Проект открытого склада угля

  • Вид работы:
    Курсовая работа (т)
  • Предмет:
    Транспорт, грузоперевозки
  • Язык:
    Русский
    ,
    Формат файла:
    MS Word
    214,3 Кб
  • Опубликовано:
    2013-10-26
Вы можете узнать стоимость помощи в написании студенческой работы.
Помощь в написании работы, которую точно примут!

Проект открытого склада угля

Федеральное Государственное Образовательное Учреждение

Высшего Профессионального Образования

«Петербургский Государственный Университет Путей Сообщения»

(ПГУПС)

Кафедра «Логистика и коммерческая работа»







Пояснительная записка к курсовой работе по дисциплине

«Транспортно-грузовые системы»

Выполнил студент

Амелин А.С.

Проверил Алиев Г. Н.






Санкт-Петербург - 2011

ВВЕДЕНИЕ


В процессе производства и транспортирования наиболее трудоёмкими являются работы по перемещению, погрузке, выгрузке и складированию сырья, материалов, полуфабрикатов и готовой продукции.

Наиболее эффективному использованию капитальных вложений, снижению производственных затрат способствует осуществление комплексной механизации и автоматизации погрузочно-разгрузочных и складских работ, позволяющее снизить затраты труда и расходы на выполнение указанных работ, сократить непроизводительные простои подвижного состава, повысить рентабельность производства.

Функционирование складов тесно связано с работой внешнего транспорта и технологическим процессом предприятия. Поэтому выбор рациональных вариантов механизации погрузочно-разгрузочных работ на складе необходимо производить так, чтобы принятые решения учитывали как интересы транспорта, так и интересы предприятия.

Рациональный вариант механизации погрузочно-разгрузочных и складских работ должен обеспечить:

·        комплексную механизацию работ на всех этапах переработки груза;

·        снижение себестоимости переработки груза;

·        повышение производительности труда и сокращение количества занятых работников за счёт совершенствования методов и приёмов использования средств автоматизации;

·        сокращение ручного труда на переработке груза;

·        облегчение условий труда обслуживающего персонала;

·        сокращение простоя подвижного состава железных дорог, судов и автомобилей под погрузочно-выгрузочными операциями;

·        высокие технико-экономические показатели;

·        необходимые условия для рациональной работы внутризаводского транспорта, связывающего склад с другими объектами промпредприятия;

·        безопасность при производстве погрузочно-разгрузочных работ;

·        охрану окружающей среды.

Выбор рационального варианта механизации погрузочно-разгрузочных и складских работ может быть сделан в результате всестороннего сравнения вариантов по технико-эксплуатационным и экономическим показателям, определение которых базируется на проектировании склада. В ходе проектирования устанавливаются основные параметры склада, выбираются средства механизации и их количество.

ГЛАВА 1. РАСЧЁТ И АНАЛИЗ ГРУЗОПОТОКОВ СКЛАДА


Проектирование склада сыпучих грузов начинается с расчётов внешних и внутрискладских грузопотоков.

1.1 Определение внешних грузопотоков

Внешние грузопотоки - это грузопотоки прибытия на склад и отправления грузов со склада на внешний (по отношению к складу) транспорт. Определение внешних среднесуточных грузопотоков:

·        по прибытию грузов на склад:

 (1)

·        по отправлению грузов со склада:

 (2)

где Qг - годовой грузопоток, ;

Тпр, Тот - число дней работы склада в году по приёму и отправлению

грузов соответственно.

Определение расчётных внешних суточных грузопотоков:

·        по прибытию грузов на склад:

 (3)

·        по отправлению грузов со склада:

 (4)

где kпр - коэффициент неравномерности прибытия груза на склад.

1.2 Определение внутрискладских грузопотоков

Внутрискладские грузопотоки - перемещения груза между различными технологическими участками внутри склада:

·        грузопоток Q(1) - перемещение груза из транспорта прибытия (полувагона) в зону временного хранения.

·        грузопоток Q(2) - перемещение груза из зоны временного хранения в зону хранения.

·        грузопоток Q(3) - перемещение груза из зоны хранения по транспорту отправления (конвейеру).

