Основные понятия страхования. Организация финансов, анализ показателей эффективной работы страховых компаний, основные понятия и направления их деятельности
КУРСОВАЯ РАБОТА
Основные понятия страхования. Организация финансов, анализ
показателей эффективной работы страховых компаний, основные понятия и
направления их деятельности
Введение
Объектом исследования в данной
курсовой работе выступают страховые компании, т.к. страхование принадлежит к
числу наиболее старых и устойчивых форм хозяйственной жизни, уходящих своими
корнями в далекую историю. По своей сути страхование представляет собой
создание целевых фондов денежных средств, предназначенных для защиты
имущественных интересов граждан и юридических лиц от неожиданно наступивших,
случайных по своей природе несчастий, сопровождающихся ущербами. Возмещение
ущербов при страховании осуществляется за счет резервов, созданных из страховых
взносов страхователей [8].
История страхования в России - это
предмет изучения и анализа возможностей использования прежней российской и
существующей мировой практики в специфических современных условиях.
По одним данным, страхование в
России появилось в 18-м веке, по другим - зачатки страховых отношений можно
обнаружить на более ранних этапах исторического развития. Одно из первых
определения страхования в России относится к 80-м годам 18-го столетия. Говоря
современным языком, страхование - это заключение письменного соглашения, по
которому для защиты от несчастного случая, уничтожения владелец корабля, судна,
товара и т.д. производит некоторую плату обществу, созданному для охраны от
таких случаев. Общество, с другой стороны, обязано оплатить полную стоимость указанного
корабля, судна, груза и др., если произошёл названный случай.
Первоначально страхование в России
осуществлялось с участием иностранного капитала. Первые национальные страховые
компания (акционерные общества) появились в начале 19-го века, страховым риском
являлся пожар. Важную роль в организации акционерных страховых обществ сыграла
фондовая биржа. По мере развития, страхование разделилось на обязательное и
добровольное, появилось страхование жизни, от несчастного случая, от краж и
т.д. Наконец, в начале 20-го века для взаимной поддержки страховых обществ в
случае возмещения ущерба от пожара был создан Всероссийский союз обществ
взаимного страхования, принят Устав Российского Союза Обществ взаимного
страхования (ОВС) от пожара. Вторым после страхования от пожара стало
страхование транспорта, судов (КАСКО) и грузов (КАРГО).
После Октябрьской революции
государство взяло под надзор все виды страхования в России. После Гражданской
войны сначала появилось государственное добровольное страхование имущества, а
затем государственное обязательное. Во время Великой Отечественной войны стали
страховать на случай смерти, инвалидности, от несчастных случаев, ввели
смешанное страхование.
В Советском Союзе государство
уделяло страхованию большое внимание. Например, в конце 70-х было введено
обязательное страхование имущества колхозов практически по всем видам рисков, а
затем такое страхование распространилось и на имущество совхозов. В Советском
Союзе существовали следующие виды страхования:
Имущественное,
Личное,
Добровольное (имущественное и личное
- как-то на дожитие до указанного возраста, на случай болезни, инвалидности и
т.д.),
Обязательное (например, обязательно
должно было быть застраховано государственное имущество, которым граждане
пользовались в индивидуальном порядке) [26].
С приходом новых экономических
отношений опять начался и новый этап развития страхования в России. Появились и
разрабатываются всё новые виды страхования, например, такие, как страхование
ответственности в различных сферах деятельности, ипотечное, финансовых рисков и
т.д. Можно сказать, что становление современного страхования в России началось
с принятием закона Российской Федерации «О страховании» от 27 ноября 1992 г.
№4015-1. В настоящее время страховое законодательство совершенствуется в
интересах страхователей, страховщиков, самого государства в соответствии с
требованиями времени [14].
Страховые компании в своей
деятельности опираются на ряд нормативно-правовых документов: Приказ Минфина РФ
от 11 июня 2002 г. №51н «Об утверждении Правил формирования страховых резервов
по страхованию иному, чем страхование жизни», Закон об организации страхового
дела в Российской Федерации (в ред. Федеральных законов от 31.12.1997 №157-ФЗ,
от 20.11.1999 №204-ФЗ).
При написании курсовой работы, я
преследовала ряд основных задач, таких как: изучение основных понятий,
используемых в страховании, методов регулирования страховой деятельности (в
соответствии с законодательством), а так же изучение показателей, влияющих на
рентабельность страховых компаний.
Данная тема курсовой работы является
современной и актуальной, т.к. рынок сегодня предлагает нам огромное количество
страховых компаний, предлагающих различные виды услуг для того, чтобы
максимально обезопасить себя от различного рода рисков в окружающем мире, таких
как: риски, связанные с бизнесом, недвижимостью, здоровьем и т.д.
. Основные
понятия
1.1 Понятие «страховая
компания» и его сущность, классификация, формы организации страхового фонда,
принципы и функции страхования
Современный рынок предлагает нам
огромное количество разнообразных услуг, в числе которых присутствуют услуги
страховых компаний. В данной курсовой работе будет рассмотрен ряд вопросов,
таких как: что представляют собой страховые компании, история их появления,
минусы и плюсы пользования данных услуг, организация финансов страховых
компаний, а так же организация и перспективы развития страхового рынка в
России.
Страховая компания - это исторически
определённая общественная форма функционирования страхового фонда, представляет
собой обособленную структуру, осуществляющую заключение договоров страхования и
их обслуживание.
