Організація системи управління ризиками на виробничому підприємстві

  • Вид работы:
    Дипломная (ВКР)
  • Предмет:
    Менеджмент
  • Язык:
    Украинский
    ,
    Формат файла:
    MS Word
    1,01 Мб
  • Опубликовано:
    2013-05-24
Вы можете узнать стоимость помощи в написании студенческой работы.
Помощь в написании работы, которую точно примут!

Організація системи управління ризиками на виробничому підприємстві

МІНІСТЕРСТВО ОСВІТИ І НАУКИ УКРАЇНИ

Київський національний торговельно-економічний університет

Кафедра менеджменту










ДИПЛОМНА РОБОТА

на тему:

“Організація системи управління ризиками на виробничому підприємстві”











Київ 2011

ЗМІСТ

Вступ

. Теоретико-методичні основи ризикології

.1 Сутність та концептуальні засади ризикології

.2 Характеристика процесу управління ризиками на підприємстві

.3 Методичні підходи до оцінювання ступеня ризику в діяльності підприємства

Висновки до розділу 1

. Аналіз системи управління ризиками у ВАТ НВП «Більшовик»

.1 Діагностика ризиків фінансово-господарської діяльності підприємства ВАТ НВП «Більшовик»

.2  Інтегрована оцінка ризикозахищеності підприємства ВАТ НВП «Більшовик»

Висновки до розділу 2

. Шляхи вдосконалення системи управління ризиками в діяльності ВАТ НВП «Більшовик»

.1 Розробка технології управління ризиком за допомогою створення програми цільових заходів щодо управління ризиком

.2 Обґрунтування системи мінімізації ризиків,на підприємстві ВАТ НВП «Більшовик»

.3 Розробка інформаційної системи управління ризиком

Висновки до розділу 3

Висновки та пропозиції

Список використаної літератури

оцінка система управління фінансової ризик

ВСТУП

Система ринкових відносин об’єктивно зумовлює існування ризику в усіх сферах господарської діяльності. Ринкове середовище вносить в діяльність підприємств елементи невизначеності і поширює «асортимент» ризикових ситуацій, які виникають при присутності конкретних умов та обставин. Ризикові ситуації формують умови для існування і реалізації економічного ризику, з яким в процесі своєї діяльності зіштовхуються практично усі підприємства. Відсутність повної інформації, існування протидіючих тенденцій, елементи випадковості та інші нові економічні умови господарювання обумовлюють важко-прогнозованість процесу управління, оскільки більшість управлінських рішень підприємства приймається в умовах невизначеності та економічного ризику.

Щоб вижити за цих складних умов підприємствам необхідно приймати нетрадиційні та сміливі рішення, але це теж підвищує ступінь економічного ризику. При означених обставинах підприємствам потрібно не уникати ризику, а вміти правильно оцінювати його ступінь і безпосередньо управляти ним з метою обмеження.

Підприємствам необхідні своєчасне врахування чинників ризику при прийнятті управлінських рішень; кваліфікована організація процесу управління ризиковою ситуацією, що спрямована на забезпечення адаптації діяльності підприємства до мінливих умов зовнішнього та внутрішнього середовища. Стратегія управління ризиковою ситуацією залежить від специфічних ризиків, які можуть виникати в процесі діяльності підприємства, можливості правильно оцінити конкретну ризикову ситуацію, знайти оптимальний варіант виходу з неї, враховуючи наявні у розпорядженні підприємства ресурси.

Актуальність. З ризиком ми зустрічаємося щоденно: і на побутовому рівні, і при здійсненні будь-якої господарської діяльності. Саме тому оцінка та шляхи нейтралізації ризиків є актуальною темою сьогодення.

Суттєвий вплив ризиків на всі елементи, цінності і сторони діяльності комерційної організації приводить до необхідності формулювання функції управління ризиками, виходячи з того, що по суті своїй процес управління комерційною організацією являє собою послідовність економічних і соціальних виборів, кожний з яких запускає визначені фінансові й організаційні механізми, що мають істотний вплив для даного бізнесу, які знижують або підвищують її ризикову позицію при досягненні тієї норми прибутку, що виявляється доступною в умовах конкретної соціально-економічний ситуації. Основна мета управління ризиками - їх мінімізація з метою уникнення або часткового зменшення можливих фінансових втрат від дії ризиків. Теоретичною основою наукових досліджень проблематики ризику, забезпечення підприємства захистом від нього широко досліджується в працях як зарубіжних, так і вітчизняних економістів: Хлістунова Н. В., Соляунов А. А., Роік В. Д., Нерсисян Т. Я., Минаева Е. В., Камінський А. Б., Вітлінський В. В., які розглядають питання економічної безпеки, рівноваги, фінансової стійкості.

Метою роботи є визначення шляхів вдосконалення системи управління ризиками в діяльності ВАТ НАП «Більшовик».

Для досягнення зазначеної мети встановлено наступні завдання:

- розглянути теоретичні основи ризикології;

-        провести діагностику ризиків фінансово-господарської діяльності;

         провести інтегровану оцінку ризиків;

         розробити технологію управління ризиками;

         обгрунтувати систему мінімізації ризиків;

         розробити інформаційну систему управління ризиками.

Об’єктом дослідження є система управління ризиками у ВАТ НВП «Більшовик». Організаційна структура приведена у Додатку Б.

Предметом даної роботи є процеси управління ризиками.

Об’єктом дослідження є ВАТ НВП «Більшовик» заснований 1882 року. Юридична адреса товариства: м. Київ, пр-т Перемоги 49/2, тел. 457-65-39, ВАТ НВП „Більшовик” є підприємством державної форми власності, I категорії, підпорядковується Міністерству промислової політики, нараховує 20 цехів та 2 окремі дільниці. Площа складає 36 га, а місткість складів становить 5 тис. м.. Більшу частину продукції, що виробляє ВАТ НВП «Більшовик», не випускає жодне підприємство України. Чисельність працюючих складає 1020 осіб. (Додаток В,Г)

На сучасному етапі діяльності підприємство має універсальні технологічні можливості, утримує монополію за низкою видів продукції в країнах СНД, а з окремих типів конкурує на світовому ринку з високорозвиненими в технічному відношенні країнами.

Для дослідження питання ефективності управління ризиком були використані фактичні дані з діяльності ВАТ НВП «Більшовик».

Теоретичну та методологічну базу дослідження склали наукові праці та публікації таких авторів, як Бланк І.А., Хлістунова Н. В., Соляунов А. А., Роік В. Д., Нерсисян Т. Я., Минаева Є. В., Камінський А. Б., Вітлінський В. В. та інші.

Інформаційною базою дослідження слугували також наукові статті в сфері ефективності управління та розвитку підприємства, матеріали преси, електронні джерела Інтернет, внутрішні документи, положення й основні відомості про підприємство, фінансова та статистична звітність, а також результати власних досліджень.

У роботі використано метод узагальнення, структурно-логічний аналіз, метод порівняння та інтегрування, методи експертної оцінки, опитування та метод аналізу некількісних показників; метод графічного зображення аналітичних.  Збирання інформації проведено з використанням методу спостереження, опитування та анлізу.

Робота містить 103 сторінки тексту, 9 таблиць та 13 рисунків; 19 додатків, список використаних інформаційних джерел нараховує 53 одиниці документів.

РОЗДІЛ 1. ТЕОРЕТИКО-МЕТОДИЧНІ ОСНОВИ РИЗИКОЛОГІЇ

1.1 Сутність та концептуальні засади ризикології

Поняття ризик має досить тривалу історію, але найактивніше різні аспекти ризику почали вивчати наприкінці XIX - на початку XX ст.

Для вітчизняної економіки проблема ризику та його оцінки не є новою: у 20-х роках XX ст. було прийнято ряд законодавчих актів, що враховували існування в СРСР виробничо-господарського ризику. Але пізніше, після становлення адміністративно-командної системи обґрунтування ефективності господарської діяльності в умовах планової економіки і відповідно всі техніко-економічні обґрунтування будь-яких проектів обходилися без аналізу ризиків.

Економічні перетворення в нашій країні викликали інтерес до питань ризику в господарській діяльності, а сама теорія ризику в процесі формування ринкових відносин не тільки одержала свій подальший розвиток, але стала практично затребуваною.

На сьогодні немає однозначного розуміння сутності ризику. Це пояснюється, зокрема, багатоаспектністю цього явища, практично повним ігноруванням його нашим господарським законодавством у реальній економічній практиці й управлінській діяльності. Крім того, ризик - це складне явище, що має безліч розбіжних, а іноді протилежних реальних основ. Це зумовлює можливість існування декількох визначень поняття ризику з різних поглядів.

Термін ризик походить від грецьких слів ridsikon, ridsa- стрімчак, скеля. В італійській мові risikо - небезпека, погроза; risiсаrе - лавірувати між скель. У французькій risdoе - погроза, ризикувати (буквально об'їжджати стрімчак, скелю). У словнику Вебстера ризик визначається як «небезпека, можливість збитку чи втрати», у словнику Ожегова - як «можливість небезпеки», чи як «дія наугад у надії на щасливий результат» [14].

Як показує аналіз, у літературі поширене судження про ризик як про можливість небезпеки чи невдачу. Аналогічна ситуація і в економічній літературі. Розглянемо ряд визначень ризику, що дають фахівці.

«Риск - событие или группа родственных случайных событий, наносящих ущерб объекту, обладающему данным риском» [22, с. 11].

«Под экономическим риском понимается некая возможность возникновения убытка, измеряемого в денежном выражении» [23, с. 5].

«Риск - это возможность ненаступления каких-либо ожидаемых событий, возможность отклонения каких-либо величин от некоторых их (ожидаемых) значений» [15, с. 11].

Финансовые риски - это, с одной стороны, опасность потенциально возможной потери ресурсов или недополучения доходов по сравнению с рассчитанным вариантом. С другой стороны - вероятность получения дополнительного объема прибыли, связанного с риском» [13, с. 43].

«Економічний ризик - це об'єктивно-суб'єктивна категорія у діяльності суб'єктів господарювання, пов'язана з подоланням невизначеності та конфліктності в ситуації неминучого вибору. Вона відображає міру (ступінь) відхилення від цілей, від бажаного (очікуваного) результату, міру невдачі (збитків) з урахуванням впливу керованих і некерованих чинників, прямих та зворотних зв'язків стосовно об'єкта керування» [5, с. 9].

Поняття «ризик» та «невизначеність» мають довгу та давню історію. Однак змістовно цю проблему почали вивчати в ХІХ - ХХ сторіччях, хоча й до цього було багато робіт, в яких розглядались різні аспекти ризику.

З іменами Дж. С. Миля та Н. У. Сеніора асоціюється поява класичної теорії підприємницьких ризиків. Ці автори досліджуючи підприємницький прибуток, вирізняють у структурі підприємницького доходу дві складові:

а) відсоток як частку на вкладений капітал;

б) плату за ризик як відшкодування можливого ризику, пов’язаного з підприємницькою діяльністю. Відповідно до цієї теорії, ризик ототожнюється з очікуванням втрат, що можуть статися в результаті реалізації того чи іншого рішення. З економічного погляду, ризик у цій теорії - ніщо інше, як можливий матеріальний збиток, що може бути нанесений виконанням того чи іншого рішення.

Таке тлумачення ризику є однобічним. Воно спричинило розроблення іншої теорії, яку було названо неокласичною. Ця теорія виникла у 20-30-ті рр. ХХ ст. в Англії та Франції. Її представниками є вчені Ф. Х. Найт, А. Т. Маршалл (Англія) та А. С. Пігу (Франція). Вона ґрунтується на таких положеннях: підприємство, що працює в умовах невизначеності і прибуток якого є випадковою змінною величиною, повинно керуватися у своїй діяльності такими критеріями, як розмір очікуваного прибутку та величина його можливих коливань. Згідно з цією теорією, поведінка підприємця обумовлюється концепцією так званої граничної корисності: якщо потрібно вибрати один із двох варіантів інвестування капіталу, що дають однаковий підприємницький прибуток, то варто вибирати той з варіантів, у якому коливання прибутку будуть меншими.

З цієї теорії ризику випливає, що надійний прибуток завжди має більшу корисність, ніж прибуток того ж очікуваного розміру, але пов’язаний з імовірними коливаннями.

Нині у первісному вигляді жодну із цих теорій не використовують. Найактуальнішою є неокласична теорія ризику з певними доповненнями Кейнса, який уперше систематизував теорії ризику і дав докладну класифікацію підприємницьких ризиків, а також доповнив неокласичну теорію чинником «задоволення», суть якого в тому, що підприємець, очікуючи більшого прибутку, швидше за все піде на більший ризик.

В економічній літературі ризик розглядається з погляду можливого матеріального збитку, пов’язаного з реалізацією господарських, організаційних, технічних рішень, з аваріями, стихійними лихами, банкрутством, зменшенням цінності акцій, грошової одиниці тощо, а також з погляду прийняття рішень, пов’язаних з отриманням прибутку. Існують два протилежні погляди на природу ризику. По-перше, ризик розуміється як невдача, небезпека матеріальних та фінансових втрат, що можуть статися в результаті реалізації обраного рішення. По-друге, ризик ототожнюється з передбачуваним отриманням прибутку.

Уперше найбільш загальне визначення ризику дав Ф. Х. Найт: ризик - це образ дій у неясній, невизначеній обстановці.

Ризик - це ситуативна характеристика діяльності, що може мати невідомий результат і несприятливі наслідки у разі неуспіху.

Ці визначення більшою мірою стосуються поняття ризику взагалі. Про економічний же ризик варто говорити, як про процес прийняття рішень в умовах невизначеності з урахуванням як економічних, так і політичних, моральних, психологічних та інших наслідків, головним чином несприятливих.

Виникає запитання: як вибрати правильне визначення ризику? На мій погляд, виходити слід з того, наскільки його можна буде використати в практиці бізнесу. Виходячи з цього у менеджера має бути можливість виявити ризик, оцінити його і вжити певних заходів впливу на нього. Інакше кажучи, менеджер має провести якісний і кількісний аналіз ризику. Він має визначити подію - джерело ризику, тобто фактор ризику, її ймовірність і наслідки.

Вважаємо, що ризик можна охарактеризувати як комбінацію трьох елементів: деякої події, її ймовірності та наслідків.

Відповідно ризик підприємства, чи економічний ризик, - це комбінація 1) події, пов'язаної з діяльністю підприємства і яка впливає на нього, 2) імовірності цієї події та 3) її наслідків, що унеможливлюють досягнення запланованих цілей і в остаточному підсумку позначаються на доходах підприємства.

Розуміння сутності ризику безпосередньо пов’язана з виявленням функцій, які він виконує при здійсненні господарської діяльності. До числа таких функцій належать регулююча й захисна.  Регулююча функція ризику має суперечливий характер і може виступати у двох формах:

конструктивна;

деструктивна.

Конструктивність ризику проявляється, зокрема, у тому, що ризик при здійсненні господарської діяльності виконує роль своєрідного каталізатора. Йому належать такі властивості як активність і спрямованість у майбутнє, пошук новаторських рішень.

Деструктивний характер ризику проявляється у тому, що прийняття і реалізація рішень з необґрунтованим ризиком ведуть до валюнтаризму й авантюризму. У цьому випадку ризик виступає у якості дестабілізуючого фактора.
Практика показує, що відбувається реальне перетворення ризику в інструмент регулювання економічних відносин, що допомагає підприємцям виробляти навички орієнтацій в ймовірному світі і формувати необхідні якості мислення, такі як альтернативність, варіантність і діалектичність.

Захисна функція ризику має також два аспекти:

історико-генетичний;

соціально-правовий.

У першому випадку йдеться про те, що вже на ранніх стадіях розвитку цивілізації люди стихійно шукали засоби й форми захисту від можливих небажаних наслідків.

У сучасних умовах така передбачуваність проявляється у вигляді створення фондів ризику та застосування різних методів мінімізації ризику, що дозволяє з одного боку використовувати конструктивність ризику, а з другого - захищати підприємця від негативних наслідків. Таким чином сама природа ризику спонукає суб’єкта господарювання захистити об’єкт від негативних наслідків ризикованої події.

Сутність соціально-правового аспекту захисної функції проявляється у забезпеченні прав новатора на ризик, оскільки необхідні правові й економічні гарантії, які б виключали у випадку невдачі покарання працівників, що йдуть на ризик. Практична реалізація цього аспекту пов’язана з введенням в кримінально-господарське й трудове законодавство категорії правомірного ризику, яке б відокремлювало випадки, в яких негативні наслідки настали від некомпетентності й безгосподарності від тих випадків, коли було при прийняте рішення та здійснене обґрунтування ризику.

Є безліч видів ризиків. У керівника компанії виникає потреба в їх класифікації.

Класифікація ризиків означає систематизацію безлічі ризиків на підставі певних ознак і критеріїв, що дозволяють об'єднати підмножини ризиків у певні групи. Завдання класифікації - як наукові (тут є простір для творчості), так і прикладні, управлінські.

Нараховують більше 40 різних критеріїв ризиків і більше 220 видів ризиків, так що в економічній літературі немає єдиного розуміння в цьому питанні. Принципи управлінської класифікації ризиків - науковість, строгість, зручність використання.

Нині найпоширеніша така класифікація ризиків [104, 94]:

1  операційний ризик;

2  ринковий ризик;

3  бізнес-ризик;

4  кредитний ризик.

Цю класифікацію можна застосувати як до фінансових установ (банки, страхові та інвестиційні компанії і г. ін.), так і до звичайних компаній, зайнятих у сфері матеріального виробництва і надання послуг.

Отже, уже на початковому етапі аналізу ризиків можна поділити їх на такі, що властиві фінансовим інститутам, і такі, що належать до нефінансових компаній та організацій. [5, 80, 108].

У діяльності корпорацій можна виділити такі види ризиків:

Під операційним ризиком розуміють ризик, пов'язаний з недоліками в системах і процедурах керування і контролю в організації. До цього пункту можна включити ризики, пов'язані з помилками менеджменту компанії, її працівників; проблемами системи внутрішнього контролю, погано розробленими правилами робіт тощо, тобто ризики, пов'язані з внутрішньою організацією роботи компанії. Яскравим прикладом такого ризику була «проблема 2000» (Millennium Bug), що могла призвести до значних утрат. Техніко-виробничі ризики - це ризик завдання збитку навколишньому середовищу (екологічний ризик); ризик виникнення аварій, пожеж, поломок; ризик порушення функціонування об'єкта внаслідок помилок у проектуванні і монтажі, ряд будівельних ризиків та ін.

Кредитний ризик - ризик того, що учасник-контрагент не виконає свої зобов'язання повною мірою або до конкретної дати, або в будь-який час після цієї дати.

Ринковий ризик - ризик утрат, зафіксованих на балансових і забалансових позиціях компанії, через зміну ринкових цін; це ризик зміни значень параметрів ринку, таких як процентні ставки, курси валют, ціни акцій чи товарів, кореляція між різними параметрами ринку і мінливість цих параметрів.

