Подбор оптимальной конструкции рулевого управления
Введение
Автомобильный транспорт в России имеет большой удельный вес в общей
транспортной системе, на его долю приходится более 2/3 грузопассажирских
перевозок.
Основными тенденциями развития автомобильной промышленности являются
следующие:
увеличение производства легковых автомобилей с дизельными двигателями и
повышение экономичности бензиновых;
расширение производства автомобилей работающих на сжатом газе;
снижение удельного расхода топлива за счёт совершенствования конструкции
двигателя, применение электронных систем, улучшение аэродинамики автомобиля;
снижение удельной металлоёмкости, увеличение ресурса работы и уменьшение
трудоёмкости ТО автомобиля;
повышение активной и пассивной безопасности автомобиля, за счёт
применения различных автоматических систем и оптимизации конструкции кузова.
Рулевое управление является одной из важнейших составляющих автомобиля.
Она также постоянно совершенствуется и модернизируется с учетом роста
требований потребителя. От грамотности расчета, качества производства рулевого
управления зависит удобство управления, управляемость, устойчивость на дороге,
безопасность водителя и пассажиров, долговечность всего автомобиля. Поэтому
рулевое управление постоянно модернизируется, для того чтобы сделать автомобиль
не только динамичным, но и более надежным и эргономичным - такая тенденция
наблюдается сейчас в развитии рулевого управления.
.
Состояние вопроса
1.1 Назначение рулевого управления
Рулевое управление предназначено для изменения направления движения
автомобиля поворотом управляемых колес.
1.2 Требования, предъявляемые к механизмам рулевого
управления
Так как от рулевого управления в значительной степени зависит
безопасность движения, оно должно удовлетворять следующим требованиям:
быть легким в управлении
обеспечивать хорошую маневренность автомобиля с минимальным радиусом
поворота
иметь минимальное боковое скольжение колес при повороте
исключать возможности возникновения автоколебаний управляемых колес
иметь минимальную передачу толчков на рулевое колесо
в то же время на рулевом колесе должно обеспечивать “чувство дороги”
быть очень надежным, так как выход его из строя приводит к аварии
Кроме того, рулевое управление должно исключать самопроизвольный поворот
управляемых колес.
.3 Классификация рулевого управления
Основные типы рулевых механизмов: червячного типа, типа
“винт-гайка-шарнир”, реечного типа.
В зависимости от того, какие колоса являются управляемыми, рулевое
управление бывает передних, задних колес и всех четырех сразу.
Некоторые системы рулевого управления оснащены усилителем, которым может
быть электрическим, гидравлическим, пневматическим.
.4 Обзор конструкций рулевых механизмов
.4.1 Рулевой механизм червячного типа
Рис. 1 Рулевой механизм червячного типа состоит
Рулевой механизм червячного типа состоит из:
рулевого колеса с валом,
картера червячной пары,
пары «червяк-ролик»,
рулевой сошки.
В картере рулевого механизма в постоянном зацеплении находится пара
«червяк-ролик». Червяк есть не что иное, как нижний конец рулевого вала, а
ролик, в свою очередь, находится на валу рулевой сошки. При вращении рулевого
колеса ролик начинает перемещаться по винтовой нарезке червяка, что приводит к
повороту вала рулевой сошки. Червячная пара, как и любое другое зубчатое
соединение, требует смазки, и поэтому в картер рулевого механизма заливается
масло, марка которого указана в инструкции к автомобилю. Результатом
взаимодействия пары «червяк-ролик» является преобразование вращения рулевого
колеса в поворот рулевой сошки в ту или другую сторону. А далее усилие
передается на рулевой привод и от него уже на управляемые (передние) колеса.
Рулевой привод, применяемый с механизмом червячного типа, включает в
себя:
правую и левую боковые тяги,
среднюю тягу,
маятниковый рычаг,
правый и левый поворотные рычаги колес.
Каждая рулевая тяга на своих концах имеет шарниры, для того чтобы
подвижные детали рулевого привода могли свободно поворачиваться относительно
друг друга и кузова в разных плоскостях.
К достоинствам механизма «червяк-ролик» относятся:
низкая склонность к передаче ударов от дорожных неровностей
большие углы поворота колес
возможность передачи больших усилий
Недостатками являются:
- большое количество тяг и шарнирных сочленений с вечно накапливающимися
люфтами
«тяжелый» и малоинформативный руль
сложности в технологии изготовления
.4.2
Рулевой механизм типа “винт-гайка-сектор”
Рис. 2 Рулевой механизм типа "винт - шариковая гайка - рейка -
сектор"
- распределитель;
- винт;
- шарики с трубкой рециркуляции;
- поршень-рейка;
- зубчатый сектор;
- вал сошки;
- ограничительный клапан
Полное название - "винт-шариковая гайка-рейка-сектор". Винт 2,
которым оканчивается рулевой вал, через циркулирующие по резьбе шарики 3
толкает вдоль своей оси поршень-рейку 4. А тот в свою очередь поворачивает
зубчатый сектор 5 рулевой сошки. Из-за возможности передавать большие моменты,
устанавливается на грузовиках, пикапах и больших внедорожниках, работающих в
экстремальных условиях.
