Трансцендентные уравнения с параметрами и методы их решений
МИНОБРНАУКИ
РОССИИ
Федеральное
государственное бюджетное образовательное учреждение высшего профессионального
образования
«Кузбасская
государственная педагогическая академия»
Физико-математический
факультет
Выпускная квалификационная работа по
математике
Трансцендентные уравнения с
параметрами и методы их решений
студентки
МИ-07-02 ОФО ФМФ
Черных Оксаны
Анатольевны
Научный
руководитель
старший
преподаватель
кафедры
математики и методики обучения математике
Алдакишкина
В.В
Новокузнецк,
2012г.
Содержание
Введение. Типы задач с параметрами и
методы их решений
.1 Типы задач с параметрами
.2 Условия равносильности
преобразований
.3 Основные методы решения задач с
параметрами
.3.1 Метод «ветвления»
.3.2 Использование свойств функций в
задачах с параметром
.3.3 Графический метод. Координатная
плоскость (x;y)
.3.4 Графический метод. Координатная
плоскость (x;a)
.3.5 Использование параметра как
равноправной переменной
.3.6 Использование симметрии
аналитических выражений
.3.7 Использование «каркаса» квадратичной
функции
.3.8 Использование теоремы Виета.
Трансцендентные уравнения с параметром и методы их решений
.1 Иррациональные уравнения с
параметром
.2. Логарифмические уравнения с
параметрами
.3 Показательные уравнения с
параметрами
.4 Тригонометрические уравнения с
параметрами
Заключение
Библиографический список
Приложение
Введение
Актуальность: изучение многих физических и геометрических закономерностей
нередко приводит к решению задач с параметрами.
В настоящее время на выпускных экзаменах школьники часто встречаются с
уравнениями, неравенствами и системами с параметрами, которые бывают весьма
сложными и требуют нестандартного подхода к решению. Изучение задач с
параметрами не является отдельной составляющей школьного курса математики, и
рассматривается только на факультативных занятиях, а их решение требует не
только знания свойств функций и уравнений, умения выполнять алгебраические
преобразования, но также высокой логической культуры и хорошей техники
исследования.
Трудности при изучении данного вида уравнений связаны со следующими их
особенностями: обилие формул и методов, используемых при решении уравнений
данного вида; возможность решения одного и того же уравнения, содержащего
параметр, различными методами.
Цель дипломной работы: изучение теории трансцендентных уравнений с
параметрами и методов их решения.
Задачи:
. Изучить теорию трансцендентных уравнений с параметрами.
. Изучить методы решения трансцендентных уравнений с параметрами.
. Подобрать банк задач с указаниями и решениями по теме дипломной
работы.
Объект: классы задач, содержащих параметр.
Предметом исследования являются трансцендентные уравнения, содержащие
параметры, и методы их решения.
Теоретическая значимость дипломной работы заключается в систематизации
теории решения трансцендентных уравнений с параметрами.
Практическая значимость дипломной работы состоит в том, что материал
работы может служить основой для разработки элективного курса для учащихся
10-11 классов.
Структура дипломной работы.
Дипломная работа включает в себя: введение, две главы, заключение,
приложение.
В первой главе рассмотрены основные понятия, связанные с задачами с
параметрами и методами их решений. Вторая глава дипломной работы посвящена
трансцендентным уравнениям с параметрами. Приложение включает в себя банк задач
по теме дипломной работы с указаниями, решениями и ответами.
I. Типы задач с параметрами и методы их решений
1.1 Типы задач с параметрами
Уравнение вида
называется уравнением, содержащим параметры, где a, b, c, ..., k - параметры, x - неизвестное.
Параметром называется независимая переменная, значение
которой в задаче считается заданным, фиксированным или произвольным действительным
числом, или числом, принадлежащим заранее оговоренному множеству.
Выделяют несколько типов задач с параметрами.
. Задачи, которые необходимо решить для всех значений параметра
или для значений параметра из заданного промежутка.
Например. Решите уравнение
в зависимости от значений параметра a.
. Задачи, где требуется найти количество решений в зависимости от
значения параметра.
Например. Определить количество решений уравнения
.
. Задачи, где необходимо найти значения параметра, при которых
задача имеет заданное количество решений.
Например. Дано уравнении
.
