Организация процесса пошива одежды
Оглавление
Введение
. Описание предметной области
. Дерево целей
.1 Расчёт коэффициентов
относительной важности
. Деревья мероприятий
.1 Дерево мероприятий для подцели
«Наличие современного оборудования»
.2 Дерево мероприятий для подцели
«Наличие соответствующих условий»
.3 Дерево мероприятий для подцели
«Наличие художественных навыков и фантазии»
. Сетевой график
.1 Перечень работ
.2 Сетевой график
(последовательность работ)
.3 Сетевой график (длительность
работ)
.4 Сетевой график (сроки свершения
работ)
.5 Сетевой график (расчётная
таблица)
Заключение
Введение
Для написания данной работы мной была выбрана
тема «Организация процесса пошива одежды», так как в последнее время я стала
активно принимать участие в данном виде деятельности. Пошив одежды является не
только моим хобби, но и способом заработка. Также, хочется сказать, что данный
вид деятельности позволяет развивать фантазию и, лично для меня является
способом успокоения.
На основе этих факторов мне представляется
возможность объективно оценить данный процесс. Многие считают, что пошив одежды
- это чисто механическая работа, они не задумываются о том, что это в первую
очередь творчество. Не хочется никого обижать, но у людей, которые умеют шить,
есть шанс не быть как все, то есть выделиться из толпы. И выделение это
заключается не в ярких вещах, а в том таланте, которым они обладают, и умение
им правильно пользоваться.
Тот кто увлекается пошивом одежды -
профессионально или это хобби, или же обязанность (в жизни всё может быть), тот
знает какие проблемы могут возникнуть в процессе. Лично я не называла бы их
проблемами, так как для меня это просто ступени к достижению основной цели -
изготовлению изделия. Сложность заключается ещё и в том, что занимаясь данным
процессом самостоятельно, человек берёт на себя все функции по выполнению
работы. Например, в ателье пошив проходит в несколько этапов у совершенно
разных людей:
мерки снимает один человек;
выкройки делает другой;
шьёт само изделие третий.
Или, например, самостоятельно все эти процессы
делает один человек.
Иногда приходится самостоятельно покупать ткань,
нитки и иные аксессуары. Также нужно в процессе пошива произвести минимум две
примерки и только после этого всего можно радоваться успеху. При этом при всём
нужно успеть уложиться в срок (платье, например, шьётся в среднем 2 дня) и не
забывать о качестве изделия.
. Обоснование проблемной области и
ситуации
В данной работе можно выделить следующую
проблему: изготовление изделия качественно. Целью будет являться изготовление
изделия в срок, при этом не забывая о качестве.
Из всего процесса работы необходимо выделить
наиболее трудновыполнимые задачи:
размещение выточек;
работа с подкладной тканью.
Также можно выделить этапы самого процесса:
поиск заказчика;
снятие мерок;
покупка материала и аксессуаров;
изготовление выкроек и другая подготовка к
работе;
пошив самого изделия.
Таким образом, процесс пошива одежды - это
комплексная проблема, которая требует всестороннего анализа и применения для
своего решения различных методов исследования.
. Дерево целей
дерево матрица эксперт сетевой
2.1 Расчёт коэффициентов
относительной важности
|
Подцели
|
Эксперты
|
|
|
|
1
|
2
|
3
|
4
|
5
|
|
|
|
Изготовление
изделия качественно
|
1
|
1
|
2
|
2
|
3
|
|
|
|
Изготовление
изделия в срок
|
2
|
1
|
3
|
2
|
1
|
|
|
|
Извлечение
из этого прибыли
|
3
|
2
|
3
|
1
|
3
|
|
R
max =3
|
|
|
|
|
|
|
|
|
|
Подцели
|
Эксперты
|
Сумма
|
КОВ
|
|
1
|
2
|
3
|
4
|
5
|
|
|
|
Изготовление
изделия качественно
|
2
|
2
|
1
|
1
|
0
|
6
|
0,4
|
|
Изготовление
изделия в срок
|
0
|
2
|
0
|
1
|
2
|
5
|
0,333333
|
|
Извлечение
из этого прибыли
|
0
|
2
|
0
|
2
|
0
|
4
|
0,266667
|
|
|
|
|
|
|
15
|
1
|
Итак, из трёх выделенных подцелей наибольший
приоритет имеет первая цель, то есть изготовление изделия качественно. Это
вовсе не значит, что две другие не имеют значения. Каждая подцель играет свою
определённую роль, привнося какие - то плюсы и минусы в сам процесс.
