Оптимизация маркетинговой деятельности промышленного предприятия (на примере ОАО 'ДМЗ')
Оглавление
Введение
Глава 1. Теоретические основы управления маркетинговой
деятельностью современных предприятий
.1 Система управления маркетингом предприятия
.2 Организация маркетинговой службы на предприятии
.3 Маркетинг как средство повышения конкурентоспособности
предприятия
Глава 2. Анализ деятельности и эффективности управления
маркетинговой деятельностью в ОАО «ДМЗ»
.1 Общая характеристика деятельности предприятия
.2 Анализ конкурентного положения предприятия на рынке
.3 Анализ организации и эффективности маркетинговой
деятельности ОАО «ДМЗ»
Глава 3. Разработка предложений по оптимизации маркетинговой
деятельности в ОАО «ДМЗ»
.1 Оптимизация организационной структуры службы маркетинга
.2 Совершенствование стратегического управления маркетингом
.3 Экономическая эффективность внесенных предложений
Заключение
Список использованных источников
Приложения
Введение
Фирма успешна, когда производимый ею продукт находит спрос на рынке и
приносит достаточную прибыль.
Для поддержания успешности фирмы необходимо принимать множество решений,
в том числе в области маркетинга. Здесь решения укладываются в основном в
четыре направления: товарная политика, ценовая политика, распределительная и
сбытовая политика, коммуникативная политика. Эти решения, их своевременность,
качество и согласованность с возможностями других функциональных подразделений
(исследований и разработок, производства, финансы, сбыт и др.) определяют
успешность производственной фирмы.
В условиях роста конкуренции эта зависимость нарастает: без эффективной
организации маркетинга промышленное предприятие не может развиваться и даже
сохранить status quo.
Поэтому в современных промышленных предприятиях создаются маркетинговые
службы. Рациональная организация их деятельности позволяет в турбулентной экономической
ситуации контролировать критические для выживания предприятия факторы внешней
среды (предпочтения потребителей, позиции конкурентов и др.), координировать
работу всех подразделений предприятия, создать высококонкурентный товар,
правильно сегментировать рынок и позиционировать товар на рынке и пр., что в
целом обеспечивает успешность предприятия и вывод его на качественно иной
уровень хозяйственной деятельности, что определяет актуальность темы настоящего
исследования.
Цель дипломной работы - на примере ОАО «ДМЗ» разработать предложения по
оптимизации маркетинговой деятельности промышленного предприятия.
Объектом исследования является современное промышленное предприятие.
Предметом исследования является организация маркетинговой деятельности на предприятии.
В качестве теоретической базы исследования использовались труды - П.Ф.
Друкера, У. Кинга, Д. Клиланда, А.А. Томсона, А.Дж. Стрикленда, Я. Корнай, О.
Уильямсона и др. Из российских специалистов, изучающих эту тему можно выделить:
Гольдштейн Г.Я., Гурков И.Б., Забелин П.В., Константинов Г.Н. и др. Проблему
интеграции маркетинговых коммуникаций поднимали такие отечественные и
зарубежные авторы как: X. Анн, К.В. Афонина, Г.Л. Багиев, Дж. Бернет, Е.Н.
Голубкова, И. Дябилкина, И.Ф. Есипова, В.И. Зосько, С. Мориарти, П.Смит, В.М.
Тарасевич и др.
Общим вопросам теории и практики применения маркетинговых коммуникаций
уделялось большое внимание в трудах следующих зарубежных авторов: Д. Аакер, Г.
Ассэль, А. Батр, Е. Дихтль, Ф. Котлер, Ж-Ж Ламбен, Дж. Майерс, Л. Перси, Дж. Р.
Росситер, У. Уэллс и др. Исследованиям маркетинговых коммуникаций посвящены
работы таких отечественных ученных как: Е.П. Голубков, А.А. Долбунов, В.А.
Евстафьев, Ф.А. Крутиков, Е.В. Попов, Н.С. Перекалина, Е.В Песоцкая, Н.А.
Платонова, Р.Ю. Попова, О.А. Саркисян, Л.Б. Сульповар, И.В.Христофорова, Д.Е.
Шляпин, В.Н. Ясонов и др.
Глава 1.
Теоретические основы управления маркетинговой деятельностью современных
предприятий
1.1 Система управления маркетингом предприятия
Определение маркетинга как системы предусматривает необходимость
управления ею. Ф. Котлер определяет управление маркетингом как «анализ,
планирование, претворение в жизнь и контроль за проведением мероприятий,
рассчитанных на установление, укрепление и поддержание выгодных обменов с
целевыми покупателями ради достижения определенных задач (получение прибыли,
рост объема сбыта, увеличение доли рынка и т. п.)». Управление маркетингом
впрямую зависит от состояния спроса. Можно сказать, что управление маркетингом
- это и реакция на спрос, и управление спросом. Сущностью маркетинга является
то, что организации следует производить лишь то, что, несомненно, найдет спрос
у клиента (того или иного социального типа) или определенного рыночного
сегмента. Из этого следует, что сущность (основная суть) современного
маркетинга выражается в некой предпринимательской деятельности, которая
обращает потребности потенциальных заказчиков - в доходы организации.
Управление маркетингом - важная функциональная часть общей системы
управления предприятием, направленная на достижение согласованности внутренних
возможностей предприятия с требованиями внешней среды для обеспечения
эффективной деятельности.
Маркетинговая деятельность подразумевает работу в соответствии с
определенными принципами.
Маркетинг располагает следующими основополагающими принципами.
. Обязательная ориентация всей производственно-сбытовой и
научно-исследовательской деятельности на рынок, учет рыночных требований.
Предлагаемый продукт рассматривается компанией с точки зрения того, насколько
он может способствовать покупателям в решении их проблем и задач.
. Дифференцированный подход к рынку, сегментация.
. Постоянное стремление к нововведениям.
. Пластичное реагирование на перемены в требованиях рынка.
. Целенаправленное и непрерывное воздействие на рынок. Данный принцип
маркетинга касается его временного аспекта: нацеленность деятельности
организации не на немедленный, а на долгосрочный эффект.
6. Ориентация на продолжительный период времени.
. Эффективный менеджмент, необходимость со стороны
руководства новаторского и творческого подхода к управлению.
8. Обязательность маркетингового мышления для всех сотрудников
организации.
К задачам предприятия, действующего на принципах маркетинга, относятся:
формирование рыночных параметров;
адаптация своих возможностей к рынку.
Управление маркетингом рассматривается в следующих направлениях:
• управление деятельностью- вся работа предприятия должна строиться на
маркетинге;
• управление функцией- реализация принципа «от нужд производства - к
нуждам рынка» при тесной взаимосвязи всех функций менеджмента -
производственной, финансовой, кадровой и т.д. Ответственность за
функционирование маркетинговой системы предприятия возлагается на высшее
руководство, менеджеров по маркетингу;
• управление спросом- здесь подразумевается управление маркетинг-миксом.
Цели маркетинга можно объединить в следующие группы:
рыночные, т.е. ориентированные на достижение рыночных результатов
(увеличение доли рынка, освоение новых рынков, ослабление рыночных позиций
конкурентов и др.);
собственно маркетинговые (формирование благоприятного имиджа фирмы,
достижение высокой удовлетворенности потребителей, увеличение прибыльности
маркетинговой деятельности и др.);
структурно-управленческие (придание организационной структуре большей гибкости
и адаптивности, нацеленность на достижение новых, более сложных стратегических
целей и др.);
обеспечивающие (стимулирующая, ценовая, сервисная политик и др.);
контролирующие (контроль текущей, стратегической, финансовой
деятельности).
Система маркетинга предполагает решение следующих задач:
анализ рыночных тенденций;
изучение покупательских потребностей и прогноз спроса;
формирование ассортимента и цен;
формирование политики рекламных мероприятий;
создание спроса;
сбытовое планирование;
разработка мер по совершенствованию управления и организации
производства.
Их решение опирается на использование следующих методов, применяемых в
маркетинге: учет, анализ, моделирование, прогнозирование и корректировка.
Маркетинговая деятельность на предприятии осуществляется на основе
программы, которая включает следующие разделы: маркетинговая стратегия
предприятия; стратегия развития рынка продукции и услуг предприятия; страховая
политика предприятия; ценовая (тарифная) политика предприятия; инвестиционная
система распространения продукции и услуг предприятия; коммуникационная
политика предприятия. Главным назначением маркетинга является обеспечение
процесса управления ассортиментом. На задачу управления ассортиментом работают
все функции службы маркетинга, как внешнего, так и внутреннего.
1.2 Организация маркетинговой службы на предприятии
К настоящему времени сложилось несколько форм организации управления
маркетингом. Среди них наибольшее распространение и внедрение в практику фирм,
получили функциональная, товарная, ориентированная на потребителей (рынок) и
региональная форма.
В маркетинговых фирмах все функции, связанные с реализацией рыночной
концепции управления, сосредоточены в отделе маркетинга, который является
центром деятельности фирмы.
Построение службы маркетинга отвечает конкретным задачам предприятия и
зависит от его величины, профиля деятельности и структуры. Служба маркетинга
может быть как простой функциональной, имеющей в своем составе несколько
сотрудников, отвечающих за выполнение функций рекламы и анализа деятельности,
так и сложной. На предприятии с большой товарной номенклатурой служба
маркетинга может быть организована по товарному принципу, где за обеспечение
комплекса маркетинга товарной группы отвечает отдельный сотрудник. На
филиальном предприятии, как правило, есть директор по маркетингу и
территориальные начальники отделов.
Служба связана с другими службами через обмен информацией:
план продаж является инструментом планирования для служб сбыта и
производства, закупа;
анализ выполнения плана и причин отклонений является документом, согласно
которому все службы должны корректировать свою деятельность.
Типовая организационная структура отдела маркетинга включает следующие
службы:
• подразделение исследований;
• подразделение рекламы и продвижения;
• подразделения, отвечающего за товар;
Такое количество служб в отделе маркетинга носит условный характер. В
конкретных фирмах количество служб этого отдела может быть значительно больше,
и они могут носить различные названия.
В меняющихся экономических условиях идет быстрый процесс морального
устаревания концепций маркетинга, появляется необходимость в выработке новых,
более качественных концепций, основанных на новой стратегической ориентации или
ревизии старых.
При всем своеобразии организационных форм маркетинга каждая из них должна
соответствовать следующим критериям:
• соответствие задачам и целям конкретной фирмы.
• простота организации и отсутствие двойного подчинения.
• соответствие профилю.
• направленность на потребителя.
.3 Маркетинг как средство повышения конкурентоспособности
предприятия
Конкурентоспособными признаются результаты деятельности субъектов
предпринимательского бизнеса в тех случаях, когда после реализации
произведенных компанией товаров (выполненных работ, оказанных услуг) данная
компания имеет возможность увеличить свои конкурентные преимущества или же хотя
бы не допустить их относительного уменьшения.
Объективная оценка положения предприятия в конкурентной среде должна
проводиться по всем функциям, подразделениям и направлениям деятельности
(разработка, производство, сбыт, продажа, финансы, маркетинг, менеджмент). При
этом различают несколько видов конкурентоспособности: функциональная, видовая и
предметная.
Функциональная конкуренция возникает при удовлетворении товарами разных
предприятий конкретных потребностей, такие товары называют товарно-родовыми
конкурентами (например, средства транспорта). Видовая конкуренция возникает
между разновидностями товара, которые удовлетворяют одну потребность. Есть хотя
бы один параметр, по которому товары различают (например, мощность двигателя).
Предметная конкуренция ведется по маркам одного и того же товара, выпускаемого
разными предприятиями. Такая конкуренция часто встречается в пищевой
промышленности.
Рассмотрим понятие конкурентоспособности продукции (товаров и услуг).