Определить значения параметра a, при которых оно имеет единственное решение.
. Задачи, в которых необходимо найти значения параметра, при
которых множество решений удовлетворяет заданным условиям.
Например. При каком значении параметра a решением уравнения
является множество
[6].
.2 Условия равносильности преобразований
Формулировка условий, определяющих ОДЗ, позволяет в большинстве случаев
сводить первоначальную задачу с параметрами к равносильной системе уравнений и
неравенств. Однако в процессе решения полученной системы не всегда удается
ограничиться только равносильными преобразованиями. В ряде случаев возникает
необходимость выполнять и неравносильные преобразования, как правило,
расширяющие ОДЗ. При выполнении подобных преобразований среди полученных
решений могут оказаться такие, которые не удовлетворяют ОДЗ исходной задачи.
Эквивалентность перехода в таких случаях можно обеспечить формулировкой
дополнительных условий равносильности преобразований, учет которых наряду с ОДЗ
исходной задачи позволяет довести решение до конца.
Условия равносильности преобразований тесно связаны с понятием
равносильности на множестве.
Определение. Уравнение A
равносильно системе B на множестве M, если все решения A из множества M удовлетворяют системе B, а все решения системы B из множества M удовлетворяют уравнению A.
Таким образом, при необходимости неравносильных в целом преобразований
все множество M области допустимых значений
параметров и неизвестных разбивается на ряд подмножеств Mk
которые попарно не пересекаются и на каждом их которых первоначальная
система будет равносильна новой системе, а на всем множестве M она будет равносильна совокупности
этих систем.
Переход от исходной задачи к равносильной ей совокупности систем является
очень удобным приемом решения, так как все вспомогательные задачи, из которых
могут быть найдены решения исходной задачи, формулируются одновременно, что
уменьшает вероятность пропуска какой-либо возможной ситуации.
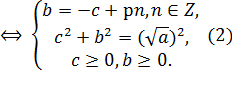
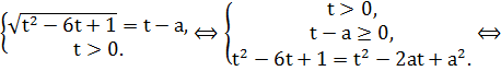
Пример 1. Найти все такие значения параметров a, b и c, при которых уравнение
имеет бесконечно много решений.
Решение. Найдем область допустимых значений (ОДЗ) уравнения (1).
Тогда на ОДЗ исходное уравнение будет равносильно совокупности систем
(2)
Уравнение системы (2) может иметь бесконечно много решений в том случае,
если
,
где
.
Подставляя полученные выражения для параметров a и b
через параметр c в уравнение (1),
получаем
(3)
Уравнение (3) при
решений не имеет, при
имеет единственное решение
, а при
равносильно неравенству
, т. е. имеет бесконечно много решений.
Ответ: при
уравнение (1) имеет бесконечно много решений [20, с. 18].
.3 Основные методы решения задач с параметрами
1.3.1 Метод «ветвления»
Поскольку уравнение с параметром это целый класс уравнений, то решать
надо сразу весь этот класс, что влечет за собой необходимость разбора различных
случаев в зависимости от определенных значений параметра.
Именно этот факт и позволяет нам решать уравнения с параметром таким
методом («ветвления»).
Пример 2. Решить уравнение
.
Решение.
Замена:
.
При a=3 уравнение решений не имеет.
Если
, то
Проверим условия
и
, т. е. систему неравенств
Так как была произведена замена, то
.
Ответ: при
;
при
решений нет.
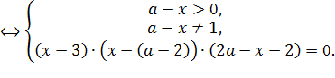
Пример 3. Решить уравнение
Решение.
.
.
ОДЗ:
Достаточно
рассмотреть три случая, т. к. число m стоит под знаком модуля,
следовательно, может принимать как положительные, так и отрицательные значения,
и отдельно следует рассмотреть случай, когда m=0.
1. m=0.
.
Уравнение будет выполняться при любых значениях x, удовлетворяющих ОДЗ. Следовательно, при m=0
2.
.
,
,
,
.
Замена:
.
.
Проверим, являются ли данные корни корнями исходного уравнения.
.
- посторонние корни.
.
- корни исходного уравнения.
3.
.
Замена:
.
.
Проверим, являются ли данные корни корнями исходного уравнения.
корни исходного уравнения.
посторонние корни.
посторонние корни.
