|
Параметры
|
|
|
|
|
|
|
|
|
|
|
|
|
|
|
|
|
|
|
V16
|
V17
|
V18
|
|
|
-
|
13,75
|
11,25
|
28,75
|
34
|
41
|
46
|
54
|
72,5
|
87,5
|
162
|
184
|
255
|
570
|
742,5
|
918
|
1275
|
2945
|
5005
|
|
S,
мм
|
-
|
0,5
|
0,42
|
1,06
|
1,26
|
1,52
|
1,7
|
2
|
2,69
|
3,24
|
6
|
6,81
|
9,44
|
21
|
27,5
|
34
|
47,22
|
109,07
|
185,37
|
Складываем все S и получаем 494,56 это значение
будет наивысшей точкой на графике пути торможения.
1.7 Построение графика тормозного
пути автомобиля
(1.32)
Таблица 1.8 - Данные для построения
графика тормозного пути автомобиля
|
Параметры
|
Коэффициент
сцепления φ
|
Скорость
движения АТС, Va, км/ч
|
|
|
11
|
22
|
33
|
44
|
55
|
66
|
77
|
88
|
99
|
110
|
|
Smin,м
|
0,1
|
3,811
|
15,24
|
34,3
|
60,98
|
95,28
|
137,2
|
186,7
|
243,9
|
308,7
|
381,1
|
|
0,2
|
1,906
|
7,622
|
17,15
|
30,49
|
47,64
|
68,6
|
93,37
|
122
|
154,3
|
190,6
|
|
0,3
|
1,27
|
5,081
|
11,43
|
20,33
|
31,76
|
45,73
|
62,25
|
81,3
|
102,9
|
127
|
|
0,4
|
0,953
|
3,811
|
8,575
|
15,24
|
23,82
|
34,3
|
46,69
|
60,98
|
77,17
|
95,28
|
|
0,5
|
0,762
|
3,049
|
6,86
|
12,2
|
19,06
|
27,44
|
37,35
|
48,78
|
61,74
|
76,22
|
|
0,6
|
0,635
|
2,541
|
5,717
|
10,16
|
15,88
|
22,87
|
31,12
|
40,65
|
51,45
|
63,52
|
|
0,7
|
0,544
|
2,178
|
4,9
|
8,711
|
13,61
|
19,6
|
26,68
|
34,84
|
44,1
|
54,44
|
|
0,8
|
0,476
|
1,906
|
4,287
|
7,622
|
11,91
|
17,15
|
23,34
|
30,49
|
38,59
|
47,64
|
2. ОБЗОР КОНСТРУКЦИЙ
.1 Назначение и типы
Рулевым управлением называется совокупность
устройств, осуществляющих поворот управляемых колес автомобиля.
Рулевое управление служит для изменения и
поддержания направления движения автомобиля. Оно в значительной степени
обеспечивает безопасность движения автомобиля.
Рулевое управление автомобиля состоит из двух
частей - рулевого механизма и рулевого привода.
В рулевой механизм входят рулевое колесо,
рулевой вал и рулевая передача, которая определяет тип рулевого механизма.
В рулевой привод входят рулевая сошка, рулевые
тяги, рычаги маятниковый и поворотных цапф, а также рулевой усилитель,
устанавливаемый на ряде автомобилей. При этом рулевые тяги и рычаги поворотных
цапф образуют рулевую трапецию, которая определяет тип рулевого привода.
На автомобилях изменение направления движения
осуществляется поворотом передних колес различными типами рулевых управлений
(рис. 2.1).
Левое рулевое управление применяется в
автомобилях большинства стран, где принято правостороннее движение транспорта
(Россия, США и др.), а правое рулевое управление - в странах с левосторонним
движением транспорта (Япония, Великобритания). При этом рулевое колесо,
установленное с левой или правой стороны автомобиля, обеспечивает лучшую
видимость при разъезде с транспортом, движущимся навстречу.
Применение рулевого управления различной
конструкции (без усилителя или с усилителем) зависит от типа и назначения
автомобиля. Рулевые управления без усилителя обычно устанавливаются на легковых
автомобилях особо малого и малого классов и грузовых малой грузоподъемности.
Рис. 2.1 - Типы рулевых управлений,
классифицированных по различным признакам
Рулевые управления с усилителем применяются на
автомобилях. При этом значительно облегчается их управление, улучшается маневренность
и повышается безопасность движения при разрыве шины автомобиль можно удержать
на заданной траектории движения.
Конструкция рулевого управления во многом
зависит от типа подвески передних колес автомобиля.
При независимой подвеске передних управляемых
колес, которая применяется на всех легковых автомобилях, в рулевое управление
без усилителя входят (рис. 2.2, а) рулевое колесо 1, рулевой вал 2, рулевая
передача (механизм) 6, рулевая сошка 7, средняя рулевая тяга 8, маятниковый
рычаг 9, боковые рулевые тяги 6 и 10, рычаги 5 и 11 поворотных цапф.
Рис. 2.2 - Рулевые управления при независимой
(а) и зависимой (б) подвесках управляемых колес: 1 - рулевое колесо; 2 - вал; 3
- рулевая передача; 4, 12 - цапфы; 5, 9, 11, 14 - рычаги; 7 - сошка; б, 8, 10,
13, 15 - тяги
При вращении рулевого колеса 1 усилие от него на
поворотные цапфы 4 и 12 передних колес передается через вал 2 рулевую передачу
3, сошку 7. среднюю 8 и боковые тяги 6 и 10, рычаги 5 и 11. В результате
осуществляется поворот управляемых колес автомобиля.
При зависимой подвеске передних колес (рис. 2.2.
б) рулевое управление без усилителя включает в себя рулевое колесо1, рулевой
вал 2. рулевую передачу 3. рулевую сошку продольную рулевую тягу 13. поворотный
рычаг 14. рычаги 5 и 11 поворотных цапф и поперечную рулевую тягу 15. При
вращении рулевого колеса 7 вместе с ним вращается ват 2 Усилие от вала через
рулевую передачу 3 передается на сошку 7, которая через продольную тягу 13
перемещает рычаг 14 с поворотной цапфой рулевого колеса. Одновременно через
рычаги 5 и 11, и поперечную тягу 15 поворачивается цапфа 12 правого колеса. Так
производится поворот передних управляемых колес автомобиля.
2.2 Требования к рулевому управлению
и его параметры
Рулевое управление оказывает существенное
влияние на управляемость, маневренность, устойчивость и безопасность движения
автомобиля. Поэтому, кроме общих требований к конструкции автомобиля, к нему
предъявляются специальные требования, в соответствии с которыми рулевое управление
должно обеспечивать:
• минимальный радиус поворота для высокой
маневренности автомобиля;
• легкость управления автомобилем;
• пропорциональность между усилием на рулевом
колесе и сопротивлением повороту управляемых колес (силовое следящее действие);
• минимальную передачу толчков и ударов на
рулевое колесо от дорожных неровностей;
• предотвращение автоколебаний
(самовозбуждающихся) управляемых колес вокруг осей поворота;
• минимальное влияние на стабилизацию
управляемых колес;
• травмобезопасность, исключающую травмирование
водителя при любых столкновениях автомобиля.
Соответствие конструкции рулевого управления
предъявляемым требованиям зависит от правильного выбора параметров рулевого
управления, рулевого механизма и рулевого привода.
Рассмотрим оценочные параметры рулевого
управления в целом, а также оценочные параметры рулевого механизма и рулевого
привода.
Минимальный радиус поворота. Минимальным
радиусом поворота автомобиля называется расстояние от центра поворота до оси
колеи переднего наружного управляемого колеса при максимальном угле поворота
колеса. Минимальный радиус поворота регламентируется Правилами № 36 ЕЭК ООН,
применяемыми в России.
Минимальный радиус поворота указывается в
технической характеристике автомобиля. От значения этого радиуса во многом
зависит маневренность автомобиля. Высокая маневренность автомобиля достигается
выбором наибольшего угла поворота управляемых колес, при котором минимальный
радиус поворота по колее переднего наружного колеса равен 2...2.5 базам
автомобиля (меньшие значения для автомобилей с большой базой, а большие - для
автомобилей с малой базой).
Минимальный радиус поворота автомобиля
определяется экспериментально при скорости движения автомобиля v - 5 км/ч и при
максимальном повороте управляемых колес.
Минимальный радиус поворота автомобиля можно
определить по следующей формуле (рис. 2.3):
где В1 - колея передних колес; θмах
- максимальный угол поворота управляемых колес; δ1, δ2
-
углы увода соответственно передних и задних колес (мостов); L - база
автомобиля. Центр поворота О автомобиля находится внутри его базы на некотором
расстоянии Сот оси задних колес, которое можно найти из ∆ОБВ:
Угловое передаточное число рулевого управления.
Угловым передаточным числом рулевого управления называется отношение утла
поворота рулевого колеса αр.к к углу
поворота управляемых колес θ:
где θ = (θн+θв)/2;
θн
и θв
- углы поворота соответственно наружного и внутреннего управляемых колес.
