Цилиндрические функции
КУРСОВАЯ
РАБОТА
Цилиндрические
функции
Оглавление
Введение
Глава I.
Дифференциальное уравнение Бесселя и его интегралы
.1
Дифференциальное уравнение Бесселя с дробным индексом
.2
Дифференциальное уравнение Бесселя с целым индексом
.2.1 Бесселевы
функции третьего рода
.3 Бесселевы
функции мнимого аргумента
.4
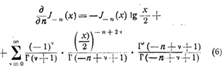
Рекуррентные формулы для бесселевых функций
.5 Бесселевы
функции, индекс которых равен целому числу с половиной
.6 О корнях
бесселевых функций
.7 Интеграл
Бесселя
.8 Интеграл
Пуассона
.9 Применение
теоремы Коши к интегралу Пуассона
1.10 Асимптотическое
представление 
при
больших значениях аргумента
.11 Асимптотические формулы
бесселевых функций
Глава II. Некоторые применения
функций Бесселя
.1 Бесселевы функции в
астрономии
.2 Приложение к теории
продольного изгиба
2.3
Приложение к теории гармонических функций
2.4 Пример
задачи на тепловое равновесие
.5 Тепловое
равновесие бесконечного цилиндра
.6 Обобщение
прежнего примера
.7 Задача из
электростатики
2.8
Разложение по бесселевым функциям
2.9
Дифференциальное уравнение второго порядка
Заключение
Список
литературы
Введение
Актуальность исследования. Функции Бесселя являются, по-видимому, наиболее
часто употребляемыми высшими трансцендентными функциями. Они чаще всего
встречаются в связи с решением дифференциальных уравнений в частных производных
методом разделения переменных, а также в связи с некоторыми определенными
интегралами. В монументальном трактате Ватсона (Ватсон, 1949), который является
основным трудом по функциям Бесселя, история этих функций прослежена вплоть до
И. Бернулли (около 1700 года). У Эйлера (1764) и Пуассона (1823) функции
Бесселя обычно связывались с дифференциальными уравнениями в частных производных,
возникавшими в теории потенциала, волнового движения и диффузии в
цилиндрических или сферических полярных координатах. Однако иногда функции
Бесселя встречаются в связи с другими дифференциальными уравнениями или
системами координат.
Одним из первых приложений Бесселевых функций, наличие которого
значительно содействовало появлению и развитию теории этих функций, был вопрос
об эллиптическом движении планет. Ряды, полученные Бесселем, позволили изучать
движение комет с такой же легкостью, как и планет.
Вильгельм Бессель (1784-1846) - один из величайших астрономов XIX ст.
Будучи мелким служащим торговой фирмы в Бремене, решил поступить на судно.
Изучая самоучкой астрономию, необходимую для мореплавания, он сделал в ней
такие успехи, что с 20-летнего возраста начал печатать статьи в специальных
астрономических журналах. Его работы (числом больше 400) охватили обширный круг
вопросов астрономии и геодезии, как теоретических, так и практических. Ему
принадлежит первое измерение размеров земного шара с почти современной
точностью. Он первый измерил расстояние до одной из неподвижных звезд. Работа,
в которой он изучал функции, названные его именем, написана им в 1824 г.
Современная теория Бесселевых функций-результат длинного ряда работ
многих ученых, в том числе таких крупных, как Пуассон, Якоби, Куммер, Риманн,
Ганкель и др. Из русских ученых много занимались Бесселевыми функциями академик
Сонин, Динник и Адамов. Одно совсем неожиданное приложение Бесселевых функций к
самым высоким областям теории чисел открыл замечательный русский математик Г.
Ф. Вороной.
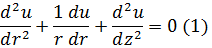
Цилиндрическими функциями называются решения линейного дифференциального
уравнения второго порядка

(1)
где
x - комплексное переменное,
n - параметр, который может принимать любые
вещественные или комплексные значения.
Термин
«цилиндрические функции» обязан своим происхождением тому обстоятельству, что
уравнение (1) встречается при рассмотрении краевых задач теории потенциала для
цилиндрической области.
Специальные
классы цилиндрических функций известны в литературе под названием функций
Бесселя, и иногда это наименование присваивается всему классу цилиндрических
функций.
Хорошо
разработанная теория рассматриваемых функций, наличие подробных таблиц и
широкая область применений служат достаточным основанием для того, чтобы
отнести цилиндрические функции к числу наиболее важных специальных функций.
Уравнение
Бесселя возникает во время нахождения решений уравнения Лапласа и уравнения
Гельмгольца в цилиндрических и сферических координатах. Поэтому функции Бесселя
применяются при решении многих задач о распространении волн, статических
потенциалах и т. п., например:
1) электромагнитные волны в цилиндрическом волноводе;
2) теплопроводность в цилиндрических объектах;
) формы колебания тонкой круглой мембраны;
) скорость частиц в цилиндре, заполненном жидкостью и вращающемся
вокруг своей оси.
Функции Бесселя применяются и в решении других задач, например, при
обработке сигналов.
Цилиндрические функции Бесселя являются самыми распространенными из всех
специальных функций. Они имеют многочисленные приложения во всех естественных и
технических науках (особенно в астрономии, механике и физике). В ряде задач
математической физики встречаются цилиндрические функции, в которых аргумент
или индекс (иногда и тот и другой) принимают комплексные значения. Для
численного решения таких задач необходимо разработать алгоритмы, позволяющие
вычислять функции Бесселя с высокой точностью.
Объектом исследования является решение дифференциальных уравнений.
Предметом исследования являются цилиндрические функции Бесселя.
Целью данной выпускной квалификационной работы является изучение функций
Бесселя и применение их свойств в решении дифференциальных уравнений.
Задачи:
1)
Изучить уравнение Бесселя и его интегралы: дифференциальное уравнение Бесселя с
дробным индексом, дифференциальное уравнение Бесселя с целым индексом,
бесселевы функции третьего рода, бесселевы функции мнимого аргумента,
рекуррентные формулы для бесселевых функций, бесселевы функции, индекс которых
равен целому числу с половиной, о корнях бесселевых функций, интеграл Бесселя,
интеграл Пуассона, применение теоремы Коши к интегралу Пуассона,
асимптотическое представление 
при
больших значениях аргумента, асимптотические формулы бесселевых функций.
)
Рассмотреть некоторые применения функций Бесселя: бесселевы функции в
астрономии, приложение к теории продольного изгиба, приложение к теории
гармонических функций, пример задачи на тепловое равновесие, тепловое
равновесие бесконечного цилиндра, задача из электростатики, разложение по
бесселевым функциям.
)
Решить дифференциальное уравнение второго порядка с использованием функции
Бесселя.
Структура
и объем работы. ВКР состоит из
введения и двух глав, заключения, списка использованной литературы. Текст
изложен на 70 страницах. Список литературы содержит 12 наименований.
Глава I. Дифференциальное уравнение
Бесселя и его интегралы
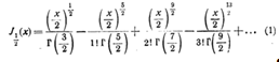
1.1 Дифференциальное уравнение Бесселя с дробным индексом
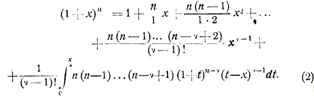
Решение многих вопросов приводится к интегрированию дифференциального
уравнения
цилиндрическая бесселева функции дифференциальный

(1)
При
этом n - коэффициент, имеющий целое или дробное значение. Это уравнение
называется уравнением Бесселя, а функции, удовлетворяющие ему, т. е. его
интегралы, называются функциями Бесселя. Так как уравнение (1) линейное,
второго порядка, то для его интегрирования достаточно знать два независимых
частных интеграла 
и 
. Тогда,
согласно теории линейных дифференциальных уравнений, общий интеграл будет
выражаться формулой: u=
+
. Здесь 
и 
- две
произвольные постоянные.
В
этом параграфе мы займемся отысканием интегралов при n дробном. Случай, когда n
целое число, оказывается более трудным и будет рассмотрен в дальнейшем. При n
произвольном не удается найти элементарную функцию, удовлетворяющую уравнению
(1). Поэтому Бесселевы функции являются новыми функциями, не выражающимися
через элементарные.
В
таком случае наиболее естественный способ решать уравнение (1) - это способ
рядов. Попробуем найти ряд, сумма которого удовлетворяла бы уравнению (1). Один
из рядов довольно общего характера, это ряд Маклорена. Многие функции f(x)
выражаются рядом Маклорена:
(2)
Обозначая
коэффициенты этого ряда, т. е. числа f (0), f(0), 
, ...
числами 
, ... ,
можем равенство (2) переписать так:
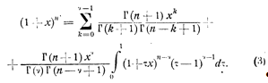
(3)
Однако
не всякая функция способна разлагаться в ряд Маклорена, например ни функция lg
x, ни 
не
разлагаются в ряд Маклорена - первая при х = 0 обращается в ∞, а у второй
fʹ(0) обращается в ∞. Можно подозревать, что данному
дифференциальному уравнению (1) удовлетворяет как раз такая функция, которая не
разлагается в ряд Маклорена, так как при х = 0 либо она, либо ее производные
обращаются в ∞.
В
самом деле уравнение (1) имеет вид:

