Разработка стратегии фирмы на примере 'Сталепромышленной компании'
Введение
стратегия финансовый ассортимент
«Сталепромышленная компания» (SteelIndustrialCompany, СПК) -
российская компания, поставщик металлопроката на рынки России и стран СНГ.
Компания занимается оптовой и розничной торговлей металлопрокатом, а также развивает
производственное направление: осуществляет переработку металла и производство
различных профилей.
На складах Сталепромышленной компании постоянно находится в
общей сложности 250 000 тонн металлопродукции, более 10 000 наименований и
типоразмеров.
«Сталепромышленная компания» занимает 92-е место в списке
крупнейших российских частных компаний по данным за 2011 год (Forbes).
Согласно рейтингу Эксперт-400, «Сталепромышленная компания»
поднялась на 58 строчек и заняла 187 место среди четырехсот крупнейших компаний
России из всех основных сфер экономики по итогам работы в 2011 г.
«Сталепромышленная компания» входит в Российскую Ассоциацию
Металлоторговцев с 2001 года.
Компания начала работать на рынке металлоторговли в 1991
году.
В 2006 году компания продала металлопродукцию в количестве
более 1 млн тонн.
Филиальная сеть Сталепромышленной Компании представлена
практически во всех субъектах федерации, в 49 городах России и зарубежья.
Основные и крупные филиалы Компании находятся в городах: Екатеринбург, Челябинск,
Санкт-Петербург, Уфа, Казань, Тюмень, Киров, Пермь, Красноярск и Якутск.
Миссия Компании:
«Мы создаем комплексные решения для металлопотребляющих
отраслей экономики, обеспечивая лучший уровень обслуживания и взаимный успех.
Мы стремимся к лидерству во всех сферах нашей деятельности и регионах
присутствия».
Цели компании:
· Удержание ведущих позиций на российском
рынке металлоторговли.
· Повышение экономической эффективности
бизнеса за счет развития сервисной составляющей.
· Формирование эффективной структуры
управления производственными бизнес-единицами.
· Диверсификация бизнеса за счет освоения
более доходных производственных направлений.
1.
Анализ внешней среды
Внешняя среда для компаний состоит из двух колец окружения:
ближнего и дальнего. К ближнему относятся те элементы, отношения с которыми
регламентируются двусторонними договорами или соглашениями: клиенты,
контролирующие организации, партнеры по бизнесу, финансово-кредитные
учреждения, заинтересованные внешние физические и юридические лица, конкуренты,
общественность, законодательная база в соответствующей области деятельности
(Рисунок 1).
К дальнему окружению компании относятся элементы, которые
находятся вне сферы ее непосредственного влияния: система ценностей и их
приоритеты в обществе; обычаи местного и международного делового оборота;
политическая обстановка в стране и мире; экономическая обстановка в отрасли,
стране и мире; социальная и экологическая ответственность; налоговая система,
институциональная структура; природные катаклизмы; народные волнения;
криминализация внешних связей.
Особенности элементов ближнего окружения компании
Рассмотрим более подробно описание и параметры наиболее
существенных элементов внешней среды - ближнего окружения.
. Клиенты - это лица, пользующиеся услугами компании
или покупающие у нее непосредственно (прямые) или через других лиц (косвенные)
какую-либо ее продукцию. Для потенциальных клиентов компании обычно формируют
рекламные материалы. Основные параметры данного элемента:
o уровень
неудовлетворенности потребностей и интересовнаселения;
o уровень
платежеспособности населения;
o состояние
спроса-предложения.
. Контролирующие организации представляют налоговые,
административные, санитарные и другие инспекции; пенсионные, медицинские,
социальные и другие фонды; различные комиссии. Основные параметры этого
элемента:
o уровень их правовой и
информационной поддержки;
o уровень их
административной поддержки.
. Партнеры по бизнесу - это участники какой-либо
совместной с компанией деятельности. Она может реализовываться в форме аренды,
партнерства, подряда, договора, финансовых и компенсационных сделок. В качестве
основных параметров данного элемента можно выделить:
o уровень соблюдения
договорных обязательств по оплате ипроизводству продукции;
o уровень организационных
связей партнеров;
o уровень финансовых связей
партнеров;
o платежеспособность
партнеров.
. Финансово-кредитные учреждения - организации,
непосредственно участвующие в финансовом цикле компании, например, выполняющие
расчетно-кассовые, ипотечные, кредитные и другие операции. Основные параметры
данного элемента: быстрота и качество обслуживания, уровень надежности,
банковские резервы, объем услуг.
. Заинтересованные внешние физические и юридические
лица - лица, заинтересованные в процветании компании исходя из своих личных
интересов. К ним относятся члены семей работников компании; держатели ее ценных
бумаг; пенсионеры, о которых дополнительно заботится компания; организации, чей
бизнес существенно зависит от процветания компании (например, торговые, обслуживающие);
вышестоящие материнские и другие компании. Основные параметры данного элемента:
o уровень притязаний групп
населения;
o степень развитости
фондовых рынков ценных бумаг;
o характер традиций помощи
социально незащищеннымслоям населения;
o общий уровень
экономического благосостояния населения.
. Конкуренты (конкуренция) - обязательный элемент
рыночной экономики. Основные параметры данного элемента:
o уровень эластичности
выпускаемой продукции;
o уровень льготных
субсидий, получаемых конкурентами;
o характер текущего и
перспективного спроса;
o соотношение отечественных
и зарубежных конкурирующих компаний.
. Общественность (общественное мнение) формирует в
сознании населения отношение к компании и ее продукции. Ключевые параметры
данного элемента:
o главные цели и задачи
профсоюзного движения;
o политические платформы
наиболее влиятельных партий;
o отношение общественности
к качеству выпускаемой компанией продукции;
o уровень влияния
общественных движений на сознание групп населения.
Таблица 1. Влияние на компанию элементов ближнего окружения
|
Элемент
|
Параметр
|
Проявление
|
Влияние
|
|
Клиенты
|
Уровень (не) удовлетворенности потребностей и
интересов населения
|
Высокий
|
Приложении 1 Положительные отзывы клиентов
привлекают к компании внимание тех, кто еще не является их клиентом
|
|
Уровень платежеспособности населения
|
Высокий
|
Стабильность на рынке, уверенность в постоянном
доходе
|
|
Состояние спроса-предложения
|
В условиях оптимистичных прогнозов относительно
развития строительного комплекса РФ вероятно дальнейшее изменение структуры
потребления металлопродукции в пользу роста доли внутренних поставок.
|
|
|
Контролирующие организации
|
Уровень правовой и информационной поддержки
|
Высокий
|
У компании нет проблем с государством.
Государство всячески приветствует развитие этой компании в различных регионах
страны. Цивилизованный бизнес позволяет компании сотрудничать с различными
представителями из зарубежных стран.
|
|
Уровень административной поддержки
|
Высокий
|
СПК участвует в благотворительности, оказывает
спонсорство. Компания рекомендует себя как социально эффективный и полезный
институт.
|
|
Партнеры по бизнесу
|
Уровень соблюдения договорных обязательств по
оплате и производству продукции
|
Высокий
|
Сбытовое подразделение ЗАО «СПК» на ежегодной
основе разрабатывает и утверждает положение о системе ценообразования, в
рамках которого определяет механизм формирования оптовых и розничных цен.
Компания имеет заранее фиксированный регламент, что позволяет в случае
разрыва партнерский отношений распределить ответственность.
|
|
Уровень организационных связей партнеров
|
Высокий
|
|
|
Уровень финансовых связей партнеров
|
Высокий
|
|
|
Платежеспособность партнеров
|
Высокая, стабильная
|
Стабильность партнерства, уверенность в
постоянном доходе
|
|
Финансово-кредитные учреждения
|
Быстрота и качество обслуживания, уровень
надежности, банковские резервы, объем услуг
|
Высокое
|
СПК пользуется услугами Газпромбанка. Если
физические лица крайне недовольны услугами этого банка, то для крупных
юридических лиц этот банк проявление надежности, быстроты, высокого качества
обслуживания
|
|
Конкуренты (только независимые металлотрейдеры)
|
Характер текущего и перспективного спроса
|
Спрос стабильный, возможно, растущий
|
|
|
Соотношение отечественных и зарубежных
конкурирующих компаний
|
80/20
|
Высокая конкуренция, возможна потеря доли рынка.
Структура российского рынка высоко фрагментирована: 30 крупнейших компаний
управляют не более чем 50% рынка, и ни одна из них не владеет более чем 10%
долей рынка. Это контрастирует с ситуацией в европейских странах, где пять
крупнейших дистрибьюторов контролируют до 70% рынка.
|
Особенности элементов дальнего окружения компании
1. Система ценностей и их приоритеты в обществе. К
системе ценностей относятся материальные, общественно-политические и духовные
ценности. Каждое общество формирует свое представление о добре, справедливости,
свободе, вере и т.д. Набор представлений может формировать как положительную
систему ценностей, так и отрицательную. Вместе с тем существуют и
общечеловеческие ценности: нормы нравственности, прогресс, культурное наследие,
социальная ответственность. Руководитель компании должен ориентироваться в
существующем раскладе ценностей и формировать совместимую с общественными
ценностями систему ценностей своей компании.
. Обычаи местного и международного делового оборота -
набор общепринятых норм цивилизованных отношений между участниками каких-либо
соглашений, которые не регулируются законодательными актами. К основным
параметрам данного элемента относят:
o масштаб обычаев делового
оборота;
o значение, придаваемое в
обществе обычаям делового оборота;
o статистика соблюдения
обычаев делового оборота в сфере деятельности компании; ответственность за
нарушение обычаев делового оборота.
. Политическая обстановка в стране и мире определяется
деятельностью органов государственной власти и государственного управления,
характеризующей общественный строй и экономическую структуру общества; партий,
общественных классов и группировок. Основные параметры данного элемента:
o уровень доверия населения
органам государственной власти;
o вовлеченность населения в
реализацию главных программ государственной власти;
o количество активных
партий и общественных движений;
o степень интеграции страны
с мировым сообществом.
. Экономическая обстановка в отрасли, стране и мире
определяется организацией, структурой и состоянием хозяйственной деятельности
отрасли, страны, мирового региона. К основным параметрам данного элемента можно
отнести:
o уровень стабильности
экономической обстановки;
o продолжительность цикла
спада-подъема;
o уровень инфляции;
o степень привлекательности
для инвесторов.
. Социальная и экологическая ответственность - новый
элемент в системе внешней среды. Характеризует гуманитарную ответственность (в
отличие от юридической) компаний и отдельных людей за отрицательные последствия
реализованных управленческих решений, т.е. за ущерб, причиненный людям или
природе. Важные параметры социальной и экологической ответственности:
o широта ответственности,
определяющая диапазон функций производства и управления, по которым компания
или руководитель берут на себя социальную или экологическую ответственность;
o временной интервал
ответственности, который характеризуется как период устойчивого внимания и
конкретных действий по соблюдению моральных норм во всем диапазоне заявленных
функций производства и управления компании. Временной интервал может быть
бессрочным и на заданный срок, например, на период выполнения определенного
задания;
o придаваемое значение -
это важность социальной ответственности перед технологическими целями компании;
вовлеченность персонала в реализацию социальных и экологических целей компании.
Возможны два основных варианта реализации социальных и экологических целей:
формирование отдельных коллективов в составе компании для их профессионального
выполнения;
o участие всего коллектива компании
на общественных началах во внеурочное время для их выполнения.
. Налоговая система характеризуется следующими
основными параметрами:
o количество налогов;
o уровень налогообложения;
o характер стимулирования
производства продукции;
o уровень организации сбора
налогов.