Это передаточное число является переменным,
зависит от передаточных чисел рулевого механизма u и рулевого привода Ир.п и
равно их произведению:
От углового передаточного числа рулевого
управления во многом зависят управляемость, маневренность, устойчивость и
безопасность движения автомобиля. Угловое передаточное число часто называют
также передаточным числом рулевого управления.
Передаточное число рулевого механизма.
Передаточным числом рулевого механизма называется отношение угла поворота
рулевого колеса α р.к к углу
поворота вала рулевой сошки αр.с.:
В зависимости от типа и конструкции рулевого
механизма его передаточное число при повороте рулевого колеса может изменяться
или оставаться постоянным.
Рулевые механизмы большинства автомобилей имеют
постоянное передаточное число ирм = 13... 22 для легковых автомобилей и ирм =
20...25 для грузовых автомобилей.
Для легковых автомобилей целесообразно применять
рулевые механизмы с переменным передаточным числом. Такие рулевые механизмы при
больших скоростях автомобиля обеспечивают высокую безопасность движения, так
как небольшие повороты рулевого колеса не приводят к значительным поворотам
управляемых колес.
Рис. 2.3 - Схема поворота автомобиля: О - центр
поворота; А, В - центры oсей передних и задних колес; Б - проекция центра
поворота на продольную ось автомобиля; v1, v2 - векторы скоростей передних и
задних колес
Передаточное число рулевого привода.
Передаточным числом рулевого привода называется отношение угла поворота вала
рулевой сошки αр.с. к углу
поворота управляемых колес θ:
Значение передаточного числа рулевого привода
можно определить по отношению плеч поворотного рычага поворотного кулака
(цапфы) и рулевой сошки:
где lп р и lр с - длины соответственно
поворотного рычага и сошки.
Передаточное число рулевого привода при повороте
рулевого колеса не остается постоянным, а изменяется, так как изменяется
положение рычага и сошки. Его значение находится в пределах 0,85... 1.10.
Кинематическое передаточное число рулевого
управления. Кинематическим передаточным числом рулевого управления называется
угловое передаточное число, характеризующее жесткую кинематическую связь (при
абсолютно жестких элементах рулевого управления) между углом поворота рулевого
колеса и углами поворота управляемых колес:
В упругом рулевом управлении жесткая
кинематическая связь нарушается вследствие деформации деталей рулевого
механизма и рулевого привода. Причем при одинаковом повороте рулевого колеса по
сравнению с жестким рулевым управлением управляемые колеса повернутся на
меньший угол. В этом случае угловое передаточное число будет больше, чем
кинематическое передаточное число.
Угловое передаточное число, учитывающее
упругость рулевого управления, называется динамическим передаточным числом
рулевого управления.
Динамическое передаточное чисто характеризует
угловую жесткость (податливость) рулевого управления. При малой угловой
жесткости рулевое управление обладает большой податливостью, что снижает
чувствительность управления автомобилем. Но в этом случае толчки и удары,
воспринимаемые управляемыми колесами от неровностей дороги, эффективно
амортизируются рулевым управлением. Однако малая угловая жесткость рулевого
управления может привести к нежелательным колебаниям управляемых колес и
снижению устойчивости автомобиля.
На легковых автомобилях угловая жесткость
рулевого управления составляет 1,0... 3,5°/(Н * м). Рулевые управления грузовых
автомобилей имеют большую, чем у легковых автомобилей, угловую жесткость.
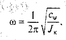
Податливость рулевого управления определяют
экспериментально при закрепленных управляемых колесах. При этом замеряют углы
поворота рулевого колеса и соответствующие им моменты, прилагаемые к рулевому
колесу. Податливость рулевого управления можно оценивать также частотой
собственных угловых колебаний системы, рассматриваемой в качестве одномассовой:
где cψ -
угловая жесткость рулевого привода; Jк - момент инерции управляемых колес.
Частота собственных угловых колебаний рулевого
управления должна быть не менее 3 Гц.
Силовое передаточное число рулевого управления.
Силовым передаточным числом рулевого управления называется отношение суммы сил
сопротивления повороту управляемых колес Рс к усилию на рулевом колесе Ррк:
При практических расчетах для определения
силового передаточного числа рулевого управления используют отношение момента
сопротивления повороту управляемых колес Мс к моменту на рулевом колесе Мрк:
С помощью силового передаточного числа рулевого
управления можно оценивать легкость управления автомобилем по усилию на рулевом
колесе, необходимому для поворота управляемых колес.
Усилие на рулевом колесе для поворота автомобиля
зависит от различных факторов - свойств шин, углов установки управляемых колес,
стабилизации управляемых колес и др.
Усилие на рулевом колесе регламентируется
Правилами № 79 ЕЭК ООН, применяемыми в России.
При проектировании максимальное усилие на
рулевом колесе не должно превышать 120 Н, а минимальное - должно быть не менее
60 Н. Ограничение минимального усилия на рулевом колесе необходимо для того,
чтобы водитель чувствовал дорогу. При повороте управляемых колес на месте на
асфальтобетонной поверхности максимальное усилие на рулевом колесе не должно
превышать 400 Н.
На легкость управления автомобилем оказывает влияние
и рулевое колесо. Диаметр рулевого колеса зависит от типа автомобиля и
составляет 380...425 мм для легковых и грузовых автомобилей малой
грузоподъемности и 440...550 мм для автобусов и других грузовых автомобилей.
Максимальный угол поворота рулевого колеса от
среднего положения до крайнего в каждую сторону в зависимости от типа и
назначения автомобиля находится в пределах 540... 1 080°, что соответствует его
1.5...3 оборотам (меньшие значения для легковых автомобилей, а большие - для
грузовых). Силовое передаточное число рулевого привода. Силовым передаточным
числом рулевого привода называется отношение момента сопротивления повороту
управляемых колес Мс к моменту на валу рулевой сошки Мрс:
Значение силового передаточного числа рулевого
привода зависит от типа привода и положения его звеньев.
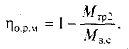
КПД рулевого управления. КПД рулевого управления
рассчитывается как произведение КПД рулевого механизма ηр.м
и КПД рулевого привода ηр.м:
КПД рулевого управления оценивает потери на
трение в рулевом механизме и в рулевом приводе. Так, потери на трение в рулевом
механизме составляют почти 50 % от общих потерь на трение в рулевом управлении,
а потери на трение в шарнирах рулевого привода и шкворневых узлах управляемых
колес составляют примерно 40... 50 %.
Различают прямой ηп.р.у
и обратный ηо.р.у КПД рулевого
управления. Прямой КПД характеризует передачу усилия от рулевого колеса к
управляемым колесам и составляет 0,67...0,82, а обратный характеризует передачу
усилия от управляемых колес к рулевому колесу и составляет 0,58...0,65.
Рулевое управление должно иметь возможно,
большее значение прямого КПД, так как в этом случае будут меньше потери на
трение и легче управление автомобилем.
Значение обратного КПД должно быть больше
предела обратимости рулевого управления, но возможно ближе к нему, чтобы
сохранить чувство дороги и стабилизацию управляемых колес. При этом возникающий
поворачивающий момент при наезде управляемых колес на дорожные неровности
(обратный удар) должен передаваться на рулевое колесо в минимальной степени.
Легкость управления автомобилем во многом
зависит от КПД рулевого механизма.
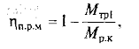
КПД рулевого механизма, характеризующий передачу
усилия от рулевого колеса к рулевой сошке, называется прямым КПД:
где Mтр1 - момент трения рулевого механизма,
приведенный к рулевому колесу; Мр.к. - момент на рулевом колесе.
КПД рулевого механизма при передаче усилия от
рулевой сошки к рулевому колесу называется обратным КПД:
где Mтр2- момент трения рулевого механизма,
приведенный к валу рулевой сошки; Mв.с. - момент на валу рулевой сошки,
подведенный от управляемых колес.
Прямой и обратный КПД зависят от конструкции
рулевого механизма и их значения составляют: ηп.р.м.
= 0,60...0.95; ηорм = 0.55 -
0.85.
Учитывая трение в зацеплении рулевого механизма
и пренебрегая трением в подшипниках и манжетах, можно определить прямой и
обратный КПД для червячных и винтовых рулевых механизмов:
где β-
угол подъема винтовой линии червяка или винта; р - угол трения.
Обратный КПД рулевого механизма характеризует
степень его | обратимости. При небольшом значении обратного КПД вследствие
трения в рулевом механизме гасятся толчки и удары, передаваемые на рулевое
колесо от неровностей дороги. Однако при низком обратном КПД затрудняется
самовозвращение рулевого колеса в исходное положение и, следовательно,
ухудшается стабилизация управляемых колес. Так, например, при прямом КПД ηп.р.м
< 0,5, обратный КПД ηорм = 0
рулевой механизм становится необратимым, и стабилизация управляемых колес
отсутствует.
КПД рулевого привода учитывает потери на трение
во всех шарнирных соединениях рулевого привода. Значение КПД рулевого привода ηр.п
= 0,92...0,95.