Ділові ризики (бізнес-ризики) - це ризики, безпосередньо пов'язані з діловими операціями компанії на її ринках постачання та збуту, тобто з її бізнесом.

Кожний з вищезазначених ризиків містить у собі значну кількість конкретних ризиків, наприклад: операційний ризик - ризик обману, ризик аварій, ризик стихійних лих; ринковий ризик - процентний ризик, валютний ризик та ін.

Найчастіше зазначені ризики тісно переплітаються. Яскравим прикладом може слугувати ситуація із сумно відомим англійським банком Barings- недоліки систем внутрішнього контролю (операційний ризик) і, як наслідок, гра на біржі одного з працівників призвели до неможливості закрити ф'ючерсні позиції на біржі SІМЕХ (ризик утрати ліквідності) через неправильне прогнозування цін (ринковий ризик).

Ризики можна класифікувати й за іншими ознаками, рис. 1.1.1. [12, с. 5] За наслідками поділяють ризики на декілька категорій [19, с. 32; 3, с. 438]:

а) припустимий ризик - це ризик рішення, у результаті невиконання якого підприємству загрожує втрата прибутку; у межах цієї зони підприємницька діяльність зберігає свою економічну доцільність, тобто втрати є, але вони не перевищують розмір очікуваного прибутку;

б) критичний ризик - це ризик, коли підприємству загрожує втрата доходу; інакше кажучи, зона критичного ризику характеризується не
безпекою втрат, що перевищують очікуваний прибуток і в крайньому
випадку можуть призвести до втрати всіх грошей, укладених підприємством у проект;

в) катастрофічний ризик - ризик, коли виникає неплатоспроможність підприємства; утрати можуть дорівнювати активам підприємства. Також до цієї групи відносять будь-який ризик, пов'язаний із прямою небезпекою для життя людей чи виникненням екологічних катастроф. Основою для наступної класифікації ризиків є характер впливу на результати діяльності підприємства. Так, ризики поділяють на два види [95, с. 8-9]:

г) чисті - означають можливість одержати збиток чи нульовий результат;

ґ) спекулятивні - виражаються в імовірності одержати як позитивний,
так і негативний результат.

Рис. 1.1.1 Класифікація ризиків [12, c. 4]

Очевидно, що вищенаведені класифікації взаємозалежні, причому друга має більш загальний характер.

Існує велика кількість класифікацій залежно від специфіки діяльності компанії. Окремо класифікують інвестиційні ризики, ризики на ринку нерухомості, ризики на ринку цінних паперів та ін.

Класифікація ризиків може бути основана на різних характеристиках [22, с. 13-15]:

- причини (рід небезпеки), що викликають несприятливі події;

характер діяльності, з яким пов'язані відповідні ризики;

об'єкти, на які спрямовані ризики.

Класифікація за родом небезпеки виділяє техногенні (чи антропогенні), природні і мішані ризики.

Техногенні ризики, породжені господарською діяльністю людини: аварійні ситуації, забруднення навколишнього середовища тощо. Прикладом техногенних ризиків можуть слугувати вогневі ризики, пов'язані з впливом вогню на різні об'єкти.

Природні ризики не залежать від діяльності людини. До них належать переважно ризики стихійних лих: землетрусу, повені, урагану, тайфуну, удару блискавки, виверження вулкана та ін.

Мішані ризики - це події природного характеру, ініційовані господарською діяльністю людини. Наприклад, зсув, спричинений будівельними роботами.

В основі іншої класифікації - характер діяльності, з якою вони пов'язані.

Підприємницькі ризики пов'язані з виробництвом і прибутком, а саме: недоодержання прибутку в результаті простою виробництва, банкрутство, упущена вигода, непередбачені витрати й ін.

До фінансових і комерційних можна віднести ризики зі сфери керування фінансами і взаємин торгових партнерів у процесі угоди: невиконання договірних зобов'язань контрагентом по угоді, неповернення кредиту, непередбачені судові витрати. Професійні ризики пов'язані з виконанням професійних обов'язків. До інвестиційних належать ризики, що виникають у інвесторів, які вкладають кошти з метою одержати прибуток, а також ризики довгострокових маркетингових проектів.

Ще одна класифікація ризиків основана на природі об'єктів, підданих ризику. Відповідно до такої класифікації можна виділити ризики завдання збитку життю і здоров'ю громадян та майнові ризики, серед яких особливо виділяються ризики настання цивільної відповідальності. Таку класифікацію прийнято в страховій справі. Серед майнових ризиків варто назвати ризики завдання збитків фізичним об'єктам і ризики завдання збитку майновому інтересу, наприклад прибутку.

1.2 Характеристика процесу управління ризиками на підприємстві

Підприємництва без ризику не існує. Найбільший прибуток, як правило, приносять ринкові операції з підвищеним ризиком. Ризик обов'язково повинний бути розрахований до максимально припустимої межі. Як відомо, усі ринкові оцінки носять різноманітний характер. Важливо не боятися помилок у своїй ринковій діяльності, оскільки від них ніхто не застрахований, а головне - помилок не повторювати, постійно коректувати систему дій з позицій максимуму прибутку. Менеджер покликаний передбачати додаткові можливості для пом'якшення різких коливань на ринку. Головна мета менеджменту, особливо для умов сьогоднішньої вітчизняної економіки - домогтися, щоб при самому гіршому розкладі мова могла йти тільки про деяке зменшення прибутку, але не в якому випадку не поставало питання про банкрутство підприємства. Тому особлива увага приділяється постійному удосконалюванню управління ризиком - ризик-менеджменту. Ризик-менеджмент представляє систему управління ризиком і економічними (точніше фінансовими) відносинами, що виникають у процесі цього управління, і включає стратегію і тактику управлінських дій.

Під стратегією управління маються на увазі напрямки і способи використання засобів для досягнення поставленої мети. Кожному способу відповідає визначений набір правил і обмежень для ухвалення кращого рішення. Стратегія допомагає сконцентрувати зусилля на різних варіантах рішення, які не суперечать генеральній лінії стратегії і відкинути всі інші варіанти. Після досягнення поставленої мети дана стратегія припиняє своє існування, оскільки нові цілі висувають задачу розробки нової стратегії.

Тактика - практичні методи і прийоми менеджменту для досягнення встановленої мети в конкретних умовах. Задачею тактики управління є вибір найбільш оптимального рішення і самих конструктивних у даній господарській ситуації методів і прийомів управління.

Центральне місце в оцінці підприємницького ризику займають аналіз і прогнозування можливих втрат ресурсів при здійсненні підприємницької діяльності. Мається на увазі не витрата ресурсів, об'єктивно обумовлена характером і масштабом підприємницьких дій, а випадкові, непередбачені, але потенційно можливі втрати, що виникають внаслідок відхилення реального ходу підприємництва від задуманого сценарію.

Щоб оцінити імовірність тих або інших втрат, обумовлених розвитком подій по непередбаченому варіанту, слід насамперед знати усі види втрат, пов'язаних з підприємництвом, і вміти заздалегідь обчислити їх кількісно або оцінити їх ймовірність.

При цьому природне бажання оцінити кожний з видів втрат у кількісному вимірі і вміти звести їх воєдино, що, на жаль, далеко не завжди вдається зробити. Тут треба мати на увазі одну важливу обставину. Випадковий розвиток подій, що чинить вплив на хід і результати підприємництва, здатний приводити не тільки до втрат у виді підвищених витрат ресурсів і зниження кінцевого результату. Він може викликати збільшення витрат одного виду ресурсів і зниження витрат іншого виду, тобто поряд з підвищеними витратами одних ресурсів може спостерігатися економія інших. Якщо випадкова подія двояко впливає на кінцеві результати підприємництва, має несприятливі і сприятливі наслідки, то при оцінці ризику треба в однаковій мірі враховувати і ті, і інші. Інакше кажучи, при визначенні сумарних можливих втрат варто віднімати з розрахункових втрат супровідний їхній виграш.

Далі приведемо основні прийоми зниження ступеня ризику.

Диверсифікованість, що являє собою процес розподілу розміщення коштів між різними об'єктами вкладення капіталу (видами бізнесу), безпосередньо не пов'язаних між собою, з метою зниження рівня ризику і втрат доходів.

Диверсифікованість дозволяє уникнути частини ризику при розподілі капіталу між різноманітними видами діяльності (наприклад, придбання інвестором акцій п'яти різних акціонерних товариств замість акцій одного товариства збільшує імовірність одержання ним середнього доходу в п'ять разів і, відповідно, у п'ять разів знижує рівень ризику) [20, c.95].

Придбання додаткової інформації про вибір і результати. Більш повна інформація дозволяє зробити точний прогноз і знизити ризик, що робить її дуже коштовною.

Далі ми графічно проілюструємо, яким чином додаткова інформація дозволяє знизити рівень ризику.

На рисунку 1.2.1. наведені можливі результати діяльності фірми в залежності від прийнятих рішень в умовах невизначеності.

Крива, зображена на рисунку, показує результати діяльності фірми (одержання прибутків чи збитків) у залежності від того, яке буде обране рішення. Головною проблемою дії фірми в умовах відсутності інформації є те, що вона не знає напевно, які рішення забезпечать їй одержання прибутку, а які потягнуть за собою збитки.

У такий спосіб ми можемо сказати, що задача отримання додаткової інформації для досягнення ринкового успіху фірми полягає в тому, що на підставі додаткової інформації фірма повинна чітко визначити границі діапазонів тих рішень, що забезпечать одержання прибутків і границі діапазонів тих рішень, що спричинять за собою збитки.

Рис 1.2.1 Прибутки та збитки фірми в умовах невизначеності [5, c. 110]

Представимо на графіку вплив результатів отримання додаткової інформації на прийняття ефективних рішень і зниження ризику ( Рис. 1.2.2).

Рис. 1.2.2 Результати фірми при отриманні додаткової  інформації [5, c. 113]


Отримання додаткової інформації дозволяє компанії визначити, що при прийнятті рішень з діапазонів Д1 і Д2 компанія буде одержувати прибутку, а при прийнятті рішень з діапазону Д3 - збитки. Отже, підсумовуючи вищенаведене, ми можемо відзначити, що додаткова інформація повинна застерегти компанію від прийняття помилкових управлінських рішень і підказати ефективні варіанти рішень, що забезпечать їй одержання прибутку і мінімізацію ризику.

Лімітування - це встановлення ліміту, тобто граничних сум витрат, продажу, кредиту і т.п., застосовується банками для зниження рівня ризику при видачі позичок, господарюючими суб'єктами при продажу товарів у кредит, наданні позичок, визначенні сум вкладення капіталу і т.п.

Одним з найбільш розповсюджених способів управління ризиками є страхування ризиків - перетворення випадкових збитків у відносно невеликі постійні витрати, який реалізується шляхом передачі ризиків страховій компанії. Перелік ризиків, які можуть негативно вплинути на фінансові результати будь-якої комерційної діяльності досить широкий і не завжди прогнозований, тому в сучасних умовах страхування стало універсальним засобом захисту майнових інтересів підприємств і організацій усіх форм власності.

Наступними методами управління ризиками є: [15, с. 176-190; 24, с. 40-50], рис. 1.2.3.

Рис. 1.2.3 Методи управління ризиками [21, c. 34]

Метод уникнення ризиків або відмови від них. Прикладом використання методу є припинення виробництва певної продукції, відмова від сфери бізнесу, у якій є такі ризики, і вибір нових, у яких цих ризиків немає. Застосовуючи цей метод, компанії більш воліють уникнути ризиків, ніж отримати прибуток.

Такий метод керування ризиками особливо ефективний, коли великі ймовірність виникнення збитків (реалізації ризиків) і можливий розмір збитку. Запобігання ризиковим ситуаціям у цьому разі є найкращою і єдиною практичною альтернативою. Метод застосовують до однорідних і неоднорідних ризиків, до одиничних і масових ризиків, тому що розмір можливого збитку, незалежно від конкретних значень параметрів однорідності і кількості ризиків, для фірми все одно великий і небажаний.

Наприклад, компанія може відмовитися від будівництва нового хімічного заводу, якщо умови страхування можливих ризиків будуть неприйнятними для неї. Або фармацевтична компанія може відмовитися від випуску певних ліків у разі, якщо почне з'являтися інформація про їх непередбачену побічну дію.

Метод прийняття ризику на себе або утримування ризику. Суть цього методу - покриття збитків за рахунок власних фінансових ресурсів компанії. При цьому може йтися про планове прийняття ризику та про незаплановане. В останньому разі ризик-менеджер або невпевнений, чи існує взагалі певний вид ризику, або він не зміг його виявити.

Використання методу виправдане в тих випадках, коли:

5 частота збитків невисока;

6 величина потенційних збитків невелика (і тому їх можна покрити за
рахунок поточних грошових надходжень).

Якщо ризики однорідні чи неоднорідні, але їх багато, у фірми є альтернатива:

7 залишити ризики в себе, якщо її фінансові можливості і (або) стратегія дозволяють це зробити (незалежно від кількості ризиків);

8 передати ризики іншим суб'єктам, якщо її фінансові можливості і (або) стратегія диктують їй вибір цього шляху. Якщо ж ризики однорідні чи неоднорідні, але їх мало, то найчастіше фірма залишає їх у себе, тому що вони несуттєво знижують фінансові можливості фірми.

Цей метод управління ризиками використовують досить часто, тому що в багатьох ситуаціях збитки настільки незначні, що компанія може покрити їх самостійно.

Метод запобігання збиткам. Суть цього методу управління ризиками - проведення заходів, спрямованих на зниження їх імовірності. Застосування цього методу виправдане, якщо:

·  імовірність реалізації ризику, тобто ймовірність збитку, досить велика -саме на її зниження і спрямовано метод;

·        розмір можливого збитку невеликий (інакше доцільне використання методу уникнення ризиків, застосування якого виправдане, коли ймовірність реалізації ризику висока і розмір можливого збитку також значний).

Ризики можуть бути як однорідними, так і неоднорідними. Вони можуть мати масовий характер (масові ризики), але можуть бути й одиничними.

Метод зменшення розміру збитків. Незважаючи на всі зусилля компанії знизити ризики, деяких збитків вона все-таки зазнає. Для таких ризиків і можна застосовувати метод зменшення розміру збитків. Суть цього методу - проведення заходів, спрямованих на зниження розміру можливого збитку.

Застосування цього методу виправдане в таких випадках:

• великий розмір можливого збитку;

• імовірність реалізації ризику, тобто ймовірність збитку, невелика (інакше доцільно використовувати метод відмови від ризиків, застосування якого виправдане, якщо ймовірність реалізації ризику висока і розмір можливого збитку також значний). Діяльність компанії для зменшення збитків спрямована на мінімізацію негативного впливу збитків. Страхування. Це один з найчастіше використовуваних методів управління ризиками. Його суть - зменшення участі самої фірми у відшкодуванні збитку за рахунок передачі нею (фірмою-страхувальником) страховій компанії (страховику) відповідальності. Застосування методу на рівні фірми виправдане в таких випадках:

1. Імовірність реалізації ризику, тобто появи збитку, невисока, але
розмір можливого збитку досить великий. Незалежно від однорідності чи
неоднорідності ризиків, а також від кількості ризиків (масові чи одиничні), страхування доцільне.

2. Імовірність реалізації ризиків, тобто появи збитку, висока, але розмір можливого збитку невеликий. Страхування виправдане, якщо ризики однорідні чи неоднорідні та їх багато. Звичайно, через малий розмір можливого збитку фірма може їх залишити в себе, однак масовість таких ризиків може призвести до значного збитку, тому страхування в цьому випадку найкраще. У випадку, коли ризики однорідні і масові, фірма може управляти ними на основі самострахування.

Самострахування. Суть цього методу управління ризиками - створення власних страхових фондів, призначених для покриття збитків, на зразок фондів страхових і перестрахувальних компаній.

Самострахування відрізняється від методу прийняття ризиків на себе тим, що компанія має справу з великою кількістю однорідних ризиків. Щоб точно спрогнозувати розмір збитку, метод самострахування передбачає можливість концентрації великої кількості однорідних ризиків. Однак на відміну від страхування страхові резерви створюють усередині однієї ділової одиниці, зазвичай промислової чи промислово-фінансової групи.

Самострахування припускає створення фінансових механізмів, що дозволяють заздалегідь створити фонди для фінансування збитків. Одним з механізмів проведення самострахування є створення кептивних страхових компаній.

Кептивні страхові компанії - це страхові компанії, що входять у групу нестрахових організацій - промислових, промислово-фінансових, фінансових груп тощо - і страхують ризики всієї групи.

Отже, найпоширенішими методами управління ризиками є:

1уникнення ризиків чи відмова від них;

2прийняття ризиків на себе;

3запобігання збиткам;

4зменшення розміру збитків;

5страхування;

6самострахування.

1.3 Методичні підходи до оцінювання ступеня ризику в діяльності підприємства

Поняття ризику пов'язується з усвідомленням небезпеки, загрози, ненадійності, невизначеності, непевності, випадковості, збитку. Протягом тривалого часу поняття ризику не лише асоціювалося з багатозначними негативними проявами життєвих ситуацій, а й часто вживалося як їх синонім.

В економічній літературі відомі численні спроби сформулювати теоретичні визначення поняття ризику. Найбільш послідовним серед них є твердження, згідно з яким ризик у своїй першооснові є невизначеністю.

Стан невизначеності можливий у кожній суспільно-економічній ситуації, якщо наперед не можна виявити причинно-наслідкового зв'язку між основними елементами процесу господарської діяльності чи суспільного буття. Невизначеність породжується непередбачуваністю кінцевого результату, який може або збігатися з очікуваним, або бути ліпшим чи гіршим за нього. В умовах невизначеності кінцевий результат можна передбачити лише наближено, узявши одне з потенційно можливих значень. Така невизначеність зумовлюється, як правило, суб'єктивним сприйняттям реальних явищ. Поняття ризику, на противагу поняттю невизначеності, має практичне застосування, а тому його зміст потребує об'єктивного визначення. Отже, потрібний перехід від суб'єктивно сприйманої непевності, випадковості до об'єктивного поняття ризику, що на ній базується. Єдиний спосіб такого переходу - оцінити непевність (випадковість) кількісними методами, надавши їй реальних числових значень. Звідси випливає: ризиком буде визнано лише таку невизначеність, яку можна оцінити кількісно.

Дати найточнішу кількісну оцінку невизначених величин можна, обчисливши ймовірність їх появи. Ця ймовірність має ту характерну особливість, що вона одночасно як два необхідні компоненти загальної оцінки враховує такі взаємодоповняльні випадковості:

) частоту настання події щодо місця та часу;

) розмір збитку, тобто абсолютну величину від'ємного відхилення фактичного результату від очікуваного.

Отже, показник ризику за своїм змістом - це не лише ймовірність появи непевної (випадкової) події, а й імовірність настання негативного результату.

Ідея кількісного підходу до оцінки ризику ґрунтується на тому, що невизначеність може бути поділена на два види.