Отсюда
находим:
В
правой части знаменатель при х = 0 обращается в нуль.
Поэтому
u(0) должна равняться 
, если
только u(0) и u'(0) имеют конечные, неравные нулю, значения.
В
виду сказанного ищем решение уравнения (1) в форме степенного ряда более общего
вида, чем ряд (3), а именно полагаем:
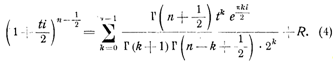
(4)
Здесь

какое-нибудь
число, может быть целое, может быть и дробное или отрицательное. Ясно, что при 
дробном,
по крайней мере, одна из производных и обращается в 
при х=0.
При 
отрицательном
сама функция и обращается в бесконечность при х = 0.
В
теории степенных рядов доказывается, что степенные ряды в области их сходимости
можно дифференцировать почленно сколько угодно раз - в этом они существенно
отличаются от рядов Фурье.
Дифференцируя
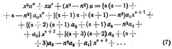
равенство 4) два раза, находим вместе с ним три равенства:
Уравнение
1) можно переписать по освобождении от знаменателя в таком виде: 
xuʹ+(x² -
n²)u=0 (6)
Умножив
равенство 5) соответственно на x², x, x² - n² и сложив, предварительно в правой части,
предварительно сгруппировав вместе слагаемые, содержащие одинаковую степень х.
После
этого получаем равенство:
Если
функция и удовлетворяет данному дифференциальному уравнению (1), то левая часть
равенства (7) должна равняться нулю при всяком значении х. Значит будет равна
нулю и правая часть. Для достижения этого достаточно выбрать коэффициенты 
, 
, 
, 
... и
показатель степени 
таким
образом, чтобы равнялись нулю коэффициенты при разных степенях х.
Таким
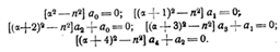
образом находим ряд уравнений, которые по упрощении можно написать так:
Первое
из них распадается на два множителя. При этом 
можем
считать не равным нулю. Поэтому 
- 
= 0, т.
е. 
=±n.
Положим 
. В таком
случае остальные уравнения после подстановки туда значения 
и после
упрощения примут вид:
отсюда
находим:
Подставляя
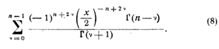
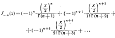
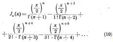
эти данные в равенство (4), находим:
Ряд,
полученный в скобках, сходящийся при всяком х. Полученная функция, т. е. и,
удовлетворяет данному дифференциальному уравнению при любом выборе оставшегося
неопределенным коэффициента 
. Для
симметрии и некоторых удобств в дальнейшем выбирают 
так,
чтобы было: 
Тогда
функция u, определяемая равенством (8), превращается в функцию Бесселя,
обозначаемую 
(х).
Равенство (8) можно будет после этого переписать в таком виде:
Раскрыв
скобки и воспользовавшись основным свойством Гамма-функции, это равенство можно
переписать еще в такой форме:
При
отыскании функции 
(х) мы
имеем уравнение: 
, решая
которое мы брали 
. Можно
было бы взять таким же образом 
. Тогда
при соответствующем выборе 
получили
бы другую бесселеву функцию 
, тоже
являющуюся интегралом уравнения (1). Она отличается от 
только
заменой знака перед n и разлагается в ряд, подобный ряду (10):
Если
n число дробное, то оба числа 
и 
отличны
от нуля, так как 
только в
том случае, когда s равно нулю или целому отрицательному числу. Поэтому
разложение (10) и (11) начинаются с разных степеней х и, следовательно, функции

и 
линейно
независимы, т. е. одна из них не получается из другой помножением на некоторую
постоянную. Таким образом при n дробном можем написать общий интеграл уравнения
x²u+xu+(x²-n²)u=0
в
таком виде:
(12)
Для

и 
можно
составить таблицы их значений, пользуясь рядами (10) и (11) и некоторыми
другими, которые выведем в дальнейшем и которые удобны при больших значениях х.
1.2
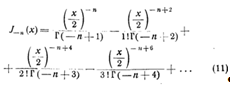
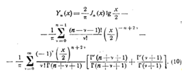
Дифференциальное уравнение Бесселя с целым индексом
При
n целом две функции 
и 
оказываются
линейно зависимыми друг от друга и формулы (12) уже не дает общего интеграла
уравнения Бесселя. В самом деле, если n целое положительное число, то в правой
части формулы (11) § 1 коэффициенты при n первых слагаемых обращаются в нуль в
силу равенств:
Поэтому
формула (11) § 1 принимает такой вид:
Поэтому
равенство (1) после упрощения становится таким:
Сравнивая
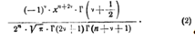
это с равенством (10) предыдущего параграфа, находим:
(2)
Таким
образом функции 
и 
при
целом n линейно зависимы, как было сказано.
Для
получения общего интеграла дифференциального уравнения Бесселя удобно исходить
из других частных интегралов. Все они получаются из формулы (12) § 1. Если в
ней придать постоянным 
и 
какие-нибудь
специальные значения, то получится один из частных интегралов уравнения (1).
Различные авторы получали таким образом различные Бесселевы функции. В
частности, например, если взять 
то
получится функция 
введенная
Вебером (1873 г.).
Таким
образом функция Вебера 
определяется
при n дробном равенством:
(3)
При
n целом
принимает неопределенный вид. В самом деле, знаменатель тогда очевидно
обращается в нуль, а числитель превращается в величину:
, которая равна нулю в силу равенства (2). Можно
однако раскрыть эту неопределенность, найдя величину предела дроби в правой
части равенства (3) при n стремящемся к целому числу. Для этого проще всего
применить правила Лопиталя, согласно которому, если при х = а числитель и
знаменатель дроби 
обращаются
в нуль, то
при
условии, что правая часть имеет смысл и что 
непрерывая
при x=a. В данном случае переменная в равенстве (3) обозначена через n, поэтому
при n целом получаем:
Выполняя
дифференцирования, находим:
Так
как sin = 0, a cos n 
=
при
целом n, то получаем для целых значений n:
Величины

и 
легко
вычислить.
Так,
например, имеем:
Отсюда получается:
Таким же образом находим:
Пользуясь равенством (2) и выделяя в сумму те слагаемые, у которых

,
получаем:
В
первой сумме слагаемые можно преобразовать, исходя из формулы:
При
s=0, -1, -2, -3,… получим:
Следовательно
при 
имеем:
Поэтому
первая из сумм превратится в такую:
Вторая сумма в формуле (7) может быть упрощена, если положить v = n+k
После этого она принимает вид:
Подставляя результаты (5), (7), (8) и (9) в равенство (4), получим:
При этом значок k в равенстве (9) переименован в v и слагаемые этой суммы
объединены со слагаемыми суммы равенства (5). Пользуясь формулой:
,
справедливой
при целом s, равенство (10) можем переписать в таком виде:
Функция
Вебера, с целым индексом n , разложение которой по степеням х только что
получено, сама найдена как предел функции Вебера с дробным n. Последняя
удовлетворяла уравнению Бесселя: 
при
дробном n.
Полученная
функция удовлетворяет такому же уравнению, но при целом n.
С
помощью функции Вебера общий интеграл уравнения Бесселя может быть написан в
такой форме:

носит
название функции Бесселя второго рода.
Для

тоже
можно составить таблицу значений. Формула (12) дает общий интеграл уравнения
Бесселя в любом случае - будет ли n целым или дробным безразлично.
1.2.1
Бесселевы функции третьего рода
Хотя
общий интеграл уравнения Бесселя может быть выражен через функции 
(x) и 
(x), но
в некоторых вопросах удобнее употреблять некоторые другие интегралы уравнения
Бесселя.
На
основании теории линейных дифференциальных уравнений эти интегралы должны быть
линейными комбинациями функций 
(x) и 
(x).
Из
таких интегралов особенно важны в некоторых вопросах функции Ганкеля 
и 
,
определяемые равенствами:

(x)+
(x), 
=
(x)
(x). (1)
Эти
функции, как это видно из их определения, имеют мнимые значения при
вещественных значениях х. Так как 
(x)
можно выразить через 
(x) и 
(x), то
и функции Ганкеля можно выразить через те же величины. При этом получаются
формулы:
Эти
функции справедливы и при целом n, если в правой части ставить предел, к
которому она стремится при приближении n к данному целому числу.
1.3
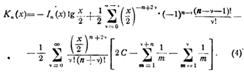
Бесселевы функции мнимого аргумента
В
некоторых приложениях математики, в частности в теории упругости, встречаются
Бесселевы функции мнимого аргумента. При четном n они вещественны, при нечетном
их значении часто мнимое. Поэтому обычно рассматривают не саму функцию 
, а
произведение ее 
. Такое
произведение обозначают символом: 
.
Следовательно по определению имеем: 
=
.
Разлагая
в ряд,
получаем:

(х)
удовлетворяет дифференциальному уравнению, которое тоже можно назвать
Бесселевым и которое получается из прежнего заменой переменных. Оно имеет вид:
+x
. (2)
Другой
интеграл этого уравнения может быть получен с помощью функции Вебера, но
удобнее однако рассматривать иную функцию, обозначаемую через 
(х). При
n дробном (но не равном целому с половиной) она определена равенством: 
(х)=
[
n 
. (3)
Если
же n стремится к целому числу
(х), то
принимает неопределенный вид, так как при этом множитель в скобках стремится к
нулю, a 
n 

.
Раскрывая неопределенность по способу, подобному прежнему, находим такое
разложение для при целом
(х)
значении n:
На
основании сказанного значение функции 
состоит
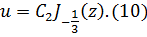
в следующем. При целом значении числа n общий интеграл сравнения: x²uʺ+xuʹ - (x²+n²)u=0 выражается равенством: u=
. (5)
При
этом, как более подробно будет видно из дальнейшего, а частично видно и сейчас,
характер изменения функций
и 
существенно
различный. При x=0 n
имеем: 
, 
.
Последнее происходит благодаря наличию lg
в
формуле (4). При x
как
видно из (1), величина 
быстро
возрастает до 
, а
величина 
, как
увидим потом. Для функций 
тоже
составлены таблицы, по крайней мере для небольших значений и, наиболее часто
встречающихся.
1.4
Рекуррентные формулы для Бесселевых функций
Между
тремя функциями Бесселя 
индексы
которых отличаются на единицу, существует простая линейная зависимость. Ее легко
получить исходя из разложения этих функций в ряды: Согласно формуле (10)
§
1 имеем по замене n на n-1 и n+1 два равенства:
Складывая
почленно (1) и (2), находим:
Таким
образом получилась формула, дающая линейную зависимость между тремя функциями
Бесселя 
, 

индексы
которых отличаются на единицу: 
+
=
(3)
Если
вычесть равенство (2) из равенства (1), то подобным же образом получится:
Правая
часть очевидно равняется величине 2
.
Следовательно:
(4)
Рекуррентные
формулы для бесселевых функций, т. е. формулы (3) и (4), полезны тем, что они
рекуррентны, это значит, что они сводят вычисление новых бесселевых функций к
вычислению других, известных раньше. Например, имея таблицу значений 
и 
с помощью
формулы (3), полагая в ней n = 1, получим величину 
: 
. Зная
величину 
и 
, можем
найти 
по
формуле 
и т. д.
Рекуррентным
формулам можно придать и иной вид. Так нетрудно проверить, пользуясь рядами,
подобно предыдущему, две следующие весьма простые формулы:
Они
дают возможность по данным 
и 
(x)
получить все величины 
, индекс
которых отличается от n на целое число. При этом приходится применять только
дифференцирование и умножение и деление на степени х.
Функция

и
функции 
и 
были
определены раньше с помощью функций 
.
Исходя
из определений, нетрудно проверить, что и для этих функций справедливы
соответствующие рекуррентные формулы.
Так,
например, имеем:
Рекуррентные
формулы для 
имеют
такой же вид, как и для 
, только
I заменяется на K.
1.5
Бесселевы функции, индекс которых равен целому числу с половиной
Рассмотрим
простейший случай n=
В этом
случае имеем
Величины
Гамма-функций, имеющиеся в знаменателе, находятся по формулам, данным в § 1
первой главы:
Подставляя
это в равенство (1) после упрощений найдем:
Подобным же образом доказывается равенство:
Таким
образом при n=
Бесселевы функции выражаются через элементарные. Так как функции 
и 
выражаются
через 
, то 
и 
тоже
могут быть выражены через элементарные функции.
С
помощью рекуррентных формул функции Бесселя при n=k+
, где k
целое число, могут быть выражены через функции половинного порядка, т. е. через

.
Поэтому
при n равном целому числу с половиной функции Бесселя могут быть выражены через
элементарные функции.
Например
при k целом положительном с помощью рекуррентных формул можно доказать
справедливость равенства:
Точно
так же с помощью рекуррентных формул можно доказать справедливость равенства,
дающего при целом k значение функции 
в
развернутом виде:
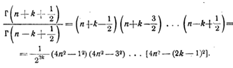
Здесь для краткости введены обозначения:
При
этом n=k+
и в
обоих случаях суммирование продолжается до появления в числителе множителей,
обращающихся в нуль.
Для
функции 
существует
аналогичная формула, только в ней тригонометрические функции 
и 
заменяются
гиперболическими.
Путь
доказательства равенства (5) таков. Сначала проверяется, что при k=-1 и +1
формула (5) дает верные результаты. Затем доказывается, что функция,
определяемая правой частью (5), удовлетворяет таким же рекуррентным формулам,
как и 
(x).
Сопоставление
этих результатов приводит к доказательству того, что (5) верно всегда при любом
целом k.
1.6
О корнях Бесселевых функций
В
дальнейшем мы увидим, что при вещественном значении n каждая функция Бесселя 
имеет
бесчисленное множество вещественных корней. Теперь мы рассмотрим некоторые
свойства этих корней. Для этого следует предварительно сделать несколько
замечаний.
Первое
из них состоит в следующем.
Пусть
даны u и v интегралы двух линейных дифференциальных уравнений:
+

(1)
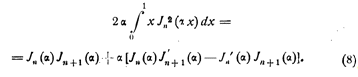
Помножая
первое из этих уравнений на v, а второе на u и вычитая их друг от друга,
находим:
Это
уравнение можно переписать и так:
Интегрируя
в пределах а и b это равенство, получаем:
(2)
Второе
замечание состоит в следующем: уравнение Бесселя
(3)
можно
привести к виду одного из уравнений (1), положив y=z*f(x) и подобрав
вспомогательный множитель так, чтобы в преобразованном уравнении не содержалось
слагаемого, содержащего z'. Простое вычисление показывает, что должны взять
f(x)=
, после
чего уравнение Бесселя превращается в такое:
. (4)
При
этом 
. Вместо
у можно взять 
. Таким
образом оказывается, что функция 
удовлетворяет
уравнению (4), имеющему вид уравнений (1). Подобно этому отсюда получается, что
функции
удовлетворяют уравнениям вида (1), а именно:
Применяя сюда равенство (2), при a=0, b=1 имеем:
Выражая здесь производные от бесселевой функции через саму функцию с
помощью рекуррентных формул и подставляя пределы интегрирования, находим:
Если
одно из чисел 
и 
, а
именно 
равно
нулю, то, полагая n=0, находим:
Если
равенство (6) продифференцировать по 
и потом
положить 
, то оно
обратится в такое:
Если
в равенстве (6) вместо чисел 
и 
взять
корни 
, т. е.
такие числа, что 
и 
, то оно
по сокращении на 
превращается
в такое:
(9)
Это
важное равенство выражает свойство функций 
и 
,
называемое ортогональностью. Оно аналогично тригонометрическим равенствам,
справедливым при 
:
Известно, как важна роль равенств (10) в теории рядов Фурье. Подобное же
значение имеет равенство (9) при разложении функций в ряды по бесселевым
функциям, к которым приводят некоторые задачи математической физики.
Равенство
(9) показывает, что функция 
не имеет
комплексных корней. В самом деле очевидно, что чисто мнимого корня вида 
функция 
иметь не
может, так как разложение в ряд 
содержит
только члены одного знака. Следовательно, если есть мнимый корень у функции 
, то он
вида 
, где a
.
В
таком случае 
, будучи
функцией с вещественными коэффициентами при степенях x, должна иметь и другой
корень 
,
сопряженный с 
, т. е. 
. Формула
(9) для этих 
и 
должна
принять вид:
Но
последнее равенство явно невозможно, так как 
, и притом
в силу сопряженности чисел 
и 
величины

