Ценовая конкуренция. Антимонопольное законодательство

  • Вид работы:
    Курсовая работа (т)
  • Предмет:
    Эктеория
  • Язык:
    Русский
    ,
    Формат файла:
    MS Word
    693,22 Кб
  • Опубликовано:
    2013-05-18
Вы можете узнать стоимость помощи в написании студенческой работы.
Помощь в написании работы, которую точно примут!

Ценовая конкуренция. Антимонопольное законодательство

Саратовский государственный технический университет

имени Гагарина Ю.А.

Саратовский колледж информационных технологий и управления

Специальность: 2203









Курсовая работа

По дисциплине: Экономика отрасли

На тему: Ценовая конкуренция. Антимонопольное законодательство


Выполнила:

студент (ка) группы 4ПВС1 Панкратов Георгий 10.04.13

Проверил: преподаватель ________ _________ Маркова Ю.Д.

(подпись) (дата)




Саратов 2013

Эконо́мика (от др.-греч. οἶκος - дом и νόμος - правило, закон, буквально «правила ведения хозяйства») - хозяйственная деятельность общества, а также совокупность отношений, складывающихся в системе производства, распределения, обмена и потребления.

Экономика делится на 3 уровня:

.        Микроэконо́мика (Экономика предпиятия) - наука, изучающая функционирование экономических агентов в ходе их производственной, распределительной, потребительской и обменной деятельности.

В неё входят такие понятия как:

Экономические потребности - внутренние мотивы, побуждающие к экономической деятельности.

Первичные - удовлетворяют жизненно-важные потребности человека (сон, еда, одежда). Первичные потребности не могут быть заменены одна другой.

Экономические блага - средства удовлетворения экономических потребностей (вещи, услуги). Среди экономических благ необходимо выделить взаимозаменяемые - субституты (чай, кофе, поезд или самолёт), взаимодополняемые - комплементарные товары (бумага - ручка, авто - бензин). Экономические блага делят на - настоящие и будущие, прямые (потребительские) и косвенные (производственные).

Экономический выбор - выбор наилучшего из альтернативных вариантов, который обеспечивает макс. удовлетворение потребностей при данных затратах.

Альтернативные затраты - издержки, затраты, которыми необходимо пренебречь или пожертвовать ради других затрат (затраты неиспользованных возможностей).

Производственные возможности - возможности общества по производству экономических благ при полном и эффективном использовании ресурсов.

.        Макроэконо́мика (Экономика государства) - наука, изучающая функционирование экономики в целом, экономической системы как единого целого, совокупность экономических явлений.

В макроэкономической теории рассматриваются следующие основные параметры:

Потребительские расходы (обозн. С) - расходы домохозяйств на товары и услуги.

Сбережения домохозяйств (обозн. S) - часть дохода, которую домохозяйства сберегают в банках с целью получения дополнительного дохода с депозитов.

Инвестиции (обозн. I) -- фирмы закупают капитал с целью увеличения производства товаров и, следовательно, максимизации прибыли

Государственные закупки товаров и услуг (обозн. G) -- инвестиции государства, зарплата государственным служащим и т. п.

Чистые налоги (обозн. T) -- разница между налогами и трансфертами. Соотношение государственных закупок и чистых налогов показывает состояние государственного бюджета. Если государственные закупки превышают чистые налоги, то в стране дефицит государственного бюджета, соответственно профицит бюджета означает, что чистые налоги превышают размер государственных закупок.

Чистый экспорт (обозн. Xn или NX) - разница между экспортом и импортом. Соотношение экспорта и импорта показывает состояние торгового баланса. Если экспорт превышает импорт, то в стране профицит торгового баланса, если импорт - экспорт, то дефицит торгового баланса, соответственно.

Совокупный выпуск (обозн. Y)


формула совокупного выпуска для открытой экономики. В условиях закрытой экономики не учитывается чистый экспорт, в совокупный выпуск для частного сектора не включается размер государственных закупок товаров и услуг.

Функция совокупного выпуска определяет кривую совокупного спроса (eng. Aggregate Demand -- AD). Точка пересечения кривой совокупного спроса с кривыми совокупного предложения (AS) (в краткосрочном и в долгосрочном периоде) показывает равновесие в экономике: равновесные уровень цен и значение совокупного выпуска.

Формула совокупного выпуска также является расчетной формулой валового внутреннего продукта по расходам. (см. рис. №1.)

.        Интерэкономика (Мировая экономика) - многоуровневая, глобальная система хозяйствования, объединяющая национальные экономики стран мира на основе международного разделения труда посредством системы международных экономических отношений. В целом, мировую экономику можно определить как совокупность национальных хозяйств и негосударственных структур, объединённых международными отношениями.

Таблица №1

Данные для расчета себестоимости по статьям калькуляции (в расчете на единицу продукции), руб.

Статьи затрат

Вид продукции


Изделие 1

Изделие 2

Изделие 3

1. Сырье и материалы (за вычетом возвратных отходов)




Основные

439,0

500,0

330,0

Вспомогательные

61,0

92,0

44,0

2. Покупные полуфабрикаты и комплектующие изделия

86,0

107,0

60,0

3. Топливо на технологические цели

223,0

254,0

92,0

4. Энергия на технологические цели

305,0

252,0

252,0

5. Заработная плата производственных рабочих.

640,0

750,0

610,0

6. Общепроизводственные расходы - затраты на амортизацию зданий и сооружений.

41,0

38,0

7. Заработная плата руководителей и других категорий работников

640,0

750,0

610,0

8. Общехозяйственные расходы




а) коммунальные услуги: отопление помещений

48,0

61,0

28,0

освещение помещений

42,0

74,0

60,0

б) амортизация основных средств

53,0

146,0

108,0

в) страховые взносы

14,4

18,2

15,2

г) арендная плата

75,0

122,0

100,0

д) канцтовары

4,1

6,0

6,6

е) процент за кредит

1 031,0

2 076,0

1 500,0

8. Коммерческие расходы: упаковка

9,4

12,2

11,2

реклама

21,2

26,8

22,7

транспорт

9,1

9,7

9,8


По данным таблицы № 1 определить цеховую, производственную и полную себестоимость каждого вида продукции. Объединив затраты по экономическим элементам, определить удельный вес условно-постоянных и условно-переменных затрат в полной себестоимости продукции.

Таблица № 2. Данные для расчета показателей деятельности предприятия

Показатели

Вид продукции

Сумма (руб)

1. Цена за единицу продукции

Изделие 1

6080


Изделие 2

8966


Изделие 3

6265

2. Стоимость ОПФ

3612354

3. Стоимость НОС

1263720


Таблица 3. Данные по объемам реализации продукции и численности работников

Показатели

Вид изделия

n

1. Объем реализации (шт)

Изделие 1

190


Изделие 2


Изделие 3

100

2. Среднесписочная численность рабочих (чел)

19


Численность руководителей и других категорий работников составила 5 человек:

ген. директор: 1

директор: 1

гл. бухгалтер: 1

сторож: 1

уборщица: 1

Экономическое содержание цены. Виды цен

Цена - экономическое понятие, существование и важность которого никому не надо объяснять и доказывать. С детских лет, как только человеку приходится наблюдать или самому участвовать в покупке, он на бытовом уровне воспринимает, что такое цена, и какую роль она играет в его жизни и жизни других людей.

Высокая цена означает, что вещь дорогая и ее покупка требует больших денежных затрат, низкая цена означает дешевизну и меньшую нагрузку на карман покупателя. Однако цена, а точнее, цены, вся их совокупность представляют собой не только индивидуальную, социальную категорию. Они регулируют как отдельные покупки и продажи товаров потребителям, так и экономические процессы в целом, включая производство, распределение товаров, обмен или потребление благ, оказание услуг. Здесь уже все цены, вместе взятые, с учетом их формирования и изменения действуют как общий, единый, целостный ценовой механизм.

Для самостоятельных товаропроизводителей, работающих на рынок, независимо от форм собственности вопрос о ценах - это вопрос их существования и благополучия. Правильная методика установления цены, разумная ценовая тактика, последовательная реализация глубоко обоснованной ценовой стратегии составляют необходимые компоненты успешной деятельности любого коммерческого предприятия в жестких условиях рыночных отношений.

Цены служат средством установления определенных отношений между компанией и покупателями и помогают созданию о ней определенных представлений, что может оказать влияние на ее последующее развитие. Они определяют рентабельность и прибыльность и, следовательно, жизнеспособность компании, являются существенным элементом, определяющим финансовую стабильность компании, и сильнейшим орудием в борьбе с конкурентами. Ценообразование - это средство достижения целей фирмы.

Актуальность данного вопроса предопределила выбор темы курсовой работы. Поэтому целью курсовой работы является исследование механизма образования цен в условиях рыночной экономики, а также выявление проблем, связанных с формированием цен.

Цена в условиях рыночной экономики - важнейший экономический параметр, характеризующий деятельность предприятия. Именно цены определяют структуру производства, оказывают решающее воздействие на движение материальных потоков, распределение товарной массы, уровень доходности предприятия.

Исторически цена всегда была основным фактором, определяющим выбор покупателя. Это положение до сих пор справедливо в бедных странах среди неимущих групп населения применительно к товарам широкого потребления. Фирмы подходят к проблемам ценообразования по-разному: в мелких фирмах цены часто устанавливаются высшим руководством; в крупных компаниях проблемами ценообразования обычно занимаются управляющие отделениями и управляющие товарным ассортиментом. Но и здесь высшее руководство определяет общие установки и цели политики цен и нередко утверждает цены, предложенные руководителями нижних эшелонов.

