Выбор поставщика при закупке ресурсов

  • Вид работы:
    Курсовая работа (т)
  • Предмет:
    Менеджмент
  • Язык:
    Русский
    ,
    Формат файла:
    MS Word
    350,87 Кб
  • Опубликовано:
    2013-11-25
Вы можете узнать стоимость помощи в написании студенческой работы.
Помощь в написании работы, которую точно примут!

Выбор поставщика при закупке ресурсов















Выбор поставщика при закупке ресурсов

1. Теоретические основы формирования критериев выбора поставщика при осуществлении процесса закупки материально-технических ресурсов в организации

1.1 Сущность, цель и функции логистики закупок

Закупочная логистика - это функциональная деятельность, в процессе которой устанавливаются и развиваются источники снабжения, подготавливаются котировки, устанавливаются цены и условия, размещаются заказы на закупку и обеспечивается соответствующая доставка.

Весомым составляющей микрологистической системы является подсистема закупок, организующая вход материального потока в логистическую систему.

Любое предприятие, как производственное, так и торговое, в котором обрабатываются материальные потоки, имеет в своем составе службу, исполняющую закупку, доставку и временное хранение предметов труда: сырья, полуфабрикатов, изделий народного потребления, - службу снабжения. Деятельность этой службы может быть рассмотрена на 3-х уровнях, так как служба снабжения одновременно является:

элементом, обеспечивающим связи и реализацию целей макрологистической системы, в которую входит предприятие;

элементом микрологистической системы, то есть одним из подразделений предприятия, обеспечивающим реализацию целей этого предприятия;

самостоятельной системой, имеющую элементы, структуру и самостоятельные цели.

Рассмотрим цели функционирования службы снабжения на каждом из этапов.

. Как элемент макрологистической системы служба снабжения устанавливает хозяйственные связи с поставщиками, согласовывая связанные с поставкой товаров технико-технологические и экономические вопросы, а также вопросы планирования. Работая в контакте со службами сбыта поставщика и транспортными организациями, служба снабжения обеспечивает «ввязывание» предприятия в макрологистическую систему. Идея логистики - приобретение дополнительной прибыли от согласованности действий всех участников - требует, чтобы сотрудники службы снабжения добивались реализации целей собственного предприятия не как отдельного объекта, а как звена всей логистической макросистемы. Из этого можно сделать вывод, что служба снабжения, работая на собственное предприятие, в то же время должна преследовать цель повышения эффективности функционирования всей макрологистической системы. Собственное предприятие при таком подходе рассматривается как элемент всей макрологистической системы: улучшая положение всей системы - улучшается положение предприятия как ее элемента.

. Служба снабжения, являясь элементом организовавшего ее предприятия, должна органично вписываться в микрологистическую систему, обеспечивающую прохождение материального потока в цепи снабжение - производство - сбыт. Задача логистической организации предприятия в целом является обеспечение высокой степени согласованности действий по управлению материальными потоками между службой снабжения и службами производства и сбыта. Современные системы организации производства и материально-технического снабжения (например, система МРП) обеспечивают возможность согласования и оперативной корректировки планов и действий снабженческих, производственных и сбытовых звеньев в масштабе предприятия с учетом постоянных изменений.

Цепь снабжение - производство - сбыт должна строиться на основе современной концепции маркетинга, то есть вначале должна строиться стратегия сбыта, затем, исходя из нее, стратегия развития производства и уже потом стратегия снабжения производства. Маркетинг представляет эту задачу лишь в концептуальном плане. Научный инструмент маркетинга, направленный на разностороннее исследование рынка сбыта, не содержит методов, позволяющих решать задачи технико-технологической согласованности с поставщиками в зависимости от соответственных требований, выявленных при изучении рынка сбыта. Маркетинг не предлагает также и методов системной организации всех участников процесса продвижения материалов от первичного источника сырья вплоть до конечного потребителя. В этом плане логистика развивает маркетинговый подход к предпринимательской деятельности, нарабатывает методы, позволяющие реализовать концепцию маркетинга, существенно расширяет и дополняет саму концепцию.

. Эффективность функционирования службы снабжения, возможность реализации перечисленных целей как на уровне предприятия, так и на уровне макрологистики в существенной степени зависит от системной организации самой службы снабжения.

Основной целью логистического менеджмента закупок является надежное и качественное обеспечение производственных подразделений фирмы материальными ресурсами, необходимыми для выполнения заданного производственного расписания. При этом следует помнить, что новая система хозяйствования характеризуется: свободой выбора партнера / контрагента по закупке товаров; множественностью источников закупки (поставщиков); равноправием партнеров; возросшей ролью договоров, контрактов на поставку товаров; саморегулированием процессов поставки товаров; свободой ценообразования; конкуренцией поставщиков и покупателей; экономической ответственностью сторон; инициативой, самостоятельностью и предприимчивостью продавца и покупателя.

Различают следующие функции закупочной логистики:

определение потребности в материальных ресурсах;

получение и оценка предложений поставщика;

выбор поставщиков;

согласование цены и заключение договоров;

формирование заказов;

контроль срока поставок и количества;

входной контроль и размещение материальных ресурсов на складе;

управление запасами.

1.2 Эффективность функционирования логистики закупок

Для максимального функционирования закупочной логистики необходимо составить план закупок, решающий следующие задачи:

определение потребности в материалах;

определение метода закупок;

согласование цены и заключение договора;

установление мониторинга и контроля за качеством, количеством и сроками поставок;

организация размещения товаров на складе.

Последовательность процедур поставки обычно следующая:

1.      установление потребности;

2.      подготовка заказной спецификации;

.        выбор поставщика;

.        оценка поставщика;

.        проведение переговоров;

.        подготовка и подписание необходимых соглашений;

.        организация и управление взаимодействием;

.        контроль за поставками.