Якщо невизначені параметри спостерігаються досить часто за допомогою статистики або імітаційних експериментів, то можна визначити частоти появи даних подій. Такий тип невизначеності має назву статистичної невизначеності. При достатній кількості спостережень частоти розглядаються як наближене значення ймовірностей подій.

Якщо окремі події, які нас цікавлять, повторюються досить рідко або взагалі ніколи не спостерігалися і їх реалізація можлива лише в майбутньому, то має місце нестатистична невизначеність. У цьому випадку використовується суб’єктивна ймовірність, тобто експертні оцінки її величини. Концепція суб’єктивної ймовірності ґрунтується не на статистичній частоті появи події, а на ступені впевненості експерта в тому, що задана подія відбудеться. Методологічною базою аналізу ризику інвестиційних проектів є розгляд вихідних даних як очікуваних значень певних випадкових величин з відомими законами імовірнісного розподілу. Математичний апарат, використовуваний при цьому підході, розглядається докладно в курсах теорії ймовірності та математичної статистики.

Законом розподілу випадкової величини називається закон відповідності між можливими значеннями випадкової величини та їх ймовірностями.

Наприклад, доходність певного інвестиційного проекту може характеризуватися наведеним нижче законом розподілу (Табл. 1.3.1):
 
Табл. 1.3.1 Розподіл доходу проекту за ймовірністю одержання

Ймовірність одержання доходу (Р)

Рівень очікуваного доходу (Х) (умовн. од.)

0,2 0,5 0,3

200 800 1000


Випадкова величина, яка набуває певних окремих значень, називається дискретною.

Таблиця є прикладом закону розподілу дискретної випадкової величини.

Закон розподілу характеризується кількома показниками, зокрема математичним очікуванням, дисперсією, середньоквадратичним відхиленням, коефіцієнтом варіації.

Математичним очікуванням, або середнім очікуваним значенням випадкової величини Х, називається число, яке дорівнює сумі добутків значень величини (х) на відповідні ймовірності (Рі):


Невизначеність характеризується розсіянням можливих значень випадкової величини довкола її очікуваного значення.

Для характеристик ризику як міри невизначеності використовуються такі показники:

) дисперсія

D(x) = M[x -M(x)];

2) середньоквадратичне відхилення


1)   коефіцієнт варіації


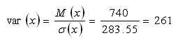
Наприклад, для інвестиційного проекту, закон розподілу якого подано в таблиці, ці характеристики становлять:

) середнє очікуване значення доходу

М(х) = 200 · 0,2 + 800 · 0,5 + 1000 · 0,3 = 740 ум. од.

) дисперсія(x) = (200-740)2 · 0,2 + (800-740)2 ·0,5 + (1000-740)2 · 0,3 = 80400 ум. од.

2)   середньоквадратичне відхилення

 ум. Од.

3)   коефіцієнт варіації

 ум. Од

Найчастіше як міру ризику використовують середньоквадратичне відхилення. Чим більше його значення, тим більший ризик. Розглянемо інвестиційні проекти А і В, закони розподілу NPV (чистого приведеного доходу) яких задано в таблиці (1.3.2):

Табл. 1.3.2 Розрахунок середнього очікуваного значення NPV для двох проектів

Проект А

Проект В

Можливі значення NPV (ХА)

Відповідні ймовірності (РА)

Можливі значення NPV (ХВ)

Відповідні ймовірності (РВ)

100 500 700 1500

0.2 0.4 0.3 0.1 760

-7200 1000 3000 5000

0.2 0.3 0.3 0.2 760


М (ХА) = 100 · 0,2 + 500 · 0,4 + 700 · 0,3 + 1500 · 0,1 = 760 ум. од.

М (ХВ) = -7200 · 0,2 + 1000 · 0,3 + 300 · 0,3 + 5000 · 0,2 = 760 ум. од.

Тобто, очікуване значення NPV для обох проектів однакове. Втім, величини їх середньоквадратичного відхилення істотно різняться:(ХА) = (100-760)2 · 0,2 + (500-760)2 · 0,4 + (700-760)2 · 0,3 + (1500- 760)2 · ·0,1 = 170000 ум. од.

D (ХB) =(-7200 - 760)2 · 0,2 + (1000 -760)2 · 0,3 + (3000 - 760)2 · 0,3 + (5000 - 760)2 ·0,2 = 17790400 ум. од.

σ(хВ) значно більше σ(хВ), а отже, ризик проекту В вищий від ризику проекту А.

Якщо порівнюються два проекти з різними очікуваними значеннями NPV, то використовується коефіцієнт варіації, який показує частку ризику на одиницю очікуваного значення NPV.

Основною ідеєю аналізу рівня власного ризику проекту є оцінка невизначеності очікуваних грошових потоків від даного проекту. Цей аналіз може бути проведений різними методами - від неформальної інтуїтивної оцінки проекту до складних розрахункових методів та використання статистичного аналізу й математичних моделей.

Практично всі розрахункові значення грошових потоків, на яких заснований проектний аналіз, є очікуваними значеннями випадкових величин з певними законами розподілу. Ці розподіли можуть мати більшу чи меншу варіацію, що є відображенням більшої чи меншої невизначеності, тобто ступеня власного ризику проекту.

Характер розподілу ймовірностей грошових потоків та їх кореляції одного з одним зумовлює характер розподілу ймовірностей NPV проекту і, таким чином, рівень власного ризику даного проекту.

У випадках, коли ризик розрахувати неможливо, прийняття ризикових рішень відбувається за допомогою евристики, що являє собою сукупність логічних прийомів і методичних правил теоретичного дослідження і відшукання істини. Іншими словами, це способи рішення особливо складних задач. Ризик-менеджмент має свою систему евристичних правил і прийомів для ухвалення рішення в умовах ризику, які подано в табл. 1.3.3.:

Табл. 1.3.3 Система евристичних правил і прийомів для ухвалення рішення в умовах ризику [27, c. 154]

1.

не можна ризикувати більше, ніж це може дозволити власний капітал.

2.

завжди треба думати про наслідки ризику.

3.

позитивне рішення приймається лише при відсутності сумніву.

4.

не можна ризикувати великою кількістю заради малого.

5.

при наявності сумніву приймаються негативні рішення.

6.

не можна думати, що завжди існує тільки одне рішення, можливо, що є й інші варіанти.

Перш ніж прийняти рішення про ризикове вкладення капіталу, фінансовий менеджер повинен визначити максимальний обсяг збитку по даному ризику; зіставити його з обсягом вкладеного капіталу; порівняти його з усіма власними фінансовими ресурсами і визначити, чи не приведе втрата цього капіталу до банкрутства інвестора. Обсяг збитку від вкладення капіталу може бути дорівнює обсягу даного капіталу, бути менше його чи більше.

Ризик - категорія імовірнісна, тому в процесі оцінки невизначеності і кількісного визначення ступеня ризику використовують імовірнісні розрахунки. Одним з найпоширеніших методів кількісної оцінки ризику є статистичний метод ( показники статистичних методів розраховані на ст. 27-28) [23, с. 312].

Статистичні методи оцінки ризику. Головні інструменти статистичного методу розрахування ризику такі:

1)середнє значення X досліджуваної випадкової величини (наслідків
впливу певної події (так званого фактора ризику), наприклад до
ходу, прибутку тощо);

2)дисперсія σ2 цієї величини (доходу, прибутку тощо);

3)стандартний (середньоквадратичний) відхил цієї величини (доходу, прибутку тощо);

4)коефіцієнт варіації V;

5)розподіл імовірності досліджуваної випадкової величини.

З теорії статистики відомо, що для обмеженої кількості η можливих значень випадкової величини її середнє значення (математичне сподівання) X визначають за формулою:

Χ = ∑ х¡р¡,

де Х¡ - значення випадкової величини;

Р¡ - імовірність появи випадкової величини.

Середня величина являє собою узагальнену кількісну характеристику очікуваного результату.

Важливою характеристикою, що визначає ступінь мінливості можливого результату, є дисперсія - зважене середнє з квадратів відхилень дійсних результатів від середнього значення,

σ² = ∑ ( Х¡ - Х)² Р¡,

а також дуже близько з ним пов'язаний середньоквадратичний відхил, який розраховують так:

 σ = √ σ² = √ ∑ ( Х¡ - Х)² Р¡.

Дисперсія і стандартний відхил слугують мірами абсолютного розсіювання, їх виміряють у тих самих фізичних одиницях, у яких виміряють варійовану ознаку.

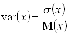
Для аналізу міри мінливості часто використовують коефіцієнт варіації, що являє собою відношення середньоквадратичного відхилу до середнього арифметичного і показує ступінь відхилення отриманих значень

V=σ/Х

Коефіцієнт варіації - відносна величина. Тому з його допомогою можна порівнювати мінливість ознак, виражених у різних одиницях виміру.

Оскільки на формування очікуваного результату (наприклад, величини прибутку) впливає безліч випадкових факторів, то він природно є випадковою величиною.

Однією з характеристик випадкової величини X є закон її розподілу. Характер, тип розподілу відбиває загальні умови, що випливають із сутності і природи явища, і особливості, що впливають на варіацію досліджуваного показника (очікуваного результату). Як показує практика, для характеристики розподілу соціально-економічних явищ найчастіше використовують так званий нормальний розподіл.

З курсу теорії ймовірностей і математичної статистики відомо, що нормально розподілена випадкова величина є неперервною і її диференціальна функція розподілу має вигляд:

y = f (X) = 1/ σ √2π

де у, що дорівнює f(X) визначає щільність розподілу ймовірності для кожної точки X.

Графік функції нормального розподілу описують так званою нормальною кривою - кривою Гаусса (рис. 1.3.1.).

Рис. 1.3.1 Крива нормального розподілу [21, c. 48]

Важливою властивістю графіка диференціальної функції нормального розподілу є те, що площа, обмежена нормальною кривою і віссю X, завжди дорівнює одиниці. Функція щільності нормального розподілу дозволяє обчислити частоту (імовірність) появи випадкової величини. Для оцінки ймовірності потрапляння випадкової величини у визначений інтервал використовують інтегральну функцію щільності ймовірності Ф (X):

Ф ( Х ) = ∫ f ( t ) dt

Імовірність потрапляння випадкової величини в інтервал (а,β) визначають у такий спосіб:

 

Р (а < X < β) = Ф (β) - Ф (а) = Ѕ f (t) dt

де, f (t) - диференціальна функція нормального розподілу.

Експертні методи оцінки рівня ризику. Експертні методи застосовують, якщо на підприємстві немає інформативних даних для розрахунків економіко-статистичними методами. Ці методи базуються на опитуванні кваліфікованих фахівців (страхових, фінансових, інвестиційних менеджерів відповідних спеціалізованих організацій) з подальшою математичною обробкою результатів цього опитування [10; 22; 11; 88].

Узагальнена схема групових експертних опитувань має такий вигляд (рис. 1.3.2).

 

Рис. 1.3.2 Схема групового експертного опитування

На першому етапі ризик-менеджер підбирає потрібну кількість експертів та формує з них групу, яку він буде опитувати. Для визначення їх кількості використовують різні методи. Докладно про те, як це зробити, а також як математично обробити результати опитування, йдеться в спеціальній літературі [2; 11]. Наприклад, згідно з рекомендаціями В. С. Вентцеля і виходячи із заданого рівня довірчої ймовірності (95 %), кількість експертів має бути від 5 до 15.

На другому етапі ризик-менеджер складає запитання анкети, відповідаючи на які, експерти оцінюють імовірність можливих ризикованих подій. Для цього використовують певну бальну шкалу виміру ймовірності ризику. Вона може мати, наприклад, три або п'ять категорій ризику. Основою для вибору кількості категорій має слугувати розмірність карти ризику. Наприклад, ми використовуємо три рівні ймовірності: низька (1-3 бали), середня (4-6), висока (7-9).

Під час третього етапу експерти відповідають на запитання анкети.

На четвертому етапі відповіді експертів підлягають математичній обробці, під час якої розраховують середньозважену оцінку ймовірності кожного фактора ризику. Вагами при цьому виступають компетентність експерта, яку можна визначити на основі того, наскільки правильні відповіді давав експерт у попередні рази, або з урахуванням певних об'єктивних критеріїв - посади, досвіду роботи і т. ін. Далі отримані середньозважені оцінки ймовірності факторів ризику підлягають аналізу з позиції узгодженості їхніх думок. Для цього розраховують коефіцієнт варіації або коефіцієнт конкордації. Якщо думки узгоджені, то тоді оцінку ймовірності використовують для ранжування факторів ризику та побудови карти ризиків.

Аналогові методи оцінки рівня ризику. Аналогові методи дозволяють визначити рівень ризиків за окремими наймасовішими операціями підприємства. При цьому для порівняння можна використати як власний, так і зовнішній досвід інших організацій щодо таких операцій. Невід'ємним елементом ризику-менеджменту є організація заходів щодо виконання наміченої програми, тобто визначення окремих видів заходів, обсягів і джерел фінансування цих робіт, конкретних виконавців, термінів виконання і т.д.

У стратегії ризик-менеджменту застосовуються наступні правила (рис. 1.3.3.):

Рис. 1.3.3 Правила стратегії ризик-менеджменту

Сутність правила максимуму виграшу полягає в тім, що з можливих варіантів ризикових вкладень капіталу вибирається варіант, що дає найбільшу ефективність результату при мінімальному чи прийнятному для інвестора ризику.

Підприємець у процесі своїх дій на ринку зобов'язаний вибрати стратегію, яка б дозволила йому зменшити ступінь ризику. Математичний апарат для вибору стратегії в конфліктних ситуаціях дає теорія ігор, що дозволяє підприємцю чи менеджеру краще розуміти конкурентну обстановку і звести до мінімуму ступінь ризику. Аналіз за допомогою прийомів теорії ігор спонукує підприємця розглядати всі можливі альтернативи як своїх дій, так і стратегії партнерів, конкурентів. Теорія ігор допомагає вирішувати багато економічних проблем, зв'язані з вибором, визначенням найкращого положення, підлеглого тільки деяким обмеженням, що випливають з умов самої проблеми. Отже, ризик має математично виражену імовірність настання втрати, що спирається на статистичні дані і може бути розрахована з досить високим ступенем точності.

ВИСНОВКИ ДО РОЗДІЛУ 1

Підсумовуючи вищесказане ми бачимо, що поняття ризик має досить тривалу історію, але найактивніше різні аспекти ризику почали вивчати наприкінці XIX - на початку XX ст.

На сьогодні немає однозначного розуміння сутності ризику.

Виникає запитання: як вибрати правильне визначення ризику? На мій погляд, виходити слід з того, наскільки його можна буде використати в практиці бізнесу. Виходячи з цього у менеджера має бути можливість виявити ризик, оцінити його і вжити певних заходів впливу на нього.

Отже, ризик - це ситуативна характеристика діяльності, що може мати невідомий результат і несприятливі наслідки у разі неуспіху.

Нараховують більше 40 різних критеріїв ризиків і більше 220 видів ризиків, так що в економічній літературі немає єдиного розуміння в цьому питанні.

Нині найпоширеніша така класифікація ризиків:

1  операційний ризик;

2  ринковий ризик;

3  бізнес-ризик;

4  кредитний ризик.

Що стосується методів управління ризиками, то найпоширенішими з них є:

5уникнення ризиків чи відмова від них;

6прийняття ризиків на себе;

7запобігання збиткам;

8зменшення розміру збитків;

9страхування;

10самострахування.

Поняття ризику пов'язується з усвідомленням небезпеки, загрози, ненадійності, невизначеності, непевності, випадковості, збитку. Протягом тривалого часу поняття ризику не лише асоціювалося з багатозначними негативними проявами життєвих ситуацій, а й часто вживалося як їх синонім. Показник ризику за своїм змістом - це не лише ймовірність появи непевної (випадкової) події, а й імовірність настання негативного результату.

Отже, ризик має математично виражену імовірність настання втрати, що спирається на статистичні дані і може бути розрахована з досить високим ступенем точності.

З ризиком ми зустрічаємося щоденно: і на побутовому рівні, і при здійсненні будь-якої господарської діяльності. Саме тому оцінка та шляхи нейтралізації ризиків є актуальною темою сьогодення.

РОЗДІЛ 2. АНАЛІЗ СИСТЕМИ УПРАВЛІННЯ РИЗИКАМИ У ВАТ НВП «БІЛЬШОВИК»

2.1 Діагностика ризиків фінансово господарської діяльності ВАТ НВП «Більшовик»

Центральне місце в оцінці підприємницького ризику займають аналіз і прогнозування можливих втрат ресурсів при здійсненні підприємницької діяльності.

Щоб оцінити імовірність тих або інших втрат, обумовлених розвитком подій по непередбаченому варіанту, необхідно, насамперед, знати усі види втрат, пов'язаних з підприємництвом, і вміти заздалегідь обчислити їх або вимірити як ймовірні прогнозні величини.

Для даного підприємства характерна схильність до наступних видів утрат:

. Зниження намічених обсягів виробництва і реалізації послуг внаслідок зменшення продуктивності праці, простою устаткування і виробничого персоналу або недовикористання виробничих потужностей, втрат робочого часу, відсутності необхідної кількості ресурсів у виді матеріалів або вихідної інформації, підвищеного відсотка браку веде до недоодержання запланованого доходу.

Ймовірні втрати δD у цьому випадку у вартісному вираженні визначаються по формулі (2.1.2):

(2.1.1)

де: δО - ймовірне сумарне зменшення обсягу послуг;

Ц - ціна реалізації одиниця об'єму продукції.

. Зниження цін, по яких намічається реалізувати послуги, у зв'язку з недостатньою якістю, несприятливою зміною ринкової кон'юнктури, падінням попиту, ціновою інфляцією приводить до ймовірних утрат, обумовленим по формулі (2.1.2.):

(2.1.2)

де: δЦ - ймовірне зменшення ціни одиниця об'єму послуг;

О - загальний обсяг наміченої до випуску і реалізації послуг.

. Підвищені матеріальні витрати, обумовлені перевитратою матеріалів, сировини, палива, енергії, заробітної плати ведуть до втрат, обумовленим залежністю (2.1.3.):

(2.1.3)

де: δM - ймовірна перевитрата матеріального ресурсу;

Ц - ціна одиниці ресурсу.

. Інші підвищені витрати, що можуть виникнути внаслідок високих транспортних витрат, збутових і маркетингових витрат, накладних та інших побічних витрат.

. Сплата підвищених відрахувань і податків, якщо в процесі здійснення бізнес-плану ставки відрахувань і податків зміняться в несприятливу для підприємця сторону.

Оцінка ризику є найважливішою складовою загальної системи управління ризиком. Вона являє собою процес визначення кількісним або якісним способом величини (ступеня) ризику.

Кількісна оцінка ризику дозволяє одержати найбільш точні рішення. Однак здійснення кількісної оцінки зустрічає і найбільших труднощів, пов'язаних з тим, що для кількісної оцінки ризиків потрібна відповідна вихідна інформація. В Україні ринок інформаційних послуг розвинутий поки дуже слабко і, найчастіше, важко одержати фактичні дані, які треба збирати й обробляти.