. Природные катаклизмы включают как форс-мажорные, так
и характерные (часто повторяющиеся) природные аномалии (землетрясения,
проливные дожди и ураганы, шаровые молнии, другие нарушения геомагнитной
обстановки и т.д.). К основным параметрам природных катаклизмов можно отнести:
o характерный перечень
природных катаклизмов;
o частоту повторений;
o характер и уровень
ущерба, вызванного природными катаклизмами;
o уровень защитных мер по
уменьшению возможного ущерба.
. Народные волнения. Этот элемент связан с крайне
низким уровнем удовлетворения частью населения своих потребностей и важнейших
интересов. Основные параметры данного элемента:
o процент людей, живущих
ниже черты бедности;
o уровень и структура
безработицы;
o наличие объединяющих
целей или идей;
o уровень расслоения
общества.
Народные волнения могут проявляться явно и неявно. Явная
форма реализуется в виде участия в митингах, демонстрациях, голодовках и т.д.
Неявная форма реализуется в расширении роли неформальных организаций, враждебно
относящихся к власти различного уровня.
. Криминализация внешних для компании связей. К
данному элементу относится коррупция и рэкет как формы вымогательства чужих
доходов (коррупция - это неявное, а рэкет - явное вымогательство). Коррупция
имеет большее отношение к государственным чиновникам, так или иначе связанным с
надзирательской или контрольной деятельностью над компаниями. Коррупция
встречается и среди служащих высших эшелонов власти в объединениях организаций.
Вымогательство путем шантажа или угроз (рэкет) также иногда замечается со
стороны как государственных, так и частных преступных группировок. Основные
параметры для данного элемента:
o величина упущенной
прибыли компании;
o моральный ущерб.
. Законодательная база в соответствующей области
деятельности. В качестве основных параметров данного элемента можно выделить:
o частоту изменения
законодательной базы;
o уровень доступности
законодательной базы для пользователей;
o степень охвата
законодательной базой правового пространства;
o объем контроля за
выполнением законодательной базы.
Таблица 2. Влияние на компанию элементов дальнего окружения
|
Элемент
|
Параметр
|
Проявление
|
Влияние
|
|
Система ценностей и их приоритеты в обществе
|
Представление о добре, справедливости, свободе,
вере и т.д.
|
В России наиболее распространены ценности в
облике 7 заповедей из Библии. Россия - демократическая страна, но назвать
людей в этой стране свободными невозможно. Свободное вероисповедание, но
последние реформы 2012 года не подтверждают такую теории в полной мере.
|
Никакого влияния.
|
|
Политическая обстановка в стране
|
Уровень доверия населения органам
государственной власти
|
Доверие минимальное
|
При поддержке государства компания может
лишится некоторых клиентов.
|
|
Экономическая обстановка
|
Уровень инфляции
|
Уровень инфляции за 60 месяцев (5 лет): 53,84%
Уровень инфляции за 12 месяцев: 6,55%
|
Чем выше темп инфляции, тем больше капитала
потребуется компании для финансирования своих активов. Инфляция означает
более высокие затраты и, возможно более высокие продажные цены.
|
|
Степень привлекательности для инвесторов
|
Высокая
|
Удержание ведущих позиций на российском рынке
металлоторговли, повышение экономической эффективности бизнеса за счет
развития сервисной составляющей
|
|
Налоговая система
|
Количество налогов
|
В соответствии с НК РФ от 16.07.1998 и НК РФ от
19.07.2000
|
Компания исправно платит налоги без ущерба для
собственного благосостояния
|
|
Уровень налогообложения
|
|
|
|
Организация сбора налогов
|
|
|
|
Народные волнения
|
Процент людей, живущих ниже черты бедности
|
По оценке Росстата за 2011 год, количество
граждан, живущих за чертой бедности в России, составило примерно 12,8
процента, что на 0,2 процента превышает показатели 2010 года.
|
Возможно ухудшения в экономике страны, что
негативно скажется на всех отраслях промышленности, в том числе и
металлургии.
|
|
Уровень и структура безработицы
|
В 2009 г. численность открытой безработицы
составляла 2147 300 человек; закрытой -1638 900 человек.
|
|
|
Уровень расслоения общества
|
16,5
|
|
|
Законодательная база в соответствующей области
|
Частоту изменения законодательной базы
|
Преимущественно база стабильна
|
Для компании вероятность неожиданных правовых
провалов не является проблемой
|
|
Объем контроля за выполнением законодательной
базы
|
Регулярные проверки, пересмотры уже имеющихся
документов
|
|
2.
Анализ внутренней среды
.1
Описание фирмы
Сталепромышленная компания (СПК) - одна из крупнейших
независимых компаний, осуществляющая поставки металлопроката на рынки России и
стран СНГ. Компания занимается оптовой и розничной торговлей металлопроката, а
также развивает производственное направление: осуществляет переработку металла
и производит различные профили.
Сталепромышленная компания работает на рынке металлоторговли
России с 1991 года. Сегодня СПК представляет собой вертикально интегрированную
дивизиональную сеть предприятий, осуществляющих переработку и поставку
металлопроката на рынки России и Казахстана. Управляющая компания находится в
Екатеринбурге.
Филиалы и представительства Компании функционируют
практически во всех субъектах федерации, в 49 городах России и зарубежья. С
2001 года Сталепромышленная компания является членом Российского союза
поставщиков металлопродукции (РСПМ) и по оценкам журнала Forbes входит в число
200 крупнейших компаний России.
Общая численность сотрудников компании составляет 2340 человек.
На долю Сталепромышленной компании приходится 5% рынка
металлопотребления в России.
На складах Сталепромышленной компании постоянно находится в
общей сложности 250 000 тонн металлопродукции, более 10 000 наименований и
типоразмеров.
Сталепромышленная компания, является одним из лидеров по
реализации нержавеющего проката в Уральском регионе. Нержавеющий прокат,
предлагаемый СПК, находит своих клиентов так же в Поволжье и других регионах
России. Для удобства клиентов на складах СПК поддерживается запас 1000 тн.
плоского нержавеющего проката. Основными поставщиками являются ACERIOX и YC
INOX, производящими нержавеющий прокат для СПК по прямым контрактам. Так же к
реализации предлагается сортовой и трубный нержавеющий прокат.
Менеджеры всех филиалов СПК всегда готовы принять заявки и поставить в
согласованные сроки нержавеющий прокат, соответствующий мировым стандартам по
низким ценам.
Компания имеет 248 600 кв. м. складских площадей, из них 108
000 кв. м. - крытые складские комплексы; 136 объектов промышленной
недвижимости; 40 земельных участков.
Значительная часть складских и офисных помещений находится в
собственности Компании.
Основными поставщиками Компании являются крупнейшие
металлургические комбинаты России и стран СНГ, в их числе: ММК, группа НЛМК, АрселорМиттал,
Евраз, Северсталь, группа ТМК, группа ЧТПЗ, ОМК. Относительная независимость от
поставщиков позволяет Компании оптимизировать логистику поставок и объединять
доставку заказов в различные регионы в пулы для минимизации издержек.
В СПК используется линейно-функциональная организационная
структура, при ней линейные руководители являются единоначальниками, помощь им
оказывают функциональные органы. Линейные руководители низших ступеней
административно не подчинены функциональным руководителям высших ступеней
управления. Функциональные руководители соответствующего уровня составляют штаб
линейного руководителя. Организационно-административная структура управляющей
компании СПК представления в Приложении 2 (Рисунок 3).
2.2
Анализ ассортимента. Сбытовая политика фирмы
Сталепромышленная компания предлагает полный ассортимент
металлопроката, представленный практически всеми металлургическими комбинатами
России и ряда зарубежья. На складах Компании всегда в наличии порядка 250 тыс.
тонн металлопроката.
Возможности Сталепромышленной компании:
o СПК имеет возможность
комплектования сборных вагонов до 30 позиций
o СПК имеет возможность
максимально удовлетворить заявку клиента
o СПК имеет возможность
плановых поставок в срок и на место, указанное клиентом.
Рисунок 2. Структура продаж СПК по ассортиментным позициям
характерна для Универсального поставщика
Компания СПК имеет очень широкий ассортимент продукции и
услуг. Ассортимент представлен в Таблице 3.
Таблица 3. Ассортимент компании СПК
|
Сектор
|
Подсектор
|
|
Металлопрокат
|
Листовой прокат
|
|
Трубный прокат
|
|
Сортовой прокат
|
|
Цветной прокат
|
|
Метизы, электроды, сетки, стальные канаты
|
|
Продукция собственного производства
|
|
Услуги
|
Резка
|
|
Правка бухт в пруток
|
|
Переработка арматурного проката
|
|
Переработка проволоки
|
|
Переработка листа
|
|
Погрузочно-разгрузочные работы
|
|
Транспортные услуги
|
|
Упаковка
|
|
Ответственное хранение
|
|
Металлочерепица, профнастил, сайдинг, профиль
|
Профнастил
|
|
Металлочерепица и комплектующие
|
|
Металлосайдинг и комплектующие
|
|
Фасадные панели и комплектующие
|
|
Строительные оцинкованные профили
|
|
Сетки
|
|
Просечно-вытяжной лист (ПВЛ)
|
|
Лента.
|
|
Арматурный передел
|
Арматурные изделия для монолитного
строительства и производства ЖБИ
|
|
Сварная балка. Изготовление сварной двутавровой
балки
|
Сварная балка
|
|
Металлоконструкции: изготовление и монтаж
металлоконструкций
|
Металлоконструкции
|
|
Дробеметная очистка, окраска, грунтовка
металлопроката
|
|
Построим
матрицу BCG для СПК
|
Вид продукции (по сектору)
|
Объем реализации, млн. руб.
|
Доля рынка (%),
|
Доля затрат
|
|
2010
|
2011
|
СПК
|
конкуренты
|
|
|
1. Металлопрокат
|
60.6
|
45.5
|
19
|
17
|
0.45
|
|
2. Услуги
|
61.1
|
48
|
21
|
18
|
0.4
|
|
3. Металлочерепица, профнастил, сайдинг,
профиль
|
53.7
|
40.2
|
17
|
14
|
0.23
|
|
4. Арматурный передел
|
57.7
|
43.2
|
11
|
10
|
0.7
|
|
5. Сварная балка. Изготовление сварной
двутавровой балки
|
48.4
|
39.9
|
5
|
12
|
0.57
|
|
6. Металлоконструкции: изготовление и монтаж
металлоконструкций
|
62.5
|
50.1
|
17
|
16
|
0.46
|
|
7. Дробеметная очистка, окраска, грунтовка
металлопроката
|
57
|
34.1
|
10
|
13
|
0.36
|
Произведем расчет показателей матрицы БКГ. Рассчитаем
показатель рост рынка (РР). Этот показатель характеризует движение товаров на
рынке, что выражается через изменение объема реализации (продаж) данного
продукта (результата данного бизнес-процесса) за последний рассматриваемый
период времени (в упрощенном варианте - отношение продаж за последний период к
предпоследнему). Следовательно,
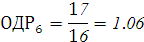
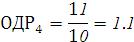
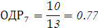
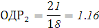
Рассчитаем показатель Относительная доля рынка (ОДР). Данный
параметр определяется отношением доли предприятия на рынке к доле ведущей
конкурирующей фирмы, а доля рынка предприятия находится как отношение объема
реализации к емкости рынка данной продукции. Следовательно,
Ссылка на Exel
По объёму производства стали в мире Россия в 2011 году
опустилась с четвертого места на пятое, пропустив вперед Индию. Лидирующие
позиции по объёмам производства стали занимает Китай, в 2011 году его доля
составила 47%. На втором месте следует Япония, доля которой значительно
уступает лидеру (7%). Далее по убыванию долю следуют США, Индия и Россия.