Наиболее распространенными и эффективными схемами выбора поставщика являются:

конкурсные торги;

посещение выставок и ярмарок;

изучение рекламных материалов: фирменных каталогов, объявлений в средствах массовой информации и т.п.;

- письменные переговоры между поставщиком и потребителем.

Конкурсные торги (тендеры) - самая распространенная форма поиска потенциальных поставщиков. Конкурсные торги проводят в случае, если предполагается закупить сырье, материалы, комплектующие на большую денежную сумму или предполагается наладить долгосрочные связи между поставщиком и потребителем. Конкурсные торги выгодны как поставщику, так и потребителю. Поставщик получает точное представление об условиях работы с потребителем. Потребитель совмещает решение проблем получения требуемого предложения и выбор наилучшего во всех отношениях поставщика.

Сущность конкурсных торгов состоит в том, что:

— покупатель (заказчик) объявляет конкурс для продавцов (поставщиков) на товар или услуги с заранее определенными характеристиками;

—     сравнивает полученные предложения;

—     после сравнения подписывает договор (контракт) с тем продавцом или подрядчиком, который предложил наиболее выгодные для покупателя (заказчика) условия.

Конкурсные торги подразделяются на:

—  международные (привлечение предложений от нескольких поставщиков и подрядчиков разных стран);

—           внутренние - участвуют поставщики и подрядчики одной страны.

В зависимости от способа проведения различают торги:

—  открытые (публичные) - привлекаются все желающие фирмы и организации. Обычно на таких торгах размещают заказы на стандартное и универсальное оборудование. Информация о таких торгах представляется в официальных органах печати за один или полтора месяца до дня проведения торгов;

—           закрытые (ограниченные или негласные) - участвуют лишь определенные фирмы, которым высылается приглашение. На таких торгах размещают уникальное, сложное и специальное оборудование. Извещения о предстоящих торгах получают л ишь отдельные фирмы, которые хорошо известны в данной отрасли производства.

Письменные переговоры между поставщиком и потребителем, в процессе которых потребитель получает официальное предложение на поставку товаров от потенциального поставщика, могут быть организованы двумя способами.

. Инициатива вступления в переговоры исходит от продавца товара. Он рассылает потенциальным покупателям своей продукции предложения (оферты), в которых указываются: наименование товара; количество и качество товара; цена; условия и сроки поставки; условия платежа; характеристика тары и упаковки; порядок приемки-сдачи. В зависимости от количества потенциальных покупателей, срока действия предлагаемых им условий оферты могут быть твердыми и свободными.

. Инициатива вступления в переговоры исходит от покупателя. Он рассылает потенциальным поставщикам коммерческое письмо или запрос, главной целью которого является получение предложения (оферты). В запросе указываются все необходимые реквизиты (наименование товара, требуемое качество, условия и сроки поставки, платежа и пр.), кроме цены, которая указывается в ответном предложении.

В качестве критериев оценки поставщика принимают:

приемлемость цены;

качество поставляемой продукции;

качество обслуживания потребителей;

гибкость поставок;

наличие ограничений по размеру заказа;

дороги;

удаленность поставщика от потребителя;

финансовое положение поставщика, его кредитоспособность;

текущее финансовое положение;

психологический климат в коллективе.

Для сравнения вариантов поставщиков используют:

1.      Балльный метод. Выбирают систему баллов и шкалу наиболее значимых критериев оценки поставщиков (в долях единицы). Предпочтение отдается тому поставщику, который набрал наибольшую сумму баллов.

2.      Систему «Идеального поставщика». Определяются характеристики идеального поставщика, и потом каждого реального претендент сравнивает с «идеалом».

.        Систему «Расстановки приоритетов». По результатам прошлой деятельности поставщиков выбирают наиболее важные критерии оценки, метод измерения показателей деятельности, определяют относительную важность каждого параметра, определяют частные итоги (по каждому показателю), а затем суммируют в баллах.

Ведение закупочных операций требует знания основ хозяйственного права, касающихся заключения контракта как основы закупок, поставки товаров и их оплаты.

Надежность поставок (Р) - основной показатель для принятия решения, по формуле:

Р = 1 - Ротказа

где Ротказа - вероятность отказа в удовлетворении заявки.

В общем случае надежность поставок определяют, используя следующий алгоритм:

1.      сопоставление плановой и фактической дат поставки;

2.      определение времени опоздания;

.        сопоставление планового и фактического объема поставок. Фиксация случаев недопоставок;

.        определение объема недопоставок продукции ∆Q = Qфакт - Qплан;

.        определение удельной величины опоздания tоп = ∆Q/q, где ∆Q - величина недопоставки; q - средний дневной расход;

.        определение общей величины опозданий Топ = tоп1 + tоп;

.        определение количества случаев отказа;

.        определение наработки на отказ Т0 = (Т - ∑Топ)/ n, где Т - общее число дней в периоде;

.        определение интенсивности отказов π = 1 / Топ;

.        определение коэффициента готовности поставок Кгп = (Т-∑Топ)/Т;

.        определение надежности поставок Р = Кгп х е, где е - коэффициент надежности поставок (чем коэффициент выше, тем поставки надежнее).

1.3 Организация логистики закупок

Схемы организации материально-технического обеспечения предприятий разделяются на следующие группы [7, c. 103]:

1.      традиционная - эта система организации материального снабжения основана на принципе наличия запасов на складе. Главный недостаток традиционной системы закупок - это потребность в больших запасах и комплексе складов с присущими им административными издержками и затратами труда;

2.      промежуточная, основанная на системе договоров с фирмами-посредниками. Главное преимущество - это возможность отказаться от собственной системы складов с высвобождением капитала, замороженного в собственных запасах. Так же эта система позволяет организовать поставки в ускоренный срок;

3.      ориентированная на конкретную потребность производства. Группа представлена рядом логистических систем, таких как:

система KANBAN - в переводе с японского означает «карта». Сущность системы KANBAN заключается в том, что все производственные подразделения завода, включая линии конечной сборки, снабжаются материальными ресурсами только в том количестве и к такому сроку, которые необходимы для выполнения заданного подразделением-потребителем заказа. Таким образом в отличии от традиционного подхода к производству структурное подразделение-производитель не имеет общего жесткого графика производства, а оптимизирует свою работу в пределах заказа последующего по производственно-технологическому циклу подразделения фирмы.