и 
должны
быть мнимыми сопряженными; если одна из них равна 
, то
другая будет 
, а при
таких обстоятельствах:
В
заключение заметим, что x=0 является корнем функции 
, если
только 
и
остальные корни 
симметричны
относительно нуля: если число 
корень 
, то и -
тоже
корень. Последнее вытекает из того, что функция 
по
разделении на( 
дает
четную функцию.
Более
глубокие сведения о корнях Бесселевых функций можно получить на основании
результатов дальнейших параграфов. В частности, как будет показано в
дальнейшем, функция 
при
больших значениях х приближенно может быть представлена в виде равенства:
с
точностью до величин порядка 
. Отсюда
следует, что корни
, большие
по абсолютному значению, с значительной точностью равны корням уравнения:
1.7
Интеграл Бесселя
При
целых значениях числа n функция 
может
быть представлена в виде особого определенного интеграла, найденного Бесселем.
К нему можно придти исходя из следующей задачи. Функция 
четная
функция относительно 
обладает
периодом 2
.
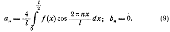
Согласно теории рядов Фурье она должна раскладываться в ряд Фурье,
расположенный по косинусам кратных углов, а именно должно быть справедливо
равенство:
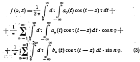
(1)
где
коэффициенты 
определяются
формулой:
(2)
Непосредственно
вычислить этот интеграл затруднительно. Можно избрать другой путь для
нахождения коэффициентов. Замечая, что
и
вводя обозначение 
, сможем
переписать равенство (1) в таком виде:
(3)
или
иначе:
(4)
Удовлетворить
этому равенству легко. Для этого пишем:
Перемножая
эти ряды, получим разложение величины 
по
степеням t. Коэффициент при 
должен
равняться величине 
.
Перемножая,
находим:
В
правой части получится 
в том
случае, если 
, т. е.
если 
, где m =
0, 1, 2, 3, ... При этом окажется: 
. Поэтому
равенство (7) можем переписать так:
Сравнивая
полученное равенство с (3) и (2), находим:
(9)
Заметим,
что по свойству интегралов от четных и нечетных функций справедливы равенства:
Помножив
второе на 
и сложив
с первым, получим после подстановки полученного в (9):
(10)
С
помощью равенства 
уравнение
(10) можно написать так:
(11)
Полагая

, после
преобразования получим:
(12)
Так
как подинтегральная функция периодическая, то вместо пределов интегрирования
можно взять любые числа, лишь бы они тоже отличались друг от друга на 2
. Поэтому
можем написать:
(13)
Последнее
можно переписать еще и так:
(14)
Это
и есть интеграл, найденный Бесселем. Предыдущий вывод существенно предполагает,
что n целое число. При n нецелом формула (14) становится неверной и должна быть
заменена другой, получающейся более сложным путем. Она имеет такой вид:
(15)
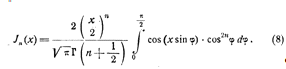
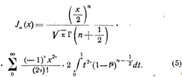
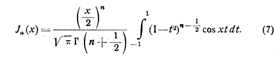
1.8 Интеграл Пуассона
Для изучения свойств Бесселевых функций имеет большое значение другое
интегральное представление их, открытое Пуассоном. Оно может быть получено,
исходя из разложения этих функций в степенной ряд, т. е. из равенства:
Умножим
числитель и знаменатель общего члена ряда Г(
и
воспользуемся формулой (6) § 8 гл. I, которая при s=
,
получает вид:
После
этого общий член ряда принимает вид:
Последнее
же очевидно равно такому выражению:
Последний множитель есть не что иное, как функция B (p,q) при

.
Поэтому,
если воспользоваться выражением B (p,q)= B (q,p) в виде определенного интеграла,
то величина (3) принимает вид:
Полагая

и
подставляя преобразованную величину (4) в равенство (1), находим:
Здесь
можно переставить суммирование и интегрирование. После этого под знаком
интеграла получится величина
,
очевидно
равная величине 
.
Поэтому
равенство (5) преобразуется в такое:
По свойству интегралов от четных функций его можно переписать и так:
Полагая
t = sin 
, получим
первоначальную формулу Пуассона:
Ясно,
что интегралы (6), (7) и (8) имеют смысл только при том условии, что n+
> 0,
иначе они не будут сходящимися, так как при t
или 
величины

или 
будут
стремиться к 
быстрее,
чем это следует для сходимости.
1.9
Применение теоремы Коши к интегралу Пуассона
С
помощью теоремы Коши об интегралах от функций комплексного переменного можно
получить из интеграла Пуассона еще одно интегральное представление, весьма важное
для теории функций Бесселя. Для этого прежде всего следует интеграл в равенстве
(7) § 8 переписать иначе, выразив с помощью формулы Эйлера cos tx через
показательную функцию. Таким образом получаем:

Изучим
первый интеграл. Для этого введем положительные числа N и p, из которых N будем
в дальнейшем увеличивать до бесконечности, а p
, и
применим теорему Коши. За подинтегральную функцию возьмем
,
где

считается
положительной при - 1 < t < 1 (эта функция многозначна при n дробном).
С
помощью полученного равенства Интеграл Пуассона можно переписать в таком виде:
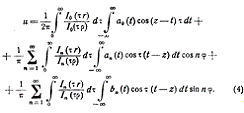
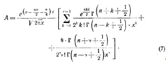
1.10
Асимптотическое представление 
при
больших значениях аргумента
Полученное
в конце последнего параграфа интегральное представление Бесселевой функции 
дает
возможность получить весьма важную для ее изучения формулу.
Путь
к этому состоит в разложении величины 
по
степеням t и в почленном интегрировании получающихся интегралов. При этом
однако приходится принять во внимание, что ряд для разложения величины 
для
значений t, превосходящих 2, расходящийся. В силу этого следует применить для
разложения величины 
формулу
Тэйлора с остаточным членом и изучить интегралы отдельных слагаемых.
С
помощью известной формулы:
можно
получить
Преобразовав
коэффициенты с помощью формул теории Гамма-
функций,
а интеграл с помощью подстановки t = x
,
получаем:
Заменяя
здесь n на 
, x на 
находим:
При этом для краткости положено
Подставляя
величину 
,
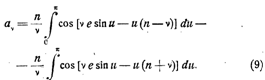
выраженную с помощью равенства (4) в первый интеграл формулы (8) § 9, находим
равенство:
В
последнем интеграле, если 
,
оказывается, что модуль величины

меньше
единицы и поэтому
В
равенстве (6) примем по внимание последнее неравенство, а также формулу теории
Гамма-функции:
После
этого равенство (6), если в нем для краткости обозначить левую часть через А,
получает вид:
При
этом 
означает
величину, меньшую по абсолютной величине, чем единица. Кроме того можно еще
написать в явном виде получившееся отношение Гамма-функции, а именно находим:

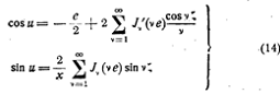
Складывая (7) и (8) и упрощая результат с помощью формул Эйлера для
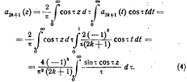
мнимых показателей, получим окончательно:
Здесь для краткости введено обозначение:
Формула
(9) доказана здесь для вещественного х. Следуя тем же путем, она может быть
доказана при любом комплексном значении х, удовлетворяющем условию: 
. При
этом однако оценка остаточного члена будет не такая удобная - величина 0,
меньшая единицы по абсолютному значению, должна быть заменена другой величиной,
верхний предел модуля которой будет все же меньше некоторой постоянной,
величина которой связана с величиной аргумента х.
Формула
(9) имеет крайне важное значение. При больших значениях х представление 
в виде
ряда по возрастающим степеням х весьма неудобно - в этом случае величина 
сама
мала, а ряд состоит из слагаемых разного знака. Величина некоторых из этих
слагаемых весьма велика. Таким образом при большом х ряд
представляет
величину 
самым
невыгодным способом - ряд медленно сходится и представляет малую величину в
виде разности больших. Представление 
по
формуле (9) как раз при больших х очень хорошо, так как слагаемые сумм
быстро
убывают по мере удаления от начала, в виду наличия в них больших знаменателей.
Если в формуле (9) ограничиться только первыми слагаемыми, то она принимает
вид:
Эта
формула верна с точностью до величины порядка 
. Из нее
видно, что график функции 
вдали от
начала координат имеет вид затухающей волны почти постоянной длины. Корни
функции 
при
больших значениях х близки к корням функции 
Следует
заметить, что при выводе было сделано ограничение относительно n -
предполагалось, что n
Некоторым видоизменением предыдущего вывода можно показать, что это ограничение
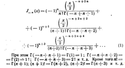
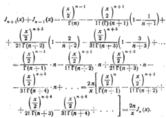
несущественно - формула остается в силе при любых n.
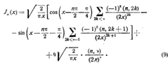
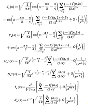
1.11
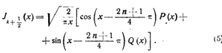
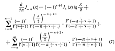
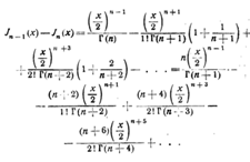
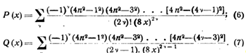
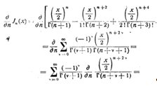
Асимптотические формулы Бесселевых функций
Все
Бесселевы функции получались из функций 
, поэтому
и для них справедливы асимптотические формулы, аналогичные формулам (9). Для
краткости мы не дадим вывода их, а ограничимся только тем, что приведем сами
формулы для всех функций, не исключая и 
.
Первые
четыре формулы верны при условии: 
. Две
последние относятся лишь к таким значениям x, для которых выполняется условие: 
. В этих
формулах O(
означает
такую величину, отношение которой к 
при
беспредельном возрастании [х] остается меньше некоторой постоянной. Величины O(
имеют
подобное же значение. Если х положительно, то всюду в этих формулах символ 
можно
заменить первым из ненаписанных членов суммы, умноженным на величину, меньшую
двух по абсолютному значению.
Например
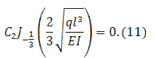
при 
, n = 0
находим по последней формуле, беря m = 2:
Так
как
Следовательно
Отсюда:
Глава II. Некоторые применения
функций Бесселя
2.1 Бесселевы функции в астрономии
Одним из первых приложений Бесселевых функций, наличие которого
значительно содействовало появлению и развитию теории этих функций, был вопрос
об эллиптическом движении планет. Пусть планета М (рис.) движется по эллипсу, в
фокусе F которого находится солнце. Согласно закону Кеплера площадь,
описываемая радиусом-вектором из солнца до планеты, пропорциональна времени.
Если время t отсчитывать от момента прохождения через перигелий, т. е. через
точку А, полный оборот планеты вокруг солнца назвать Т, а полуоси эллипса
обозначить через а и b, то по закону Кеплера имеем:

(1) пл.
AFM=
(2)
С
другой стороны, площадь AFM легко получить из геометрических соображений.
Эллипс ABCD можно рассматривать как проекцию круга с радиусом ОА, причем
площадь какой либо части эллипса равна площади соответственной части круга,
умноженной на величину 
. Поэтому
пл.
AFM =
пл. 
Последняя
легко вычисляется. Если обозначить через u угол 
,то
очевидно имеем:
Здесь
е - эксцентриситет эллипса, равный отношению 
.
Помножая
последнее равенство на 
,
получаем:
пл.
AFM =
(3)
Если
подставить полученное в равенство (2), то по упрощении получится так называемое
уравнение Кеплера:

(4)
Величина

имеет
простое геометрическое значение. Она очевидно равна углу 
, который
опишет радиус из центра до точки 
равномерно
движущейся по окружности с продолжительностью оборота Т. Угол 
называется
средней аномалией планеты в момент t, а угол и эксцентрической аномалией.
Среднюю аномалию 
в момент
t легко найти по формуле: 
. Чтобы
определить положение планеты в момент t, надо найти u,
т.
е. решить уравнение Кеплера, которое можно переписать так:

. (5)
Для
определения и достаточно знать величины cos u и sin u. Мы решим более общую
задачу, найдем cos nu, sin nu, где n - некоторое целое число. Из рассмотрения
условий движения планеты вытекает, что при увеличении 
на 2
и u
увеличивается на 2
, в виду
того, что точки 
и 
совершают
полный оборот в одно время. Поэтому при целом n величины cos nu и sin nu при
увеличении 
на 2
не
изменяются. Известно, что периодические функции весьма общего характера, к
которым относятся cos nu и sin nu, разлагаются в тригонометрический ряд Фурье.
Таким образом должно быть:
При
этом коэффициенты этих рядов согласно теории рядов Фурье должны выражаться
формулами:
Для
вычисления этих интегралов полезно выразить 
через u
с помощью уравнения Кеплера:
Кроме
того ясно, что при 
= 0 и 
= 
величина
u тоже равна нулю и 
соответственно.
Поэтому, например:
Очевидно
при n=1 окажется: 
, 
будет: 
. При
вычислении остальных коэффициентов 
полезно
сначала интегрировать по частям, что дает при 𝜈
равенство:

Проинтегрированная
часть равна нулю. В полученном интеграле произведение синусов можно превратить
в разность косинусов, а угол 
после
этого заменить величиной 
. После
простых преобразований получается:
Оба
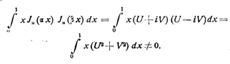
получившиеся интеграла имеют вид:
Если
рассматривать этот интеграл как функцию от x, то это и будет функцией Бесселя 
, как это
было показано в главе I, и Бессель именно таким образом и пришел к интегралу
(10). В виду сказанного равенство (9) можно переписать так:
Подобное же вычисление дает равенство:
Подставляя (11) и (12) в (6), получим разложения для cos nu и sin nu.
Например при n = 1 находим:
Пользуясь рекуррентными формулами, эти ряды можно переписать еще и так:
Эти
ряды, полученные Бесселем, сходящиеся при всех значениях 
и при
любом эксцентриситете эллипса. До Бесселя эта задача решалась, например,
Лапласом с помощью рядов, расположенных по степеням эксцентриситета е. Эти ряды
позволяли изучить движение планет лишь по таким эллипсам, у которых эксцентриситет
не превосходил величины 0,66274. Они не были применимы для изучения движения
комет. Ряды Бесселя позволили изучать движение комет с такой же легкостью, как
и планет.
2.2 Приложение к теории продольного изгиба
При современном состоянии техники вопросы теории упругости имеют весьма
существенное значение. Здесь мы рассмотрим одну из простейших в математическом
отношении задач теории упругости, решаемую с помощью Бесселевых функций.
Если тонкую линейку достаточно сильно сжать с концов силами, направленными
к ее середине, то она согнется. Это простейший пример продольного изгиба.
Колонны зданий, стержни различных механизмов и т. д. испытывают сжимающие силы,
направленные вдоль их к средине. Для прочности зданий и механизмов существенно
важно, чтобы ни колонны, ни стержни не подвергались продольному изгибу. Чтобы
предупредить изгиб, необходимо уметь рассчитывать равновесие стержня,
изогнутого силами, действующими вдоль.
Рассмотрим продольный изгиб однородного призматического или
цилиндрического стержня под действием его веса, предполагая нижний конец
заделанным, а верхний свободным (рис. 3).
Как
известно из сопротивления материалов, уравнение изогнутой упругой линии таково:

(1)
При
этом Е - модуль Юнга, I-момент инерции поперечного сечения относительно оси,
проходящей через центр тяжести сечения перпендикулярно плоскости изгиба.
Величина
М, стоящая в правой части равенства, есть изгибающий момент, выражаемый в
данном случае определенным интегралом:
Здесь

- вес
единицы длины стержня. Подставляя (2) в (1) и дифференцируя, получаем:

Здесь
оказывается выгодно ввести новую независимую переменную, положив
Если
обозначить производные от у по новой переменной буквами: 
, то
получим:
Таким же образом находим:
Полагая
здесь 
,
приходим к такому уравнению:
Ясно,
что это уравнение Бесселя при 
. Поэтому
общий интеграл уравнения (5) согласно § 1 главы I имеет вид:
В силу условий закрепления стержня на нижнем конце имеем:
Поэтому
при 
величина
y, т. е. u, обращается в нуль. На верхнем конце имеем:
Последние из условий (7) можно переписать так:

При малых значениях z в разложениях u и u' по степеням z можно удержать
только первые члены. Поэтому, пользуясь равенством (6), находим:
После этого равенство (8) принимает вид:
Отсюда
следует 
. Таким
образом (6) принимает вид:
На
нижнем конце, т. е. при 
,
величина u должна обращаться в нуль, т. е. должна быть:
С
помощью таблиц функции 
нетрудно
подыскать те значения, при которых эта функция обращается в нуль. Наименьшее из
таких значений приблизительно 1,87.
Полученное
показывает, что пока величина 
остается
меньше, чем 1,87.
Продольный
изгиб стержня под действием собственного веса не имеет места. В этом случае при
случайном малом отклонении стержня он возвращается в состояние покоя т. е. в
исходное вертикальное положение. Если, наоборот, величина 
больше,
чем 1,87, то стержень неустойчив на продольный изгиб. В этом случае при малом
отклонении стержень может под действием силы тяжести значительно отклоняться от
вертикали.
Условие
равновесия можно представить в виде неравенства:
В данном случае рассматривался изгиб стержня, однородного по своей длине,
причем сила его веса, рассчитанная на единицу длины, была постоянной. В более
общем случае стержень может изменять свою толщину от одной части к другой.
Нагрузка в точках его тоже может быть переменной. Если жесткость стержня, т. е.
EI, меняется вдоль стержня по формуле:

и
если нагрузка в точке x выражается формулой 
то
решение тоже проводится к Бесселевым функциям. В этом случае полезна
подстановка:
Если положить для краткости:
то подобно прежней задаче можем найти:
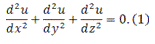
2.3 Приложение к теории гармонических функций
Дальнейшие примеры будут иметь общий характер. В них вопрос будет
сводиться непосредственно к интегрированию уравнения в частных производных. Эта
задача часто встречается в математической физике. Нередко удается особым
приемом свести ее к интегрированию обыкновенных уравнений. Во многих случаях
одно из этих уравнений оказывается Бесселевским.
В этом параграфе мы рассмотрим одно из важнейших уравнений математической
физики-уравнение Лапласа:
Оно
встречается во многих вопросах. В теории распространения тепла температура и
внутри однородного тела при установившемся температурном распределении
удовлетворяет уравнению (1). В теории электричества потенциал в точке 
есть
функция координат точки. В однородном изоляторе, например в пустоте, эта
функция удовлетворяет тому же уравнению. В гидродинамике в случае
установившегося движения вопрос о течении жидкостей изучается с помощью особой
функции, называемой потенциалом скоростей. Эта функция тоже удовлетворяет
уравнению Лапласа. Таким образом функции, удовлетворяющие уравнению Лапласа,
встречаются во многих вопросах. Поэтому естественно, что они получили особое
название - они называются гармоническими.
Во
многих случаях в задаче, приводящей к уравнению Лапласа, имеется осевая
симметрия. Так, например, если дело идет о потенциале вокруг проводника,
идущего по оси OZ, то эта ось будет осью симметрии. Точно так же если изучается
электрическое поле вокруг заряженной круглой пластинки, расположенной в
плоскости XOY с центром в начале координат, то ось OZ тоже будет осью
симметрии. В таких случаях естественно рассчитывать, что наиболее удобными
координатами будут не прямоугольные 
, а
цилиндрические 
и z,
связанные с прямоугольными формулами:

(2)
Уравнение
(1), преобразованное к этим координатам, имеет вид:
Уравнение Лапласа принадлежит к числу линейных. Основное свойство таких
уравнений состоит в том, что сумма нескольких частных интегралов уравнения,
помноженных на произвольные постоянные, дают новый интеграл. Таким образом
важной задачей является отыскание различных частных интегралов уравнения
Лапласа. Попробуем отыскать такой частный интеграл уравнения (3), который
распадался бы на произведение трех функций:
При
этом 
должна
зависеть только от переменной 
, 
только
от переменной 
, a 
только
от z. Подставляя (4) в (3), находим:
Разделив
на 
,
находим:
При
этом по условию первые три слагаемые не содержат z, а следовательно не должно
содержать его и последнее слагаемое. А так как величина 
, не содержит
ни r ни 
, то она
должна быть постоянной: 
После
этого равенство (6) превращается в такое:
Его можно переписать и так:
Опять
применимы прежние соображения. Первые три слагаемых не содержат 
, а
следовательно и последнее не должно содержать 
, иначе
сумма не давала бы нуль. При этом величина 
не
содержит r, следовательно она не содержит ни r ни 
, т. е.
постоянная: 
Равенство
(9) дает после этого
Последнее можно переписать в таком виде:
Таким образом мы нашли, что уравнение (3) имеет решение, распадающееся на
три множителя, каждый из которых содержит только одну переменную, только при
этом множители R, Ф и Z должны удовлетворять уравнениям (12), (10), (7) при
каком-нибудь выборе постоянных а и b. Характер функций R, Ф и Z существенно
зависит от знака постоянных а и b. Если а положительная, например a=n²,
то (7) дает:
Интегрируя это уравнение, находим:
При
бесконечном возрастании абсолютной величины независимой переменной z функция Z,
а с ней 
тоже
бесконечно возрастает. Обыкновенно такой характер изменения и недопустим по
физическим соображениям, поэтому положим, что a отрицательно: 
. Тогда
уравнение (7) дает:
Интегрируя его, получаем:
Если
желательно, чтобы функция и была однозначна, то при неизменных r и z и при
увеличении 
на 2
величина
u не должна меняться. Поэтому функция Ф должна быть периодической с периодом 2
. Отсюда
следует, что в равенстве (10) величина b должна быть отрицательной. Пусть 
, тогда
(10) превращается в такое равенство:
Отсюда получается:
Для
того чтобы функция Ф имела период 2 
,
необходимо, чтобы m было целым числом.
При
сделанных предположениях, т. е. при 
, 
уравнение
(12) превращается в такое:
Полученное
уравнение похоже на уравнение, которому удовлетворяет функция 
:
Если
положить в уравнении (19) 
, то
После подстановки в уравнение (19) находим:

+
Отсюда,
получается:
Найдя
R, Ф и Z и перемножив их, получаем частный интеграл уравнения Лапласа. При этом
величина коэффициентов 
совершенно
произвольно, а число m может быть произвольным целым числом. Таким образом
предыдущее дает возможность находить бесчисленное множество частных интегралов
уравнения Лапласа. Помножая их на произвольные постоянные и складывая, найдем
более общий интеграл. Располагая выбором множества произвольных постоянных и,
следовательно, имея возможность выбирать из большого множества интегралов,
Можем рассчитывать найти и тот интеграл, который отвечает данной задаче.
Примеры этого рассмотрим в следующих параграфах.
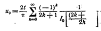
1.4 Пример задачи на тепловое равновесие
Пусть
требуется определить установившееся распределение температуры в пространстве
между двумя плоскостями: 
и 
и
расположенного снаружи от цилиндра, ось которого расположена по оси OZ, а
радиус равен единице. При этом будем предполагать, что в верхней и нижней
плоскости поддерживается температура равная нулю, а на поверхности цилиндра
температура поддерживается на постоянном уровне t. Таким образом там u = t.
Вводя
цилиндрические координаты 
,
замечаем, что распределение температуры на поверхности не зависит от угла 
.
Естественно
ожидать, что и вообще распределение температуры не будет зависеть от 
. При
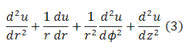
этом уравнение теплопроводности, взятое в цилиндрических координатах, т. е.
уравнение (3) предыдущего параграфа, принимает вид:
Согласно предыдущему его частный интеграл может быть представлен в форме:
RZ, где R зависит только от Rr, a Z содержит только координату z. При этом Z и
R должны удовлетворять уравнению (7) и (12) т. е. уравнениям
В данном случае положено в этих уравнениях b = 0, так как при этом
получается Ф = const.
Если взять а равным отрицательному числу: а = - n²,
то получатся такие
частные решения для уравнений (2):


(3)
Пользуясь ими, составляем произведение RZ и находим такие частные решения
для u, равного RZ:
По
физическим соображениям ясно, что при 
температура
и должна стремиться к нулю. Поэтому 
и 
отбрасываем,
так при 
функция 
.
На
основании теории линейных уравнений можем из частных интегралов 
и 
получить
множество новых интегралов, помножая на произвольные постоянные и складывая.
Таким образом находим интеграл и уравнения (1) в весьма общей форме:
Здесь
n может принимать любой ряд возрастающих значений, а коэффициенты 
и 
могут
иметь любые значения, ограниченные лишь условиями, налагаемыми сходимостью ряда
(5) и законностью двукратного его дифференцирования. Чтобы узнать, какие именно
значения придать постоянным n, 
и 
,
необходимо воспользоваться условиями на поверхности. Полагая r=1, из уравнения
(5) находим:
Это равенство похоже на разложение функции в ряд Фурье. Если выбрать
постоянные соответствующим образом, то оно и будет этим разложением. Из теории
рядов Фурье известно, что любая функция f(x), удовлетворяющая условиям весьма
общего характера, разлагается в ряд Фурье:
При
этом коэффициенты 
и 
определяются
равенствами:
В
случае, если 
четная
функция, т. е. 
то тогда
эти формулы можно заменить такими:
Если
же 
, т. е.
если 
нечетная,
то
В
данном случае разлагаемая функция остается постоянной при изменении z от - h до
h. Поэтому разлагаем f(x), определяемую условием: f(x) = t при 
и 
при 
.
Разложение
имеет вид:
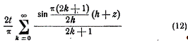
Сумма
ряда правой части равна 
, если 
, и равна