посторонние корни.
Ответ: при
при
; при
.
1.3.2
Использование свойств функций в задачах с параметром
Для успешного решения уравнений с параметрами нужно не только владеть
основными приемами их решения, но и знать и уметь применять некоторые
преобразования, основанные на свойствах функций. Сформулируем некоторые из них
в виде теорем.
Теорема 1. Если функция f(x) возрастает (убывает) на промежутке I и функция g(x) возрастает
(убывает) на промежутке I, то
функция h(x)=f(x)+g(x)+C также возрастает (убывает) на
промежутке I (C - произвольная постоянная).
Теорема 2. Если функция f(x) неотрицательна и возрастает на
промежутке I, функция g(x) неотрицательна
и возрастает на промежутке I,
, то функция
также возрастает на промежутке I.
Аналогичное свойство имеет место и для убывающих функций, а также для
.
Теорема 3. Если функция f(t) монотонна на промежутке I, то уравнение f(g(x))=f(h(x)) равносильно на
промежутке I уравнению g(x)=h(x).
Теорема 4. Если функция f(x) монотонна на промежутке I, то уравнение f(x)=C имеет на
промежутке I не более одного корня.
Теорема 5. Если функция f(x) возрастает на промежутке I, а функция g(x) убывает на
промежутке I, то уравнение f(x)=g(x) имеет на промежутке I не более одного корня.
Теорема 6. Если функция f(x) возрастает на промежутке I, то уравнение f(f(x))=x равносильно на промежутке I уравнению f(x)=x.
Теорема 7. Если для функций f(x) и g(x)
, то
Пример 4. Найдите все значения параметра a, при которых уравнение
имеет ровно один корень.
Решение.
Рассмотрим функцию
. По теореме 1 она является возрастающей на множестве всех
действительных чисел.
Тогда исходное уравнение можно записать в виде
.
По теореме 3 оно равносильно уравнению
.
Т. к. по условию задачи нужно найти те значения параметра, при которых
уравнение имеет ровно один корень, а это возможно, когда дискриминант
полученного равносильными преобразованиями квадратного уравнения
равен нулю
то
.
Ответ: при
уравнение имеет ровно один корень [12, № 9].
.3.3 Графический
метод. Координатная плоскость (x;y)
Задачи, содержащие параметр, требуют к себе своеобразный подход, здесь
необходимо грамотное и тщательное исследование. Для применения графических
методов требуется умение выполнять дополнительное построение различных
графиков, вести графические исследования, соответствующие данным значениям
параметра [10].
Пример
5. Для каждого значения параметра
определить
число решений уравнения
Решение.
Построим график функции
.
1) Пусть
, тогда
окружность с центром в точке (1;0) и радиусом 1.
2) Пусть
, тогда
окружность с центром в точке (-1;0) и радиусом 1.
Рис.
1
Рассмотрим
функцию
. Это прямая параллельна оси Оx. Построим
следующие случаи этой прямой:
(рис.
1).
Из
полученного графика хорошо видно, что при
уравнение
решений не имеет, при
уравнение имеет два решения, при
- три решения, при
- четыре
решения.
Ответ:
при
уравнение решений не имеет, при
уравнение имеет два решения, при
- три решения, при
- четыре
решения [11, № 3].
Пример
6. Найти все значения параметра
, при
каждом из которых уравнение
имеет
ровно 8 решений.
Решение.
.
Рассмотрим
функции
.
Первая
из них задает семейство полуокружностей с центром в точке (0;0) и радиусом a,
вторая - семейство прямых параллельных оси абсцисс (рис. 2).
Рис.
2
Число
корней будет соответствовать числу 8 тогда, когда радиус полуокружности будет
больше
и меньше
, то есть
.
Ответ:
или
[10, №
1].
1.3.4 Графический метод. Координатная плоскость (x;a)
Рассмотрим метод, упрощающий работу по решению уравнений с параметром.
Метод состоит в следующем:
§ из уравнения с переменной
x и параметра a выразим параметр как функцию от
x:
;
§ в координатной
плоскости xOa строим график функции
;
§ Рассмотрим
прямые
и выделим те промежутки оси Oa, на которых
эти прямые удовлетворяют следующим условиям: a) не пересекает
график функции
,
б)
пересекает график функции
в одной точке,
в)
в двух точках,
г)
в трех точках и так далее.