Преимущества рулевого механизма “винт-шариковая гайка-рейка-сектор”:
Возможность конструкции с высоким передаточным числом
Недостатки рулевого механизма “винт-шариковая гайка-рейка-сектор”:
Нетехнологичен
Дорогой
большие габариты
тяжелый
.4.3 Рулевой механизм реечного типа
В рулевом механизме «шестерня- рейка» усилие к колесам передается с
помощью прямозубой или косозубой шестерни, установленной в подшипниках, и
зубчатой рейки, перемещающейся в направляющих втулках. Для обеспечения беззазорного
зацепления рейка прижимается к шестерне пружинами. Шестерня рулевого механизма
соединяется валом с рулевым колесом, а рейка - с двумя поперечными тягами,
которые могут крепиться в середине или по концам рейки. Полный поворот
управляемых колес из одного крайнего положения в другое осуществляется за
1,75...2,5 оборота рулевого колеса. Передаточные отношения механизма
определяются отношением числа оборотов зубчатого колеса, равное числу оборотов
рулевого колеса, к расстоянию перемещения рейки.
Реечный механизм рулевого управления состоит из картера, отлитого из
алюминиевого сплава. В полости картера на шариковом и роликовом подшипниках
установлено приводное зубчатое колесо. На картере и на пыльнике выполнены метки
для правильной сборки механизма рулевого управления. Зубчатое колесо находится
в зацеплении с зубчатой рейкой, которая поджимается к зубчатому колесу пружиной
через металлокерамический упор. Пружина поджимается гайкой со стопорным
кольцом, создавая сопротивление отворачиванию гайки. Подпружиненным упором
облегчается беззазорное зацепление зубчатого колеса с зубчатой рейкой по всей
величине хода. Рейка одним концом опирается на упор, а другим - на разрезную
пластмассовую втулку. Ход рейки ограничивается в одну сторону кольцом,
напрессованным на рейку, а в другую сторону - втулкой резино-металлического
шарнира левой рулевой тяги. Полость картера механизма рулевого управления
защищена от загрязнения гофрированным чехлом.
Вал рулевого управления соединяется с приводным зубчатым колесом
эластичной муфтой. Верхняя часть вала опирается на шариковый радиальный
подшипник, запрессованный в трубу кронштейна. На верхнем конце вала на шлицах
через демпфирующий элемент крепится гайкой рулевое колесо.
Рулевой механизм с переменным отношением
Около нулевого положения рулевого колеса, когда едешь по прямой на
высокой скорости, излишняя острота рулевого управления нежелательна, заставляет
водителя напрягаться. А при парковке или развороте, наоборот, хотелось бы иметь
передаточное отношение поменьше - чтобы поворачивать руль на как можно меньший
угол. Для этого существует несколько схем реечных рулевых механизмов.
Так работает реечный рулевой механизм ZF с переменным передаточным
отношением. Здесь изменяются профиль зубьев рейки и плечо зацепления
Реечный рулевой механизм Honda VGR (Variable Gear Ratio - переменное
передаточное отношение) использовался на автомобилях Honda NSX
Фирма ZF использует зубья рейки с переменным профилем: в околонулевой
зоне зубья треугольные, а ближе к краям - трапецеидальной формы. Шестерня
входит с ними в зацепление с разным плечом, что и помогает немного изменить
передаточное отношение. А другой, более сложный, вариант использовала Honda на
своем суперкаре NSX. Здесь зубья рейки и шестерни сделаны с переменными шагом,
профилем и кривизной. Правда, шестерню приходится двигать вверх-вниз, но зато
варьировать передаточное отношение можно в гораздо более широких пределах.
Рулевой привод состоит из двух горизонтальных тяг и поворотных рычагов
телескопических стоек передней подвески. Тяги соединяются с поворотными
рычагами при помощи шаровых шарниров. Поворотные рычаги приварены к стойкам
передней подвески. Тяги передают усилие на поворотные рычаги телескопических
стоек подвески колес и соответственно поворачивают их вправо или влево.
К преимуществам реечного рулевого механизма относится:
малая масса
компактность
невысокая цена
минимальное количество тяг и шарниров
простота соединения рулевого механизма с управляемыми колесами
прямая передача усилия
высокая жесткость и КПД
легкость в оснащении гидроусилителем
Недостатки:
из-за простоты конструкции любой толчок от колес передается на
руль
трудности в изготовлении механизма с высоким передаточным
числом, поэтому для тяжелых машин такой механизм не подходит.
.5 Выбор и обоснование выбранной конструкции
По своим технологическим, ценовым, конструктивным качествам рулевой
механизм «шестерня-рейка» наиболее подходит для переднеприводной компоновки и
подвески McPherson, обеспечивая большую легкость и точность рулевого
управления.
При проектировании автомобиля ВАЗ-2123, старались взять как можно больше
узлов из модели ВАЗ-2121, поэтому на автомобиле ставили механизм типа
“червяк-ролик”. Однако Chevrolet Niva
не является мощным внедорожником, что бы на него целесообразно было ставить
этот механизм. Он дороже, технологически сложен, тяжелее. Возможности, которые
дает автомобилю червячный механизм, не используются в полной мере. При
использовании рейкм, исключается концентрация напряжения от рулевого механизма
на лонжероне, нет необходимости усиливать его в месте крепления механизма.