система MRP (Material Requirements Planning - планирование потребности в материалах) с модификациями. Система применяется при работе с материалами, компонентами, полуфабрикатами и их частями, спрос на который зависит от спроса на специфическую готовую продукцию, то есть спрос на исходные материальные ресурсы сильно зависит от спроса потребителей на конечную продукцию.

Система планирования потребности в материалах (MRP)

система «just-in-time» - JIT («точно в срок»). Главная идея этой системы заключается в том, что все материалы, компоненты и полуфабрикаты должны поступать в нужном количестве, в нужное место (на сборочные линии - конвейере) и точно к назначенному сроку для производства или сборки готовой продукции. При такой постановке страховые запасы, иммобилизирующие денежные средства фирмы, оказывались не нужны.

Система снабжения «точно в срок»

система запросов, в соответствии с которой с поставщиками заключаются типовые контракты на длительный период, а данные по фактической потребности запрашиваются на основе поэтапного уточнения.

В соответствии с концепцией логистики в процессе обеспечения предприятия предметами труда должны иметь место мероприятия по реализации системного подхода к управлению материальными потоками в пределах самой службы снабжения.

Для обеспечения предприятия предметами труда необходимо решить задачи:

что закупить;

сколько закупить;

у кого закупить;

на каких условиях закупить.

Система снабжения производства по запросам

Так же необходимо выполнить следующие работы:

заключить договор;

проконтролировать исполнение договора;

организовать доставку;

организовать складирование.

Что, сколько и у кого закупить - задачи непростые по своей природе. В Республике Беларусь их решение осложнено тем, что в недавнем прошлом предприятия эти задачи в полном объеме зачастую не решали вообще, так как ресурсы распределялись.

Рассмотрим два варианта организации снабжения, принципиально отличающиеся друг от друга возможностями реализации системного подхода к управлению материальными потоками в процессе обеспечения предприятия материально техническими ресурсами.

Реализация функции снабжения в процессе работы различных подразделений предприятия

На рис. 1.1 представлен вариант организационной структуры предприятия с распределением перечисленных выше задач между различными функциональными подразделениями. Задача «что закупить» и «сколько закупить» решается дирекцией по производству. Здесь же выполняются и работы по складированию закупленных материалов.

Дирекция по закупкам решает задачу «у кого» и «на каких условиях закупить». Здесь же выполняются и перечисленные работы по снабжению, то есть заключаются договора, контролируется их исполнение, организуется доставка закупленных предметов труда. В результате функция управления материальным потоком в процессе снабжения предприятия сырьем и материалами разделена между различными службами, и ее эффективная реализация затруднена.

Другой вариант, представленный на рис. 1.2, предполагает сосредоточение всех функций снабжения предприятия в одном отделе, например, в дирекции по материально-техническому снабжению. Такая структура создает широкие возможности логистической оптимизации материального потока на стадии закупок предметов труда.

Реализация функции снабжения в процессе работы одного подразделения предприятия

Службы закупок в компании могут быть построены централизованно и децентрализованно. Если компания подходит к процессу с позиции децентрализации, служащие отделов будут самостоятельно осуществлять закупки, каждый для своего отдела. Преимуществом такого подхода является тот факт, что пользователь лучше знает потребности отдела, чем кто-то другой.

Процесс закупки при этом подходе может осуществляться быстрее. Однако по сравнению с децентрализацией у централизованных закупок гораздо больше преимуществ, поэтому почти все компании, за исключением самых мелких, используют централизованный подход к совершению закупок. При осуществлении закупок централизованным путем назначается конкретное лицо или создается отдел с полномочиями совершать закупки в интересах всех отделов.

2. Формирование критериев выбора поставщика при осуществлении процесса закупки материально-технических ресурсов в ООО «АВТОМАКС»

2.1 Общая характеристика предприятия

«АВТОМАКС» - общество с ограниченной ответственностью, создано в соответствии с Учредительным договором между участниками, Гражданским кодексом Республики Беларусь, декретом Президента Республики Беларусь №29 от 17.12.2002 «О внесении изменений и дополнений в декреты Президента Республики Беларусь от 16.03.1999 года №11 и от 16.11.2000 года №22», другими законодательными актами Республики Беларусь. 1.2.

Общество основано на частной форме собственности. Общество приобретает права юридического лица с момента государственной регистрации. Общество имеет права и несет обязанности в соответствии с действующим законодательством Республики Беларусь и настоящим Уставом. Общество является юридическим лицом Республики Беларусь, действует на принципах хозяйственного расчета, имеет обособленное имущество, самостоятельный баланс, расчетный, валютный и иные счета в учреждениях банка, печать, штампы, знак обслуживания (товарный знак) и др. реквизиты. Общество вправе от своего имени заключать договоры, приобретать имущественные и личные неимущественные права и нести обязанности, быть истцом и ответчиком в суде. Общество имеет право вступать в союзы, ассоциации с другими государственными и частными организациями, быть в установленном порядке участником (учредителем) хозяйственных товариществ и обществ как на территории Республики Беларусь, так и за рубежом. Общество вправе открывать на территории Республики Беларусь и за рубежом свои филиалы и представительства.

Филиалы и представительства наделяются основными и оборотными средствами за счет имущества организации и действуют на основании положений, утверждаемых Обществом. Имущество филиала или представительства учитывается на их отдельном балансе и самостоятельном балансе Общества.

Руководство деятельностью филиалов или представительств осуществляют лица, назначаемые Обществом. Руководитель филиала и руководитель представительства действуют на основании доверенности, полученной от Общества. В случае создания вышеуказанных обособленных подразделений (филиалов, представительств), Общество вносит в установленном порядке в учредительные документы сведения о них.