Страховые компании в России
классифицируются по разным признакам:
по наличию развитой филиальной сети
(федеральные страховые компании) или ее отсутствие и работа на региональном
рынке (региональные);
по специализации на каком-то
отдельном виде страхования (специализированные) или наличие
диверсифицированного портфеля (универсальные);
организационно-правовая форма (ООО,
ЗАО, ОАО);
по происхождению основных владельцев
компании - отечественные или иностранные;
по предложению услуг широкому кругу
клиентов (рыночные) или узкой группе страхователей, входящих в одну
промышленно-финансовую группу (кэптивные) [6].
По данным Федеральной службы по
финансовым рынкам (далее - ФСФР) 2011 года, крупнейшими страховыми компаниями в
России являются: Росгосстрах, СОГАЗ, Ингосстрах, РЕСО-Гарантия, ВСК,
АльфаСтрахование, Согласие, Альянс, Страховая группа МСК, Ренессанс Страхование
[22].
Экономическая сущность страхования
состоит в предоставлении страховой защиты. Страховую защиту можно объяснить как
двустороннюю реакцию человечества на возможные опасности природного,
техногенного, экономического, социального, экологического и другого
происхождения. С одной стороны, страховая защита вызывается объективной
потребностью физических и юридических лиц в сохранении своих имущественных
интересов, связанных с различными сторонами жизнедеятельности. С другой
стороны, эта потребность сопровождается соответствующей способностью людей в
обеспечении названных интересов.
Если потребность в защите
порождается страхом, а способность к защите осознанием в силу этого страха
необходимости создания соответствующих натуральных или денежных фондов, при
помощи которых можно обеспечить сохранность имущественных, личностных и прочих
интересов людей, то можно сказать, что в действие вступила система страховой
защиты.
Таким образом, страховую защиту
можно определить как осознанную потребность физических и юридических лиц в
создании специальных страховых фондов для восстановления имущества, здоровья,
трудоспособности и личных доходов как самих участников создания этих фондов,
так и третьих лиц [18].
Существуют разные подходы к
классификации страховой деятельности. В большинстве стран мира выделяют две
разновидности страхования: страхование жизни и виды страхования, не связанные
со страхованием жизни. Данная классификация применяется при разработке
нормативно-правовых документов, анализе страхового рынка и решении других
вопросов[10].
Главой 48 Гражданского кодекса РФ
предусмотрены две разновидности (два типа договоров) страхования: имущественное
и личное [2].
В практике работы страховых
организаций, анализе страхования, учебных и методических материалах также
принято выделять три отрасли страхования: имущественное, личное и ответственности.
В основе деления страхования на отрасли лежат отличия в объектах страхования.
В личном страховании объектом
страхования являются имущественные интересы, связанные с жизнью, здоровьем,
трудоспособностью и пенсионным обеспечением страхователя или застрахованного
лица. К личному страхованию относятся:
. Страхование жизни.
. Страхование от несчастных
случаев и болезней.
. Медицинское страхование.
В имущественном страховании объектом
страхования являются имущественные интересы, связанные с владением,
пользованием и распоряжением имуществом. Имущественное страхование включает:
. Страхование имущества
предприятий и организаций;
. Страхование имущества
граждан;
. Транспортное страхование
(средств транспорта и грузов);
. Страхование других видов
имущества, кроме перечисленных выше;
. Страхование финансовых
рисков.
В страховании ответственности
объектом страхования являются имущественные интересы, связанные с возмещением
страхователем причиненного им вреда третьему лицу. Страхование ответственности
включает:
. Страхование гражданской
ответственности владельцев транспортных средств;
. Страхование гражданской
ответственности перевозчика;
. Страхование гражданской
ответственности предприятий - источников повышенной опасности;
. Страхование
профессиональной ответственности [9];
. Страхование ответственности
за неисполнение обязательств;
. Страхование иных видов
гражданской ответственности.
В основе деления страхования на
отрасли лежат принципиальные различия в объектах страхования. Деление
страхования на отрасли не позволяет выявить те конкретные страховые интересы
физических и юридических лиц, которые дают возможность проводить страхование.
Для конкретизации этих интересов выделяют из отраслей страхования подотрасли и
виды страхования.
Видом страхования называют
страхование конкретных однородных объектов в определенном объеме страховой
ответственности по соответствующим тарифным ставкам. Страховые отношения между
страховщиком и страхователем осуществляются по видам страхования. Приведем лишь
примеры некоторых, наиболее распространенных видов страхования.
Общественная практика в течение
длительного периода времени выработала три основные формы организации
страхового фонда:
Ø Централизованные
страховые (резервные) фонды, создаваемые за счёт бюджетных и других государственных
средств. Формирование данных фондов осуществляется как в натуральной, так и в
денежной форме. Государственные страховые (резервные) фонды находятся в
распоряжении правительства;
Ø Самострахование
как система создания и использования страховых фондов хозяйствующими субъектами
и людьми. Эти децентрализованные страховые фонды создаются в натуральной и
денежной форме. Эти фонды предназначены для преодоления временных затруднений в
деятельности конкретного товаропроизводителя или человека. Основным источником
формирования децентрализованных страховых фондов служат доходы предприятия или
отдельного человека;
Ø Собственно
страхование как система создания и использования фондов страховых организаций
за счёт страховых взносов заинтересованных в страховании сторон. Использование
средств этих фондов осуществляется для возмещения возникшего ущерба в
соответствии с условиями и правилами страхования.
В настоящее время существенно
изменяется соотношение между централизованными, децентрализованными фондами и
фондами специализированных страховых организаций. Сдвиг происходит в сторону
усиления роли страхования.
Таким образом, экономическая
сущность страхования состоит в создании денежных фондов за счёт взносов
заинтересованных в страховании сторон и предназначенных для возмещения ущерба у
лиц, участвующих в формировании этих фондов. Поскольку возможный ущерб (или
страховой риск) носит вероятностный характер, то происходит перераспределение
страхового фонда, как в пространстве, так и во времени. Можно сказать, что возмещение
ущерба у пострадавших лиц происходит за счёт взносов всех, кто участвовал в
формировании этих страховых фондов.