По всем этим причинам я считаю необходимым заменить механизм типа
“червяк-ролик” на более дешевый, легкий, технологичный реечный механизм,
который в необходимой мере обеспечивает легкость и точность рулевого
управления.
В связи с тем, что будет заменен тип механизма, необходимо внести ряд
изменений в конструкцию других узлов и агрегатов:
так как за осью передних колес расположить реечный механизм не
представляется возможным, то ставим его перед осью;
для того чтобы освободить место между поддоном двигателя и дифференциалом
для рейки, смещаем межколесный дифференциал на то же расстояние (20,5мм) назад,
что не изменяет сбалансированность всего узла;
так как рейка располагается перед осью, то тормозной суппорт колеса
необходимо расположить сзади.
2. Конструкторская часть
.1 Тягово-динамический расчет
Исходные данные:
|
Колёсная формула
|
4´4
|
|
Длина, мм
|
4048
|
|
Ширина, мм
|
1770
|
|
Высота, мм
|
1652
|
|
Снаряжённая масса mо,
кг
|
1400
|
|
Шины
|
195/75R15
|
|
Коэффициент сопротивления
качению fo
|
0,014
|
|
Коэффициент
аэродинамического сопротивления Cx
|
0,48
|
|
Максимальная частота
вращения колен вала we max, рад/с
(6000 об/мин)
|
628
|
|
Максимальная скорость Vmax,
м/с
|
38,9
|
|
Коэффициент уклона i
|
0.3
|
|
Количество мест n
|
5
|
.1.1 Подготовка исходных данных для тягового расчёта
Полная масса автомобиля.
(2.1)
где
mo-cнаряжённая масса автомобиля (кг),
mч=75 кг -масса
человека,
n- число
пассажиров, включая водителя,
mб- вес багажа
по 10 кг на 1 пассажира.
Подбор
шин.
Для
данного автомобиля подходят шины 195/75R15
Зная
размер шин, определяем статический радиус колеса:
(2.2)
где
d- посадочный диаметр шины,
lz=0,85 - коэффициент вертикальной деформации для
тороидных шин,
H- высота
профиля шины
B- ширина
профиля шины

т=0,5×15×25,4+0,85×146,25=314,8(мм)=0.3148(м)
На
дорогах с твёрдым покрытием радиус качения колеса rк»rст.
Параметры
обтекаемости автомобиля.
Коэффициент
обтекаемости
=Cx×r/2,
(2.3)
где
r=1,293 - плотность воздуха в нормальных условиях.
k=0,48×1,293/2=0,3103
Лобовая
площадь
=0.8BгHг
(2.4)
где
Bг- габаритная ширина автомобиля,
Hг- габаритная
высота автомобиля
F=2.34 (м2)
2.1.2
Определение передаточного числа главной передачи
, (2.5)
где
wmax- максимальная угловая скорость колен вала двигателя,
uк- передаточное
число высшей передачи в коробке передач, на которой
обеспечивается
максимальная скорость автомобиля,
Uр- передаточное
число раздаточной коробки на высшей передаче
.1.3
Расчёт ВСХ двигателя
Мощность
двигателя при Vmax.
,
(2.6)
где
yv-
коэффициент сопротивления дороги при Vmax,
Ga=mag-
полный вес автомобиля.
yv=f=
(2.7)
yv=f=
=1825×9,81=17903.25 (H)
Максимальная
мощность двигателя.
(2.8)
где
a,b,c- эмпирические коэффициенты (a=b=c=1
для бензинового двигателя),
l=wmax/wN=1,2
кВт
Расчитываем
ВСХ двигателя по формуле:
,
(2.9)
где
we- текущие значения угловой скорости колен вала
(рад/с),
Ne- текущее
значение эффективной мощности двигателя (кВт).
Для
построения кривой эффективного момента Ме ( Н×м)
применяем формулу:
(2.10)
Рассчитываем
зависимости Ne(we) и Me(we). Результаты расчетов сводим в таблицу 2.1 и
представляем в виде графика.
Таблица
2.1
|
n, об/мин
|
800
|
1450
|
2100
|
2750
|
3400
|
4000
|
4700
|
5000
|
5350
|
6000
|
|
ωe,
c-1
|
83,7
|
151,8
|
219,8
|
287,8
|
355,87
|
418,7
|
491,9
|
523,3
|
560
|
628
|
|
Ne,кВт
|
12,95
|
25
|
37,27
|
48,96
|
59,08
|
66,22
|
70,86
|
71,36
|
70,64
|
65,08
|
|
Me,Н*м
|
154,7
|
164,4
|
169,6
|
170,1
|
166
|
158,2
|
144,1
|
136,4
|
126,1
|
103,6
|
2.1.4 Определение передаточных чисел коробки передач
Передаточное число первой передачи определяется по заданному
максимальному дорожному сопротивлению ymax.
Для обеспечения возможности движения автомобиля в этих условиях тяговая
сила на ведущих колёсах Рт должна быть больше силы сопротивления дороги Рд ,
т.е.