Цена служит средством установления определенных отношений между продавцом и покупателем и помогает созданию определенных представлений о ней, что может оказать влияние на ее последующее развитие. Она определяет рентабельность и прибыльность и, следовательно, жизнеспособность предприятия, является существенным элементом, определяющим финансовую стабильность предприятия, и сильнейшим орудием в борьбе с конкурентами.

В течение почти 200 лет микроэкономическая теория исходила из того, что на сбыт товара можно влиять только с помощью цен. Переоценка этого принципиального положения под воздействием ряда новых весомых факторов, особенно заметно проявившихся во второй половине прошлого столетия, лишило цену ее монопольного положения. Однако цена по-прежнему является исключительно важным фактором во взаимодействии производителя и потребителя.

Как атрибут товара цена занимает особое положение в маркетинге и ведущее место в его комплексе. Это единственный элемент комплекса маркетинга, который способствует накоплению денежно-финансовых ресурсов (а, следовательно, и всех иных) фирмой-товаропроизводителем. Вся иная деятельность в рамках маркетинга, включая исследование рынка, рекламу, перемещение товаров, является затратной и осуществляется с расчетом на получение прибыли от вложенных средств.

Для покупателя цена распадается на две части: эквивалент товара определенного качества и сопутствующие покупке затраты. В первом случае один экономический субъект возмещает затраты другого, связанные с производством и распределением продукта. Сумма возмещения отражает обычно соответствие денежного требования продавца и согласие покупателя с ним.

Цена - это денежное выражение стоимости товара, т.е. то количество (сумма денег), которое покупатель платит за товар. Во многих словарях можно встретить и такую формулировку: «Цена - это сумма денег, за которую покупатель готов купить товар, а производитель - продать».

Цена как экономическая категория выполняет важнейших функций.

Учетная функция цены отражает общественно необходимые затраты труда на выпуск и реализацию той или иной продукции. Цена определяет, сколько затрачено труда, сырья, материалов, комплектующих изделий на изготовление продукции. В конечном счете, цена отражает не только величину совокупных издержек производства и обращения товаров, но и размер прибыли. В учетной функции цена служит средством исчисления себестоимости. К ним относятся как количественные показатели: валовой внутренний продукт (ВВП), национальный доход, объем капитальных вложений, объем товарооборота, объем продукции фирм, предприятия и отраслей, так и качественные - рентабельность, производительность труда, фондоотдача и т.д. Таким образом, цена используется для определения эффективности производства, служит ориентиром принятия хозяйственных решений, важнейшим инструментом внутрифирменного планирования.

Распределительная функция цены состоит в том, что государство через ценообразование осуществляет перераспределение национального дохода между отраслями экономики, государственными и другими ее секторами, регионами, фондами накопления и потребления, социальными группами населения. Эта функция реализуется через включение в себестоимость многих налогов, которые затем являются источниками накопления дорожных фондов, Пенсионного фонда, Фонда социального страхования, Фонда занятости населения и других, а также через включение в цену косвенных налогов (НДС акцизов).

Функция сбалансирования спроса и предложения выражается в том, что через цены осуществляется связь между производством и потреблением, предложением и спросом. Цена сигнализирует о диспропорциях в сферах производства и обращения и требует принятия мер по их преодолению. Она служит гибким инструментом для достижения соответствия спроса и предложения.

Функция цены как средства рационального размещения производства проявляется наиболее полно в условиях рыночной экономики. С помощью механизма цен происходит перелив капиталов в секторе экономики в производства с более высокой нормой прибыли.

Стимулирующая функция цены проявляется в том, что цена при определенных условиях может стимулировать ускорение НТП, улучшение качества продукции, увеличение выпуска продукции и спроса на нее. Это связано с тем, что цены дифференцированы в зависимости от технического уровня и качества продукции. По этим же причинам цены могут оказывать и дестимулирующее воздействие на производство.

Все функции цены причинно взаимосвязаны и взаимодействуют, вступая иногда в противоречие между собой. В хозяйственной жизни предприятий взаимосвязи между функциями цены носят сложный, многоплановый характер и должны быть объектом систематического изучения маркетинговыми службами. (см. приложение, схема 1.1)

Все цены, действующие в экономике, взаимосвязаны и образуют систему. Система цен характеризует собой взаимосвязь и взаимоотношения различных видов продукции. Она состоит из различных элементов, среди которых можно выделить как отдельные цены, так определенные их группы. Взаимосвязь цен обусловлена зависимостью отдельных предприятия, производства и отраслей, единым процессом формирования затрат на производство и другими факторами. Поэтому повышение или понижение одной цены может вызвать изменения в уровне других цен. Цены, действующие в рыночной экономике страны, классифицируется по ряду признаков.

В зависимости от сферы оборота выделяют внутренние цены предприятия (фирмы) и отпускные (оптовые) цены, по которым предприятия реализуют продукцию потребителям.

Внутренние цены используются для оборота средств внутри предприятий, являются основным инструментом внутрихозяйственных отношений. Они делятся на следующие виды:

1.      внутрихозяйственные цены, по которым осуществляют внутренние поставки цехи, участки, производства внутри одного предприятия;

2.      внутрифирменные, по которым самостоятельные предприятия (юридические лица) осуществляют поставки внутри объединения;

.        трансфертные - внутрифирменные цены, обслуживающие оборот между подразделениями, находящимися в различных регионах.

Внутрихозяйственная цена - это сумма переменных расходов и прибыли подразделения. Внутрифирменная цена включает переменные расходы и доход, который идет на покрытие постоянных расходов подразделения и фирмы. Трансфертная цена включает внутрифирменную цену с учетом факторов регионального характера.

Отпускная (оптовая) цена выступает верхним пределом внутренней цены, определяется исходя из влияния, как внутренних факторов, так и внешних, характеризующих конъюнктуру рынка.

Таким образом, во-первых, внутрифирменное ценообразование является существенным фактором, влияющим на цену предприятия; во-вторых, внутрифирменная цена, отличаясь от цены предприятия, более объективна, поскольку не является результатом взаимодействия интересов производителя и конечного потребителя, т.е. не подвержена субъективной оценке. Наряду с внутренними ценами предприятия и оптовыми ценами в зависимости от характера оборота выделяются закупочные цены, по которым реализуется сельскохозяйственная продукция государственным и коммерческим организациям.

По розничным ценам товары реализуются в розничную торговую сеть. По этим ценам обычно реализуются товары народного потребления населению, в меньшей мере предприятиям, организациям и предпринимателям. Розничная цена обычно выше оптовой на величину торговой надбавки, за счет которой компенсируются издержки обращения в розничной торговле, и создается прибыль организаций и учреждений розничной торговли.

По степени и способу регулирования различают:

1.      регулируемые цены - цены, устанавливаемые под контролем государства или отдельных субъектов Федерации. Различают прямые и косвенные методы регулирования. Прямое регулирование осуществляется путем установления фиксированных цен, предельных цен, надбавок, предельных коэффициентов изменения цен, предельного уровня рентабельности. Косвенное регулирование предполагает воздействие на цены через изменение налогов и процентных ставок;

2.      договорно-контрактные цены, которые устанавливаются по соглашению сторон. При этом продавец и покупатель, заключая договор-контракт, принимают на себя определенные обязательства;

.        фиксированные твердые цены - устанавливаются органами ценообразования или другими государственными учреждениями. Они назначаются по ограниченному кругу товаров;

.        свободные цены - освобождены от ценового вмешательства государства, формируются под воздействием конъюнктуры рынка, законов спроса и предложения.

Наряду с перечисленными основными видами цен в практике хозяйствования применяется ряд других видов цен, выделяемых по самым разнообразным признакам.

По степени обоснованности различают цены:

1.      базисные, применяемые в качестве исходной базы при установлении цены на аналогичные изделия. Их использование необходимо в связи с естественным изменением многих цен, процессами инфляции;

2.      прейскурантные цены - фиксируются в документальной форме в виде прейскурантов, т.е. указателей цен;

.        фактические цены сделок, учитывающие применение различных надбавок, скидок к базисной цене;

С учетом фактора времени цены бывают:

1.      постоянные - цены, срок действия которых заранее не оговорен;

2.      сезонные - вид закупочных или розничных цен на товары, носящие сезонный характер. Такая цена определяется путем применения скидок (надбавок) с первоначальной продажной цены и действует в течение определенного периода времени (сезона);

.        ступенчатые - ряд последовательно снижающихся цен на продукцию в заранее обусловленные моменты времени по предварительно определенной шкале.

По способу получения информации об уровне цен цены бывают:

1.      справочные - цены, которые публикуются в каталогах, прейскурантах, экономических журналах, справочниках и другой специальной литературе. Они используются в качестве ориентировочной информации при установлении цен на аналогичную продукцию или при анализе уровней и соотношений цен;

2.      прейскурантные - особый вид справочных цен, публикуемых в прейскурантах фирм-продавцов;

.        расчетные - цены, применяющиеся в договорах, контрактах на нестандартное оборудование, производимое по индивидуальным заказам. Такие цены рассчитываются и обосновываются поставщиком для каждого конкретного заказа с учетом его технических и коммерческих условий.

В зависимости от вида рынка цены бывают:

1.      аукционные - цены публичной продажи по максимально предложенному уровню на предварительно осмотренную покупателем партию товара (лот). Они устанавливаются в результате изменения соотношения между спросом и предложением;

2.      биржевые котировки - цены стандартизированного однородного товара (в том числе ценные бумаги), реализуемого через биржу;

.        цены торгов - цены особой формы специализированной торговли. Эта форма торговли основана на выдаче заказов на поставку товаров или получение подрядов на производство определенных работ по заранее объявленным в специальном документе (тендере) условиям.