Объем производства стали в 2011 г. в России достиг
докризисного уровня 2008 г. и составил 68 743 тыс. тонн, что на 3% превышает
аналогичный показатель 2010 г. За январь - июль 2012 г. было произведено 41 556
тыс. тонн стали (на 3% выше аналогичного периода предыдущего года). Ожидают,
что по итогам 2012 г. объем производства стали достигнет 70 805 тыс. тонн.
Филиалы СПК имеются в Центральном ФО, Северо-Западном ФО,
Южном ФО, Приволжском ФО, Уральском ФО, Сибирском ФО, Дальневосточном ФО.
2.3
Оценка финансового состояния фирмы
Оценка финансового состояния предприятия является процедурой,
которая в современных российских условиях представляется только как
неотъемлемая часть успешного бизнеса, поскольку от качества анализа и
диагностики экономического состояния компания, определения стратегии развития
зависит успех деятельности. На основе оценки и анализа может быть разработан
обоснованный, подкрепленный достоверными сведениями бизнес план, с помощью
которого можно не только определить оптимальное направление развития компании,
но и взять кредит под бизнес в банке.
Оценка финансового состояния предприятияосуществляется с
целью выявления основных факторов, оказывающих влияние на финансовую благо
состоятельность компании, а также для того, чтобы сделать прогноз тенденций
изменения роста и разработки стратегий развития бизнеса.
Оценка финансового состояния предприятия проводится
посредством оценки состава и структуры активов компании, их движения и
состояния, оценки состава и структуры источников заемного и собственного
капитала, анализ характеристик и свойств финансовой устойчивости компании.
Анализ финансового состояния является аналитической процедурой, с помощью
которой можно выявить слабые стороны финансового механизма бизнеса и
предсказать наиболее вероятное его развитие. Также анализ предполагает
разработку решений для снижения и полного устранения рисков.
На современном этапе развития экономики Российской Федерации
вопрос оценки финансового состояния предприятия является очень актуальным. Ведь
именного от экономического здоровья зависит успех деятельности и поэтому
анализу нужно уделить максимум внимания.
Таблица 4. Бухгалтерский баланс на 31 декабря 2009 года
|
АКТИВ
|
Код
|
Наначало
|
Наконецотчетного
|
|
|
показателя
|
отчетногогода
|
периода
|
|
|
I. Внеоборотныеактивы
|
|
|
|
|
|
|
Нематериальныеактивы
|
110
|
0,00
|
|
190 123,39
|
|
|
Основныесредства
|
120
|
753 760 437,74
|
|
1 001 859 573,17
|
|
|
Незавершенноестроительство
|
130
|
125 472 298,00
|
|
181 287 531,26
|
|
|
Доходные вложения в материальные ценности
|
135
|
0,00
|
|
0,00
|
|
|
Долгосрочныефинансовыевложения
|
140
|
0,00
|
|
72 282 281,87
|
|
|
Отложенныеналоговыеактивы
|
145
|
0,00
|
|
1 939 330,11
|
|
|
Прочиевнеоборотныеактивы
|
150
|
20008915,00
|
|
0,00
|
|
|
Итогопоразделу I
|
190
|
981 184 551,23
|
|
1 257 558 839,80
|
|
|
II. Оборотныеактивы
|
|
|
|
|
|
|
Запасы
|
210
|
670 473 141,08
|
|
3 690 618 162,39
|
|
|
в томчисле:
|
211
|
145 408 662,44
|
|
252 627 437,60
|
|
|
животные на выращивании и откорме
|
212
|
0,00
|
|
0,00
|
|
|
затраты в незавершенномпроизводстве
|
213
|
24 743 887,00
|
|
77 578 799,01
|
|
|
готовая продукция и товары для перепродажи
|
214
|
497 901 068,66
|
|
3 349 187 636,46
|
|
|
товарыотгруженные
|
215
|
0,00
|
|
0,00
|
|
|
расходыбудущихпериодов
|
216
|
2 419 532,98
|
|
11 224 289,32
|
|
|
прочиезапасы и затраты
|
217
|
0,00
|
|
0,00
|
|
|
Налог на добавленную стоимость по приобретенным
ценностям
|
220
|
47 500 224,58
|
|
43 420 827,50
|
|
|
Дебиторская задолженность (платежи по которой
ожидаются более
|
230
|
0,00
|
|
0,00
|
|
|
в томчисле:
|
|
|
|
|
|
|
покупатели и заказчики
|
231
|
0,00
|
|
0,00
|
|
|
Дебиторская задолженность (платежи по которой
ожидаются в
|
240
|
2 004 006 002,34
|
|
2 842 636 861,62
|
|
|
в томчисле:
|
|
|
|
|
|
|
покупатели и заказчики
|
241
|
1 221 318 169,70
|
|
2 083 315 238,86
|
|
|
поставщики
|
242
|
449 302 712,86
|
|
495 526 118,51
|
|
|
прочиедебиторы и кредиторы
|
243
|
279 920 563,00
|
|
170 072 322,61
|
|
|
Бюджет, внебюджет
|
244
|
53 464 556,78
|
|
93 723 181,64
|
|
|
Краткосрочныефинансовыевложения
|
250
|
166 128 571,00
|
|
453 548 878,54
|
|
|
Денежныесредства
|
260
|
249 438 759,00
|
|
266 251 009,08
|
|
|
Прочиеоборотныеактивы
|
270
|
61 701 209,00
|
|
6 036 537,21
|
|
|
Итогопоразделу II
|
290
|
3 199 247 907,00
|
|
7 302 512 276,34
|
|
|
БАЛАНС
|
300
|
4 098 489 557,00
|
|
8 560 071 116,14
|
|
|
ПАССИВ
|
Код
|
Наначало
|
Наконец
|
|
|
строки
|
отчетногогода
|
отчетногопериода
|
|
|
III. Капитал и резервы
|
|
|
|
|
|
Уставныйкапитал
|
410
|
1 000 000,00
|
1 000 000,00
|
|
|
Собственные акции, выкупленные у акционеров
|
411
|
0,00
|
0,00
|
|
|
Добавочныйкапитал
|
420
|
10 226 099,78
|
10 226 099,78
|
|
|
Резервныйкапитал
|
430
|
96 582,65
|
7 200,00
|
|
|
в томчисле:
|
|
|
|
|
|
резервные фонды, образованные в соответствии
|
431
|
0,00
|
0,00
|
|
|
с законодательством
|
|
|
|
|
|
резервы, образованные в соответствии с
учредительными документами
|
432
|
96 582,65
|
7 200,00
|
|
|
Нераспределеннаяприбыль (непокрытыйубыток)
|
470
|
1 109 564 000,00
|
2 941 676 731,68
|
|
|
Итогопоразделу III
|
490
|
1 120 886 682,43
|
2 952 910 031,46
|
|
|
IV. Долгосрочныеобязательства
|
|
|
|
|
|
Займы и кредиты
|
510
|
0,00
|
1 045 544 850,80
|
|
|
Отложенныеналоговыеобязательства
|
515
|
0,00
|
3 248 906,72
|
|
|
Прочиедолгосрочныеобязательства
|
520
|
0,00
|
0,00
|
|
|
Итогопоразделу IV
|
590
|
0,00
|
1 048 793 757,52
|
|
|
V. Краткосрочныеобязательства
|
|
|
|
|
|
Займы и кредиты
|
610
|
1 819 846 179,96
|
3 254 547 802,93
|
|
|
Кредиторскаязадолженность
|
620
|
1 157 756 694,61
|
1 263 861 065,99
|
|
|
в томчисле:
|
|
|
|
|
|
поставщики и подрядчики
|
621
|
690 933 560,70
|
800 489 322,95
|
|
|
задолженностьпередперсоналоморганизации
|
622
|
15 750 318,92
|
27 078 149,03
|
|
|
задолженность перед государственными
внебюджетными фондами
|
623
|
6 575 166,69
|
15 752 522,74
|
|
|
624
|
79 269 112,21
|
25 733 487,67
|
|
|
прочиекредиторы
|
625
|
176 931 619,00
|
34 037 291,04
|
|
|
покупатели
|
626
|
188 296 917,09
|
360 770 292,56
|
|
|
Задолженность участникам (учредителям) по
выплате доходов
|
630
|
0,00
|
37 338 053,76
|
|
|
Доходыбудущихпериодов
|
640
|
0,00
|
2 551 700,00
|
|
|
Резервыпредстоящихрасходов
|
650
|
0,00
|
0,00
|
|
|
Прочиекраткосрочныеобязательства
|
660
|
0,00
|
68 704,48
|
|
|
Итогопоразделу V
|
690
|
2 977 602 874,57
|
4 558 367 327,16
|
|
|
БАЛАНС
|
700
|
4 098 489 557,00
|
8 560 071 116,14
|
|
Таблица 5. Бухгалтерский баланс на 31 декабря 2010 года
|
|
АКТИВ
|
|
|
|
Код
|
|
Наначалоотчетного
|
Наконецотчетного
|
|
|
|
|
|
|
показателя
|
|
года
|
периода
|
|
|
|
|
|
|
|
|
|
|
|
|
|
1
|
|
|
|
2
|
|
|
3
|
4
|
|
|
I. Внеоборотныеактивы
|
|
|
|
|
|
|
|
Нематериальныеактивы
|
|
|
|
110
|
|
|
0,00
|
131 901,34
|
|
Основныесредства
|
|
|
|
120
|
|
|
753 760 437,00
|
496 923 807,08
|
|
Незавершенноестроительство
|
130
|
|
|
125 472 298,00
|
245 934 533,69
|
|
Доходные вложения в материальные ценност
|
135
|
|
|
0,00
|
606 824 666,60
|
|
Долгосрочныефинансовыевложения
|
140
|
|
|
0,00
|
117 741 064,47
|
|
Отложенныеналоговыеактивы
|
145
|
|
|
0,00
|
51 595 762,82
|
|
Прочиевнеоборотныеактивы
|
|
|
|
150
|
|
|
20 008 915,00
|
0,00
|
|
|
Итогопоразделу I
|
190
|
|
|
899 241 650,00
|
1 519 151 736,00
|
|
II. Оборотныеактивы
|
|
|
|
|
|
|
|
Запасы
|
|
|
|
|
|
210
|
|
|
670 473 141,08
|
3 467 426 380,58
|
|
в томчисле:
|
|
|
|
|
|
|
|
|
|
|
сырье, материалы и другие аналогичные ц
|
211
|
|
|
145 408 662,44
|
216 981 665,33
|
|
животные на выращивании и откорме
|
212
|
|
|
0,00
|
0,00
|
|
затраты в незавершенномпроизводстве
|
213
|
|
|
24 743 887,00
|
92 072 291,06
|
|
готовая продукция и товары для
|
214
|
|
|
497 901 068,66
|
3 112 765 792,00
|
|
товарыотгруженные
|
|
|
|
215
|
|
|
0,00
|
0,00
|
|
расходыбудущихпериодов
|
|
|
|
216
|
|
|
2 419 532,98
|
45 606 632,19
|
|
прочиезапасы и затраты
|
|
|
|
217
|
|
|
0,00