Выделяют следующие функции
страхования, выражающие общественное назначение этой категории:
· Рисковая функция,
которая состоит в обеспечении страховой защитой от различного рода рисков -
случайных событий, ведущих к потерям. В рамках действия этой функции происходит
перераспределение денежных ресурсов между всеми участниками страхования в
соответствии с действующим страховым договором, по окончании которого страховые
взносы (денежные средства) страхователю не возвращаются. Данная функция
отражает основное назначение страхования - защиту от рисков;
· Инвестиционная
функция, которая состоит в том, что за счёт временно свободных средств страховых
фондов (страховых резервов) происходит финансирование экономики. Вследствие
того, что страховые компании накапливают у себя большие суммы денежных средств,
которые предназначены на возмещение ущерба, но до тех пор, пока не наступил
страховой случай, они могут быть временно инвестированы в различные ценные
бумаги, недвижимость и по другим направлениям. Объём инвестиций страховых
компаний в мире составляет более 24 трлн долларов США. Во второй половине ХХ
века в странах с развитым страхованием, доход, получаемый страховыми компаниями
от инвестиций, стал преобладать над доходом, получаемым от страховой
деятельности [11];
· Предупредительная
функция страхования состоит в том, что за счёт части средств страхового фонда
финансируются мероприятия по уменьшению страхового риска. Например, за счёт
части средств, собранных при страховании от огня, финансируются противопожарные
мероприятия, а также мероприятия, направленные на уменьшение возможного ущерба
от пожара;
· Сберегательная
функция. В страховании жизни категория страхования в наибольшей мере сближается
с категорией кредита, так как происходит накопление по договорам страхования
определённых страховых сумм. Сбережение денежных сумм, например, с помощью
страхования на дожитие, связано с потребностью в страховой защите достигнутого
семейного достатка. Тем самым страхование может иметь и сберегательную функцию;
· Контрольная функция
страхования заключена в строго целевом формировании и использовании средств
страхового фонда. Данная функция вытекает из указанных выше и проявляется
одновременно с ними в конкретных страховых отношениях, в условиях страхования.
В соответствии с контрольной функцией на основании законодательных и
инструктивных документов осуществляется финансовый страховой контроль за
правильным проведением страховых операций.
Современное государство широко
использует категорию страхования в форме социального страхования и пенсионного
обеспечения для общественной страховой защиты граждан на случай болезни, потери
трудоспособности (в том числе по возрасту), потери кормильца, наступления
смерти. Однако вопросы организации и деятельности государственных фондов
социального страхования, пенсионных фондов регламентируются специальным
законодательством, отличным от законодательства, регулирующего деятельность специализированных
страховых организаций, то есть собственно страхования, и в данной статье не
рассматривается.
Страховая деятельность основана на
принципах эквивалентности и случайности.
Принцип эквивалентности выражает
требование равновесия между доходами страховой организации и её расходами. Риск
угрожает многим лицам, но лишь немногие из них действительно затрагиваются
страховыми случаями. Выплаты по страховым случаям покрываются за счёт взносов
многих страхователей, избежавших данного риска.
Доходы от страховой деятельности
складываются из страховых взносов, уплачиваемых страхователями. Расходы
представлены страховыми выплатами и затратами на содержание страхового
предприятия. При превышении доходов над расходами страховая организация (далее
- СО) имеет прибыль от страховой деятельности. Если возникают убытки, то это
приводит к невозможности выполнения обязательств перед страхователями.
Принцип случайности состоит в том,
что страховаться могут только события, обладающие признаками вероятности и
случайности их наступления.
1.2
Регулирование и надзор страховой деятельности в России
Основным органом государственной
власти, осуществляющим регулирование и надзор за страховой деятельностью,
длительное время являлась Федеральная служба страхового надзора (ФССН)
Министерства финансов РФ. В марте 2011 года президент Российской Федерации
Дмитрий Медведев подписал указ об упразднении ФССН и присоединении ее к Федеральной
службе по финансовым рынкам [25].
Основными функциями ФСФР в части
страхового надзора являются:
§ выдача (а также
отзыв и приостановление) лицензий на осуществление страховой деятельности;
§ ведение единого
Государственного реестра субъектов страхового дела (в которые включены
страховые и перестраховочные компании, общества взаимного страхования,
страховые брокеры и актуарии) и их объединений;
§ установление по
согласованию с Министерством финансов РФ и Федеральной службой государственной
статистики плана счетов и правил бухгалтерского учета, показателей и форм учета
страховых операций и отчетности;
§ установление сроков
публикации годовых балансов и счетов прибылей (убытков) страховщиков;
§ контроль за
обоснованностью страховых тарифов и обеспечением платежеспособности
страховщиков;
§ установление правил
формирования и размещения страховых резервов;
§ разработка
нормативных и методических документов по вопросам страховой деятельности в
рамках компетенции;
§ обобщение страховой
практики, представление предложений по совершенствованию законодательства РФ о
страховании.
Комментируя указ, президент отметил,
что обновленная служба получит «определенные возможности», «включая функции по
нормативно-правовому регулированию, контролю и надзору в сфере финансового
рынка, за исключением банковской и аудиторской деятельности». Осенью 2012 года
начал широко обсуждаться проект создания так называемого финансового
мегарегулятора - органа власти, в ведение которого решено было передать
регулирование и надзор над банками, страхованием и финансовыми рынками.