,
или
(2.11)
ymax=fo+i
коэффициент уклона, i=0.3
ymax=0,014+0,3=0,314
Во
избежание буксования ведущих колёс тяговая сила на первой передаче должна быть
меньше силы сцепления колёс с дорогой:
, или
(2.12)
j=0,8- коэффициент
сцепления ведущих колёс с дорогой,
Gсц=Gа-
сцепной вес автомобиля,
Мmax=170,41
(Н×м),
,8
4,64
Принимаем
действительное значение u1=3,67
Передаточные
числа промежуточных ступеней рассчитываются согласно закону : 
Принимаем
действительные передаточные числа промежуточных ступеней, равные:
.1.5
Тяговый баланс автомобиля
Уравнение
силового баланса :
Рт=Рд+Рв+Ри, (2.13)
где
Рт - сила тяги ведущих колёс,
Рд
- сила дорожного сопротивления,
Рв
- сила сопротивления воздуха,
Ри
- сила сопротивления разгону автомобиля.
Вначале
строят тяговую характеристику автомобиля - зависимость силы тяги на ведущих
колёсах Рт от скорости автомобиля V для каждой из передач в коробке
передач. Силу тяги на разных передачах рассчитывают по формуле:
,
(2.14)
где
uк - передаточное число коробки передач,
Ме
- величина эффективного момента двигателя.
Пользуемся
выбранными при расчёте ВСХ значениями we, приводя в соответствие с ними
скорости автомобиля на разных передачах:
.
(2.15)
Результаты
расчётов занесём в таблицу 2.2
Таблица
2.2
|
n, об/мин
|
Тяговая сила на ведущих
колесах на передаче, Н
|
|
I
|
II
|
III
|
IV
|
V
|
|
800
|
10274,01
|
5878,863
|
3807,26
|
2799,467
|
2295,562
|
|
1450
|
10918,22
|
6247,479
|
4045,983
|
2974,999
|
2439,499
|
|
2100
|
11263,56
|
6445,088
|
4173,958
|
3069,099
|
2516,66
|
|
2750
|
11296,77
|
6464,089
|
4186,263
|
3078,147
|
2524,08
|
|
3400
|
11024,48
|
6308,282
|
4085,36
|
3003,953
|
2463,241
|
|
4000
|
10506,46
|
6011,869
|
3893,397
|
2862,803
|
2347,498
|
|
4700
|
9570,041
|
5476,045
|
3546,387
|
2607,648
|
2138,271
|
|
5000
|
9058,665
|
5183,432
|
3356,886
|
2468,308
|
2024,012
|
|
5350
|
8374,616
|
4792,014
|
3103,397
|
2281,918
|
1871,173
|
|
6000
|
6880,335
|
3936,976
|
2549,658
|
1874,756
|
1537,3
|
|
n, об/мин
|
Скорость на передаче, м/с:
|
|
I
|
II
|
III
|
IV
|
V
|
|
800
|
1,159946
|
2,027144
|
3,130149
|
4,257003
|
5,191467
|
|
1450
|
2,102403
|
3,674199
|
5,673395
|
7,715817
|
9,409533
|
|
2100
|
5,321253
|
8,216641
|
11,17463
|
13,6276
|
|
2750
|
3,987315
|
6,968308
|
10,75989
|
14,63345
|
17,84567
|
|
3400
|
4,929771
|
8,615363
|
13,30313
|
18,09226
|
22,06373
|
|
4000
|
5,799731
|
10,13572
|
15,65075
|
21,28501
|
25,95733
|
|
4700
|
6,814684
|
11,90947
|
18,38963
|
25,00989
|
30,49987
|
|
5000
|
7,249664
|
12,66965
|
19,56343
|
26,60627
|
32,44667
|
|
5350
|
7,75714
|
13,55653
|
20,93287
|
28,46871
|
34,71793
|
|
6000
|
8,699597
|
15,20358
|
23,47612
|
31,92752
|
38,936
|
|
|
|
|
|
|
|
|
|
|
Взаимодействие автомобиля и дороги сопровождается затратами энергии на
подъём автомобиля при движении в гору и необратимые затраты на деформацию шин и
дороги.
В связи с этим применяется понятие о силе сопротивления дороги Рд ,
равной сумме силы сопротивления подъёму Рп и силы сопротивления качению Рf:
Рд=Рп+Рf. (2.16)
При движении автомобиль приобретает силу сопротивления воздуха Рв ,
которую определяют по формуле:
(2.17)
Для
построения силового баланса при движении автомобиля по горизонтальной дороге
силу сопротивления дороги рассчитывают по формуле:
(2.18)
Результаты
расчётов сводят в таблицу 2.3 и представляют в виде графика.
Значения
силы сопротивления воздуха Рв откладывают вверх от соответствующих силы Рд .
Таблица
2.3
|
Силы сопротивления на 5
передаче, Н
|
|
Pв
|
Рд
|
РΣ
|
|
19,56941
|
254,0231
|
273,5925
|
|
64,28858
|
261,7415
|
326,0301
|
|
134,8455
|
273,9194
|
408,7649
|
|
231,2401
|
290,5568
|
521,7969
|
|
353,4725
|
311,6537
|
665,1262
|
|
489,2353
|
335,0859
|
824,3212
|
|
675,4505
|
367,226
|
1042,676
|
|
764,4301
|
382,5836
|
1147,014
|
|
875,1961
|
401,7014
|
1276,897
|
|
1100,779
|
440,6363
|
1541,416
|
Чтобы учесть возможность буксования ведущих колёс, нужно определить силу
сцепления
Рсц»Gсц×j=17903,75×0,8=14323(Н). (2.19)
Сила сцепления колес с дорогой много больше максимальной силы тяги (Pт max=11300H), значит пробуксовки колес не будет.