Рис. 1Схема внутрискладских грузопотоков

Определение суточных интенсивностей внутрискладских грузопотоков.

·        Определение суточной интенсивности грузопотока по перемещению груза из транспорта прибытия в зону временного хранения (Q(1)):

 (5)

·        Определение суточной интенсивности грузопотока по перемещению груза из зоны временного хранения в зону хранения (Q(2)):

 (6)

·        Определение суточной интенсивности грузопотока по перемещению груза из зоны хранения по транспорту отправления (Q(3)):

 (7)

Определение часовых интенсивностей внутрискладских грузопотоков.

Часовые интенсивности внутрискладских грузопотоков - это потребные производительности перегрузочных машин и механизмов, осуществляющих перегрузочные операции на этих грузопотоках.

Определение расчётного суточного вагонопотока:

 (8)

где  - норма загрузки полувагона,  = 65 т.

Определение числа вагонов в подаче:

 (9)

где Хп - число подач вагонов к складу за сутки, Хп = (1…4) подачи.

Определение часовой интенсивности грузопотока по перемещению груза из транспорта прибытия в зону временного хранения (Q(1)):

 (10)

где [τж] - нормативное время простоя вагонов под выгрузкой, [τж] = 0,45 ч.;

τ0 - время на вспомогательные и подготовительно-заключительные операции при разгрузке вагонов, τ0 = (0,1…0,3) ч.

Определение среднего времени интервала между подачами вагонов:

 (11)

где  - продолжительность работы склада по приёму груза с железнодорожного транспорта,  = 24 часа.

Определение часовой интенсивности грузопотока по перемещению груза из зоны временного хранения в зону хранения (Q(2)):

 (12)

Определение суточной интенсивности грузопотока по перемещению груза из зоны хранения по транспорту отправления (Q(3)):

 (13)

где ncм - число смен работы склада в сутки, nсм = (1…3) смены в сутки;

Тсм - продолжительность работы смены, Тсм = 8 часов;

kч - коэффициент часовой неравномерности грузопотока в течение суток,

kч = 1,2.

ГЛАВА 2. ПРОЕКТИРОВАНИЕ И ОПРЕДЕЛЕНИЕ ПАРАМЕТРОВ ЗОНЫ ВРЕМЕННОГО ХРАНЕНИЯ ГРУЗА


В курсовой работе зоной временного хранения груза будет служить подземный железобетонный бункер в форме обелиска. Так как разгрузка производится с железнодорожного транспорта, то нужно сначала рассчитать длину разгрузочного железнодорожного пути, а затем приступить уже к бункеру.

Рис. 2 Схема параметров зоны временного хранения

2.1 Определение длины разгрузочного железнодорожного пути

 (14)

где ξ - булева переменная, для точечного разгрузочного фронта ξ = 2, так как нужно учесть место для отведения выгруженных вагонов;

lв - длина одного полувагона с запасом, lв = 15 м;

lл - длина локомотива с запасом, lл = 30 м.

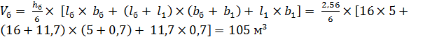
2.2 Определение параметров приёмного железобетонного бункера зоны временного хранения

Определение минимально допустимого объёма подземного приёмного бункера зоны временного хранения.

 (15)

где γ - объёмная плотность угля, γ = 0,8 .

Определение высоты приёмного бункера.

 (16)

где bб - ширина бункера, bб = 5 м;

b1 - ширина разгрузочного отверстия бункера, b1 = 0,7 м;

β1 - угол наклона боковых стенок бункера, β1 = 50°.

Определение длины разгрузочного отверстия бункера.

 (17)

где lб - длина бункера, lб = 16 м;

β2 - угол наклона боковых стенок бункера, β2 = 50°.

Определение объёма приёмного бункера.

 (18)

Проверка соответствия найденного объёма бункера условию формулы (15).

 (15)

Объём бункера соответствует условию и найденные параметры бункера верны.

Определение потребной наименьшей производительности механизмов и устройств, перегружающих груз из приёмного бункера зоны временного хранения в зону хранения груза.

 (16)

.

.