Регламентированные права ФССН
состояли в следующем:
получение необходимой для выполнения
функций информации от страховщиков, предприятий, учреждений, граждан;
проведение проверок соблюдения
страховщиками законодательства Российской Федерации;
ограничение действия лицензий
страховщиков, нарушающих Законодательство РФ;
обращение в арбитражный суд с иском
о ликвидации страховщиков.
1.3 Принципы организации
страхового дела в Российской Федерации
Главной принципиальной чертой
организации страхового дела в современный период (в отличие от советского
периода) является его демонополизация и развитие конкуренции страховых
организаций. В процессе перехода к рыночным отношениям государственное
страхование (в смысле существования страховых организаций, находящихся в
собственности государства) практически исчезло со страхового рынка. Подавляющее
число страховых компаний, действующих в России, является частными.
Конкуренция действует не только в
сфере добровольного страхования, но и в сфере обязательного страхования
(например, между страховщиками, осуществляющими ОСАГО между страховыми
медицинскими организациями, осуществляющими обязательное медицинское
страхование) [3]. Конкуренция побуждает страховые организации разрабатывать и
внедрять новые виды страхования, постоянно их совершенствовать, расширять
ассортимент и охватывать дополнительные сегменты рынка страховых услуг. При
проведении одинаковых видов страхования конкуренция между страховыми
организациями выражается в создании удобных форм заключения договора и уплаты
страховых взносов, снижении тарифных ставок, оперативности выплаты страхового
возмещения и страхового покрытия. Кроме того, это стимулирует совершенствование
самих моделей страхования - в последние годы начала развиваться модель прямого
страхования, суть которой состоит в отказе от посредников [13].
Конкуренция во всех сферах - главное
условие перехода к рыночной экономике. Вместе с тем страхование - особый вид
деятельности, призванный обеспечить страховую защиту физических и юридических
лиц. Поэтому важно так организовать страхование, чтобы страховые компании не
разорялись, не прекращали своей деятельности. Это достигается особыми методами
государственного регулирования страховой деятельности, а также четкой разработкой
юридических и экономических основ страхования. Отсюда второй принцип -
необходимость государственного регулирования страховой деятельности,
основанного на прочном юридическом и экономическом фундаменте.
Соперничество в страховании,
присущее конкуренции, нельзя рассматривать как абсолютную категорию. Во многих
случаях, особенно при принятии крупных рисков на страхование, необходимо
сотрудничество страховщиков. Это сотрудничество осуществляется в форме
сострахования и перестрахования. Важным принципом организации страхования как
части международных экономических отношений является международное
сотрудничество в области страхования, что вызвано объективной необходимостью в
условиях углубления и расширения мирохозяйственных связей. Таким образом,
сотрудничество страховых организаций как внутри страны, так и за рубежом
является также важным принципом организации страхового дела.
1.3
Меры государственного регулирования страховой деятельности
Как говорилось ранее,
государственное регулирование является необходимым элементом и принципом
организации страхового дела в любой стране. Целью государственного
регулирования является обеспечение формирования и развития эффективно
функционирующего рынка страховых услуг, создания необходимых условий для
деятельности страховщиков различных организационно-правовых форм, защита
интересов страхователей.
В систему мер государственного
регулирования входят следующие:
. Лицензирование -
регистрация страховых организаций и выдача им лицензий на проведение
определенных видов страхования (Приложение 1). Лицензия на проведение страховой
деятельности выдается в соответствии с Условиями лицензирования страховой
деятельности на территории Российской Федерации. Эти условия определяют:
форму лицензии и ее реквизиты;
требования к владельцу лицензии
(факт регистрации в качестве юридического лица, факт оплаты уставного капитала
и требования к его размеру в зависимости от вида страхования);
перечень документов, прикладываемых
к заявлению на получение лицензии (учредительные документы, документы,
подтверждающие оплату уставного капитала, бизнес-план на первый год
деятельности, расчет соотношения активов и обязательств по соответствующей
форме, положение о порядке формирования и использования страховых резервов, при
необходимости план по перестрахованию, баланс с приложением отчета о финансовых
результатах на последнюю отчетную дату, план размещения страховых резервов,
правила по видам страхования, расчет страховых тарифов по соответствующей
форме, сведения о руководителе и его заместителях);
порядок рассмотрения документов и
выдачи лицензии;
порядок публикации сведений о
страховщиках, получивших лицензии.
За выдачу лицензии взимается плата в
установленном порядке, которая поступает в бюджет. При выявлении нарушений в
деятельности страховых организаций государственный орган по надзору за
страховой деятельностью вправе приостановить или ограничить действие лицензии
либо принять решение о ее отзыве. Отказ в выдаче лицензии, ее отзыв,
приостановка и ограничения действия могут быть обжалованы в суде.
. Основными факторами
финансовой устойчивости страховой компании являются [16]:
ü достаточный
собственный капитал;
ü размер обязательств
(включая технические резервы);
ü размещение активов;
ü портфель рисков,
переданных в перестрахование;
ü тарифная политика.
. Разработка форм и порядка
статистической отчетности и контроль за своевременным представлением финансовой
отчетности страховых организаций.
. Налогообложение
страховщиков и страхователей.
. Другие меры
государственного регулирования страховой деятельности, включая ответственность
за уклонение страховщика от возмещения убытков при наступлении страхового
случая.
2.
Практическая часть
В практической
части курсовой работы хотелось бы рассмотреть показатели, которые влияют на
эффективность работы страховой компании на практике, рассчитать агрегатные
общие индексы страховых сумм, проиндексировать рентабельность и доходность
страховой компании.