Зазор в рулевом управлении. Указанный зазор
должен быть минимальным, чтобы предотвратить виляние управляемых колес и
ухудшение устойчивости автомобиля.
Зазор в рулевом управлении определяется по углу
свободного поворота рулевого колеса при нейтральном положении управляемых
колес. Допустимый зазор в рулевом управлении для новых автомобилей не должен
превышать 10... 15° свободного поворота рулевого колеса. Зазор в рулевом
управлении складывается из зазоров в рулевом механизме и рулевом приводе. При
эксплуатации увеличенный зазор в рулевом управлении может возникнуть в
результате изнашивания рабочих поверхностей деталей рулевого управления и
увеличения зазоров в подшипниках управляемых колес, шкворнях, шаровых шарнирах
подвески, шарнирах рулевого привода, зацеплении рулевого механизма, а также при
недостаточной затяжке креплений рулевой сошки, картера рулевого механизма и
рулевого вала.
Наибольшее изнашивание рабочих поверхностей
деталей рулевого управления происходит при прямолинейном движении автомобиля,
когда управляемые колеса находятся в нейтральном положении. Поэтому при
нейтральном положении управляемых колес зазор в зацеплении рулевого механизма
должен быть минимальным (близким к нулю).
При увеличении угла поворота рулевого колеса от
нейтрального положения к крайним положениям зазор в зацеплении рулевого
механизма должен постепенно увеличиваться (рис. 2.4) и в конце составить 25...
35° свободного поворота рулевого колеса. Это необходимо для предотвращения
заклинивания (заедания) рулевого механизма после регулировки зацепления при
изнашивании, которое обычно происходит в зоне, соответствующей небольшим углам
поворота рулевого колеса.
Необходимая величина зазора в зацеплении
рулевого механизма и характер его изменения обеспечиваются конструктивными
методами (особенностями рулевого механизма) или технологией (например, сдвигом
режущего инструмента при нарезке деталей зацепления механизма).
Рис. 2.4 - Схема изменения зазора в рулевом
механизме: αр.к- угол поворота
рулевого колеса; ∆S -зазор
Толчки и удары на рулевом колесе.
Причиной потери автомобилем управляемости могут
быть резкие толчки и удары, передаваемые на рулевое колесо от дорожных
неровностей.
Рис. 2.5 - Схема поперечного наклона оси
поворота управляемого колеса: а0- плечо обкатки, βш
- угол наклона
Для обеспечения минимальной передачи толчков и
ударов на рулевое колесо в конструкциях рулевых управлений выполняют следующее:
увеличивают передаточное число рулевого
механизма в нейтральном положении управляемых колес автомобиля; уменьшают плечо
обкатки, увеличивают податливость рулевого управления до оптимального значения,
обеспечивающего быстрое и своевременное реагирование управляемых колес на повороты
рулевого колеса;
применяют амортизирующие устройства в рулевом
механизме или в рулевом приводе;
применяют гидравлические усилители в рулевом
управлении, воспринимающие и поглощающие толчки и удары, которые передаются от
управляемых колес.
2.3 Травмобезопасное рулевое
управление
Травмобезопасное рулевое управление является
одним из конструктивных мероприятий, обеспечивающих пассивную безопасность
автомобиля - свойство уменьшать тяжесть последствий дорожно-транспортных
происшествий. Рулевой механизм рулевого управления может нанести серьезную
травму водителю при лобовом столкновении с препятствием при смятии передней
части автомобиля, когда рулевой механизм перемещается в сторону водителя.
Водитель также может получить травму от рулевого
колеса или рулевого вала при резком перемещении вперед вследствие лобового
столкновения, когда при слабом натяжении ремней безопасности перемещение
составляет 300...400 мм. Для уменьшения тяжести травм, получаемых водителем при
лобовых столкновениях, которые составляют более 50 % всех дорожно-транспортных
происшествий, применяют различные конструкции травмобезопасных рулевых
механизмов. С этой целью кроме рулевого колеса с утопленной ступицей и двумя
спицами, позволяющими значительно снизить тяжесть наносимых травм при ударе, в
рулевом механизме устанавливают специальное энергопоглощающее устройство, а
рулевой вал часто выполняют составным. Все это обеспечивает незначительное
перемещение рулевого вала внутрь кузова автомобиля при лобовых столкновениях с
препятствиями, автомобилями и другими транспортными средствами.
На рис. 2.6, а представлен рулевой механизм
легкового автомобиля, рулевой вал которого состоит из трех частей, соединенных
карданными шарнирами 2, а роль энергопоглощаюшего устройства выполняет
специальное крепление рулевого вала к кузову автомобиля. При лобовом
столкновении, когда передняя часть автомобиля деформируется, рулевой ват
складывается и незначительно перемешается в салон кузова автомобиля. При этом
кронштейн крепления рулевого вала деформируется и поглощает часть энергии
удара.
. Рулевой механизм с энергопоглошаюшим
устройством сильного типа показан на рис. 2.6, б. Рулевое колесо соединено с
рулевым валом металлическим гофрированным цилиндром, который при столкновении
деформируется, частично поглощает энергию удара и обеспечивает небольшое
перемещение рулевого вала в сторону водителя.
На рис. 2.6, в представлен рулевой механизм, у
которого верхняя часть рулевого вала выполнена в виде перфорированной трубы 4.
Показаны также последовательный процесс и максимальная деформация верхней части
рулевого вала, которая весьма значительна.
В травмобезопасных рулевых управлениях легковых
автомобилей применяются и другие энергопоглощаюшие устройства, которые
соединяют составные рулевые валы. К ним относятся резиновые муфты специальной
конструкции, а также устройства типа «японский фонарик», которые выполнены в
виде нескольких продольных пластин, приваренных к концам соединяемых частей
рулевого вала. При столкновениях резиновая муфта разрушается, а соединительные
пластины деформируются и уменьшают перемещение рулевого вала внутрь салона
кузова.
Рис. 2.6 - Травмобезопасные рулевые механизмы: a
- рулевой вал, состоящий из трех частей; б - рулевой вал с энергопоглощающим
устройством сильфонного типа; в - рулевой вал с перфорированной трубой; 1 -
кронштейн; 2 - карданный шарнир; 3 - цилиндр; 4 - труба
2.4 Рулевой механизм
Рулевым называется механизм, преобразующий
вращение рулевого колеса в поступательное перемещение рулевого привода,
вызывающее поворот управляемых колес автомобиля.
Рулевой механизм служит для увеличения усилия
водителя, прилагаемого к рулевому колесу, и передачи его к рулевому приводу.
Увеличивать усилие водителя необходимо для облегчения управления автомобилем.
Увеличение усилия, прилагаемого к рулевому колесу, происходит за счет
передаточного числа рулевого механизма.
Передаточное число рулевого механизма зависит от
типа автомобиля и составляет для различных автомобилей 15...25. Такие
передаточные числа за один - два полных оборота рулевого колеса обеспечивают
поворот управляемых колес автомобиля на максимальные углы, равные 35...45°.
К рулевым механизмам, кроме общих требований к
конструкции автомобиля, предъявляется ряд дополнительных требований. В
соответствии с этими требованиями рулевые механизмы должны обеспечивать:
• высокий КПД при передаче усилия от рулевого
колеса к управляемым колесам для легкости управления автомобилем и несколько
меньший КПД в обратном направлении для уменьшения толчков и ударов на рулевом
колесе от дорожных неровностей;
• обратимость механизма, исключающую снижение стабилизации
управляемых колес автомобиля;
• минимальный зазор в зацеплении механизма при
нейтральном положении управляемых колес и возможность регулирования этого
зазора в процессе эксплуатации;
• заданный характер изменения передаточного
числа механизма.
Рис. 2.7 - Типы рулевых механизмов
На современных автомобилях имеют применение
различные типы рулевых механизмов (рис. 2.7).
Червячные рулевые механизмы. Эти механизмы
применяются на легковых, грузовых автомобилях и автобусах. Наибольшее
распространение получили червячно-роликовые рулевые механизмы, рулевая передача
которых состоит из червяка и ролика (рис. 12.8, а). Червяк 1 имеет форму
глобоида - его диаметр в средней части меньше, чем по концам. Такая форма
обеспечивает надежное зацепление червяка с роликом 3 при повороте рулевого
колеса на большие углы. Ролики могут быть двухгребневыми или трехгребневыми.
Двухгребневые ролики применяются в рулевых
механизмах легковых автомобилей, а трехгребневые - в рулевых механизмах
грузовых автомобилей и автобусов.
При вращении червяка 1, закрепленного на рулевом
валу 2. Момент от червяка передается ролику 3 который установлен на подшипнике
на оси. Размешенной в пазу вала 4 рулевой сошки. При этом благодаря глобоидной
форме червяка обеспечивается надежное зацепление его с роликом при повороте
рулевого колеса на большие углы.