Так как часовая интенсивность грузопотока по перемещению груза из зоны временного хранения в зону хранения, вычисленная по формуле (12), меньше, чем наименьшая потребная производительность этого же грузопотока, то часовая интенсивность принимается равной наименьшей потребной производительности и проектирование может быть продолжено дальше, то есть  = 1300 .

ГЛАВА 3. ПРОЕКТИРОВАНИЕ И ОПРЕДЕЛЕНИЕ ПАРАМЕТРОВ ЗОНЫ ХРАНЕНИЯ ГРУЗА


В курсовой работе зоной хранения груза будет служить открытая бетонная площадка, на которой будет находиться штабель груза в форме двух клиньев. Уголь будет перемещаться из зоны временного хранения конвейерами и распределяться по штабелю с помощью самоходной разгрузочной тележки. На транспорт отправления уголь будет перемещаться через бункер, куда будет загружаться с помощью ковшового погрузчика.

Рис. 3. Схема параметров штабеля зоны хранения груза.

3.1 Определение потребной вместимости основного штабеля груза

 (17)

где τхр - срок хранения груза на складе, τхр = 6 суток.

3.2 Определение потребного объёма основного штабеля сыпучего груза

 (18)

.3 Определение параметров основного штабеля хранения груза

В складе с конвейерной галереей на эстакаде, который проектируется в данной курсовой работе, длина штабеля не связана с длиной разгрузочного железнодорожного пути, как в складе с повышенным путём или траншеей вдоль пути, поэтому изначально задаются такие параметры штабеля, как его высота (Нш = 8 м), ширина эстакады, на которой размещён конвейер (b = 1,2 м), и угол естественного откоса груза (ρ = 30°), и после вычисляются остальные параметры штабеля.

Определение ширины штабеля.

·        Определение ширины одного «клина» штабеля.

 (19)

·        Определение ширины штабеля.

 (20)

Определение длины штабеля понизу.

 (21)

Определение длины штабеля поверху.

 (22)

Определение фактического объёма штабеля.

 (23)



ГЛАВА 4. ОПРЕДЕЛЕНИЕ ПРОИЗВОДИТЕЛЬНОСТИ И КОЛИЧЕСТВА ПОДЪЁМНО-ТРАНСПОРТНЫХ И ПОГРУЗОЧНО-РАЗГРУЗОЧНЫХ МАШИН

склад уголь транспорт грузопоток

В курсовой работе груз из штабеля зоны хранения будет отправляться на транспорт отправления ковшовым погрузчиком на пневмоколёсном ходу, который будет зачёрпывать уголь в любом месте штабеля зоны хранения и перемещать и сбрасывать его в бункер, ведущий на транспорт отправления.

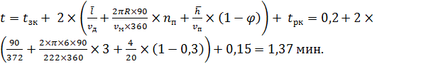
.1 Определение продолжительности цикла работы ковшового погрузчика

 (24)

где tзк - время зачёрпывания груза ковшом, tзк = 0,2 мин;

 - среднее расстояние перемещения груза погрузчиком,  = 86 м;

vд - эксплуатационная скорость движения погрузчика, vд = 373 ;

R - радиус поворота погрузчика, R = 6 м;

vм - малая скорость погрузчика на поворотах, vм = 222 ;

nп - число поворотов погрузчика в цикле на 90° с грузом, nп = 3 поворота;

 - средняя высота подъёма груза при разгрузке,  = 4 м;

vп - скорость подъёма ковша погрузчика, vп = 10 ;

φ - коэффициент совмещения операций подъёма/опускания ковша

вместе с движением погрузчика, φ = 0,1;

tрк - время разгрузки ковша, tрк = 0,15 мин.

4.2 Определение потребной производительности погрузчика

 (25)

где Vг - объём грузозахватного устройства (ковша), Vг = 3,5 м3;

f - коэффициент заполнения ковша грузом, f = 0,9.

4.3 Определение потребного количества ковшовых погрузчиков

погрузчик (26)

где kт - коэффициент использования оборудования по времени, kт = 0,9.

ГЛАВА 5. ОПРЕДЕЛЕНИЕ ПАРАМЕТРОВ ТРАНСПОРТИРУЮЩИХ МАШИН И УСТРОЙСТВ


В курсовой работе транспортирующие машины и устройства представлены четырьмя конвейерами, ведущими из приёмного бункера зоны временного хранения на конвейер с самоходной разгрузочной тележкой на эстакаде; конвейером с самоходной разгрузочной тележкой на эстакаде и конвейером, который является транспортом отправления.