. Рассчитать
показатели эффективности работы страховой компании при следующих исходных
данных:
страховой
фонд ставка
|
Показатели
|
Вид страхования
|
|
1
|
2
|
3
|
|
Число договоров N
|
1200
|
700
|
400
|
|
Число страховых случаев п
|
180
|
49
|
36
|
|
Средняя страховая сумма , тыс. руб.6,5912
|
|
|
|
|
Средняя страховая выплата , тыс. руб.Рассчитать710
|
|
|
|
|
Гарантия безопасности страхования 0,90,980,95
|
|
|
|
|
Доля нагрузки 0,250,20,3
|
|
|
|
В том числе: Текущих расходов
,13
|
0,1 0,16
|
|
|
|
|
Запасных фондов 0,060,040,08
|
|
|
|
Дополнительно дано
распределение страховых выплат по первому виду страхования:
, тыс. руб. …… <2
2-2,5 2,5-3 3-3,5 3,5-4 4-4,5 4,5-5 >5………
…………….. 0,023 0,027
0,065 0,067 0,105 0,167 0,244 0,302
Решение 1.
Предварительное определение средней страховой выплаты и дисперсии по первому
виду страхования приведено в таблице:
|
, тыс. руб.    
|
|
|
|
|
|
|
|
1
|
0,023
|
1,75
|
0,04025
|
-2,6
|
6,76
|
0,155
|
|
2-2,5
|
0,027
|
2,25
|
0,06075
|
-2,1
|
4,41
|
0,119
|
|
2,5-3
|
0,067
|
2,75
|
0,17875
|
-1,6
|
2,56
|
0,172
|
|
3-3,5
|
0,065
|
3,25
|
0,21775
|
-1,1
|
1,21
|
0,079
|
|
3,5-4
|
0,105
|
3,75
|
0,39375
|
-0,6
|
0,36
|
0,038
|
|
4-4,5
|
0,167
|
4,25
|
0,70975
|
-0,1
|
0,01
|
0,0017
|
|
4,5-5
|
0,244
|
4,75
|
1,1590
|
0,4
|
0,16
|
0,039
|
|
> 5
|
0,302
|
5,25
|
1,5855
|
0,9
|
0,81
|
0,245
|
|
Итого
|
1
|
-
|
4,35
|
-
|
-
|
0,849
|
1. Убыточность страховых сумм
(нетто-ставка):
;
;
. Коэффициент вариации
страховых выплат по всем видам страхования по формуле (2.28) для второго и
третьего видов


;
;
. Основная часть
страхового тарифа (формула (2.30))
;
;
. Страховой тариф
(брутто-ставка) (формула (2.31))
;
;
. Годовой доход
страховщика (формула (2.32))
тыс. руб.
. Средняя страховая
тарифная ставка (формула (2.37))
или 11,56%
. Коэффициент финансовой
устойчивости страховой компании (формулы (2.43) и (2.44))
. Ставки текущих
расходов поставщика (формула (2.35))
;
10. Текущие расходы
страховщика (формула (2.34))
Рс
= 0,016 • 1200 • 6,5 + 0,007 • 700 • 9 + 0,016 • 400 • 12 = 245,7
тыс. руб.
. Средняя ставка
текущих расходов (формула (2.37))
Тр
= 245,7: (1200 • 6,5 + 700 • 9 + 400 • 12) = 0,013, или 1,3%.
12. Рентабельность
страховых операций (формула (2.36))
или 35%
. Ставки превентивных
расходов (формула (2.35))
;
14. Сумма
отчислений в запасные и резервные фонды (формула (2.34))
Сф
= 0,0069 • 1200 • 6,5 + 0,0025 • 700 • 9 + 0,0073 • 400 • 12 =
104,61 тыс. руб.
. Средняя ставка
превентивных расходов (формула (2.37))
или 0,553%
. Доходность страховых
операций (формула (2.39))
2.
Рассчитать агрегатные общие индексы страховых сумм, среднего страхового тарифа
и доходов страховщика по сравнению с первым видом страхования.
1. Индекс страховых сумм
(формула (2.46))
. Индекс страхового
тарифа (формула (2.47))
. Индекс доходов
страховщика (формула (2.45))
3. Проиндексировать изменение средней рентабельности по сравнению с
первым видом страхования.
1. Доля текущих
расходов в страховом тарифе (формула (2.36))
в среднем тарифе
в тарифе первого вида
страхования
2. Коэффициент
текущих расходов:
·
по среднему страховому тарифу КТ = 1 - 0,1 =
0,9;
·
по первому страховому тарифу КТ1 = 1 - 0,1103 = 0,8897.
3. Коэффициент
нагрузки:
·
по среднему страховому тарифу Кн= 1 - 0,25 =
0,75;
·
по первому страховому тарифу Кн1 = 1 - 0,25 = 0,75.
4. Коэффициент
риска:
·
по среднему страховому тарифу Кр = 1 + 0,39 = 1,39;
·
по первому страховому тарифу Кр1=1 + 0,091 = 1,091.
5. Индекс
рентабельности (формула (2.48))
.
Проиндексировать изменение средней доходности по сравнению с первым видом
страхования.
1. Доля
превентивных расходов в страховом тарифе:
в среднем
по первому виду
страхования
2. Индекс доли
текущих расходов в страховом тарифе (формула (2.49))
. Индекс доходности
(формула (2.49))
. Порядок расчета
ставок
.1
Порядок расчета нетто-ставки
В практической части данной курсовой
работы, хотелось бы рассмотреть абсолютные и относительные показатели, от
которых зависят размеры выплат страховой компанией суммы в результате
наступления страхового случая, а так же оценить вероятность наступления таких
случаев на примере соответствующих формул по каждому из случаев.