Конкурентоспособность любого товара может быть определена только в
результате его сравнения с другим товаром и, следовательно, является
относительным показателем. Она отражает отличие данного товара от товара
конкурента по степени удовлетворения конкретных потребностей. Для того, чтобы
выяснить конкурентоспособность какого-либо товара необходимо не просто сравнить
его с другими товарами по степени их соответствия конкретной потребности, но и
учесть при этом затраты потребителя на покупку и последующее использование для
удовлетворения своих потребностей.
Маркетинговая деятельность является средством повышения
конкурентоспособности, так как совершенствует параметры предприятия в
соответствии с комплексом маркетинг-микс, к которому относится товар, цена,
сбыт и продвижение.
Глава 2.
Анализ деятельности и эффективности управления маркетинговой деятельностью в
ОАО «ДМЗ»
2.1 Общая характеристика деятельности предприятия
Производственный холдинг ОАО «ДМЗ» работает на рынке кровельных
материалов с 2001 г. Компания производит и реализуем кровельные материалы, а
именно, металлочерепицу «СуперМонтеррей» и профнастил R20 и С8 с оцинкованным и
полимерным покрытием, а также предлагаем широкий ассортимент доборных
элементов. Компания является официальным дилером многих мировых марок
строительных материалов (таких, как VELUX, Knauf, ICOPAL, RUFLEX).
Выгоды и преимущества компании:
· Компания является производственной компанией.
· Территориально выгодно расположена.
· Производит в срок 1-2 дня.
· Изготавливает продукцию по индивидуальным заказам и проектам,
что позволяет сэкономить до 20% материала
· Работает индивидуально с каждым клиентом - система гибких
скидок.
· Широкая цветовая гамма металлочерепицы и профнастила.
· Большой ассортимент доборных элементов.
Миссия группы компаний:
· Делать покупку кровли максимально простой и удобной.
· Предоставлять нашим клиентам высочайший сервис и лучшие
решения в отрасли.
· Формировать рынок скатных кровель в честном партнерстве с
профессионалами в области монтажа.
Стратегические и координационные функции управления ОАО «ДМЗ» выполняет
генеральный директор компании (рис.2.1).
Рис.2.1. Схема организационной структуры ОАО «ДМЗ»
Организационная структура ОАО «ДМЗ» является линейно-функциональной.
Рассматривая организацию управления ОАО «ДМЗ», можно выделить следующие
недостатки.
. Не предусмотрено участия начальников отделов в определении ряда
стратегических программ ОАО «ДМЗ».
. Структура организации не может оставаться неизменной, потому что
меняется как внешнее, так и внутреннее ее окружение.
. Компания сегодня использует ярко выраженную бюрократическую структуру
управления.
Рассматривая организацию работы ОАО «ДМЗ», можно отметить, что в работе
многих отделов обнаружена проблема невозможности доставки срочной информации
руководству и другим отделам предприятия. По нашему мнению, эту проблему можно
решить с помощью модернизации локальной вычислительной сети с сервером в центре
комплексной автоматизации и терминалами во всех отделах ОАО «ДМЗ», что также
облегчит работу сотрудников.
Выявлено недостаточное внимание руководства к вопросам рационализации
информационных потоков, что вызвано перегрузкой руководителей из-за
особенностей организационной структуры ОАО «ДМЗ».
Проведем анализ основных технико-экономических показателей работы ОАО
«ДМЗ» за 2009 - 2012 гг. по данным бухгалтерской отчетности (приложение 2)
Выручка от продажи продукции предприятия ОАО «ДМЗ» имеет устойчивый рост:
в 2011 году данный показатель вырос на 10%, а в 2012 году - на 18%. В целом за
два года выручка от продаж выросла на 29,8%.
Таблица 2.1. Основные результаты деятельности ОАО «ДМЗ» в 2009-2012 гг.
|
Показатель
|
2009 г.
|
2011 г.
|
2012 г.
|
Изменения, %
|
Изменения %
|
|
|
|
|
2009-2011г
|
2011- 2012г
|
2009-2012г
|
|
1. Выручка от реализации,
млн. руб.
|
3868,5
|
4256,2
|
5022,4
|
10,0
|
18,0
|
29,8
|
|
2. Себестоимость проданной
продукции, млн. руб.
|
2463,2
|
2809,8
|
3127,1
|
14,1
|
11,3
|
27,0
|
|
3. Полная себестоимость
продукции, млн. руб.
|
3401,8
|
3916,0
|
4636,0
|
15,1
|
18,4
|
36,3
|
|
4. Прибыль от продаж:
стр.1-стр.3, млн. руб.
|
466,6
|
340,2
|
386,4
|
-27,1
|
13,6
|
-17,2
|
|
5. Чистая прибыль, млн.
руб.
|
319,9
|
157,7
|
174,3
|
-50,7
|
10,5
|
-45,5
|
|
6. Производительность труда
(среднегодовая выработка одного работника), тыс. руб./чел.
|
1674,7
|
1741,5
|
2030,1
|
4,0
|
16,6
|
21,2
|
|
7. Объем реализации
продукции, млн. ед.
|
246
|
239
|
238
|
-2,8
|
-0,4
|
-3,3
|
|
8. Среднегодовая стоимость
основных средств, млн. руб.
|
1761,0
|
1796,2
|
1843,5
|
2,0
|
2,6
|
4,7
|
|
9. Среднегодовая стоимость
продукции, руб./л: стр.1/стр.7
|
15,7
|
17,8
|
21,1
|
13,2
|
18,5
|
34,2
|
|
10. Фондоотдача, руб./руб.:
стр.1/стр.8
|
2,20
|
2,37
|
2,72
|
7,9
|
15,0
|
24,0
|
|
10. Рентабельность
продукции, %: стр.4/стр.3х100%
|
13,7
|
8,7
|
8,3
|
-36,7
|
-4,1
|
-39,2
|
|
11. Рентабельность продаж,
%: стр.4/стр.1х100%
|
8,3
|
3,7
|
3,5
|
-55,2
|
-6,3
|
-58,0
|
|
12. Рентабельность производства,
%: стр.2/стр.1х100%
|
63,7
|
66,0
|
62,3
|
3,7
|
-5,7
|
-2,2
|
Объем реализации продукции при этом снижался: в 2011 году на 7 млн. ед.
(на 0,4%), а в 2012 году на 1 млн. ед. (на 0,4%, в целом за два года на 3,3%).
А средняя стоимость продукции увеличилась в 2011 году на 13,2%, а в 2012 году
на 18,5% (на 34,2% за два года). Таким образом, фактором роста выручки от
продажи является рост цен на продукцию предприятия.
Величина основных видов прибыли в 2011 году показала отрицательную
динамику: прибыль от продаж снизилась на 27,1%, а чистая прибыль - на 50,7%.
Однако в 2012 году ситуация улучшилась: прибыль от продаж увеличилась на 13,6%,
а чистая прибыль - на 10,5%. В целом за два года прибыль от продаж снизилась на
17,2%, а чистая прибыль на 45,5%.
Причиной снижения прибыли от продаж является опережающий темп роста
себестоимости продукции по сравнению с выручкой от продаж. Так, за два года
выручка от продаж увеличилась на 29,8%, в то время как себестоимость выросла на
36,3%.
Фондоотдача основных средств в исследуемом периоде увеличивается: в 2011
году на 7,9%, а в 2012 году на 15% (в целом за два года на 24%). Данная
тенденция благоприятна для предприятия и обусловлена опережающим темпом роста
выручки по сравнению с темпом роста стоимости основных средств.
Производительность труда работников предприятия увеличивается: в 2011
году на 4%, а в 2012 году на 16,6%. В целом за два года производительность
труда увеличилась на 21,2%. В 2012 году на 1 работника ОАО «ДМЗ» было
реализовано продукции на сумму 2030,1 тыс. руб.
Показатели рентабельности в исследуемом периоде снизились: рентабельность
продукции на 5,4%, рентабельность продаж на 4,8%, а рентабельность производства
на 1,4%. Причиной снижения рентабельности является снижение прибыли
предприятия.
Таким образом, проведенный финансовый анализ показал, что в целом можно
заключить, что предприятие ОАО «ДМЗ» в 2012 году стала постепенно справляться с
последствиями финансового кризиса, однако при этом ее финансовое состояние
нуждается в улучшении.
2.2 Анализ конкурентного положения предприятия на рынке
Продукция компании высокотехнологична и отвечает самым взыскательным
требованиям клиентов. Внедрять новые технологии на производстве помогает
квалифицированная команда менеджеров, которая не только осуществляет постоянное
технологическое сопровождение клиента, но и помогает изначально в подборе
оптимальной для клиента продукции. Сотрудники компании регулярно повышают свою
квалификацию на предприятиях европейских партнеров-поставщиков, с целью
обеспечить высокий уровень консультаций по продукции и технологиям ее внедрения
на предприятиях наших клиентов. Численность команды ОАО «ДМЗ» расширяется с
каждым годом, около ста квалифицированных специалистов прилагают все свои
усилия для удовлетворения нужд клиентов.
Текущий ассортимент складской программы ОАО «ДМЗ» расширяется в
зависимости от развития рыночного спроса и спроса клиентов компании.
До кризиса спрос на кровельные материалы на российском рынке значительно
превышал предложение. По оценкам ABARUS Market Research, объем рынка кровельных
материалов в России превысил 1 млрд. м² в 2007-2008 гг. Наращивание
производственных мощностей многих производителей, а также увеличение импорта
кровельных материалов в предкризисный период сглаживали острый дефицит, но
стали серьезной проблемой во время кризиса, когда спрос упал. Мощности стали
простаивать, импорт резко сократился.
Таблица 2.2. Динамика рыночных сегментов основных видов кровельных
материалов в 2000-2010 гг., млн. м²
Падение рынка кровельных материалов в 2009 году составило 25,5%.
Фактически рынок вернулся к уровню 2005 года. В 2011 году произошло
незначительное улучшение рыночной конъюнктуры. По сути, объем рынка по итогам
года был таким же, как и в 2009 году. Оживление заметно лишь в сегменте
индивидуального строительства. Именно поэтому восстанавливаются быстрее всего
продажи профнастила и металлочерепицы, а также других, более дорогих
материалов. Шифер стоит на месте. А сегмент мягкой кровли продолжает снижаться.
Это главным образом связано с сокращением в 2011 году объектов жилого
многоэтажного и коммерческого строительства (плоские крыши) на стадии
возведения под кровлю.
Рис.2.2.
Общая динамика рынка кровельных материалов в 2000-2010 гг., млн. м² и %
Рис.
2.3. Динамика соотношения доли материалов для скатных и плоских крыш в
2000-2010 гг., %
Если
попытаться оценить изменение долей отдельных видов кровельных материалов в
общем объеме рынка за прошедшие 10 лет, то структура распределения будет
выглядеть примерно следующим образом. Ведущим сегментом рынка является
профнастил и кровельное железо. По-прежнему достаточно большой объем приходится
на традиционный шифер, несмотря на снижение его популярности, которое отмечают
специалисты рынка. По всем признакам, в дальнейшем эта доля будет снижаться, и
на второе место в ближайшие годы выйдет металлочерепица.
Рис.
2.4. Соотношение отдельных видов кровельных материалов в общем объеме
кровельных покрытий для скатных крыш в 2000 г., %
Самый
сильный потенциал развития принадлежит металлочерепице - более «изощренного»
варианта металлической кровли по сравнению с профнастилом. В 2000 г. эта доля
колебалась на уровне 1-2%, но за 10 лет выросла до 40%. Такая резкая разница
объясняется в том числе и сокращением доли шифера.
Кровли
из цветных металлов включены в данную структуру с приблизительным объемом по
причине отсутствия точных данных.
Рис.2.5.