5.1 Определение ширины ленты конвейеров

Стандартная ширина ленты конвейеров может составлять 500, 650, 800, 1000, 1200, 1400, 1600, 1800, 2000, 2200 и 2400 мм, поэтому полученную по формуле ширину конвейера следует округлить в большую сторону до ближайшего стандартного значения.

Определение ширины ленты четырёх конвейеров, ведущих из приёмного бункера временного хранения на конвейер с самоходной разгрузочной тележкой на эстакаде. Угол наклона конвейера α = 10°.

 (27)

где v - скорость ленты конвейера, v = 2 ;

с - коэффициент, зависящий от угла наклона конвейера:

с = 0,8 при α = 20°; с = 0,9 при α = 10°; с = 1,0 при α = 0°.

Определение ширины конвейера с самоходной разгрузочной тележкой на эстакаде. Угол наклона конвейера α = 0°.

 (28)

Определение ширины конвейера, который является транспортом отправления. Угол наклона конвейера α = 10°.

 (29)

5.2 Определение мощности конвейеров

Определение суммарной мощности четырёх конвейеров, ведущих из приёмного бункера зоны временного хранения на конвейер с самоходной разгрузочной тележкой на эстакаде.

 (30)

где η - коэффициент полезного действия тягового органа конвейера, η = 0,9;

Lг - горизонтальное проложение конвейера, Lг = 76,9 м;

w - приведённый коэффициент сопротивления движению тягового органа,

w = 0,04;

H - высота подъёма конвейера, Н = 13,56 м;

kз - коэффициент запаса мощности, kз = 1,3.

Определение мощности конвейера с самоходной разгрузочной тележкой на эстакаде.

 (31)

где Nсрт - мощность самоходной разгрузочной тележки, Nсрт = 10 кВт.

Определение мощности конвейера, который является транспортом отправления.

 (32)

ГЛАВА 6. ОПРЕДЕЛЕНИЕ ПАРАМЕТРОВ БУНКЕРОВ


Бункеры представляют собой ёмкости, предназначенные для краткосрочного хранения сыпучих грузов, а также для передачи грузов с одного транспортирующего устройства на другое. В курсовой работе металлический подземный бункер будет служить для передачи груза из зоны основного хранения с помощью ковшового погрузчика на конвейер, являющийся транспортом отправления.

Проектирование бункера состоит в определении его геометрических размеров, отвечающих ряду условий. Этими условиями являются:

·        соответствие геометрической вместимости бункера требуемому объёму размещаемого в бункере груза;

·        отсутствие торможения частиц груза на наклонных стенках бункера;

·        беспрепятственный выпуск груза через разгрузочное отверстие (отсутствие сводообразования над разгрузочным отверстием);

·        обеспечение требуемой производительности по выдаче груза из бункера.

Рис. 4 Схема геометрических размеров бункера.

6.1 Определение периметра разгрузочного отверстия

 (33)

где А - ширина разгрузочного отверстия, располагающаяся перпендикулярно оси ленты конвейера, А = 0,4 м;

В - длина разгрузочного отверстия, В = 1 м.

6.2 Определение размеров загрузочного отверстия

·        Определение ширины загрузочного отверстия:

 (34)

·        Определение длины загрузочного отверстия:

 (35)

6.3 Определение гидравлического радиуса

 (36)

где w - расчётная площадь выпускного отверстия бункера, м2.

6.4 Определение скорости истечения груза из бункера

 (37)

где λ - коэффициент истечения, λ = 0,8;

g - ускорение свободного падения, g = 9,8 .

.5 Определение пропускной способности (производительности) бункера

 (38)

6.6 Определение высоты наклонной части бункера

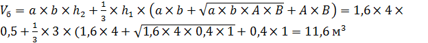
Тангенс угла наклона ребра αр должен быть не менее коэффициента трения угля о металлические стенки бункера, который равен 0,8. Таким образом, значение tgαp примем равным 5.