В зависимости от территории цены бывают:

1.      единые - цены, действующие на всей территории страны; эти цены устанавливаются и регулируются государством;

2.      региональные - цены, формирующиеся на отдельных территориях страны. К ним относятся цены на сельскохозяйственную продукцию и сырье, газ, электроэнергию;

.        местные - цены, установленные на продукцию, которая как производится, так и потребляется в данном регионе.

По условиям поставки и продажи цены бывают:

1.      цены-нетто - цены на месте купли-продажи;

2.      цены-брутто (фактурные) - цены, которые определяются с условием купли-продажи (вида и размера налогов, наличия и уровня скидок, условий страхования);

.        мировые - это цены, по которым проводятся крупные экспортные и импортные операции.

Механизм рыночного ценообразования

Цели и этапы ценообразования. Важнейшим рычагом экономического механизма хозяйственной политики субъекта хозяйствования является цена, которая отражает все стороны экономической деятельности. В условиях рынка цена выступает связующим звеном между производителем и потребителем, обеспечивает равновесие спроса и предложения.

В экономике хозяйствующего субъекта исходным принципом является возмещение затрат и получение прибыли в размере, достаточном для осуществления расширенного воспроизводства и выплаты соответствующих налогов государству, муниципалитету, а также для образования фонда потребления (социальной сферы) в объеме, обеспечивающем определенный стандарт жизни работников. Решение данной задачи происходит с помощью соответствующего установления уровня цен на продукцию, выпускаемую хозяйствующим субъектом.

Цена - денежное выражение стоимости, ценности (полезности) товара для потребителя. Цен выступает обобщающим качественным показателем деятельности субъекта хозяйствования.

В современных условиях субъекты хозяйствования самостоятельно определяют ценовую политику.

Ценообразование представляет собой сложный процесс, так как субъект хозяйствования должен провести маркетинговые исследования рынка (собрать и систематизировать информацию о рынке), определить основные цели своей ценовой политики на определенный период времени, выбрать метод ценообразования, установить конкретный уровень цены, сформировать систему скидок и надбавок к цене, определить коэффициент корректировки ценового поведения в зависимости от складывающейся рыночной конъюнктуры.

Ценовая политика является главной составляющей в системе маркетинга.

Ценовая политика - это механизм или модель принятия решений о поведении субъекта хозяйствования на основных типах рынка для достижения запланированных целей. Оптимальный уровень цен и их изменение в зависимости от ситуации на рынке является важнейшим конкурентным преимуществом субъекта хозяйствования.

Выделяют затратный и ценностный процесс ценообразования, или соответственно пассивное и активное ценообразование. Затратное ценообразование - это метод ценообразования, в основе которого лежат затраты на производство и реализацию товара. Затратный процесс ценообразования начинается с продукта и заканчивается покупателями, т.е. определяется продукт и технология изготовления, затраты, цена, ценность и покупатели данного товара. Данный метод предполагает пассивное ценообразование - на основе затрат или ценовых решений конкурентов. Пассивному ценообразованию соответствует два метода: затратный (наценочный) и метод следования за лидером (конкурентом).

Ценностное ценообразование - это метод ценообразования, который обеспечивает получение наибольшей прибыли за счет достижения выгодного для фирмы соотношения «ценность/затраты».

Ценностный процесс ценообразования начинается с определения покупателя, установления ценности, цены, затрат, затем технологии и определения продукта.

Данный метод ценообразования предполагает активное ценообразование - установление цен с целью достижения наиболее выгодных объемов продаж, средних затрат на производство и ценового уровня прибыльности.

Ценовая политика самостоятельно устанавливается субъектом хозяйствования исходя из целей и задач, организационной структуры и методов управления, традиций уровня издержек производства, состояния и развития предпринимательской среды. Основными целями ценовой политики являются:

·              увеличение доли рынка (выживаемость);

·              максимизация доли прибыли;

·              обеспечение окупаемости затрат;

·              обеспечение лидерства по показателям качества;

·              проникновение на рынок и закрепление на нем;

·              улучшение сегментации рынка.

Реализация стратегических целей и предполагает решение ряда конкретных задач в разных сферах деятельности: производство, управление затратами, продвижение товаров и ценообразование. Задачи имеют конкретные сроки реализации и четкие критерии оценки выполнения. Основными задачами являются обеспечение объема продаж и получение прибыли. Список таких задач можно увеличивать, однако каждая реализуемая задача должна иметь критерий оценки: приемлемы ли те задачи, которые могут быть решены при реально существующей ситуации на рынке, обеспечивая нормальную рентабельность продаж.

Когда анализ рыночной ситуации подтверждает, что стратегические цели фирмы могут быть обеспечены за счет решения определенных задач в области ценообразования, разрабатывается тактика ценообразования.

Тактика ценообразования - это набор конкретных практических мер по управлению ценами на продукцию, которые используются для решения поставленных задач. К числу таких мер относят различные скидки и надбавки к ценам. К примеру, во всем мире пользуются дифференцированными тарифами: в часы пиковой нагрузки они максимальны, а в период наименьшей нагрузки - минимальны. На основе тактики ценообразования специалисты по ценообразованию реализуют практические меры по управлению ценами.

На формирование цены оказывают влияние внешние и внутренние факторы. К внешним факторам, влияющим на уровень цен, относятся:

·              потребители;

·              рыночная среда;

·              участники каналов товарообращения;

·              государство.

К внутренним факторам, влияющим на уровень цен, относятся:

 жизненный цикл товаров на рынке;

 издержки на сырье, материалы, рабочую силу, рекламу.

Этапы ценообразования

1 этап. Выбор цели. Цена товара выполняет исключительно важную для предприятия функцию, которая состоит в получении (для фирмы) выручки от продажи товаров. Руководство фирмы рассматривает цену как переменный фактор, оказывающий прямое воздействие на выручку от продажи товаров, структуру производства, методы работы фирмы. Поэтому к практике ценообразования относятся с чрезмерной осторожностью.

Рассчитывая цену, фирма должна четко определить для себя, каких целей она хочет добиться с помощью устанавливаемой цены на товар. Чем четче сформулирована цель, тем более правильно будет установлена цена.

этап. Определение спроса. Как известно, цена и спрос находятся в определенной зависимости. Цена может увеличиться, когда спрос велик, и уменьшится, когда он ослабевает, притом что затраты на производство товара в обоих случаях останутся неизменными. Поэтому фирма должна оценить эластичность спроса по цене, определить вероятное количество товаров, которое можно продать на рынке в течение определенного времени по ценам разного уровня. Здесь важно помнить, что спрос определяет максимальную цену, по которой фирма может продать свой товар.

этап. Анализ издержек производства и обращения. Издержки производства определяют минимальную цену товара. Поэтому на данном этапе фирма определяет постоянные, переменные, валовые издержки производства при различных объемах выпуска. Все фирмы стремятся установить такую цену, которая покрывала бы все издержки производства и обеспечивала бы справедливую прибыль.

этап. Анализ цен конкурентов. Если спрос определяет максимальную цену, издержки производства - минимальную цену, то разница между ними и есть «поле игры» для принятия решения об уровне цены. На этом «поле игры» изучают цену и качество фирм-конкурентов. Только изучив цены и качество аналогичных изделий конкурентов, фирма может более объективно определить положение своего товара по отношению к товарам фирм-конкурентов. На основе аналитического сравнения своего и чужого товара можно будет либо установить более высокую цену, чем у конкурентов, или, наоборот, более низкую, спрогнозировать ценовую реакцию или ответ конкурента на появление нового товара с соответствующей ценой.

этап. Выбор метода ценообразования. Цену можно определять различными способами, каждый из которых по-разному влияет на уровень цены. Поэтому фирмы стремятся выбрать такой метод, который позволяет более правильно определить цену на конкретный товар.

этап. Установление окончательной цены. На этом этапе устанавливается окончательный уровень цены, оформляются соответствующие документы.

Методы формирования цен

Процесс ценообразования является сложным, он включает в себя ряд этапов.

Прежде всего, необходимо определить цель ценовой политики при производстве и реализации продукции. Выделяют три главные цели ценовой политики:

·              обеспечение сбыта (выживаемости);

·              максимизация прибыли;

·              удержание рынка.

Каждая из целей ценовой политики реализуется в конкретных условиях рынка. Обеспечение сбыта (выживаемости) устанавливается в условиях жесткой конкурентной борьбы между продавцами с аналогичными товарами. Реализация данной цели возможна тогда, когда существует большой рынок потребителя, когда товар эластичен по цене, когда увеличение объема сбыта и увеличение прибыли осуществляется путем снижения затрат на единицу товара. Инструментом реализации данной цели является занижение цен.

Максимизация прибыли как цель ценовой политики может быть реализована при разных условиях хозяйствования и рыночной конъюнктуры: увеличении цены в связи с ростом капиталовложений, установление стабильного дохода на основе средней нормы прибыли, имеющей устойчивое положение на рынке, а также фирмами, неуверенными в своем будущем и использующими выгодную для себя конъюнктуру.

Реализация третьей цели - удержание рынка - возможна тогда, когда субъект хозяйствования хочет сохранить свое уже сложившееся положение на рынке, следить за ситуацией на рынке, динамикой цен, издержками производства и обращения.