Через ці труднощі, пов'язані з нестачею інформації, часу, а іноді і з неможливістю проведення даного розрахунку через відсутність необхідних даних, відносна оцінка ризику на основі аналізу фінансового стану підприємства представляє сьогодні особливий інтерес. Це один із найдоступніших методів оцінки ризику як для підприємців-власників фірми, так і для його партнерів.

Оцінку фінансового стану підприємства варто здійснювати, ґрунтуючись на головних документах фінансової звітності, таких, як бухгалтерський баланс і декларація про прибуток і збитки.

Оцінку ризику на основі аналізу фінансового стану підприємства будемо проводити на прикладі ВАТ НВП «Більшовик» у два етапи: дослідження результативних показників діяльності підприємства й аналіз на основі спеціальних коефіцієнтів.

Етап перший - аналіз результативних показників діяльності підприємства. Результативні показники - це основні показники діяльності фірми, такі, як оборот або обсяг продажів, сума активів і ліквідність.

Активи підприємницької фірми зручніше аналізувати на основі балансового звіту фірми. Проаналізуємо наявність, склад і розміщення активів підприємства. Для зручності розгляду представимо дані в табличній формі. Вихідною базою є бухгалтерський баланс підприємства. Аналіз складу і розміщення активів компанії ВАТ НВП «Більшовик» представлений у табл. 2.1.1.

За 2011 р. загальна вартість активів зменшилась на 12 %. Дане зменшення в більшому ступені було викликано зменшенням виробничих запасів та іншої поточної дебіторської заборгованості. Однак, якщо розглядати структуру активів, то питома вага необоротних активів збільшилася на 9,92% і склала 82,57% вартості активів. Збільшення відбулося в основному за рахунок збільшення вартості основних засобів в розмірі 256270,0тис. грн. Наявність у складі активів нематеріальних активів побічно характеризує обрану підприємством стратегію як інноваційну, тому що вони включають кошти в патенти, ліцензії й іншу інтелектуальну власність. Однак наприкінці 2011 р. їхній розмір знизився на 66% і склав 58тис. грн.

Таблиця 2.1.1 Аналіз складу і розміщення активів підприємства

Показники

Базисний період

Звітний період

Зміна питомої ваги, %

Абсолютне відхилення тис. грн.

Відносне відхилення, %



Сума тис. грн.

У % до вартості майна

Сума тис. грн.

У % до вартості майна




1.

Необоротні активи Усього У тому числі:

 234963,0

 79,1

 258286,0

 82,57

 23323

 3,5

 103,4

1.1.

Нематеріальні активи

172,0

0,59

58,0

0,01

-0,58

-114

-66,3

1.2.

Основні засоби

233533,0

78,59

256570,0

82,02

3,43

23037

9,8

1.3.

Незавершене будівництво

153,0

0,05

153,0

0,04

0

-0,01

0

1.4.

Довгострокові фінансові інвестиції

-

-

-

-

-

-

-

1.5.

Інші необоротні активи

-

-

-

-

-

-

-

2.

Оборотні активи Усього У тому числі:

62181,0

20,92

54500,0

17,42

-3,5

-7681

-12,4

2.1.

Запаси

3833,0

1,28

3625,0

1,15

-0,13

-208

-5,4

2.2.

Дебіторська заборгованість усього З неї

107,17

0,03

107,84

0,03

0

0,67

0,6

2.2.1.

Платежі по якій очікуються більш ніж через 12 місяців після звітної дати

3,0

0

3,0

0

0

0

0

2.2.2.

Платежі по якій очікуються протягом 12 місяців після звітної дати

106,22

0,03

102,48

0,03

0

-3,74

-3,5

2.3.

Грошові кошти

611,0

0,2

1337,0

0,42

0,22

726

118,8

2.4.

Інші оборотні кошти

6515,0

2,19

3329,0

1,06

-1,13

-3186

-48,9


У цілому збільшення частки необоротних активів можна з однієї сторони оцінити позитивно, тому що вони слабше піддані інфляції, піддані меншому ризикові фінансових втрат у процесі господарської діяльності і практично захищені від несумлінних дій партнерів.

З іншої сторони необхідно відзначити те, що необоротні активи відносяться до групи слаболіквідних активів у короткому періоді часу і тому не можуть служити засобом забезпечення потоків платежів при зниженні рівня платоспроможності підприємства і погрозі його банкрутства.

Величина Поточних Активів у виробництві склала на початок року 62181,0 тис. грн. або 86,9% всіх активів, на кінець періоду - 9254,18 тис. грн. або 20,92 % всіх активів, тобто зі стадії обігу кошти перетікають у стадію виробництва.

Основним фактором, що вплинув на зменшення оборотного капіталу в абсолютному вираженні, є падіння запасів з 3833,0 тис. грн. до 36,25,0 тис. грн. Питома вага запасів у всіх активах зменшилася з 1,28% до 1,15%. З погляду стійкості дана тенденція є позитивною, тому що вона свідчить про збільшення ліквідності оборотного капіталу.

Розмір дебіторської заборгованості в 2011 році зріс на 0,06% і склав 107,84 тис. грн. або 0,03 % вартості майна.

Це говорить про те, що тепер ця частина поточних активів відволікається на кредитування споживачів товарів, робіт, послуг інших дебіторів, і не використовується у виробничому процесі.

Грошові кошти в абсолютному вираженні зросли з 611,0 тис. грн. до 1337,0 тис. грн. Їхня питома вага в складі активів збільшилася на 0,22 % і склала на кінець звітного періоду 0,42 %. Це говорить про підвищення ліквідності оборотних коштів підприємства.

Таким чином, у зміні структури оборотного капіталу можна відзначити тенденції росту ліквідності.

Дані для аналізу оборотних активів по категоріях ризику представлені в табл. 2.1.2.

При аналізі оборотних активів по категоріях ризику слід зазначити, що відбулося збільшення частки активів, підданих ризикові, у мінімальній і високій групах.

Зменшилася частка активів з малим ступенем ризику, що зв'язано зі зниженням розміру дебіторської заборгованості, платежі по якій очікуються протягом 12 місяців після звітної дати. Збільшилася група оборотних активів з мінімальним ступенем ризику за рахунок росту частки коштів у структурі поточних активів.

Зменшилась частка активів із середнім ступенем ризику.

У цілому ріст величини активів не міг не викликати збільшення частки ризикових вкладень. Хоча і відбулось зменшення групи із середнім ступенем ризику на -1,4%, слід зазначити, що частка цих активів у загальній величині оборотних активів незначна.

Позитивним є те, що більше 80 % складають активи з малим ступенем ризику, крім того, відсутні активи з високим ступенем ризику.

Таблиця 2.1.2. Класифікація оборотних активів по категоріях ризику

Ступінь ризику

Група оборотних (поточних) активів

Абсолютне значення

Доля групи в загальному обсязі оборотних активів

Зміни



Базисний період, тис. грн.

Звітний період, тис. грн.

Базисний період, %

Звітний період, %

Абсолютних значень, тис. грн.

у структурі оборотних коштів

Мінімальна

Грошові кошти + короткострокові фінансові вкладення

 611,0

 1337,0

 0,2

 0,42

 726

 118,8

Мала

Дебіторська заборгованість (платежі по якій очікуються протягом 12 місяців після звітної дати) підприємств із нормальним фінансовим становищем + запаси сировини і матеріалів (крім залежаного) +ГП і товари, що користуються попитом

28278

24865

9,51

7,94

-3413

-12,1

Середня

Дебіторська заборгованість (платежі по якій очікуються більш ніж через 12 місяців) + витрати в незавершеному виробництві + витрати майбутніх періодів + інші оборотні активи

25046,2

24692,5

8,42

7,89

-353,7

-0,53

Висока

Дебіторська заборгованість підприємств протягом 12 місяців, що знаходяться у важкому фінансовому становищі + ГП і товари, що не користуються попитом + залежані запаси

    -

    -

    -

    -

    -

    -


Дані для аналізу структури пасивів (джерел засобів підприємства) приведені в табл. 2.1.3. За період, що аналізується, відбулися наступні зміни в структурі пасивів. Загальний обсяг капіталу збільшився на 7%. Частка власного капіталу збільшилася на кінець 2011 р. з 77,62 % до 84,59 %. У відносному вираженні власний капітал виріс на 14,7 % і склав 264590,0 тис. грн. З погляду фінансової незалежності ця тенденція є позитивною. Фонди на підприємстві на початок і кінець періоду відсутні, а величина резервного капіталу незначна. При цьому варто звернути увагу на наступний момент: на підприємстві є значна величина нерозподіленого прибутку (19234,0 тис. грн.).

Таблиця 2.1.3. Динаміка джерел коштів підприємства

Показники

Базисний період

Звітний період

Зміна питомої ваги, %

Абсолютне відхилення, тис. грн.

Відносне відхилення



Сума, тис. грн.

У % до вартості майна

Сума, тис. грн.

У % до вартості майна




1.

Власний капітал і резерви У тому числі:

230654,0

77,62

264590,0

84,59

6,97

33936,0

14,7

1.1.

статутний капітал

8697,0

2,92

8697,0

2,78

-0,14

0

0

1.2.

додатковий капітал

-

-

-

-

-

-

-

1.3.

резервний капітал

72,0

0,02

72,0

0,02

0

0

0

1.4.

цільове фінансування і надходження

250,0

0,08

250,0

0,07

-0,01

0

0

1.4.

Довгострокові фінансові інвестиції

-

-

-

-

-

-

-

1.5.

Інші необоротні активи

-

-

-

-

-

-

-

2.

Оборотні активи Усього У тому числі:

62181,0

20,92

54500,0

17,42

-3,5

-7681

-12,4

2.1.

Запаси

3833,0

1,28

3625,0

1,15

-0,13

-208

-5,4

2.2.

Дебіторська заборгованість усього З неї

107,17

0,03

107,84

0,03

0

0,67

0,6

2.2.1.

Платежі по якій очікуються більш ніж через 12 місяців після звітної дати

3,0

0

3,0

0

0

0

0

2.2.2.

Платежі по якій очікуються протягом 12 місяців після звітної дати

106,22

0,03

102,48

0,03

0

-3,74

-3,5

2.3.

Грошові кошти

611,0

0,2

1337,0

0,42

0,22

726

118,8

2.4.

Інші оборотні кошти

6515,0

2,19

3329,0

1,06

-1,13

-3186

-48,9


У структурі позикового капіталу довгострокові зобов'язання відсутні як на початок, так і на кінець року.

Що стосується короткострокових пасивів, то тут найбільша питома вага належить кредиторській заборгованості усіх пасивів, що знизилася з 8655,0 тис. грн. до 0 тис. грн.

Для оцінки фінансових ризиків ВАТ НВП «Більшовик» використаємо метод оцінки фінансової стійкості (аналізу доцільності витрат). Цей метод орієнтований на оцінку фінансової стійкості підприємства (проекту) і на ідентифікацію на цій основі потенційних зон ризику.

Для цього були розраховані необхідні показники, які відповідають показникам забезпеченості запасів і витрат джерелами їхнього формування. Результати розрахованих показників наведений в таблиці 2.1.4.

Таблиця 2.1.4. Результати розрахованих показників для ВАТ НВП «Більшовик»

№ п/п

Показники

2009р., тис. грн.

2010р., тис. грн.

2011р., тис. грн.

Абсолютне відхилення






2009-2010

2010 - 2011

1.

Власні засоби

35473,0

230654,0

264590,0

195181

33936

2.

40691,0

233233

256570,0

192542

23337

3.

Власні обігові кошти

-

-

6304

-

-

4.

Довгострокові, середньострокові кредити і позики

-

-

-

-

-

5.

Власні, а також довгострокові і середньострокові кредити і позики

59347,0

74596,0

54620,0

15249

-19976

6.

Короткострокові кредити і позики

52127,0

66241,0

47946,0

14114

-18295

7.

Загальна величина обігових коштів

47188,0

62181,0

54500,0

14993

-7681

8.

Загальна величина запасів і витрат

48822,0

70689,0

76863,0

21867

6174

9.

Ес(ряд.3 - ряд.8)



-70559



10.

Еm(ряд.5 - ряд.8)

10525

3907


-6618

-3907

11.

Ен(ряд.7 - ряд.8)

-1634

-8508

-22363

-6874

30871

12.

±Ен

0,0,1

0,0,1

0,0,1




Для цього використовують наступні показники:
Ес надлишок (+) або нестача (-) власних обігових коштів, необхідних для функціонування підприємства або реалізації проекту;

± Ет надлишок (+) або нестача (-) власних, а також середньострокових і довгострокових позикових обігових коштів;

± Ен надлишок (+) або нестача (-) загальної величини обігових коштів (з урахуванням середньострокових і довгострокових, а також короткострокових кредитів і позик).

Ці показники відповідають показникам забезпеченості запасів і витрат джерелами їхнього формування.

Для їхнього визначення використовують балансову модель стійкості фінансового стану підприємства, то має такий вигляд:

О+ Z + Ra = Дс + Kc.д + KK+RK, (2.1.4)

де, О - основні засоби і вкладення; - запаси і витрати; - грошові кошти, короткострокові фінансові вкладення, дебіторська заборгованість та інші активи;

Дс - джерела власних коштів; с - середньострокові, довгострокові кредити і позикові кошти;

Кк - короткострокові кредити (до 1 року), позички, не погашені в термін;  RK - кредиторська заборгованість і позикові кошти.

Величина власних обігових коштів визначається як різниця між величиною джерел власних коштів і величиною основних засобів і вкладень:

Ес = Дс - О, (2.1.5)

відповідно їхній надлишок (+) або недолік (-)

± Ес = Eс - Z. (2.1.6)

Надлишок (+) або нестача (-) власних, а також середньострокових і довгострокових позикових коштів

± Ет = (Ес + Kс.д) - Z. (2.1.7)

Надлишок (+) або нестача (-) загальної величини обігових коштів

± Ен = (Ес + Кс.д + Кк) - Z. (2.1.8)

Таким чином область критичного стану відповідає області критичного ризику, коли присутні затовареність готовою продукцією, низький попит на продукцію і т. д.

Обчислення трьох показників фінансової стійкості дозволяє ідентифікувати фінансовий стан підприємства. Дане підприємство попадає в зону критичного ризику. Більш того ця ситуація повторюється протягом трьох років (2009-2011).

Для мінімізації негативних наслідків фінансових ризиків існує багато внутрішніх механізмів їх нейтралізації. Серед них: запобігання ризику, лімітування концентрації ризику, самострахування, хеджування, розподіл ризику, диверсифікація та інші методи.

Щоб покращити фінансове становище ВАТ НВП «Більшовик» необхідно вжити наступних заходів. По-перше, зазначимо, що зараз на підприємстві не здійснюється оцінка та управління жодним з ризиків. У той же час, на мій погляд, на підприємстві існує об’єктивна необхідність в розробці системи їх оцінки та запобігання. Для ефективного управління цими ризиками необхідна побудова певних моделей управління.

З позиції запобігання ризику необхідна відмова від використання у великих обсягах позикового капіталу. Інший варіант - скористатися методом лімітування і встановити на підприємстві граничний розмір позикових коштів, які використовуються в господарській діяльності (та/або інші відповідні внутрішні фінансові нормативи).

Крім того можна використати альтернативні можливості отримання доходу від різних фінансових операцій - короткострокових фінансових вкладень, формування кредитного портфеля, здійснення реального інвестування, формування портфеля довгострокових фінансових вкладень і т.п. А за допомогою диверсифікації кредитного портфеля підприємство може розширити коло покупців продукції, що зменшить його кредитний ризик.

На підставі розглянутих показників можна зробити висновок про те, що фінансове становище ВАТ НВП «Більшовик» за 2011 рік покращилося. У той же час підприємство випробує гостру недостачу високоліквідних засобів.

Крім того, фінансове становище підприємства не можна назвати стійким, тому що в попередні роки показники платоспроможності і фінансової стійкості знижувалися і не відповідали нормативам.

2.2 Інтегрована оцінка ризикозахищеності підприємства ВАТ НВП «Більшовик»

Інтегрований підхід являє собою один із варіантів подолання головного недоліку переважної більшості показників - неспроможності відобразити багатогранну ефективність діяльності в цілому. Інтегрована оцінка є спробою визначити ступінь ризикозахищеності підприємства за допомогою синтетичних показників, що охоплюють декілька найважливіших аспектів управлінської діяльності підприємства. Формула розрахунку синтетичного (інтегрованого) показника має наступний вигляд:

, (2.2.1)

де, mi - кількість часткових показників, прийнятих для оцінки ризикозахищеності;

Вагi - ступінь впливу часткового показника на систему управління;

Знi - значення оціненого часткового показника.

Для початку проаналізуємо ліквідность балансу підприємства представлені в табл. 2.2.1. Ліквідність характеризує поточний стан підприємства. Вона відбиває достатність активів для погашення своїх зобов'язань і здійснення непередбачених витрат.

Сутністю фінансової стійкості є здатність підприємства безперервно поновлювати свою діяльність у незменшуваних розмірах, вчасно оплачувати рахунки і мати досить ліквідний баланс.

Таблиця 2.2.1. Ліквідність балансу підприємства (абсолютні показники),тис. грн.

Група активів

Початок аналізованого періоду

Кінець аналізованого періоду

Група пасивів

Початок аналізованого періоду

Кінець аналізованого періоду







Найбільш ліквідні активи - А1

611,0

1337,0

Найбільш термінові пасиви - П1

8697,0

8697,0

Активи, що швидко реалізуються - А2

3833,0

3625,0

Короткострокові пасиви - П2

66240,0

47946,0

Активи, що повільно реалізуються - А3

234963,0

258286,0

Довгострокові пасиви - П3

-

-

Активи, що важко реалізуються - А4

172,0

58,0

Постійні пасиви - П4

230654,0

264590,0


У процесі аналізу зіставимо зобов'язання і можливість їхнього погашення одного часового періоду, при цьому виконуються 2 основні умови ліквідності балансу:

А1<П1, А2 < П2, А3 > П3, А4 < П4 як на початок періоду, так і на кінець.

Єдина проблема полягає в малій кількості ліквідних засобів для покриття найбільш термінових зобов'язань.

Таким чином, характеризуючи стан активів ВАТ НВП «Більшовик» необхідно відзначити зниження їхньої ліквідності. Негативним є недостатній розмір найбільш ліквідних активів: короткострокових фінансових вкладень і коштів.

Як позитивне можна відзначити, що більше 80% активів підприємства належать до активів з малим ступенем ризику. Крім того, за 2011 рік відбулося збільшення частки власних коштів, що сприяє збільшенню фінансової стійкості.

Поряд з вищезгаданими критеріями особливий інтерес представляє вивчення спеціальних коефіцієнтів, розрахунок яких заснований на існуванні певних співвідношень між окремими статтями бухгалтерського балансу. Розрахунок таких коефіцієнтів представлений у табл. 2.2.2. Динаміка платоспроможності і ліквідності підприємства.

Аналіз таких коефіцієнтів дозволяє оцінити фінансову стійкість підприємства, що у свою чергу є показником рівня підприємницького ризику [19].