, если 
. Полагая
x=h + z, находим, что ряд
равен

при 
.
Упрощая
(12), находим, что при 
имеет
место равенство:
Сравнивая
с этим равенством формулу (6), находим, что они будут совпадать, если выберем
n, 
, 
так:
Подставляя найденные результаты в равенство (5), находим:
Функция
u, представляемая рядом (15), выполняет все условия задачи. В самом деле,
благодаря убыванию функции 
при
больших значениях аргумента ряд (15) при r
, т. е.
вне цилиндра сходится, и может быть дважды дифференцируем. Поэтому его сумма
остается гармонической функцией от r и z подобно ее слагаемым.
Кроме
того при r= 1 равенство (15) обращается в справедливое тождество (13). Наконец
на плоскостях 
н при 
находим:
u = 0 в силу равномерной сходимости ряда и того обстоятельства, что при 
имеем:
Если
в формуле (15) заменим функцию 
на 
то
получится решение задачи распределения температуры внутри цилиндра, на боках
которого температура равна t, а на основаниях равна нулю:
При этом ряды (15) и (16) будут быстро сходящимися, если величина r не
близка к единице.
Например из (16) при z = 0, r=0 находим:
Если
взять цилиндр с осевым сечением в виде квадрата, то 
, и
следовательно:
Ограничиваясь
одним первым членом, получаем:
Дальнейшие члены ряда (18) весьма малы в силу быстрого возрастания
знаменателей. Так при k = 1 находим:
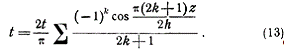
2.5 Тепловое равновесие бесконечного цилиндра
Предположим,
что на поверхности цилиндра, ось которого совпадает с осью OZ, поддерживается
температура, равная
. Пусть
радиус цилиндра равен 
.
Требуется определить температуру и в любой точке внутри цилиндра. В данном
случае очевидна полная симметрия относительно оси OZ. Поэтому u совсем не
должно зависеть от 
В
формуле (18) § 3 полагаем m = 0, Ф = 
. Кроме
того задание симметрично относительно плоскости XOY-при +z и при -z температура
должна быть одинаковой. Поэтому в формуле (16) § 3 полагаем 
= 0, 
. В силу
условия m = 0 равенство (22) § 3 получает вид:
Иначе говоря, имеем:

Здесь
А некоторая величина, постоянная относительно r и z, но могущая изменяться при
разных n. Для дальнейшего следует воспользоваться теоремой Фурье, согласно
которой любая функция f(x) весьма общего характера, удовлетворяющая притом
условию конечности величины интеграла 
, может
быть представлена в виде двойного интеграла:
В
частности если 
т. е.
если 
четная
функция, то формула (3) может быть написана в более простом виде:
Если
же 
т. е. 
нечетная,
то
Например
в данной задаче участвует функция 
Согласно
формуле Фурье (4) она может быть представлена в таком виде:
На
первый взгляд формула Фурье может показаться весьма непрактичным превращением
простой величины, например
в
сложный вид двойного интеграла. Однако, как увидим сейчас, это не совсем так.
Из равенства (2) и свойства линейных уравнений вытекает, что и функции такого
вида:
т.
е. функции, получаемые сложением или интегрированием по коэффициенту n (или
другим вспомогательным переменным, лишь бы не r и z), будут гармоническими
функциями. В частности составим, например, функцию 
,
подобную правой части равенства (6):
Функция
F (r, z) получилось из функции 
интегрированием
по n и t (а не по r и z), и поэтому удовлетворяет уравнению Лапласа, т. е.
может представлять установившееся распределение температуры внутри тела. При 
, т. е.
на поверхности цилиндра, (находим под интегралом сокращаются Бесселевы функции)
Согласно
(6) правая часть равна 
. Поэтому

. Таким
образом 
такая
функция, которая удовлетворяет уравнению Лапласа, а на поверхности цилиндра
равна 
т. е.
равна заданной температуре. Можно доказать, что из всех функций, конечных при 
, только
одна будет гармонической, а на поверхности равна заданной функции. Поэтому 
как раз
и будет равна u, т.e. искомой температуре внутри цилиндра.
Следовательно,
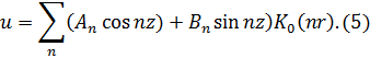
получаем:
Лаплас
доказал, что
Поэтому окончательно находим:
Эта
формула дает возможность вычислить температуру в любой точке внутри цилиндра.
Вычисление интеграла не представляет затруднений. В самом деле, в виду того,
что 
возрастающая
функция, имеем неравенство: 
Далее
находим:
Остающуюся
величину, т. е. 
нетрудно
вычислить, например, с помощью формулы Симпсона. Значения функции 
, нужные
при этом берутся из таблицы.
2.6
Обобщение прежнего примера
Только
что рассмотренный пример есть частный случай задачи, известной в теории
гармонических функций под именем задачи Дирихле. Она состоит в отыскании гармонической
функции, принимающей на данной поверхности заданные значения. Если поверхность
замкнутая, то задача Дирихле определенная. В данном случае поверхность была
бесконечный незамкнутый цилиндр. Здесь задача имеет бесчисленное множество
решений. Если однако искать только такие функции, которые остаются конечными
при беспредельном возрастании |z|, то задача имеет только одно решение. Это
доказано автором данной книги.
Рассмотрим
более общий случай задачи Дирихле для цилиндра. Предположим, что на поверхности
цилиндра, т. е. при r=
,
значения гармонической функции u определяются равенством: 
.
Требуется найти значения функции u внутри цилиндра. Замечаем, что при
определенном выборе переменного z величина 
становится
функцией одного только 
и притом
периодической в силу однозначности и на поверхности цилиндра. Поэтому на
основании теории рядов Фурье функцию 
можно
разложить в ряд Фурье при весьма общих предположениях относительно 
. Поэтому
должно быть:
Коэффициенты

и 
будут
при этом некоторыми функциями от z, которые мы обозначим через 
и 
.
Согласно теории рядов Фурье эти коэффициенты могут быть определены по формулам:
В
формуле (1) коэффициенты 
и 
можно
выразить с помощью интеграла Фурье. Тогда она примет такой вид:
Представленная
таким образом функция 
есть
предел суммы слагаемых вида 
или 

.
умноженных на множители, постоянные относительно 
. На
основании данных § 3 мы знаем, что функции 
будут
гармоническими.
Поэтому,
если снабдить подинтегральные функции в равенстве (3) множителем 
, то
подинтегральные функции, а следовательно и вся правая часть будет гармонической
функцией. Однако при 
полученная
функция может не быть равной 
, так как
множитель 

не равен
единице.
Чтобы
получить гармоническую функцию и притом обращающуюся в 
, нужно
взять множителем не 
, а
величину 
, которая
отличается от 
лишь
постоянным множителем относительно r, а при 
обращается
в единицу.
Таким
образом окончательный ответ оказывается таким:
Если
требуется решить задачу Дирихле для пространства, расположенного снаружи от
цилиндра, то функция 
будет
неприменима, так как при 
и дробь 
. В этом
случае множитель 
, стоящий
под интегралом формулы (4) должен быть заменен множителем 
По
свойствам функции этот множитель стремится к нулю при 
.
Полученный
ответ на первый взгляд может показаться чрезмерно сложным. Однако и сама задача
Дирихле достаточно сложна. Например, если дело идет о тепловом равновесии, то
температура внутри цилиндра должна зависеть от температуры всех точек
поверхности. Последняя может меняться вдоль по поверхности весьма прихотливым
образом. Формула должна учесть взаимодействие всех этих, быть может, очень
сложных влияний, и нет основания думать, что существует возможность охватить
всю сложность действительности простым образом.
Следующий
пример имеет целью показать, что формула (4) и аналогичная ей при всей своей
внешней сложности достаточно проста, чтобы допустить фактическое вычисление
интересующей нас величины.
2.7 Задача из электростатики
Предположим, что цилиндр радиуса равный единице соединен с землей и
потенциал его таким образом нуль. На поверхности цилиндра выделен с помощью
изоляции участок, ограниченный с боков двумя образующими, а сверху и снизу
двумя полукругами (рис. 4). Выделенный участок поверхности цилиндра ABDCEF имеет
потенциал единица. При этом, положим, дано Ag = gF =1. Требуется найти
потенциал в любой точке снаружи от цилиндра. В данном случае поступаем, следуя
пути, указанному в предыдущем параграфе.
Функция