Безусловно, изготовление изделия в срок тоже является важным фактором. Ну и,
несомненно, извлечение из этого прибыли будет являться в большинстве случаев
мотивирующим фактором. Все эти три подцели взаимосвязаны и не могут
существовать друг без друга.
Расчет КОВ дерева целей 2-й уровень, часть 1
|
Подцели
|
Эксперты
|
|
|
|
1
|
2
|
3
|
4
|
5
|
|
|
|
Наличие
современного оборудования
|
2
|
3
|
1
|
2
|
3
|
|
|
|
Наличие
соответствующих условий
|
3
|
2
|
1
|
1
|
2
|
|
|
|
Наличие
художественных навыков и фантазии
|
1
|
2
|
2
|
3
|
1
|
|
Rmax=3
|
|
|
|
|
|
|
|
|
|
Подцели
|
Эксперты
|
Сумма
|
КОВ
|
|
1
|
2
|
3
|
4
|
5
|
|
|
|
Наличие
современного оборудования
|
1
|
0
|
2
|
1
|
0
|
4
|
0,25
|
|
Наличие
соответствующих условий
|
0
|
1
|
2
|
2
|
1
|
6
|
0,375
|
|
Наличие
художественных навыков и фантазии
|
2
|
1
|
1
|
0
|
2
|
6
|
0,375
|
|
|
|
|
|
|
16
|
1
|
Расчет КОВ дерева целей 2-й уровень, часть 2
|
Подцели
|
Эксперты
|
|
|
|
1
|
2
|
3
|
4
|
5
|
|
|
|
Наличие
современного оборудования
|
3
|
1
|
2
|
2
|
1
|
|
|
|
Наличие
соответствующих условий
|
3
|
1
|
3
|
2
|
1
|
|
|
|
Наличие
свободного времени
|
2
|
1
|
2
|
2
|
1
|
|
R
max=3
|
|
|
|
|
|
|
|
|
|
Подцели
|
Эксперты
|
Сумма
|
КОВ
|
|
1
|
2
|
3
|
4
|
5
|
|
|
|
Наличие
современного оборудования
|
0
|
2
|
1
|
1
|
2
|
6
|
0,333333
|
|
Наличие
соответствующих условий
|
0
|
2
|
0
|
1
|
2
|
5
|
0,277778
|
|
Наличие
свободного времени
|
1
|
2
|
1
|
1
|
2
|
7
|
0,388889
|
|
|
|
|
|
|
18
|
1
|
Расчет КОВ дерева целей 2-й уровень, часть 3
|
Подцели
|
Эксперты
|
|
|
|
1
|
2
|
3
|
4
|
5
|
|
|
|
Обсуждение
умеренной цены с клиентом
|
2
|
1
|
3
|
1
|
3
|
|
|
|
Поиск
мест оптовой и розничной торговли всеми необходимыми элементами для пошива
|
2
|
3
|
1
|
1
|
3
|
|
|
|
Скорость
изготовления изделия
|
2
|
1
|
3
|
2
|
1
|
|
Rmax=3
|
|
|
|
|
|
|
|
|
|
|
|
|
|
|
|
|
|
Подцели
|
Эксперты
|
Сумма
|
КОВ
|
|
1
|
2
|
3
|
4
|
5
|
|
|
|
Обсуждение
умеренной цены с клиентом
|
1
|
2
|
0
|
2
|
0
|
5
|
0,3125
|
|
Поиск
мест оптовой и розничной торговли всеми необходимыми элементами для пошива
|
1
|
0
|
2
|
2
|
0
|
5
|
0,3125
|
|
Скорость
изготовления изделия
|
1
|
2
|
0
|
1
|
2
|
6
|
0,375
|
|
|
|
|
|
|
16
|
1
|
3. Деревья мероприятий
.1 Дерево мероприятий для подцели
«Наличие современного оборудования»
3.2 Дерево мероприятий для подцели
«Наличие соответствующих условий»
3.3 Дерево мероприятий для подцели
«Наличие художественных навыков и фантазии»
Дерево мероприятий №1. Расчёт коэффициентов
важности факторов.