.1.6 Динамическая характеристика автомобиля
(2.20)
рулевой управление автомобиль червячный
По
этой формуле и данным силового баланса рассчитывают и строят динамическую
характеристику автомобиля, которая является графическим изображением
зависимости динамического фактора D от скорости движения при
различных передачах в коробке передач и при полной загрузке автомобиля. Данные
расчёта заносят в таблицу 2.4 и представляют графически.
Таблица
2.4
|
n, об/мин
|
Динамический фактор D на
передаче:
|
|
I
|
II
|
III
|
IV
|
V
|
|
800
|
0,572754
|
0,327266
|
0,211558
|
0,155269
|
0,127124
|
|
1450
|
0,606238
|
0,345357
|
0,222394
|
0,162575
|
0,132666
|
|
2100
|
0,621586
|
0,352454
|
0,225601
|
0,16389
|
0,133034
|
|
2750
|
0,618056
|
0,348131
|
0,220905
|
0,159012
|
0,128065
|
|
3400
|
0,596021
|
0,332601
|
0,208442
|
0,14804
|
0,117839
|
|
4000
|
0,559504
|
0,308462
|
0,190137
|
0,132574
|
0,103792
|
|
4700
|
0,4968
|
0,268133
|
0,160354
|
0,107921
|
0,081705
|
|
5000
|
0,463268
|
0,24682
|
0,1448
|
0,095169
|
0,070353
|
|
5350
|
0,418874
|
0,218771
|
0,124454
|
0,078571
|
0,055629
|
|
6000
|
0,322813
|
0,158414
|
0,080926
|
0,04323
|
0,024381
|
Чтобы учесть влияние буксования ведущих колёс, определяют динамический
фактор по сцеплению:
=
(2.21)
.1.7
Разгон автомобиля
Ускорение
при разгоне.
Ускорение
во время разгона определяют для случая движения автомобиля по горизонтальной
дороге с твёрдым покрытием хорошего качества при максимальном использовании
мощности двигателя и отсутствии буксования ведущих колёс. Ускорение находят из
выражения:
,
откуда:
где
Iм -момент инерции вращающихся частей двигателя (кг×м2),
Iк - момент
инерции колеса автомобиля ,
nк - число
ведущих колёс.
Или
Коэффициент
учета вращающихся масс:
|
u1
|
u2
|
u3
|
u4
|
u5
|
|
1,1871,1241,0941,081,073
|
|
|
|
|
|
По формуле (2.21) определяют ускорение разгона, вносят результаты в
таблицу 2.5 и строят график зависимости j=f(V).
Таблица 2.5
|
n, об/мин
|
Ускорение на передаче,
м/с2:
|
|
I
|
II
|
III
|
IV
|
V
|
|
800
|
4,534854
|
2,644291
|
1,678183
|
1,18812
|
0,938289
|
|
1450
|
4,811863
|
2,802346
|
1,775449
|
1,254555
|
0,989006
|
|
2100
|
4,938837
|
2,864345
|
1,804236
|
1,266511
|
0,992382
|
|
2750
|
4,909639
|
2,826578
|
1,762077
|
1,222151
|
0,9469
|
|
3400
|
4,727337
|
2,690901
|
1,650206
|
1,122394
|
0,853319
|
|
4000
|
4,425239
|
2,480008
|
1,485897
|
0,981762
|
0,724756
|
|
4700
|
3,906494
|
2,127668
|
1,218559
|
0,757607
|
0,522617
|
|
5000
|
3,629082
|
1,941459
|
1,07894
|
0,641653
|
0,418727
|
|
5350
|
3,261814
|
1,696404
|
0,896317
|
0,49074
|
0,283979
|
|
6000
|
2,4671
|
1,169083
|
0,505595
|
0,169394
|
0
|
Таблица 2.6
|
Величина, обратная
ускорению на передаче, с2/м:
|
|
I
|
II
|
III
|
IV
|
V
|
|
0,21
|
0,40
|
0,58
|
0,88
|
1,11
|
|
0,19
|
0,37
|
0,55
|
0,86
|
1,14
|
|
0,19
|
0,36
|
0,55
|
0,94
|
1,39
|
|
0,20
|
0,39
|
0,61
|
1,20
|
2,38
|
|
0,22
|
0,44
|
0,74
|
2,13
|
|
|
0,25
|
0,52
|
0,96
|
8,33
|
|
|
0,27
|
0,56
|
1,09
|
|
|
|
0,28
|
0,59
|
1,19
|
|
|
Затем требуется построить зависимость обратных ускорений (1/j) от скорости V. Поскольку при скоростях V, близких к максимальной, ускорение
стремится к нулю, то для расчёта обратных ускорений ограничиваются скоростью V=(0,8…0,9)Vmax=31,12 м/с.