Важным этапом формирования цены является оценка спроса. Спрос по-разному реагирует на цену, степень его чувствительности к изменению цены определяется коэффициентом эластичности. Необходимо проанализировать все группы факторов, влияющих на спрос. Верхний предел цены определяется спросом на товар, нижний - суммой постоянных и переменных затрат. Анализ издержек производства и обращения выступает важным этапом формирования цены.

При анализе цен конкурентов основное внимание должно быть обращено на систему скидок, наценок, которые представляет конкурент. Размер скидок зависит от характера сделки, условий поставки, платежа, конъюнктуры рынка, взаимоотношений с покупателями. Скидки могут быть разные:

1.      Базисные скидки за оборот постоянным покупателям в зависимости от оборота продаж.

2.      Прогрессивные скидки - за количество, объем покупки, серийности.

.        Скидки «сконто» - «3/12, нетто 30», платеж в течение 30 дней, покупатель платит на 3 % меньше, если оплачивает в течение 12 дней.

.        Скидки с прейскурантной и справочной цены.

.        Функциональные скидки в сфере торговли - производителям, службам товародвижения за выполнение определенных функций.

.        Специальные скидки даются продавцом тем покупателям, в которых он заинтересован.

.        Скрытые скидки - в виде бесплатных образцов.

.        Конфиденциальные скидки - не подлежащие фиксированию в контрактах, а реализуемые на основе устной договоренности.

.        Сезонные скидки и т.д.

Наценки встречаются реже. Они, как правило, устанавливаются за повышение качества товара, за рассрочку платежа, за дополнительные сервисные услуги и т.д.

Установление определенной цены на товар или услугу служит для последующей их продажи и получения прибыли. Очень важно назначить цену таким образом, чтобы она не оказалась слишком высокой или слишком низкой. Назначение высокой цены может быть чревато потерей интереса к приобретению, назначение низкой тоже может вызвать отрицательную реакцию. Таким образом, запрашиваемая цена определяет качество товара или услуги в сознании покупателя и помогает определить положение данного продукта на рынке. Понятно, почему высокая цена вызывает неудовольствие покупателя, но не всегда понятно, почему низкая цена может вызвать неудовольствие.

Определение цены является одной из труднейших задач, стоящих перед любым предприятием. И именно цена предопределяет успехи предприятия - объемы продаж, доходы, получаемую прибыль.

Взаимосвязь понятий «цена» и «прибыль» очевидна. Чем больше цена, тем больше прибыль; чем меньше цена, тем меньше прибыль. С другой стороны, дешевый товар или услугу легче продать, и за тот же промежуток времени они будут продаваться в большем объеме, чем дорогие аналоги. Таким образом, важно установить взаимосвязь между ценой продукта и количеством продаваемых его единиц.

Факторы воздействия на предприятие

Можно выделить несколько факторов, под воздействием которых находится предприятие при выборе способа ценообразования на свой товар:

1.      фактор ценности - один из наиболее важных факторов. Каждый товар способен в определенной степени удовлетворить потребности покупателей. Для согласования цены и полезности товара можно: придать товару большую ценность, просветить покупателя посредством рекламы о ценности товара, скорректировать цену так, чтобы она отвечала настоящей ценности товар;

2.      фактор затрат. Затраты и прибыль составляют минимальную цену товара. Самый простой способ образования цены: при известных издержках и расходах - прибавить приемлемую норму прибыли. Однако даже если цена только покрывает расходы, нет гарантии, что товар будет куплен. Именно поэтому некоторые предприятия становятся банкротами, рынок может оценить их товары ниже, чем стоят производство и продажа;

.        фактор конкуренции. Конкуренция оказывает сильное влияние на ценовую политику. Можно спровоцировать всплеск конкуренции, назначив высокую цену, или устранить ее, назначив минимальную. Если товар требует особого метода производства или его производство очень сложное, то низкие цены не привлекут к нему конкурентов, но высокие цены подскажут конкурентам, чем им стоит заняться;

.        фактор стимулирования сбыта. В цену товара включается наценка, которая окупает мероприятия по стимулированию рынка. При выпуске товара на рынок рекламе нужно перейти порог восприятия, прежде чем потребители узнают о товаре. Все средства, затраченные на стимулирование сбыта, должны в дальнейшем окупаться за счет продаж товара;

.        фактор распределения. Распределение товара значительно влияет на его цену. Чем ближе товар к потребителю, тем дороже для предприятия его распределение. Если товар будет поступать напрямую к потребителю, то каждая сделка становится отдельной операцией, деньги, предназначенные поставщику, получает производитель, но его издержки возрастают. Преимущество такого метода распределения заключается в полном контроле над продажами и маркетингом;

.        фактор общественного мнения. Обычно у людей имеется некоторое представление о цене товара независимо от того, является ли он потребительским или промышленным. Приобретая товар, они руководствуются некоторыми границами цен, или ценовым радиусом, определяющим, по какой цене они готовы купить товар. Предприятие должно либо не выходить за границы этого радиуса в ценах на свой товар, либо оправдать, почему цена на него выходит за них. Товар может превосходить существующие аналоги по каким-то качествам, и если такие преимущества воспринимаются покупателями положительно, то цену можно поднимать, если же преимущества данного товара не так очевидны, требуется прибегнуть к дополнительной рекламе;

Существуют определенные методы формирования цен.

1.      Средние издержки плюс прибыль. Это самый простой способ ценообразования. Заключается он в начислении определенной наценки на себестоимость товара. Он широко используется как в рыночных, так и нерыночных секторах экономики. Эта методика ценообразования имеет широкую популярность по следующим причинам:

.        продавцы или производители продукции больше знают об издержках, чем о спросе. Привязывая цену к издержкам, продавец значительно упрощает для себя проблему ценообразования, ему также не приходится слишком часто корректировать цену в зависимости от спроса;

2.      если этим методом ценообразования пользуется большинство предприятий отрасли, то, следовательно, и цены на аналогичную продукцию будут схожими, поэтому ценовая конкуренция сводится к минимуму;

.        многие этот метод ценообразования считают наиболее справедливым по отношению и к продавцам, и к покупателям. При высоком спросе продавцы не наживаются за счет покупателей и в то же время имеют возможность получить справедливую норму прибыли на вложенный капитал.

2.      Анализ безубыточности и обеспечения целевой прибылью. Этот метод также основан на издержках. Предприятие стремится установить такую цену, которая обеспечивает ему желаемый объем прибыли. Такая методика ценообразования основывается на графике безубыточности, на котором представлены общие издержки и ожидаемые общие поступления при разных уровнях объема продаж.

3.      Установление цены исходя из ощущаемой ценности товара. В настоящее время все больше предприятий устанавливает цену на основе этой методики. Главным ее содержанием являются не издержки продавца, а восприятие товара покупателями. Другой особенностью этой методики являются неценовые способы воздействия на покупателя для формирования у него представлений о ценности данного товара. При этом предприятию также необходимо выявить, какие ценностные представления имеются в сознании у потребителей о товарах конкурентов и как много они готовы заплатить за каждую дополнительную выгоду, которую предложит продавец к своему товару. Опасность слишком низкой цены заключается в сокращении потенциальной прибыли. Опасность слишком высокой цены состоит в потере потенциальных покупателей.

.        Установление цены на основе текущих цен. Определяя цену на основе этой методики, предприятие в основном отталкивается от цен конкурентов, не обращая внимания на издержки и состояние спроса. При этом предприятие может назначить цену на уровне выше или ниже уровня цен своих конкурентов. На олигополистических рынках предприятия, как правило, запрашивают одну и ту же цену. Этот метод ценообразования очень популярен в тех случаях, когда эластичность спроса с трудом поддается замеру. У предприятий складывается впечатление, что уровень текущих цен олицетворяет собой коллективность, мудрость отрасли, что обеспечивает им получение справедливой нормы прибыли. Многие понимают, что, придерживаясь текущих цен, они могут сохранить нормальное равновесие в рамках отрасли.

.        Установление цены на основе закрытых торгов. В подобных ситуациях при назначении своей цены предприятие отталкивается от возможных ценовых предложений своих конкурентов. Здесь на втором плане оказываются издержки и спрос. Главным является желание предприятия или фирмы получить крупный контракт, запросив цену ниже, чем у других. Однако эта цена не должна быть ниже себестоимости, так как предприятие понесет серьезный финансовый урон.

Сейчас необходимо перейти к вопросу о том, как действует механизм спроса и предложения на конкурентном рынке любого товара и каким образом рыночная цена устанавливается на таком уровне, когда спрос и предложение равны.

Между рыночной ценой товара и тем его количеством, на которое предъявляются спрос, существует определенное соотношение: как правило, чем выше цена, тем меньше число тех, кто согласится купить данный товар, т.е. меньше уровень спроса (при данном уровне доходов); и, наоборот, чем ниже цена, тем больше будет число покупателей и количество приобретаемого товара.

Изобразим эту зависимость между ценой и величиной спроса графически. Если на абсциссе обозначить количество товара Q, покупаемого на рынке, а на ординате - движение цены P, то получится следующий результат (см. приложение 2.1. Кривая спроса )

На рисунке 2.1 видно, что с увеличением цены единицы товара при прочих равных условиях уменьшается количество приобретаемых товаров, т.е. снижается потребительский спрос. Подобную зависимость называют законом падающего спроса.

Способность спроса повышаться или понижаться под воздействием изменений определяющих его факторов называется эластичностью спроса. Для измерения степени влияния какого-либо фактора на спрос используют коэффициент эластичности спроса - процентное изменение одного признака (аргумента, Y) при увеличении на 1% другого признака (фактора, X). Один из распространенных вариантов математической формы записи коэффициента эластичности (Э) имеет следующий вид:


где  - прирост спроса;

 - прирост факторного признака;

Y - базовый показатель спроса;

Х - базовое значение факторного признака.