Таблица расчёта альтернатив семейства №1.
|
Матрица
опроса экспертов
|
|
|
|
|
|
|
Подцели
|
Эксперты
|
|
|
|
1
|
2
|
3
|
4
|
5
|
|
|
|
Эффективность
варианта
|
1
|
1
|
1
|
1
|
2
|
|
|
|
Сложность
реализации варианта
|
2
|
3
|
3
|
1
|
2
|
|
|
|
Материальные
затраты
|
3
|
3
|
3
|
2
|
2
|
|
R
max=3
|
|
|
|
|
|
|
|
|
|
Матрица
преобразованных рангов
|
|
|
|
|
|
|
|
|
Подцели
|
Эксперты
|
Сумма
|
КВ
|
|
1
|
2
|
3
|
4
|
5
|
|
|
|
Эффективность
варианта
|
2
|
2
|
2
|
2
|
1
|
9
|
0,6
|
|
Сложность
реализации варианта
|
1
|
0
|
0
|
1
|
4
|
0,266667
|
|
Материальные
затраты
|
0
|
0
|
0
|
1
|
1
|
2
|
0,133333
|
|
|
|
|
|
|
15
|
1
|
Таблица расчёта альтернатив семейства №1
|
Критерии
|
КВ
|
Накопление
денежных ресурсов
|
Кредит,
лизинг, рассрочка
|
Поиск
различных организаций в интернете, в журналах, в газетах
|
Сумма
|
|
|
|
|
|
|
|
Эффективность
варианта
|
0,6
|
|
|
|
|
|
Сложность
реализации варианта
|
0,266
|
|
|
|
|
|
Материальные
затраты
|
0,13
|
|
|
|
|
|
Итоговые
оценки
|
1
|
|
|
|
|
Дерево мероприятий №1. Расчёт весов альтернатив:
Фактор1 - Эффективность варианта
|
Матрица
опроса экспертов
|
|
|
|
|
|
|
Подцели
|
Эксперты
|
|
|
|
1
|
2
|
3
|
4
|
5
|
|
|
|
Накопление
денежных ресурсов
|
2
|
2
|
2
|
1
|
3
|
|
|
|
Кредит,
лизинг, рассрочка
|
1
|
1
|
1
|
1
|
2
|
|
|
|
Поиск
различных организаций в интернете, в журналах, в газетах
|
3
|
3
|
2
|
3
|
1
|
|
Rmax=3
|
|
|
|
|
|
|
|
|
|
Матрица
преобразованных рангов
|
|
|
|
|
|
|
|
Подцели
|
Эксперты
|
Сумма
|
КВ
|
|
1
|
2
|
3
|
4
|
5
|
|
|
|
Накопление
денежных ресурсов
|
1
|
1
|
1
|
2
|
0
|
5
|
0,3125
|
|
Кредит,
лизинг, рассрочка
|
2
|
2
|
2
|
2
|
1
|
9
|
0,5625
|
|
Поиск
различных организаций в интернете, в журналах, в газетах
|
0
|
0
|
1
|
0
|
1
|
2
|
0,125
|
|
|
|
|
|
|
16
|
1
|
Фактор2 - Сложность реализации варианта
|
Матрица
опроса экспертов
|
|
|
|
|
|
|
Подцели
|
Эксперты
|
|
|
|
1
|
2
|
3
|
4
|
5
|
|
|
|
Накопление
денежных ресурсов
|
1
|
1
|
2
|
3
|
3
|
|
|
|
Кредит,
лизинг, рассрочка
|
2
|
2
|
2
|
1
|
1
|
|
|
|
Поиск
различных организаций в интернете, в журналах, в газетах
|
3
|
3
|
3
|
2
|
2
|
|
Rmax=3
|
|
|
|
|
|
|
|
|
|
Матрица
преобразованных рангов
|
|
|
|
|
|
|
|
Подцели
|
Эксперты
|
Сумма
|
КВ
|
|
1
|
2
|
3
|
4
|
5
|
|
|
|
Накопление
денежных ресурсов
|
2
|
2
|
1
|
0
|
0
|
5
|
0,35714
|
|
Кредит,
лизинг, рассрочка
|
1
|
1
|
1
|
2
|
2
|
7
|
0,5
|
|
Поиск
различных организаций в интернете, в журналах, в газетах
|
0
|
0
|
0
|
1
|
1
|
2
|
0,14286
|
|
|
|
|
|
|
14
|
1
|
Фактор3 - Материальные затраты
|
Матрица