|
0,00
|
|
Налог на добавленную стоимость по приобре
|
220
|
|
|
47 500 224,58
|
24 597 854,11
|
|
Дебиторскаязадолженность (платежипо
|
230
|
|
|
0,00
|
0,00
|
|
в томчисле:
|
|
|
|
|
|
|
|
|
|
|
покупатели и заказчики
|
|
|
|
231
|
|
|
0,00
|
0,00
|
|
Дебиторскаязадолженность (платежипо
|
240
|
|
|
2 004 006 002,34
|
2 333 685 291,31
|
|
в томчисле:
|
|
|
|
|
|
|
|
|
|
|
покупатели и заказчики
|
|
|
|
241
|
|
|
1 221 318 169,70
|
1 578 115 872,02
|
|
поставщики
|
|
|
|
|
|
242
|
|
|
449 302 712,86
|
479 770 389,42
|
|
прочиедебиторы и кредиторы
|
243
|
|
|
279 920 563,00
|
198 033 018,90
|
|
Бюджет, внебюджет
|
|
|
|
244
|
|
|
53 464 556,78
|
77 766 010,97
|
|
Краткосрочныефинансовыевложения
|
250
|
|
|
166 128 571,00
|
538 269 796,75
|
|
Денежныесредства
|
|
|
|
260
|
|
|
249 438 759,00
|
391 785 299,62
|
|
Прочиеоборотныеактивы
|
|
|
|
270
|
|
|
61 701 209,00
|
5 104 742,80
|
|
БАЛАНС
|
|
Итогопоразделу II
|
290
|
|
|
3 199 247 907,00
|
6 760 869 365,17
|
|
|
|
|
|
|
300
|
|
|
4 098 489 557,00
|
8 280 021 101,17
|
|
|
|
|
|
|
|
|
|
|
|
|
|
|
|
ПАССИВ
|
Код
|
Наначалоотчетного
|
Наконец
|
|
|
|
строки
|
года
|
отчетногопериода
|
|
|
|
|
|
|
|
1
|
2
|
3
|
4
|
|
|
III. Капитал и резервы
|
|
|
|
|
|
Уставныйкапитал
|
410
|
1 000 000,00
|
1 000 000,00
|
|
|
Собственные акции, выкупленные у акционер
|
411
|
0,00
|
0,00
|
420
|
10 226 099,78
|
10 226 099,78
|
|
|
Резервныйкапитал
|
430
|
96 582,65
|
138 366,20
|
|
|
в томчисле:
|
|
|
|
|
|
резервныефонды, образованные в
|
431
|
0,00
|
0,00
|
|
|
соответствии
|
|
|
|
|
|
с законодательством
|
|
|
|
|
|
резервы, образованные в соответствии с
|
432
|
96 582,65
|
138 366,20
|
|
|
учредительнымидокументами
|
|
|
|
|
|
|
|
|
|
|
|
Нераспределеннаяприбыль (непокрытыйубы
|
470
|
1 109 564 000,00
|
2 939 681 188,24
|
|
|
Итогопоразделу III
|
490
|
1 120 886 682,43
|
2 951 045 654,22
|
|
|
IV. Долгосрочныеобязательства
|
|
|
|
|
|
Займы и кредиты
|
510
|
0,00
|
1 064 828 368,26
|
|
|
Отложенныеналоговыеобязательства
|
515
|
0,00
|
3 412 450,94
|
|
|
Прочиедолгосрочныеобязательства
|
520
|
0,00
|
0,00
|
|
|
Итогопоразделу IV
|
590
|
0,00
|
1 068 240 819,20
|
|
|
V. Краткосрочныеобязательства
|
|
|
|
|
|
Займы и кредиты
|
610
|
1 819 846 179,96
|
2 769 749 930,82
|
|
|
Кредиторскаязадолженность
|
620
|
1 157 756 694,61
|
1 433 323 663,16
|
|
|
в томчисле:
|
|
|
|
|
|
поставщики и подрядчики
|
621
|
690 933 560,70
|
846 629 124,33
|
|
|
задолженностьпередперсоналоморганиз
|
622
|
15 750 318,92
|
24 395 321,91
|
|
|
задолженностьпередгосударственными
|
623
|
6 575 166,69
|
12 773 274,64
|
|
|
внебюджетнымифондами
|
|
|
|
|
|
|
|
|
|
|
|
задолженность по налогам и сборам
|
|
|
|
|
|
|
624
|
79 269 112,21
|
130 715 369,19
|
|
|
прочиекредиторы
|
625
|
176 931 619,00
|
41 510 847,72
|
|
|
покупатели
|
626
|
188 296 917,09
|
377 299 725,37
|
|
|
Задолженностьучастникам (учредителям) по
|
630
|
0,00
|
55 103 088,27
|
|
|
Доходыбудущихпериодов
|
640
|
0,00
|
2 500 000,00
|
|
|
Резервыпредстоящихрасходов
|
650
|
0,00
|
0,00
|
|
|
Прочиекраткосрочныеобязательства
|
660
|
0,00
|
57 945,50
|
|
|
Итогопоразделу V
|
690
|
2 977 602 874,57
|
4 260 734 627,75
|
|
|
БАЛАНС
|
700
|
4 098 489 557,00
|
8 280 021 101,17
|
|
Таблица 6. Бухгалтерский баланс на 31 декабря 2011 года
|
|
|
АКТИВ
|
|
|
Код
|
|
|
|
На начало
|
На конец отчетного
|
|
|
|
|
|
|
показателя
|
|
Отчетного года
|
периода
|
|
|
|
1
|
|
|
2
|
|
|
|
|
|
3
|
|
4
|
|
|
|
I. Внеоборотныеактивы
|
|
|
|
|
|
|
|
|
|
|
|
Нематериальные активы
|
|
|
|
110
|
|
|
|
|
|
132
|
|
264
|
|
Основные средства
|
|
|
|
120
|
|
|
|
|
|
572 207
|
|
734 045
|
|
Незавершенное строительство
|
|
|
130
|
|
|
|
|
|
324 166
|
|
614 256
|
|
Доходные вложения в материальные ценности
|
135
|
|
|
|
|
|
606 825
|
|
1 212 519
|
|
Долгосрочные финансовые вложения
|
|
|
140
|
|
|
|
|
|
112 180
|
|
341 119
|
|
Отложенные налоговые активы
|
|
|
145
|
|
|
|
|
|
56 621
|
|
105 641
|
|
Прочие внеоборотные активы
|
|
Итого по разделу I
|
150
|
|
|
|
|
|
0
|
|
30
|
|
|
|
|
|
|
190
|
|
|
|
|
|
1 672 130
|
|
3 007 873
|
|
|
II. Оборотные активы
|
|
|
|
|
|
|
|
|
|
|
|
Запасы
|
|
|
|
210
|
|
|
|
|
|
3 581 100
|
|
3 589 989
|
|
в томчисле:
|
|
|
|
|
|
|
|
|
|
|
|
|
|
|
сырье, материалы и другие аналогичные ценности
|
211
|
|
|
|
|
|
232 019
|
|
439 103
|
|
животные на выращивании и откорме
|
|
|
212
|
|
|
|
|
|
0
|
|
0
|
|
затраты в незавершенномпроизводстве
|
|
|
213
|
|
|
|
|
|
92 780
|
|
137 627
|
|
готовая продукция и товары для перепродажи
|
214
|
|
|
|
|
|
3 209 683
|
|
2 967 184
|
|
Товары отгруженные
|
|
|
|
215
|
|
|
|
|
|
0
|
|
0
|
|
Расходы будущих периодов
|
|
|
216
|
|
|
|
|
|
46 618
|
|
46 076
|
|
Прочие запасы и затраты
|
|
|
|
217
|
|
|
|
|
|
0
|
|
0
|
|
Налог на добавленную стоимость по приобретенным
ценностям
|
220
|
|
|
|
|
|
56 915
|
|
9 890
|
|
Дебиторская задолженность (платежи по которой
ожидаются более
|
230
|
|
|
|
|
|
0
|
|
0
|
|
в том числе:
|
|
|
|
|
|
|
|
|
|
|
|
|
|
|
покупатели и заказчики
|
|
|
|
231
|
|
|
|
|
|
0
|
|
0
|
|
Дебиторская задолженность (платежи по которой
ожидаются в
|
240
|
|
|
|
|
|
2 412 138
|
|
3 189 274
|
|
в том числе:
|
|
|
|
|
|
|
|
|
|
|
|
|
|
|
покупатели и заказчики
|
|
|
|
241
|
|
|
|
|
|
1 651 440
|
|
2 024 539
|
|
поставщики
|
|
|
|
242
|
|
|
|
|
|
482 570
|
|
478 287
|
|
Прочие дебиторы и кредиторы
|
|
|
243
|
|
|
|
|
|
183 257
|
|
162 404
|
|
Бюджет, внебюджет
|
|
|
|
244
|
|
|
|
|
|
94 871
|
|
524 044
|
|
Краткосрочные финансовые вложения
|
|
|
250
|
|
|
|
|
|
294 749
|
|
10 575
|
|
Денежные средства
|
|
|
|
260
|
|
|
|
|
|
439 705
|
|
104 083
|
|
Прочие оборотные активы
|
|
|
Итого по разделу II
|
270
|
|
|
|
|
|
5 666
|
|
2 389
|
|
|
|
|
290
|
|
|
|
|
|
6 790 274
|
|
6 906 200
|
|
БАЛАНС
|
|
|
|
300
|
|
|
|
|
|
8 462 403
|
|
9 914 073
|
|
|
|
ПАССИВ
|
|
|
Код
|
|
|
|
На начало
|
На конец
|
|
|
|
|
|
|
строки
|
|
|
|
Отчетного года
|
отчетного
|
|
|
|
|
|
|
|
|
|
|
|
|
|
|
периода
|
|
|
|
1
|
|
|
2
|
|
|
|
|
|
3
|
|
4
|
|
|
|
III. Капитал и резервы
|
|
|
|
|
|
|
|
|
|
|
|
Уставный капитал
|
|
|
|
410
|
|
|
|
|
|
921
|
|
601
|
|
Собственные акции, выкупленные у акционеров
|
411
|
|
|
|
|
|
0
|
|
0
|
|
Добавочный капитал
|
|
|
|
420
|
|
|
|
|
|
22 712
|
|
22 712
|
|
Резервный капитал
|
|
|
|
430
|
|
|
|
|
|
139
|
|
2 405
|
|
в том числе:
|
|
|
|
|
|
|
|
|
|
|
|
|
|
|
резервные фонды, образованные в соответствии
|
431
|
1
|
1
|
|
|
|
с законодательством
|
|
|
|
|
|
|
|
|
|
|
|
|
резервы, образованные в соответствии с
учредительными документами
|
432
|
138
|
2 404
|
|
|
|
Нераспределенная прибыль (непокрытый убыток)
|
470
|
2 938 445
|
3 792 858
|
|
|
|
Итого по разделу III
|
490
|
2 962 217
|
3 818 576
|
|
|
|
IV. Долгосрочные обязательства
|
|
|
|
|
|
|
Займы и кредиты
|
510
|
1 064 828
|
59 985
|
|
|
|
Отложенные налоговые обязательства
|
515
|
4 709
|
10 780
|
|
|
|
Прочие долгосрочные обязательства
|
520
|
0
|
0
|
|
|
|
Итого по разделу IV
|
590
|
1 069 537
|
70 764
|
|
|
|
V. Краткосрочные обязательства
|
|
|
|
|
|
|
Займы и кредиты
|
610
|
2 820 028
|
3 399 580
|
|
|
|
Кредиторская задолженность
|
620
|
1 552 959
|
2 566 652
|
|
|
|
в том числе:
|
|
|
|
|
|
|
поставщики и подрядчики
|
621
|
919 762
|
1 544 841
|
|
|
|
Задолженность перед персоналом организации
|
622
|
26 401
|
35 180
|
|
|
|
Задолженность перед государственными
внебюджетными фондами
|
623
|
13 435
|
8 796
|
|
|
|
задолженность по налогам и сборам
|
624
|
134 651
|
453 912
|
|
|
|
Прочие кредиторы
|
625
|
81 414
|
55 805
|
|
|
|
покупатели
|
626
|
377 296
|
468 118
|
|
|
|
Задолженность участникам (учредителям) по
выплате доходов
|
630
|
55 103
|
52 798
|
|
|
|
Доходы будущих периодов
|
640
|
2 500
|
0
|
|
|
|
Резервы предстоящих расходов
|
650
|
0
|
0
|
|
|
|
Прочие краткосрочные обязательства
|
660
|
60
|
5 702
|
690
|
4 430 649
|
6 024 733
|
|
|
|
БАЛАНС
|
700
|
8 462 403
|
9 914 073
|
|
|
|
|
|
|
|
|
|
|
|
|
|
|
|
|
|
|
|
|
|
Таблица 7. Отчет о прибылях и убытках. 2009-2011 гг. (руб.)