При Э < 1 спрос считается неэластичным, т.е. изменение условий на рынке оказывает незначительное влияние на предъявляемый спрос. Наиболее типичный случай - спрос на предметы первой необходимости (мыло, зубная паста, основные продукты питания).

При Э > 1 спрос является эластичным. Например, увеличение доходов оказывает решающее влияние на рост доли расходов на предметы длительного пользования (мебель, телевизоры, стиральные машины).

При Э = 1 возникает так называемый унитарный спрос - изменение рыночного фактора сопровождается адекватным изменением спроса. Такая ситуация возможна, когда при росте цен, скажем, в два раза спрос вдвое сокращается.

Положительное значение коэффициента эластичности характеризует прямую связь между фактором и спросом - при увеличении факторного признака спрос растет. Отрицательное значение коэффициента эластичности характеризует обратную зависимость.

Конфигурация кривой спроса и закономерности потребительского поведения могут быть объяснены при помощи двух известных в экономической теории эффектов: эффекта дохода и эффекта замещения.

Эффект дохода показывает, как изменяется реальный доход потребителя и спрос при изменении цен на товары. Например, при снижении цены яблок в 3 раза (с 30 до 10 руб. за кг) вы на свой постоянный доход в 3000 рублей сможете купить уже не 100 кг, а 300 кг яблок. Если же вы хотите сохранить свое потребление яблок на прежнем уровне, т.е. 100 кг, то на «высвобожденные» деньги можно приобрести дополнительное количество мяса, конфет или других товаров. Понижение цены товара сделало вас реально богаче и позволило расширить объем спроса, в чем и заключается смысл эффекта дохода. Следует отметить, что даже после того, как рост спроса данного потребителя фактически приостановился, при дальнейшем понижении цены сумма покупок на рынке будет увеличиваться в связи с тем, что люди с более низким уровнем дохода начнут удовлетворять свои потребности.

Эффект замещения демонстрирует взаимосвязь между относительными ценами товаров и объемом спроса потребителя. Снижение цен на яблоки, как в нашем примере, при неизменном уровне цен на другие товары означает их относительное удешевление по сравнению, например, с грушами, сливами и др. Потребитель начнет замещать относительно более дорогие груши покупкой более дешевых яблок и купит их не 100, а 150 или 200 кг.

Эффект дохода и эффект замещения действуют не изолировано, а во взаимодействии друг с другом, и в различных ситуациях может преобладать более сильное влияние одного из них. В ситуациях с покупкой нормальных товаров (т.е. товаров, спрос на которые увеличивается по мере роста дохода потребителя) эффект дохода и эффект замещения действуют в одинаковом направлении, вызывая больший объем спроса при снижении цен на товары. Но существуют так называемые низшие, или низкокачественные товары, чьи потребительские качества невысоки (маргарин, низкокачественные папиросы и сигареты, «собачья» колбаса и т. п.). В случае изменения цен на такие товары эффект дохода и эффект замещения действуют в противоположных направлениях. С одной стороны, снижение цен, например, на низкокачественные папиросы будет вести к росту спроса на них (эффект замещения). С другой стороны, вследствие действия эффекта дохода потребитель хоть и ненамного, но стал богаче. А богатый человек сокращает или исключает из своего потребления низкокачественные товары. Какой же из двух эффектов будет действовать сильнее? Как правило, если низшие товары занимают незначительное место в общем объеме потребительских расходов, то эффект замещения «перевесит» эффект дохода и потребитель будет покупать большее количество таких папирос. Кривая спроса на низший товар по-прежнему (как и в случае с нормальными товарами) будет иметь отрицательный наклон.

Существует описание и такой ситуации, когда снижение цены приводит к уменьшению спроса, а увеличение цены - повышению спроса на товар. Эта ситуация называется эффектом Гиффена, а низший товар, который занимает значительное место в структуре потребления (на него приходится большая доля бюджета всех потребительских расходов), называется товаром Гиффена, по имени английского экономиста P. Гиффена (1837-1910). Предполагается, что Гиффен описал этот эффект, когда наблюдал, как бедные рабочие семьи расширяют потребление картофеля, несмотря на его подорожание. Объяснение сводится к тому, что картофель занимает большую долю расходов на еду в бедных семьях. Другую пищу такие семьи могут позволить себе нечасто. И если происходит рост цен на картофель, то бедная семья вообще вынуждена будет отказаться от покупки мяса, тратя весь свой небольшой доход на покупку такого низшего товара, как картофель. Кривая спроса в таком случае имела бы положительный наклон. Эффект дохода в случае с низшим товаром Гиффена перевешивает эффект замещения, и, следовательно, при снижении цены на такой товар спрос на него уменьшается, а при повышении цены - увеличивается (как в случае с картофелем).

Имеются и другие (помимо эффекта Гиффена) исключения из закона спроса. Так, с одной стороны, некоторые потребители могут сокращать свой спрос на товар при снижении его цены, поскольку данный товар становится более доступным, масштабы его потребления растут, а данная категория потребителей не хочет быть «как все» (так называемый эффект сноба). С другой стороны, спрос на эксклюзивные дорогостоящие товары может даже возрасти, если цены на них увеличатся, так как богатый покупатель приобретает эти товары, прежде всего из-за престижных соображений (так называемый эффект Веблена).

Если теперь рассмотрим рыночную ситуацию со стороны продавцов или со стороны предложения, то заметим обратную картину. Все продавцы будут стремиться получить на рынке самую высокую цену, и чем выше будет цена, тем активнее они будут пытаться продать большее количество товара, т. е. увеличить предложение.

Иными словами, у каждого продавца объем предложения будет меняться в зависимости от цены: чем выше цена, тем, при прочих равных условиях, выше размер предложения на рынке данного товара. Графически данная зависимость изображена на рис. 2.2. (абсцисса служит для обозначения количества товара Q, доставленного на рынок; ордината обозначает движение цены P). Кривую S называют кривой предложения.

При предположении, что функция предложения носит линейный характер, уравнение кривой предложения может быть представлено в следующем общем виде:

Уравнение функции предложения показывает, что между уровнем рыночной цены (S) и количеством продукции, которое производитель готов предложить на рынке, существует прямая зависимость. Параметры p и q отражают изменение экзогенных (неценовых) факторов спроса. При изменении величины a происходит сдвиг кривой предложения, а при изменении величины b изменяется наклон кривой (см. приложение 2.2).

Тенденция к увеличению производства при высоких ценах объясняется тем, что, с одной стороны, повышение цены привлекает в данную отрасль новых производителей. С другой стороны, при росте цен предприниматель получает добавочную прибыль и имеет возможность нанять больше рабочих, купить больше сырья и машин, расширить производство.

Вместе с тем следует иметь в виду, что речь идет лишь о тенденции к увеличению предложения. До известного предела рост цен вызывает рост предложения. Однако если рост цен продолжается, то производитель может снизить объем производства. Во-первых, высокий уровень дохода в известной мере снижает стимулы к продолжению интенсивной работы. Во-вторых, если речь идет о рынке несовершенной конкуренции, производитель может опасаться, что при дальнейшем наращивании объемов производства произойдет затоваривание, и цены начнут снижаться.

Для каждого товара существуют свои кривые спроса и предложения. Однако было бы неправильно представить их как раз и навсегда данные. Под воздействием ряда факторов кривые спроса и предложения могут смещаться. В этой связи важно различать величину спроса и сам спрос, а также величину предложения и само предложение. При снижении цены увеличивается величина спроса, сам спрос как выражение потребности в данном товаре остается неизменным. Можно говорить об увеличении спроса, если при каждой цене (и высокой, и низкой) покупатели будут приобретать большее количество данного товара. Так, в жаркие летние месяцы возрастает спрос на прохладительные напитки и мороженое. В этом случае будем двигаться не по кривой , а произойдет сдвиг кривой в новое положение (см. приложение 2.3 Сдвиг кривой спроса).

Кроме того, следует отметить, что на величину спроса, кроме цены, влияют уровень доходов, размер рынка, цена и полезность других товаров, особенно товаров-заменителей (субститутов), субъективные вкусы и предпочтения, мода и т. п. Если, например, средний доход покупателей возрастает, то, при прочих равных условиях, кривая спроса сместится вправо и тому же уровню цены будет соответствовать возросший уровень спроса .

Главный фактор, воздействующий на предложение, - издержки производства. Поэтому, если в результате использования достижений технического прогресса или применительно к сельскому хозяйству, в силу благоприятных погодных условий удается снизить издержки производства, кривая предложения смещается вправо (см. приложение 2.4 Сдвиг кривой предложения). К сдвигу кривой предложения приводят также и изменения в налогообложении: повышение налогов, которые уплачивает производитель, приводит к сдвигу кривой предложения влево, а снижение налогов - к сдвигу кривой вправо.

Рассмотренные кривые, взятые сами по себе, показывают, что происходит с покупками и продажами, если цена изменяется. Но на каком уровне должна установиться цена? Чтобы ответить на этот вопрос, надо свести вместе и сопоставить кривые спроса и предложения.

Если наложить друг на друга два графика, обозначающие совокупный спрос и совокупное предложение одного и того же товара, получим график, показывающий одновременное поведение спроса и предложения интересующего нас товара. В какой-то точке две кривые пересекутся (см. приложение 2.5.). В точке встречи спрос количественно равен предложению и цена выступает как уравновешивающая цена, или цена равновесия.