опроса экспертов
|
|
|
|
|
|
|
Подцели
|
Эксперты
|
|
|
|
1
|
2
|
3
|
4
|
5
|
|
|
|
Накопление
денежных ресурсов
|
1
|
1
|
1
|
2
|
1
|
|
|
|
Кредит,
лизинг, рассрочка
|
3
|
3
|
2
|
3
|
3
|
|
|
|
Поиск
различных организаций в интернете, в журналах, в газетах
|
2
|
2
|
1
|
3
|
3
|
|
Rmax=3
|
|
|
|
|
|
|
|
|
|
Матрица
преобразованных рангов
|
|
|
|
|
|
|
|
Подцели
|
Эксперты
|
Сумма
|
КВ
|
|
1
|
2
|
3
|
4
|
5
|
|
|
|
Накопление
денежных ресурсов
|
2
|
2
|
2
|
1
|
2
|
9
|
0,64286
|
|
Кредит,
лизинг, рассрочка
|
0
|
0
|
1
|
0
|
0
|
1
|
0,07143
|
|
Поиск
различных организаций в интернете, в журналах, в газетах
|
1
|
1
|
2
|
0
|
0
|
4
|
0,28571
|
|
|
|
|
|
|
14
|
1
|
Таблица расчёта альтернатив семейства №1
|
Критерии
|
КВ
|
Накопление
денежных ресурсов
|
Кредит,
лизинг, рассрочка
|
Поиск
различных организаций в интернете, в журналах, в газетах
|
Сумма
|
|
|
|
|
|
|
|
Эффективность
варианта
|
0,6
|
0,3125
|
0,5625
|
0,125
|
1
|
|
Сложность
реализации варианта
|
0,266
|
0,357143
|
0,5
|
0,142857
|
1
|
|
Материальные
затраты
|
0,13
|
0,642857
|
0,071429
|
0,285714
|
1
|
|
Итоговые
оценки
|
1
|
0,4
|
0,45
|
0,15
|
1
|
Дерево мероприятий №1-1(Расчёт коэффициентов
важности факторов)
|
Подцели
|
Эксперты
|
|
|
|
1
|
2
|
3
|
4
|
5
|
|
|
|
Эффективность
варианта
|
2
|
2
|
1
|
1
|
3
|
|
|
|
Сложность
реализации варианта
|
1
|
1
|
3
|
2
|
1
|
|
|
|
Материальные
затраты
|
3
|
3
|
2
|
3
|
2
|
|
Rmax=3
|
|
|
|
|
|
|
|
|
|
Матрица
преобразованных рангов
|
|
|
|
|
|
|
|
Подцели
|
Эксперты
|
Сумма
|
КВ
|
|
1
|
2
|
3
|
4
|
5
|
|
|
|
Эффективность
варианта
|
1
|
1
|
2
|
2
|
0
|
6
|
0,4
|
|
Сложность
реализации варианта
|
2
|
2
|
0
|
1
|
2
|
7
|
0,46667
|
|
Материальные
затраты
|
0
|
0
|
1
|
0
|
1
|
2
|
0,13333
|
|
|
|
|
|
|
15
|
1
|
Таблица расчёта альтернатив семейства №1
|
Критерии
|
КВ
|
Откладывать
с общего заработка
|
Привлечение
инвесторов
|
Открытие
счёта в банке
|
Сумма
|
|
Эффективность
варианта
|
0,4
|
|
|
|
|
|
Сложность
реализации варианта
|
0,4
|
|
|
|
|
0,2
|
|
|
|
|
|
Итоговые
оценки
|
|
|
|
|
|
Дерево мероприятий №1-1. Расчёт весов
альтернатив:
Фактор 1 - Эффективность варианта
|
Матрица
опроса экспертов
|
|
|
|
|
|
|
Подцели
|
Эксперты
|
|
|
|
1
|
2
|
3
|
4
|
5
|
|
|
|
Откладывать
с общего заработка
|
1
|
1
|
2
|
1
|
1
|
|
|
|
Привлечение
инвесторов
|
2
|
3
|
3
|
3
|
2
|
|
|
|
Открытие
счёта в банке
|
1
|
3
|
2
|
3
|
3
|
|
R
max=3
|
|
|
|
|
|
|
|
|
|
Матрица
преобразованных рангов
|
|
|
|
|
|
|
|
Подцели
|
Эксперты
|
Сумма
|
КВ
|
|
1
|
2
|
3
|
4
|
5
|
|
|
|
Откладывать
