4.5 Определение длины рамного рельса


Длина рамного рельса

 (4.9)

Расчеты по формуле (4.9):

 

.6 Определение основных размеров крестовины

Длина крестовины должна обеспечивать устойчивое положение при проходе по ней подвижного состава. Основные размеры крестовины указаны на рисунке 4.2.

Рисунок 4.2 - Определение основных размеров крестовины

Соединение ее концов с рельсами должно быть простым и надежным.

, (4.10)

где  - расстояние от переднего стыка крестовины до математического центра;

Р - хвостовой вылет крестовины, расстояние от математического центра крестовины до хвостового стыка крестовины.

; (4.11)

 (4.12)

где  - расстояние от оси стыкового зазора до выступающей части стыка (грани крайнего болта или конца выступа накладки). При двухголовых накладках равно расстояние от стыка до наружной грани крайнего болта;

 - ширина подошвы рельса;

 - ширина головки рельса;

 - ширина выступающей части стыка за пределы рельса в плане;

- запас на допуски и неточности монтажа, измеряемый расстоянием от границы выступающей части до биссектрисы угла крестовины (обычно равный 10 мм);

 - показатель марки крестовины.

Ряд расчетных значений для определения  и  приведен в таблице 4.1.

Таблица 4.1 - Расчетные значения параметров крестовины

Тип рельса

Тип накладки

Длина накладки, мм

Размер , мм

Размер  мм

 мм

В, мм

V мм

Р 43

Двухголовая 6-дырная

790

346

70

48

114

70

Р 50

Двухголовая 6-дырная

820

373

70

53

132

70

Р 65

Двухголовая 4-дырная

800

340

105

56

150

75

Р 75

Двухголовая 4-дырная

800

340

105

60

150

75


Е - расстояние между гранью подошвы рельса и биссектрисой угла крестовины; 2Е = 5 мм, чтобы не производить острожку подошвы рельсов при соединении их с сердечником.

Расчеты по формулам (4.10), (4.11), (4.12):

h = 340 + [(150-75) + 105] * 10 = 2140 мм,

Р = (150+75+10) * 10 =2350 мм,

 2140 + 2350 = 4490 мм.

4.7 Определение марки крестовины


Марка крестовины определяется путем введения угла

 ,         (4.13)

где  - радиус переводной кривой;

 и  - дополнительные параметры.

                         (4.14)

где  - расстояние от центра рельса до края накладки;

Е - расстояние от биссектрисы угла крестовины до выступающей части стыка, Е = 5

                                                        (4.15)

где  - длина прямой вставки между переводной кривой и стыком крестовины; должна быть не менее 1 м для крутых марок и 4 м - для пологих;

 - половина длины накладки.

Величина угла α (угол крестовины) определяется

) =  (4.16)

где  - параметр стрелочного перевода

,

где  - длина закоренного участка;

 - ширина колеи.

 

N =                                                     (4.17)

Расчеты по формулам (4.13), (4.14), (4.15), (4.16), (4.17):

 2 * (56+10) - 75 = 57 мм,

 = 4000 +400 = 4400 мм,

 

 = 88º 34',

 

) =  0,9919,

 = 82º 42',

 = 5º 52',

N = 10.

 

.8 Определение ширины желобов контррельса и крестовины


Рисунок 4.3 - Определение ширины желобов контррельса и крестовины

 (4.18)

 (4.19)

где  - ширина желоба контррельса;

 - ширина желоба крестовины;

 - наибольшее расстояние между рабочими гранями усовика и контррельса, равное 1435 мм;

 - расстояние между рабочей гранью контррельса и сердечника.

 (4.20)

где  - максимальная величина насадки рабочей пары, равная 1443, мм;

 - максимальная толщина гребня, равная 33 м;

- отклонение от вертикали на расчетном уровне от вертикали, по которой измеряется величина насадки, равное 1 мм.

Расчеты по формулам (4.18), (4.19), (4.20):

 

 

 

4.9 Определение основных геометрических размеров стрелочного перевода


Практическая длина стрелочного перевода определяется по формуле

 (4.21)

где  - длина переднего выступа рамного рельса;

 - теоретическая длина стрелочного перевода; определяется путем проектирования расчетного контура на горизонтальную ось.

 (4.22)

Расчеты по формулам (4.21), (4.22):

 

 

Проверка

 

 

 

 

;

 

4.10 Определение координат переводной кривой


Координаты, необходимые для разбивки кривой, определяются от точки А, показано на рисунке 4.4.

Рисунок 4.4 - Определение координат переводной кривой

.        Задаются значением абсциссы Х, кратным 2 или 4:   

.        Для каждого значения  определяют ординату .

Вначале при

Ордината для любой последующей точки

, (4.23)

                              (4.24)

 

 

 - угол наклона стрелочной кривой к горизонту в данной точке. Значения угла  определяют из уравнения, полученного путем проектирования отрезка стрелочной кривой на горизонтальную ось:

 

 

Конечную ординату  можно определить

 

Разница 23 мм допустима.