§ Если поставлена задача найти значения x, то выражаем x
через a для каждого из найденных промежутков
значения a в отдельности.
Взгляд
на параметр как на равноправную переменную находит свое отражение в графических
методах. Таким образом, возникает координатная плоскость
. Казалось бы, такая незначительная деталь, как отказ
от традиционного обозначения координатной плоскости буквами x и y
определяет один из эффективнейших методов решения задач с параметрами.
Описанный метод очень нагляден. Кроме того, в нем находят применение
почти все основные понятия курса алгебры и начал анализа. Задействуется весь
набор знаний, связанных с исследованием функции: применение производной к
определению точек экстремума, нахождение предела функции, асимптот и т. д.
Пример
7. При каких значениях параметра
уравнение
имеет два корня?
Решение.
Переходим
к равносильной системе
Найдем
координаты вершины параболы:
Построим
график функции (рис. 3).
Рис.
3
Из
графика видно, что при
уравнение имеет 2 корня.
Ответ:
при
уравнение имеет два корня [12, № 13].
1.3.5
Использование параметра как равноправной переменной
Этот метод применяется при решении некоторых задач с параметрами, когда
непосредственный поиск переменной затруднен и в этом случае параметр
объявляется переменной и решение проводится относительно параметра. В
частности, этот метод эффективен в тех случаях, когда степень переменной
относительно высока, а наибольшая степень параметра равна двум. Также этот
метод применим для решения определенного типа задач, где в качестве переменной
объявляется часть аналитического выражения, участвующего в задаче, в котором
могут присутствовать или отсутствовать и параметр и основная переменная, и
решение проводится относительно новой переменной.
Рассмотрим применение этого метода на примере.
Пример
8. Указать все значения параметра
, для
которых уравнение
имеет
решение.
Решение.
Произведем
замену
, тогда исходное уравнение примет вид
.
С
учетом условия
, исходное уравнение равносильно системе
Раскрыв
скобки и приведя подобные слагаемые в уравнении последней системы, получим
квадратное уравнение относительно параметра a:
Найдем
дискриминант и корни рассматриваемого уравнения:
.
или
Так
как
и
, то
, т. е.
Поэтому
последняя система равносильна
Рассмотрим
функцию
. На отрезке [0;1] область значений функции -
промежуток
, так как минимальное значение достигается в вершине
параболы
(
)
Отсюда
исходное уравнение имеет решения при
Ответ:
при
уравнение имеет решение [7, № II.90].
.3.6
Использование симметрии аналитических выражений
К этой группе задач можно отнести такие, в которых требуется установить
значения параметра, при которых уравнение имеет единственное решение, четное
число решений или нечетное число решений.
Практически всегда подобные задачи имеют характерную особенность: их
условия не изменяются либо при замене знака одной или нескольких переменных на
противоположный (симметрия относительно знака), либо при перестановке
нескольких переменных (симметрия относительно перестановки переменных). При
решении задач такого рода используется следующий порядок действий:
во-первых, выполняется проверка на симметрию;
во-вторых, из проверки выполнения необходимых условий находятся
допустимые значения параметра (при симметрии относительно знака переменной
подставляется ее нулевое значение; при симметрии относительно перестановки
переменных все переменные обозначают одной буквой);
в-третьих, проверяется достаточность условий, т. е. для найденных
допустимых значений параметра выполняется проверка того, что при полученных
значениях параметра уравнение действительно имеет требуемое число решений. Этот
этап заключается либо в доказательстве существования требуемого числа решений,
либо в его опровержении [21].
Пример
9. При каких значениях параметра
уравнение
имеет
одно решение.
Решение.
При замене
на
(и
наоборот) уравнение не меняет смысла, поэтому если точка с координатами
- решение то и
-
решение. А так как в условии необходима единственность решения, то
, тогда
Тогда
получаем
где
.
Т.
к. требуется найти единственное решение, то дискриминант должен быть равен 0,
т. е.
.
Ответ:
при
уравнение имеет одно решение [24, № 3.60].
.3.7
Использование «каркас» квадратичной функции
Будучи основной в школьном курсе математики, квадратичная функция
формирует обширный класс задач с параметрами, разнообразных по форме и
содержанию, но объединенных общей идеей - в основе их решения лежат свойства
функции
.