На початок попереднього періоду коефіцієнт абсолютної ліквідності складав 0,0016, на початок аналізованого періоду 0,0092, а на кінець став майже рівним нормі 0,028. Той факт, що найбільш ліквідні засоби протягом попереднього року складали настільки мале значення, свідчить про серйозний дефіцит вільних коштів. Таким чином, поточна платоспроможність підприємства цілком залежить від надійності дебіторів.

Таблиця 2.2.2 Динаміка платоспроможності і ліквідності підприємства

Показники

На…початок попереднього…періоду, тис. грн.

На…початок аналізованого…періоду, тис. грн.

На кінець аналізованого періоду, тис. грн.

Зміни






За…попередній період

За досліджуваний період






Абсолютні, тис. грн.

Темп росту, %

Абсолютні, тис. грн.

Темп росту, %

1.

Коефіцієнт абсолютної ліквідності

0,0016

0,0092

0,028

0,0076

575

0,0188

3043

2.

Проміжний коефіцієнт покриття

0,15

0,34

0,15

0,019

226

-0,019

-226

3.

Загальний коефіцієнт покриття

0,91

0,94

1,14

0,03

103

0,20

121

4.

Коефіцієнт забезпеченості ліквідними активами

0,53

0,21

0,17

-0,32

39,6

0,04

80

5.

Коефіцієнт маневрування

0,14

0,02

0,03

-0,12

20

0,01

150

6.

Коефіцієнт участі матеріальних запасів покритті поточних зобов’язань

0,067

0,057

0,075

-0,01

85

0,018

131

7.

Коефіцієнт відволікання оборотних активів у запаси

0,76

0,75

0,84

-0,01

98

0,09

112


Проміжний коефіцієнт покриття також нижче норми. На початок періоду підприємство (у випадку своєчасності розрахунків дебіторів) здатне було погасити найближчим часом 34 % зобов'язань, а на кінець 2011 р. лише 15%.

Загальний коефіцієнт покриття підвищився за два періоди з 0,91 до 1,14. Тобто, обсяг поточної заборгованості, що підприємство може погасити з урахуванням наявних ресурсів, своєчасних розрахунків кредиторів і реалізацією поточних матеріальних активів зріс з 91 % зобов'язань до 114 %. Обидва показники нижче нормативного рівня, рівного 2. Однак з погляду кредиторів дані значення знаходяться в межах норми, тому що в цьому випадку база порівняння дорівнює 1.

Коефіцієнт забезпеченості ліквідними активами показує забезпеченiсть пiдприємства власними оборотними засобами. Значення цього коефiцiєнту на кінець 2011 року 0,17% , що свiдчить про повну забезпеченiсть власними оборотними засобами.

Коефіцієнт маневреності власного капіталу показує, яка частина власного капіталу використовується для фінансування поточної діяльності, тобто вкладена в оборотні кошти, а яка частина капіталізована. На початок 2010р його величина складала 0,14 , а на початок 2011 року - 0,02. За 2012 рік відбувся незначний ріст даного показника до 0,03.

Таким чином, протягом 2011 року значення коефіцієнта маневреності зменшилось. Виходячи з цього видно, що в підприємства є власний капітал, яким важко вільно маневрувати з метою збільшення закупівель сировини та ін. Підприємство може виявиться в положенні банкрута у випадку технічного переозброєння і буде зазнавати труднощів, пов'язаних зі збутом своїх послуг.

Зростання ступеня впливу фінансових ризиків на результати фінансової діяльності підприємства пов’язано зі швидкою зміною економічної ситуації в країні і кон’юнктури фінансового ринку, розширенням сфери фінансових відносин, появою нових для нашої господарської практики фінансових технологій і інструментів та інших факторів.

На сучасному етапі до числа основних видів фінансових ризиків підприємства відносяться наступні: ризик зниження фінансової стійкості підприємства, ризик неплатоспроможності, інвестиційний, інфляційний, процентний, валютний, депозитний, кредитний, податковий, структурний, криміногенний, та багато інших ризиків.

Крім цих видів ризиків деякі автори ще виділяють такі, як: маркетингові, ризики зміни законодавства, ризики зміни ціни, комерційні, ризики втрати майна, соціально-правові, функціональні, селективні, ризики ліквідності та ін.

Для оцінки фінансових ризиків використовують сукупність методів якісного і кількісного аналізу. Якісний аналіз передбачає ідентифікацію ризиків, виявлення джерел і причин їх виникнення, встановлення потенційних зон ризику, виявлення можливих вигод та негативних наслідків від реалізації ризикового рішення.

Кількісний аналіз полягає у визначенні конкретного розміру грошових збитків від окремих видів фінансових ризиків. Для цього можна використовувати економіко-статистичні методи, розрахунково-аналітичні, експертні, аналогові та багато інших.

Діяльність ВАТ НВП «Більшовик», як і діяльність будь-якого підприємства, заснована на контрактах і угодах, своєчасне виконання яких партнерами і контрагентами є однією з найважливіших умов стійкості і прогнозованої роботи підприємства.

Тому ризики, зв'язані з невиконанням господарських договорів, виділяються фахівцями в окрему групу. Серед таких можна відзначити ризик відмови партнера від укладання договору після переговорів, ризик виникнення дебіторської заборгованості, ризик укладання договору з неплатоспроможним партнером, ризик укладання договору на умовах, що відрізняються від звичайних, та ін.

До незалежних від підприємства причин виникнення даних ризиків варто віднести в першу чергу непрогнозовану неплатоспроможність партнерів, тому що неспроможність одного підприємства позначається на фінансовому становищі його партнерів, і т.д. по ланцюжку аж до платоспроможності персоналу постачальників і замовників, що не одержують зарплату на підприємстві.

Перед ВАТ НВП «Більшовик» постає ризик розкрадання інтелектуальної власності підприємства особливо в умовах недостатньої патентної захищеності вироблених послуг і технології застосування методів управління проектами в Україні.

Розглядаючи систему управління ризиками, що використовується у ВАТ НВП «Більшовик» варто виділити такі методи зниження ступеня ризику як методи дисипації і самострахування.

Дане підприємство розподіляє загальний ризик шляхом об'єднання з іншими учасниками, зацікавленими в успіху загальної справи. Учасниками є контрагенти, субпідрядники і, у тому числі і замовники, що на визначених умовах, закладених у контрактах і договорах, несуть солідарну відповідальність.

Наступним методом дисипації ризику, що застосовується на досліджуваному підприємстві є різні варіанти диверсифікації.

ВАТ НВП «Більшовик» займається декількома видами діяльності: управління проектами, розробка документації та виготовлення обладнання для переробки гуми, пластмас та їх відходів, ескалаторів, тунелепрохідницьких комплексів та іншої машинобудівної продукції.. У залежності від якісних характеристик і вимог замовників ціна на послуги підприємства може значно змінюватись. Таким чином, завод орієнтується на споживачів з різними фінансовими можливостями. Місце розташування споживачів також різняться. Як правило, велика частина замовників підприємства знаходиться в Києві та інших містах України, але в останні роки підприємство активно працює в Східній Європі, США, Франції, Данії, Англії, Німеччині, Австрії, Індії, Шрі-Ланка, Китаї, В'єтнамі, на Кубі та в інших країнах.

Можна також відзначити, що на даному підприємстві використовується диверсифікація закупівель сировини і матеріалів, тобто взаємодія з багатьма постачальниками, що дозволяє послабити залежність підприємства від його «оточення», від ненадійності окремих постачальників сировини, матеріалів, устаткування і комплектуючих.

Крім методів дисипації ризику розглянуте підприємство використовує такий метод зниження ступеня ризику як самострахування. На підприємстві створений резервний фонд. Створення подібних фондів особливо актуально в умовах кризи неплатежів. Однак розмір резервного фонду є недостатнім у порівнянні з можливими втратами в результаті виникнення простроченої дебіторської заборгованості, невиконання договору або виникнення непередбачених витрат.

Крім того, до позитивних прийомів управління ризиками, визначення якісного і кількісного рівнів ризику ВАТ НВП «Більшовик» варто віднести ретельно розроблений розділ щорічного бізнес-плану: “Аналіз ризиків”, у якому експертним шляхом визначаються види ризиків, і проводиться їх кількісна і якісна оцінка. Виходячи з результатів проведеного аналізу, визначається стратегія фінансування підприємства.

Розділ плану “Аналіз ризиків” включає:

·        результати ідентифікації всіх областей ризику щорічного бізнес-плану підприємства;

·        перелік основних ідентифікаторів ризику в кожній області;

·        результати рейтингової оцінки індикаторів ризику, що відбивають їхню значимість для досягнення річних цілей плану;

·        результати статистичного аналізу ризику, аналізу чутливості.

Слабким місцем в управлінні ризиками на підприємстві є той факт, що об'єктом аналізу ризиків є тільки господарські договори укладені і передбачені до укладання на момент процесу щорічного планування і фінансова діяльність підприємства, прогнозована на планований рік. У плані відсутні стратегії зниження ризику, що рекомендуються в кожній сфері діяльності, за винятком фінансової, пов'язаної з реалізацією щорічного плану, не передбачається планом і перелік процедур, що забезпечують моніторинг ризиків.

Як правило, настання ризикової події визначається за підсумками місяця, фахівцями фінансової й економічної служб підприємства або незадовго до настання ризикової події, коли в ситуації гострої нестачі часу, не завжди вдається значно зменшити втрати від настання ризикової події. Крім того, на підприємстві відсутня і розроблена система або програма (алгоритм), які б в умовах настання ризикової події, автоматично передбачала б застосування відповідних заходів або процедур, що знижують можливі втрати від настання ризикової події.

Аналізуючи систему управління ризиками, що використовується в даній організації, в цілому, можна сказати, що хоча деякі прийоми зниження ризику на підприємстві використовуються досить успішно, сама система не є повною.

Так підприємство незахищене від таких видів ризиків як майнові ризики, інфляційні ризики, ризики зміни кон'юнктури ринку, у тому числі і відмови замовників від виконання договорів, недостатньо знижені ризики невиконання договорів, виникнення дебіторської заборгованості, виникнення непередбачених втрат і т.д. Причинами такого положення є відсутність досвіду і фахівців з управління ризиками, нестабільність економічної і політичної ситуації, відсутність страхової культури, а також нестабільність законодавства в області страхування ризиків, що приводить до відсутності інтересу до страхування ризиків.

ВИСНОВКИ ДО РОЗДІЛУ 2

Проаналізувавши систему управління ризиками і ВАТ НВП «Більшовик», ми бачимо, що центральне місце в оцінці підприємницького ризику займають аналіз і прогнозування можливих втрат ресурсів при здійсненні підприємницької діяльності.

Для даного підприємства характерна схильність до наступних видів утрат:

1. Зниження намічених обсягів виробництва і реалізації послуг внаслідок зменшення продуктивності праці, простою устаткування і виробничого персоналу або недовикористання виробничих потужностей, втрат робочого часу, відсутності необхідної кількості ресурсів у виді матеріалів або вихідної інформації, підвищеного відсотка браку веде до недоодержання запланованого доходу.

2.      Зниження цін, по яких намічається реалізувати послуги, у зв'язку з недостатньою якістю, несприятливою зміною ринкової кон'юнктури, падінням попиту, ціновою інфляцією приводить до ймовірних утрат.

.        Підвищені матеріальні витрати, обумовлені перевитратою матеріалів, сировини, палива, енергії, заробітної плати.

.        Інші підвищені витрати, що можуть виникнути внаслідок високих транспортних витрат, збутових і маркетингових витрат, накладних та інших побічних витрат.

.        Сплата підвищених відрахувань і податків, якщо в процесі здійснення бізнес-плану ставки відрахувань і податків зміняться в несприятливу для підприємця сторону.

Було розглянуто ряд показників діяльності підприємства та проведено аналіз спеціальних коефіцієнтів на підставі яких можна зробити висновок про те, що фінансове становище ВАТ НВП «Більшовик» за 2011 рік покращилося. У той же час підприємство випробує гостру недостачу високоліквідних засобів.

Крім того, фінансове становище підприємства не можна назвати стійким, тому що в попередні роки показники платоспроможності і фінансової стійкості знижувалися і не відповідали нормативам.

Аналізуючи систему управління ризиками, що використовується в даній організації, в цілому, можна сказати, що хоча деякі прийоми зниження ризику на підприємстві використовуються досить успішно, сама система не є повною. Так підприємство незахищене від таких видів ризиків як майнові ризики, інфляційні ризики, ризики зміни кон'юнктури ринку, у тому числі і відмови замовників від виконання договорів, недостатньо знижені ризики невиконання договорів, виникнення дебіторської заборгованості, виникнення непередбачених втрат і т.д. Причинами такого положення є відсутність досвіду і фахівців з управління ризиками, нестабільність економічної і політичної ситуації, відсутність страхової культури, а також нестабільність законодавства в області страхування ризиків, що приводить до відсутності інтересу до страхування ризиків.

РОЗДІЛ 3. ВДОСКОНАЛЕННЯ СИСТЕМИ УПРАВЛІННЯ РИЗИКОМ НА ПІДПРИЄМСТВІ

3.1 Розробка технології управління ризиками за допомогою прогами цільових заходів щодо управління ризиком


Ризики впливають на різні сфери роботи підприємства і, як правило, вплив це носить негативний характер. Особливо шкідлива присутність і вплив фактора ризику на підприємство, що вже знаходиться в кризі. Роботу зі стабілізації положення необхідно починати з управління ризиками, тобто розробляти і впроваджувати економічно доцільні для підприємства рекомендації і заходи, спрямовані на зменшення фінансових втрат, пов'язаних з ризиком.

Будь-яке підприємство, зацікавлене в зниженні можливих утрат, пов'язаних з економічним ризиком, повинне вирішити для себе кілька проблем:

·        оцінити можливі збитки, зв'язані з економічними ризиками;

·        прийняти рішення про те, чи залишає вона в себе визначені ризики, тобто чи несе усю відповідальність по них сама, відмовляється від них або передає частину або усю відповідальність по них іншим суб'єктам;

·        по тим ризикам або тій частині ризиків, що вона залишає в себе, фірма повинна розробити програму управління ними, основною метою якої є зниження можливих утрат. Рішення цих задач можливо на основі розробки спеціальної програми цільових заходів щодо управління ризиком на рівні підприємства. Розробка подібної програми на рівні підприємства повинна забезпечувати таке управління ризиками, при якому основним елементам структури і діяльності фірми гарантуються висока стійкість і захищеність від внутрішніх і зовнішніх економічних ризиків. Розробка програми цільових заходів повинна включати дві стадії (рис. 3.1.1.) - попередню й основну.

Рис. 3.1.1 Стадії розробки програми цільових заходів

На попередній стадії антиризиковий менеджер повинен ознайомитися з тією довідковою і поточною конкретною інформацією, що дозволить йому прийняти рішення, що передують основної стадії розробки програми цільових заходів, і приступити до безпосередньої розробки програми. Іншими словами, ціль цієї стадії - вивчення всієї необхідної для складання програмою цільових заходів інформації.

Основна стадія являє собою власне розробку програми управління ризиками, впровадження і реалізація, якої будуть сприяти зменшенню можливого збитку для підприємства.

Антиризиковий менеджер, для обґрунтованого прийняття рішень по управлінню ризиками, повинен мати всю необхідну для цього інформацію. Ця інформація повинна бути, по можливості, зосереджена в одному джерелі. Робота на кожному з етапів повинна вестися з використанням довідкової інформації, пов'язаної з попередньою й основною стадіями розробки програми цільових заходів.

Таким чином, вивчення розробки програми цільових заходів будемо здійснювати в три стадії: розробка попередніх процедур, розробка комплексу превентивних заходів і, нарешті, опис довідкової інформації з обох етапів розробки програм. Приступимо до вивчення першого, попереднього, етапу розробки і розглянемо тут наступні теоретичні проблеми, зв'язані з цим етапом: цілі, задачі і принципи управління ризиками, ризики, що враховуються в програмі і процедури управління ризиками.

Метою розробки будь-якої програми цільових заходів є забезпечення успішного функціонування підприємства в умовах ризику. Ця мета може бути досягнута за рахунок вирішення наступних основних задач:

·  виявлення можливих економічних ризиків;

·        зниження фінансових утрат, зв'язаних з економічними ризиками.

Ця головна мета й основні задачі можуть бути конкретизовані з будь-яким ступенем глибини рішення задачі розробки програми цільових заходів. Так, рішення задачі зниження фінансових утрат, зв'язаних з економічним ризиком, може здійснюватися, наприклад, у такий спосіб: усуненням існуючого ризику, запобіганням можливого ризику, безпосереднім запобіганням можливого збитку, опосередкованим запобіганням можливого збитку (через управління факторами ризику), компенсацією уже виниклого збитку.

При аналізі такої програми повинні бути уточнені перелік, а також зміст цілей і задач перегляду програми цільових заходів.

Реалізація поставлених цілей і задач управління ризиками вимагає від антиризикового менеджера уточнення і вибору тих основних принципів управління ризиками фірми, що будуть враховуватися їм при розробці програми цільових заходів.

Принципи, якими керується менеджер при розробці і впровадженні програми, у першу чергу, визначаються стратегією підприємства. Так, якщо підприємство орієнтується на забезпечення своєї фінансової стійкості, відповідні принципи, якими повинен керуватися розроблювач програми, будуть диктувати вибір методів управління ризиками, що забезпечують цю фінансову стійкість. Таким конкретним принципом, може бути, наприклад, принцип орієнтації компанії на передачу всіх ризиків у зовнішнє середовище.

Для ефективного розвитку фірми обов'язкове дотримання наступного принципу управління ризиками: узгодження роботи фірми з вимогами зовнішнього середовища, у тому числі з вимогами зовнішнього для даної фірми ризику-менеджменту.

Ризики, з якими зіштовхується менеджер, численні і різноманітні. Існують різні види ризиків і критерії, що дозволяють їх класифікувати.

Насамперед, необхідно говорити про комерційні ризики, що виникають у будь-якій комерційній, виробничо-господарській діяльності. Критерій виділення даної групи ризиків - первинна причина їхнього виникнення (виробничо-господарська діяльність фірми). Під комерційним ризиком звичайно розуміється ризик економічних утрат, зв'язаних з реалізацією комерційної, виробничо-господарської діяльності.

Наступний критерій, що може використовуватися при класифікації ризиків - наслідки ризику. Відповідно до нього всі ризики поділяються на дві великі групи - чисті і спекулятивні.

Для ризику-менеджменту на рівні фірми інтерес представляють спекулятивні економічні ризики - ті ризики, позитивний і негативний результат яких може бути обмірюваний у грошовому вираженні.

З урахуванням мети і задач ризику-менеджменту об'єктом розгляди програми цільових заходів можуть бути економічні ризики, зв'язані з власне виробничо-господарською діяльністю, а також економічні ризики, зв'язані з проведенням фінансових операцій.

До числа можливих найзагальніших процедур управління ризиками варто віднести:

· прийняття ризиків на себе (тобто на свою відповідальність);

·        відмова від ризиків;

·        передача частини або усієї відповідальності по ризиках іншим суб'єктам.