с общего заработка
|
2
|
2
|
1
|
2
|
2
|
9
|
0,642857
|
|
Привлечение
инвесторов
|
1
|
0
|
0
|
0
|
1
|
2
|
0,142857
|
|
Открытие
счёта в банке
|
2
|
0
|
1
|
0
|
0
|
3
|
0,214286
|
|
|
|
|
|
|
14
|
1
|
Фактор 2 - Сложность реализации варианта
|
Матрица
опроса экспертов
|
|
|
|
|
|
|
Подцели
|
Эксперты
|
|
|
|
1
|
2
|
3
|
4
|
5
|
|
|
|
Откладывать
с общего заработка
|
3
|
2
|
2
|
3
|
2
|
|
|
|
Привлечение
инвесторов
|
1
|
1
|
1
|
1
|
2
|
|
|
|
Открытие
счёта в банке
|
3
|
2
|
3
|
2
|
2
|
R
max=3
|
|
|
|
|
|
|
|
|
|
Матрица
преобразованных рангов
|
|
|
|
|
|
|
|
Подцели
|
Эксперты
|
Сумма
|
КВ
|
|
1
|
2
|
3
|
4
|
5
|
|
|
|
Откладывать
с общего заработка
|
0
|
1
|
1
|
0
|
1
|
3
|
0,2
|
|
Привлечение
инвесторов
|
2
|
2
|
2
|
2
|
1
|
9
|
0,6
|
|
Открытие
счёта в банке
|
0
|
1
|
0
|
1
|
1
|
3
|
0,2
|
|
|
|
|
|
|
15
|
1
|
Фактор 3 - Материальные затраты
|
Матрица
опроса экспертов
|
|
|
|
|
|
|
Подцели
|
Эксперты
|
|
|
|
1
|
2
|
3
|
4
|
5
|
|
|
|
Откладывать
с общего заработка
|
1
|
1
|
2
|
1
|
1
|
|
|
|
Привлечение
инвесторов
|
2
|
2
|
3
|
3
|
3
|
|
|
|
Открытие
счёта в банке
|
3
|
3
|
2
|
2
|
3
|
R
max=3
|
|
|
|
|
|
|
|
|
|
Матрица
преобразованных рангов
|
|
|
|
|
|
|
|
Подцели
|
Эксперты
|
Сумма
|
КВ
|
|
1
|
2
|
3
|
4
|
5
|
|
|
|
Откладывать
с общего заработка
|
2
|
2
|
1
|
2
|
2
|
9
|
0,692308
|
|
Привлечение
инвесторов
|
1
|
1
|
0
|
0
|
0
|
2
|
0,153846
|
|
Открытие
счёта в банке
|
0
|
0
|
1
|
1
|
0
|
2
|
0,153846
|
|
|
|
|
|
|
13
|
1
|
Дерево мероприятий №1-1. Готовые таблицы
|
Критерии
|
КВ
|
Откладывать
с общего заработка
|
Привлечение
инвесторов
|
Открытие
счёта в банке
|
Сумма
|
|
Эффективность
варианта
|
0,4
|
0,64
|
0,16
|
0,2
|
1
|
|
Сложность
реализации варианта
|
0,4
|
0,2
|
0,6
|
0,2
|
1
|
|
Материальные
затраты
|
0,2
|
0,7
|
0,15
|
0,15
|
1
|
|
Итоговые
оценки
|
1
|
1,54
|
0,91
|
0,55
|
1
|
|
Критерии
|
КВ
|
Кредит
в "Сбербанке"
|
Лизинг
фирмы "Brother"
|
Рассрочка
фирмы "Brother"
|
Сумма
|
|
Эффективность
варианта
|
0,5
|
0,1
|
0,3
|
0,1
|
1
|
|
Сложность
реализации варианта
|
0,28
|
0,28
|
0,34
|
0,1
|
1
|
|
Материальные
затраты
|
0,2
|
0,14
|
0,33
|
0,33
|
1
|
|
Итоговые
оценки
|
1
|
0,52
|
0,97
|
0,53
|
1
|
|
Критерии
|
КВ
|
Поиск
в интернете
|
Приобретение
каталогов
|
Приобретение
газет
|
Сумма
|
|
Эффективность
варианта
|
0,51
|
0,52
|
0,28
|
0,2
|
1
|
|
Сложность
реализации варианта
|
0,29
|
0,51
|
0,29
|
0,2
|
1
|
|
Материальные
затраты
|
0,2
|
0,58
|
0,12
|
0,3
|
1
|
|
Итоговые
оценки
|
1
|
1,61
|
0,69
|
0,7
|
1
|
ДЕРЕВО МЕРОПРИЯТИЙ С РАСЧЁТАМИ
Вывод