Червячно-роликовые рулевые механизмы имеют
небольшие габаритные размеры, надежны в работе и просты в обслуживании. Их КПД
достаточно высокий и составляет 0,85 при передаче усилий от рулевого колеса на
управляемые колеса и 0,7 - 0,8 управляемых колес к рулевому колесу. Поэтому
усилия водителя, затрачиваемые на преодоление трения в рулевом механизме,
невелики.

Рис. 2.8 - Рулевые передачи: а -
червячно-роликовая; б - червячно-секторная; в - винтореечная; г - реечная; 1, 5
- червяки; 2, 4, 11 - валы; 3 - ролик; 6, 10 - секторы; 7 - винт; 8 -
гайка-рейка; 9 - шарик; 12 - рейка; 13 - шестерня
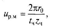
При нейтральном положении рулевого колеса
передаточное число червячно-роликового рулевого механизма
где г0 - начальный радиус глобоиды наименьшего
сечения червяка; tч - шаг винтовой линии червяка; zч- число заходов червяка.
При повороте рулевого колеса передаточное число этого рулевого механизма от
среднего положения к крайним несколько возрастает (примерно на 5...7 %). Однако
при практических расчетах передаточное число червячно-роликового рулевого
механизма можно считать постоянным.
Червянно-секторные (червячно-спироидные) рулевые
механизмы получили меньшее распространение и применяются только на грузовых
автомобилях. Рулевая передача этих механизмов (рис. 2.8, 6) состоит из
цилиндрического червяка 5 и бокового сектора 6 спиральными зубьями, который
выполнен совместно с валом рулевой сошки. Механизмы имеют небольшое давление на
зубья при передаче больших усилий и небольшое изнашивание. Однако из-за наличия
трения скольжения их КПД низкий и равен 0,7 и 0,55 соответственно при передаче
усилия от рулевого колеса и обратно.
Передаточное число червячно-секторного рулевого
механизма практически постоянно и равно I
где г01 и г02 - радиусы начальных окружностей
соответственно червяка и сектора; β1 и
β2
-
углы соответственно подъема винтовой линии червяка и наклона зубьев сектора; Z1
и Z2 - число заходов червяка и число зубьев зубчатого колеса, из которого
выполнен сектор.
Винтовые рулевые механизмы. Эти механизмы
используют на тяжелых грузовых автомобилях. Наибольшее применение получили
винтореечные механизмы.
Винтореечная рулевая передача (рис. 2.8, в)
включает в себя винт 7, шариковую гайку-рейку 8 и сектор 10, изготовленный
вместе с валом 11 рулевой сошки.
Вращение винта 7 преобразуется в поступательное
перемещение гайки 8, на которой нарезана рейка, находящаяся в зацеплении с
зубчатым сектором 10 вала рулевой сошки. Для уменьшения трения и повышения
износостойкости соединение винта с гайкой осуществляется через шарики 9.
КПД винтореечного механизма в обоих направлениях
почти одинаков, достаточно высокий и находится в пределах 0,8...0,85. Поэтому
при винтореечном рулевом механизме применяют гидроусилитель руля, который
воспринимает толчки и удары, передаваемые на рулевое колесо от неровностей
дороги.
Передаточное число винтореечного рулевого
механизма постоянно:
где г0 - радиус начальной окружности зубьев
сектора; hв - шаг винта.
Винторычажные рулевые механизмы в настоящее
время применяются редко, так как имеют низкий КПД и значительное изнашивание,
которое невозможно компенсировать регулировкой.
Зубчатые рулевые механизмы. Эти механизмы
применяются в основном на легковых автомобилях малого и среднего классов.
Шестеренные рулевые механизмы, имеющие
цилиндрические или конические шестерни, используются редко.
Наибольшее применение получили реечные рулевые
механизмы.
Реечная рулевая передача (рис. 2.8. г) состоит
из шестерни 13 и рейки 12. Вращение шестерни 13, закрепленной на рулевом валу,
вызывает перемещение рейки 12. которая выполняет роль поперечной рулевой тяги.
Реечные рулевые механизмы просты по конструкции,
компактны и имеют наименьшую стоимость по сравнению с рулевыми механизмами
других типов. Их КПД очень высок, приблизительно одинаков в обоих направлениях
и равен 0.9...0,95.
Из-за большого значения обратного КПД реечные
рулевые механизмы без усилителя устанавливают на легковых автомобилях особо
малого и малого классов, так как только в этом случае они способны поглощать
толчки и удары, которые передаются от дорожных неровностей на рулевое колесо.
На легковых автомобилях более высокого класса с
реечным рулевым механизмом применяют гидроусилитель руля, поглощающий толчки и
удары со стороны дороги.
Угловое передаточное число рулевого управления с
реечным рулевым механизмом можно определить по следующей формуле:
где lпр - длина поворотного рычага; θ0
-
угол среднего положения поворотного рычага при нейтральном положении
управляемых колес; θ - угол
поворота управляемых колес; rш - радиус шестерни механизма.
Из приведенной формулы следует, что угловое
передаточное число рулевого управления с реечным рулевым механизмом переменно.
Усилие, действующее на зубчатую рейку механизма:
где Ррк - усилие на рулевом колесе; Rр.к -
радиус рулевого колеса; r0 - начальный радиус шестерни механизма.
2.5 Рулевой привод
Рулевым приводом называется система тяг и
рычагов, осуществляющая связь управляемых колес автомобиля с рулевым
механизмом.
Рулевой привод служит зля передачи усилия от
рулевого механизма к управляемым колесам и для обеспечения правильного поворота
колес.
В соответствии с предъявляемыми требованиями
рулевой привод должен обеспечивать: правильное соотношение углов поворота
управляемых колес, исключающее боковое скольжение колес автомобиля: отсутствие
автоколебаний (самовозбуждающихся) управляемых колес вокруг шкворней (осей
поворота); отсутствие самопроизвольного поворота управляемых колес при
колебаниях автомобиля на упругих устройствах подвески.
На автомобилях применяются различные типы
рулевых приводов (рис. 2.9). Рулевая трапеция. Основной частью рулевого привода
является рулевая трапеция.
Рис. 2.9 - Типы рулевых приводов,
классифицированных по различным признакам
Рулевой называется трапеция, образованная
поперечными рулевыми тягами, рычагами поворотных цапф и осью управляемых колес.
Основанием трапеции является ось колес, вершиной - поперечные тяги 6, 8 и 10, а
боковыми сторонами - рычаги 5 и 11 поворотных цапф. Рулевая трапеция служит для
поворота управляемых колес на разные углы.
Внутреннее колесо (по отношению к центру
поворота автомобиля) поворачивается на больший угол, чем наружное колесо. Это
необходимо, чтобы при повороте автомобиля колеса катились без бокового
скольжения и с наименьшим сопротивлением. В противном случае ухудшится управляемость
автомобиля, возрастут расход топлива и изнашивание шин.
Между углами поворота управляемых колес
существует зависимость (рис. 2.10), которая выражается следующим уравнением:
где θн
и θв
- углы поворота соответственно наружного и внутреннего колес; δн
и δв-
углы увода колес; Вшк - расстояние между шкворнями; С - расстояние от оси
задних колес до центра поворота автомобиля.
Рулевая трапеция может быть передней или задней.
Передней называется рулевая трапеция, которая располагается перед осью передних
управляемых колес (см. рис. 2.9, а).
Задней называется рулевая трапеция, которая
располагается за осью передних управляемых колес (см. рис. 2.9. б).
Применение на автомобилях рулевого привода с
передней или задней рулевой трапецией зависит от компоновки автомобиля и его
рулевого управления. При этом рулевой привод может быть с неразрезной или
разрезной рулевой трапецией. Использование рулевого привода с неразрезной или
разрезной трапецией зависит от подвески передних управляемых колес автомобиля.
Неразрезной называется рулевая трапеция, имеющая
сплошную поперечную рулевую тягу, соединяющую управляемые колеса (рис. 2.9, б).
Неразрезная рулевая трапеция применяется при зависимой подвеске передних
управляемых колес на грузовых автомобилях и автобусах.
Разрезной называется рулевая трапеция, которая
имеет многозвенную поперечную рулевую тягу, соединяющую управляемые колеса
(рис. 2.9, а).
Рис. 2.10 - Зависимость между углами управляемых
колес
Разрезная рулевая трапеция используется при
независимой подвеске управляемых колес автомобиля.
Автоколебания управляемых колес. Такие колебания
управляемых колес происходят вокруг шкворней (осей поворота). Они вызывают
изнашивание шин и рулевого привода и могут привести к потере управляемости и
нарушению безопасности движения. Автоколебания управляемых колес являются
самовозбуждающимися. Причиной их возникновения является гироскопическая связь
управляемых колес.
При наездах одного из колес на дорожные
неровности при зависимой подвеске (рис. 2.11, а) происходит перекос переднего
моста. Управляемые колеса наклоняются, и изменяется положение оси их вращения.
Это приводит к возникновению гироскопического момента МГХ, который действует в
горизонтальной плоскости и поворачивает управляемые колеса вокруг шкворней.