Соотношение отдельных видов кровельных материалов в общем объеме кровельных
покрытий для скатных крыш в 2012 г., %
На
кровельные профилированные листы в 2000 г. приходилось около 8%. В 2012 году
это уже более 10%. Подразумевается, что в объем профнастила и металлочерепицы
входит фальцевая кровля и другое кровельное железо, поэтому точное
распределение сил между этими двумя сегментами может быть немного иным
(например, доля металлочерепицы может быть меньше, а профнастила - больше). В
целом по металлической кровле точный подсчет осуществить затруднительно по
причине многообразия стального проката для разных строительных целей.
Таблица 2.3. Характеристика отдельных видов кровельных материалов в общем
объеме кровельных покрытий
|
Кровельный сегмент
|
Материал
|
Преимущественная сфера
применения
|
Объем рынка (млн. кв. м)
|
Доля рынка
|
Доля в общем объеме скатных
крыш (%)
|
Рыночная характеристика
|
|
Мягкая рулонная кровля
|
Рубероид и другие рулонные
битуминозные материалы
|
Многоквартирное
домостроение, промышленные и социальные объекты
|
560
|
38,5
|
-
|
Рост - 4-5%
|
|
Листовая кровля
|
Кровельное железо и
профнастил
|
Многоквартирное и частное
домостроение и промышленные объекты
|
70 (КЖ) + 80 (ПН) = 150
|
10,3
|
16,8
|
Рост - 15% в год
|
|
Металлочерепица
|
частное домостроение
(нижний и средний ценовой сегмент)
|
50
|
3,4
|
5,6
|
Средние темпы роста
|
|
Асбестоцементные листы
(шифер)
|
Многоквартирное и частное
домостроение (нижний ценовой сегмент)
|
645
|
44,4
|
72,2
|
Стабильный рынок
|
|
«Еврошифер» и его аналоги
|
Частное домостроение
(средний ценовой сегмент) и промышленное строительство
|
40
|
2,8
|
4,5
|
Средние темпы роста -
10-11%
|
|
Черепичная кровля (штучная)
|
Битумная черепица
|
Загородное домостроение
(средний ценовой сегмент)
|
7
|
0,5
|
0,8
|
Высокие темпы роста
|
|
Керамическая черепица
|
Загородное домостроение
(верхний ценовой сегмент)
|
1,9
|
0,1
|
0,2
|
Рост - 10%
|
В целом можно сказать, что ситуация на рынке кровельных материалов может
быть оценена как динамичная (за исключением сегментов рулонных кровельных
материалов и традиционного шифера, динамика которых в ближайшее время будет
стабильной или с небольшим ростом, но с долгосрочным прогнозом к понижению). С
ростом благосостояния населения наиболее высокие уровни спроса демонстрируют
экологичные, качественные и дорогие материалы (керамическая черепица, битумные
листы, т. е. «еврошифер»). Перспективы для дальнейшего развития выглядят
благополучными, некоторые сегменты вытесняют импорт.
Среди основных тенденций предкризисного периода можно отметить:
* Увеличение спроса потребителей на кровельные материалы более дорогих
классов
* Увеличение спроса на металлическую кровлю
* Сокращение спроса на асбестоцементные покрытия
* Сокращение спроса на традиционные битумные материалы в устройстве
скатных крыш
* Рост цен в сегментах, испытывающих наибольшее расширение
* Рост концентрации рынка, усиление позиций крупных компаний.
На сегодняшний день в столице насчитывается порядка десяти - пятнадцати
крупных предприятий на рынке, среди которых наиболее преуспевающими являются:
· ОАО “ТехноНИКОЛЬ”
· ОАО «Оргкровля»
· ОАО «Мягкая кровля»
· ОАО “Овелоне”
· ОАО «Ай-Си-Ти»
· ЗАО “Полимеркровля”
Им принадлежит около 25-31% рынка. На долю прочих участников приходится
почти 70% рынка.
Таблица 2.4. Концентрация рынка
|
2011 год
|
2012 год
|
|
10 предприятий лидеров
|
33,5%
|
42,4%
|
|
20 предприятий лидеров
|
48,8%
|
56,8%
|
|
50 предприятий лидеров
|
64,4%
|
72,6%
|
|
100 предприятий лидеров
|
77,0%
|
83,5%
|
Темп роста отрасли. В среднем темпы роста рынка составляет 4,3%.
Рентабельность отрасли. Рентабельность рынка экспертами оценивается в
17%.
Коэффициент концентрации «доли четырех» в разряде крупных производителей
отражен в таблице 2.5.
Таблица 2.5. Коэффициент концентрации «доли четырех»
|
Компания
|
Доля рынка
|
|
ОАО “ТехноНИКОЛЬ”
|
8%
|
|
ЗАО «ПОЛИМЕРКРОВЛЯ»
|
7%
|
|
ОАО «Оргкровля»
|
4%
|
|
ОАО «Мягкая кровля»
|
4%
|
|
ОАО «Ай-Си-Ти»
|
3%
|
СН4 = d1 + d2 + d3 + d4= 15% + 8% + 4,1% +3%= 30,1%,
отсюда можно сделать вывод о том, что на рынке работает очень большое
число предприятий, предлагающих одинаковые товары - чистая конкуренция.
Индекс рыночной концентрации Херфиндела - Хиршмана отражен в таблице 2.6.
Таблица 2.6. Индекс рыночной концентрации Херфиндела - Хиршмана
|
Компания
|
Доля рынка
|
Квадрат доли рынка
|
|
ОАО “ТехноНИКОЛЬ”
|
8%
|
5,29
|
|
ЗАО «ПОЛИМЕРКРОВЛЯ»
|
64
|
|
ОАО «Оргкровля»
|
4%
|
225
|
|
ОАО «Мягкая кровля»
|
4%
|
0,49
|
|
ОАО «Ай-Си-Ти»
|
3%
|
16,81
|
N
ННI = ∑(di×100%)2, где
i=1
- порядковый номер предприятия;- доля рынка предприятия I (выраженная в
долях);- общее количество предприятий, работающих на сегменте.
ННI ≈ 310%, отсюда можно сделать вывод о том, что на рынке работает
очень большое число предприятий, предлагающих одинаковые товары - чистая
конкуренция.
Концентрация продаж:
Спрос на рынке подвержен сезонным колебаниям.
Рыночная ориентированность отрасли. Рынок ориентирован на внешний и
внутренний рынок.
Структура отраслевых затрат. Рынок является ведущим на затраты
высококвалифицированного персонала.
Доля ОАО «ДМЗ» на рынке на начало 2013 года составляет менее 1%
Проведенный анализ деятельности в ОАО «ДМЗ» позволил выявить следующие
достоинства:
наличие постоянной складской программы;
компетентность сотрудников, техническая помощь, обучение работе с
материалами для клиентов.
удобное расположение.
Обобщенно результаты оценки рыночных позиций компании представлены в
табл.2.7.
Таблица 2.7 Матрица стратегического SWOT-анализа проведенного на
материалах ОАО «ДМЗ»
|
Внешняя среда
|
Внутренняя среда
|
|
Возможности
|
Преимущества
|
|
Выход на новые рынки -
47,3% Использование собственных финансовых ресурсов для реализации стратегий
- 25,4% Получение поддержки администрации района - 14%
|
Благоприятный
психологический климат в коллективе - 32,5% Высокопроизводительное и
качественное оборудование - 12% Квалифицированный руководящий персонал - 25%
|
|
Угрозы
|
Недостатки
|
|
Невысокий платежеспособный
спрос населения региона- 57,5% Неразвитость инфраструктуры в регионе - 14,8%
Угроза банкротства - 15,7% Ухудшение экономической ситуации в стране и
регионе - 38,7% Низкая вероятность выиграть новый муниципальный конкурс - 34%
|
Экспансия китайский
производителей - 12% Срыв договоров с поставщиками и подрядчиками, особенно в
сфере логистики - 19%
|
анализ показал, что к числу сильных сторон ОАО «ДМЗ» в настоящее время
относится благоприятный психологический климат в коллективе и его
подразделениях, использование в производстве модернизированного современного
оборудования, достаточное количество финансовых ресурсов для реализации
стратегий компании, к слабым - неэффективная система управления затратами производства,
неэффективные отношения с подрядчиками, достаточно иммобильная организационная
структура.
В числе негативных факторов работники предприятия называют сложности с
закупками, неразвитость инфраструктуры региона, что сокращает возможности
транспортировки, хранения продукции. Среди возможностей внешней среды
отмечаются перспективы получения государственной поддержки, расширение рынков
сбыта, среди угроз - расширение деятельности корпораций на территории
деятельности предприятия, неопределенность макроэкономической ситуации в стране
и регионе.
2.3 Анализ организации и эффективности маркетинговой
деятельности ОАО «ДМЗ»
Несмотря на то, что маркетинговый бюджет увеличивается из года в год,
маркетингового отдела на ОАО «ДМЗ» как такового не существует. Всеми функциями
маркетинга заведует начальник отдела сбыта.
Структура отдела сбыта ОАО «ДМЗ» построена по товарному принципу. По
каждому направлению выделен начальник по сбыту и 3 - 4 менеджера по сбыту.
Такая организационная структура в компании сформировалась относительно недавно,
до этого организационная структура была построена по функциональному принципу.
Рассмотрим деятельность компании в отношении комплекса маркетинг-микс по
его элементам.
.Товар. Кровельные материалы. Рассмотрим структуру товара по трехуровневой
модели Котлера.
товар по замыслу: материал для покрытия кровли.
товар в реальном исполнении: разновидности кровельных покрытий в разном
технологическом, цветовом, ценовом решении.
товар с подкреплением: монтаж кровли, производство под заказ.
.Продвижение.
Для привлечения внимания покупателей ОАО «ДМЗ» очень широко использует
рекламную деятельность. Особое значение придается следующим аспектам:
) Внутрифирменная реклама. В ее задачи входит создание у своих
сотрудников веры в свое предприятие, и чувства тесной взаимосвязи с его
положением. Элементами маркетинга являются такие факторы как внешний облик
предприятия и его сотрудников, голос секретаря по телефону, название товара,
качество обслуживания клиентов.
) Реклама в целях расширения сбыта. По рекламе можно определить насколько
гибким является предприятие, как быстро оно способно реагировать на изменения
рынка. Форма и методы использования маркетинга настолько многообразны, что
сделать какие-то выводы о ее специфических качествах довольно непросто.
Эффективность, конкретность и доступность маркетинга и информации
достигается правильно избранной стратегией и тактикой рекламной деятельности
фирмы, раскрывающей ее возможности.
В качестве наиболее эффективных каналов распространения маркетинга в
компании ОАО «ДМЗ» рассматриваются следующие:
телереклама;
реклама в Internet;
печатная рекламная продукция;
наружная реклама;
. Реклама на телевидении.
Компанией ОАО «ДМЗ» были созданы 15-секундные рекламные ролики, которые
выходили в эфир каждый день в одно и тоже время на протяжении 3 месяцев.
. Реклама в компьютерных сетях (Internet).Данная реклама является очень
эффективной при ее невысоких стоимостях по сравнению с другими видами
маркетинга. Все провайдеры (“поставщики” Internet) дают возможность
организовать свою “страничку” (Web-сайт) в глобальной гипертекстовой
информационной системе.
У компании ОАО «ДМЗ» есть свой сайт в Интернете. Он используется не
только как еще один рекламный проспект с картинками, но и как инструмент
позволяющий упростить общение с клиентом. На сайте предприятия можно
познакомиться с историей фирмы, перечнем ее услуг и ценами, сборником
нормативно-правовых актов.
.Печатная рекламная продукция (листовки).
Для посетителей имеется целый набор рекламной печатной продукции:
Буклеты - специальные издания, посвящены нашей фирме и ее товарам.
Каталоги - печатные издания, рекламирующие большой перечень товаров и
услуг с краткими пояснениями и ценами.
Прайс-лист - перечень товаров и цен на них. Без иллюстраций
. Наружная реклама.