|
|
|
Показатель
|
|
|
|
|
|
|
|
Наименование
|
|
код
|
За 2011 год
|
За 2010 год
|
За 2009 год
|
|
Доходы и расходы по обычным видам деятельности
|
|
|
|
|
|
|
Выручка (нетто) от продажи товаров, продукции,
работ, услуг (за
|
010
|
|
|
|
|
|
|
|
|
|
|
|
минусом налога на добавленную стоимость,
акцизов и аналогичных
|
|
|
|
|
|
|
Обязательных платежей)
|
|
|
|
34 313 769 003
|
26 836 916 370
|
20 279 663023
|
|
Себестоимость проданных товаров, продукции,
работ, услуг
|
020
|
|
-22 686 885 019
|
-22 659 345 971
|
-17 333 122 052
|
|
Валовая прибыль
|
|
|
|
029
|
|
4 160 099 004
|
4 177 570 399
|
2 946 541 010
|
|
Коммерческие расходы
|
|
|
|
030
|
|
-2 691 738 001
|
-2 687 187 938
|
-1 889 670 025
|
|
Управленческие расходы
|
|
040
|
|
-63 076 009
|
-70 323 778
|
-48 969 022
|
|
Прибыль (убыток) от продаж
|
|
050
|
|
1 405 285 007
|
1 420 058 683
|
1 007 902 042
|
|
Прочие доходы и расходы
|
|
|
|
|
|
|
|
Проценты к получению
|
|
|
|
060
|
|
30 076 011
|
-
|
17 434 005
|
|
Проценты к уплате
|
|
|
|
070
|
|
-313 671 023
|
-267 285 001
|
-212 411 001
|
|
Доходы от участия в других организациях
|
|
080
|
|
-
|
-
|
-
|
|
Прочие доходы
|
|
|
|
090
|
|
89 496 008
|
54 718 410
|
33 580 041
|
|
Прочие расходы
|
|
|
|
100
|
|
-225 467 031
|
-188 985 243
|
-116 862 041
|
|
Прибыль (убыток) до налогообложения
|
140
|
|
985 719 004
|
1 018 506 849
|
729 643 001
|
|
Отложенные налоговые активы
|
|
141
|
|
422 043
|
3 588 141
|
3 581 014
|
|
Отложенные налоговые обязательства
|
|
142
|
|
-115 032
|
-521 256
|
-521 012
|
|
Текущий налог на прибыль
|
|
150
|
|
-280 495 012
|
-193 506 811
|
-192 647 011
|
|
|
|
|
|
|
180
|
|
-
|
-
|
-
|
|
Чистая прибыль (убыток) отчетного периода
|
190
|
|
704 494 017
|
828 066 923
|
540 056 013
|
|
СПРАВОЧНО:
|
|
|
|
|
|
|
|
|
|
Постоянные налоговые обязательства (активы)
|
200
|
|
-
|
-
|
-
|
|
Базовая прибыль (убыток) на акцию
|
|
201
|
|
-
|
-
|
-
|
|
Разводненная прибыль (убыток) на акцию
|
|
202
|
|
-
|
-
|
-
|
Коэффициент автономии
При анализе хозяйственной деятельности предприятия, во время
проведения финансового анализа, для определения уровня финансовой устойчивости
и независимости используют коэффициент автономии.
Коэффициент автономии (коэффициент финансовой независимости)
определяется как отношение собственного капитала к сумме всех средств (сумма:
капитала и резервов, краткосрочных пассивов и долгосрочных обязательств),
авансированных предприятию (или отношение величины собственных средств к итогу
баланса предприятия).
Коэффициент автономии (коэффициент концентрации собственного
капитала, коэффициент собственности) - характеризует долю собственности
владельцев предприятия в общей сумме авансированных средств. Чем выше значение
коэффициента, тем финансово более устойчиво и независимо от внешних кредиторов
предприятие.
Нормативное значение для данного показателя равно 0,6 (в зависимости
от отрасли, структуры капитала и т.д. может изменяться).
Коэффициент автономии имеет большое значение для инвесторов и
кредиторов, т.к. чем выше значение коэффициента, тем меньше риск потери
инвестиции и кредитов.
Рассчитаем этот коэффициент для трех прошедших лет:
) 2009:
) 2010:
) 2011:

Исходя их расчетов коэффициента автономии, можно сделать
вывод, что рост доли собственных средств свидетельствует об увеличении
финансовой устойчивости предприятия. Тем не менее, коэффициент автономии должен
превышать 0,5. Практика показывает, что предприятия привлекая необходимые
заемные средства, сохраняет устойчивое финансовое положение, если коэффициент
автономии в пределах 0,5-0,7. СПК имеет низкий уровень автономности.
Коэффициент обеспеченности собственными оборотными средствами
При анализе финансовой отчетности, для оценки финансовой
устойчивости в краткосрочной перспективе, применяется коэффициент
обеспеченность собственными средствами. Коэффициент обеспеченности собственными
средствами определяется как отношение разности между объемами источников
собственных средств (итог III раздела пассива баланса) и фактической стоимостью
основных средств и прочих внеоборотных активов (итог I раздела актива баланса)
к фактической стоимости находящихся в наличии у предприятия оборотных средств в
виде производственных запасов, незавершенного производства, готовой продукции,
денежных средств, дебиторских задолженностей и прочих оборотных активов (итог
раздела II актива баланса).
Коэффициент обеспеченности собственными средствами
характеризует наличие собственных оборотных средств у предприятия, необходимых
для обеспечения его финансовой устойчивости.
Наличие у предприятия достаточного объема собственных
оборотных средств (собственного оборотного капитала) является одним из главных
условий его финансовой устойчивости. Отсутствие собственного оборотного
капитала свидетельствует о том, что все оборотные средства предприятия и,
возможно, часть внеоборотных активов (при отрицательном значении собственных
оборотных средств) сформированы за счет заемных источников.
Структура баланса предприятия признается
неудовлетворительной, а предприятие - неплатежеспособным, если коэффициент
обеспеченности собственными средствами на конец отчетного периода имеет
значение менее 0,1 (этот норматив установлен Постановление Правительства РФ от
20.05.1994 №498 «О некоторых мерах по реализации законодательства о
несостоятельности (банкротстве) предприятий»).
Рассчитаем этот коэффициент для трех прошедших лет:
) 2009:
) 2010:
) 2011:
среда финансовый стратегический потенциал
Исходя из расчетов и графика, показывающего динамику
изменения коэффициента обеспеченности собственными оборотными средствами, можно
сделать вывод, что СПК приблизилось к критическому уровню обеспеченности. Тем
не менее, коэффициент не меньше 0,1, а значит СПК находится на
удовлетворительном уровне обеспеченности.
Коэффициент текущей ликвидности
Коэффициент текущей ликвидности характеризует способность
компании погашать текущие (краткосрочные) обязательства за счёт оборотных
активов. Иногда называется коэффициентом покрытия.
Это один из важнейших финансовых коэффициентов. Чем выше
показатель, тем лучше платежеспособность предприятия. Хорошим считается
значение коэффициента более 2. С другой стороны, значение более 3 может
свидетельствовать о нерациональной структуре капитала, это может быть связано с
замедлением оборачиваемости средств, вложенных в запасы, неоправданным ростом
дебиторской задолженности.
Коэффициент текущей ликвидности (Ктл) вычисляется как
отношение текущих (оборотных) активов к краткосрочным обязательствам (текущим
пассивам, краткосрочной задолженности). Данные для вычисления берутся из
бухгалтерского баланса. Таким образом формула расчета:
Рассчитаем этот коэффициент для трех прошедших лет:
) 2009:
) 2010:
=2,44
) 2011:
Исходя из расчетов и графика динамики изменения коэффициента
текущей ликвидности, можно сделать вывод, что СПК умело наибольшую
платежеспособность в 2010 году. В 2011 оду платежеспособность снизилась, но
осталась на уровне «выше среднего», что является очень хорошем показателем.
Рентабельность продаж
РП - это соотношение между прибылью от продажи продукции и её
себестоимостью (полным издержкам) ее обращения и производства. Рентабельность
продукции показывает результаты текущих затрат.
Рентабельность продаж определяется и по всей продукции, и по
некоторым ее видам. Сейчас для определения состояния предприятия специалисты
рекомендуют использовать ряд показателей, которые применяются в странах, у
которых рыночная экономика хорошо развита.
Коэффициент рентабельности продаж определяют
результативностью работы за отчетный период; он не отражает планируемый и
вероятный эффект долгосрочных инвестиций. Если предприятие переходит на новые
технологии, имеющие хорошую перспективу, или виды продукции, которые требуют
больших инвестиций, то значения показателей рентабельности иногда временно
снижаются. Если же стратегия перестройки была выбрана правильно, то понесенные
затраты в ближайшем будущем окупятся, то есть снижение рентабельности за
отчетный период не рассматривается как негативная характеристика текущей
деятельности.
При помощи рентабельности продаж оценивается эффективность
производства на отдельные виды изделий, а общая, балансовая рентабельность или
рентабельность производства, служит показателем эффективности работы отрасли
(предприятия) в целом.
Рентабельность полнее, чем прибыль, даёт характеристику
окончательных результатов хозяйствования, так как их величина показывает
отношение эффекта с использованными или наличными ресурсами. Применяют их для
того, чтобы оценить деятельность предприятия, а также в качестве инструмента
инвестиционной политики и ценовых образований.
Формула для вычисления рентабельности продаж:
Рассчитаем этот коэффициент для трех прошедших лет:
) 2009:
0,058148904*100%=5,81%
) 2010:
*100%=6,26%
) 2011:
*100%=6,19%
Из расчетов видно, что на каждый потраченный рубль на
производство продукции СПК получает шесть рублей прибыли. Это очень хороший
показатель. Из графика видно, что СПК не стремиться повышать стоимость своей
продукции. Изменения за три года незначительные.
Рентабельность капитала
При анализе хозяйственной деятельности предприятия, во время
проведения финансового анализа, для оценки доходности и прибыльности
предприятия используют коэффициент рентабельности собственного капитала.
Коэффициент рентабельность собственного капитала
рассчитывается как отношение чистой прибыли к среднегодовой сумме собственного
капитала.
Коэффициент рентабельность собственного капитала характеризует
эффективность использования капитала и показывает, сколько предприятие имеет
чистой прибыли с рубля авансированного в капитал.
Рассчитаем этот коэффициент для трех прошедших лет:
) 2009:
) 2010:
) 2011:
На графике динамики коэффициента рентабельности капитала
видно, что рентабельность капитала СПК не является стабильной.
2.4
Оценка кадрового потенциала
Кадровый потенциал организации должен анализироваться с целью
установления степени обеспеченности кадрами текущих и перспективных задач
организации, адекватности персонала задачам и перспективам развития. Исходя из
этого, критерии оценки кадрового потенциала и показатели, по которым
осуществляется анализ, различны: с точки зрения текущих задач персонал может
быть адекватным, с точки зрения перспективы - не соответствовать новому видению
организации.