Поворот колес вокруг шкворней вызывает возникновение другого гироскопического
момента Mrz, который действует в вертикальной плоскости и стремится увеличить
перекос моста и наклон колес. Таким образом, перекос моста вызывает колебания
управляемых колес вокруг шкворней, а они в свою очередь увеличивают перекос
моста, т.е. обе колебательные системы связаны между собой и влияют друг на друга.
Возникающие в этом случае колебания управляемых колес вокруг шкворней
непрерывно повторяются (самовозбуждаются), являются устойчивыми и наиболее
опасными.
Управляемые колеса автомобиля имеют двойную
связь с его несущей системой, которая осуществляется через подвеску и рулевой
привод. При вертикальных перемещениях колеса (рис. 2.11, б) шарнир А.
соединяющий продольную рулевую тягу с рычагом поворотного кулака, должен
перемешаться по луге об с центром в точке О, что обусловлено кинематикой
рулевого привода. Кроме того, шарнир А также должен перемешаться по дуге аа с
центром О, что обусловлено кинематикой подвески. Однако дуги аа и бб
расходятся, и поэтому вертикальные перемещения управляемых колес сопровождаются
их поворотом вокруг шкворней.
Колебания управляемых колес вокруг шкворней
совершаются с высокой и низкой частотой.
Рис. 2.11 - Схемы возникновения автоколебаний
управляемых колес: а - при зависимой подвеске; б - при двойной связи колес с
несущей системой автомобиля
передача автомобиль управление
привод
Колебания высокой частоты (более 10 Гц и с
амплитудой не более 1,5...2°) происходят в пределах упругости шин и рулевого
привода. Они не передаются водителю и не нарушают управляемость автомобиля, так
как поглощаются в рулевом управлении. Однако высокочастотные колебания вызывают
дополнительное изнашивание шин и деталей рулевого привода, повышают
сопротивление движению автомобиля и увеличивают расход топлива.
Колебания низкой частоты (менее 1 Гц и
амплитудой 2...3°) нарушают управляемость автомобиля и безопасность движения.
Для их устранения необходимо снизить скорость движения.
Полностью устранить колебания управляемых колес
вокруг шкворней невозможно - их только можно уменьшить. Это достигается
применением независимой подвески управляемых колес, что уменьшает
гироскопическую связь между ними; применением балансировки колес, чем
устраняется их неуравновешенность; уменьшением влияния двойной связи колес с
несшей системой, что достигается различными конструктивными мероприятиями.
2.6 Рулевые усилители
Рулевым усилителем называется механизм,
создающий под давлением жидкости или сжатого воздуха дополнительное усилие на
рулевой привод, необходимое для поворота управляемых колес автомобиля.
Усилитель служит для облегчения управления
автомобилем, повышения его маневренности и безопасности движения. Он также
смягчает толчки и удары дорожных неровностей, передаваемых от управляемых колес
на рулевое колесо.
Усилитель значительно облегчает работу водителя.
При его наличии водитель прикладывает к рулевому колесу усилие в 2 - 3 раза
меньшее, чем без усилителя, когда, например, для поворота грузовых автомобилей
средней и большой грузоподъемности и автобусов требуется усилие до 400 Н и
более. Это весьма существенно, так как из всей затрачиваемой водителем энергии
на управление автомобилем до 50 % приходится на рулевое управление.
Маневренность автомобиля с рулевым усилителем
повышается вследствие быстроты и точности его действия.
Безопасность движения повышается потому, что в
случае резкого понижения давления воздуха в шине переднего управляемого колеса
при проколе или разрыве шины при наличии усилителя водитель в состоянии
удержать рулевое колесо в руках и сохранить направление движения автомобиля.
Однако наличие усилителя приводит к усложнению
конструкции рулевого управления и повышению стоимости, к увеличению изнашивания
шин, более сильному нагружению деталей рулевого привода и ухудшению
стабилизации управляемых колес автомобиля. Кроме того, наличие усилителя на
автомобиле требует адаптации водителя.
Виды усилителей и требования к ним. Рулевые
усилители применяют на легковых автомобилях, грузовых автомобилях средней и
большой грузоподъемности и автобусах. Получили распространение гидравлические и
пневматические усилители. Принцип действия этих усилителей аналогичен, но в них
используется различное рабочее вещество: в гидравлических усилителях - масло
(турбинное, веретенное), а в пневматических - сжатый воздух пневматической
тормозной системы автомобиля.
Гидравлические усилители получили наибольшее
применение. Так, из всех автомобилей с усилителями 90 % оборудованы
гидравлическими усилителями. Они компактны, имеют малое время срабатывания
(0.2...2.4 с) и работают при давлении 6... 10 МПа.
Однако гидравлические усилители требуют тщательного
ухода и особо надежных уплотнений, так как течь жидкости приводит к выходу их
из строя.
Пневматические усилители в настоящее время имеют
ограниченное распространение. Их применяют в основном на грузовых автомобилях
большой грузоподъемности с пневматической тормозной системой. Пневматический
усилитель включается в работу водителем только в тяжелых дорожных условиях.
Конструкция пневматических усилителей проще, чем
гидравлических, так как используется оборудование тормозной пневматической
системы автомобиля. Но они имеют большие габаритные размеры, обусловленные
невысоким рабочим давлением (0.6...0.8 МПа), и значительное время срабатывания
(в 5-10 раз больше, чем у гидравлических), что приводит к меньшей точности при
управлении автомобилем в процессе поворота.
К рулевым усилителям предъявляют требования, в
соответствии с которыми они должны обеспечивать:
• кинематическое следящее действие (по
перемещению), т.е. соответствие между углами поворота рулевого колеса и
управляемых колес;
• силовое следящее действие (по силе
сопротивления повороту), т.е. пропорциональность между усилием на рулевом
колесе и силами сопротивления повороту управляемых колес;
• возможность управлять автомобилем при выходе
усилителя из строя;
• действие только в случаях, когда усилие на
рулевом колесе превышает 25... 100 Н;
• минимальное время срабатывания;
• минимальное влияние на стабилизации
управляемых колес
• смягчение и поглощение толчков и ударов,
передаваемых от управляемых колес на рулевое колесо.
2.7 Обзор и анализ конструкций
рулевых управлений
На рис. 2.14 представлено рулевое управление
легковых автомобилей ВАЗ повышенной проходимости. Рулевое управление левое,
травмобезопасное, с передними управляемыми колесами, без усилителя.
Травмобезопасность рулевого управления обеспечивается конструкцией
промежуточного вала рулевого колеса и специальным креплением рулевого вала к
кузову автомобиля. Рулевое управление состоит из рулевого механизма и рулевого
привода.
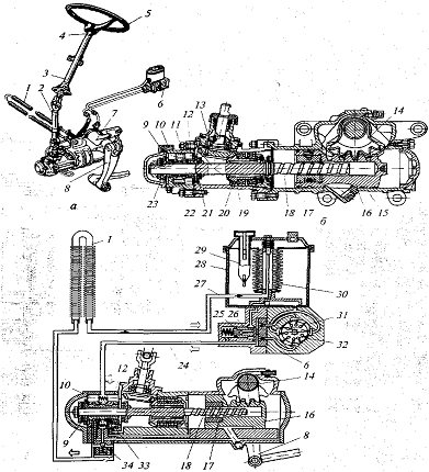
На автомобилях применяется червячный рулевой
механизм с передаточным числом 16,4. Рулевой механизм включает в себя рулевое
колесо, рулевой вал, промежуточный вал, рулевую пару (червячную передачу).
Рис. 2.12 - Рулевое управление легковых
автомобилей ВАЗ повышенной проходимости: а - общий вид; б - установка рулевого
вала; 1, 3 - тяги; 2 - сошка; 4, 7 - рычаги; 5 - муфта; 6 - кулак; 8, 13 -
кронштейны; 9 - картер; 10 - валы; 11 - колонка; 12 - рулевое колесо; 14 -
палец; 15 - чехол; 16 - наконечник; 17 - вкладыш; 18 - пружина; 19 - заглушка;
20 - подшипник; 21 - труба; 22 - рулевой вал состоящую из глобоидного червяка и
двух гребневого ролика
Рулевое колесо 12 - двухспицевое, пластмассовое,
со стальным каркасом. Оно закреплено на шлицах верхнего конца рулевого вала 22,
который установлен в трубе 21 кронштейна 13 в двух шариковых подшипниках 20.
Рулевой вал с рулевой колонкой 17 с помощью кронштейна 13 крепится к кузову
автомобиля.
Крепление кронштейна к кузову выполнено так, что
при авариях рулевой вал 22 с рулевым колесом незначительно перемещается в
сторону водителя, чем обеспечивается его безопасность. Нижний конец рулевого
вала через шлицы соединяется с промежуточным валом 10, размещенным в картере 9
и представляющим собой карданный вал с двумя шарнирами.