Общество имеет право создавать на территории Республики Беларусь и за ее пределами дочерние и зависимые общества с правами юридического лица, в том числе с привлечением и использованием средств иностранных инвесторов. Общество не отвечает по обязательствам государства, равно как государство не отвечает по обязательствам Общества.

Участники Общества не отвечают по его обязательствам, а Общество по обязательствам участников, за исключением случаев, предусмотренных законодательством и учредительными документами.

Участники Общества не отвечают по его обязательствам и несут риск убытков, связанных с хозяйственной деятельностью Общества в пределах стоимости внесенных ими вкладов.

Участники Общества, внесшие вклады не полностью, несут солидарную ответственность по его обязательствам в пределах стоимости неоплаченной части вклада каждого из участников.

Если экономическая несостоятельность (банкротство) Общества вызвана участниками (учредителями) Общества, или другими лицами, которые имеют право давать обязательные для Общества указания либо иным образом определять его действия, на таких лиц по решению хозяйственного суда может возлагаться субсидиарная ответственность по его обязательствам. Участники общества не несут субсидиарной ответственности, предусмотренной в настоящем пункте, в случае признания Общества экономически несостоятельным (банкротом) по независящим от них причинам. Общество отвечает по своим обязательствам всем своим имуществом, обособленных структурных подразделений, изменения целей и видов деятельности, местонахождения, размера уставного фонда, порядка образования имущества и распределения прибыли, порядка солидарной или субсидиарной ответственности участников, других фактических обстоятельств, сведения о которых должны содержаться в учредительных документах, а также изменения законодательства, в соответствии с которым требуется внесение изменений и дополнений в учредительные документы, Участники(учредители) обязаны в месячный срок внести Щ настоящий Устав соответствующие изменения и дополнения и представить их на государственную регистрацию.

Основной целью деятельности Общества является осуществление хозяйственной деятельности, направленной на получение прибыли.

Иные цели Общества состоят в удовлетворении социально-экономических интересов участников и членов трудового коллектива Общества, а также в удовлетворении потребностей организаций, организаций и граждан в продукции, работах, услугах. 4.3. Предмет (основные направления) деятельности Общества:

оптовая торговля прочими непродовольственными товарами потребительского назначения, код 5147;

оптовая торговля химическими веществами и химическими товарами, код 51551;

оптовая торговля прочими промежуточными товарами, код 51560;

прочая оптовая торговля, код 5170;

неспециализированная оптовая торговля непродовольственными товарами, код 51709;

прочая розничная торговля в специализированных магазинах, код 5248;

прочая розничная торговля в специализированных магазинах, не включенная в другие группировки, код 52489;

курьерская деятельность, код 64120;

аренда автомобилей, код 7110;

аренда прочих сухопутных транспортных средств и оборудования, код 71210;

предоставление прочих услуг потребителям, код 74840.

оптовая торговля автомобильными деталями, узлами и принадлежностями, код 50301

розничная торговля автомобильными деталями, узлами и принадлежностями, код 50302

техническое обслуживание и ремонт мотоциклов, мотороллеров и мопедов, код 50403

розничная торговля моторным топливом, код 50500

Отдельными видами деятельности, определенными законодательством Республики Беларусь, Общество может заниматься только на основании специального разрешения (лицензии). Право Общества осуществлять деятельность, на занятие которой необходимо получение лицензии, возникает с момента получения лицензии или в указанный в ней срок и прекращается по истечении срока ее действия, если иное не установлено законодательством. Внешнеэкономическая деятельность осуществляется в порядке, предусмотренном законодательством.

Потребителями продукции и услуг организации является строительные организации, другие организации и учреждения, население, и города Минска и Минской области, Витебской области, Гомельской области, Брестской области и Могилевской области.

Концепция бизнеса - наиболее полное обеспечение потребителей высококачественными материалами.

Деятельность ООО «АВТОМАКС» в период с 2008-2009 год набирало обороты. Как указывает таблица 2.1 товарооборот предприятия возрос на 42987 тыс. руб. Рост при этом составил 29,5%. Однако доходы предприятия от реализации при этом сократились практически на 3,1%. В то же время расходы на реализацию также возросли на 7,3% и составили 28249,50 тыс. руб. И прибыль при всем прочем сократилась на 1298 тыс. руб. или на 27,5%.

Таблица 2.1. Общие результаты деятельности торгового предприятия

Показатель

2008

2009

Отклонение (+,-)

2009 к 2008, %

1. Товарооборот в действ. ценах

145701,4

188688,5

42987

129,5

2. Доход от реализации

30 397,5

29 460,0

-937,5

96,9

% к ТО

20,9

15,6

-5,2498

74,8

3. Отчисления из дохода

951,4

610,5

-340,9

64,2

В% к ТО

0,7

0,3

-0,3294

49,5

4. Расходы на реализацию

26 330,00

28 249,50

1919,5

107,3

5. Прибыль от реализации

5 525,00

600

-4925

10,9

6. Рентабельность, %

3,8

0,3

-3,474

8,4

7. Сальдо операционных доходов и расходов

2 172,00

4 568,00

2396

210,3

8. Сальдо внереализационных доходов

7 697,00

5 568,50

-2128,5

72,3

9. Итоговая прибыль, тыс. руб.

4 713,40

3 415,40

-1298

72,5

10. Отчисления из прибыли

2 153,10

2 983,60

830,5

138,6

13. Среднесписочная численность

18

14

-4

77,8

14. Среднегодовая выработка





в действующих ценах

8041,7

13434,1

5392,4

167,1


Как показывают данные таблицы, не по всем показателям предприятие нарастила объемы. Отрицательный рост наблюдается у прибыли, что указывает на неэффективную работу предприятия по наращиванию объемов товарооборота. Темпы роста товарооборота не должны превышать рост объема прибыли, что обеспечит рост рентабельности, которая у предприятия сократилась больше чем в 10 раз. Рост производительности труда положительно сказался на росте товарооборота.