Время и путь разгона.
Время и путь разгона автомобиля определяем графоаналитическим способом.
Смысл этого способа в замене интегрирования суммой конечных величин
(2.22)
С
этой целью кривую обратных ускорений разбивают на интервалы и
считают,
что в каждом интервале автомобиль разгоняется с постоянным ускорением j=const,
которому соответствуют значения (1/j)=const. Эти
величины можно определить следующим образом:
(2.23)
где
к- порядковый номер интервала.
Заменяя
точное значение площади под кривой (1/j) в интервале DVк на значение
площади прямоугольника со сторонами DVк и (1/jср)к , переходим к приближённому интегрированию:
(2.24)
t1=Dt1, t2=Dt1+Dt2, tn=
. (2.25)
где
t1- время разгона от скорости Vo до скорости V1 ,
t2- время
разгона до скорости V2.
Результаты
расчёта сводят в таблицу 2.7 и представляют в виде графика. Аналогичным образом
проводится графическое интегрирование зависимости t=f(V)
для получения зависимости пути разгона S от скорости
автомобиля.
В
данном случае кривая t=f(V) разбивается на интервалы по времени, для каждого из
которых находятся соответствующие значения Vсрk.
Площадь
элементарного прямоугольника в интервале Dtк есть путь, который проходит автомобиль от отметки tк-1
до отметки tк , двигаясь с постоянной скоростью Vсрk.
Величина
площади элементарного прямоугольника определяется следующим образом :
, (2.26)
где
k=1…m - порядковый номер интервала, m
выбирается произвольно (m=n).
Путь
разгона от скорости Vo
до
скорости V1: S1=DS1,
до
скорости V2: S2=DS1+DS2,
до
скорости Vn: Sn=
Результаты
расчёта заносятся в таблицу 2.8.
Таблица
2.7
|
Диапазон скорости, м/с
|
Время, с
|
|
0
|
-
|
1,16
|
0,256
|
|
0
|
-
|
5,88
|
1,313428
|
|
0
|
-
|
10,6
|
2,83435
|
|
0
|
-
|
15,31
|
5,377554
|
|
0
|
-
|
20,03
|
9,202031
|
|
0
|
-
|
24,75
|
14,51252
|
|
0
|
-
|
29,47
|
21,58405
|
|
0
|
34,18
|
33,05984
|
Таблица 2.8
|
Диапазон скорости, м/с
|
Путь, м
|
|
0
|
-
|
1,16
|
0,14848
|
|
0
|
-
|
5,88
|
3,869303
|
|
0
|
-
|
10,6
|
16,396
|
|
0
|
-
|
15,31
|
49,34003
|
|
0
|
-
|
20,03
|
116,9233
|
.1.8 Мощностной баланс автомобиля
Уравнение мощностного баланса:
т=Ne-Nтр=Nf+Nп+Nв+Nи, (2.27)
где, Nт - тяговая мощность, подводимая к
ведущим колёсам,
Nтр-
мощность, теряемая в агрегатах трансмиссии,
Nf =Рf×V - мощность, затраченная на
преодоление сил сопротивлению качения колёс,
Nп=Рп×V -мощность, затраченная на
преодоление сил сопротивления подъёму(Nп=0),
Nв =Рв×V - мощность, затраченная на
преодоление сил сопротивления воздуха,
Nи= Ри×V - мощность, затраченная на
преодоление силы инерции автомобиля(Nи=0),
Для выбранных ранее интервалов по угловой скорости коленвала двигателя и
скорости автомобиля рассчитываем мощностной баланс, заполняем таблицу и строим
график.
Вверх от кривой Nд= Nf+ Nп откладывают значения мощности сопротивления воздуха Nв.
Таблица 2.9
|
w, рад/с
|
83.7
|
151.8
|
219.8
|
287.8
|
355.9
|
418.7
|
491.9
|
523.3
|
560
|
628
|
|
Ne, кВт
|
12,95
|
25
|
37,27
|
48,96
|
59,08
|
66,22
|
70,86
|
71,36
|
70,64
|
65,08
|
|
Nт, кВт
|
11,9
|
23
|
34,3
|
45
|
54,4
|
60,9
|
65,2
|
65,7
|
65
|
59,9
|
|
Nд, кВт
|
1.32
|
2.46
|
3.73
|
5.19
|
6.88
|
8.7
|
11.2
|
12.41
|
13.95
|
17.16
|
|
Nв, кВт
|
0.1
|
0.6
|
1.84
|
4.13
|
7.8
|
12.7
|
20.6
|
24.8
|
30.39
|
42.86
|
|
Nд+
Nв, кВт
|
1.42
|
3.06
|
5.57
|
9.31
|
14.68
|
21.4
|
31.8
|
37.22
|
44.33
|
60.01
|
|
|
0.119
|
0.133
|
0.162
|
0.207
|
0.27
|
0.351
|
0.488
|
0.567
|
0.672
|
1
|
Степенью использования мощности двигателя служит величина И - отношение
мощности, необходимой для движения автомобиля, к мощности на ведущих колесах:
.1.9 Расчёт топливно-экономической характеристики автомобиля
Для получения топливно-экономической характеристики следует рассчитать
расход топлива при движении автомобиля на высшей передаче по горизонтальной
дороге с заданными постоянными скоростями от минимально устойчивой до
максимальной.