Дискриминант D, старший
коэффициент a, абсцисса x0 вершины параболы конструируют «каркас», на котором строится
теория квадратичной функции. [7] Расположение графика в зависимости от знаков
старшего коэффициента и знака дискриминанта, а также зависящие от них решения
квадратных уравнений отобразим в виде таблицы.
задача
параметр функция уравнение
Таблица 1. Расположение графика в зависимости от знаков старшего
коэффициента и знака дискриминанта
Продемонстрируем эти особенности на примере.
Пример 10. Найти все значения параметра a, при каждом из которых уравнение
не имеет решений.
Решение.
Старший коэффициент - параметрический, поэтому рассмотрим два случая:
1)
. Уравнение принимает вид
и решений иметь не будет. Поэтому
решение задачи.
2)
. В этом случае возникающее квадратное
уравнение решений иметь не будет, если его дискриминант отрицателен, поэтому
искомые значения параметра будут задаваться системой неравенств
Объединяя найденные решения, получим, что искомым является любое значение
параметра a из промежутка
Ответ: при
уравнение решений не имеет [18, № 64].
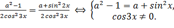
Пример 11. При каких значениях параметров a, b, c уравнение
выполняется при всех
?
Решение. Преобразуем левую часть уравнения.
.
Поскольку
, то
, и уравнение
равносильно исходному на множестве
.
Рассмотрим функцию
где
, тогда
.
Из условия задачи следует, что функция f должна принимать нулевые значения при всех
, т. е. в бесконечном числе точек. А
это возможно лишь тогда, когда
, т. е.
.
Ответ: при
уравнение выполняется при всех
[7, № II.97].
.3.8
Использование теоремы Виета
Напомним теорему Виета для квадратного уравнения.
Теорема. Если квадратное уравнение
с дискриминантом
имеет корни x1 и x2, то
и
(в случае D=0 считаем x1=x2).
Если
, то
, и уравнение имеет два корня, причем эти корни имеют разные
знаки:
§ при
положительный корень больше модуля отрицательного;
§ при
положительный корень меньше модуля отрицательного.
Если
и
, то оба корня положительные.
Если
и
, то оба корня отрицательные.
Покажем, как используются указанные соотношения, полученные из теоремы
Виета, на конкретных примерах. Пример 12. Найти все значения параметра a, при которых оба корня уравнения
положительны.
Решение.
Поскольку в условии задачи речь идет о двух корнях уравнения и старший
коэффициент его не равен нулю, то, чтобы задача имела положительные корни,
нужно, чтобы уравнение удовлетворяло следующим требованиям
.
.
.
Составим систему неравенств и решим ее:
Ответ: при
уравнение имеет два положительных корня.
II. Трансцендентные
уравнения с параметром и методы их решений
Трансцендентное уравнение - уравнение, содержащее
трансцендентные функции (иррациональные, логарифмические, показательные,
тригонометрические и обратные тригонометрические) от неизвестного
(переменного), например уравнения
.
Решить уравнение с параметром означает:
1. Найти все системы значений параметров, при
которых данное уравнение имеет решение.
2. Найти все решения для каждой найденной системы
значений параметров, то есть для неизвестного и параметра должны быть указаны
свои области допустимых значений [2].
Трансцендентные уравнения с параметрами включают в
себя ряд различных трансцендентных функций, именно поэтому решения этих
уравнений в большей степени зависят от свойств функций. Рассмотрим каждый вид трансцендентных
уравнений с параметрами и попробуем заметить эти особенности при решении задач.
.1
Иррациональные уравнения с параметром
Уравнение
называется иррациональным с одним неизвестным x, если одна или обе его части содержат выражения,
иррациональные относительно x.
При решении иррациональных уравнений с параметрами следует помнить, что
уравнение вида
равносильно системе
Неравенство
следует из уравнения
[15].
Пример 1. Решить уравнение
в зависимости от значений параметра a.
Решение. Преобразуем данное уравнение к виду
Возведем в квадрат обе части уравнения, получим
Получили квадратное уравнение относительно x. Оно, как известно, имеет решение
при
, значит для дальнейшего решения
необходимо найти дискриминант квадратного уравнения.
1)
.