При более высокой цене возникает избыток предложения над спросом (равный по величине отрезку AB). Этот избыток в результате конкуренции продавцов будут способствовать снижению цены. При цене ниже уравновешивающей спрос превышает предложение (отрезок CF) и возникает дефицит товара на рынке. В этом случае излишек спроса и конкуренция покупателей будет толкать цену вверх. Лишь в точке E достигается равновесие сил и устойчивая цена, которая может сохраняться в краткосрочном периоде, пока не изменятся какие-либо параметры, определяющие спрос и предложение.

Важно подчеркнуть, что при цене равновесия устанавливается равенство не покупок и продаж - такое равенство существует при любой цене. При цене равновесия количество продукции, в пределах которой потребители намерены продолжать делать закупки, будет соответствовать тому количеству продукции, которое производители намерены продолжать поставлять на рынок. Только при такой цене будет отсутствовать тенденция к повышению или понижению цены.

Таким образом, конкуренция и колебания спроса и предложения привели к установлению равновесия на рынке. Ограниченное количество имеющегося в обществе данного товара распределено между возможными его потребителями. Но это лишь частичное равновесие на единичном рынке. Надо учитывать, что цены на рынке находятся в постоянном движении вследствие изменений в предложении или спросе товаров. Эти изменения не являются независимыми друг от друга, а, напротив, все взаимосвязаны. Каждое изменение цены одного товара приводит к изменениям в цене других товаров. Существует целая система цен, которая может оказаться в равновесии, если рассматривать ее в определенный момент и одновременно в ее совокупности. И в этом случае говорят об общем равновесии рынка.

Важно подчеркнуть, что равновесный метод анализа в микроэкономическом исследовании предполагает поиск ситуации, в которой экономическая система находится в состоянии «идеального» покоя. В состоянии равновесия (частичного или общего) наблюдается совпадение спроса и предложения; намерения потребителей купить определенное количество товара по данной цене совпадает с намерениями производителей поставить на рынок такое же количество товара по той же цене. Именно поэтому в состоянии экономического равновесия хозяйствующий субъект - будь то отдельный производитель, фирма или покупатель - не имеет стимулов к изменению своего экономического поведения. В точке равновесия экономическое движение прекращается. Для того чтобы оно началось вновь, должны измениться внешние условия - уровень цен, технология, ожидания и предпочтения производителей или потребителей. Конечно, равенство спроса и предложения - это теоретическая абстракция, ибо в реальной хозяйственной практике такое совпадение бывает весьма редким. Однако именно эта абстракция позволяет выявить наиболее важные закономерности функционирования рыночного механизма.

Анализ закономерностей изменения спроса и предложения и механизма образования цены равновесия дает возможность более полно охарактеризовать экономическую свободу как важнейшее условие нормального функционирования рыночного механизма и достижение общего равновесия. Экономическая свобода подразумевает, во-первых, свободу предпринимательства; во-вторых, свободу выбора продавцов и покупателей, т.е. свободу торговли; в-третьих, свободу перемещения ресурсов по разным сферам применения; в-четвертых, свободу ценообразования.

Именно экономическая свобода позволяет рынку гибко реагировать, приспосабливаясь к изменяющимся условиям, и обеспечивать как частичное, так и общее равновесие.

Рассмотрев основы рыночного равновесия, мы пока еще не выяснили, почему кривая предложения выглядит таким, а не иным образом, и почему именно таким, а не иным образом выглядит кривая спроса. В свою очередь, если мы не выясним этого, то не поймем, отчего кривая предложения пересекается с кривой спроса в данной, а не в другой точке. В связи с этим зависимость величины спроса и предложения от соответствующей рыночной цены товара нуждается в более детальном рассмотрении.

Различные товары отличаются друг от друга по степени реакции спроса и предложения на изменение цены. Рассмотрим три варианта кривой спроса (см приложение 2.6 Эластичность спроса). Основным моментом, на который нужно обратить внимание, является здесь общая сумма денег, которую покупатели уплачивают продавцам. Общая выручка, или валовой доход продавца всегда равна цене, умноженной на количество проданного товара, или произведению P х Q. На рис. 2.6.-а представлен случай, когда падение цены в 3 раза вызвало рост спроса тоже в 3 раза, и общая выручка не изменилась. На рис. 2.6.-б снижение цены в 3 раза сопровождалось ростом закупок лишь в 2 раза, и общая выручка сократилась. Другая ситуация представлена на рис. 2.6.-в. Выручка возрастает, потому что спрос вырос больше, чем упала цена.

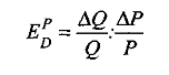
То, в какой мере объем спроса на рынке возрастает при данном снижении цены или сокращается при данном повышении цены, характеризует степень эластичности спроса в зависимости от цены. Коэффициент эластичности спроса в зависимости от цены (E ) представляет собой отношение изменения спроса к вызвавшему его изменению цены:


Коэффициент эластичности показывает, на сколько процентов меняется размер спроса на товар в результате изменения его цены на один процент. Когда снижение цены в точности компенсируется соответствующим ростом спроса, так что общая выручка остается неизменной (см. приложение 2.6.-а), мы говорим о единичной эластичности спроса. Когда снижение цены вызывает меньший рост объема спроса (см. приложение.-б), спрос неэластичен . Когда снижение цены вызывает больший рост величины спроса (см. приложение 2.6 -в), мы говорим об эластичном спросе ( ). Коэффициент эластичности спроса по цене, как правило, является отрицательной величиной.

На степень эластичности спроса влияет целый ряд факторов: наличие товаров-субститутов (т.е. взаимозаменяемых товаров, например, чай и кофе), размер дохода потребителя, качество товара, удельный вес товара в бюджете потребителя, является ли товар предметом роскоши или предметом первой необходимости, ожидания потребителя и т.д.

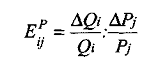
Как уже отмечалось, спрос на данный товар зависит не только от его цены, но и от цен на другие товары. Здесь нужно отметить, что помимо товаров-субститутов, существуют и товары - комплементы (взаимодополняемые товары, например, фотоаппарат и фотопленка). Помимо этих групп товаров, существуют и независимые товары (например, карандаши и молоко). Эластичность спроса на один товар называется перекрестной эластичностью. Коэффициент перекрестной эластичности спроса представляет собой отношение изменения спроса на товар i к вызвавшему его изменению цены на товар j:


При изменении цены на товар-субститут коэффициент перекрестной эластичности оказывается больше нуля (рост цен на кофе вызовет рост спроса на чай); при изменении цены товара-комплемента коэффициент перекрестной эластичности оказывается меньше нуля (рост цены на фотопленку ведет к уменьшению спроса на фотоаппараты). При изменении цены независимого товара коэффициент перекрестной эластичности равен нулю (рост цены на карандаши не изменит спрос на молоко).

Следует также отметить, что колебания цен товаров с различной эластичностью спроса по-разному влияют на изменение цен остальных товаров. Так, если цена товара с неэластичным спросом возрастает, то общие расходы на покупку этого товара растут, что при неизменном доходе приводит к сокращению спроса на другие товары, а, следовательно, и к снижению их цен.

Когда мы говорим о спросе, то подразумеваем, конечно, платежеспособный спрос. Поэтому, как уже было показано ранее, одним из важнейших факторов, влияющих на спрос, является уровень доходов. При изменении доходов спрос на товары изменяется по-разному. В связи с этим мы говорим об эластичности спроса в зависимости от дохода. В частности, хорошо известно, что изменение доходов покупателей оказывает гораздо большее воздействии на покупки товаров длительного пользования, чем на покупки продовольственных товаров. Другими словами, эластичность спроса на промышленные товары обычно бывает больше.

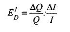
Влияние дохода на спрос определяют коэффициентом эластичности:


где - коэффициент эластичности спроса в зависимости от дохода, Q - величина спроса, а I - доход покупателей.

Для большинства товаров зависимость между доходами и спросом прямая, т.е. с ростом доходов спрос увеличивается. Однако в некоторых случаях зависимость может быть обратной. Обычно это касается, товаров низкого качества, с низкими потребительскими свойствами, которые потребляют наиболее бедные слои населения. С ростом доходов также обычно падает спрос на такие продукты питания, как хлеб и картофель, поскольку потребители получают возможность включать в свой рацион больше мяса, овощей и фруктов.

На основе анализа взаимосвязи между изменением дохода и спроса на разные товары можно построить график «доход-расходы» для отдельного блага (при предположении, что цена блага остается неизменной). Такие графики называют кривыми Энгеля. На приложении 2.7. показан примерный вид кривых Энгеля для нормальных товаров (кривая ), предметов роскоши (кривая ) и низкокачественных товаров (кривая ). На оси абсцисс откладывается уровень дохода (I), а на оси ординат - расходы на потребление данного блага (С).

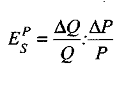
Рассуждения относительно эластичности спроса в целом могут быть применены и при анализе воздействия цены на предложение. Эластичность предложения - это показатель относительного изменения предполагаемого на рынке количества товара в соответствии с относительным изменением конкурентной цены. Коэффициент эластичности предложения (EIS ) представляет собой отношение изменения предложения к вызвавшему его изменению цены:


На рис 2.8. показаны три линии предложения с разной эластичностью. Эластичность предложения товара зависит от многих факторов: от структуры издержек на разных предприятиях, степени загрузки производственных мощностей, наличия свободной рабочей силы, быстроты перелива капитала из одной отрасли в другую и т.д.