На предприятии существует линейно-функциональная структура управления. Уровни управления и взаимосвязь между ними представлены на рисунке 2.1.

Рисунок 2.1 - Уровни управления ООО «АВТОМАКС»

ООО «АВТОМАКС» руководит директор, который принимает решения по важнейшим вопросам деятельности предприятия, направляет и координирует работу низших звеньев. У него в подчинении находятся специалисты, которые выполняют функции по подготовке и реализации управленческих решений. В их деятельности сочетаются функции управления и исполнения. Директор назначается участниками общества.

Для компании «АВТОМАКС», как наиболее яркой и узнаваемой на рынке белорусских поставщиков автозапчастей проведем SWOT-анализ.

Таблица 2.2 - SWOT-анализ компании ООО «АВТОМАКС»

Сильные стороны компании

Возможности Компании во внешней среде

Квалифицированный сервисный центр Квалифицированный персонал Дилерские договора с известными брендами Рыночная структура отдела продаж Наличие собственного склада Работает маркетинговая информационная система Разработана система скидок постоянным покупателям

Возможность широкой специализации Создание нового бизнеса по аренде оборудования Развитие корпоративных клиентов Развитие новых отраслей потребления Улучшение сервиса и сокращение времени на обслуживание


2.2 Анализ выбора поставщика при осуществлении процесса закупки материально-технических ресурсов

ООО «АВТОМАКС» является одним из ведущих поставщиков в Республику Беларусь запасных частей и смазочных материалов для автомобилей иностранного производства.

Компания представляет на белорусском рынке продукцию известных европейских предприятий, признанных во всем мире производителями запасных частей и смазочных материалов высочайшего качества и являющихся поставщиками своей продукции на сборочные конвейеры практически всех автомобилестроительных концернов.

ООО «АВТОМАКС» является официальным дистрибьютором в Республике Беларусь таких всемирно-известных концернов, как

—   Mabanol GmbH & Co. KG - автомобильные масла, смазки, автокосметика);

—   ZF Boge Elastmetall - сцепление, амортизаторы и элементы ходовой части;

—   Federal-Mogul S.a.r.l. - свечи зажигания и накаливания, щетки стеклоочистителей, высоковольтные провода;

—   Continental CONTITECH - широкий ассортимент автомобильных ремней, роликов;

—   Filterwerk Mann+Hummel GmbH - масляные, топливные и воздушные фильтры;

—   и другие.

На предприятии ООО «АВТОМАКС» технология проведения контроля за поступлением товаров в торговую сеть состоит из следующих стадий:

контроль выполнения условий договора;

поступление товара;

оприходование товара;

контроль счетов.

На стадии контроля выполнения условий договора по поставке товара производятся следующие расчёты:

отслеживание местонахождения груза (товара) в процессе доставки;

регистрация отступления от контрольных дат по условиям поставки, согласно договору.

На стадии поступления товара производятся следующие процедуры:

организация приёма груза в установленном месте;

сопоставление характеристик полученного товара с заявленными поставщиком.

выставление претензий по факту отступления от условий договора.

В соответствии с условиями поставки по договору, компания Заказчик принимает груз (товар) по мере поступления в установленном договором месте. Производится контроль фактически полученного груза.

После получения товара, специалистами функционального отдела компании заказчика проводится проверка соответствия характеристик, качества и комплектности полученного товара с заявленными поставщиком и регистрируются обнаруженные отклонения.

В случае невыполнения поставщиком отдельных условий и пунктов договора, или отклонений от них, повлекших убытки или иной урон заказчику, в соответствии с договором, осуществляется процедура выставления претензии, в соответствии с зарегистрированными невыполнениями условий договора или отклонениями от них.

После приёмки груза заказчиком производится процедура оприходования товара. На данном этапе груз размещается на складах ООО «АВТОМАКС».

На этапе контроля счетов производится проверка правильности движения финансовых потоков в процессе выполнения договора на закупку, выполнения налоговых отчислений, исчисление таможенных пошлин и иных затрат, произведенных в рамках этого бизнес - процесса.

При обсуждении условий договора имеет большое значение способ и сроки оплаты товара. Здесь обе стороны имеют свои интересы. Продавцу выгоднее предоплата за поставляемый товар, т. к. это гарантирует поступление денег. ООО «АВТОМАКС» стремится взять товар с отсрочкой платежа или на реализацию (консигнацию). В этом случае деньги уплачивает продавцу по мере реализации товара, следовательно, нет необходимости в оборотных средствах, собственность на товар не переходит и не платится налог на имущество, товар можно вернуть.

Ассортиментная политика является связующим звеном, она позволяет увязывать потребности покупателей с возможностями поставщиков (производителей). Таким образом, перед специалистами ООО «АВТОМАКС» стоят две задачи:

. Аналитическая деятельность.

. Работа с поставщиками.

На предприятии ООО «АВТОМАКС» за структуру ассортимента отвечают директор предприятия и специалисты по продажам, которые ежемесячно составляют отчёт о проданных товарах и выявляют наиболее востребованные товары и соответственно наименее востребованные товары.

Специалисты по продажам анализируют спрос и прибыльность продаваемых товаров, изучают претензии и пожелания клиентов, составляют портрет потребителя. На основе проведенных исследований специалисты по продажам и директор предприятия ООО «АВТОМАКС» определяют:

. Количество ассортиментных позиций.

. Цену каждой ассортиментной позиции.

. Товарный запас на складе.

. Значение каждой ассортиментной позиции.

. Причину роста или падения спроса.

. Потребность компании в новых товарах (какие именно новинки необходимы).

Закупочная деятельность предприятия ООО «АВТОМАКС» основана на подходе выбора поставщика.