Структура рабочей силы по категориям занятых
Таблица 8. Структура занятых компании СПК за 2009-2011 года
|
Категории занятых
|
2009 год
|
2010 год
|
2011 год
|
|
Производственный персонал
|
1205
|
1290
|
1297
|
|
Непроизводственный персонал
|
643
|
699
|
702
|
|
Административный персонал
|
380
|
321
|
341
|
|
Итого
|
2228
|
2310
|
2340
|
Таблица 9. Динамика показателей СПК за 2009-2011 года
|
2009
|
2010
|
2011
|
|
Производственный персонал на одного
непроизводственного
|
1,874027994
|
1,845493562
|
1,84757835
|
|
Производственный персонал на одного
административного
|
3,171052632
|
4,018691589
|
3,80351906
|
|
Доля административного персонала в%
|
17,06%
|
13,90%
|
14,57%
|
Динамика первого показателя (соотношения производственных и
непроизводственных работников) демонстрирует тенденцию к уменьшению доли
вторых, что в самом общем виде нежелательно для организации. Динамика
показателя складывается из сокращения производственных работников и увеличения
непроизводственных. Оба эти явления могут быть вызваны рядом событий -
внедрением новых технологий, требующих меньших затрат производственного труда и
повышенных затрат труда на обслуживание и наладку, увеличением потребностей в
вспомогательных операциях, снижением объемов производства. В данном конкретном
случае снижение численности производственных рабочих вызвано увольнениями по
собственному желанию, а возрастание численности непроизводственных -
приобретением легковых автомобилей (шоферы) и увеличением потребности в
обслуживании оборудования.
Возрастная структура рабочей силы
Таблица 10. Структура занятых компании СПК по возрастным
категориям за 2009-2011 года
|
Возраст
|
2009 год
|
2010 год
|
2011 год
|
|
моложе 20 лет
|
121
|
168
|
199
|
|
20-30 лет
|
580
|
619
|
641
|
|
31-40 лет
|
607
|
628
|
655
|
|
41-50 лет
|
579
|
565
|
521
|
|
51-60 лет
|
326
|
320
|
306
|
|
Старше 60 лет
|
15
|
10
|
18
|
|
Итого
|
2228
|
2310
|
2340
|
|
Возраст
|
2009 год
|
2010 год
|
2011 год
|
|
моложе 20 лет
|
5,43%
|
7,27%
|
8,50%
|
|
20-30 лет
|
26,03%
|
26,80%
|
27,39%
|
|
31-40 лет
|
27,24%
|
27,19%
|
27,99%
|
|
41-50 лет
|
25,99%
|
24,46%
|
22,26%
|
|
51-60 лет
|
14,63%
|
13,85%
|
13,08%
|
|
Старше 60 лет
|
0,67%
|
0,43%
|
0,77%
|
Образовательная структура
Таблица 11. Образовательная структура персонала СПК за 2009-2011
года
|
Уровень образования
|
2009 год
|
2010 год
|
2011 год
|
|
Высшее
|
1390
|
1400
|
1429
|
|
Неполное среднее
|
11
|
9
|
12
|
|
Среднее
|
592
|
639
|
622
|
|
Незаконченное высшее
|
19
|
27
|
35
|
|
Кандидат или доктор наук
|
216
|
235
|
242
|
|
Итого
|
2228
|
2310
|
2340
|
Сотрудники с высшим образованием преобладают в компании, что
благоприятно отражается на деятельности СПК.
Стаж работы
Таблица 12.Структура персонала СПК по продолжительности работы в
организации за 2009-2011 года
|
Стаж работы
|
2009 год
|
2010 год
|
2011 год
|
|
Менее 1 года
|
160
|
240
|
280
|
|
1-3 года
|
369
|
330
|
347
|
|
3-5 лет
|
385
|
401
|
458
|
|
5-10 лет
|
321
|
388
|
401
|
|
10-20 лет
|
705
|
664
|
590
|
|
Свыше 20 лет
|
288
|
287
|
264
|
|
Итого
|
2228
|
2310
|
2340
Сотрудники по большей части имеют длительный стаж работы в
организации, что способствует укреплению коллективов, созданию прочных
коммуникационных связей, формированию корпоративной культуры и «семьи».
Гендерная
структура организации
|
Половая принадлежность
|
2009 год
|
2010 год
|
2011 год
|
|
Мужчины
|
1368
|
1485
|
1511
|
|
Женщины
|
860
|
825
|
829
|
|
Итого
|
2228
|
2310
|
2340
|
Тяжелые условия труда предусматривают большое число мужчин,
занятых на непосредственном производстве продукции. Женщины в большинстве
заняты в офисной работе СПК.
Текучесть кадров
Существует несколько методов расчета текучести, наиболее
распространенный - отношение числа покинувших организацию сотрудников (за
исключением уволенных по сокращению штатов) к среднему числу занятых в течение
года. Чем выше показатель текучести, тем ниже стабильность персонала
организации. Для руководства организации важен не только сам показатель
текучести кадров, но и причины, по которым люди покидают организацию -
неудовлетворительные условия труда, неинтересная работа, отсутствие перспектив
профессионального роста и т.д. Поэтому отдел человеческих ресурсов проводит
анализ причин текучести и выявляет наиболее серьезные из них.
|
Причины увольнений
|
2009 год
|
2010 год
|
2011 год
|
|
Плохие условия труда
|
20,90%
|
18,03%
|
10,94%
|
|
Неинтересная работа
|
34,33%
|
32,79%
|
25,00%
|
|
Отсутствие перспектив роста
|
10,45%
|
13,11%
|
15,63%
|
|
Неудовлетворительная компенсация
|
4,48%
|
3,28%
|
9,38%
|
|
Переезд в другое место
|
26,87%
|
22,95%
|
26,56%
|
|
Прочие причины
|
2,99%
|
9,84%
|
12,50%
|
|
Итого
|
100,00%
|
100,00%
|
100,00%
|
Большее количество увольнений за три года в среднем были
из-за неинтересной, по мнению уволившихся, работы. Для уменьшения текучести
кадров необходимо уделить особое внимание производству продукции, сделать ее
интереснее.
Показатель абсентеизма
Показатель абсентеизма рассчитывается как отношение рабочего
времени, пропущенного сотрудниками в течение периода (года), к общему балансу
рабочего времени организации за период. В данном показателе учитываются все
пропуски рабочего времени по болезни, отгулы за свой счет, прогулы, кроме
отпусков и вынужденных отгулов по инициативе организации.
В 2011 году общий годовой баланс рабочего времени СПК
составил 646000 часов, пропущено было 75430 часов. Соответственно абсентеизм в
2011 г. составил 12%. Коэффициент абсентеизма показывает, какой процент
производительного времени теряется в течение периода из-за отсутствия
сотрудников на рабочем месте. Для снижения абсентеизма отдел человеческих
ресурсов должен провести детальный анализ причин неявки сотрудников и может
подсчитать отдельные коэффициенты абсентеизма по основным причинам болезням,
прогулам и т.д.
Коэффициент внутренней мобильности
Коэффициент внутренней мобильности персонала рассчитывается
как отношение числа сотрудников, сменивших должности в течение периода, к
среднему числу сотрудников организации за период. Коэффициент мобильности
рассчитывается за год, три года, пять лет.
В 2011 году 218 сотрудников СПК заняли новые должности внутри
организации, следовательно, коэффициент мобильности составил 9,37% ( )
При анализе показателей внутриорганизационной мобильности
большое значение имеет историческая динамика и сравнение со средними
показателями для отрасли. Помимо коэффициента мобильности отделы человеческих
ресурсов производят разбивку рабочей силы в соответствии с продолжительностью
работы в данной должности - определяют какой процент работает в настоящей
должности менее 1 года, от 1 года до 3 лет, от 3 лет до 5, от 5 до 10 и т.д.
Такой анализ позволяет лучше понять динамику внутриорганизационных перемещений
и выявить узкие места, требующие вмешательства руководства.
Текучесть
кадров, абсентеизм, внутриорганизационная мобильность
|
Показатель
|
2009 год
|
2010 год
|
2011 год
|
|
Текучесть кадров
|
3%
|
3%
|
3%
|
|
Абсентеизм
|
13%
|
14%
|
12%
|
|
Внутриорганизационная мобильность
|
11%
|
9%
|
9%
|
Вывод: наибольшее внимание руководства следует привлечь к
показателю абсентеизма в СПК.
3.
SWOT-анализ
Таблица 13. Базовая матрица SWOT-анализа
|
Возможности
|
Угрозы
|
|
· Расширение предоставления
услуг · Расширение рынка сбыта · Увеличение номенклатуры
выпускаемой продукции · Установление оптимальной системы
налогообложения · Повышение покупательной способности · Возможность по
средствам внедрения инноваций создавать новые конкурентные преимущества · Расширение сегмента
рынка, в которых реализуется продукция
|
· Появление конкурентов · Увеличение уровня
инфляции · Повышение налоговых ставок · Снижение покупательской
способности · Появление новой технологии позволяющей снижение времени на производство
у конкурентов · Уменьшение числа покупателей и естественного
прироста в некоторых регионах реализации продукции
|
|
Сильные стороны
|
Слабые стороны
|
|
· Четко проявляется
компетентность · Высокое искусство конкурентной борьбы · Признанный рыночный лидер
· Четко сформулированная стратегия · Собственная уникальная
технология, лучшие производственные мощности · Проверенное надежное
управление · Надежная сеть распределения · Высокое искусство НИОКР
|
· Отсутствие анализа
информации о потребителях · Высокая стоимость продукции в сравнении с
ключевыми конкурентами · Слабая политика продвижения
|
Таблица 14. Анализ угроз со стороны конкурентных сил
|
Вероятность реализации угроз
|
Последствия угроз
|
|
Разрушительные (Р)
|
Тяжелые (Т)
|
Легкие (Л)
|
|
Высокая (В)
|
Снижение покупательской способности
|
|
Повышение налоговых ставок
|
|
Средняя (С)
|
Появление ценовых конкурентов
|
Уменьшение числа покупателей и естественного
прироста в некоторых регионах реализации продукции
|
Увеличение уровня инфляции
|
|
Низкая (Н)
|
|
Появление новой технологии позволяющей снижение
времени на производство у конкурентов
|
|
Таблица 15. Анализ возможностей, предоставляемых рынком
|
Вероятность использования возможности
|
Влияние возможности
|
|
Сильное (С)
|
Умеренное (У)
|
Малое (М)
|
|
Высокая (В)
|
Увеличение номенклатуры выпускаемых услуг
|
Расширение предоставления услуг
|
Расширение сегмента рынка, в которых
реализуется продукция
|
|
Средняя (С)
|
Возможность по средствам внедрения инноваций
создавать новые конкурентные преимущества
|
Повышение покупательной способности
|
Установление оптимальной системы
налогообложения
|
|
Низкая (Н)
|
Расширение рынка сбыта
|
|
|
4.
Разработка стратегических альтернатив
Любая коммерческая организация согласно ГК РФ образуется с
целью получения прибыли. В связи с этим главной задачей финансовых менеджеров
является обеспечение постоянного прироста прибыли, прежде всего, от продажи
продукции. Эта прибыль является главной составляющей чистой прибыли и
свидетельствует о соответствии текущей деятельности организации своей миссии.
4.1
Стратегия горизонтальной диверсификации
Диверсификация - расширение ассортимента выпускаемой
продукции и переориентация рынков сбыта, освоение новых видов производств с
целью повышения эффективности производства, получения экономической выгоды,
предотвращения банкротства. Такую диверсификацию называют диверсификацией
производства.
Рассчитаем примерную стоимость по реализации данной
стратегии:
|
Создание новой концепции производства продукции
|
2363362 руб.
|
|
Закупка нового производственного оборудования
|
51745257 руб.
|
|
Закупка материалов
|
30245323 руб.
|
|
Итого:
|
84353942 руб.
|
Таким образом наши затраты будут равны 84 353 942 руб. А так
как чистая прибыль от реализации продукции на данный момент значительно выше
таких затрат, то мы можем приступать к реализации данной стратегии, не прибегая
к займу кредита.