Наружная реклама - вся реклама организации на улицах, на площадях городов
и населенных пунктов. К ней относятся рекламные щиты на улице, в метро,
плакаты, реклама на транспорте. Цель наружной маркетинга заключается в
напоминании. Ее особенность в мгновенном восприятии. Наружная реклама -
является одним из элементов маркетинга ОАО «ДМЗ». Особенности «наружки»: ее
видят, проезжая или проходя по улице, одномоментно. Отсюда - требования
особенной яркости и увеличенных размеров, четкости и броскости рекламных
текстов.
Ежегодно ОАО «ДМЗ» участвует в международных промышленных выставках,
имеет постоянные экспозиции на российских выставках «ВВЦ», «Крокус-Экспо» в г.
Москве.
Показатели использования рекламных средств ОАО «ДМЗ» за 2012 год
представлены на рис.2.6.
.наружная реклама; 4.выставки, презентации
.телереклама; 5.печатная реклама;
.промо-акции; 6. реклама в Internet;
Рис.2.6. Показатели использования рекламных средств ОАО «ДМЗ» за 2012 год
Из диаграммы видно, что ОАО «ДМЗ» большую часть своих средств вкладывает
в наружную рекламу и в телерекламу, это объясняется тем, что этот медиаканал
самый «дорогой» и самый эффективный из всех. Другие основные показатели
использования рекламных средств можно оценить исходя из данных диаграммы.
.Цена. Компания является производителем, что позволяет ей предоставлять
товар по ценам ниже, чем у конкурентов и дилеров. Ценовая стратегия- ориентация
на реальные издержки и ориентация на конкурентов. Для потребителя действует
система скидок по размеру партии и в сезон.
.Сбыт.
Канал сбыта- прямой, компания производит товар и напрямую поставляет его
потребителю.
Оценка и контроль за эффективностью организации маркетинга ОАО «ДМЗ»
позволяет:
·
получить
информацию о целесообразности функционирования данной службы;
·
выявить
результативность организации маркетинга;
·
определить
условия оптимального воздействия маркетинговых мероприятий на потенциальных
потребителей.
В данном случае мы сопоставляем полученный эффект от организации
маркетинга ОАО «ДМЗ» с затратами на его осуществление. Результаты такого
соотношения могут выражаться в трех вариантах:
.Эффект от организации маркетинга равен затратам.
.Эффект от организации маркетинга больше затрат (прибыльное).
.Эффект от организации маркетинга меньше затрат (убыточное).
Эффективность организации маркетинга - это отношение полученной прибыли
от организации маркетинга к затратам. Она определяется по формуле:
Р = (П*100) \ U
где Р - эффективность организации маркетинга, %;
П - прибыль, полученная от маркетинговых мероприятий, руб.;- затраты на
организацию маркетинга, руб.
Для определения динамики эффективности организации маркетинга Для
определения динамики эффективности организации маркетинга первоначально
проанализируем расходы на организацию маркетинга, осуществленные ОАО «ДМЗ» в
2009-2012 гг. (табл.2.8).
Из данных таблицы 2.8 следует, что общая сумма средств, направленных
предприятием ОАО «ДМЗ» на организацию маркетинга и проведение рекламных
мероприятий, составило 235 млн. руб. в 2009г., а планируемые суммы на 2011-2012
гг. составят: 329 млн. руб. в 2011г., 624,0 млн. руб. в 2012г., т.е. увеличение
суммы расходов на организацию маркетинга составило 389 млн. руб., темп роста
расходов - 265,53%.
Таблица 2.8. Расходы на организацию маркетинга, осуществленные ОАО «ДМЗ»
в 2009-2012 гг.
|
Вид расходов
|
Расходы на организацию
маркетинга, млн. руб.
|
|
2009 г.
|
2011 г.
|
2012 г.
|
|
план
|
факт
|
% к плану
|
план
|
факт
|
% к плану
|
план
|
факт
|
% к плану
|
|
Организационные расходы
|
58,61
|
65
|
110,9
|
81,88
|
91
|
111,1
|
125,68
|
140
|
111,4
|
|
Public Relation
|
39,69
|
39
|
98,26
|
55,05
|
54,6
|
99,18
|
102,68
|
100
|
97,39
|
|
Sales Promotion
|
49,89
|
49
|
98,22
|
69,34
|
68,6
|
98,93
|
131,67
|
130
|
98,73
|
|
Реклама
|
77,8
|
82
|
105,4
|
108,9
|
114,8
|
105,4
|
236,77
|
254
|
107,3
|
|
Итого
|
225,99
|
235
|
103,99
|
315,2
|
329
|
104,4
|
596,8
|
624
|
104,6
|
Рассмотрим динамику организационных расходов. За рассматриваемый период
сумма организационных расходов ОАО «ДМЗ» увеличиться на 75 млн. руб. (с 65 млн.
руб. в 2009 г. до 140 млн. руб. в 2012 г.), что в динамике составит 215,38%.
Общая сумма расходов, направленных ОАО «ДМЗ» на Public Relation, в 2012г.
составит 100 млн. руб., увеличившись по сравнению с 2009г. на 61 млн. руб. или
на 156,41%. Мероприятий Sales Promotion было проведено на 49 млн. руб. в
2009г., 68,6 млн. руб. в 2011г., 130 млн. руб. в 2012г., т.е. общее увеличение расходов
на Sales Promotion составило 81 млн. руб. или 265,31%.
Эффективным средством маркетинга ОАО «ДМЗ» зарекомендовала себя реклама в
городских СМИ. За рассматриваемый период на эти цели было выделено 82 млн. руб.
в 2009г., и планируется 114,8 млн. руб. в 2011г., 254,0 млн. руб. в 2012г.,
т.е. абсолютное увеличение составит 172 млн. руб.; темп роста расходов на
рекламу - 309,76%. Сумма средств, направленных на изготовление календарей,
плакатов, карт Москвы составила за рассматриваемый период соответственно: 50
млн. руб. в 2009г., 70 млн. руб. в 2011г., 194 млн. руб. в 2012г., т.е.
увеличилась на 144 млн. руб. или на 288%.
На рекламные проспекты, папки, бланки, визитки ОАО «ДМЗ» было потрачено
32 млн. руб. в 2009г., и планируется 44,8 млн. руб. в 2011г, 60,0 млн. руб. в
2012г., т.е. на 28 млн. руб. больше. Динамика данной статьи расходов на рекламу
составила 187,5%.
Из представленной информации следует вывод о большом удельном весе
расходов на рекламу за рассматриваемый период: в 2009 г. 34,89% общей суммы расходов
на организацию маркетинга, в 2011г. - 34,87%, в 2012г. - 40,71%, что связано с
повышением эффективности маркетинга по сравнению с другими маркетинговыми
мероприятиями.
Также большой удельный вес в общей сумме расходов на организацию
маркетинга составляют организационные расходы: в 2009г. - 27,66%, в 2011г. -
27,67%, в 2012г. - 27,67% общей суммы ОАО «ДМЗ» на организацию маркетинга.
Далее проанализируем доходы от организации маркетинга ОАО «ДМЗ» за период
2009 и планируемые доходы на период 2011-2012 гг. (таблица 2.9); рассчитывается
приближенно как результат реализации рекламных мероприятий, зафиксированный в
короткие сроки после их проведения).
Таблица 2.9. Доходы от организации маркетинга ОАО «ДМЗ» в 2009-2012 гг.
|
Вид доходов
|
Доходы от организации
маркетинга, млн. руб.
|
Отклонение, 2012-2009 гг.
|
Темп роста, 2012г. отн.
2011г.,%
|
|
2009 г.
|
2011 г.
|
2012 г.
|
|
|
|
Организационные доходы
|
315
|
326
|
495
|
180
|
157
|
|
Public Relation
|
106
|
144
|
269
|
163
|
254
|
|
Sales Promotion
|
314
|
450
|
1007
|
693
|
321
|
|
Реклама
|
381
|
556
|
1157
|
776
|
304
|
|
ИТОГО
|
1116
|
1476
|
2928
|
1812
|
262
|
Из данных аналитической таблицы 2.9 следует, что общая сумма доходов,
полученных ОАО «ДМЗ» от организации маркетинга и проведения рекламных
мероприятий, составила 1116 млн. руб. в 2009г., и планируемые 1476 млн. руб. в
2011г., 2928 млн. руб. в 2012г., т.е. увеличение суммы доходов от организации
маркетинга составило 1812 млн. руб., темп роста доходов - 262%.
Рассмотрим динамику организационных доходов. За рассматриваемый период
сумма организационных доходов ОАО «ДМЗ» увеличилась на 180 млн. руб. (с 315
млн. руб. в 2009г. до 495 млн. руб. в 2012 г.), что в динамике составило 157%.
Общая сумма доходов, полученных ОАО «ДМЗ» от Public Relation, в 2012г.
составила 269 млн. руб., увеличившись по сравнению с 2009г. на 163 млн. руб.
или на 154%.
От Sales Promotion было получено 314 млн. руб. в 2009г., 450 млн. руб. в
2011г., 1007 млн. руб. в 2012г., т.е. общее увеличение доходов составило 693
млн. руб. или 221%.
За рассматриваемый период было получено доходов от рекламной деятельности
381 млн. руб. в 2009г., 556 млн. руб. в 2011г., 1157 млн. руб. в 2012г., т.е.
абсолютное увеличение составило 776 млн. руб.; темп роста данной статьи доходов
- 304%.
Проанализируем динамику эффективности рекламных мероприятий,
осуществленных ОАО «ДМЗ» в 2009-2012гг (таблица 2.10).
Графическая интерпретация таблицы 2.10 представлена на рис.2.7-2.9.
Таблица 2.10. Эффективность рекламных мероприятий, осуществленных ОАО
«ДМЗ» в 2009-2012 гг.
|
Вид мероприятия
|
Эффективность рекламных
мероприятий, %
|
Отклонение, 2012-2009 гг.
|
Темп роста, 2012г. отн.
2011г.,%
|
|
2009 г.
|
2011 г.
|
2012 г.
|
|
|
|
Организационные мероприятия
|
384,62
|
258,24
|
253,57
|
-131,05
|
65,93
|
|
Public Relation
|
221,21
|
211,69
|
169
|
-52,21
|
76,4
|
|
Sales Promotion
|
470,91
|
484,42
|
674,62
|
203,71
|
143,26
|
|
Реклама
|
344,63
|
384,32
|
355,51
|
11
|
103,2
|
|
ИТОГО
|
166,35
|
151,62
|
369,23
|
202,88
|
221,96
|
Рис.2.7. Эффективность организации маркетинга ОАО «ДМЗ», 2009г.,%
Рис.2.8. Эффективность организации маркетинга ОАО «ДМЗ», 2011г.,%
Рис.2.9. Эффективность организации маркетинга ОАО «ДМЗ», 2012г.,%
Эффективность организационных мероприятий в целом за рассматриваемый
период сократилась на 131,05% (384,62% в 2009г. и 253,57% в 2012г.) Темп роста
эффективности организационных мероприятий составил за период 65,93%.
Значительное влияние на это оказала новая тарифная политика ОАО «ДМЗ».
Также на основе данных таблицы обнаружено общее снижение эффективности
Public Relation, что обусловлено небольшой емкостью рынка региона.
Среди применяемых средств маркетинга рассматриваемой организации особое
увеличение эффективности обнаружили мероприятия Sales Promotion: 470,91% в 2009
г., 484,42% в 2011 г., 674,62% в 2012г, т.е. на 203,71% выше; в динамике -
143,26%.
Общая эффективность маркетинга ОАО «ДМЗ» составила за рассматриваемый
период: 344,63% в 2009 г., 384,32 в 2011 г., 355,51 в 2012 г., т.е. увеличилась
на 11% или 103,9% в динамике.
Таким образом, итоговая эффективность организации маркетинга ОАО «ДМЗ»
составила в 2011 году - 116,35% в 2009г., 151,62% в 2011г., 369,23% в 2012г.,
т.е. увеличилась на 202,88% (в динамике - 221,96%).