Важность выбора поставщика объясняется не только функционированием на современном рынке большого количества поставщиков одинаковых материальных ресурсов, но и тем, что он должен быть, прежде всего, надежным партнером товаропроизводителя в реализации его стратегии организации производства. Выбор поставщика осуществляется коллегиальным способом, т.е. ведется обсуждение возможностей и потребностей в поставках. Отдел продаж в конце каждого месяца составляет список необходимого для организации продукции, согласовывает его с дирекцией и передаёт свою заявку директору по маркетингу. Далее директор этого отдела изучает рынок поставщиков, для того чтобы выбрать из общей массы производителей того, который продает свой товар по более выгодным для ООО «АВТОМАКС» условиям. После изучения рынка составляется таблица для более наглядного отображения ситуации складывающейся на рынке. Таблица содержит: критерии по которым выбирается поставщик и сам поставщик. В данной таблице применяется бальная оценка поставщика по каждому из критериев. После того как все критерии учтены подсчитывается общий бал. Поставщик набравший наибольше кол-во баллов становится единственным поставщиком с которым организация заключит договор. Ставится от 0 до 5 баллов, которые отражают не только существование данной опции у поставщика, а также насколько хорошо данная опция работает. В виду того, что у организации истекли сроки договоров с поставщиками по некоторым категориям продукции, необходимо найти новых поставщиков или остаться со старыми.

Итак, составим таблицу на сентябрь 2009 г.

Таблица 2.2. Выбор поставщиков масла моторного для ООО «АВТОМАКС»

Масла моторные

поставщики

Mabanol GmbH

Боникс Авто

Ravensberger Schmierstoffvertrieb Gmb

Shell East Europe Co.

критерии





1. Надежность поставки

5

4

5

5

2. Цена

4

3

4

3

3. Качество товара

5

5

4

5

4. Условия платежа

5

4

5

5

5. Возможность внеплановых поставок

5

4

5

5

6. Финансовое состояние поставщика

5

4

5

5

Итог

29

24

28

28


Таблица 2.3 Выбор поставщиков тормозной жидкости для ООО «АВТОМАКС»

Тормозные жидкости

поставщики

Liqui Moly

АвтоСпейс

OILRIGHT

ПРОМ-С

критерии





1. Надежность поставки

4

5

5

5

2. Цена

5

4

4

5

5

4

4

5

4. Условия платежа

5

4

5

5

5. Возможность внеплановых поставок

5

4

5

4

6. Финансовое состояние поставщика

5

5

5

4

Итог

29

26

28

28


По итогам данных таблиц в качестве поставщиков для ООО «АВТОМАКС» будут выбраны следующие организации:

1. заказ масла моторного будет осуществляться у предприятия Mabanol GmbH & Co.;

2. заказ тормозной жидкости будет осуществляться у предприятия Liqui Moly.

Анализ закупок по менеджерам позволяет сравнивать эффективность работы менеджеров по закупкам, что, безусловно, влияет на эффективность закупочной деятельности в целом. Менеджеры по закупкам получают персонализированные отчеты (например, сводный товарный отчет по всем поставщикам менеджера), дающие им возможность самостоятельно анализировать результаты своей работы.

3. Пути повышения эффективности выбора поставщика при осуществлении процесса закупки материально-технических ресурсов в ООО «АВТОМАКС»

Директор ООО «АВТОМАКС» и его заместитель директор по маркетингу при работе с поставщиками должны не только предоставлять поставщикам характеристики запрашиваемых товаров, но и рассказывать о потребностях покупателей. Поставщики предложат несколько вариантов продукта, возможно, у них появятся интересные идеи для предприятия.

Задача директора ООО «АВТОМАКС» произвести впечатление на поставщика тем, что фирма помогает продавать его продукт покупателям. Нужно сделать акцент на том, что реализация будет еще больше, если поставщики поспособствуют ООО «АВТОМАКС» в продвижении товара. К примеру, можно совместно с партнерами провести маркетинговые исследования, составить портрет потребителя и т.д. представитель поставщика должен работать совместно с предприятием, это поможет ему быть в курсе подъемов и падений спроса на товар. Тогда в зависимости от темпов продаж он будет корректировать деятельность предприятия.

Хорошим предложением на предприятии ООО «АВТОМАКС» является на основе накопленного опыта составлять графики спроса на каждую группу товаров. По ним директор определяет, когда ждать следующего скачка заказов по каждому товару.

На практике ООО «АВТОМАКС» работает с большим ассортиментом, и сравнительно большой численностью поставщиков. В связи с этим приходится решать задачу о необходимости работы не только по одному товару, но и по поставщику в целом.

Для оптимизации работы с поставщиками предлагается ввести таблицу параметров поставщиков, аналогичную таблице товаров.

Таблица 3.1 Таблица анализа поставщиков (3-х балльная шкала)

Поставщик

Параметры


Уровень цен

Узнаваемость марки

Стабильность поставок

Ассортимент товаров

Шате-М плюс

3

2

3

3

АвтоСпейс

2

2

3

2

KANS

2

3

3

2

Mabanol GmbH & Co. KG

2

3

3

3

Новый поставщик (фирма LHM)

3

3

2

3


По трехбалльной шкале, например, уровень цен можно расценить так:

·              высокий уровень цен - 1.

·              средний - 2.

·              низкий - 3.

Предлагается ставить более высокий балл тому пункту, который способствует более высоким продажам. Понятно, что какие-то факторы на уровень продаж влияют сильнее, какие-то слабее, поэтому целесообразным будет введение весовых коэффициентов для каждого параметра.

Таблица 3.2 Весовые коэффициенты критериев

Критерий

Уровень цен

Узнаваемость марки

Стабильность поставок

Ассортимент товаров

Весовой коэффициент

0,3

0,25

0,20

0,35


Весовой коэффициент - это доля влияния параметра из всех предлагаемых на уровень продаж, определяемый пока что экспертно. Сумма всех весовых коэффициентов должна быть равна 1.

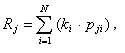
После такого задания таблиц можно каждому товару сопоставить число, итоговую оценку, его рейтинг, рассчитанный по классической схеме:

, (3.1)

где Rj - коэффициент поставщика;

К - весовой коэффициент,

Р - критерий выбора поставщика.