Промежуточный вал также через шлицы соединен с
валом 12 (рис. 2.15) червяка 7, уплотненным манжетой 13. Глобоидный червяк
установлен в отлитом из алюминиевого сплава картере 4 в двух шариковых
подшипниках 14, затяжка которых регулируется с помощью прокладок 75,
устанавливаемых под крышку 16. Червяк находится в зацеплении с двухгребневым
роликом 5. Который установлен в пазу головки вала 5рулевой сошки на оси 17 на
игольчатых подшипниках 18. Вал рулевой сошки размещен в картере 4 в бронзовых
втулках 3 и уплотнен манжетой 2 Зацепление червяка и ролика регулируют с
помощью регулировочного винта 7, головка которого входит в паз вала 5 рулевой
сошки. Регулировочный винт ввернут в крышку 10 с заливной пробкой 9, и
контрится гайкой 8. На шлицевом конце вала 5 установлена рулевая сошка 7,
которая закреплена с помощью гайки. Картер рулевого механизма крепится болтами
к левому лонжерону пола кузова. В него заливают трансмиссионное масло в
количестве 0,215 л.
.
Рис. 2.13 - Рулевой механизм легковых
автомобилей ВАЗ повышенной проходимости: 1 - сошка; 2, 13 - манжеты; 3 -
втулка; 4 - картер; 5, 12 - валы; 6 - ролик; 7 - винт; 8 - гайка; 9 - пробка;
10, 16 - крышки; 11 - червяк; 14, 18 - подшипники; 15 - регулировочные
прокладки; 17 - ось
Рулевой привод передает усилие от рулевого
механизма к управляемым колесам. Рулевой привод обеспечивает правильный поворот
управляемых колес автомобиля.
Рулевой привод (рис. 12.14) состоит из рулевой
сошки, маятникового рычага, боковых и средней рулевых тяг с шарнирами и рычагов
поворотных кулаков. На автомобиле применяется рулевой привод с разрезной
рулевой трапецией. Рулевая трапеция обеспечивает поворот управляемых колес
автомобиля на разные углы (внутреннее колесо на больший угол, чем наружное
колесо). Трапеция расположена сзади оси передних колес. Рулевая трапеция
состоит из трех поперечных рулевых тяг 1 и 3 и двух рычагов 7. шарнирно
соединенных между собой. Средняя рулевая тяга 3 рулевой трапеции выполнена
сплошной. Одним концом она соединена с рулевой сошкой 2. а другим - с маятниковым
рычагом 4, который закреплен неподвижно на оси. Ось установлена в двух
пластмассовых втулках в кронштейне 8, прикрепленном к правому лонжерону пола
кузова. Боковая рулевая тяга / состоит из двух наконечников, соединенных между
собой регулировочной муфтой 5. фиксируемой на наконечниках хомутами. Это
позволяет изменять длину боковых рулевых тяг рулевой трапеции при регулировке
схождения передних управляемых колес автомобиля. Соединение средней и боковых
рулевых тяг с сошкой и маятниковым рычагом, а также боковых тяг с рычагами 7
поворотных кулаков 6 выполнено с помощью шаровых шарниров.
Шаровые шарниры обеспечивают возможность
относительного перемещения деталей рулевого привода в горизонтальной и
вертикальной плоскостях при одновременной надежной передаче усилий между ними.
Шарниры размещаются в наконечниках 16 рулевых
тяг. Палец 14 сферической головкой опирается на конусный пластмассовый вкладыш
17, который поджимается пружиной 18, устраняющей зазор в шарнире при
изнашивании в процессе эксплуатации. Шаровой шарнир с одного конца закрыт
заглушкой 19, а с другого - защищен резиновым чехлом 15. Палец шарнира своей
конусной частью жестко крепится в детали рулевого привода, к которой
присоединяется рулевая тяга. Шаровые шарниры при сборе заполняются специальной
смазкой и в процессе эксплуатации в дополнительном смазывании не нуждаются.
Рулевое управление легковых автомобилей ВАЗ с
передним приводом показано на рис. 2.14.
Рис. 2.14 - Рулевое управление легковых
автомобилей ВАЗ с передним приводом: 1 - рычаг; 2 - шарнир; 3, 5 - тяги; 4, 34
- гайки; 6 - палец; 7, 13 - чехлы; 8 - вкладыш; 9, 33 - пружины; 10, 20 -
болты; 11 - скоба; 12 - опора; 14, 15 - пластины; 16, 17 - втулки; 18 - рейка;
19 - картер; 21 - муфта; 22 - гасящее устройство; 23 - рулевое колесо; 24, 29У
31 - подшипники; 25 - вал; 26 - колонка; 27 - кронштейн; 28 - колпак; 30 -
шестерня; 32 - упор на шлицах верхнего конца рулевого вала 25, который
опирается на радиальный шариковый подшипник 24, установленный в трубе
кронштейна 27
Рулевое управление левое, травмобезопасное, без
усилителя. Травмобезопасность рулевого управления обеспечивается специальным
гасящим (демпфирующим) устройством, через которое рулевое колесо крепится к
рулевому валу.
На автомобилях применяется реечный рулевой
механизм с передаточным числом 20,4. В рулевой механизм входят рулевое колесо,
рулевой вал и рулевая пара (реечная), состоящая из шестерни и зубчатой рейки.
Рулевой вал вместе с рулевой колонкой 26,
состоящей из двух частей, с помощью кронштейна 27 крепится к кузову автомобиля.
Нижний конец рулевого вала через эластичную муфту 21 со стяжным болтом 20
соединен со шлицевым хвостовиком приводной шестерни 30, которая установлена в
алюминиевом картере 19 рулевого механизма на роликовом 29 и шариковом 31
подшипниках.
Шестерня находится в зацеплении с зубчатой
рейкой 18, прижимаемой к шестерне через упор 32 пружиной 33, поджимаемой гайкой
34. Это обеспечивает беззазорное зацепление приводной шестерни и зубчатой рейки
по всему их ходу. Рейка одним концом опирается на упор 32. а другим концом
устанавливается в разрезной пластмассовой втулке 17, которая фиксируется в
картере рулевого механизма специальными выступами и уплотняется резиновыми
кольцами. Ход рейки ограничивается в одну сторону специальным кольцом,
напрессованным на нее, а в другую сторону - втулкой 15резинометаллического
шарнира левой рулевой тяги 3. которые упираются в картер рулевого механизма. На
картер с одной стороны установлен защитный колпак 28, а с другой - напрессована
труба с продольным пазом, закрытая защитным гофрированным чехлом 13. который
закреплен двумя пластмассовыми хомутами. Через паз трубы и отверстия в защитном
чехле проходят два болта 10, которые крепят рулевые тяги 3 к зубчатой рейке 18
через резинометаллические шарниры. Болты соединены между собой пластиной 14 и
фиксируются стопорной пластиной 15. Картер 19 рулевого механизма крепится к
передней панели кузова автомобиля при помощи двух скоб 11 через резиновые опоры
12. Между картером и панелью кузова также установлена вибропоглощающая
резиновая опора. Картер рулевого механизма заполнен консистентной смазкой.
Рулевой привод состоит из двух рулевых тяг 3 и
поворотных рычагов телескопических стоек передней подвески. Рулевой привод
выполнен с разрезной рулевой трапецией, расположенной сзади оси передних колес.
Рулевые тяги изготовлены составными. Каждая тяга состоит из двух наконечников,
соединенных между собой регулировочной трубчатой тягой 5, фиксируемой на
наконечниках гайкой 4. Такое соединение рулевых тяг позволяет изменять их длину
при регулировке схождения передних управляемых колес. Рулевые тяги соединяются
с поворотными рычагами телескопических стоек с помощью шаровых шарниров 2,
которые размещаются в наружных наконечниках рулевых тяг. Шаровой шарнир состоит
из шарового пальца 6, пластмассового вкладыша 8 и пружины 9. Он защищен
резиновым чехлом 7. Шарнир смазывают при сборке, при эксплуатации смазывание не
требуется. Палец шарового шарнира конусной частью жестко закреплен в поворотном
рычаге 1, приваренном к телескопической стойке передней подвески.
Работа рулевого управления осуществляется
следующим образом. При повороте рулевого колеса 23 вместе с ним поворачивается
рулевой вал 25, который через эластичную муфту 21 вращает приводную шестерню 30
рулевого механизма. Приводная шестерня перемещает зубчатую рейку 18, которая
через рулевые тяги 3 и поворотные рычаги поворачивает телескопические стойки,
связанные с поворотными кулаками передних управляемых колес автомобиля. В
результате управляемые колеса поворачиваются.
На рис. 12.17 представлено рулевое управление
грузовых автомобилей ГАЗ повышенной проходимости. Рулевое управление с
передними управляемыми колесами и усилителем. Оно состоит из рулевого
механизма, рулевого привода и гидроусилителя.
Рулевой механизм червячный, выполнен в виде
глобоидного червяка и трехгребневого ролика, передаточное число механизма -
20,5.
Червяк 14 напрессован на нижний рулевой вал 13 и
установлен в чугунном картере 15 на конических роликовых подшипниках,
регулируемых прокладками 16. которые размещены под нижней крышкой картера.
Червяк находится в зацеплении с трехгребневым роликом 17. который установлен на
игольчатых подшипниках на оси. закрепленной в пазу вала 21 сошки.