 (39)

6.7 Определение объёма бункера

 (40)

где h2 - высота верхней части бункера в форме параллелепипеда, h2 = 0,5 м.

ГЛАВА 7. ОПРЕДЕЛЕНИЕ ТЕХНИКО-ЭКОНОМИЧЕСКИХ ПОКАЗАТЕЛЕЙ СКЛАДА


Применение комплексной механизации и автоматизации на складах на основе использования высокопроизводительной перегрузочной техники позволяет сократить трудозатраты, снизить объёмы ручного труда, повысить производительность труда при переработке грузов на складах. Внедрение таких технологических процессов требует значительных капитальных затрат. В современных условиях необходимо принять все меры для того, чтобы эти вложения были использованы наиболее эффективно и обеспечили бы существенное снижение текущих производственных затрат.

Рациональная схема механизации погрузочно-разгрузочных работ на складе должна, прежде всего, обеспечить:

·        комплексную механизацию и автоматизацию переработки груза на всех этапах технологического процесса;

·        облегчение условий труда обслуживающего персонала;

·        повышение производительности труда и сокращение количества занятой рабочей силы;

·        сокращение простоя подвижного состава под грузовыми операциями;

·        минимальный размер необходимых капитальных вложений;

·        снижение срока окупаемости склада;

·        увеличение прибыли от складских услуг при снижении себестоимости переработки груза.

К основным технико-экономическим показателям склада, которые необходимо рассчитать в данной курсовой работе, относятся:

·        величина капитальных вложений на строительство склада;

·        годовые эксплуатационные расходы, в том числе:

o   расходы на амортизацию сооружений и оборудования;

o   расходы на ремонт оборудования и сооружений;

o   расходы на оплату труда работников склада;

o   отчисления на социальные нужды;

o   расходы на силовую и осветительную электроэнергию;

o   расходы на топливо;

o   расходы на смазку;

o   налоги: земельный, на имущество, на добавленную стоимость и на прибыль;

·        количество занятой рабочей силы;

·        приведённые затраты на строительство и эксплуатацию склада;

·        себестоимость переработки 1 т груза;

·        производительность труда;

·        перерабатывающая способность оборудования;

·        фондоотдача;

·        удельные капитальные вложения;

·        доход;

·        прибыль;

·        чистая прибыль;

·        срок окупаемости инвестиций.

7.1 Определение капитальных вложений на строительство склада

Величина капитальных вложений на строительство склада представляет собой сумму стоимости складских зданий и сооружений и стоимости оборудования склада:

 (41)

где Ксоор - стоимость складских зданий и сооружений, тыс. руб.;

Кобор - стоимость складского оборудования, тыс. руб.;

 - стоимость одной единицы сооружения i-го типа, тыс. руб.;

ncoop.i - количество единиц сооружения i-го типа;

 - стоимость одной единицы оборудования j-го типа, тыс. руб.;

mобор.j - количество единиц оборудования j-го типа;

kнач - коэффициент начисления, включающий в себя стоимость по доставке и монтажу оборудования, kнач принимается равным 1,15.

Величину капитальных вложений на строительство склада удобно считать в табличной форме в виде сметы:

Таблица 1: Смета капитальных затрат на строительство склада

Наименование сооружения и оборудования

Единица измерения

Количество единиц

Единичная стоимость, тыс. руб.

kнач

Сумма, тыс. руб.

Подсыпка и планировка территории склада

м2

37200

0,2

-

7440,00

Асфальтобетонная автодорога

м2

3648

1,6

-

5836,80

Бетонное покрытие площадки под зоной хранения

м2

15612,8

1

-

15612,80

Железнодорожный путь колеи 1520 мм

пог. м

300

8

-

2400,00

Наземная галерея для конвейера

пог. м

178

6,8

-

1210,40

Наклонная ж/б эстакада с галереей для конвейера

пог. м

66,23

15

-

993,45

Подземная ж/б галерея для конвейера 3х2,5 м

пог. м

46,38

38

-

1762,44

Административное здание каменное

м3

432

2,5

-

1080,00

Склад из панелей отапливаемый (гараж для погрузчика)

м3

288

6,5

-

1872,00

Стационарный бункер металлический

м3

11,6

4,6

-

53,36

Стационарный бункер ж/б

м3

105

3,5

-

367,50

Кюветы

пог. м

697,2

0,5

-

348,60

Наружная водопроводная сеть

пог. м

92

2

-

184,00

Электрическая сеть

комплект

1

500

-

500,00

Тракторный погрузчик одноковшовый

шт.