Подставим полученное значение параметра a в уравнение (2) и найдем значение x.
,
,
.
Итак, при
.
2)
.
При
.
) Исходя из того, что при
уравнение не имеет решений,
определим значения параметра a, при
которых данное условие выполняется.
.
При
уравнение решений не имеет.
Теперь необходимо выполнить проверку.
При подстановке
в уравнение (2), имеем:
. Получили неверное равенство, так
как корень есть число положительное. Значит
не является корнем исходного
уравнения.
Подставим
в уравнение (2), имеем:
,
.
Получили, что правая часть - число отрицательно,
следовательно
не является решением исходного уравнения.
Подставим
в уравнение (2), имеем:
,
. (3)
Если
, то можем возвести обе части уравнения (3) в квадрат.
.
.
.
Имеем истинное равенство при условии, что
. Это условие выполняется при
, а
может быть корнем уравнения (1) при
, следовательно,
- корень уравнения (1) при
.
Ответ: при
; при
уравнение решений не имеет [13, с.
277 № 5].
Пример 2. Решите уравнение
в зависимости от значений параметра a.
Решение. Рассмотрим функцию
.
По теореме 1 функция
, как сумма двух возрастающих
функций, возрастает на множестве действительных чисел, а сходное уравнение (
) является уравнением вида
, тогда по теореме 4 уравнение
имеет не более одного корня.
Подбором нетрудно установить, что
является корнем исходного уравнения.
Ответ: при
[12].
Пример 3. Сколько корней имеет уравнение
в зависимости от значений параметра a?
Решение.
(4)
Найдем область допустимых значений.
ОДЗ:
,
,
.
Выразим из уравнения (4) параметр a:
.
Рассмотрим две функции:
и
Построим графики этих функций. График первой функции -
верхняя половина окружности
. График второй функции - биссектрисы первого и второго
координатных углов.
Из графика первой функции вычтем график второй и
получим график функции
(рис. 4). Если заменить y на a, то
последний график функции есть множество точек (x;a),
удовлетворяющих исходному уравнению (рис. 5).
Рис.
4
Из графика можно сделать вывод о количестве корней
уравнения в зависимости от параметра a.
Ответ: если
, то уравнение не имеет корней;
если a=2,
то уравнение имеет один корень;
если
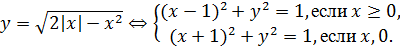
, то уравнение имеет два корня [8, № 1].
Рис.
5
Из графика можно сделать вывод о количестве корней
уравнения в зависимости от параметра a.
Пример 4. При каких значениях параметра a уравнение
имеет единственное решение?
Решение. Данную задачу можно легко решить, используя
графический способ.
Рассмотрим функции
и
при
. Построим графики этих функций (рис.
6).
Рис.
6
Из графика видно, что при
уравнение имеет единственное
решение.
Ответ:
уравнение имеет единственное решение [17, № 5].
Пример 5. Найдите все значения параметра a, при которых уравнение
имеет два различных корня.
Решение.
(1)
Рассмотрим функцию
. Т. к. эта функция возрастает на
всей области определения
, а уравнение (1) имеет вид
, то по теореме 6 оно равносильно
уравнению
.
Построим графики функций
и
и определим те значения параметра a, при которых функции имеют две общие
точки (рис. 7).
Рис.
7
По графику видим, что условию задачи удовлетворяют
.
Ответ: при
уравнение имеет два различных корня
[8, № 2].
Пример 6.
Решить уравнение
и найти значения параметра a, при которых все корни уравнения
положительны.
Решение. Данное уравнение с параметром легко решить с
помощью замены.
Пусть
, тогда
, значит
, и исходное уравнение примет вид:
.
Возведем обе части уравнения в третью степень, получим
,
,
,
.
. Если
, то
.
. Если
, то
.
В условии задачи требуется найти значения параметра a, при которых
, тогда, исходя из пунктов 1 и 2,
можем составить следующую систему неравенств:
.
Ответ: корни уравнения положительны при
[3, № 4].
.2
Логарифмические уравнения с параметрами
Уравнение, содержащее неизвестное под знаком логарифма
или (и) в его основании, называется логарифмическим уравнением. Простейшим
логарифмическим уравнением является уравнение вида
, где
.