Проведенный анализ организации сбытовой и маркетинговой деятельности в
ОАО «ДМЗ» позволил выявить следующие проблемы и недостатки:
излишняя бюрократия (трудно поучить отсрочку, решить вопрос о срочной
отгрузке и т.п. - необходимо получить разрешение финансовой службы и
коммерческого директора в программе);
менеджеры по продажам недовольны заработной платой, из-за этого многие
хорошие специалисты с опытом уходят. Мотивация от выполнения плана.
Планирование сверху вниз. Корректирование планов происходит очень редко.
практически не проводятся маркетинговые исследования.
не налажена коммуникация между отделом закупок и отделами продаж.
На основе вышеизложенного можно систематизировать и представить возможные
пути совершенствования общей маркетинговой стратегии предприятия ОАО «ДМЗ» и
организации службы маркетинга (таблица 2.11).
Таблица 2.11. Совершенствование организации маркетинга ОАО «ДМЗ»
|
Направление
|
Важнейшие проблемы
|
Рекомендуемые действия
|
|
Исследование рынка
|
Плохая система внутренней
информации Недостаток информации о рынке Недостаток информации о потребителях
|
Создать отдел исследования
рынка на уровне бизнес-единицы
|
|
Разработка новых видов
работ и услуг
|
Разработка, ориентированная
на технологические возможности, а не на предпочтения клиента Недостаток
обмена информацией между разработчиками
|
Ввести новый процесс
реализации работ и услуг, который обеспечивал бы интегрирование результатов
изучения потребителей и координацию работы отделов
|
|
Сбыт и дистрибуция
|
Разрушение старых каналов
сбыта Контролирование отделом сбыта всего сбыта работ и услуг Ограничение
работы отдела сбыта пассивным приемом заказов
|
Создать эффективную систему
сбыта и дистрибуции в бизнес-единице
|
|
Назначение цен
|
Цены на основе затрат, а не
информации о рынке Слишком низкие цены, чтобы приносить прибыль Цены, не
различающиеся в зависимости от положения на местном рынке Корректировка цен
отстает от инфляции
|
Ввести новый механизм
ценообразования
|
|
Транспортное обслуживание
|
Медленное обслуживание
|
Создать собственную
транспортную базу доставки
|
|
Реклама
|
Недостаток
информированности потенциальных потребителей о существовании работ и услуг и
их уникальных свойствах Недостаточное качество полиграфической продукции
|
Создать отдел маркетинга
для улучшения информационного воздействия на покупателей; при необходимости
привлекать к работе агентства
|
Таким образом, цель совершенствования организации маркетинга ОАО «ДМЗ» в
том, чтобы, используя лучшие отечественные и мировые традиции, создать такую
организационную систему взаимоотношений ОАО «ДМЗ» и потенциальных пользователей
работ и услуг, которая могла бы гибко, оперативно реагировать на все тенденции
в развитии потребительского спроса, предлагая конкретные виды работ и услуг
конкретным клиентам, сохранив доступность работ и услуг для самых различных
слоёв населения, независимо от возраста, рода занятий, получаемых доходов и
других факторов.
Глава 3.
Разработка предложений по оптимизации маркетинговой деятельности в ОАО «ДМЗ»
3.1 Оптимизация организационной структуры службы маркетинга
конкурентоспособность сбыт управление маркетинг
Приведем потенциальные цели маркетинговой политики ОАО «ДМЗ».
. Краткосрочная цель: Увеличить объем продаж
. Среднесрочная цель: Расширить рынок сбыта предприятия за счет выхода на
региональные рынки.
. Долгосрочная цель: Выйти с новой продукцией на рынки РФ.
Целью деятельности ОАО «ДМЗ» в области маркетинга должны стать:
увеличение объема продаж продукции;
создание долговременного положительного образа предприятия;
расширение рынка сбыта продукции.
Задачами маркетинга являются:
. Информирование о продукции ОАО «ДМЗ», ее свойствах, цене, месте
приобретения;
. Формирование образа ОАО «ДМЗ»;
. Поддержание осведомленности о продукции и о компании;
. Формирование предпочтения к марке ОАО «ДМЗ».
В качестве основного пути совершенствования маркетинговой деятельности
можно предложить реорганизацию сложившейся структуры управления компаний.
Проблемы, выявленные в ходе анализа маркетингового потенциала ОАО «ДМЗ»,
свидетельствуют о том, что дальнейшее развитие маркетинговой деятельности
требует реорганизации сложившейся структуры маркетинга.
В соответствии с вышесказанным наиболее целесообразным управленческим
решением в данной ситуации для ОАО «ДМЗ» будет создание собственной
маркетинговой службы, со следующим набором функций и задач (Приложение 3).
Рассмотрим данную проблему с точки зрения ее реализации в сложившейся
ситуации. Наиболее целесообразным будет подчинение начальника маркетинговой
службы напрямую генеральному директору, а также координация функций службы
маркетинга с отделом сбыта и отделом продаж, складом. При этом в функции службы
маркетинга должно входить следующее:
·
разработка и
реализация рекламных компаний;
·
поиск новых форм
обслуживания потребителей;
·
разработка
различных вариантов работ и услуг;
·
оптимизация
портфеля снабжения по критерию цена/качество.
В соответствии с изложенными функция структура маркетинговой службы
должна представлять собой одноуровневый отдел и включать следующих сотрудников
(рис.3.1).
Рис.3.1. Состав предлагаемой службы маркетинга ОАО «ДМЗ»
Сотрудники, по нашему мнению, должны выполнять следующие функции:
. Агенты (6 человек):
·
анализируют
качество аналогичных работ и услуг на рынках;
·
заключают
договора с потребителями.
2. Специалист по исследованиям рынка (3 человека):
·
исследует процесс
работ;
·
исследует
конкурентов (на основе отчетов аналитика);
·
исследует
потребителей;
·
проводит
"устный" опрос;
·
проводит опросы
техническими средствами;
·
совместно с
руководителем определяет размер и направления расходования средств для
проведения исследований;
·
исследует новые и
перспективные работы и услуги.
3. Аналитик (2 человека):
·
проводит
ежедневный сбор и анализ всех видов информации в том числе: внутренней
первичной и вторичной информации (объемы продаж работ и услуг, ассортимент и
т.д.); внешней первичной и вторичной информации (информация о конкурентах,
новых работах и услугах, о конъюнктуре рынка); приводит информацию в формализованный
вид;
·
формирует отчеты
по следующим направлениям: оперативная информация; тактическая информация;
стратегическая информация;
·
определяет размер
и направления расходования средств для получения необходимой информации.
4. Специалист по рекламе и PR (5 человек):
·
определяет цели и
задачи маркетинга в конкретных ситуациях;
·
организует
рекламную деятельность;
·
определяет размер
и направления расходования средств для осуществления рекламной деятельности;
·
выбирает средства
и методы маркетинга;
·
готовит
содержательную часть маркетинга;
·
координирует
рекламную деятельность;
·
измеряет и
контролирует эффективность маркетинга.
В соответствии со своими обязанностями каждый из сотрудников
маркетинговой службы составляет план работ, утверждает его у руководителя, а
затем начинает претворять в жизнь.
Смысл предлагаемого нами применения организационной структуры заключается
в том, чтобы обеспечить координацию усилий всех подразделений предприятия по
достижению конкретной цели: производство конкурентоспособных работ и услуг,
удовлетворяющих потребности клиентов лучше, чем продукция конкурентов.
Предприятие в этом случае не просто пассивно реагирует на рыночные изменения, а
проводит продуманную, скоординированную политику завоевания рынка, с одной
стороны, приспосабливая ассортимент работ и услуг к запросам потребителей, а с
другой - активно формируя потребности и спрос.
На наш взгляд, необходимо также составить примерную годовую смету
расходов на функционирование маркетинговой службы ОАО «ДМЗ» (таблица 3.1).
Таблица 3.1. Основные затраты на создание и функционирование
проектируемой маркетинговой службы ОАО «ДМЗ»
|
Вид затрат
|
Сумма, руб.
|
|
Закупка мебели и оргтехники
|
500 000
|
|
Зарплата в год
|
6 888 000
|
|
Агенты
|
|
Специалисты по исследованиям
рынков
|
30 000 * 3чел*12 = 1 080
000
|
|
Аналитики
|
37 000 *2чел*12 = 888 000
|
|
Специалисты по рекламе и PR
|
40 000 * 5 чел*12 = 2 400
000
|
|
Прочие затраты (переговоры,
электроэнергия и т. п.) в год
|
11800 * 12 = 141 600
|
|
Итого в год
|
7 529 600
|
Как показал расчет, общие годовые затраты составят примерно 300 000 дол.
США.
Это достаточно серьезная сумма, однако экономический эффект от создания
службы маркетинга многократно превысит затраты.
Проведем прогноз эффективности маркетинговых мероприятий и сравним с фактическими
значениями полученными в 2012 году (табл.3.2)
Таблица 3.2. Планируемая эффективность маркетинговых мероприятий,
осуществленных ОАО «ДМЗ» в 2013 гг. после создания подразделения маркетинговой
службы
|
Вид мероприятия
|
Эффективность маркетинговых
мероприятий, %
|
|
Факт 2012 г.
|
План 2013 г
|
|
Организационные мероприятия
|
253,57
|
310,11
|
|
Public Relation
|
169
|
220
|
|
Sales Promotion
|
674,62
|
809
|
|
Реклама
|
355,51
|
360
|
|
ИТОГО
|
369,23
|
1699,11
|
Вывод. Эффективность маркетинговых мероприятий после внедрения в
организационную структуру компании отдела маркетинга составит более 50%.
Таким образом, создание службы маркетинга можно признать целесообразным,
и рекомендовать руководству ОАО «ДМЗ» начать работу в данном направлении.
3.2 Совершенствование стратегического управления маркетингом
В качестве мероприятий по совершенствованию маркетинговой деятельности
можно предложить следующие:
1. Разработать систему регулярного проведения маркетинговых
исследований
2. Разработать систему для стимулирования сбыта
. Проведение маркетинговых исследований
В своей деятельности сотрудники отдела маркетинга компании должны
отдавать предпочтение, что обусловлено спецификой деятельности ОАО «ДМЗ»:
· Анкетирование - в 75% случаях;
· Фокус-группы - в 10% случаях;
· Опросы - в 10% случаях;
· Аудит точек продаж - в 5% случаях.
Анкеты готовятся сотрудниками службы маркетинга и представляют собой
открытый тип анкеты. Существенный недостаток данного метода, что разработанная
анкета используется для всех групп продукции компании. Т.е. она является универсальной
и уже долгое время не менялась.
Опросы должны проводятся также сотрудник5ами службы маркетинга.
Используются телефонные опросы среди клиентов компании, или опросы в торговых
центрах или точках, где выставлена продукция компании, непосредственно у
пользующихся ею клиентов.
Для использования метода фокус группы, сотрудниками проектируемого отдела
маркетинга, была проведена сегментация потенциальных клиентов.
Типичные клиенты ОАО «ДМЗ» - молодые мужчины и женщины (в возрасте до 35
лет) с высшим образованием, каждый второй - женат или замужем (рис.3.2-3.5).
Рис.3.2.
Потребитель услуг ОАО «ДМЗ» по полу
Рис.3.3.
Потребитель услуг ОАО «ДМЗ» по возрасту
Рис.3.4.
Потребитель услуг ОАО «ДМЗ» по образованию
Рис.3.5.
Потребитель услуг ОАО «ДМЗ» по семейному положению
Большинство
потребителей продукции клиентов ОАО «ДМЗ» изучаемого сегмента - люди
работающие. Чаще всего это специалисты с высшим образованием, каждый пятый
посетитель - менеджер высшего звена, а каждый четвертый - служащий
(рис.3.6-3.7).