Если условия страхования имущества
содержат несколько видов страховой ответственности (например, от пожара,
хищения, поломки и т.п.), то совокупная нетто-ставка может отражать каждый вид
страховой ответственности, которую взял на себя страховщик, в виде нескольких
нетто-ставок. Целый ряд рисков имеет различное происхождение. Например, риск
«пожар» может произойти от удара молнии, замыкания электросети, поджога и
взрыва. В этом случае нетто-ставка рассчитывается по каждой из причин пожара и
суммируется в единую нетто-ставку по риску «пожар».
Кроме того, на размер нетто-ставок
влияют и другие факторы имущественного страхования. Например, уникальность
имущества (японские кинокамеры, египетские вазы, предметы антиквариата, картины
и другие объекты, требующие особого подхода к их оценке), финансовое состояние
заемщика кредита или предпринимателя, страхующегося от потери прибыли,
вероятность и тяжесть ущерба (страхование банкиров, предпринимателей от
несчастного случая на крупные страховые суммы).
Методика расчета нетто-ставки как
составляющей части тарифа по каждому виду или однородным объектам страхования
сводится к определению среднего показателя убыточности страховой суммы за
тарифный период с поправкой на величину рисковой надбавки [19].
Нетто-ставка равна: убыточность
страховой суммы плюс рисковая надбавка.
Убыточность определяется как
соотношение суммы всех выплат по заключенным договорам страхования к общей
страховой сумме. Этот показатель носит интегральный характер и позволяет
учитывать все многообразие факторов, которые влияют на наступление страховых
событий и страховых выплат:
= W/S, (1), где
- убыточность страховой суммы;-
страховая сумма;- сумма выплат.
Убыточность можно также представить
как произведение вероятности наступления страхового случая на отношение средней
страховой выплаты к средней страховой сумме по договорам страхования. При этом
вероятность наступления страхового случая определяется на основе статистических
данных и характеризует закономерности конкретного вида страхования.
= Wсв / Sсс,
(2), где
- убыточность страховой суммы;св
- совокупная сумма страховых выплат;сс - совокупная страховая сумма.
Убыточность страховой суммы как
соотношение денежных показателей является величиной синтетической, зависит от
действия различных факторов, влияющих на убыточность страховой суммы,
называемых элементами убыточности.
Частоту страховых событий
(вероятность наступления страхового случая иногда называют коэффициентом
горимости) определяют путем отношения числа страховых случаев к числу объектов
страхования:
c/c = M / N, (3), где
c/c - частота страховых событий;- число страховых случаев;- число
объектов страхования.
Вероятность страхового случая -
количественная оценка возможности наступления и периодичности страховых случаев
для отдельных объектов страхования, по которым выплачивается страховое
возмещение. Служит основой для установления страховых тарифов, вычисляется с
применением теории вероятности и закона больших чисел.
Опустошительность одного страхового
случая есть отношение числа пострадавших объектов к числу произошедших
страховых случаев:
Оопуст = Nп /
M, (4), где
Оопуст -
опустошительность одного страхового случая;п - число пострадавших
объектов;- число произошедших страховых случаев.
Тяжесть ущерба есть отношение
выплачиваемого ущерба к числу страховых случаев:
Ту = SCв / M,
(5), где
Ту - тяжесть ущерба;в
- выплачиваемый ущерб;- число страховых случаев.
Нетто-ставки в имущественном и
личном страховании имеют следующие особенности: нетто-ставка имущественного
страхования состоит из рисковой части и стабилизационной надбавки (Δ-надбавки). При личном
страховании нетто-ставка включает рисковую часть для рисковых видов личного
страхования, например несчастный случай, смерть и смерть от несчастного случая,
страхование на случай смерти, и накопительную часть по риску накопительным и
смешанным видам личного страхования.
Величина частных нетто-ставок
исчисляется в прямой зависимости от вероятности риска. Однако поскольку
страховой взнос есть усредненный размер данных страховых платежей, возможны существенные
отклонения от средних значений.
Убыточность страховой суммы не может
быть одинакова на протяжении ряда лет. Поэтому для правильного определения
нетто-ставки необходимо определить меру устойчивости данного показателя путем
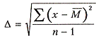
использования среднеквадратичного отклонения за ряд лет.
Полученное отклонение называют
рисковой надбавкой. Ее цель - создать устойчивость ежегодных результатов в
рамках страхования каждого вида имущества. Рисковая надбавка повышает
устойчивость результатов страхования путем увеличения размера страховых
тарифов:
(6)
где Δ
- среднеквадратическое отклонение (рисковая надбавка);- убыточность
страховой суммы какого-либо года;
М - средняя арифметическая величина
убыточности страховой суммы за ряд лет;- число лет наблюдения.
Нетто-ставка рассчитывается по
формуле:
Нетто-ставка = М + Δ, (7)
где Δ
- среднеквадратическое отклонение (рисковая надбавка);
М - средняя арифметическая величина
убыточности страховой суммы за ряд лет.
Использование для рисковой надбавки
величины среднеквадратического отклонения связано с установленной теорией
статистики закономерности, согласно которой при М + Δ вероятность того, что в
будущем фактические показатели убыточности окажутся меньше размера
нетто-ставки, составляет 68%. При М + 2 Δ та же величина равна 95%.
Для получения лицензии на
возможность осуществления нового вида страхования страховая компания среди
прочих документов должна предоставить экономическое обоснование размера
тарифных ставок.