Говоря об эластичности спроса и предложения, т.е. о том, насколько при изменении цены изменяются спрос и предложение, мы должны иметь в виду, что эти изменения происходят во времени и, следовательно, время становится одним из факторов эластичности. Особенно большое значение фактор времени имеет для характеристики эластичности предложения: прежде чем предложение полностью приспособится к новому уровню цен, должен пройти определенный промежуток времени.

Исходя из этого, наше понимание рыночного равновесия должно быть, дополнено анализом согласования спроса, и предложения с учетом элемента времени.

Предположим, спрос на какой-либо товар вырос. Поскольку предложение этого товара сразу возрасти не сможет, ситуация мгновенного равновесия будет характеризоваться лишь повышением цены (см. приложение 2.9.-а). Кривая предложения представляет собой вертикальную линию с нулевой эластичностью, и сдвиг кривой спроса в положение увеличивает цену равновесия до (S) .

В условиях краткосрочного равновесия (см. приложение 2.9.-б) число предприятий, работающих на данном рынке, еще не меняется. Однако предложение несколько увеличивается, и кривая становится слегка наклонной, поскольку предприниматели могут более интенсивно использовать имеющиеся производственные мощности. В этом случае объем предложения немного возрастает до , а цена равновесия становится ниже.

Наконец, когда рассматриваем длительно равновесие (см. приложение 2.9.-в), предложение полностью приспосабливается к изменившемуся спросу. Высокие цены позволили создать новые мощности, в отрасль пришли новые предприниматели, объем предложения вырос до , а цена равновесия еще более снизилась.

С понятием эластичности спроса и предложения связано понятие гибкости цены, которая может быть определена как величина, обратная эластичности. Она измеряет влияние данного изменения величины спроса и предложения на цену.

Понятие эластичности спроса и предложения по цене имеют большое практическое значение не только для понимания поведения потребителя на рынке или ценовой стратегии фирм, но и для анализа последствий экономической политики государства, в частности, политики налогообложения. Одним из важнейших здесь является вопрос распределения налогового бремени, т.е. кто реально уплачивает тот или иной налог. Проиллюстрируем это на условном примере (см. приложение 2.10.). Предположим, равновесная цена товара на рынке 10 рублей, и государство вводит дополнительный налог на производителя в размере 5 рублей на каждую единицу данного товара. Кривая предложения в этом случае сдвигается вверх на величину налога, и цена товара должна возрасти.

Если бы увеличение цены в точности соответствовало размеру налога, то это бы означало, что производитель полностью перекладывает уплату налога на покупателя (это возможно в случае нулевой эластичности спроса). На рисунках 2.10.-а и 2.10.-б показано, что реальное распределение налогового бремени между продавцом и покупателем зависит от эластичности спроса и предложения. При неэластичном спросе и эластичном предложении (см. приложение. -а) цена сильно увеличивается и большую часть налога уплачивает покупатель (в нашем примере 3 рубля 50 копеек из общей суммы налога фактически платит покупатель и только 1 рубль 50 копеек - производитель). При эластичном спросе и неэластичном предложении (см. приложение. -б) повышение цены приводит к тому, что потребители существенно сокращают закупки данного товара, переключая свой спрос на товары-субституты, и производителю уже не удается переложить на покупателя бремя уплаты налога (цена возрастает только на 1 рубль 50 копеек, а остальную сумму налога платит сам производитель).

Ценовая конкуренция. Антимонопольное законодательство

Конкуренция сглаживает и временно устраняет противоречия между спросом и предложением.

Ценовая конкуренция - это конкурентная борьба посредством изменения цен на товары. В значительной степени она влияет на уровень цены. Предприятия- продавцы следуют кривой спроса, снижая или повышая цену. Поэтому ценой можно легко маневрировать под воздействием множества факторов.

Ценовую конкуренцию может начать на только предприятие, занимающее господствующее положение на рынке, но и небольшое, чтобы выжить в условиях конкуренции. Основное условие успешной ценовой конкуренции - постоянное совершенствование производства и снижение себестоимости. Выигрывает только предприниматель, располагающий реальными шансами снижения издержек производства.

Механизм ценовой конкуренции действует по следующей схеме: предприятие-производитель устанавливает на свою продукцию цену ниже рыночных; конкуренты, не располагающие возможностью последовать за ним, не могут удержаться на рынке и уходят с него или разоряются. Однако всегда находится конкурент, который выведет свое предприятие из трудного положения, перенесет ценовую войну и дождется нового повышения цен. В этом случае цель войны не достигнута и придется или смириться, или снова начинать снижение цен.

Ценовая война - акция трудная и дорогостоящая. На выигрыш может рассчитывать только то предприятие, которое имеет более сильное положение на рынке, чем конкурент. Если же конкурирующие предприятия находятся примерно в равных условиях, то ценовая война не просто расточительна, но и бессмысленна.

Если экономическая мощь конкурентов примерно одинакова, оправданно маневрирование ценами. Эта политика состоит в предоставлении покупателям различного рода скидок, снижении цен на продукцию по сравнению с прейскурантами, установлении цен на товары разного качества в близком диапазоне. В результате выигрывает покупатель.

При всех неоспоримых достоинствах совершенной конкуренции у нее есть существенный недостаток: спонтанное развитие рыночных процессов может сопровождаться монополизацией тех или иных сфер хозяйственной жизни. Совершенная конкуренция, будучи «предоставленной самой себе», превращается в конкуренцию несовершенную. А это означает, что под удар ставится экономическая демократия, которая, в свою очередь, является основой политической демократии. Поэтому еще в конце XIX века в промышленно развитых странах Запада, и, прежде всего, в США была осознана необходимость поставить определенный заслон деструктивным силам монополизации.

Монополия означает определенную степень власти над ценой. А эта власть может базироваться на различных предпосылках: концентрация рынка, тайные и явные соглашения о разделе рынков и уровне цен, создание искусственных дефицитов и др. Антитрестовское, или антимонопольное законодательство призвано не допустить развертывания разрушительной для эффективности экономики ограничительной деловой практики. Под последней понимаются действия, направленные на ограничение конкуренции на рынке.

Наиболее разработанным принято считать антимонопольное законодательство США, имеющее к тому же и наиболее давнюю историю. Оно базируется на «трех китах», то есть трех основных законодательных актах:

1.      Закон Шермана (1890 г.). Этим законом запрещается тайная монополия торговли, единоличный контроль в той или иной отрасли, сговор о ценах.

2.      Закон Клейтона (1914 г.) запрещал ограничительную деловую практику в области сбыта, ценовую дискриминацию (не во всех случаях, а тогда, когда это не диктуется спецификой текущей конкуренции), определенные виды слияний, переплетающиеся директораты и др.

.        Закон Робинсона-Пэтмэна (1936 г.) - запрет на ограничительную деловую практику в области торговли: «ножницы цен», ценовая дискриминация и др.

В 1950 г. к закону Клейтона была принята поправка Селлера-Кефовера: уточнялось понятие незаконного слияния. Так запрещались слияния путем скупки активов. Если актом (законом) Клейтона был поставлен заслон горизонтальным слияниям крупных фирм, то поправка Селлера-Кефовера ограничивала вертикальные слияния (например, производство - сбыт продукции).

Сложнейшая задача, стоящая перед государственными органами, непосредственно приводящими в жизнь антитрестовское законодательство, заключается в следующем: каковы те экономические критерии, на основании которых устанавливается факт монополизации? Поясним эту проблему постановкой вопросов, которые предстоит каждый раз решать государственным антимонопольным службам: что считать низким (или наоборот, завышенным) уровнем цен? Какой процент (доля) всего отраслевого производства свидетельствует о монополистическом захвате? Какой уровень ограничения выпуска продукции считается искусственным дефицитом?

Все это непростые вопросы, на которые нельзя во всех случаях дать однозначного ответа. А что, если крупная корпорация добилась низкого продажного уровня путем снижения издержек, с помощью более высокого уровня технологии и вообще хозяйственной эффективности? Как отличить «демпинговые» цены от низких цен сложившихся в силу высокой эффективности? И вообще, вводя запрет на продажу «по чрезвычайно низким ценам», кого защищает антитрестовское законодательство - конкуренцию или какие-то группы конкурентов?

Все это не просто академические, чисто теоретические вопросы. Например, закон Робинсона-Пэтмэна, запрещавший ценовую дискриминацию, был направлен, по сути, против крупных розничных магазинов и супермаркетов, которые могли себе позволить снижать цены для определенных групп покупателей. Но этого не могли позволить себе мелкие торговые фирмы. Так против кого же направлен закон, и чьи интересы он защищал? П. Самуэльсон оценивает его так: «Это (т.е. запрещение ценовой дискриминации) и другие предложения закона способствовали ограничению конкуренции. Вместо того чтобы снизить цену в пользу потребителя, он был направлен на сохранение многих предприятий, несмотря на то, что некоторые из них были малоэффективны». Так что же выиграло общество от того, что антитрестовским законодательством в данном случае были защищены мелкие торговые фирмы, которые продавали свои товары по более высоким ценам, чем крупные торговые предприятия? Ведь потребители уплачивали более высокую цену, поскольку супермаркетам было запрещено осуществлять политику ценовой дискриминации.

Сомнениями по поводу якобы неизменной высокой эффективности антитрестовской политики государства полны страницы многих западных учебников и монографий. Например, американский экономист П. Хейне настойчиво проводит мысль о том, что антитрестовское регулирование (независимо от его благих намерений) защищает не свободную конкуренцию, а определенные группы конкурентов. «Важно помнить, - подчеркивает Хейне, - что наиболее эффективное давление на государственную политику оказывают не потребители, а производители. И слишком часто эта политика будет формироваться под влиянием стремления производителей защищать себя от суровых законов конкурентной жизни».