Вибір тієї або іншої процедури управління ризиками визначається загальною стратегією фірми у відношенні ризиків, що, у свою чергу, залежить від сумарного розміру потенційних збитків, з одного боку, і фінансових можливостей фірми, з іншої. Стратегія фірми у відношенні ризиків може бути різною. Для обережної стратегії характерна перевага наступних процедур управління ризиками:

· відмова від ризиків;

·        передача ризиків іншим суб'єктам.

Обережна стратегія фірми характеризується тим, що керівництво підприємства прагне мінімізувати ризик банкрутства, утрати планованого доходу або прибутку. Необхідно мати на увазі, що найчастіше, саме більш ризиковані стратегії дозволяють фірмі вирватися з загального оточення й освоїти нову ефективну ринкову нішу.

Для більш ризикованої стратегії управління ризиками характерна перевага наступних процедур:

· прийняття ризиків на себе;

· передача ризиків іншим суб'єктам.

Дана стратегія характеризується тим, що розмір ризиків, що залишаються в себе, може бути досить великим, і тільки надмірні, катастрофічні ризики фірма частково або цілком передає іншим суб'єктам.

Для більш зваженої стратегії, яка досить часто зустрічається, характерно майже рівнозначне використання всіх процедур управління ризиками:

· відмова від ризиків;

·        прийняття ризиків на себе;

·        передача ризиків іншим суб'єктам.

Кількісним критерієм вибору тієї або іншої процедури управління ризиками є граничні значення, встановлені або за імовірністю появи збитку, або за розміром можливого збитку по деяких напрямках і аспектам діяльності підприємства.

Приступимо до розгляду другого етапу розробки цільової програми з управліня ризиками - основного етапу. Після того як менеджер закінчив попередню стадію розробки програми управління, він повинен перейти безпосередньо до розробки самої програми. Першим кроком розробки повинен бути етап попереднього відбору ризиків, з якими менеджер буде працювати далі при складанні програми цільових заходів.

Другим кроком розробки програми повинен бути етап відбору можливих превентивних заходів і формування на їхній основі плану. Проведення таких заходів спрямовано на зниження імовірності реалізації ризику, тобто імовірності появи збитку, а також на зменшення розміру можливого збитку.

Таким чином, розглянемо наступні аспекти реалізації основної стадії розробки програми цільових заходів (рис. 3.1.2.):

Рис. 3.1.2 Аспекти реалізації основної стадії розробки програми цільових заходів

До того як почнеться безпосередня процедура відбору превентивних заходів, антиризиковий менеджер уже може провести деякий попередній аналіз наявних у фірмі ризиків.

Найчастіше питання про необхідність обліку тих або інших ризиків пов'язані з виявленням факторів ризику й оцінкою їхнього впливу. Для цих цілей можуть використовуватися різні методи виявлення й оцінки факторів ризику. До таких методів можуть бути віднесені, наприклад, методи факторного аналізу, методи прийняття рішень в умовах невизначеності, оптимізаційні методи, методи тимчасових рядів, імітаційні моделі й інші.

Ризики, відібрані менеджером на цьому етапі, будуть брати участь далі в розробці програми. При цьому, після того як фірма “відкине” частину ризиків за рахунок застосування процедури відмови від ризиків, антиризиковий менеджер вправі переглянути рішення по ризиках, прийнятих на себе. Частину з них він надалі може так і залишити на власному утриманні, частину може удержати на основі самострахування і ще одну частину - передати іншим суб'єктам на основі застосування таких методів управління, як страхування або інші методи передачі ризику.

Складання плану проведення превентивних заходів є наступним етапом реалізації основної процедури розробки програми цільових заходів.

При складанні такого плану менеджер повинен враховувати деякі обмеження. Насамперед варто враховувати фінансові можливості фірми по проведенню превентивних заходів - тут обмеження можуть бути дані як по окремому i-му заходу Оi, так і по всій групі заходів ΣiOi. Наприклад, фірма може виділити на проведення всіх превентивних заходів лише деяку суму засобів О. Ця сума і буде обмеженням загального розміру витрат на впровадження превентивних заходів:

(3.1.1)

Наступним обмеженням на впровадження того або іншого превентивного заходу повинна стати економічна доцільність його проведення. Під нею розуміється ситуація, при якій витрати на впровадження превентивного заходу не перевищують економії по збитках, отриманої в результаті його впровадження.

(3.1.2)

де: Впзі - витрати на проведення i-гo превентивного заходу;

Епзі - економія на збитках, обумовлена впровадженням i-гo превентивного заходу.

Доти поки має місце дана ситуація, упровадження i-гo заходу є економічно виправданим.

Метою даного етапу є аналіз усіх ризиків після того, як був сформований план превентивних заходів, для того, щоб визначити можливості застосування до них тих або інших методів управління ризиками.

Після того, як реалізовані процедури “Відбір превентивних заходів і формування плану превентивних заходів”, необхідно проаналізувати всі ризики фірми заново. Тобто ризики, що залишилися, що не підпали під превентивні заходи, і ті, з якими фірма буде мати справу після проведення превентивних заходів - у деякому сенсі нові для неї, тому що значення їх критеріальних характеристик стали іншими.

Фактично програма цільових заходів щодо управління ризиками сформувалася в результаті реалізації наступних основних процедур:

·        попередній відбір ризиків, що залишаються на рівні фірми, з урахуванням обраної стратегії фірми і вимог процедур управління ними;

·        формування плану превентивних заходів;

·        вибір методів управління ризиками.

У підсумку в програму цільових заходів увійшли наступні ризики:

·        ті, які потрапили під дію плану превентивних заходів;

·        ті, які не потрапили під дію плану превентивних заходів.

І для тих і для інших ризиків менеджер може визначити конкретні методи управління ними.

Реалізація плану превентивних заходів і використання методів управління ризиками в загальному випадку приводять до зміни імовірності настання збитку і його можливого розміру. Тому по всіх ризиках фірми повинні бути заново перераховані значення цих двох основних характеристик.

Результатом етапу остаточного формування програми цільових заходів щодо управління ризиками є розроблена програма управління ризиками, що включає план превентивних заходів як обов'язковий блок програми.

Програма повинна містити:

·        план проведення превентивних заходів;

·        перелік ризиків, що підпадають під план превентивних заходів;

·        перелік ризиків, що не підпадають під план превентивних заходів;

·        конкретні методи управління по всіх ризиках.

По всіх ризиках значення наступних характеристик:

·        імовірність настання збитку і його можливий розмір;

·        однорідність і кількість аналогічних ризиків, перелічені з урахуванням упровадження програми управління ризиками ПУР;

·        значення максимально можливого, найбільш ймовірних і очікуваного збитків.

Ефективність розробки програми цільових заходів може бути оцінена способом, заснованому на співставленні з фінансовими можливостями фірми значень максимально можливого, найбільш імовірного і очікуваного збитків до і після впровадження програми. Співставлення можна проводити на основі розрахунку коефіцієнта фінансових можливостей фірми по покриттю збитку. Цей коефіцієнт розраховується для максимально можливого, найбільш ймовірного і очікуваного збитків для двох варіантів - до впровадження програми управління ризиками і після неї.

Коефіцієнти фінансових можливостей фірми по покриттю різних видів збитків фірми до впровадження програми цільових заходів розраховуються по формулах:

(3.1.3)

(3.1.4)

(3.1.5)

де: НІмЗ, ММоЗ й ОЗ - відповідно найбільш імовірний, максимально можливий і очікуваний збиток;

ФМ - фінансові можливості фірми по покриттю збитків.

Коефіцієнти фінансових можливостей фірми по покриттю різних видів збитків фірми після впровадження розраховуються по формулах:

(3.1.6)

(3.1.7)

       (3.1.8)

де: НІмЗПЦЗ, ММоЗПЦЗ і ОЗПЦЗ - відповідно найбільш імовірний, максимально можливий і очікуваний збиток після впровадження програми цільових заходів;

ВПЦЗ - витрати на розробку і впровадження програми цільових заходів.

Варто враховувати, що в чисельнику формул (3.1.6), (3.1.7) і (3.1.8) при визначенні ефективності програми додатково враховуються витрати на її розробку і впровадження.

3.2 Обґрунтування системи мінімізації ризиків, на підприємстві ВАТ НВП «Більшовик»

З огляду на те, що одним з основних ризиків для ВАТ НВП «Більшовик», є ризики пов'язані з господарськими договорами необхідно виділити в системі способів мінімізації ризиків ці види ризиків у якості одного з пріоритетів системи.

Одним зі способів зниження ризиків невиконання господарських договорів для підприємства ВАТ НВП «Більшовик», є використання страхових інструментів. Прикладом страхування такого роду ризиків є укладання договорів страхування на випадок неможливості, в зв'язку з обговореними причинами, надати послуги (виконати роботи) за раніше укладеними контрактами, а також відмови замовника від виконання контракту. У цих випадках, страхувальникові відшкодують збитки, зв'язані з необхідністю пошуку нових замовників, здійсненням заходів юридичного характеру, зв'язаних із судовими витратами, втратами від інфляції і т.п.

Ризики входження в договірні відносини з неплатоспроможними партнерами також виражаються в укладанні договорів на закупівлю ресурсів з постачальниками, що не в змозі виконати свої зобов'язання через поганий фінансовий стан. Дані ризики також містять у собі надання послуг неплатоспроможним замовникам. У цьому випадку виникає ризик того, що понесені витрати або окупляться несвоєчасно, або у випадку несвоєчасної оплати виконаних робіт, оплати послуг виконаного контракту підприємству приходиться йти на інші додаткові витрати (здійснення заходів юридичного характеру, судові витрати, втрати від інфляції і т.д.). Крім того, може змінитися й обсяг виконаних робіт, наданих послуг.

Щоб уникнути подібних втрат, підприємству необхідно перевіряти платоспроможність постачальників сировини, матеріалів і замовників робіт, послуг. Крім того, для зниження ризиків у даній ситуації підприємство може створювати резерви на випадок непередбачених витрат, прогнозувати галузеву (для постачальників) динаміку цін, втягувати постачальників у діяльність підприємства шляхом укладання договорів участі в прибутках або шляхом придбання акцій, створювати резервні запаси матеріалів та ін.

Крім того, страхування може використовуватися для зниження ризиків виникнення непередбачених витрат. Існує цілий ряд видів страхування на випадок перерви в господарській діяльності. Підприємства й організації, можуть, наприклад, укласти договір страхування на випадок перерв у своїй діяльності в зв'язку з поломками устаткування. Таке страхування проводиться на додаток до страхування устаткування й інших установок від впливу води, вогкості, злочинних дій третіх осіб та інших непередбачених обставин.

Окремо варто розглядати страхування тимчасового прибутку і страхування від утрати доходу в результаті зміни кон'юнктури ринку. За такими договорами страхова компанія несе відповідальність у випадку виникнення в страхувальника збитків, якщо він не зміг через страховий випадок забезпечити постачання продукції або надати послуги в той період, коли попит на них був максимальним. Утрата прибутку може відбутися в результаті заміни на підприємстві застарілого устаткування, упровадження нової техніки, виплати штрафних санкцій і арбітражних судових витрат.

Перед ВАТ НВП «Більшовик», постає ризик розкрадання інтелектуальної власності підприємства особливо в умовах недостатньої патентної захищеності вироблених послуг, технології виконання робіт в Україні. Даний ризик також можна перекласти на страхову компанію.

Крім того, для попередження ризиків або їхньої мінімізації необхідно встановити на підприємстві тверду майнову відповідальність матеріально відповідальних осіб, організувати охорону території виробничого підприємства. Крім страхування підприємству доцільно використовувати такий метод мінімізації ризиків як самострахування або резервування засобів на покриття непередбачених витрат. Ретельно розроблена оцінка непередбачених витрат зводить до мінімуму перевитрату коштів.

У ВАТ НВП «Більшовик», створений резервний фонд, однак його розмір незначний (менш 1 тис. грн.).

Основними формами цього напрямку нейтралізації фінансових ризиків є:

· формування резервного фонду підприємства. Він створюється відповідно до вимог законодавства і статуту підприємства;

·        формування цільових резервних фондів. Прикладом такого формування можуть служити фонд страхування цінового ризику; фонд уцінки товарів на підприємствах торгівлі; фонд погашення безнадійної дебіторської заборгованості і т.п.;

·        формування системи страхових запасів матеріальних і фінансових ресурсів по окремих елементах оборотних активів підприємства. Розмір потреби в страхових запасах по окремих елементах оборотних активів встановлюється в процесі їхнього нормування;

· нерозподілений залишок прибутку, отриманого в звітному періоді.

Визначення структури резерву на покриття непередбачених витрат може здійснюватись на базі визначення непередбачених витрат по видах витрат, наприклад, на заробітну плату, матеріали, субконтракти. Така диференціація дозволяє визначити ступінь ризику, пов'язаного з кожною категорією витрат, що потім можна поширити на окремі етапи виробництва.

Резерв не повинен використовуватися для компенсації витрат, понесених унаслідок незадовільної роботи. Поточні витрати резерву повинні відслідковуватися й оцінюватися, щоб забезпечити наявність залишку на покриття майбутніх ризиків. При здійсненні нового виробничого проекту може бути використаний спосіб визначення структури резерву непередбачених витрат шляхом його розподілу на загальний резерв, що повинен покривати зміни в кошторисі, доставки до загальної суми контракту й інші аналогічні елементи, і, спеціальний резерв, що включає в себе надбавки на покриття росту цін, збільшення витрат по окремих позиціях, а також на оплату позовів по контрактах.

Після виконання робіт, для яких виділений резерв на покриття непередбачених витрат, можна порівняти плановий і фактичний розподіл непередбачених витрат, і на цій основі визначити тенденції використання непередбачених витрат до завершення проекту. При цьому невикористана частина виділеного резерву на покриття непередбачених витрат може бути повернута в резерв проекту.

Для ефективного управління дебіторською заборгованістю, ліквідністю і позиковою політикою для даного підприємства рекомендується використовувати такий спосіб зниження ризику господарської діяльності як лімітування. Лімітування може застосовуватися при наданні послуг, виконання робіт у кредит, наданні позик, визначенні сум вкладення капіталу і т.п.

Система фінансових нормативів, що забезпечують лімітування концентрації ризиків, повинна включати:

·  граничний розмір (питома вага) позикових засобів, використовуваних у господарській діяльності;

·        мінімальний розмір (питома вага) активів у високоліквідній формі;

·        максимальний розмір товарного (комерційного) або споживчого кредиту, наданого одному замовнику;

·        максимальний період відволікання ресурсів у дебіторську заборгованість.

На досліджуваному підприємстві застосовуються деякі види такого способу зниження ризику як диверсифікованість. Однак можливості цього способу мінімізації ризику у ВАТ НВП «Більшовик», не вичерпані. Так доцільним буде застосування диверсифікація фінансової діяльності при одночасному збільшенні масштабів останньої. Зокрема збільшення короткострокових фінансових вкладень приведе до росту ліквідності, а їхня диверсифікація - до зниження ризику.

ВАТ НВП «Більшовик», необхідно враховувати ризик неоптимального розподілу ресурсів, економічні коливання і зміни переваг замовників і дії конкурентів, а також політику держави в області ціноутворення в будівництві. Для даного підприємства ці ризики мають особливе значення, тому що енергетична галузь і будівництво характеризуються наявністю гострої конкурентної боротьби як між вітчизняними, так і західними компаніями.

Керувати даними ризиками можна за допомогою маркетингових досліджень. Так доцільно провести дослідження для визначення точної кількості виробництва послуг, виконання робіт, вивчення можливих дій конкурентів і переваг замовників. Результати даних досліджень можуть бути використані виробничим і збутовим відділами для визначення пріоритетів при розподілі ресурсів, у залежності від їхньої наявності. Прогноз переваг замовників, з урахуванням дій конкурентів, - у виробничій і маркетинговій політиці.

Крім перерахованих вище рекомендацій зі зниження ризиків на підприємстві можуть бути використані методи мінімізації ризиків, пов'язані з включенням додаткових пунктів у контракти з контрагентами, таких як:

· забезпечення стягнення з контрагента по фінансовій операції додаткового рівня премії за ризик;

·        одержання від контрагентів певних гарантій;

·        скорочення переліку форс-мажорних обставин у контрактах з контрагентами;

·        забезпечення компенсації можливих фінансових утрат по ризиках за рахунок системи штрафних санкцій, що передбачається;

·        оплати частини контракту після одержання товарів, устаткування і закінчення гарантійного терміну, наданого постачальниками або після здачі об'єкта в експлуатацію, здачі етапу виконаних робіт.

На практиці найбільш ефективний результат можна одержати лише при комплексному використанні різних методів зниження ризику. Комбінуючи, їх один з одним, у різних сполученнях, можна досягти також оптимального співвідношення між рівнем досягнутого зниження ризику і необхідними для цього додатковими витратами.

Підводячи підсумки вищесказаному, можна відзначити наступне, що система управління ризиками на будь-якому підприємстві виробничої сфери діяльності при впровадженні в запропонованому варіанті є досить витратною, з фінансової точки зору. Тому на первісному етапі впровадження системи управління ризиками на підприємстві, можна обмежиться наявністю кваліфікованого ризик-менеджера (начальника відділу управління ризиками ВУР) і ретельно відібраною групою фахівців функціональних відділів: маркетингу, фінансового, планово-економічного, виробничого, управління персоналом, підлеглих ризик-менеджерові в оперативному управлінні і, як наслідок, перехід до матричної форми управління в організації.

3.3 Розробка інформаційної системи управління ризиками

У своїй діяльності ВАТ «Більшовик» стикається з різними ризиками, які можуть виникати через внутрішні, так і зовнішні чинники.

Наявність системи управління ризиками дозволить не тільки мінімізувати втрати і збитки, але буде й одним з найважливіших доданків інвестиційної привабливості компанії.        

Основні ризики ВАТ «Більшовик»:

§  ризики, що виникають при розробці і упровадженні нової продукції;

§  недосконалість законодавства (в т.ч. антимонопольного);

§  конкуренція (неможливість швидко відреагувати на запити клієнтів);

§  ризики, пов'язані з розвитком компанії і будівництвом нових об'єктів (зрив термінів підрядними організаціями, недолік фінансових коштів);

§  стихійні біди;

§  На даному етапі своєї діяльності перед ВАТ «Більшовик» стоять наступні.завдання,..див...рис..3.3.1:

Рис. 3.3.1 Система управління операційними ризиками ВАТ «Більшовик»

Для формування інформаційної моделі системи управління ризиками проектів підприємства скористаємося технологією бізнес-моделювання ОРГ-Майстер. ОРГ-Майстер дозволяє вирішувати комплекс задач управління в частині моделювання проектної діяльності підприємства на структурному і процесної рівнях, формувати документовані процедури та організаційні положення.