Анализ рисков стратегии
Для анализа риска стратегической альтернативы будем
использовать экспертный метод оценки риска. Для этого сначала составим перечень
рисков, присущих выбранной альтернативе.
|
Группа рисков
|
Риски
|
SX
|
Негативные последствия
|
|
Рыночные риски (P1)
|
Низкий спрос на продукцию
|
S1
|
Потеря клиентов
|
|
Рост цен
|
S2
|
|
|
Производственные риски (P2)
|
Несоответствие квалификации персонала
требованиям производства
|
S3
|
Уменьшение эффективности продаж
|
|
Поломка оборудования или повреждение при
доставке
|
S4
|
|
|
Финансовые риски (P3)
|
Снижение доходов населения
|
S5
|
Уменьшение количествапотребителей
|
Экспертами будут представлены студентыСПбГТИ (ТУ) факультета
экономики и менеджмента, специальности «080505 - Управление персоналом» группы
6797-2.
Каждому эксперту представляется перечень рисков и
предлагается оценить вероятность их наступления, основываясь на следующей
системе оценок:
- несуществующий риск;
- рисковая ситуация вероятнее всего не наступит;
- о возможности риска нельзя сказать ничего определенного;
- рисковая ситуация вероятнее всего наступит;
- рисковая ситуация наступит наверняка.
|
Группа рисков
|
Риски
|
Вес (Wpi)
|
Эксперт 1
|
Эксперт 2
|
Эксперт 3
|
Итоговая оценка (Vi)
|
|
Рыночные риски (P1)
|
Низкий спрос на продукцию
|
0,17
|
25
|
0
|
25
|
17
|
|
Рост цен
|
0,42
|
50
|
25
|
50
|
42
|
|
Производственные риски (P2)
|
Несоответствие квалификации персонала
требованиям производства
|
0,08
|
0
|
25
|
0
|
8
|
|
Поломка оборудования или повреждение при
доставке
|
0,25
|
25
|
25
|
25
|
25
|
|
Финансовые риски (P3)
|
Снижение доходов населения
|
0,08
|
0
|
0
|
25
|
8
|
|
Итого
|
|
1
|
|
|
|
|
Теперь необходимо подвергнуть мнения экспертов анализу на
противоречивость: max │аi - bi │≤ 50,
где
а и b - векторы оценок каждого из двух экспертов;- вид
оцениваемого риска.
|
SX
|
Эксперт 1 - Эксперт 2
|
Эксперт 2 - Эксперт 3
|
Эксперт 1 - Эксперт 3
|
|
S1
|
|
|
|
|
S2
|
|
|
|
|
S3
|
|
|
|
|
S4
|
|
|
|
|
S5
|
|
|
|
|
Мнения экспертов 1 и 2 не противоречат друг
другу
|
мнения экспертов 2 и 3 не противоречат друг
другу
|
мнения экспертов 1 и 3 не противоречат друг
другу
|
Риск стратегической альтернативы рассчитывается по следующей
формуле:
27,78
Теперь оценим долю каждого риска в общем риске.
|
Группа рисков
|
Риски
|
Балльная оценка, Wpi ∙ Vi
|
Риск
|
|
Рыночные риски (P1)
|
Низкий спрос на продукцию
|
2,78
|
10,0%
|
|
Рост цен
|
17,36
|
62,5%
|
|
Производственные риски (P2)
|
Несоответствие квалификации персонала
требованиям производства
|
0,69
|
2,5%
|
|
Поломка оборудования или повреждение при
доставке
|
6,25
|
22,5%
|
|
Финансовые риски (P3)
|
Снижение доходов населения
|
0,69
|
2,5%
|
|
|
27,78
|
100,0%
|
Из таблицы и графика видно, что самыми весомыми рисками
являются рост цен и поломка оборудования или повреждение при доставке.
|
Номер шага
|
0
|
1
|
2
|
3
|
4
|
|
Длительность шага (годы)
|
2013
|
2014
|
2015
|
2016
|
2017
|
|
Показатели
|
|
1. Объем продаж (гектотонна)
|
1,53
|
1,55
|
1,57
|
1,6
|
1,61
|
|
2. Средняя цена единицы (млрд за гекатонну)
|
22,8
|
22,87
|
22,93
|
22,99
|
23,01
|
|
3. Выручка (млрд)
|
35,184
|
35,7485
|
36,3001
|
37,084
|
37,5762
|
|
4. Издержки производства и сбыта без
амортизации (млрд)
|
28
|
28,4
|
28,8
|
29,2
|
29,6
|
|
5. Амортизационные отчисления (млрд)
|
6
|
5,5
|
5
|
4,5
|
4
|
|
6. Издержки производства и сбыта продукции
(млрд)
|
34
|
33,9
|
33,8
|
33,7
|
33,6
|
|
7. Прибыль балансовая (млрд)
|
1,18
|
1,85
|
2,50
|
3,38
|
3,98
|
|
8 Налог на прибыль (млрд)
|
0,2368
|
0,3697
|
0,50002
|
0,6768
|
0,79524
|
|
9 Прибыль чистая (млрд)
|
0,9472
|
1,4788
|
2,0001
|
2,7072
|
3,1810
|
|
10 Прибыль чистая нарастающим итогом (млрд)
|
0,9472
|
2,4260
|
4,4261
|
7,1333
|
10,3142
|
4.2
Стратегия развития продукта
В данной стратегии мы предполагаем решение задачи роста за
счет производства нового продукта, предполагаем реализовывать на уже освоенном
фирмой рынке.
Рассчитаем примерную стоимость по реализации данной
стратегии:
|
Создание новой концепции производства продукции
|
2363362 руб.
|
|
Разработка новой рекламы, ее продвижение
|
2093911 руб.
|
|
Закупка материалов
|
6245323 руб.
|
|
|
|
Итого:
|
10702596 руб.
|
Таким образом наши затраты будут равны 10 702 596 руб. А так
как чистая прибыль от реализации продукции на данный момент значительно выше
таких затрат, то мы можем приступать к реализации данной стратегии, не прибегая
к займу кредита.
Анализ рисков стратегии
Для анализа риска стратегической альтернативы будем
использовать экспертный метод оценки риска. Для этого сначала составим перечень
рисков, присущих выбранной альтернативе.
|
Группа рисков
|
Риски
|
SX
|
Негативные последствия
|
Рост цен
|
S1
|
Потеря клиентов
|
|
Коммерческие риски (P2)
|
Сокращение производства
|
S2
|
Снижение объема продаж
|
|
Высокий уровень цен
|
S3
|
|
|
Изменение структуры потребления продукции
|
S4
|
|
|
Финансовые риски (P3)
|
Повышение кредитных ставок по кредитам
|
S5
|
Уменьшениедохода
|
|
Маркетинговые риски (P4)
|
Неэффективность рекламы
|
S6
|
Потеря клиентов и затрат на рекламу
|
Экспертами будут представлены студентыСПбГТИ (ТУ) факультета
экономики и менеджмента, специальности «080505 - Управление персоналом» группы
6797-2.
Каждому эксперту представляется перечень рисков и
предлагается оценить вероятность их наступления, основываясь на следующей
системе оценок:
- несуществующий риск;
- рисковая ситуация вероятнее всего не наступит;
- о возможности риска нельзя сказать ничего определенного;
- рисковая ситуация вероятнее всего наступит;
- рисковая ситуация наступит наверняка.
|
Группа рисков
|
Риски
|
Вес (Wpi)
|
Эксперт 1
|
Эксперт 2
|
Эксперт 3
|
Итоговая оценка (Vi)
|
|
Рыночные риски (P1)
|
Рост цен
|
0,33
|
50
|
25
|
25
|
33,33
|
|
Коммерческие риски (P2)
|
Сокращение производства
|
0,08
|
0
|
25
|
0
|
8,33
|
|
Высокий уровень цен
|
0,17
|
25
|
25
|
0
|
16,67
|
|
Изменение структуры потребления продукции
|
0,08
|
0
|
0
|
25
|
8,33
|
|
Финансовые риски (P3)
|
Повышение кредитных ставок по кредитам
|
0,17
|
25
|
0
|
25
|
16,67
|
|
Маркетинговые риски (P4)
|
Неэффективность рекламы
|
0,17
|
0
|
25
|
25
|
16,67
|
|
Итого
|
|
1,00
|
|
|
|
100,00
|
Теперь необходимо подвергнуть мнения экспертов анализу на
противоречивость: max │аi - bi │≤ 50,
где
а и b - векторы оценок каждого из двух экспертов;- вид
оцениваемого риска.
|
SX
|
Эксперт 1 - Эксперт 2
|
Эксперт 2 - Эксперт 3
|
Эксперт 1 - Эксперт 3
|
|
S1
|
|
|
|
|
S2
|
|
|
|
|
S3
|
|
|
|
|
S4
|
|
|
|
|
S5
|
|
|
|
|
S6
|
|
|
|
|
Мнения экспертов 1 и 2 не противоречат друг
другу
|
мнения экспертов 2 и 3 не противоречат друг
другу
|
мнения экспертов 1 и 3 не противоречат друг
другу
|
Риск стратегической альтернативы рассчитывается по следующей
формуле:
20,83
Теперь оценим долю каждого риска в общем риске.
|
Группа рисков
|
Риски
|
Балльная оценка, Wpi ∙ Vi
|
Риск
|
|
Рыночные риски (P1)
|
Рост цен
|
11,11
|
53,33%
|
|
Коммерческие риски (P2)
|
Сокращение производства
|
0,69
|
3,33%
|
|
Высокий уровень цен
|
2,78
|
13,33%
|
|
Изменение структуры потребления продукции
|
0,69
|
3,33%
|
|
Финансовые риски (P3)
|
Повышение кредитных ставок по кредитам
|
2,78
|
13,33%
|
|
Маркетинговые риски (P4)
|
Неэффективность рекламы
|
2,78
|
13,33%
|
|
Итого
|
|
20,83
|
100,00%
|
Из таблицы и диаграммы видно, что самым весомым риском
является рост цен.
|
Номер шага
|
0
|
1
|
2
|
3
|
4
|
|
Длительность шага (годы)
|
2013
|
2014
|
2015
|
2016
|
2017
|
|
Показатели
|
|
1. Объем продаж (гектотонна)
|
1,51
|
1,53
|
1,55
|
1,57
|
1,59
|
|
2. Средняя цена единицы (млрд за гекатонну)
|
22,7
|
22,72
|
22,92
|
23,12
|
23,32
|
|
3. Выручка (млрд)
|
34,577
|
35,0616
|
35,826
|
36,5984
|
37,3788
|
|
4. Издержки производства и сбыта без
амортизации (млрд)
|
28
|
28,3
|
28,6
|
28,9
|
29,2
|
|
5. Амортизационные отчисления (млрд)
|
5,7
|
5,3
|
4,9
|
4,5
|
4,1
|
|
6. Издержки производства и сбыта продукции
(млрд)
|
33,7
|
33,6
|
33,5
|
33,4
|
33,3
|
|
7. Прибыль балансовая (млрд)
|
0,88
|
1,46
|
2,33
|
3,20
|
4,08
|
|
8 Налог на прибыль (млрд)
|
0,1754
|
0,29232
|
0,4652
|
0,63968
|
0,81576
|
|
9 Прибыль чистая (млрд)
|
0,7016
|
1,1693
|
1,8608
|
2,5587
|
3,2630
|
|
10 Прибыль чистая нарастающим итогом (млрд)
|
0,7016
|
1,8709
|
3,7317
|
6,2904
|
9,5534
|
4.3
Стратегия прямой интеграции
Стратегия прямой интеграции выражается в росте компании за
счет приобретения структур, находящихся между компанией и конечным потребителем.
Создадим рекламную компанию для продвижения товаров СПК.