Государственные службы, призванные осуществлять реализацию антимонопольного законодательства, могут руководствоваться двумя принципами: во-первых, жестко следуя букве закона и, во-вторых, «принципом разумности». Дело в том, что во многих отношениях юридический язык антитрестовских актов (например, закон Шермана) настолько декларативен, что федеральный суд США мог бы подвести под сферу его действия любых двух партнеров, решивших вести совместное дело. Поэтому «принцип разумности» означает, что только неразумное ограничение торговли (соглашения, слияния, разрушение ценностей, т.е. искусственный дефицит) попадают под действия акта Шермана.

Но что считать неразумным ограничением?

Все эти проблемы показывают, насколько сложным является практическое воплощение антитрестовского законодательства. Государство должно балансировать, проходя по узкой тропинке между опасностью разрушительного монополизма и опасностью ограничения конкуренции (а любое вмешательство государства, даже с целью поддержания конкуренции, сопровождается тем или иным ограничением конкурентных возможностей). Как известно, благими намерениями вымощена дорога в ад. Антимонопольная практика должна действительно поддерживать конкуренцию, а не ограничивать ее, предоставляя наиболее льготный режим одним группам производителей (потребителей) за счет других.

Для того, чтобы установить факт монополизации, антимонопольное регулирование предполагает широкое использование математического инструментария и теоретического аппарата концепций несовершенной конкуренции, разработанных Э. Чемберленом, Дж. Робинсон, В. Парето другими экономистами. Исполнительные органы власти ведут не только «карательную», но и профилактическую работу по предотвращению монополистических ограничений. Например, министерством юстиции США издаются справочные материалы, содержащие параметры сделок по слиянию и поглощению компаний, которые попадают под действие антитрестовского законодательства. Так, интересен критерий, на основе которого делается заключение о факте установления на рынке монополистического превосходства одного или нескольких предприятий: 33% - для одного предприятия, 50% - для трех, 66,6% - для пяти.

Важно отметить, что антитрестовское законодательство направлено не против крупных корпораций, «большого бизнеса» как такового, так как размер компании еще не дает возможности трактовать ее как монополию. Антимонопольное регулирование направлено против ограничительной деловой практики, подрывающей эффективную конкуренцию. И если использовать принцип сравнения дополнительных издержек и дополнительных выгод, то можно утверждать: неизбежные издержки, которыми сопровождается антимонопольное регулирование, все-таки оказываются ниже тех преимуществ, которые приносит сдерживание монополистических тенденций в рыночной экономике.

Антимонопольное законодательство в России. Основой российского антимонопольного законодательства является Федеральный закон от 26 июля 2006 года №135 - ФЗ «О защите конкуренции». Закон содержит ограничения свободы предпринимательской деятельности и свободы договора для хозяйствующих субъектов, которые занимают доминирующее положение. Наличие последнего устанавливается на основе определения доли компании в общих продажах на рынке или определения совокупной доли, которую занимают на рынке несколько крупнейших (в смысле объема продаж) компаний.

Таким субъектам при некоторых исключениях запрещается:

1.      установление, поддержание монопольно высокой или монопольно низкой цены товара;

2.      изъятие товара из обращения, если результатом такого изъятия явилось повышение цены товара;

.        навязывание контрагенту условий договора, невыгодных для него или не относящихся к предмету договора;

.        экономически или технологически не обоснованные сокращение или прекращение производства товара, если на этот товар имеется спрос или размещены заказы на его поставки при наличии возможности его рентабельного производства;

.        экономически или технологически не обоснованные отказ либо уклонение от заключения договора с отдельными покупателями (заказчиками) в случае наличия возможности производства или поставок соответствующего товара;

.        экономически, технологически и иным образом не обоснованное установление различных цен (тарифов) на один и тот же товар, если иное не установлено федеральным законом;

.        установление финансовой организацией необоснованно высокой или необоснованно низкой цены финансовой услуги;

.        создание дискриминационных условий;

.        создание препятствий доступу на товарный рынок или выходу из товарного рынка другим хозяйствующим субъектам;

.        нарушение установленного нормативными правовыми актами порядка ценообразования.

Наряду с этим ФЗ «О защите конкуренции» вводит контроль за слияниями организаций, продажей и покупкой крупных пакетов акций компаний, а также запрет на согласование цен между хозяйствующими субъектами, раздел рынка и некоторые другие практики.

Заключение

рыночный ценообразование антимонопольный

Таким образом, цены представляют собой тонкий, гибкий инструмент и в то же время довольно мощный рычаг управления экономикой, хотя их реальные возможности воздействия на экономику вообще и на уровень жизни в частности намного меньше надежд, возлагаемых на цены, на ценовой механизм людьми.

Цены, вся их совокупность представляют собой не только индивидуальную, социальную категорию. Они регулируют как отдельные покупки и продажи товаров потребителям, так и экономические процессы в целом, включая производство, распределение товаров, обмен или потребление благ, оказание услуг. Здесь уже все цены, вместе взятые, с учетом их формирования и изменения действуют как общий, единый, целостный ценовой механизм.

Цель ценовой политики заключается в установлении на товары фирмы таких цен и такого варьирования ими в зависимости от положения на рынке, чтобы владеть его определенной долей, обеспечить намеченный объем прибыли и решать другие стратегические и оперативные задачи.

В условиях рыночной экономики ценообразование является сложным процессом, подверженным воздействию многих факторов. Выбор общей ориентации в ценообразовании, подходов к определению цен на новые и уже выпускаемые изделия, оказываемые услуги в целях увеличения объемов реализации, товарооборота, повышения уровня производства, максимизации прибыли и укрепления рыночных позиций фирмы осуществляется в рамках маркетинга.

Поэтому, установление цены является одним из важнейших элементов маркетинга, прямо воздействующим на сбытовую деятельность, поскольку уровень и соотношение цен на отдельные виды продукции, особенно на конкурирующие изделия, оказывают определяющее влияние на объемы совершаемых клиентами закупок. Цены находятся в тесной зависимости со всеми составляющими маркетинга и деятельности фирмы в целом. От цен во многом зависят реальные коммерческие результаты, а верная или ошибочная ценовая политика оказывает долговременное воздействие на положение фирмы на рынке.

Список использованных источников

1.       Экономика организации: Учебник для вузов. - 2-е изд., перераб. и доп./ Н.Л. Зайцев. - М.: Издательство «Экзамен», 2003. - 624 с.

2.      Экономика предприятия: Учебник для вузов./ Под ред. проф. В. Я. Горфинкеля, проф. В. А. Швандара. - 4-е изд., перераб. и доп. - М.: ЮНИТИ - ДАНА, 2004. - 670 с.

.        Курс экономической теории / Под ред. проф. Чепурина М.Н., проф. Киселевой Е.А. - Киров, 2002.

.        Грузинов В.П., Грибов В.Д. Экономика предприятия: Учебное пособие. - 2-е изд., доп.-М.: Финансы и статистика, 2002. - 208с.

.        Чуев И.Н., Чуева Л.Н. Экономика предприятия: Учебник. - 5-е изд., перераб. и доп. - М.: Издательско-торговая корпорация «Дашков и К°», 2008.

.        Кнышова Е.Н., Панфилова Е.Е. «Экономика организации»: Учебник. - М.: Форум: ИНФРА-М, 2004.

.        Т.А. Слепнева, Е.В. Яркин. Цены и ценообразование: Учебное пособие. - М.: ИНФРА-М, 2001.

.        Сергеев И.В. Экономика предприятия: Учебное пособие. - 2-изд., перераб. и доп. - М.: Финансы и статистика, 2005. - 304 с.

.        Раицкий К.А. Экономика предприятия: Учебник для вузов. - 2-изд. - М.: Информационно-внедренческий центр «Маркетинг», 2000. - 696 с.

.        Экономика предприятия: Учебник / Под ред. проф. О.И.Волкова. - М.: ИНФРА-М, 1998. - 416 с.

.        Чечевицина Л.Н. «Микроэкономика»: Экономика предприятия (фирмы). - 3-е изд. - Ростов н/Д.: Феникс, 2003. - 443 с.

.        Зайцев Л.Н. Экономика промышленного предприятия: Учебник. - 6-е изд., перераб и доп. - М.:ИНФРА-М, 2008. - 414 с.

.        Цены и ценообразование: Учебник для вузов. - 3-е изд./Под ред. В.Е. Есипова. - СПб.: Питер, 2003 - 464 с.

.        Федеральный закон « О защите конкуренции» от 26 июля 2006 г.

.        Экономика предприятия (фирмы): Учебник / Под ред. проф. О.И. Волкова и доц. О.В. Девяткина. - 3-е изд., перераб и доп. - М.: ИНФРА-М, 2003.

16.    en.wikipedia.org, ru.wikipedia.org

Приложения

Схема 1.1. Функции цены

Кривая спроса Рис. 2.1

Рис. 2.2. Кривая предложения

Рис. 2.3. Сдвиг кривой спроса Рис. 2.4. Сдвиг кривой предложения

Рис. 2.5. Цена равновесия

Рис. 2.6. Эластичность спроса

Рис. 2.7. Кривые Энгеля

Рис. 2.8. Эластичность предложения

Рис. 2.9. Согласование спроса и предложения с учетом фактора времени

Рис. 2.10. Эластичность и распределение налогового бремени

Похожие работы на - Ценовая конкуренция. Антимонопольное законодательство

 

Не нашли материал для своей работы?
Поможем написать уникальную работу
Без плагиата!
Без нейросетей!