Зацепление червяка и ролика регулируется винтом
19. закрытым колпачковой гайкой 18. Вал сошки установлен в картере на бронзовой
втулке и роликовом подшипнике, расположенном в боковой крышке 20 картера.
Нижний рулевой вал через промежуточный вал 12 и
два карданных шарнира соединен с верхним рулевым валом 10, который установлен
на двух шариковых подшипниках в рулевой колонке 11. На верхнем рулевом вале
закреплено рулевое колесо. Рулевая колонка соединена с кабиной автомобиля при
помощи шарнирных рычагов 5, которые при составном рулевом вале с карданными
шарнирами позволяют откидывать кабину автомобиля без нарушения соединений
деталей рулевого управления. Рулевой механизм смазывается маслом, заливаемым в
картер через резьбовое отверстие с пробкой. Герметичность картера
обеспечивается манжетами вата сошки и верхней крышки картера.
Гидроцилиндр шарнирно связан с картером
переднего моста автомобиля. Он состоит из корпуса с головкой и поршня со
штоком. Поршень в корпусе уплотнен чугунными кольцами, а шток в головке -
манжетами. Шток поршня при помощи резиновых подушек соединен с поперечной
рулевой тягой 8.
Действие гидроусилителя при повороте автомобиля
аналогично рассмотренному ранее (рис. 2.13).
На рис. 2.18 показано рулевое управление
грузовых автомобилей КамАЗ. Рулевое управление левое, с передними управляемыми
колесами, с усилителем. Оно состоит из рулевого механизма, рулевого привода и
гидроусилителя.
Рулевой механизм винтореечный и выполнен в виде
винта, шариковой гайки, поршня-рейки и сектора. Передаточное число, рулевого
механизма равно 20. Рулевой привод - с задней неразрезной трапецией.
Гидроусилитель - интегрального типа (гидроруль), представляет собой один
агрегат, объединяющий рулевой механизм, парораспределитель, гидроцилиндр и
угловой редуктор.

Рис. 2.15 - Рулевое управление грузовых
автомобилей ГАЗ повышенной проходимости: а - схема; б - рулевой механизм; в -
гидрораспределитель; 1,8 - тяги; 2 - гидрораспределитель; 3 - сошка; 4 -
гидронасос; 5, 6, 9 - рычаги; 7 - гидроцилиндр; 10, 12, 13, 21 - валы; 11 -
колонка; 14 - червяк; 15 - картер; 16 - прокладки; 17- ролик; 18, 25 - гайки;
19- винт; 20 - крышка; 22 - корпус 23 - 6олт; 24 - золотник; 26- сухари; 27-
стакан; 28 - пружина; 29 -ограничитель; 30 -палец
Рулевое колесо 5 закреплено на рулевом валу 4,
который установлен на двух шариковых подшипниках в рулевой колонке 3,
прикрепленной внутри кабины автомобиля. Рулевой вал 4 через карданный вал 2 с
двумя карданными шарнирами и подвижным Д шлицевым соединением связан с ведущей
конической шестерней 13 углового редуктора, передаточное число которого равно
единице.
Рис. 2.16 - Рулевое управление грузовых
автомобилей КамАЗ: а - рулевой механизм; б - гидроусилитель; в - схема работы
гидроусилителя; 1 - радиатор; 2, 4 - валы; 3 - колонка; 5 - рулевое колесо; 6 -
насос; 7 - рулевой механизм; 8- сошка; 9 - золотник; 10, 12 - плунжеры; 11 -
пружина; 13, 20- шестерни; 14 - сектор; 15- картер; 16- поршень-рейка; 17-
гайка; 18 - винт; 19, 22 - корпуса; 21, 23 - подшипники; 24, 27 - маслопроводы;
25, 26, 33, 34 - клапаны; 28 - бачок; 29, 30 - фильтры; 31 - статор; 32 -ротор
Ведомая шестерня 20 углового редуктора
установлена на шлицах винта 18 рулевого механизма. Обе шестерни вращаются в
двух шариковых подшипниках, каждая в корпусе 19 редуктора, прикрепленного к
горизонтально расположенному рулевому механизму 7, передающему усилие на
рулевую сошку. Сошка 8 через продольную рулевую тягу соединена с поворотным
рычагом левого управляемого колеса, которое через поперечную рулевую тягу и
рычаги поворотных цапф связано с правым управляемым колесом. Продольная рулевая
тяга выполнена сплошной. В ее головках расположены шарниры с шаровыми пальцами
для крепления. Поперечная рулевая тяга изготовлена трубчатой и имеет на концах
резьбу для установки наконечников с шаровыми шарнирами для связи с рычагами
поворотных цапф. Поворотом поперечной тяги в наконечниках регулируется
схождение передних управляемых колес автомобиля.
Гидроусилитель собран в одном агрегате с угловым
редуктором и рулевым механизмом, картер которого одновременно является и
гидроцилиндром. В картере15 находится поршень-рейка 16, зацепляющийся с
зубчатым сектором, изготовленным вместе с валом рулевой сошки. Зазор в
зацеплении регулируется специальным винтом путем осевого смещения вата сошки. В
поршне-рейке закреплена шариковая гайка 17. связанная через шарики с винтом
рулевого механизма. Крайние канавки шариковой гайки соединены трубкой, и шарики
циркулируют по замкнутому контуру. На конце винта рулевого механизма между
двумя упорными шариковыми подшипниками 21 и 23 установлен золотник 9
гидрораспределителя. Золотник вместе с подшипниками имеет возможность
перемещаться в осевом направлении на 1,0... 1,2 мм в обе стороны от
нейтрального положения. В нейтральном положении золотник удерживается
центрирующими пружинами 11, которые воздействуют на упорные шариковые
подшипники через плунжеры 10 и 12. К корпусу золотника снаружи присоединены
шланги нагнетательного и сливного маслопроводов от насоса 6 гидроусилителя.
Внутри корпуса размещен шариковый обратный клапан, соединяющий при отказе
гидросистемы рулевого управления нагнетательную и сливную масломагистрали и
обеспечивающий таким образом возможность управления автомобилем без
гидроусилителя. В корпусе золотника установлен предохранительный клан рулевого
механизма, который соединяет нагнетательную и сливную магистрали при давлении в
гидросистеме рулевого управления, превышающем 7,5.-8,0 МПа. Этот клапан
предохраняет детали рулевого механизма от перегрузки, а гидронасос - от
перегрева.
Насос 6 гидроусилителя лопастного типа и
приводится в действие от коленчатого вала двигателя шестеренной передачей. На
валу насоса, вращающемся в подшипниках, установлен ротор 32, в пазах которого
находятся подвижные лопасти. Ротор размещен внутри статора 31.
В крышке насоса размещены распределительный
диск, перепускной клапан 26 и предохранительный клапан 25 насоса. Перепускной
клапан ограничивает подачу масла в гидроусилитель при достижении определенной
производительности насоса. Предохранительный клапан находится внутри
перепускного клапана, является резервным в гидросистеме рулевого управления и
срабатывает при давлении масла 8,5... 9,0 МПа. При открытии перепускного и
предохранительного клапанов часть масла из полости крышки поступает в бачок
насоса. Бачок 28 прикреплен к корпусу и крышке насоса. Он имеет два фильтра 29
и 30 для очистки масла и предохранительный клапан (сапун) для связи с
окружающей средой. При работе насоса лопасти в роторе под действием
центробежных сил и давления масла прижимаются к статору. Масло из корпуса
насоса через распределительный диск поступает в полость нагнетания и далее
через нагнетательный маслопровод 24 в гидроусилитель.
При прямолинейном движении автомобиля золотник
находится в корпусе в нейтральном положении. Поступившее в корпус из насоса
масло проходит через золотник, гидроусилитель и направляется в масляный
радиатор / гидроусилителя. В радиаторе, представляющем собой алюминиевую
оребренную трубку и находящемся перед радиатором системы охлаждения двигателя,
масло охлаждается и поступает в бачок насоса через сливной маслопровод 27.
При повороте рулевого колеса из-за сопротивления
повороту со стороны дороги поршень-рейка 16 гидроусилителя остается
неподвижным, а винт 18 с золотником 9 смещается на 1,0... 1,2 мм. При этом в зависимости
от направления поворота золотник сообщает одну полость гидроцилиндра с
нагнетательной магистралью, а другую полость - со сливной магистралью. В этом
случае масло перемещает поршень-рейку 16, который поворачивает зубчатый сектор
14, связанный с рулевой сошкой 8, и помогает водителю повернуть управляемые
колеса автомобиля. В камерах между плунжерами 10 и 12 давление масла становится
тем больше, чем больше сопротивление дороги повороту управляемых колес. Поэтому
для смещения золотника при большем давлении масла необходимо большее усилие
водителя, что позволяет ему чувствовать дорогу.