определяется
теперь условиями:
) 
=0 при
|z|
) при

величина

=1, если 
и равна
нулю, если 
лежит в
одном из интервалов 
Разлагаем

в ряд
Фурье. При 
находим:
При
этом функция 
четная
относительно 
и
коэффициенты 
и 
определяются
формулами:
Очевидно

При (z)
имеем: 
,
следовательно 
.
Таким
образом находим: 
Здесь

при (z)
и 
в
противном случае. Величину 
можно
представить интегралом Фурье. Согласно (4) § 5 находим:
Равенство
(3) после замены 
интегралом
(4) получает вид:
Если
помножить подинтегральную функцию на дробь 
то
полученная функция будет рядом интегралов от функции 
следовательно
по § 3 будет гармонической. С другой стороны, ясно, что при r=1 дробь 
обращается
в единицу, а полученная функция обращается в заданную 
. Таким
образом потенциал и будет вне цилиндра выражаться формулой:
Так,
в точке Н, в которой 
,
получим:
Если решать вопрос о распределении потенциала внутри цилиндра, то функции
K должны быть заменены функциями I. Потенциал u будет выражаться равенством:
Интегралы в формулах (6), (7), (8) могут быть легко вычислены приближенно
в виду быстрого уменьшения подинтегральной функции. Благодаря этому интеграл до
бесконечности может быть заменен интегралом до конечного и не очень большого
предела, а последний может быть вычислен, например, по формуле Симпсона. При
этом оказывается, что величины этих интегралов с возрастанием 2k+1 быстро
уменьшаются. Поэтому достаточно взять немного членов бесконечного ряда, чтобы
получить значительную точность. Сказанное будет особо справедливо при больших r
в формулах (6) и (7). В формуле (8) при r близких к нулю сходимость будет
однако медленная. Определение u при r=0 непосредственно по формуле (8)
невозможно и требует довольно сложных дополнительных исследований.
2.8 Разложение по Бесселевым функциям
В виде примера еще одного способа применения Бесселевых функций рассмотрим
задачу об установившемся распределении тепла в бесконечном цилиндре круглого
сечения, опирающемся основанием на плоскость XOY. При этом ось симметрии
цилиндра примем за ось OZ (рис. 5). Для простоты решения ограничимся простейшим
случаем, а именно будем считать, что на боковой поверхности поддерживается
температура, равная нулю, а на основании цилиндра температура и зависит только
от расстояния r до оси цилиндра u=f(r). Радиус цилиндра примем за единицу.
Согласно § 3 дело сводится к нахождению того интеграла уравнения Лапласа,
который удовлетворяет данным условиям на поверхности.
По
прежнему в основу решения кладется метод частных решений. На основании
изложенного в том же параграфе, одно из решений уравнения Лапласа имеет вид: K,
,Z, где
К, Ф, Z функции от r, 
и z
соответственно, удовлетворяющие условиям:
В
данном случае в силу симметрии задания, температура u не должна зависеть от 
, поэтому
b = 0. Поэтому условия (1) перепишутся так:
На
этот раз положим 
. В таком
случае частные решения для Z могут быть 
, 
. Из них
берем второе, так как первое обращается в бесконечность при 
. Частные
решения уравнения:
будут
такие: 
. Из них
второе при r = 0 обращается в бесконечность, поэтому берем только первое
решение. После этого находим частное решение для u, а именно: 
.
Подберем 
так,
чтобы на поверхности цилиндра, т. е. при r = 1, 
обращалось
в нуль. Для этого достаточно взять 
равным
одному из корней функции 
. Таких
значений 
бесчисленное
множество. Помножая величины 
на
произвольные постоянные 
… и
складывая, находим такую величину для u:
При
этом 
постоянные,
значения которых определим впоследствии, a 
, . . .
положительные корни функции 
. Чтобы
определить коэффициенты a, положим в (4) z=0. В силу условия при z = 0 имеем u
=f(r). Поэтому равенство (4) обращается в такое:
Дальше
полезно воспользоваться свойствами ортогональности Бесселевых функций (см. гл.
I, § 6):
Помножая
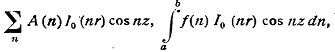
равенство (5) на 
и
интегрируя в пределах от 0 до 1, находим:
Вследствие
формулы (6) все интегралы в правой части равенства (7) обращаются в нуль за
исключением одного при n = m.
Поэтому
оказывается:
Определив
отсюда 
и
подставив результат в (5) находим:
Это
равенство дает разложение функции f(r), в ряд, расположенный по Бесселевым
функциям. Это разложение по своему выводу и по своей общности напоминает
разложение функций в ряд Фурье и поэтому часто называется разложением Фурье-
Бесселя.
Приведенное
рассуждение не вполне полно, но более подробное исследование показывает
верность равенства (9) в весьма широком классе случаев.
Подставляя
величины коэффициентов 
в
равенстве (4), получим ответ на задачу.
2.9
Дифференциальное уравнение второго порядка
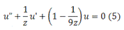
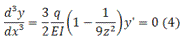
Пример:
Решить дифференциальное уравнение:
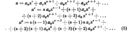
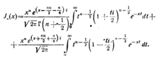
Решение:
В данном уравнении сделаем замену
где
Следовательно,
Подставим найденные производные в исходное уравнение, получим:
Умножим на
:
Пусть
,
тогда получим:
Разделим на
:
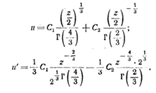
Исходя из общего вида уравнения Бесселя (1) следует, что
.
Общее выражение цилиндрической функции для
на основании формулы (1.14)
представляет линейную комбинацию построенных решений:
где
и
- произвольные постоянные.
Таким образом, решение исходного уравнения имеет вид:
.
Заключение
В данной работе были изучены цилиндрические функции (уравнение Бесселя и
его интегралы), некоторые применения вышеуказанных функций и решено
дифференциальное уравнение с использованием функций Бесселя.
Были получены следующие результаты:
1)
Рассмотрены и изучены дифференциальное уравнение Бесселя с дробным индексом,
дифференциальное уравнение Бесселя с целым индексом, бесселевы функции третьего
рода, бесселевы функции мнимого аргумента, рекуррентные формулы для Бесселевых
функций, бесселевы функции, индекс которых равен целому числу с половиной, о
корнях Бесселевых функций, интеграл Бесселя, интеграл Пуассона, применение
теоремы Коши к интегралу Пуассона, асимптотическое представление 
при
больших значениях аргумента, асимптотические формулы Бесселевых функций.
)
Рассмотрены некоторые применения функций Бесселя: бесселевы функции в
астрономии, приложение к теории продольного изгиба, приложение к теории гармонических
функций, пример задачи на тепловое равновесие, тепловое равновесие бесконечного
цилиндра, разобрана задача из электростатики, разложение по Бесселевым
функциям.
)
Решено дифференциальное уравнение второго порядка с использованием функции
Бесселя.
Список использованной литературы
1. Лебедев
Н.Н. Специальные функции и их приложения (2-е изд.). - М.-Л.: ГИФМЛ, 1963г. -
359с.
. Бейтмен
Г., Эрдейн А. Высшие трансцендентные функции. Т. 2. Функции Бесселя, функции
параболического цилиндра, ортогональные многочлены. - М.: Наука, 1966г. - 296с.
. Бицадзе
А.В. Уравнения математической физики. - М.: Наука, 1982 г. - 305с.
. Грей
Э., Мэтьюз Г.Б. Функции Бесселя и их приложения к физике и механике. - М.:
1953. - 372 с.
. Коренев
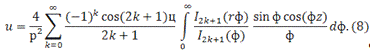
Б.Г. Введение в теорию бесселевых функций. - М.: Наука, 1971г. - 287с.
. Кузнецов
Д.С. Специальные функции. - М.: Высшая школа, 1962г. - 249с.
. Кузьмин
Р.О. Бесселевы функции. - Л.-М.: ГТТИ, 1933г. - 152с.
. Морс
Ф.М., Фешбах Г. Методы теоретической физики. Т.2. - М.: ИЛ, 1960г. - 897с.
. Очан
Ю.С. Методы математической физики. - М.: Высшая школа, 1965г. - 254с.
. Сабитов
К.В. Функциональные, дифференциальные и интегральные уравнения. - М.: Высшая
школа, 2005г. - 671с.
. Тихонов
А.Н., Самарский А.А. Уравнения математической физики. - М.: Наука, 1977г. -
368с.