Расчеты по формулам:

 

 

 

 

,

 

 

 

 

 

 

 

 

 

 

 

 

 

 

 

 

 

 

 186, 27 + 175000 * (0,9996 - 0,9947 ) = 1043,77 мм,

 

.11 Определение длины рельсов в стрелочном переводе


Обычно соединительные рельсы, примыкающие к рамным рельсам и острякам, принимают равными половине длины или полной длине целого стандартного рельса  Таким образом

 

Для всех видов остряков длины рельсов по прямому направлению и по упорной нити переводной кривой можно определить по одним и тем же формулам:

 (4.25)

 (4.26)

 (4.27)

где R - радиус переводной кривой по рабочей грани упорной нити.

Длина рельса по внутренней нити переводной кривой

 (4.28)

где  - радиус по оси внутренней нити переводной кривой;

 - центральный угол криволинейного участка в пределах длины внутреннего рамного рельса.

В свою очередь

 (4.29)

Угол  можно определить, если известна длина части рамного рельса  , по следующей формуле:

 . (4.30)

В общем виде

 . (4.31)

Для стрелки с прямыми остряками

. (4.32)

4.12 Разработка эпюры стрелочного перевода


При разработке эпюры стрелочного перевода необходимо:

а) определить порядок раскладки брусьев под переводом;

б) установить длину брусьев;

в) выполнить чертежные работы.

 

.12.1 Порядок раскладки брусьев под переводом

Расстояние между переводными брусьями не следует назначать больше расстояния между шпалами на пути. Под остряком и крестовиной укладывают брусья с пролетами (примерно 5÷15%) меньше аналогичных междушпальных пролетов.

Первоначально брусья раскладывают у всех стыков, у острия и корня остряка, у переводной тяги и на крестовине. Между началом рамного рельса и острием (пером) остряка обычно укладываются шпалы.

Раскладку переводных брусьев по длине перевода следует делать возможно равномернее, чтобы расстояние между ними было не меньше расстояний между шпалами на пути.

Пролет между флюгарочными брусьями для постановки первой переводной тяги необходимо делать для размещения электропривода не менее 650 мм. Обычно этот пролет дается 670÷700 мм.

Для облегчения расчета раскладки брусьев (определения числа пролетов, числа брусьев определенной длины и т.д.) рекомендуется вычерчивать рабочую масштабную схему стрелочного перевода в нитях, на которой необходимо прежде всего наметить все стыковые пролеты. Укладка брусьев за хвостом крестовины продолжается до того места, где шпалы по обоим путям могут быть уложены без захода их под рельс соседнего пути.

4.12.2 Установление длины брусьев

Под стрелочным переводом укладываются брусья длиной от 2,75 до 5,5 м с наращиванием длины через 25 см. Флюгарочные брусья укладываются длиной 4,5 м. Концы переводных брусьев со стороны прямого пути укладываются по шнуру параллельно прямому пути, причем величина выступа за рабочую грань рельсовой нити нормально должна быть равна (2700 - 1524):2=588 мм.

В целях экономии древесины допускается уменьшение указанного выступа до 575 мм. С другого конца переводные брусья должны иметь выступ такого же размера за рабочую грань внутренней нити бокового пути, но эта нить постепенно отходит от прямого пути, и поэтому для сохранения величины указанного выступа необходимо соответственно изменять длину брусьев. Эти указания служат для определения количества брусьев в группе данной длины, укладываемых в стрелочный перевод.

Указания по вычерчиванию эпюры

1.      Стрелочный перевод графически представляется двумя чертежами: собственно эпюра (план стрелочного перевода и схема разбивки перевода).

.        На эпюре стрелочного перевода указывают все основные размеры как отдельных элементов, так и всего перевода в целом.

.        На схеме перевода должно быть показаны координаты для разбивки стрелочной кривой, размеры ширины колеи в ответственных местах и ряд других размеров.

 

Заключение


Основные задачи транспорта - своевременное, качественное и полное удовлетворение потребностей народного хозяйства и населения в перевозках; повышение экономической эффективности его работы.

Значение железнодорожного транспорта проявляется в двух факторах:

)        Технико-экономическое преимущество

)        Совпадение направлений и мощности основных транспортно-экономических преимуществ, конфигураций, пропускной способности железнодорожных магистралей.

 

Список литературы


1.      Железнодорожный путь: Учебник/Под ред. Т.Г. Яковлевой, 2-е изд., с изм. и доп. - М.: Транспорт, 2001. - 407 с.

.        Расчеты и проектирование железнодорожного пути. Учебное пособие./Под ред. В.В. Виноградова. - М.: Маршрут, 2003. - 485 с.

.        Общий курс железных дорог./Под ред. проф. Ю.И. Ефименко. - М.: Академия, 2005.

.        Шахунянц Г.М. «Железнодорожный путь». М.: Транспорт, 1987.

.        Амелин С.В. «Путь и путевое хозяйство». М.: Транспорт, 1979.

Похожие работы на - Проектирование и расчет промышленных железных дорог

 

Не нашли материал для своей работы?
Поможем написать уникальную работу
Без плагиата!
Без нейросетей!