Засобами ОРГ-Майстер можна побудувати структурно-функціональні моделі системи управління ризиками проектів підприємства, які складаються з ієрархічно впорядкованих класифікаторів функцій, процесів,організаційних ланок, ресурсів і документів, а також відносин між ними. Це дає можливість проводити аналіз організаційних аспектів проектної діяльності підприємства, зробити процеси управління ризиками проектів стандартними і добре регламентованими, підвищити конкурентоспроможність підприємства та успішність реалізації намічених проектів.

На основі ключових завдань системи управління ризиками проекту СУРП і за допомогою інструментальних засобів ОРГ-Майстер була створена інформаційна модель управління ризиками проектів підприємства, структура якої наведена рис. 3.3.2.

Рис. 3.3.2 Структура інформаційної моделі управління ризиками підприємства

Інформаційна модель управління ризиками проектів підприємства складається з комплексу взаємопов'язаних класифікаторів та матричних проекцій між ними, враховує не тільки організацію управління проектними ризиками підприємства, але і методи структурування, аналізу та управління ризиками. До складу моделі організації управління ризиками проектів підприємства входять наступні класифікатори:

§  «Опції СУРП»;

§  «Процеси СУРП»;

§  «Організаційна структура СУРП».

До складу моделі структурування, аналізу та управління ризиками проектів підприємства входять наступні класифікатори:

§  «Ієрархічна структура ризиків проекту»;

§  «Ідентифікація ризиків»;

§  «Оцінки характеристик ризиків»;

§  «Рівень ризиків»;

§  «Заходи реагування на ризики».

Взаємозв'язок між моделлю організації управління ризиками проектів підприємства і моделлю структурування, аналізу та управління ризиками формуємо за допомогою матричних проекцій.

В даний час у ВАТ НВП «Більшовик» - проводиться дослідна експлуатація автоматизованої підсистеми внутрішнього контролю та управління операційним ризиками. Введення підсистеми в промислову експлуатацію буде запланований на початок 2011 року.

ВАТ НВП «Більшовик» протягом останніх двох років займається побудовою корпоративної системи внутрішнього контролю та управління ризиками. Одним з перших напрямків реалізації політики компанії у сфері ризик-менеджменту, затвердженої Радою Директорів ВАТ НВП «Більшовик» (протокол від 04.04.2011), була обрана виробнича діяльність.

Слід відмітити, що ймовірність виходу з ладу виробничого обладнання на підприємстві існувала завжди, незалежно від умов експлуатації та навколишнього середовища. Причому верхня межа збитку для цієї групи ризиків передбачає серйозні аварії, що призводять до тривалих простоїв, значного недоотпуску електроенергії, порушення екологічної безпеки і т.д.

Впроваджувана автоматизована система управління ризиками дозволить в оперативному режимі відстежувати і керувати розвитком ризикових ситуація починаючи від рівня співробітників до топ-менеджменту компанії.

В рамках її впровадження на виробничих філіях будуть створені автоматизовані робочі місця (АРМ) для внесення та оперативної коригування інформації про можливі загрози, моніторингу та контролю за реалізацією заходів щодо їх мінімізації, оцінки поточного та ймовірного рівня ризику.

ВАТ НВП «Більшовик» щоденно піддається ризикам операційної діяльності, ризикам помилок стратегічного характеру та ризиків невдалих фінансових угод. Не маючи методики і механізмів управління ризиками, ВАТ НВП «Більшовик» все ж таки чи інакше       приділяє до 60% робочого часу менеджерів на управління ризиковими ситуаціями.

Управління зазвичай зводиться до несистемно реалізації превентивних заходів (наприклад, страхування) або до управління процесами з ліквідації наслідків на ступивши ризиків, що є вкрай витратними методами, які не дають возможності прогнозувати і запобігати збиткам від ризиків.

З урахуванням сучасної практики ведення бізнесу компанії сьогодні вже не прагнуть керувати наслідками негативних подій, а застосовують процеси на основі аналізу агрегований історичної вибірки фактів, оцінки ризикових виконаних ефективних заходів щодо зниження наслідків ризиків.

Така система управління ризиками дозволить ВАТ "Більшовик" отримати ефект у скороченні витрат та прямих збитків в 15-30% у порівнянні із сумами минулих років.

Автоматизована система управління ризиками (АСУР), будучи частиною комплексної системи управління ризиками (КСУР), покликана допомогти фахівцям по ризик-менеджменту автоматизувати всі процеси керування ризиками, дає можливість більш точно моделювати ситуації, якісно і кількісно оцінювати наслідки та ймовірність, виконувати аналіз ризику з більшою точністю.

Автоматизація процесів ідентифікації та планування реагування на ризики значно підвищить ефективність ризик-менеджменту ВАТ НВП «Більшовик». АСУР також дозволить здійснювати моніторинг ризиків, вартісну оцінку ризику, оперативно реагувати на появу і розвиток ризику, накопичувати відомості про певні інструменти та методи управління ризиками, підвищити стійкість підприємства до впливу несприятливих факторів, мінімізувати фінансові наслідки ризиків, вести статистику порушень і ризикових подій.

Системи такого типу на даний момент активно використовуються в банківському бізнесі, але для української компанії реального сектора економіки досвід впровадження автоматизованої системи управління ризиками є унікальним. Використання в операційній діяльності автоматизованої підсистеми внутрішнього контролю та управління операційними ризиками дозволить підвищити ефективність виробничої діяльності ВАТ НВП «Більшовик» і надійність експлуатації виробничих об'єктів.

Система управління ризиками компанії дозволяє:

§  створювати додаткову вартість компанії за рахунок таких факторів, як економія на витратах (по усуненню наслідків ризиків);

§  своєчасно і систематично інформувати акціонерів та вище керівництво компанії про причини виникнення і величину фактичних і можливих збитків;

§  знизити ризикові втрати (на 10-30%);

§  підвищити передбачуваність фінансових показників компанії за рахунок стабілізації фінансових потоків;

§  знизити агентські витрати; підвищити загальну ефективність корпоративного управління компанією;

§  підвищити кредитний рейтинг і рейтинг корпоративного управління;

§  підвищити інвестиційну привабливість компанії;

§  відповідати вимогам регуляторів при розміщенні цінних паперів;

§  відповідати кращим світовим практикам.

Далі представимо автоматичну систему управління операційними ризиками її розробку і поетапне впровадження на ВАТ НВП «Більшовик».

Програма для автоматизації ризик-менеджменту «Risk Defender» дозволяє вести єдиний реєстр ризиків для центрального управління та філій і здійснювати моніторинг ризиків у режимі реального часу, в зручній та наочної для користувача формі, з використанням індикаторів, звітів, графіків.

Функціональні можливості АСУР при автоматизації управління ризиками:

§ Проведення наскрізного тестування цілей (бізнес-процесів);

§  Виявлення ризиків (управління ризиками) від цілей;

§  Виявлення проектних ризиків;

§  Ієрархічна класифікація факторів ризику;

§  Підтримка можливості в рамках ризик-менеджменту як якісною, так і кількісної оцінки (по вартісної шкалою);

§  Оцінка ризику в розрізі декількох наслідків і цілей, на які впливає ризик;

§  Залучення до оцінки експертів, отримання підсумкових оцінок з урахуванням ваг експертів;

§  Використання заздалегідь підготовлених запитальників для оцінки ризику;

§  Оцінка як властивого, так і залишкового ризику;

§  Накопичення історичних даних по кожному ризику;

§  Можливість задавати дату та період переоцінки ризику;

§  Можливість визначення прогнозної та фактичної вартості заходів для зниження ризику;

§  Можливість задавати дати початку та закінчення виконання заходів, періодичності їх виконання та контролю виконання;

§  Можливість постійно відслідковувати актуальний статус виконання та контролю виконання заходів ризик-менеджменту;

§  Оцінка ефективності як системи управління ризиками СУР в цілому, так і окремих розроблених комплексів заходів для кожного ризику;

§  Система автоматичних повідомлень і нагадувань для відповідальних на кожному етапі роботи з ризиками;

§  Прикріплення звітів і будь-яких інших файлів на етапах управління ризиками;

§  Архівування ризиків як частина автоматизації управління ризиками;

§  Накопичення статистики про реалізацію ризикових подій;

§  Масштаб проектів передбачає управління всіма типами ризиків клієнта: від стратегічних до операційних ризиків.

Тобто, таким чином автоматизація ризик-менеджменту дозволить підняти комплексну систему управління ризиками на новий якісний рівень.

Комплексна система управління ризиками (КСУР) систематичне управління усіма ризиками компанії.

Слід зазначити, що КСУР складається з наступних елементів:

§  Організаційною структури у правління ризиками;

§  Системи прийняття рішень, пов'язаних з управлінням ризиками;

§  Стратегічного планування з урахуванням ризиків;

§  Нормативної бази (методичні вказівки, регламенти та ін) з управління ризиками;

§  Автоматизованої системи управління ризиками (АСУР).

Комплексна система управління ризиками (КСУР) має наступні властивості:

§  Управління всіма типами ризиків;

§  Розробка, впровадження та дотримання єдиної методології виконання робіт по управлінню ризиками;

§  Формування комплексу показників ризику, прийнятного для Групи компаній;

§  Використання портфельного підходу в управлінні ризиками;

§  Сприяння менеджменту і раді директорів у прийнятті управлінських рішень з урахуванням контролю над ризиком;

§  Вироблення рівня толерантності компанії до ризиків (групам ризику та / або конкретним ризиками).

Перед впровадженням системи управління ризиками на ВАТ "Більшовик", необхідно спершу визначити масштаб даного проекту. Відаленою і більш результативною системою була б така, яка б охоплювала всі типи ризиків, пріоритетні для організації, органічно вписувалася в існуючу систему управління, була б оптимальною в плані фінансових, трудових витрат і кінцевого ефекту від її використання.

Необхідно пам'ятати також два основних правила здійснення такого проекту:

§  перший - робота системи повинна економічно виправдовувати витрати на її впровадження і підтримку;

§  другий - менеджмент компанії має розуміти призначення системи, використовувати її звітність та показники.

У даному випадку допоможе сформований комплекс показників ризику, що дозволять спростити задачу моніторингу найважливіших ризиків компанії по встановленним критеріям і використовувати їх керівництвом для прийняття управлінських рішень.

Автоматизована система управління ризиками (АСУР) покликана допомогти фахівцям ВАТ "Більшовик" автоматизувати всі процеси управління ризиками та призначена для запобігання ризикових подій, зниження можливих збитків і витрат підприємства відповідно.

Основними завданнями АСУР є:

§  реалізація системного автоматизованого підходу в галузі управління ризиками;

§  реалізація механізмів аналізу ризиків із застосуванням сучасних статистико-математичних методів;

§  контроль виконання заходів з мінімізації ризику і розрахунок економічного ефекту;

§  реалізація механізмів автоматичного моніторингу ефективності системи управління ризиками;

§  отримання підсумкової аналітичної звітності з управління ризиками в режимі реального часу.

Далі представимо графічно модель АСУР, див. рис.3.3.3:

Рис. 3.3.3 Модель автоматизованої системи управління ризиками підприємства

Можливості АСУР. Зберігання даних в довідниках:

§ Використання ієрархії класифікації;

§  Ведення єдиного реєстру ризиків;

§  Замкнутий цикл роботи з ризиками:

- Описувати ризики;

Проводити кількісну та якісну оцінку;

Призначати заходи;

Звітувати про виконання заходів;

Звітувати про результати контрольних перевірок;

Фіксувати ризикові події;

Накопичувати статистику подій;

Розраховувати ефективність заходів по зниженню ризиків;

§ Формування звітів та графічних форм;

§  Тип доступу до системи: доступ за технологією «тонкий» (web) клієнт;

§  Відкритість системи для подальшого розвитку та інтеграції з програмними продуктами інших виробників;

§  Розмежування роботи в програмі з прав доступу і ролям;

§  Можливість внесення змін у систему з урахуванням побажань Замовника;

Для функціонування етапів управління ризиками, звітів та аналітики, створені довідники з необхідними параметрами. Можливості:

§ Створення багатовимірних довідників даних;

§  Взаємозв'язок даних різних довідників для спрощення роботи по етапах управління ризиками;

§  Єдина модель метаданих;

§  Ієрархічна структура даних;

§  Управління нормативно-довідковою інформацією;

§  Вилучення, трансформація і завантаження даних;

§  Інтеграція із зовнішніми реляційними та багатовимірними базами і сховищами даних.

Моніторинг бази ризиків проводиться за допомогою автоматичного звіту за участю ключових показників ефективності (KPI) та основних індикаторів етапів управління ризиками.  З точки зору програмної архітектури, АСУР являє собою трирівневу систему, що складається з рівня подання даних, рівня бізнес-логіки та рівня зберігання даних див. рис. 3.3.4:

Рис. 3.3.4 Трирівнева система АСУР

Технічні характеристики АСУР:

§  тип доступу до системи: доступ за технологією «тонкий» (web) клієнт;

§  організація доступу до системи через Internet / Intranet;

§  використання серверної платформи на основі Microsoft Windows Server;

§  можливість використання декількох різних типів системи управління базою данних СУБД (Oracle Database Server 10g, Microsoft SQL Server 2003 і вище);

§  можливість інтеграції з корпоративними порталами.

Перш ніж створювати систему управління ризиками необхідно:

§  Проаналізувати існуючі бізнес-процеси;

§  Знайти точки ризику в бізнес-процесах;

§  Чітко сформулювати мету, завдання, вимоги до системи;

§  Визначити організаційну структуру системи;

§  Визначити масштаб проекту (величину фінансування, тривалість впровадження, охоплення рівнів управління, вибір інформаційної платформи для побудови системи);

У підсумку буде визначена політика в галузі управління ризиками і створена організаційна структура, відповідальна заработу системи управління ризиками.

Впровадження систем управління ризиками слід проводити в три основних етапи:

. Аналіз даних і бізнес-процесів;

. Розробка КСУР;

. Впровадженні КСУР.

Етапи та строки робіт впровадження АСУР . Термін впровадження: 2-7 місяців відповідно.

I. Збір та аналіз інформаціі:

§  вивчення бізнес-процесів, політики ризик-менеджменту, існуючих ризиків;

§  аналіз зібраної інформації;

§  розробка пропозицій по впровадженню АСУР.

II. Розробка технічного завдання:

§  аспектів зміни та доопрацювання АСУР;

§  функціональні вимоги до АСУР;

§  термінів виконання та вартості робіт.

III. Проектування та розробка рішення:

§  технічне виконання рішення (створення / доробка).. Міграція даних:

§  аналіз існуючих даних;

§  конвертація даних;

§  перенесення даних.

V. Тестова експлуатація АСУР:

§  установка тестової версії АСУР;

§  навчання працівників роботі з системою;

§  збір зауважень для внесення коригувань у АСУ.

VI. Передача АСУР в промислову експлуатацію:

§  установка розробленого АСУР на необхідні робочі місця,

§  навчання працівників роботі з системою;

§  передача інструкцій та пакету юридичної документації до програмного продукту.

Схема реалізації та поетапне впровадження АСУР подання на рис. 11 в додатку Ч.

Ефект від впровадження АСУР. Автоматизована система управління ризиками, що є інструментом СУР, підвищує ефективність процесу управління ризиками, а саме дозволяє:

§  Вести статистику порушень і ризикових подій;

§  Оперативно реагувати на появу і розвиток ризику;

§  Проводить вартісну оцінку ризику;

§  Вести базу всіх ризиків і працювати з значущими для компанії ризиками;

§  Здійснювати on-line моніторинг ризиків;

§  Розробити систему по мінімізації наслідків ризику;

§  Розраховувати ефективність застосовуваних заходів;

За результатами виконання проекту буде створена і передана в промислову експлуатацію КСУР, що включає в себе:

§  Організаційну структуру управління ризиками (склад структурних одиниць, опис функціональної та адміністративної підпорядкованості);

§  Формалізовану систему прийняття управлінських рішень, у тому числі стратегічних, пов'язаних з ризиками (регламенти, розподіл прав і відповідальності, система мотивації);

§  Методологічну базу для експлуатації КСУР;

§  Автоматизовану систему, що забезпечує функціонування КСУР;

§  Первісну карту ризиків;

Взагалі слід відмітити, що впровадження системи управління ризиками - комплексний проект. Його бюджет включає як витрати на залучення зовнішніх консультантів, так і покупку і впровадження програмного забезпечення, навчання співробітників, витрати на проведення сесій аналізу, контролю, моніторингу. Однак все більше керівників не тільки усвідомлюють життєву необхідність подібного роду проектів, але й успішно впроваджують методології систем управління ризиками на своїх підприємствах.

При створенні автоматизованої системи управління ризиками підприємства, її адаптації до декількох одночасно виконуваних проектів необхідно використовувати сучасні програмні продукти типу Orgware та інструментальні засоби бізнес-моделювання, які передбачають систематизований опис організаційних структур, функцій і процесів, що підвищують продуктивність внесення змін за рахунок структурування та сервісної обробки інформації.

Використовуючи інформаційну технологію бізнес-моделювання ОРГ-Майстер, можна побудувати інформаційну модель управління ризиками проектів підприємства, розробити рішення з організаційних змін підрозділів управління проектними ризиками, моделювати процеси управління ризиками при реалізації проектів.

За допомогою інструментальних засобів ОРГ-Майстер можна також сформувати структурований перелік типових проектних ризиків, проводити якісний і кількісний аналіз ризиків, описати прийняті заходи реагування на проектні ризики та методи управління ризиками проектів. Це дає можливість ефективно розподілити виконавців та ресурси при розробці узагальненого плану заходів реагування на ризики декількох, що виконуються підприємством проектів, визначити напрямки організаційних змін, перелік посад і штатний розклад підрозділу управління проектними ризиками.

Розроблена інформаційна модель управління ризиками проектів підприємства буде ще використана при реалізації численних проектів ВАТ НВП «Більшовик».

ВИСНОВКИ ДО РОЗДІЛУ 3

В результаті дослідження розроблена програма цільових заходів, що здійснюється в три стадії: розробка попередніх процедур, розробка комплексу превентивних заходів і, нарешті, опис довідкової інформації з обох етапів розробки програм.

Метою розробки програми цільових заходів є забезпечення успішного функціонування підприємства в умовах ризику

Система управління ризиками на підприємстві при впровадженні в запропонованому варіанті є досить витратною, з фінансової точки зору. Тому на первісному етапі впровадження системи управління ризиками на підприємстві, можна обмежиться наявністю кваліфікованого ризик-менеджера і ретельно відібраною групою фахівців функціональних відділів: маркетингу, фінансового, планово-економічного, виробничого, управління персоналом, підлеглих ризик-менеджерові в оперативному управлінні і, як наслідок, перехід до матричної форми управління в організації.

Отже, можемо виділити основні ризики ВАТ «Більшовик»:

§  ризики, що виникають при розробці і упровадженні нової продукції;

§  недосконалість законодавства;

§  конкуренція;

§  ризики, пов'язані з розвитком компанії і будівництвом нових об'єктів;

§  стихійні біди;

Також розроблена інформаційна модель управління ризиками проектів підприємства, яка може бути використана при реалізації численних проектів ВАТ НВП «Більшовик».