(2.29)
где
gеmin=300 г/(кВт×ч)
-минимальный удельный эффективный расход топлива,
rт=0,72 кг/л -
плотность топлива,
-
коэффициент, учитывающий изменения величины удельный эффективный расход топлива
в зависимости от степени использования мощности И.
-
коэффициент, учитывающий изменения величины удельный эффективный расход топлива
в зависимости от
Результаты
расчётов сводят в таблицу 2.10 и представляют в виде графика.
Таблица
2.10
м/с



|
л/100 км
|
|
|
|
|
|
|
|
|
|
|
|
|
5,191467
|
0,119
|
0,16
|
2,45
|
1,13
|
10,4819
|
|
9,409533
|
0,133
|
0,29
|
2,27
|
1,06
|
10,85627
|
|
13,6276
|
0,162
|
0,42
|
2,15
|
1
|
12,16195
|
|
17,84567
|
0,207
|
0,55
|
1,68
|
0,98
|
11,88852
|
|
22,06373
|
0,27
|
0,68
|
1,57
|
0,96
|
13,87286
|
|
25,95733
|
0,351
|
0,8
|
1,35
|
0,965
|
14,86102
|
|
30,49987
|
0,488
|
0,94
|
1,2
|
0,975
|
16,8821
|
|
32,44667
|
0,567
|
1
|
1,08
|
1,01
|
17,3143
|
|
34,71793
|
0,672
|
1,07
|
0,98
|
1,04
|
18,0097
|
|
38,936
|
1
|
1,2
|
1
|
1,15
|
24,53063
|
.2 Расчет рулевого управления
. Рулевое управление с реечным рулевым механизмом, расположенным
впереди моста
. Полная масса автомобиля и ее распределение по осям: ma=1800кг, mF=900кг, mR=900кг
. Минимальный радиус поворота автомобиля по следу наружного
колеса: RH min=6,026м
. Колесная база автомобиля: L=2,45м
. Колея передних колес: В=1,45м
. Плечо обкатки: а=0,033м
. Статический, динамический радиусы колес: rст=rд=0,322м
. Диаметр рулевого колеса: dрк=0,35м
.2.1 Кинематический расчет рулевого трехзвенника
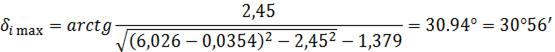
.2.1.1 Определение максимального угла поворота передних колес по условию
обеспечению радиуса поворота
Максимальные углы поворота колес наружный δa max и внутренний δi max от заданного максимального радиуса поворота по следу
переднего наружного колеса:

(2.30)

Где
b=2,45м - колесная база автомобиля,
rн = 6,026м-
минимальный радиус поворота по следу переднего наружного колеса,
p=1,379м -
расстояние между точками пересечения осей поворотных шкворней с поверхностью
дороги,
е
=0,0354м- плечо обкатки.



2.2.1.2
Выбор длины поворотного рычага
Для
предварительного выбора геометрических параметров рулевой трапеции удобно
задаться положением точки пересечения осей рычагов рулевой трапеции в
положении, соответствующем прямолинейному движению[1]. При переднем
расположении рулевой трапеции следует точку пересечения продолжения осей
рычагов расположить на оси задних колес (рис. 4).
Рис.
4 К выбору углов наклона рычагов рулевой трапеции.
Угол
наклона рычагов трапеции будет отрицательным, т.к. трапеция располагается
сзади, и составит:

(2.31)
Где,
S - расстояние между точками пересечения осей поворотных шкворней с
горизонтальной плоскостью, проходящей через центры шарниров тяги рулевой
трапеции:- колесная база автомобиля.

Длину
рычага r’ принимаем из конструкторских соображений:
r’=104мм
.2.1.3
Расчет рулевого трехзвенника
Для
расчета рулевого трехзвенника необходимы только схемы расположения трапеции на
виде сзади (рис. 8 и 9) и сверху (рис.7).
Рис.
8 Вид сзади рулевого управления.
Рис.
9 Левая половина рулевой трапеции на виде сзади.
При
боковом перемещении зубчатой рейки на ход S внутреннее колесо поворачивается на
угол δi,
наружное - на δa.
Эти углы отличаются друг от друга при определенном значении их разности 
, которая
зависит от угла поворота рычага рулевой трапеции λ и расстояния k между внешним шарниром U боковой тяги и
оси шкворня (рис. 9). Точка O, в которой вертикаль из внешнего шарнира пересекла бы
ось шкворня колеса, является осью поворота колеса. Расстояние между точкой О, в
которой вертикаль из внешнего шарнира пересекла бы ось шкворня колеса, и осью
внешнего шарнира на виде сверху является длинной поворотного рычага r=123мм.
Тогда
расстояние k находим по формуле:
k=r sinλ (2.33)
=123 sin 34,8=70,2мм
По
спроектированной схеме рулевого трехзвенника находим следующие параметры(рис.