Рулевое управление грузовых автомобилей МАЗ
представлено на рис. 2.19. Рулевое управление - левое, с передними управляемыми
колесами и с усилителем. Рулевой механизм - винторееч-ный и выполнен в виде
винта, шариковой гайки-рейки и сектора. Передаточное число рулевого механизма
23,6. Рулевой привод - с задней неразрезной трапецией. Усилитель
гидравлический. Гидрораспределитель и гидроцилиндр объединены в одном блоке отдельно
от рулевого механизма.
Рулевое колесо 13 установлено на полом
телескопическом рулевом валу 10, находящемся в подшипниках в рулевой колонке
72, которая закреплена шарнирно на кронштейне в кабине автомобиля. Шарнирное
крепление рулевой колонки позволяет откидывать кабину автомобиля. Рулевой вал
при помощи карданного шарнира 9 соединен с винтом 8 рулевого механизма. Винт
установлен в чугунном литом картере 7 на двух сферических роликовых
подшипниках, затяжка которых регулируется гайкой 23, ввернутой в крышку
22картера. Винт связан с гайкой-рейкой 2 через два ряда шариков, циркулирующих
по замкнутому контуру. Гайка-рейка находится в постоянном зацеплении с зубчатым
сектором 21 вала 6 рулевой сошки 5. Регулировка зацепления производится путем
осевого смещения зубчатого сектора специальным винтом, связанным с валом сошки.
Рулевая сошка соединена с корпусом 3 шаровых шарниров, который связан с
гидроусилителем. С корпусом шаровых шарниров также соединен передний конец
продольной рулевой тяги 2. Задний конец продольной рулевой тяги связан с
поворотным рычагом 17 поворотной цапфы 18 левого управляемого колеса, которая
через рычаги 16 и 14 и поперечную рулевую тягу 15 соединена с поворотной цапфой
правого колеса. Регулировка схождения передних колес производится изменением
Х1ины поперечной рулевой тяги при повороте ее в наконечниках.
Гидроусилитель представляет собой единый блок, в
котором гидрораспределитель 4 закреплен на корпусе 3 шаровых шарниров,
связанном с гидроцилиндром 7 резьбовым соединителем. Шаровой палец 26 рулевой
сошки находится в стакане 25, в котором закреплен золотник 24
гидрораспределителя. Стакан вместе с пальцем сошки и золотником может
перемещаться в осевом направлении. Золотник удерживается в нейтральном
положении под действием давления масла в реактивных камерах 31, расположенных с
обоих торцов золотника в корпусе гидрораспределителя. К корпусу присоединены
нагнетательный и сливной маслопроводы от шестеренного насоса гидроусилителя.
Насос приводится в действие клиноременной передачей от коленчатого вала
двигателя. К корпусу также присоединены две трубки 28 от гидроцилиндра. В
корпусе установлен обратный клапан 33, обеспечивающий работу рулевого
управления при неработающем гидроусилителе.
В гидроцилиндре 1 находится поршень 30 со штоком
29, который соединен с рамой автомобиля резинометаллическим шарниром 32.
Выступающий из цилиндра конец штока закрыт резиновым гофрированным чехлом,
защищающим от пыли, грязи и влаги. При прямолинейном движении автомобиля
золотник 24 находится в нейтральном положении и нагнетательный маслопровод
соединен со сливным маслопроводом. Гидроусилитель не работает, а масло
циркулирует от насоса к гидрораспределителю и от него к насосу.
Рис. 2.17 - Рулевое управление грузовых
автомобилей МАЗ: а - общий вид; б - рулевой механизм; в - гидроусилитель; г -
схема работы гидроусилителя; 1 - гидроцилиндр; 2, 15 - тяги; 3 - корпус; 4 -
гидрораспределитель; 5- сошка; 6, 10- валы; 7- картер; 8- винт; 9, 32-
шарниры;11 - кронштейн; 12- колонка; 13 - рулевое колесо; 14, 16, 17- рычаги;
18 -цапфа; 19 - кольцо; 20 - гайка-рейка; 21 - сектор; 22 - крышка; 23 -
гайка;24 - золотник; 25 - стакан; 26, 27 - пальцы; 28 - трубка; 29 - шток; 30 -
поршень; 31 - камера; 33 - клапан
При повороте автомобиля рулевая сошка 5 через
шаровой палец 26 и стакан 25 перемещает золотник 24 из нейтрального положения.
При этом одна полость гидроцилиндра соединяется с нагнетательным маслопроводом,
а другая полость - со сливным маслопроводом. Давлением масла гидроцилиндра
перемещается относительно поршня 30 со штоком 29, которые остаются
неподвижными. Вместе с гидроцилиндром через шаровой палец 27 перемешается
продольная рулевая тяга 2 и связанные с ней детали рулевого привода. В
результате происходит поворот передних управляемых колес автомобиля.
2.8 Прочностной расчет
В рулевом управлении рассчитывают на прочность:
• детали рулевого механизма;
• детали рулевого привода.
При расчете на прочность определяют нагрузки,
действующие на детали рулевого управления, и напряжения, возникающие в деталях.
Нагрузки в деталях рулевого механизма и рулевого
привода можно рассчитывать, задавая максимальное усилие на рулевом колесе или
определяя это усилие по максимальному сопротивлению повороту управляемых колес
автомобиля на месте. Эти нагрузки являются статическими. Однако при движении
автомобиля по неровной дороге или при торможении на дороге с разными
коэффициентами сцепления управляемых колес детали рулевого управления могут
испытывать динамические нагрузки. Поэтому динамические нагрузки необходимо
учитывать с помощью коэффициента динамичности кд = 1,5...3,0, который
выбирается в зависимости от типа и назначения автомобиля, а также условий его
эксплуатации.
2.8.1 Рулевой вал
Обычно рулевой вал выполняют полым (трубчатым).
Вал работает на кручение, нагружаясь моментом

,
где 
- расчетное усилие на рулевом
колесе, 

-радиус рулевого колеса.
Напряжения кручения трубчатого вала
где dH и dв - соответственно
наружный и внутренний диаметры вала.
Подставив все числовые значения
получаем:

,
Рулевой вал выполняют из стали марок
20, 35, 45.
Допускаемые напряжения кручения
рулевого вала [τкр] = 100
МПа.
2.8.2 Рулевая передача
В червячно-роликовой передаче
глобоидный червяк и ролик рассчитывают на сжатие, при котором определят, ют
контактные напряжения в зацеплении:
где Q - осевая сила, действующая на
червяк;- площадь контакта одного гребня ролика, равная сумме площадей двух
сегментов (рис. 2.20);- число гребней ролика.
Осевая сила
где г0 - начальный радиус червяка в
наименьшем сечении;
βч - угол подъема винтовой
линии червяка.
Площадь контакта одного гребня ролика
с червяком
где rр и rч - радиусы зацепления
соответственно ролика и червяка;
φр и φч - углы
зацепления соответственно ролика и червяка.
Допускаемые напряжения сжатия [σсж] = 2
500... 3 500 МПа.
Червяк и ролик изготавливают из
стали марок 35Х. 40Х, I5XH, 30ХН. 12ХНЗА и 30ХНЗА.
Рис. 2.18 - Схема для определения
площади контакта червяка и ролика: 1 - ролик, 2 - червяк
После подстановки всех числовых
значений получаем:

.
2.8.3 Рулевой привод
В рулевом приводе рассчитывают вал рулевой сошки
на кручение.
При отсутствии усилителя
где dc - диаметр вала рулевой сошки.
Допускаемые напряжения кручения [τкр]
= 300...350 МПа.
Вал рулевой сошки изготавливают из стали 30,
18ХГТ, 20ХНЗА.
Рис. 2.19
ЗАКЛЮЧЕНИЕ
В курсовом проекте представлен
тягово-динамический расчет, на основе которого построены графики, дан анализ
конструкции раздаточной коробки автомобиля КамАЗ-5320 и их агрегатов,
рассмотрены тенденции и их развития.
В графической части курсового проекта
представлены графики тяговой динамичности автомобиля, обзор существующих
конструкций рулевых управлений, и сборочный чертеж рулевого редуктора
автомобиля КамАЗ-5320.
СПИСОК ИСПОЛЬЗОВАННЫХ ИСТОЧНИКОВ
1. Автомобиль
КамАз-5320 Изд-во “Транспорт” 2007 г., 368 с.
2. Атлас
конструкций автомобиля УАЗ-469.
. Бухарин
Н.А., Вахламов В.К., «Конструкция и расчет автомобилей».
. Осепчугов
В.В., Фрумкин А.К. Автомобиль. Анализ конструкций. Элементы расчёта. - М.:
Машиностроение, 1989. - 304 с.
. Осепчугов
В.В. Автобусы. - М.: Машиностроение, 1971. - 304 с.
. Павлюк
А.С., Величко А.В. Методические указания к выполнению контрольных заданий по
курсу “Автомобили”. Раздел №3. Рабочие процессы и основы расчета. АГТУ, Барнаул
2001г. - 34 с.
. Павлюк
А.С., Панин А.В. Методические указания по оформлению курсовых и дипломных
проектов, /АГТУ.- Барнаул 2004. -39 с.
. Раздаточные
коробки. Справочник. - М.: Машиностроение, 1985 г.