Страховая компания при подготовке
нового вида страхования не имеет своих данных относительно вероятности и
ожидаемой величины ущерба. Это заставляет страховщиков использовать внешние
источники информации. Например, при подготовке страхования автомобилей
необходимые сведения о частоте дорожных происшествий можно получить в
управлении Государственной инспекции безопасности дорожного движения; для
огневого страхования требуемые показатели могут быть рассчитаны на основе
информации управлений государственной пожарной службы и т.д. [5]. Однако, как
правило, полученных из таких источников данных недостаточно для оценки
параметров величины выплат и страховых сумм. В методике расчета тарифных ставок
по рисковым видам страхования (распоряжение Росстрахнадзора №02-03-36 от 8 июля
1993 г.) приводятся рекомендации относительно выбора величины соотношений
средней выплаты к средней страховой сумме:
· 0,3 -
при страховании от несчастных случаев и болезней в медицинском страховании;
· 0,4 -
при страховании средств наземного транспорта;
· 0,5 - при
страховании грузов и имущества, кроме средств транспорта;
· 0,6 -
при страховании средств воздушного транспорта;
· 0,7 -
при страховании ответственности владельцев автотранспортных средств и других
видов ответственности и страховании финансовых рисков [7].
Пользуясь предложенными
рекомендациями по выбору соотношений, страховщик, рассчитывая тариф по
конкретному виду страхования, подбирает величину средней страховой суммы S по
рассматриваемому объекту и соответственно среднюю величину выплат Sв.
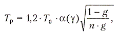
Основная часть нетто-ставки То
соответствует средним выплатам страховщика, зависящим от вероятности
наступления страхового случая g, и рассчитывается по формуле:
, (8)
где То - основная часть
нетто-ставки;в - средняя величина выплат;- страховая сумма;-
вероятность наступления страхового случая.
Расчет рисковой надбавки ведется по
формуле:
, (9)
где у - вероятность непревышения
возможных выплат над собранными взносами;
а(у) - коэффициент, зависящий от
гарантии безопасности;
а - показатель, который с
вероятностью у гарантирует превышение собранных премий над выплатами;- квантиль
нормального распределения.
Значение «а» зависит от вероятности
«у»: чем выше требуемая гарантия безопасности, тем больше будет «a». Ниже
приведена таблица значений «а» для часто используемых значений гарантии
безопасности.
Значения «а» для часто используемых
значений гарантии безопасности:
|
Заданное значение вероятности у, % 84 90 95 98 99,86 Значение
а, принятой Ф(а) = у 1,0 1,3 1,645 2,0 3,0
|
|
Заданное значение вероятности у, % 84 90 95 98 99,86 Значение
а, принятой Ф(а) = у 1,0 1,3 1,645 2,0 3,0
|
Например, если величину гарантии
безопасности «у» принять 98%, то для определенной величины страхового фонда к
ожидаемой величине убытков необходимо прибавить двойное среднеквадратическое
отклонение суммы выплат «a».
Так как страховщик не заключил ни
одного договора страхования, в этой формуле в качестве «n» будет присутствовать
прогнозируемое число договоров данного типа. При увеличении «n» значение «a»
зависит от вероятности «у»: чем выше требуемая гарантия безопасности, тем
больше будет «а», рисковая надбавка уменьшается, что ведет к снижению тарифов.
Поэтому не следует завышать планируемое число договоров, поскольку это может
привести к занижению тарифных ставок и, как следствие, к нехватке средств
страхового фонда и возможному банкротству по данному виду страхования.
3.2
Порядок расчета брутто-ставки
страховой
фонд ставка
После расчета нетто-ставки
рассчитывается размер совокупной тарифной ставки, или брутто-ставки, включающей
нетто-ставку и нагрузку. Расходы на ведение дела (РВД) и предупредительные
мероприятия (ПМ) иногда рассчитываются аналогично нетто-ставке, но, как
правило, они устанавливаются в процентах от брутто-ставки.
Экономическое содержание страхового
тарифа можно определить как единицу измерения взаимных обязательств страховщика
и страхователя (принцип эквивалентности).
Основой деления брутто-ставки на
нетто-ставку и нагрузку является тезис: нетто-ставка предназначена для
погашения обязательств страховщика перед страхователем, а нагрузка - на
финансирование деятельности страховой компании.
Нагрузка к нетто-ставке включает
следующие накладные расходы страховщика: оплата штатных и нештатных работников
страховой организации (брокеров, агентов, представителей, экспертов);
административно-хозяйственные расходы (аренда помещений, плата за
водоснабжение, отопление, телефон и т.п.); приобретение
организационно-вычислительной техники; почтово-телефонные услуги и т.д. В
нагрузку включается также определенный норматив на формирование плановой
прибыли от страховой деятельности.
На величину нагрузки влияют:
количество работающих штатных работников, состояние и принадлежность офиса;
профессиональность персонала; наличие и обеспечение оргтехникой, сфера
обслуживания; активность маркетинга в рекламной деятельности; другие факторы.
После расчета нетто-ставки
рассчитывается размер совокупной тарифной ставки, или брутто-ставки, включающей
нетто-ставку и нагрузку [15].
Для определения брутто-ставки
необходимо вычислить нетто-ставку как показатель убыточности со 100 единиц
страховой суммы.
Брутто-ставка определяется по
формуле:
БС = НС / (1 - f), (10), где
БС - брутто-ставка;
НС - нетто-ставка;- удельный вес
нагрузки в брутто-ставке.
Нагрузка по каждому виду страхования
определяется страховщиком самостоятельно и лицензируется вместе с правилами.
При реальных фактических ущербах,
превышающих собранные нетто-премии, они покрываются из запасного фонда,
образованного за счет отчислений от нетто-премии в благоприятные годы, т.е. в
годы, когда реальные выплаты были меньше расчетных.
Величина брутто-ставки, выраженная в
денежной форме к страховой сумме, является брутто-премией и платой страхователя
по заключенному договору [17].