С точки зрения экспертов наибольшее значение для
наличия современного оборудования имеет накопление денежных ресурсов и кредит,
лизинг, рассрочка. И это мнение, несомненно, совпадает с моим. Немного меньшее
значение имеет поиск розничных организаций в интернете, но, безусловно, эта
подцель тоже является важной. Ведь с помощью интернета можно оформить кредит
или договориться о рассрочке. Ни в коем случае не стоит разрывать эти три
подцели, потому что именно в совокупности они могут достичь цели «Наличие
современного оборудования».
4. Сетевой
график
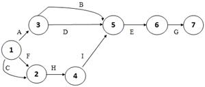
4.1 Перечень работ
|
Обозначение
работы
|
Перечень
работ
|
Предшествующие
работы
|
|
A
|
Поиск
заказчика
|
|
|
B
|
Снятие
мерок
|
A
|
|
C
|
Договор
об оплате
|
|
|
D
|
Покупка
материалов и всех необходимых аксессуаров
|
A
|
|
E
|
Выполнение
выкроек
|
B,D,I
|
|
F
|
Изготовление
самого изделия
|
|
|
G
|
Проведение
примерки
|
E
|
|
H
|
Исправление
недочётов у изделия
|
C,F
|
|
I
|
Подготовка
к окончательному завершению работы
|
H
|
4.2 Последовательность работ
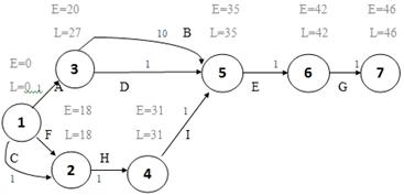
4.3 Сетевой график (длительность
работ)
|
Обозначение
работы
|
Перечень
работ
|
Длительность
работы (дней)
|
|
A
|
Поиск
заказчика
|
10
|
|
B
|
Снятие
мерок
|
1
|
|
C
|
Договор
об оплате
|
1
|
|
D
|
Покупка
материалов и всех необходимых аксессуаров
|
1
|
|
E
|
Выполнение
выкроек
|
1
|
|
F
|
Изготовление
самого изделия
|
|
G
|
Проведение
примерки
|
1
|
|
H
|
Исправление
недочётов у изделия
|
1
|
|
I
|
Подготовка
к окончательному завершению работы
|
1
|
4.4 Сетевой график (сроки
свершения работ)
4.5 Сетевой график (расчётная
таблица)
Критический путь: V1-V2-V4-V5-V6-V7
Вывод
Анализ при помощи сетевого графика выделил
слабые места в процессе пошива изделия. Видно, что работы с E
по I выполняются, не
так быстро, как хотелось бы. Как правило, на сам процесс большое влияние
оказывают внешние факторы, такие как: экономическое состояние страны,
человеческий фактор и т. д. И именно эти процессы откладываются и переносятся.
Заключение
Проведённый анализ позволил выделить слабые
места в процессе пошива одежды, распределить приоритеты и избежать возможных
ошибок. Безусловно данная работа является упрощённой моделью самого процесса
пошива, в действительности есть ещё множество аспектов, способных стать
причинами возможных проблем. Однако уже в упрощённом варианте проблема носит
комплексный характер и методы, применённые в работе, позволяют более глубоко
оценить отдельные её аспекты и сделать правильные выводы.