Далее проранжируем (отсортируем) получившийся список товаров по убыванию их коэффициентов Rj.

В верхних строках списка окажутся самые важные для фирмы поставщики.

Таблица 3.3. Расчёт коэффициента поставщика

Критерий

Весовой коэф-нт

Шате-М плюс

Авто Спейс

KANS

Mabanol GmbH & Co. KG.



Критерии

Оценка

Критерии

Оценка

Критерии

Оценка

Критерии

Оценка

Уровень цен

0,3

3

0,9

3

0,9

2

0,6

2

0,6

Узнаваемость марки

0,2

3

0,6

2

0,4

2

0,4

3

0,6

Стабильность поставок

0,15

2

0,3

3

0,45

3

0,45

3

0,45

Ассортимент товаров

0,35

3

1,05

3

1,05

2

0,7

3

1,05

Итого

1


2,8


2,8


2,15


2,7


В рамках данной схемы задается таблица уже имеющихся поставщиков и оценивается необходимость работы с новым поставщиком при расчете уровня продаж производимых данным поставщиком товаров.

Самая низкая оценка у фирмы «KANS», самая высокая у постоянных поставщиков «Комус», «Зенит», что говорит о том, что для дальнейшей оптимизации структуры ассортимента ООО «АВТОМАКС» необходимо сменить основного поставщика «KANS» на малоизвестную фирму LHM.

Одним из путей повышения эффективности работы с поставщиками является организация рациональной договорной работы.

Именно условия договора определяют и регламентируют отношения поставщика и покупателя товаров. Поэтому договорная работа влияет на будущие объемы продаж и получение прибыли предприятием.

Коммерческая деятельность любого предприятия невозможна без совершения сделок и заключения договоров, потому что договор - это та форма, в которой воплощаются цель и задачи производственного или торгового предприятия по удовлетворению спроса определенного сегмента рынка и получение прибыли.

Поэтому организация договорной работы на уровне современных требований составляет одну из важных функций коммерческой деятельности.

Договорная работа представляет собой совокупность действий предприятия, направленных на осуществление взаимоотношений с контрагентами посредством договора. Она носит комплексный характер и связана как с правовой деятельностью, так и с управлением коммерческой деятельностью, а также влиянием внешних факторов, не зависящих от воли сторон.

Существование товарно-денежных отношений обусловливает правовую форму обмена - договор. Следует подчеркнуть что, несмотря на изменение ее социально-экономического содержания, сама по себе конструкция договора как порождение юридической техники остается неизменной.

Особое значение имеет договорная форма хозяйственных отношений предприятий, организаций - хозяйственный договор.

Хозяйственный договор - соглашение сторон, направленное на установление, изменение или прекращение их хозяйственных прав и обязанностей в целях достижения предусмотренных результатов. В народном хозяйстве он закрепляет экономические связи между организациями и предприятиями, отражает сущность этих отношений.

Успех коммерческой сделки во многом зависит от того, как соглашение составлено и учитываются ли интересы контрагентов.

ООО «АВТОМАКС» производит закупку продукции на внутренний рынок. Рассмотрим информацию о заключенных договорах с поставщиками ООО «АВТОМАКС» (табл. 3.3).

Таблица 3.3 - Информация о заключенных договорах с поставщиками ООО «АВТОМАКС» за 2007-2009 гг.

Показатели

2007 г.

2008 г.

2009 г.

Отклонение (+, -) 2009 г. от


кол-во

кол-во

кол-во

2007 г.

2008 г.





по кол-ву

по кол-ву

Всего заключено договоров из них:

164

196

217

53

21


Как показывают данные таблицы 3.3 ежегодно увеличивается количество заключенных договоров (за 2007-2009 годы на 53 договора).

Успех закупочной деятельности во многом зависит от того, как соглашение составлено и оформлено. Поэтому маркетинговой службе ООО «АВТОМАКС» всегда предстоит серьезная работа по разработке и согласованию конкретных условий будущего договора.

Договор регулирует отношения между ООО «АВТОМАКС» и производителем или сбытовым агентом, в процессе совместной деятельности по формированию и выполнению объемов поставки товаров бытовой химии для продажи. Он позволяет достичь максимально возможного соответствия объемов реализации и качества товаров потребностям и спросу покупателей.

Перед разработкой и заключением договоров возникают вопросы организационного, правового и экономического характера. Исходя из этого, разграничиваются обязанности по заключению договоров.

Отдел сбыта совместно с отделом снабжения определяют потребность в продукции на основе изучения спроса, анализа объема реализации продукции за предшествующие годы; отдел сбыта ведет поиск покупателей, конкретизирует основные условия договоров. В итоге определяется выгодность договора с точки зрения эффективной работы ООО «АВТОМАКС» и конечного потребителя.

Юрисконсульт осуществляет визирование договоров и отмечает их соответствие действующей правовой базы. После заключения договоров юрисконсульты производит учет (регистрацию), хранение договоров, готовят документы для предъявления исков.

Недостатком в работе отдела сбыта необходимо отметить тот факт, что не рассчитывается экономическая эффективность по каждой заключаемой сделке.

Договорная работа в ООО «АВТОМАКС» требует совершенствования.