7, 8,9):
Расстояние
между осью O поворота колеса и внутренним шарниром Т по
горизонтали, а=251,3 мм;
Расстояние
между рулевым механизмом и осью в направлении движения, b=104мм;
Угол
поперечного наклона шкворневой оси, σ0=11º30'=11,5 º
Расчет
проецированного угла поворота рулевой трапеции λ'
Угол
поворота рулевой трапеции, спроецированный на горизонтальную плоскость можно
рассчитать по формуле:

(2,34)
λ'=34º
.2.2
Расчет параметров зацепления “шестерня-рейка”
.2.2.1
Передаточное число рулевого управления
Общее
кинематическое передаточное отношение рулевого управления, определяется
кинематическими передаточными числами рулевого механизма HКРМ,
рулевого привода HКРП и рулевого вала HКРВ равно
отношению угла поворота рулевого колеса к углу поворота колес:
КРУ=HКРМ∙HКРП∙HКРВ=
(2.37)
Руководствуясь
ГОСТ Р-52302-2004 оптимальное число оборотов рулевого колеса от упора до упора
равно 2,8. Тогда по формуле (2.37):
HКРУ=
Передаточное
число рулевого механизма равно полному ходу рейки к числу оборотов шестерни от
упора до упора:
.2.2.2
Исходные данные
Расчет
проводится по методике, описанной в учебном пособии [3].
В
качестве исходных данных для проверки существования зацепления "шестерня-рейка"
с переменным шагом требуются:
.
Угол картера рулевого механизма δ - угол между плоскостью, перпендикулярной к оси рейки и осью
вала-шестерни; δ=24º
2.
Межосевое расстояние a=19 мм
.
Диаметр рейки d z=26,4 мм
.
Ход рейки lр=134,9 мм;
.
Коэффициент высоты головки зуба инструмента для изготовления шестерни 
=1,5;
.
Коэффициент высоты головки зуба инструмента для изготовления рейки 
= 0,82;
.
Коэффициент радиального зазора зуба шестерни C*1=0,125;
.
Коэффициент радиального зазора зуба рейки C*2=0,25.
Остальные
параметры принимаем по следующим соображениям:
.
Угол наклона зуба шестерни 
при угле
исходного контура 20°. Наименьшее скольжение в зацеплении, а, следовательно, и
наивысший КПД передачи обеспечивается при 
= 0 ,
при этом на подшипники вала- шестерни не действуют осевые нагрузки. Косозубое
зацепление позволяет получить большое осевое перекрытие зубьев, обеспечивая
плавность работы и прочность зубчатой передачи. Принимаем 
;
.
Модуль зубьев шестерни, соответствующий углу профиля 20°, принимается равным
модулю зубьев базового механизма 
=1.9мм;
.
Минимальный угол профиля зубьев рейки по соображениям прочности инструмента, а
также исходя из эффективности рулевого механизма принимаем 
=18°;
.
Максимальный угол профиля зубьев рейки по соображениям прочности
нецелесообразно делать выше 40°, 
=30°;
.
Передаточное число рулевого механизма Hmin - общепринятой является
размерность [мм/об] (ход рейки в миллиметрах, поделенный на соответствующее
число оборотов шестерни). Hmin=48,18мм/об
Заключение
В результате выполнения данной работы, после проведения конструкторских
расчётов, тягово-динамического расчёта можно сделать вывод, что цель -
получение конкурентоспособного автомобиля за счёт замены рулевого механизма на
более актуальный, дешевый, легкий, технологичный т. е. улучшения
потребительских свойств, была достигнута.
В процессе курсового проектирования были произведены следующие работы:
подбор и обоснование оптимальной конструкции рулевого управления;
тягово-динамический расчет автомобиля ВАЗ 2123;
кинематический расчет рулевого трехзвенника;
расчет параметров зацепления “шестерня-рейка”.
Список используемых источников
1. Родионов,
В.Ф. легковые автомобили/В.Ф. Родионов, Б.А. Фиттерман. - М.: Машиностроение,
1973.
. Раймпель,
Й. Шасси автомобиля: Рулевое управление/Й. Раймпель. - М.: Машиностроение, 1987.
. Лата,
В.Н. Расчет геометрии зацепления “шестерня-рейка” рулевого механизма
автомобиля: учебное пособие/В.Н. Лата, И.В. Еремина. - Тольятти: Изд-во ТГУ,
2006.
. Лата,
В.Н. Конструирование и расчет автомобиля. Ходовая часть и системы управления.
Курс лекций.
. Лысов,
М.И. Рулевое управление автомобилей/М.И. Лысов. - М.: Машиностроение, 1973.
. Малкин,
В.С. Особенности проектирования рулевого управления автомобиля с учетом свойств
эластичности шин: учебное пособие/В.С. Малкин. - Куйбышев: Изд-во КуАИ, 1983.
. Раймпель,
Й. Шасси автомобиля/ Й. Раймпель. - М.: Машиностроение, 1983.
. Черепанов,
Л.А. Расчет тяговой динамики и топливной экономичности автомобиля: учеб.
пособие/Л.А. Черепанов. - Тольятти: ТГУ, 2001.
. Соломатин,
Н.С. Проектирование автомобиля: ext,/-метод.
Пособие по курсовому проектированию для студентов специальности 190201
“Автомобиле- и тракторостроение”/ Н.С. Соломатин [и др.] - Тольятти: ТГУ, 2007.