500

1,15

575,00

Итого К =

40236,35


7.2 Определение годовых эксплуатационных расходов

Определение годовых расходов на амортизацию сооружений и оборудования.

Норма амортизационных отчислений зависит от срока службы сооружения или оборудования и определяется по формуле:

 (42)

где nл - срок службы сооружения или оборудования, лет.

Норма амортизационных отчислений рассчитывается на среднегодовое время работы данного оборудования или сооружения, равное Трасч. = 3000 .

Для оборудования величина нормы амортизационных отчислений может быть изменена в зависимости от фактического времени его работы в год:

 (43)

где φ - поправочный коэффициент,

φ =  (44)

где Тфакт - фактическое время работы оборудования в году, ч;

В курсовой работе для упрощения расчётов фактическое время работы оборудования принимается равным среднегодовому, то есть Тфакт = Трасч = 3000 , поэтому поправочный коэффициент φ = 1, соответственно, На = .

Так как здания и сооружения склада постоянно подвергаются воздействиям со стороны внешней среды, то норма амортизационных отчислений не зависит от времени их работы.

Величину амортизационных отчислений удобно считать в виде таблицы:

Таблица 2: Ведомость расчёта расходов на амортизацию сооружений и оборудования склада

Наименование сооружения и оборудования

Стоимость, тыс. руб.

Тфакт ч

φ

На=

Сумма,

Асфальтобетонная автодорога

5836,80

-

-

5,0

291,84

Бетонное покрытие площадки под зоной хранения

15612,80

-

-

7,3

1139,73

Железнодорожный путь колеи 1520 мм

2400,00

-

-

3,1

74,40

Ленточные стационарные конвейеры

3966,29

3000

1

14,5

575,11

Здания каменные и ж/б

2952,00

-

-

3,1

91,51

Бункеры металлические

53,36

-

-

5,3

2,83

Бункеры ж/б

367,50

-

-

16,0

58,80

Канализационная сеть

348,60

-

-

3,3

11,50

Водопроводная сеть

184,00

-

-

5,5

10,12

Электрическая сеть

500,00

-

-

8,0

40,00

Тракторный погрузчик одноковшовый грузоподъёмностью более 10 т

500,00

3000

1

19,0

95,00

Итого Эам =

2390,84


Определение годовых расходов на ремонт сооружений и оборудования.

Для покрытия расходов на ремонт сооружений и оборудования стоимость ремонта включается в стоимость складских услуг, но эту стоимость можно включить туда двумя путями: либо включением в стоимость услуг фактической стоимости ремонта, либо включением в стоимость услуг равномерно распределённых в течение года отчислений в ремонтный фонд.

В курсовой работе покрытие расходов на ремонт сооружений и оборудования будет осуществляться путём создания ремонтного фонда, величина которого определяется по формуле:

 (45)

где срем - процент отчислений средств в ремонтный фонд, срем = (2…5)%.

Определение годовых расходов на оплату труда обслуживающего персонала.

В соответствии с технологической схемой склада определяется количество обслуживающего персонала, необходимого для работы склада. Такое количество работников называется штатным составом. Так как склад работает круглосуточно и семь дней в неделю, а персонал восемь часов в сутки и пять дней в неделю, то требуется дополнительный персонал по подмене работников в выходные и праздничные дни, а также во время их отпуска или болезни. Штатный состав с дополнительно оформленными работниками называется списочным составом. Общее списочное количество рабочих определяется по формуле:

 (46)

где ршт.i - штатное количество работников i-ой категории, чел.;

kсп. - коэффициент перехода от штатного состава к списочному, kсп. = 1,59.

В курсовой работе персонал склада будет работать на повременной системе оплаты труда. При повременной системе оплаты труда не учитывается объём выполненных работ. Таким образом, расходы на заработную плату обслуживающего персонала склада определяются по формуле:

 (47)

где kнчс - коэффициент начислений, учитывающий оплату отпусков, премии и надбавки, компенсационные выплаты, kнчс = 1,7;

ЗПi - среднемесячная заработная плата i-ой категории работников, тыс. руб.