Рис.3.6.
Потребитель услуг ОАО «ДМЗ» по занятости
Рис.3.7.
Потребитель услуг ОАО «ДМЗ» по должности
Ежемесячный
доход типичного потребителя ОАО «ДМЗ» составляет 1001 - 1500$ (рис.3.8).
Рис.3.8.
Потребитель услуг ОАО «ДМЗ» по уровню дохода
Таким
образом, целевой сегмент - мужчина (65%) среднего возраста (35-40 лет), офисный
работник, с ежемесячным доходом от 1000 долл.
Основная
цель финансовой политики ОАО «ДМЗ» достижения прироста прибыли за 1 год до 10%.
Достижения этой цели возможно на основании прогнозирование и планирование
доходов. Планирование доходов осуществляется исходя из двух возможных вариантов
развития событий: по оптимистическому и пессимистическому варианту.
Этап
1 - Определение потенциальной емкости рынка
Для
наиболее оптимального и реального определения емкости рынка Москвы на 2012 год
и соответственно доли компании на рынке и объемов продаж в абсолютном выражении
были использованы данные исследований РБК и других экспертов за ряд последних
лет и прогнозных значений на 2013 г.
Таблица
3.3. Определение потенциальной емкости рынка
|
год
|
Объемы рынка, млрд.руб.
|
% прироста в год
|
|
Сценарий 1
|
Сценарий 2
|
Сценарий 1
|
Сценарий 2
|
|
2012
|
15 500
|
14 734
|
15,3
|
19,8
|
|
Прогноз 2013
|
14 900
|
14 300
|
18,6
|
21,8
|
Итого общий прогноз емкости рынка:
· 2013 максимум - 15 млрд.руб., минимум - 14,7 млрд.руб.
· 2013 год: максимум - 14,9 млрд.$, минимум -14,3 млрд.$
· запланированный рост - 19%.
Этап 2. Методы оценки доли и абсолютной цифры продаж
Метод по определению доли компании от планируемой емкости рынка
(планируется рост доли рынка компании на 8-9% и превышение доли рынка в 19%).
Таблица 3.4. Методы оценки доли и абсолютной цифры продаж
|
год
|
Рынок, млрд.руб.
|
% прироста в год
|
Доля ОАО «ДМЗ»,%
|
Продажи ОАО «ДМЗ»,
тыс.руб.
|
|
1
|
2
|
1
|
2
|
1
|
2
|
1
|
2
|
|
2012
|
15 500
|
14 734
|
15,3
|
19,8
|
21
|
18
|
4 155 125
|
3 603 101
|
|
Прогноз 2013
|
14 900
|
14 300
|
18,6
|
21,8
|
22
|
19
|
4 016 006
|
3 590 244
|
Как видно из таблицы 3.4 при таком методе планирования общий объем продаж
зависит от общего объема рынка и доли исследуемой компании в нем. Планирование
продаж также осуществляется исходя из двух вариантов развития событий.
Этап 3. Метод определения доли компании по выручке с продавцов.
Таблица 3.5 Расчет доли компании по выручке с продавцов
|
Год
|
Продавцов
|
Выручка, руб. /прод.
|
Продажи ОАО «ДМЗ», тыс.руб.
|
|
1
|
2
|
1
|
2
|
1
|
2
|
|
2012
|
35
|
30
|
210 189
|
198 456
|
7 356 615
|
5 953 680
|
|
Прогноз 2013
|
30
|
25
|
200 134
|
199 234
|
6 004 020
|
4 980 850
|
Данный метод рассчитан исходя из расчетов количества продавцов и выручки,
полученной ими.
Этап 4. Метод определения доли компании по распродаваемости товаров.
Запланирован рост цены ресурса на уровне: 65-70% - оптимистичный
сценарий, 60-70% - пессимистичный сценарий - Приложение 4
Этап 5. Определение планируемого плана продаж на 2013 год на основании
методов планирования продаж.
Таким образом, в целом прогноз продаж на 2013 год по всем методам
представлен в таблице 3.6.
Таблица 3.6. Прогноз продаж на 2013 год
|
№
|
Метод
|
тыс.руб.
|
Общее среднее
|
|
|
Сценарий 1
|
Сценарий 2
|
|
|
1
|
Доля
|
4 016 006
|
3 590 244
|
3 803 125
|
|
2
|
Клиенты
|
4 696 456
|
4 060 586
|
4 378 521
|
|
3
|
На продавца
|
6 004 020
|
4 980 850
|
5 492 435
|
|
6
|
Среднее
|
4 395 805
|
3 916 792
|
4 156 299
|
|
7
|
Минимум
|
|
|
3 803 125
|
|
8
|
Максимум
|
|
|
5 492 435
|
|
9
|
Разница, %
|
|
|
30
|
|
10
|
Выбранное значение с учетом
поправочного коэфф.
|
|
|
5 403 188
|
В итоге абсолютная цифра продаж планируется на уровне 5 403 188 тыс.руб.
(с НДС и вознаграждением), что составляет около 3% от запланированной емкости
рынка.
Такой метод не совсем можно отнести к классическим методам маркетинговых
исследований. Данный метод совмещает в себе элементов маркетингового
исследования в части изучения рынка, доли компании на рынке, сегментации
клиентов и финансовых инструментов. В результате использования данного метода
позволит компании планировать свою деятельности а разрезе групп товаров и использования
различных методов воздействия на различные группы потребителей.
. Система стимулирования сбыта
Для продвижения продукции предприятия планируется
проводить активную рекламную кампанию, использовать средства стимулирования
сбыта и разработать систему скидок. В ОАО «ДМЗ» действует система скидок для
оптовиков. На предприятии действуют система накопительных скидок (таблица 3.7).
Таблица 3.7. Пример расчета накопительных скидок
|
Шкала скидок
|
Номер партии
|
Объем партии, руб.
|
Общая сумма закупок, руб.
|
Величина скидки за данную
партию, %
|
Величина скидки за данную
партию, руб.
|
|
до 1000 руб. - 0%
|
1
|
700
|
700
|
0
|
0
|
|
от 1001 руб. до 3000 руб. -
2%
|
2
|
1000
|
1700
|
2
|
20
|
|
от 3001 руб. до 5000 руб. -
3%
|
3
|
900
|
2600
|
2
|
18
|
|
от 5001 руб. до 10000 руб.
- 4%
|
4
|
1500
|
4100
|
3
|
45
|
|
свыше 10000 руб. - 5%
|
5
|
1200
|
5300
|
4
|
48
|
Накопительные скидки более сложны для расчета, но гораздо привлекательнее
выглядят для покупателей. Суть их заключается в том, что продавец, когда дает
скидку на очередную товарную партию, учитывает объем товара закупленного этим
же клиентом ранее. При выходе на новый накопительный рубеж покупателю
предоставляют увеличенный размер скидки, который учитывает общий объем
сделанных закупок. Однако предоставляется новая увеличенная скидка только на
последнюю партию товара
Таким образом, закупив в этом периоде товара на сумму 5300 рублей,
покупатель получил от предприятия скидки на общую сумму 131 рубль (20руб. + 18
руб. + 45 руб. + 48 руб.) или 2,5 процента (131 руб. / 5300 руб. * 100%).
В качестве совершенствования политики скидок исследуемому предприятию
можно предложить разработать шкалу скидок в зависимости от желаемого прироста
прибыли.
Для этого необходимо проделать следующие расчеты:
) определить начальный объем продаж, с которого начинаются скидки
(допустим, 75 000 рублей);
) установить приемлемую сумму маржи для каждого уровня скидки, которую
предприятие хотело бы получить;
) полученные объемы продаж для каждого уровня скидки можно округлить в
большую сторону до ближайшего круглого числа;
) обязательно проверить, насколько привлекательна для клиентов такая
шкала скидок.
В нашем случае торговая наценка равна 20%, получим следующую таблицу
(табл.3.8).
Таблица 3.8. Расчет шкалы скидок
|
Показатель
|
Величина скидки
|
|
0%
|
2%
|
4%
|
7%
|
10%
|
|
Желаемый прирост маржи
|
0
|
1000
|
2000
|
4000
|
6000
|
|
Требуемый объем продаж со
скидкой
|
60 000
|
73 500
|
90 947
|
134 690
|
216 000
|
|
Округленный объем продаж со
скидкой
|
-
|
75 000
|
95 000
|
135 000
|
220 000
|
|
Стоимость по прайс-листу
|
60000
|
75000
|
94737
|
144828
|
240000
|
|
Стоимость закупки
|
50 000
|
62 500
|
78 947
|
120 690
|
200 000
|
|
Маржа
|
10 000
|
11 000
|
12 000
|
14 000
|
16 000
|
Далее произведем расчет влияния рынков сбыта продукции на изменение
средней цены единицы продукции- “ Металлочерепица Вар.1, м2”
В связи с изменением рынков сбыта продукции средний уровень цены
“Металлочерепица Вар.1, м2” увеличился на 4 тыс. руб., а сумма прибыли - на 122
млн. руб. (4 тыс. руб. * 30500 шт.).
Таблица 3.9. Расчет влияния рынков сбыта продукции на изменение средней
цены единицы продукции - “Металлочерепица Вар.1, м2”
|
Рынки сбыта
|
Цена за шт. руб.
|
Объем реализации, шт.
|
Структура реализации, %
|
Изменение средней цены тыс.
руб.
|
|
|
план
|
факт
|
план
|
факт
|
+,-
|
|
|
Дешевый сегмент
|
670
|
16200
|
16775
|
60
|
55
|
-5
|
-33,5
|
|
Дорогой сегмент
|
750
|
8100
|
10675
|
30
|
35
|
+5
|
+37,5
|
|
Средний сегмент
|
730
|
2700
|
3050
|
10
|
10
|
-
|
-
|
|
Всего
|
-
|
27000
|
30500
|
100
|
100
|
-
|
+4,0
|
3.3 Экономическая эффективность внесенных предложений
Организационные этапы и работы, связанные с внедрением проектных решений
указаны в таблице 3.10.
Таблица 3.10. Перечень и содержание работ по внедрению проектных решений
|
Код работы
|
Наименование работы
|
Ответственный исполнитель
|
Продолжительность работы в
днях
|
|
0-1
|
Подготовка и издание
приказа о внедрении проекта
|
Генеральный директор
|
1
|
|
0-2
|
Формирование сметы затрат
на внедрение проекта
|
Бухгалтер
|
1
|
Разработка программы
внедрения проекта
|
Администратор
|
2
|
|
1-3
|
Формирование группы
исполнителей
|
Администратор
|
3
|
|
2-4
|
Разработка системы
стимулирование внедрения проекта
|
Администратор
|
3
|
|
3-4
|
Социально-психологическая
подготовка и обучение персонала
|
Начальник отдела кадров
|
2
|
|
3-5
|
Разработка рабочей
документации
|
Администратор
|
2
|
|
3-6
|
Материально-техническая
подготовка
|
Администратор
|
10
|
|
4-7
|
Разработка системы контроля
за внедрением проекта
|
Генеральный директор
|
3
|
|
5-6
|
Техническая подготовка
информационного обеспечения
|
Администратор
|
3
|
|
6-7
|
Проведение
экспериментальной проверки проектных предложений
|
Администратор
|
1
|
|
7-8
|
Контроль за внедрением
|
Генеральный директор
|
1
|
|
Итого
|
|
32
|
Как видно из таблицы, все работы по внедрению проекта должны быть
выполнены за 32 дня.
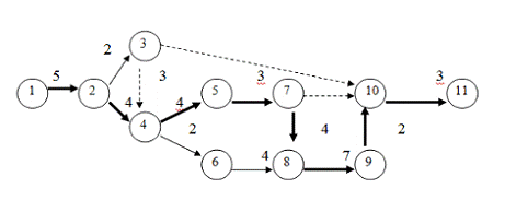
Рис.3.9. Сетевой план-график внедрения проектных мероприятий
Продолжительность критического пути Ткр. = 32 дня. Таким
образом, все работы по внедрению проекта должны быть проведены в течение 32
дней.