ВИСНОВКИ ТА ПРОПОЗИЦІЇ

Дана робота була присвячена питанню організації системи управління ризиками на виробничому підприємстві. Була досягнута поставлена в дипломній роботі ціль, а саме: проведення всебічних теоретичних досліджень в області управління ризиком підприємства, аналіз існуючого положення ВАТ НВП «Більшовик» щодо виявлення, оцінки і управління ризиками, здійснення власне оцінки ризиків, розробка заходів щодо удосконалювання технології управління ризиком на підприємстві. У теоретичній частині роботи були досліджені сутність та економічний зміст ризику, розглянуті теоретичні основи управління ризиком на підприємстві, приведені загальні методи зниження ризику, розроблений механізм управління ризиками підприємства в сучасних умовах господарювання. На основі теоретичних матеріалів був проведений аналіз .

Отже, можна зробити висновок, що становище підприємства не можна назвати стійким, тому що в попередні роки показники платоспроможності і фінансової стійкості знижувалися і не відповідали нормативам.

У зміні структури оборотного капіталу можна відзначити тенденції росту ліквідності.

При аналізі оборотних активів по категоріях ризику слід зазначити, що відбулося збільшення частки активів, підданих ризикові, у мінімальній і високій групах. Зменшилася частка активів з малим ступенем ризику, що зв'язано зі зниженням розміру дебіторської заборгованості, платежі по якій очікуються протягом 12 місяців після звітної дати. Збільшилася група оборотних активів з мінімальним ступенем ризику за рахунок росту частки коштів у структурі поточних активів. Зменшилась частка активів із середнім ступенем ризику.

Характеризуючи стан активів ВАТ НВП «Більшовик» необхідно відзначити зниження їхньої ліквідності. Негативним є недостатній розмір найбільш ліквідних активів: короткострокових фінансових вкладень і коштів.

Як позитивне можна відзначити, що більше 80% активів підприємства належать до активів з малим ступенем ризику. Крім того, за 2011 рік відбулося збільшення частки власних коштів, що сприяє збільшенню фінансової стійкості.

Також було проаналізовано коефіцієнти ліквідності і платоспроможності, на підставі яких можна зробити висновок про те, що фінансове становище ВАТ НВП «Більшовик» за 2011 рік покращилося. У той же час підприємство випробує гостру недостачу високоліквідних засобів.

Крім того, фінансове становище підприємства не можна назвати стійким, тому що в попередні роки показники платоспроможності і фінансової стійкості знижувалися і не відповідали нормативам.

Таким чином, з метою стабілізації положення і зниження фінансової нестійкості, необхідно здійснювати управління ризиками. Для реалізації функції управління ризиком на підприємстві необхідні значні організаційні зусилля, витрати часу й інших ресурсів.

Результати аналізу показали, що деякі прийоми зниження ризику на підприємстві використовуються досить успішно, сама система не є повною. Так підприємство незахищене від таких видів ризиків як майнові ризики, інфляційні ризики, ризики зміни кон'юнктури ринку, у тому числі і відмови замовників від виконання договорів, недостатньо знижені ризики невиконання договорів, виникнення дебіторської заборгованості, виникнення непередбачених втрат і т.д. Причинами такого положення є відсутність досвіду і фахівців з управління ризиками, нестабільність економічної і політичної ситуації, відсутність страхової культури, а також нестабільність законодавства в області страхування ризиків, що приводить до відсутності інтересу до страхування ризиків.

Що стосується використовуваних методів мінімізації ризиків, то на досліджуваному підприємстві основними є диверсифікація постачальників і замовників, а також видів діяльності, страхування майна, а також такий прийом компенсації ризику як моніторинг соціально-економічного і нормативно-правового середовища. Крім того, була проведена кількісна оцінка ризиків ВАТ НВП «Більшовик», зокрема імовірність неповернення боргів і ризику банкрутства. З урахуванням висновків, зроблених на основі аналізу фінансового стану досліджуваного підприємства, ризиків і методів, використовуваних для їхнього зниження, були розроблені рекомендації щодо управління ризиками.

На практиці найбільш ефективний результат можна одержати лише при комплексному використанні різних методів зниження ризику. Комбінуючи, їх один з одним, у різних сполученнях, можна досягти також оптимального співвідношення між рівнем досягнутого зниження ризику і необхідними для цього додатковими витратами.

Актуальність і потребу якнайшвидшого освоєння та впровадження методів ризик-менеджменту в сучасних умовах нашої країни зумовлюють такі фактори:

1. Економічна та юридична самостійність вітчизняних підприємств, що означає не тільки можливість визначати свою фінансову і виробничу політику, але й брак зобов'язань держави надавати підтримку в разі аварії, страйку, фінансових чи інших труднощів.

. Зростання кількості і тяжкості наслідків великих промислових аварій.

Це пояснюється: неприпустимо високим рівнем зносу основних виробничих фондів; хибною практикою розміщення продуктивних сил, яка призвела до концентрації небезпечних виробництв на невеликих площах поблизу чи всередині місць компактного проживання населення; несформованістю економічних механізмів забезпечення безпеки, а також цілісної нормативно-правової бази у сфері захисту населення і територій від промислових аварій і катастроф.

Україна постала перед фактом, що матеріально-технічна база, яка дісталася від соціалізму, зносилася, і її неможливо підтримувати в працездатному стані.

3. Залежність доходів місцевих бюджетів від ефективності підприємницької діяльності на їх території. Зрозуміло, що чим краще підприємці управляють своїми ризиками, тим більші їхні доходи, а отже, і надходження до місцевого бюджету як від самого бізнесу, так і від податків на доходи працівників.

4. Зростання ролі і значення фінансових ринків для економіки країни.

5.Капіталізація фондового ринку (для акцій, що обертаються в межах Першої фондової торговельної системи) на 22 жовтня 2009 р. становила 21,17 млрд. грн. порівняно з 10,34 млрд. грн. на 1 січня 2008 р. [20].

Такі масштаби фондового ринку вже дозволяють розглядати його як важливу складову частину національної економіки. Ризик-менеджмент важливий за цих обставин з двох причин. По-перше, дієве управління ризиками підвищує стабільність бізнесу компаній і зменшує коливання курсу їх акцій, що позитивно впливає на приплив на ринок нових інвесторів. По-друге, до ризик-менеджменту, ураховуючи велике коливання курсу акцій, вимушені звертатися великі інститути (банки, інвестиційні і страхові компанії і т. ін.), які проводять масштабні активні операції з фінансовими інструментами

6. Досвід невдалого управління індустріальними і фінансовими організаціями в кризових ситуаціях (банки «Україна», «Градобанк» та «Слов'янський», до цього - трасти).

Щоб уникнути подібних втрат, підприємству необхідно перевіряти платоспроможність постачальників сировини, матеріалів і замовників робіт, послуг. Крім того, для зниження ризиків у даній ситуації підприємство може створювати резерви на випадок непередбачених витрат, прогнозувати галузеву (для постачальників) динаміку цін, втягувати постачальників у діяльність підприємства шляхом укладання договорів участі в прибутках або шляхом придбання акцій, створювати резервні запаси матеріалів та ін.

Крім того, страхування може використовуватися для зниження ризиків виникнення непередбачених витрат. Існує цілий ряд видів страхування на випадок перерви в господарській діяльності. Підприємства й організації, можуть, наприклад, укласти договір страхування на випадок перерв у своїй діяльності в зв'язку з поломками устаткування. Таке страхування проводиться на додаток до страхування устаткування й інших установок від впливу води, вогкості, злочинних дій третіх осіб та інших непередбачених обставин.

Для попередження ризиків або їхньої мінімізації необхідно встановити на підприємстві тверду майнову відповідальність матеріально відповідальних осіб, організувати охорону території виробничого підприємства.

Крім страхування підприємству доцільно використовувати такий метод мінімізації ризиків як самострахування або резервування засобів на покриття непередбачених витрат. Ретельно розроблена оцінка непередбачених витрат зводить до мінімуму перевитрату коштів.

У ВАТ НВП «Більшовик», створений резервний фонд, однак його розмір незначний (менш 1 тис. грн.).

Основними формами цього напрямку нейтралізації фінансових ризиків є:

· формування резервного фонду підприємства. Він створюється відповідно до вимог законодавства і статуту підприємства;

·        формування цільових резервних фондів. Прикладом такого формування можуть служити фонд страхування цінового ризику; фонд уцінки товарів на підприємствах торгівлі; фонд погашення безнадійної дебіторської заборгованості і т.п.;

·        формування системи страхових запасів матеріальних і фінансових ресурсів по окремих елементах оборотних активів підприємства. Розмір потреби в страхових запасах по окремих елементах оборотних активів встановлюється в процесі їхнього нормування;

· нерозподілений залишок прибутку, отриманого в звітному періоді.

Для ефективного управління дебіторською заборгованістю, ліквідністю і позиковою політикою для даного підприємства рекомендується використовувати такий спосіб зниження ризику господарської діяльності як лімітування. Лімітування може застосовуватися при наданні послуг, виконання робіт у кредит, наданні позик, визначенні сум вкладення капіталу і т.п.

Система фінансових нормативів, що забезпечують лімітування концентрації ризиків, повинна включати:

·   граничний розмір (питома вага) позикових засобів, використовуваних у господарській діяльності;

·        мінімальний розмір (питома вага) активів у високоліквідній формі;

·        максимальний розмір товарного (комерційного) або споживчого кредиту, наданого одному замовнику;

·        максимальний період відволікання ресурсів у дебіторську заборгованість.

Крім перерахованих вище рекомендацій зі зниження ризиків на підприємстві можуть бути використані методи мінімізації ризиків, пов'язані з включенням додаткових пунктів у контракти з контрагентами, таких як:

· забезпечення стягнення з контрагента по фінансовій операції додаткового рівня премії за ризик;

·        одержання від контрагентів певних гарантій;

·        скорочення переліку форс-мажорних обставин у контрактах з контрагентами;

·        забезпечення компенсації можливих фінансових утрат по ризиках за рахунок системи штрафних санкцій, що передбачається;

·        оплати частини контракту після одержання товарів, устаткування і закінчення гарантійного терміну, наданого постачальниками або після здачі об'єкта в експлуатацію, здачі етапу виконаних робіт.

Підводячи підсумки вищесказаному, можна відзначити наступне, що система управління ризиками на будь-якому підприємстві виробничої сфери діяльності при впровадженні в запропонованому варіанті є досить витратною, з фінансової точки зору. Тому на первісному етапі впровадження системи управління ризиками на підприємстві, можна обмежиться наявністю кваліфікованого ризик-менеджера (начальника ВУР) і ретельно відібраною групою фахівців функціональних відділів: маркетингу, фінансового, планово-економічного, виробничого, управління персоналом, підлеглих ризик-менеджерові в оперативному управлінні і, як наслідок, перехід до матричної форми управління в організації.

СПИСОК ВИКОРИСТАНИХ ДЖЕРЕЛ

1. Про економічну самостійність: Закон України від 3 серпня 1990 р.

. Про зовнішньоекономічну діяльність: Закон України від 16 квітня 1991р.

. Господарський кодекс України: прийнятий 16 січня 2003 р. - К.: Істина, 2003. - 208 ст.

. Про міжнародні договори України: Закон України від 26 червня 2004р.

. Агеев А.Е. Моделирование организационных структур и процессов управления рисками проекта / А.Е. Агеев // Открытые информационные и компьютерные интегрированные технологии: сб. науч. тр. Нац. аэрокосм. ун-та им. Н.Е. Жуковского «ХАИ». - Вып. 32. - Харьков, 2006. - С. 110 - 113.

. Бешелев С. Д., Гурвич Ф. Г. Математико-статистические методы экспертных оценок. - М.: Финансы и статистика, 1997.-160 с.

. Бланк И. А. Финансовый менеджмент: Учеб. курс. - К.: Ника-Центр, Эльга, 2001. - 528с.

. Бушуєв С.Д. Керівництво з питань проектного менеджменту / С.Д. Бушуєв.- К.: Українська асоціація управління проектами, 1999. - 197 с.

. Вітлінський В. В., Наконечний С. І., Шарапов О. Д. Економічний ризик та методи його вимірювання: Підручник. - К.: КНЕУ, 2000.- 354 с.

. Гранатуров В. М. Экономический риск: сущность, методы измерения, пути снижения: Учеб. пособие. - М.: Изд-во «Дело и сервис», 1999 - 112с.

. Грей К.Ф. Управление проектами: практическое руководство / К.Ф. Грей, Э.У. Ларсон. - М.: Дело и сервис, 2003. - 579 с.

. Дорошенко М.Н., Банковский менеджмент. Хеджирование финансовых рисков: учебное пособие. - К.: ВШЭДА «АЖИО», 2002. - 87 с.

. Кондратьев В.В. Реструктуризация управления компанией: 17 модульная программа для менеджеров. Модуль 6 / В.В. Кондратьев, В.Б.Краснова. - М.: Инфра-М, 2000. - 240 с.

. Латкин М.А. Контроль изменения уровня рисков в ходе выполнения проекта / М.А. Латкин, А.В. Ефремова // Открытые информационные и компьютерные интегрированные технологии: сб. науч. тр. Нац. аэрокосм. ун-та им. Н.Е. Жуковского «ХАИ». - Вып. 36. - Харьков, 2007. - С. 145 -150.

. Лапуста М. Г., Шаршукова Л. Г. Риски в предпринимательской
деятельности. - М.: ИНФРА-М, 1998. - 224 с.

. Лозовая Г. Ф., Генералова Е. М. Риск-менеджмент й прикладной
маркетинг фармацевтической организации: Учеб. пособие. - М.:
МЦФЭР, 2001.-280с.

. Мазур И.И. Управление проектами: учеб. пособие / И.И. Мазур, В.Д. Шапиро. - М.: Экономика, 2001. - 574 с.

. Морозов Д. С. Проектное финансирование: управление рисками / Под ред. проф. В. Ю. Катасонова. -М.: Анкил, 1999. - 120 с.

. Ожегов С. Й. Словарь русского языка. -М.: Рус. яз., 1981.

. Рогов М. А. Риск-менеджмент. - М.: ФинансьІ й статистика, 2001. -
120с.

. Старостіна А. О., Кравченко В. А. ризик-менеджмент: теорія і практика: Навч. посіб. - К.: ІВЦ «Видавництво «Політехніка», 2004. - 200с.

. Тарасюк Г. М. Управління проектами: навчальний посібник для студентів вищих навчальних закладів. 2-е вид. - К.: Каравела, 2006. - 320с.

. Товс А.С. Управление проектами: стандарты, методы, опыт / А.С. Товс, Г.Л. Ципес. - М.: ЗАО «Олимп-Бизнес», 2003. - 240 с.

. Тэпман Л. Н. Риски в экономике: Учеб. пособие для студ. вузов /
Под ред. В. А. Швандара. - М.: ЮНИТИ, 2002. - 379 с.

. Управление риском в рьночной экономике / В. Н. Вяткин, В. А. Гам-за, Ю. Ю. Екатеринославский, Дж. Дж. Хэмптон. - М.: ЗАО «Изд-во «Экономика»», 2002. - 195 с.

. Уткин Э. А., Фролов Д. А. Управление рисками предприятия: Учебно-практическое пособие. - М.: ТЕИС, 2003. - 247 с.

. Хохлов Н.В. Управление риском / Н.В. Хохлов. - М.: ЮНИТИ, 2001. 239

. Чернова Г. В. Практика управлення рисками на уровне предприятия. - СПб.: Ин-т страхования, 2000. - 170 с.

29. Шумпетер Й. Теория экономического развития. - М.: Прогресс, 1982

. Бугрова. О. Методологічні основи оцінки ризику при прийнятті інвестиційних рішень // Економіка України. - 2010. - №10. - с. 29-32

. Вітлінський В. В., Тимченко О. М. Джерела і види податкових ризиків, їх взаємозв’язок // Фінанси України. - 2007. - №3. - с. 132-140

. Гофре Валерія Своп як ефективний інструмент управління ризиком // Фінансові інститути. - 2010. - №11-12. - с. 77-80

. Денисенко М. П. Інноваційні засади в управління ризиками // проблеми науки. - 2011. - № 10. - с. 7-13

. Зінкевич В. Штатов Д. Иформационные риски: анализ и количественная оценка // Бухгалтерия и банки. - 2011. - №2. - с. 48-54

. Камінський А. Б. Концептуальні підходи до вимірювання фінансових ризиків // Фінанси України. - 2010. - №5. - с. 78-86

. Карпунцов М. В. Ризикостійкість підприємства // Актуальні проблеми економіки. - 2011. - №3(81). - с. 71-76

. Клапків М. С. Питання етимології економічного ризику // Фінанси України. - 2001. - №4. - с. 14-20

. Литвицький В. Цінові та фіскальні ризики гальмування економічного зростання в Україні // Банківська справа. - 2010. - №5. - с. 8-16

. Макаренко М., Осецький В. Модифікація інфляційних ризиків в умовах глобалізації // Банківська справа. - 2008. - №3. - с. 39-45

. Мельник Т. М. Кількісний аналіз оцінки ризику // Фінанси України. - 2000. - №8. - с. 63-68

. Минаева Е. В., Короткова И. В. Систематизация условий и факторов проявления экономических рисков // Пищевая промышленность. - 2010. - №2. - с. 26-28

. Моранов М. Управление торговыми операциями и рисками // Банковские технологии. - 2008. - №10. - с. 23-28

. Нерсисян Т. Я. Управление рисками в системе управления предприятием // Управление риском. - 2010. - №2. - с. 19-23

. Піскунова О. В. Аналіз та оцінка фінансових ризиків діяльності малих підприємств // Фінанси України. - 2011. - №8. - с. 119-129

. Роик В. Д. Профессиональный риск: проблемы анализа и управления // Управление риском. - 2010. - №2. - с. 9-12

. Соломенко О. Є. Ідентифікація фінансового ризику малого підприємства на засаді концепції фінансової рівноваги // Проблеми науки. - 2011. - №9. - с. 21-24

. Соляунов А. А. Риски платежных систем (Управление рисками и их минимизация) // Банковская аналитика. - 2007. - с. 9-15

. Тихоненко В. В. Рискуют все, везде и всегда. Безопасность и управление рисками // Корпоративне системы. - 2007. - «1. - с. 57-60

. Хлістунова Н. В. Інформаційна підтримка зниження впливу фінансових ризиків на діяльність підприємств // Актаульні проблеми економіки. - 2010. - № 10 (64). - с. 196-199

. Шкодзінська Н. Фіш лан А. Ризик кредитування: передумови виникнення і методи оцінки // Вісник Тернопільської академії народного господарства - 2001. - №14. - с. 122-128

51. www.bolshevik.net.ua <http://www.bolshevik.net.ua>

. www.dkrs.gov.ua <http://www.dkrs.gov.ua>

. <http://krashiy.com>

Похожие работы на - Організація системи управління ризиками на виробничому підприємстві

 

Не нашли материал для своей работы?
Поможем написать уникальную работу
Без плагиата!
Без нейросетей!