Расчёт заработной платы персонала, обслуживающего склад, удобно производить в табличной форме в виде ведомости расчёта заработной платы персонала склада:

Таблица 3: Ведомость расчёта заработной платы персонала склада

Должность

Штатный состав, чел.

kсп

Спис. сост., чел.

Заработная плата, тыс.


По сменам

Всего



На 1 человека

Всего за год


1

2

3




мес.

год


Заведующий складом

-

1

-

1

1,59

1,59

70

840

1335,60

Старший приёмосдатчик

-

1

-

1

1,59

1,59

40

480

763,20

Приёмосдатчик

1

1

1

3

1,59

4,77

25

300

1431,00

Водитель ковшового погрузчика

1

1

1

3

1,59

4,77

15

180

858,60

Конвейерщик

3

3

3

9

1,59

14,31

15

180

2575,80

Весовщик

1

1

1

3

1,59

4,77

15

180

858,6

Слесарь

1

1

1

3

1,59

4,77

18

216

1030,32

Электрик

1

1

1

3

1,59

4,77

12

144

686,88

Подсобный рабочий

1

1

1

3

1,59

4,77

8

96

457,92

Итого

9997,92

Итого с учётом коэффициента начислений Эзп =

16996,46


Определения годовой величины отчислений на социальные нужды.

Для взносов в фонд социального и обязательного медицинского страхования и в государственный пенсионный фонд осуществляются отчисления с совокупной ставкой 34%, которые определяются по формуле:

 (48)

где λстр - совокупная процентная ставка отчислений в фонды, λстр = 34%.

Определение годовых расходов на силовую электроэнергию.

В курсовой работе на электрической энергии работают только конвейеры, которые являются машинами непрерывного действия и у которых можно посчитать суммарную мощность, поэтому годовые расходы на силовую электроэнергию определяются следующим образом:

 (49)

где рсэ - стоимость 1 кВтч силовой электроэнергии, рсэ = 2 ;

Nсумм - суммарная мощность конвейеров, Nсумм = 133,73 кВт;

Определение годовых расходов на топливо.

В курсовой работе от двигателя внутреннего сгорания работает только один тракторный ковшовый погрузчик, поэтому годовые расходы на топливо определяются по формуле:

 (50)

где ртоп - стоимость 1 т дизельного топлива, ртоп = 16 ;

ηt - норма расхода топлива в час на 1 л.с. установленной мощности двигателя, ηt = 0,2 ;

Nкп - мощность двигателя ковшового погрузчика, Nкп = 180 л.с.

Определение годовых расходов на освещение склада.

Годовые расходы на освещение склада определяются по формуле:

 (51)

где росв - стоимость 1 кВтч осветительной электроэнергии, росв = 1,5 ; Si - площадь i-ой освещаемой поверхности, м2;

φi - норма освещённости i-ой освещаемой поверхности:

·        для открытых складских площадок φ = 10 ;

·        для погрузочно-разгрузочных участков φ = 12 ;

·        для помещений φ = 18 .

Тосв - расчётная продолжительность освещения склада, Tосв = 4600 .

Годовые расходы на освещение склада удобно считать в табличной форме в виде ведомости расчёта расходов на освещение склада:

Наименование освещаемой территории

S, м2

φ,

Тосв ,

Сумма,

Фронт выгрузки вагонов (бункер зоны временного хранения груза)

80

12

4600

6,62

Зона штабеля основного хранения груза

15094,4

10

4600

1041,51

Зона погрузки на конвейер, являющийся транспортом отправления

518,4

12

4600

42,92

Административное здание

144

18

4600

17,88

Итого Эосв =

1108,93


Определение годовых расходов на смазочные и обтирочные материалы.

Годовые расходы на смазочные и обтирочные материалы принимаются равными 10% от величины расходов на топливо и силовую электроэнергию:

 (52)

Определение годовой величины налога на землю.

 (53)

где S - площадь склада, S = 37200 м2; рзем - стоимость 1 м2 земли, рзем = 10 ; λзн - ставка земельного налога, λзн = 1,5%.