Произведем расчет эффективности проектных мероприятий, представленных в
дипломном проекте.
Таблица 3.11. Экономическая эффективность проектных мероприятий
|
Раздел
|
Экономический эффект,
тыс.руб.
|
Текущие затраты, тыс.руб.
|
Капитальные затраты,
тыс.руб.
|
ЧДД, тыс.руб.
|
ИД
|
Ток г.
|
|
Организационно-технологический
|
261
|
24
|
168
|
49
|
1,3
|
0,8
|
|
Организационно-экономический
|
993
|
1453
|
408
|
416
|
2,0
|
0,5
|
|
Безопасность и
экологичность
|
126
|
-
|
86
|
19
|
1,2
|
0,8
|
|
Итого:
|
1380
|
1477
|
662
|
484
|
|
|
Исходя из показателей экономической эффективности проектных мероприятий,
представленных в таблице 3.11, можно сделать вывод, что общий экономический
эффект составит 1380 тыс.руб., капитальные затраты на приобретение средств
труда, переналадку оборудования составят 662 тыс.руб., текущие затраты 1477
тыс.руб. Их величина обусловлена увеличившимся фондом заработной платы и
выплатами страховых взносов, включаемых в себестоимость. Индекс доходности
больше 1, учитывая инфляцию и риски, это свидетельствует о значительной
доходности проектных мероприятий. Срок окупаемости проекта 0,7 лет. Чистый
дисконтированный доход равен 484 тыс.руб.
Таблица 3.12. Влияние проектных мероприятий на доходы и чистую прибыль
|
Показатели
|
Условные обозначения
|
Анализ. период По
|
Проект. период П1
|
Абс. отклон. ∆Па=П1-По
|
Относ. отклон. ∆Па=П1/По,
%
|
|
1
|
Доходы (п.2.+п.3)
|
Д
|
462099
|
463929
|
+1830
|
100,4
|
|
2
|
Выручка от реализации
|
В
|
452891
|
454721
|
+1830
|
100,4
|
|
3
|
Прочие доходы
|
Впр
|
9208
|
9208
|
-
|
100,0
|
|
4
|
Расходы (п.5+п.6+п.7+п.8)
|
Р
|
431764
|
433803
|
+2039
|
100,5
|
|
5
|
Себестоимость проданных
товаров, продукции, работ, услуг в т.ч. по элементам затрат
|
Сп
|
349373
|
349465
|
+92
|
100,1
|
|
5.1
|
Материальные расходы
|
Мз
|
188661
|
188704
|
+43
|
100,1
|
|
5.2
|
Расходы по оплате труда
|
Фзп
|
62538
|
62538
|
-
|
100,0
|
|
5.3
|
Отчисления на социальные
нужды
|
От
|
18167
|
18167
|
-
|
100,0
|
|
5.4
|
Амортизация
|
А
|
29347
|
29347
|
+25
|
100,0
|
|
5.5
|
Прочие расходы в составе
элементов затрат
|
Пр
|
50660
|
50684
|
+24
|
100,0
|
|
6
|
Коммерческие расходы
|
Кр
|
24562
|
24562
|
-
|
100,0
|
|
7
|
Управленческие расходы
|
Ур
|
38195
|
40056
|
+1861
|
104,5
|
|
8
|
Прочие расходы
|
ПР
|
19634
|
19720
|
+86
|
100,4
|
|
9
|
Прибыль (убыток) до
налогообложения
|
П
|
28746
|
30126
|
+1380
|
104,8
|
|
10
|
Отложенные налоговые активы
|
ОНА
|
569
|
569
|
-
|
100,0
|
|
11
|
Отложенные налоговые
обязательства
|
ОНО
|
824
|
824
|
-
|
100,0
|
|
12
|
Налог на прибыль
|
Нп
|
5494
|
6025
|
+531
|
109,7
|
|
13
|
Чистая прибыль
|
ЧП
|
23252
|
24101
|
+849
|
103,7
|
Таблица 3.12 показывает, что наибольшую долю доходов составило увеличение
объемов реализованной продукции на 1830 тыс.руб., которое произошло в
результате внедренных мероприятий.
Заключение
В первой главе дипломной работы приведены
теоретические аспекты организации маркетинговой службы, системы управления
маркетингом.
Осуществление маркетинговой деятельности на
производственно-торговом предприятии требует создания такой организационной
структуры которая позволила бы реализовать весь комплекс маркетинга,
обеспечивающего проведение маркетинговых исследований по изучению перспектив
спроса, требований потребителей к качеству услуг, тенденций этих требований под
влиянием изменяющихся условий жизни.
Во второй главе, объектом исследования, стала
производственная компания ОАО «ДМЗ».
Здесь был проведен анализ основных технико-экономических показателей
работы компании. Так, ОАО «ДМЗ» в 2012 году стала постепенно справляться с
последствиями финансового кризиса, однако при этом ее финансовое состояние
нуждается в улучшении. В частности, ОАО «ДМЗ» необходимо повысить финансовую
устойчивость и ликвидность.
Также во второй главе рассмотрены особенности маркетинговой деятельности
компании. Определены функции и задачи сотрудников компании в части реализации
маркетинговых мероприятий. Так было установлено, что маркетингового отдела в
компании нет, а все функции выполняются отделом сбыта. Проведена оценка
расходной и доходной частей бюджета предприятия на маркетинговые мероприятия за
период 2009-2012 гг. Так, итоговая эффективность организации маркетинговых и
рекламных мероприятий ОАО «ДМЗ» составила в 2011 году - 116,35% в 2009г.,
151,62% в 2011г., 369,23% в 2012г., т.е. увеличилась на 202,88% (в динамике -
221,96%).
В качестве резервов совершенствования системы маркетинговой деятельности
в ОАО «ДМЗ» предложено:
. Новый метод проведения маркетинговых исследований в зависимости от
потенциальной емкости рынка. Планирование доходов по этому методу
осуществляется исходя из двух возможных вариантов развития событий: по
оптимистическому и пессимистическому варианту.
. Система стимулирования сбыта направлена на разработку новой более
эффективной системы скидок.
. В качестве основного пути совершенствования маркетинговой деятельности
было предложено реорганизация сложившейся структуры управления компанией. Так,
в соответствии с вышесказанным наиболее целесообразным управленческим решением
в данной ситуации для ОАО «ДМЗ» будет создание собственной маркетинговой
службы, со следующим набором функций и задач Эффективность маркетинговых
мероприятий после внедрения в организационную структуру компании отдела
маркетинга составит более 50%. Создание службы маркетинга можно признать
целесообразным, и рекомендовать руководству ОАО «ДМЗ» начать работу в данном
направлении.
Расчет экономической эффективности показал, что общий экономический
эффект составит 1380 тыс.руб., капитальные затраты на приобретение средств
труда, переналадку оборудования составят 662 тыс.руб., текущие затраты 1477
тыс.руб. Их величина обусловлена увеличившимся фондом заработной платы и
выплатами страховых взносов, включаемых в себестоимость. Индекс доходности
больше 1, учитывая инфляцию и риски, это свидетельствует о значительной
доходности проектных мероприятий. Срок окупаемости проекта 0,7 лет. Чистый
дисконтированный доход равен 484 тыс.руб.
Список использованных
источников
1. Афанасьев М. П. Маркетинг - стратегия
и практика фирмы. - М.: Финстатинформ, 2008. 104с.
2. Багиев Г.Л., Тарасевич В.М., Анн Х.
Маркетинг: Учебник для вузов/ Под общей ред. Багиева Г.Л. - М.: Издательство
"Экономика", 2008. 170с..
3. Березин И.С. Маркетинг и исследования
рынков. - М.: Русская Деловая Литература, 2012. 320с.
4. Волкова В.Н., Емельянова А.А. Теория
систем и системный анализ в управлении организациями: Справочник. - М.:
"Финансы и статистика", 2009. 450с.
5. Все о маркетинге: Сборник материалов
для руководителей предприятий, экономических и коммерческих служб. - М.:
Азимут-Центр. 2013. 989с.
6. Гальперин В.М., Гребенников П.И.,
Леусский А.И., Тарасевич Л.С. Макроэкономика: Учебник. - СПб.: Экон. шк, 2011.
400с.
7. Голубков Е.П. и др. Маркетинг: Выбор
лучшего решения. - М.: Экономика, 2011. 222с.
8. Завьялов П. С. Формула успеха -
маркетинг. - М., 2013. 580 с.
9. Завьялов П.С. Маркетинг в малом и
среднем бизнесе. - М.: Россия молодая, 2009. 390с.
10.Завьялов П.С.,
Демидов В.Е. Формула успеха: маркетинг. - М.: Прогресс, 2012. 302с.
11.Котлер Ф.
Основы маркетинга. - М.: Бизнес-книга, 2012. 802с.
12.Котлер Ф.,
Армстронг Г., Сондерс Д., Вонг В. Основы маркетинга: Пер. с англ. - 2-е европ.
изд. - М.; СПб.; К.: Издат. Дом "Вильямс", 2012. 678с.
13.Крылова Г. Д.
Практикум по маркетингу. - М.: ЮНИТИ, 2011. 240с.
14.Лайс Г.
Маркетинг: Пособие для практикумов. - М.: Машиностроение. - 2013. 222с.
15.Ламбен Ж.Ж.
Основы маркетинга. - М.: Бизнес-книга, 2011. 346с.
16.Лафта Дж. К.
Эффективность менеджмента организации. Учебное пособие. - М.: Русская Деловая
Литература, 2008. 320с.
17.Линдерт П.
Экономика мирохозяйственных связей. - М.: Прогресс, 2009. - 250с.
18.Моррис Робин.
Маркетинг: Ситуации и примеры. - М.: Банки и биржи, 2011. 207с.
19.Мухин В.И.
Исследование систем управления (анализ и синтез систем управления). - М.:
"Экзамен", 2008. 450с.
20.Ноздрева Р.Б.,
Цыгичко Л.И. Маркетинг: Как побеждать на рынке. - М.: ФиС, 2012. 230с.
21.Пунин Е.Н.
Маркетинг, менеджмент и ценообразование на предприятиях в условиях рыночной
экономики.- М.: Международные отношения, 2006. - 286с.
22.Севрук М.А.
Система маркетинга: Соц.-экономический анализ, компьютеризация. - М.: МГУ,
2012. 240с.
23.Финансовый
менеджмент: теория и практика: Учебник. Под ред. Е.С.Стояновой. - 2-е изд.,
перераб. и доп. - М.: Изд-во Перспектива. - 2012 - 574 с.
24.Хейч Дж.,
Риверс Р., Гленн Т.М. и др. Управление маркетингом: опыт и проблемы: Вып. 1:
Коммуникации бренда. Перевод с английского. М.: 2012.
25.Хлусов В.П.
Основы маркетинга. М.: Издательство ПРИОР, 2008. 450с.
26.Хруцкой В.Е.
Современный маркетинг. - М.: ФиС, 2013. 890с.
27.Эванс Д.,
Берман Б. Маркетинг, М.: Экономика, 2013. 789с.
28.Шкардун В.,
Ахтямов Т. Оценка готовности предприятия к реализации маркетинговой стратегии
// Маркетинг. - 2012. - №3.
29.Голубков Е.П. О
некоторых аспектах концепции маркетинга и его терминологии. // Маркетинг в
России и за рубежом. - 2011. - №6.
30.Ноздрева Р. Б.,
Цыгичко Л. И. Маркетинг: Как побеждать на рынке. //Маркетинг, 2012- №5.
31.Демидов В.Е.
Формула успеха: маркетинг //Организация маркетинга, 2013. - №7.
32.Сэндидж Ч.Т.