Специалистам ООО «АВТОМАКС» целесообразно активизировать преддоговорную работу, то есть принимать участие в разработке проектов договоров совместно с поставщиками, что даст возможность оговорить выгодные условия поставки для обоих партнеров. При этом необходимо особое внимание уделить следующим пунктам договора:

- в договорах должны быть обязательно указаны документы, подтверждающие качество и безопасность товаров (в договоре может быть указан сертификат или его номер в сопроводительных документах), что будет способствовать поступлению на рынок качественных товаров;

важным условием договора является тара, упаковка, маркировка. Используемые виды тары обязательно должны быть оговорены в договоре. Также следует указать ГОСТы на тару;

доставке товаров и оплаты транспортных расходов, так как содержание этого пункта влияет на экономический результат - на статью расходов «Транспортные расходы». При условии самовывоза покупатели имеют право требовать от поставщика возмещать расходов по доставке товаров;

порядку и срокам оплаты, также влияющих на экономический результат. При разработке проектов договоров и согласовании условий договоров с покупателями должны быть учтены фактические сроки оборачиваемости по каждой товарной позиции и оптимальные сроки предоставления отсрочки платежа должны быть увязывать со сроками оборачиваемости товаров. В то же время следует четко указывать банковских или календарных дней предоставляется отсрочка платежа;

- так как договор - это юридический документ, следовательно установлены обязанности и стороны получают право требовать исполнение этих обязанностей и устанавливать санкции за их несоблюдение. Важно, чтобы имущественная ответственность в договорах была полномерной, регулировалось не только Положением о поставках товаров в Республике Беларусь.

Заключение

Закупочная логистика - это управление материальными потоками в процессе обеспечения предприятия материальными ресурсами.

На основании проделанной работы можно сделать следующие выводы.

. Наиболее распространенными и эффективными схемами выбора поставщика являются:

конкурсные торги;

письменные переговоры между поставщиком и потребителем.

В качестве критериев оценки поставщика принимают:

приемлемость цены;

качество поставляемой продукции;

качество обслуживания потребителей;

гибкость поставок;

наличие ограничений по размеру заказа;

дороги;

удаленность от потребителя;

кредитная история;

текущее финансовое положение;

психологический климат в коллективе.

Для сравнения вариантов поставщиков используют:

. Балльный метод. Выбирают систему баллов и шкалу наиболее значимых критериев оценки поставщиков (в долях единицы). Предпочтение отдается поставщику, набравшему наибольшую сумму баллов.

. Систему «Идеального поставщика». Определяют характеристики т.н. идеального поставщика и затем каждого реального претендента сравнивают с «идеалом».

. Систему «Расстановки приоритетов». По результатам прошлой деятельности поставщиков выбирают наиболее важные критерии оценки, метод измерения показателей деятельности, определяют относительную важность каждого параметра, определяют частные итоги (по каждому показателю), а затем суммируют, например, в баллах или очках.

. ООО «АВТОМАКС» является одним из ведущих поставщиков в Республику Беларусь запасных частей и смазочных материалов для автомобилей иностранного производства.

Компания представляет на белорусском рынке продукцию известных европейских предприятий, признанных во всем мире производителями запасных частей и смазочных материалов высочайшего качества и являющихся поставщиками своей продукции на сборочные конвейеры практически всех автомобилестроительных концернов.

Специалисты по продажам анализируют спрос и прибыльность продаваемых товаров, изучают претензии и пожелания клиентов, составляют портрет потребителя. На основе проведенных исследований специалисты по продажам и директор предприятия ООО «АВТОМАКС» определяют:

. Количество ассортиментных позиций.

. Цену каждой ассортиментной позиции.

. Товарный запас на складе.

. Значение каждой ассортиментной позиции.

. Причину роста или падения спроса.

. Потребность компании в новых товарах (какие именно новинки необходимы).

. Основными путями совершенствования работы с поставщиками на ООО «АВТОМАКС» являются:

при работе с поставщиками дирекция должна не только предоставлять поставщикам характеристики запрашиваемых товаров, но и рассказывать о потребностях клиентов. Поставщики предложат несколько вариантов продукта, возможно, у них появятся интересные идеи для предприятия.

составлять графики спроса на каждую группу товаров. По ним директор определяет, когда следует ожидать очередного вала заказов по каждому товару;

для оптимизации работы с поставщиками предлагается ввести таблицу параметров поставщиков, аналогичную таблице товаров,

организация рациональной договорной работы.

закупка материал поставщик потребность

Список источников


1.   Гаджинский А.М. Основы логистики: Учеб. пособие - М.: ИВЦ «Маркетинг». - 1995.

2.      Аникин Б.А. Логистика. Учебник Инфра-М - 2012.

3.   Гайдаенко А.А. Логистика: Учебник / А.А. Гайдаенко. - М.:КНОРУС, 2008. - 272 с.

4.      Новиков О.А. Логистика: Учебн. Пособие / О.А. Новиков, С.А. Уваров. - М.: ИНФРА - М, 2002. - 112 с.

5.   Сергеев В.И. Логистика в бизнесе: Учебник. - М.:Инфра - М, 2001. - 608 с.

6.   Аникин Б.А. Коммерческая логистика: Учебник / Б.А. Аникин. - М.: ТК Велби, Изд-во Проспкт, 2006. - 432 с.

7.   Бауэрсокс Доналд Дж., Клосс Дейвид Дж. Логистика: интегрированная цепь поставок. 2-е изд. / Пер. с англ. - М.: ЗАО «Олимп-Бизнес», 2010. - 387 с.

8.      Гаджинский А.М. Логистика: Учебник - 16 - е изд., перераб. и доп. - М.: Издательско-торговая корпорация «Дашков и Ко», 2008. - 402 с.

.        Лайсонс К., Джиллингем М. Управление закупочной деятельностью и цепями поставок: Пер. с 6-го англ. Изд. - М.: ИНФРА-М, 2008. -317 с.

.        Майкл Р. Линдерс, Харольд Е. Фирон. Управление снабжением и запасами. Логистика / Пер. с англ. - СПб.: ООО «Виктория плюс», 2008. - 487 с.

.        Голиков Е.А. Маркетинг и логистика. - М.: Издательский дом «Дашков и Ко», 1999. - 412 с.

12. Логистика: учеб. пособие/ под ред. И.И. Полещук. Мн.: БГЭУ, 2007. - 431 с.

Похожие работы на - Выбор поставщика при закупке ресурсов

 

Не нашли материал для своей работы?
Поможем написать уникальную работу
Без плагиата!
Без нейросетей!