Определение величины годовых эксплуатационных расходов.

 (54)

7.3 Определение приведённых затрат на строительство и эксплуатацию склада

 (55)

где Ен - коэффициент экономической эффективности кап. вложений, Ен = 0,12.

Определение себестоимости переработки 1 т груза.

 (56)

Определение производительности труда (средней выработки на 1 рабочего в смену).

 (57)

где  - количество человеко-смен в течение года,

 (58)

Определение перерабатывающей способности основного оборудования.

 (59)

где Qчас - часовая производительность основного оборудования. Основное оборудование - это оборудование, которое выполняет самый большой объём работ. В курсовой работе основным оборудованием являются 4 конвейера, ведущие из зоны временного хранения на конвейер с эстакадой, их производительность равна:

 (60)

Определение фондоотдачи.

 (61)

Определение удельных капитальных вложений.

 (62)

Определение величины годового дохода.

 (63)

где Сn - стоимость перегрузки 1 м3 угля, равная 110 , в пересчёте на тонны Сn = 137,5 ;

Е - вместимость штабеля основного хранения груза, Е = 4316,2 м2;

kЕ - коэффициент заполненности зоны основного хранения груза,

kE = 0,9; Сх - стоимость суточного хранения количества угля, занимающего 1 м2,

Сх = 35 .

Определение годовой величины прибыли.

ПР = Д - Эгод = 132125,51 - 29704,91= 102420,60  (64)

Определение годовой величины чистой прибыли.

 (65)

где НДС - ставка налога на добавленную стоимость, НДС = 18%;

Ни - ставка налога на имущество, Ни = 2%;

Нп - ставка налога на прибыль, Нп = 20%.

Определение срока окупаемости инвестиций.

 (66)

ВЫВОД


В курсовой работе было рассмотрено проектирование открытого склада угля, перегружающего груз с железнодорожного транспорта на конвейерный.

Для годового грузооборота, равного 600 тыс. т, вместимость склада составляет 14613 м3, или же на складе может единовременно хранится 11690 т груза, который будет занимать площадь 4316,2 м2.

Склад выполняет работы по перегрузке и хранению угля. Перегрузочными устройствами с транспорта прибытия на транспорт отправления являются конвейеры и ковшовый погрузчик, причём из бункера временного хранения в зону основного хранения груз транспортируется посредством пяти конвейеров, а из штабеля основного хранения груза на транспорт отправления - ковшовым погрузчиком, который грузит уголь в бункер, откуда тот попадает на отправочный конвейер.

Годовая пропускная способность основного оборудования составляет 10539221 .

Стоимость капитальных затрат на строительство склада составляет 40236,35 тыс. руб., величина годовых эксплуатационных расходов составляет 29704,91 .

Склад является таким дорогостоящим потому, что из-за большой вместимости потребна большая площадь склада вообще и бетонной площадки под основным штабелем хранения груза в частности.

Также большие расходы на зарплату обслуживающего персонала обусловлены тем, что склад работает семь дней в неделю и круглосуточно, а также потому, что он оборудован шестью конвейерами, для управления которыми нужно три оператора в смену (и это при том, что первые четыре конвейера, ведущие из приёмного бункера на конвейер на эстакаде, работают в одинаковом режиме, то есть на них нужен один оператор).

Из-за больших годового грузооборота, капитальных затрат и эксплуатационных расходов срок окупаемости склада составит чуть менее восьми с половиной месяцев.

СПИСОК ИСПОЛЬЗОВАННОЙ ЛИТЕРАТУРЫ


1.      Маликов О. Б., Болотин В. А. и др. - «Проектирование складов сыпучих грузов». СПб: 2008;

.        Болотин В. А., Коровяковский Е. К., Коваленок О. Б. - «Расчёт технико-экономических показателей складов». СПб: 2010.

.        Ефимов В. В. - «Оформление курсовых и дипломных проектов». СПб: 2009.

.        Алиев Г. Н. - Конспект практических занятий. СПб: 2011.

Похожие работы на - Проект открытого склада угля

 

Не нашли материал для своей работы?
Поможем написать уникальную работу
Без плагиата!
Без нейросетей!