При решении логарифмических уравнений удобно
использовать следующие утверждения:
Утверждение 1. Если
, уравнение
при любом действительном b имеет единственное решение
.
Утверждение 2. Уравнение
равносильно одной из систем
Утверждение 3. Уравнение
равносильно одной из систем
Пример 2. Для каждого действительного значения параметра
решить уравнение
.
Решение.
На координатной плоскости xOa
множество точек, удовлетворяющих системе неравенств, расположено в
полуплоскости
между биссектрисами
первого и четвертого координатных
углов.
Решение уравнения изображается прямыми
, параллельными оси Oa (рис. 8). Все точки этих прямых,
принадлежащие указанному множеству и удовлетворяющие условию
, то есть
, дают решение исходной задачи.
Рис.
8
Ответ: при
решений нет;
при
[19, № 47].
Пример 2. Для каждого действительного значения параметра
решить уравнение
.
Решение.
На координатной плоскости xOa
множество точек, удовлетворяющих системе неравенств, расположено в
полуплоскости
между биссектрисами
первого и четвертого координатных
углов. Решение уравнения изображается прямыми
, параллельными оси Oa (рис. 8). Все точки этих прямых,
принадлежащие указанному множеству и удовлетворяющие условию
, то есть
, дают решение исходной задачи.
Рис.
9
Ответ: при
решений нет;
при
[19, № 47].
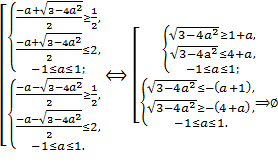
Пример 3. Найдите все значения параметра а, при которых уравнение
loga
+ loga
=1 не
имеет решения.
Решение.
ОДЗ:
Воспользовавшись
основным свойством логарифма, запишем: 1=logaa.
Преобразуя наше уравнение, получим равносильное уравнение:

=а,
Проделав
равносильные преобразования, и заметив, что знаменатель дробей 1+
всегда положителен, получим уравнение:
(3+2
)(4+
)=а(1+
)2,
(6-а)х+(17-2а)
+12-а=0.
Замена:
=y, y
0.
(6-а)y2+(17-2а)y+12-а=0.
(1)
D=(17-2а2)-4(6-а)(12-а)=4а+1.
Так
как а>0, то D>0 и квадратное уравнение (1) имеет 2 корня. Учитывая
условие y
0, имеем y1<0 и y2<0,
то есть y1y2>0, y1+y2<0.
y1y2=
, y1+y2=
.
Значит,
С
учетом условия а>0 и а≠1, имеем а
(0;1)
(1;6)
(12;+∞).
Рассмотрим
отдельно случай а=6. Тогда квадратное уравнение становится линейным 5y+6=0,
то есть y=-6/5, что не удовлетворяет условию y
0.
Ответ:
при а
(0;1)
(1;6)
(12;+∞) уравнение не имеет решений.
Пример 4. Найти все значения параметра a, при каждом из которых уравнение
имеет хотя бы один корень на отрезке [-1;2], а вне этого
отрезка корней не имеет.
Решение.
На координатной плоскости xOa
изображено множество всех точек (x;a), значения координаты x и параметра a каждой из которых удовлетворяют условиям системы (рис. 9).
Условиям
и
удовлетворяют точки, расположенные в
полуплоскости
кроме точек прямой
. Уравнению
удовлетворяют точки прямой
без точек
и
, прямым
и
без точек (2;2) и (1;0).
Следовательно, системе удовлетворяют значения координаты и параметра
каждой из точек прямой
и лучей
и
без указанных точек.
Множество всех точек (x;a), значения координаты x каждой из которых удовлетворяют
неравенству
, расположено в полосе и включает границы
и
.
Таким образом, искомым являются значения параметра
и
, при которых существуют точки прямой
и лучей
и
, расположенных в заштрихованной
полосе, а точки вне этой полосы не находятся на указанных прямой и лучах.
Рис.
10
Ответ: при
уравнение имеет хотя бы один корень на отрезке [-1;2], а вне
этого отрезка корней не имеет [20, № 5].
.3 Показательные уравнения с параметрами
Уравнение, содержащее переменную в показателе степени, называется
показательным. Большинство показательных уравнений с параметрами сводятся к
показательным уравнениям вида
(1)
где
.