Рассчитаем примерную стоимость по реализации данной
стратегии:
|
Аренда рекламных площадей
|
1391261 руб.
|
|
Разработка рекламных компаний
|
2857537 руб.
|
|
Съемки рекламных роликов
|
3755323 руб.
|
|
Наем персонала
|
3129423 руб.
|
|
Итого:
|
11133544 руб.
|
Таким образом наши затраты будут равны 11133544 руб. А так
как чистая прибыль от реализации продукции на данный момент значительно выше
таких затрат, то мы можем приступать к реализации данной стратегии, не прибегая
к займу кредита.
Анализ рисков стратегии
Для анализа риска стратегической альтернативы будем
использовать экспертный метод оценки риска. Для этого сначала составим перечень
рисков, присущих выбранной альтернативе.
|
Группа рисков
|
Риски
|
SX
|
Негативные последствия
|
|
Рыночные риски (P1)
|
Низкий спрос на продукцию
|
S1
|
Потеря клиентов
|
|
Коммерческие риски (P2)
|
Неустойчивость спроса
|
S2
|
Уменьшение эффективности продаж
|
|
Неэффективность рекламной компании
|
S3
|
|
|
Финансовые риски (P3)
|
Снижение доходов населения
|
S4
|
Нестабильность установленных цен на товары
|
|
Изменение цены за аренду
|
S5
|
|
Экспертами будут представлены студентыСПбГТИ (ТУ) факультета
экономики и менеджмента, специальности «080505 - Управление персоналом» группы
6797-2.
Каждому эксперту представляется перечень рисков и
предлагается оценить вероятность их наступления, основываясь на следующей
системе оценок:
- несуществующий риск;
- рисковая ситуация вероятнее всего не наступит;
- о возможности риска нельзя сказать ничего определенного;
- рисковая ситуация вероятнее всего наступит;
- рисковая ситуация наступит наверняка.
|
Группа рисков
|
Риски
|
Вес (Wpi)
|
Эксперт 1
|
Эксперт 2
|
Эксперт 3
|
Итоговая оценка (Vi)
|
|
Рыночные риски (P1)
|
Низкий спрос на продукцию
|
0,33
|
25
|
25
|
50
|
33,33
|
|
Коммерческие риски (P2)
|
Неустойчивость спроса
|
0,08
|
0
|
25
|
0
|
8,33
|
|
Неэффективность рекламной компании
|
0,17
|
25
|
0
|
25
|
16,67
|
|
Финансовые риски (P3)
|
Снижение доходов населения
|
0,17
|
25
|
25
|
0
|
16,67
|
|
Изменение цены за аренду
|
0,25
|
25
|
25
|
25
|
25,00
|
|
Итого
|
|
1,00
|
|
|
|
100,00
|
Теперь необходимо подвергнуть мнения экспертов анализу на
противоречивость: max │аi - bi │≤ 50,
где
а и b - векторы оценок каждого из двух экспертов;- вид
оцениваемого риска.
|
SX
|
Эксперт 1 - Эксперт 2
|
Эксперт 2 - Эксперт 3
|
Эксперт 1 - Эксперт 3
|
|
S1
|
|
|
|
|
S2
|
|
|
|
|
S3
|
|
|
|
|
S4
|
|
|
|
|
S5
|
|
|
|
|
Мнения экспертов 1 и 2 не противоречат друг
другу
|
мнения экспертов 2 и 3 не противоречат друг
другу
|
мнения экспертов 1 и 3 не противоречат друг
другу
|
Риск стратегической альтернативы рассчитывается по следующей
формуле:
23,63
Теперь оценим долю каждого риска в общем риске.
|
Группа рисков
|
Риски
|
Балльная оценка, Wpi ∙ Vi
|
Риск
|
|
Рыночные риски (P1)
|
Низкий спрос на продукцию
|
11,11
|
47,06%
|
|
Коммерческие риски (P2)
|
Неустойчивость спроса
|
0,69
|
2,94%
|
|
Неэффективность рекламной компании
|
2,78
|
11,76%
|
|
Финансовые риски (P3)
|
Снижение доходов населения
|
11,76%
|
|
Изменение цены за аренду
|
6,25
|
26,47%
|
|
Итого
|
|
23,61
|
100,00%
|
Из таблицы и диаграммы видно, что самыми весомыми рисками
являются низкий спрос на продукцию и изменение цены за аренду.
|
Номер шага
|
0
|
1
|
2
|
3
|
4
|
|
Длительность шага (годы)
|
2013
|
2014
|
2015
|
2016
|
2017
|
|
Показатели
|
|
1. Объем продаж (гектотонна)
|
1,24
|
1,26
|
1,28
|
1,3
|
1,32
|
|
2. Средняя цена единицы (млрд за гекатонну)
|
22,3
|
22,32
|
22,52
|
22,72
|
22,92
|
|
3. Выручка (млрд)
|
27,952
|
28,4232
|
29,1256
|
29,836
|
30,5544
|
|
4. Издержки производства и сбыта без
амортизации (млрд)
|
22,3
|
22,6
|
22,9
|
23,2
|
23,5
|
|
5. Амортизационные отчисления (млрд)
|
4,7
|
4,3
|
3,9
|
3,5
|
3,1
|
|
6. Издержки производства и сбыта продукции
(млрд)
|
27
|
26,9
|
26,8
|
26,7
|
26,6
|
|
7. Прибыль балансовая (млрд)
|
0,95
|
1,52
|
2,33
|
3,14
|
3,95
|
|
8 Налог на прибыль (млрд)
|
0,1904
|
0,30464
|
0,46512
|
0,6272
|
0,79088
|
|
9 Прибыль чистая (млрд)
|
0,7616
|
1,2186
|
1,8605
|
2,5088
|
3,1635
|
|
10 Прибыль чистая нарастающим итогом (млрд)
|
0,7616
|
1,9802
|
3,8406
|
6,3494
|
9,5130
|
5.
Выбор и реализация стратегии
|
Стратегические альтернативы
|
Риск
|
Затраты
|
Эффект
|
Сроки реализации
|
|
Стратегия горизонтальной диверсификация
|
27,78
|
84353942
|
10,3142 млрд.
|
5 лет
|
|
Стратегия развития продукта
|
20,83
|
10 702596
|
9,5534 млрд.
|
5 лет
|
|
Стратегии прямой интеграции
|
23,61
|
11133544
|
9,5130 млрд.
|
5 лет
|
Оценивая все приведенные стратегические альтернативы и их
показатели, можно сделать вывод, что для компании наиболее выгодна стратегия
горизонтальной диверсификации.
Для реализации данной стратегии необходимо провести следующие
мероприятия:
|
Мероприятия
|
Наименование отдела
|
Ответственное лицо
|
Сроки
|
|
Закупка материалов и необходимой новой техники
|
Департамент инновационного развития
|
Хвалов П.И.
|
09.01.2013 - 01.05.2013
|
|
Создание новой концепции производства продукции
|
Отдел рыночной аналитики
|
Скрягин И.Р.
|
09.01.2013 - 01.06.2013
|
|
Организация рекламных акций
|
Отдел рекламы
|
ФилиновВ.Г.
|
01.04.2013 - 01.06.2013
|
Заключение
среда финансовый стратегический потенциал
Сталепромышленная компания, один из ведущих металлотрейдеров
России, с 1991 года работает на рынке, который трудно удивить какими-либо
новыми, уникальными предложениями.
Компания изменила свой привычный слоган «Создаем
МЕТАЛЛОКОМФОРТ» на новый девиз - «Создаем КОМПЛЕКСНЫЕ РЕШЕНИЯ».
Что скрывается за новым девизом, какие дополнительные
преимущества и гарантии получат партнеры компании?
Комплексные решения - это полный набор:
· металлопродукции;
· услуг по её переработке;
· услуг связанных с приобретением и
доставкой;
· индивидуально подобранный для выполнения
производственной задачи клиента в оптимальном для данной задачи ассортименте,
объёме, месте, графике поставки.
Комплексное решение означает использование менеджером СПК
всех товарных, производственных, логистических и интеллектуальных ресурсов
компании для продуктивного решения производственной задачи металлопотребляющего
предприятия - клиента СПК:
· Комплексное решение помогает выполнить
металлоёмкую производственную задачу сразу по нескольким направлениям:
снабжение, переработка и производство, логистика, финансирование.
· Менеджер СПК сам предлагает клиенту
наиболее полный набор возможностей компании, подходящий под задачу клиента.
· Компания развивает глубокую переработку
металлопродукции под потребности клиента.
Идеи комплексных решений созвучны бизнесу Сталепромышленной
компании. Мы создаем комплексные решения для металлопотребляющих отраслей
экономики, обеспечивая лучший уровень обслуживания и взаимный успех. «Создаем
комплексные решения» - философия работы каждого сотрудника СПК.
Комплексные решения от СПК - это индивидуальный комплексный
подход к каждому покупателю, который освобождает клиента от забот по снабжению
металлопрокатом для производства и обеспечивает, в полном смысле слова, комфорт
и удобство при работе с нашей компанией, получая при этом экономическую выгоду
для своего предприятия.
Составляющие КОМПЛЕКСНЫХ РЕШЕНИЙ, обеспечивающие
экономическую выгоду для потребителя:
· Упростить выбор и поставку материалов для
металлоёмких производств с учетом интересов потребителей в каждом регионе, где
работает СПК;
· Сократить затраты на содержание участков
по первичной обработке проката у клиента за счет предоставления различных видов
резки, правки, профилирования в СПК;
· Сократить затраты на содержание автопарка
и организацию доставки, за счет получения дополнительных сервисных услуг
(упаковка, доставка);
· Сократить количество контрагентов по
поставке и переработке металлопродукции. СПК обеспечивает надежное и
эффективное снабжениея за счет индивидуального подхода к каждому покупателю с
предоставлением профессионального персонального менеджера (консультации,
планирование поставок, сопровождение заявок);
· Поставлять всю металлопродукцию в проект
по единому графику, тем самым сократив складские запасы у клиента за счет
гарантии выполнения плановых поставок;
· Упростить согласования условий оплаты с
одним поставщиком;
· Гарантировать сохранение качества
материалов при транспортировке;
· Получать консультации и помощь в выборе
оптимальных материалов и схем их подготовки для производственных процессов.
Сталепромышленная компания ставит перед собой следующие
стратегические цели:
· удержание ведущих позиций на российском
рынке металлоторговли,
· повышение экономической эффективности
бизнеса за счет развития сервисной составляющей,
· формирование эффективной структуры
управления производственными бизнес-единицами,
· диверсификация бизнеса за счет освоения
более доходных производственных направлений.
Реализация стратегии Группы предполагает выполнение следующих
стратегических задач:
. Расширение географии присутствия филиальной сети
Группы, включающей торговые представительства и сервисные металлоцентры.
. Развитие сервисной составляющей услуг
металлоторговли. Данное направление деятельности предполагает усиление контроля
за эффективностью бизнеса по предоставлению услуг (резка металла, упаковка и
доставка продукции клиенту). Менеджмент Группы планирует провести дооснащение
крупнейших складских помещений Группы более производительным оборудованием,
выстроить систему сбыта и расширить номенклатуру предоставляемых услуг, а также
создать собственную логистическую компанию, парк которой будет насчитывать не
менее 250 автотранспортных средств.
. Развитие производственного направления. В рамках
данной задачи менеджмент Группы планирует в 2011-2015 годах реализовать проект
по созданию 10 листовых и арматурных сервисных металлоцентров на территории
Российской Федерации, который позволит расширить ассортимент выпускаемой
продукции. Металлоцентры будут укомплектованы производственными линиями
продольной и поперечной резки листа, а также оборудованием для производства
арматурных сеток и каркасов для заказчиков строительного сектора.
. Реформирование юридической структуры Группы с целью
повышения прозрачности и качества корпоративного управления.
Похожие работы на - Разработка стратегии фирмы на примере 'Сталепромышленной компании'
|