Организационные структуры маркетинга на предприятии //МаркетингМикс, 2012. -
№5.
Приложение
1
Схема маркетинговой деятельности предприятия
Приложение
2
Бухгалтерские балансы ОАО «ДМЗ» в 2009-2012 гг., тыс. руб. (на конец
года)
|
АКТИВ
|
Код показателя
|
2008 г.
|
2009 г.
|
2011 г.
|
2012 г.
|
|
1
|
2
|
3
|
4
|
5
|
6
|
|
I. ВНЕОБОРОТНЫЕ АКТИВЫ
|
|
|
|
|
|
|
Нематериальные активы
|
110
|
542
|
467
|
409
|
374
|
|
Основные средства
|
120
|
1615715
|
1524064
|
1432270
|
1486369
|
|
Незавершенное строительство
|
130
|
109154
|
149760
|
151410
|
82664
|
|
Долгосрочные финансовые
вложения
|
140
|
67220
|
55030
|
279030
|
254412
|
|
ИТОГО по разделу I
|
190
|
1792631
|
1729321
|
1863119
|
1823819
|
|
II. ОБОРОТНЫЕ АКТИВЫ
|
|
|
|
|
|
|
Запасы
|
210
|
780741
|
855744
|
1049500
|
1222887
|
|
в том числе: сырье,
материалы и другие аналогичные ценности
|
211
|
14458
|
15130
|
12407
|
12954
|
|
затраты в незавершенном
производстве (издержках обращения)
|
213
|
37573
|
34212
|
38477
|
36994
|
|
готовая продукция и товары
для перепродажи
|
214
|
407294
|
409953
|
532819
|
728445
|
|
товары отгруженные
|
215
|
299926
|
374776
|
446613
|
424551
|
|
расходы будущих периодов
|
216
|
21490
|
21673
|
19184
|
19943
|
|
Налог на добавленную
стоимость по приобретенным ценностям
|
220
|
78128
|
34383
|
38222
|
61552
|
|
Дебиторская задолженность
(платежи по которой ожидаются более чем через 12 месяцев после отчетной даты)
|
230
|
-
|
-
|
8900
|
|
Дебиторская задолженность
(платежи по которой ожидаются в течение 12 месяцев после отчетной даты)
|
240
|
259535
|
260607
|
486183
|
748552
|
|
в том числе: покупатели и
заказчики
|
241
|
259535
|
260607
|
486183
|
748552
|
|
Краткосрочные финансовые
вложения
|
250
|
91274
|
105994
|
5716
|
6044
|
|
Денежные средства
|
260
|
17513
|
15783
|
21449
|
32114
|
|
ИТОГО по разделу II
|
290
|
1227191
|
1272511
|
1613570
|
2080049
|
|
БАЛАНС
|
300
|
3019822
|
3001832
|
3476689
|
3903868
|
|
III. КАПИТАЛ И РЕЗЕРВЫ
|
|
|
|
|
|
|
Уставный капитал
|
410
|
37799
|
37799
|
37799
|
37799
|
|
Добавочный капитал
|
420
|
512358
|
512358
|
467813
|
468554
|
|
Резервный капитал
|
430
|
10500
|
10500
|
10500
|
10500
|
|
Нераспределенная прибыль
(непокрытый убыток)
|
470
|
1587165
|
1865403
|
1964093
|
1814423
|
|
ИТОГО по разделу III
|
490
|
2147822
|
2426060
|
2480205
|
2331276
|
|
IV. ДОЛГОСРОЧНЫЕ
ОБЯЗАТЕЛЬСТВА
|
|
|
|
|
|
|
Займы и кредиты
|
510
|
390131
|
132913
|
44061
|
218445
|
|
Отложенные налоговые активы
|
515
|
48108
|
71618
|
80258
|
95474
|
|
ИТОГО по разделу IV
|
590
|
438239
|
204531
|
124319
|
313919
|
|
V. КРАТКОСРОЧНЫЕ
ОБЯЗАТЕЛЬСТВА
|
|
|
|
|
|
|
Займы и кредиты
|
610
|
179264
|
124692
|
450680
|
551920
|
|
Кредиторская задолженность
|
620
|
254497
|
246244
|
420464
|
706753
|
|
в том числе поставщики и
подрядчики
|
621
|
130713
|
100481
|
177218
|
191244
|
|
задолженность перед
персоналом организации
|
622
|
23873
|
27534
|
39578
|
84554
|
|
задолженность перед
государственными внебюджетными фондами
|
623
|
9687
|
11180
|
14810
|
16845
|
|
задолженность по налогам и
сборам
|
624
|
36612
|
55860
|
40213
|
124556
|
|
прочие кредиторы
|
625
|
53612
|
51189
|
148645
|
289554
|
|
Задолженность перед
участниками (учредителями) по выплате доходов
|
630
|
-
|
305
|
1021
|
-
|
|
ИТОГО по разделу V
|
690
|
433761
|
371241
|
872165
|
1258673
|
|
БАЛАНС
|
700
|
3019822
|
3001832
|
3476689
|
3903868
|
Отчеты о прибылях и убытках ОАО «ДМЗ» в 2009-2012 гг., тыс. руб.
|
Показатель
|
за 2009 г.
|
за 2011 г.
|
2012 г.
|
|
наименование
|
код
|
|
|
|
|
Доходы по обычным видам
деятельности
|
|
|
|
|
|
Выручка (нетто) от продажи
товаров, продукции, работ, услуг (за минусом налога на добавленную стоимость,
акцизов и аналогичных обязательных платежей)
|
010
|
3868452
|
4256201
|
5022431
|
|
Себестоимость проданных
товаров, продукции, работ, услуг
|
020
|
2463227
|
2809760
|
3127114
|
|
Валовая прибыль
|
029
|
1405225
|
1446441
|
1895317
|
|
Коммерческие расходы
|
030
|
460445
|
605774
|
962245
|
|
Управленческие расходы
|
040
|
478142
|
500422
|
546651
|
|
Прибыль (убыток) от продаж
|
050
|
466638
|
340245
|
386421
|
|
Прочие доходы и расходы
|
|
|
|
|
|
Проценты к получению
|
060
|
4681
|
2180
|
1455
|
|
Проценты к уплате
|
070
|
67854
|
31445
|
56542
|
|
Доходы от участия в других
организациях
|
080
|
101
|
121
|
230
|
|
Прочие доходы
|
090
|
174885
|
27123
|
87224
|
|
Прочие расходы
|
100
|
111241
|
121244
|
167554
|
|
Прибыль (убыток) до
налогообложения
|
140
|
467210
|
216980
|
251234
|
|
Отложенные налоговые
обязательства
|
160
|
24551
|
4612
|
15442
|
|
Текущий налог на прибыль
|
170
|
122410
|
54308
|
61221
|
|
Иные обязательные платежи
|
180
|
330
|
340
|
245
|
|
Чистая прибыль (убыток)
отчетного периода
|
190
|
319919
|
157720
|
174326
|
Приложение
3
Функции и задачи проектируемой службы маркетинга
|
Функции
|
Задачи
|
|
1. Формирование рыночной
стратегии фирмы
|
1. Анализ и прогнозирование
потребностей и спроса 1.2. Анализ и прогнозирование конъюнктуры рынка 1.3.
Анализ и прогнозирование факторов конкурентного преимущества фирмы 1.4.
Анализ связей фирмы с внешней средой 1.5. Анализ и прогнозирование качества и
ресурсоемкости аналогичных работ и услуг конкурентов 1.6. Прогнозирование воспроизводственных
циклов работ и услуг фирмы 1.7. Анализ и прогнозирование организационно-
технического уровня производства конкурентов и фирмы 1.8. Анализ и
прогнозирование качества и ресурсоемкости будущих работ и услуг фирмы 1.9.
Анализ действия законов рыночных отношений в условиях фирмы 1.10.
Прогнозирование объемов рынков по сегментам 1.11. Прогнозирование лимитных
цен на будущие работы и услуги 1.12. Прогнозирование конкурентоспособности
будущих работ и услуг на конкретных рынках 1.13. Разработка и экономическое
обоснование мероприятий по повышению конкурентоспособности будущих работ и
услуг 1.14. Окончательный выбор целевых рынков на.... год 1.15. Разработка
нормативов конкурентоспособности будущих работ и услуг 1.16. Оформление
документа "Рыночная стратегия фирмы на... год"
|
|
2. Реализация концепции
маркетинга
|
2.1. Согласование структуры
и содержания системы менеджмента фирмы 2.2. Участие в проектировании
организационной и производственной структуры фирмы 2.3. Участие в разработке
положений и должностных инструкций фирмы 2.4. Входной маркетинговый контроль
(на предмет соблюдения концепции маркетинга) всей нормативно-методической и
технической документации, разрабатываемой и получаемой фирмой 2.5.
Разработка, согласование и утверждение руководством фирмы "Плана
мероприятий по реализации концепции маркетинга в деятельности фирмы на период
_____" 2.6. Участие в анализе международной деятельности фирмы 2.7.
Прогноз цен на новые работы и услуги 2.8. Согласование контрактов и договоров
2.9. Участие в организации сбыта работ и услуг 2.10. Установление схемы
обратной связи по стадиям жизненного цикла работ и услуг
|
|
3. Реклама товара и
стимулирование сбыта
|
3.1. Определение целей
маркетинга 3.2. Определение методов, правил и средств маркетинга 3.3.
Организация работы рекламных агентств и служб 3.4. Организация стимулирования
сбыта работ и услуг и роста прибыли
|
|
4. Обеспечение
маркетинговых исследований
|
4.1. Разработка и
совершенствование структуры службы маркетинга фирмы 4.2. Информационное
обеспечение и создание нормативной базы маркетинговых исследований 4.3.
Кадровое обеспечение исследований 4.4. Обеспечение техническими средствами
4.5. Обеспечение внутренних и внешних связей службы маркетинга фирмы.
|
Приложение
4
Расчет доли компании по распродаваемости товаров
|
Сценарий 1 -
оптимистический
|
|
клиенты
|
2012 год
|
Прогноз 2013 год
|
|
|
|
текущие клиенты
|
|
|
новые клиенты
|
Продажи, тыс.руб.
|
|
кол-во
|
бюджет, тыс.руб.
|
удержать, %
|
потеряно, шт.
|
% роста бюджета
|
тыс.руб.
|
привлечь, шт.
|
с бюджетом, тыс.руб.
|
|
|
Крупные
|
37
|
19 800
|
90
|
3
|
61
|
31 878
|
20
|
30 000
|
2 117 567
|
|
Средние
|
54
|
10 300
|
90
|
5
|
50
|
20 200
|
40
|
15 000
|
1 300 820
|
|
Малые
|
187
|
2 700
|
90
|
20
|
45
|
6 660
|
60
|
4 500
|
1 278 069
|
|
Итого
|
278
|
32 800
|
|
27
|
|
|
120
|
|
4 696 456
|
|
Сценарий 2 -
пессимистический
|
|
клиенты
|
2012 год
|
Прогноз 2013 год
|
|
|
|
|
текущие клиенты
|
|
|
новые клиенты
|
Продажи, тыс.руб.
|
|
|
кол-во
|
бюджет, тыс.руб.
|
удержать, %
|
потеряно, шт.
|
% роста бюджета
|
тыс.руб.
|
привлечь, шт.
|
с бюджетом, тыс.руб.
|
|
|
Крупные
|
37
|
19 800
|
90
|
4
|
53
|
30 294
|
20
|
25 000
|
1 910 345
|
|
Средние
|
54
|
10 300
|
90
|
6
|
45
|
19 210
|
40
|
1 120 240
|
|
Малые
|
187
|
2 700
|
90
|
29
|
45
|
6 660
|
60
|
4 050
|
1 030 001
|
|
Итого
|
278
|
32 800
|
|
39
|
|
|
120
|
|
4 060 586
|