Оплата страховой премии может
производиться единовременно с рассрочкой платежа, с учетом ее перерасчета в
случае изменения страховой суммы (в том числе при инфляционных процессах и в
других случаях). При этом в договорах страхования делаются специальные
оговорки, являющиеся дополнительными условиями к договору страхования, по
срокам и суммам платежа, величине ответственности, устанавливаются условия
действия договора в случае несвоевременной оплаты платежа либо нарушения
условий договора.
Заключение
В связи с присоединением России к
Всемирной торговой организации (ВТО) и взятых в связи с этим обязательств,
требуется комплекс мер по гармонизации российского страхового законодательства:
) определение форм и порядка участия
иностранных инвесторов в создании и управлении страховыми организациями и их
филиалами;
) формирование подходов к
осуществлению надзора и контроля за деятельностью иностранных страховщиков и их
филиалов на территории Российской Федерации и трансграничными страховыми
операциями [12].
В целях обеспечения
конкурентоспособности российского страхового рынка на международном уровне
необходимо уточнить сферу деятельности иностранных страховщиков и их филиалов
на территории Российской Федерации для осуществления отдельных видов
страхования (обязательное страхование (кроме обязательного страхования
гражданской ответственности владельцев транспортных средств), страхование
жизни, страхование для государственных и муниципальных нужд).
В рамках подготовки к вступлению в
Организацию экономического сотрудничества и развития (ОЭСР) необходимо принять
меры по гармонизации практики деятельности российских страховщиков с
международными стандартами и рекомендациями ОЭСР в качестве ориентира деятельности
[18].
В рамках сотрудничества со странами
членами Единого экономического пространства, Евразийского экономического
сообщества, Европейского экономического сообщества следует продолжить
интеграционные процессы отдельных сегментов национальных страховых рынков,
создать правовые основы в рамках сотрудничества в сфере страхования между
Российской Федерацией и иными международными организациями по аналогии с
Европейским Союзом. Необходимо поддержание постоянного диалога, направленного
на развитие сотрудничества и сближение регулирующих систем в сфере страхования,
которые будут получены в результате реализации международных проектов,
рекомендаций и директив Международной ассоциации страховых надзоров и
Европейского Союза [4].
Список использованной литературы
1. Конституция РФ;
2. Гражданский кодекс РФ. Глава 48. Страхование №14-ФЗ от
26.01.1996;
. Федеральный закон «Об обязательном страховании
гражданской ответственности владельцев транспортных средств» (ОСАГО) от
25.04.2002 №40-ФЗ;
. Утвержденная правительством РФ Стратегия развития
страховой деятельности в Российской Федерации до 2020 года
(http://www.minfin.ru/ru/regulation/bank/strahdeyat/index.php? id4=17724;
. Архипов А.П. «Страхование». - Издательство: КноРус, 2012
г., с - 240;
. Бадюков В.Ф. «Основы страхования для бакалавров: Курс
лекций». - Издательство: Феникс, 2013. - С. 24 - Классификация: ISBN:
5222196747 ISBN-13 (EAN): 9785222196748;
. Гоммеля В.Б. «Страхование: Учебник», Издательство:
Московская Финансово-Промышленная Академия, 2011 г., SBN 978-5-4257-0011-7,
стр. - 432;
. Ежова А.Ю. «Страховые резервы. Практика расчета,
размещение и учет», Издательство - 2010 г., стр. - 203;
. Ковалевская Н.С., Шварц М.З. «Страхование
профессиональной ответственности», Издательство - М.: Фонд развития правовой
культуры, 2010 г., стр. - 35;
. Лельчук А.Л. «Страхование жизни: Учебное пособие»,
Издательские сведения: - М.: Анкил, 2010. - 135 с., ISBN 978-5-86476-303-2;
. Мошенский С.З. Рынок ценных бумаг: трансформационные
процессы. - М.: Экономика, 2010. - С. 108 - ISBN 978-5-282-03043-3;
. Николенко Н.П. «Управление страховой компанией.
Организация и технологии продаж в страховой компании», Издательство - 2011 г.,
стр. - 45;
. Пинкин Ю.В. «Страхование и получение страховых выплат»,
издательство «Книжный Дом», 2012. -89 с., SBN: 978-5-17-046286-5,
978-5-271-17842-9;
. Рябикина В.И. Страхование: учебное пособие / Под ред. -
М.: Экономист, 2010 г., стр. - 87;
. Скамай Л.Г. Страховое дело: Учебник для ВУЗов и ССУЗов,
2011, Издательство - Юрайт, 65 с.,
. Сплетухов Ю.А., Дюжиков Е.Ф. Страхование: Учебное пособие
/. - 2-e изд., 2012, перераб. и доп. - (Высшее образование)., Издательство -
Гриф;
. Хачатурян К.С. «Страхование». - Издательство: МИЭМП, 2010
г., с. - 100;
. Худяков А.И. «Теория страхования». - Издательство:
Статут, 2010 г., с. - 156;
. Шахов В.В., Ахвледиани Ю.Т. «Страхование». -
Издательство: М. - Юнити - Дана, 2011 г., с. - 348;
. Журналы «Финансы», «Вопросы экономики», «Страховое дело»,
«Эксперт»;
. Российская газета, Коммерсантъ, Экономика и жизнь,
Финансовая газета;
. http://rating.rbc.ru/;
. Минфин высказался о роли Oliver Wyman в подготовке
стратегии // Агентство страховых новостей. 21.08.2012 г.
(www.asn-news.ru/news/35344#ixzz24A9KUlVZ);
. http://www.ins-union.ru/rus/news/bcc/1794;
. http://www.creativeconomy.ru/articles/9157;
. http://ria.ru/economy/20110304/342302694.html.