Область допустимых значений такого уравнения находится как пересечение
областей допустимых значений функций
и
.
Для решения уравнения (1) следует рассмотреть следующие случаи:
) при a=b=1 решением уравнения (1) является
его ОДЗ;
) при
решением уравнения (1) служит решение уравнения
на ОДЗ;
) при
решением уравнения (1) служит решение уравнения
на ОДЗ;
) при
уравнение (1) равносильно уравнению
на ОДЗ;
) при
уравнение (1) тождественно уравнению
(2)
на ОДЗ.
Тождественное преобразование (2) называют логарифмированием. Такое
преобразование может привести к потере корней.
Следует отметить, что, исходя из определения показательной функции,
случай, когда основание a
отрицательно, рассматривать не следует [13].
Пример 1. Для каждого значения параметра a решить уравнение
Решение.
ОДЗ:
.
.
Последнее равенство возможно только при равенстве степеней, т.е.
.
Это уравнение на ОДЗ сводится к уравнению
.
Если
, то
.
Если
, то уравнение решений не имеет.
Исключим также значения параметра, при которых
, т. е.
.
Ответ: при
;
при
решений нет [22, № 35].
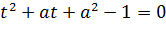
Пример 2. Решить уравнение
(1)
где a - параметр, изменяющийся на
промежутке [-1;1].
Решение.
Замена:
. Т. к.
, то
.
Уравнение (1) примет вид
,
,
.
Т. к.
и
, то имеем совокупность систем неравенств
,
.
.
,
,
.
Ответ: при
; при
решений нет [13, № 47].
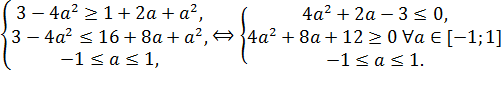
Пример 3. Найдите все значения параметра a, при которых уравнение
имеет ровно три корня.
Решение.
Данное уравнение можно записать в виде
,где функция
на основании теоремы 2 является
возрастающей.
В самом деле, так как
, то
, следовательно,
. Таким образом, исходное уравнение
равносильно (по теореме 3) следующему
.
Дальнейшее решение проведем графическим способом. Для этого определим,
при каких значениях параметра a
графики функций
и
имеют ровно три общих точки на координатной плоскости yOx (рис. 10).
Рис.
11
По графику видим, что требованию задачи отвечает случай
. Решая полученное уравнение, находим
или
.
Ответ: при
уравнение имеет ровно три решения [12, № 15].
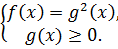
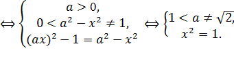
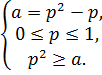
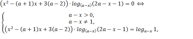
Пример 4. Найти множество значений параметра a, при которых уравнение
(1)
имеет единственное решение, большее, чем 2.
Решение.
Замена:
.
(2)
По условию задачи уравнение (1) должно иметь единственное решение
, следовательно,
должно быть больше 4.
Рассмотрим два возможных случая:
1)
2)
, т. е.
.
Уравнение (2) имеет два различных корня:
и
.
Исходное уравнение будет иметь единственное решение, большее, чем 2, если
один из корней
или
больше 4, а другой неположителен. Это приводит к следующей
совокупности систем неравенств:
Ответ: при
уравнение имеет единственное решение, большее, чем 2 [13, №
55].
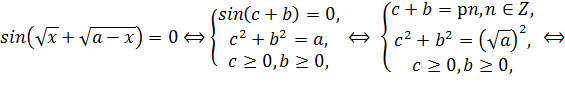
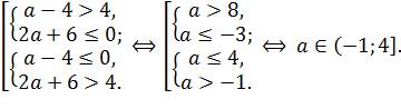
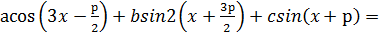
.4 Тригонометрические уравнения с параметрами
Тригонометрическое уравнение - уравнение, содержащее тригонометрические
функции неизвестного аргумента.
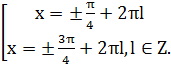
Формулы решений простейших тригонометрических уравнений:
1.
2.
3.
4.
[2].
При решении тригонометрических уравнений удобно использовать следующие
принципы:
. При решении простейшего тригонометрического уравнения удобно
понизить его степень за счет изменения его аргумента.
. В случае необходимости проверки удобно подставлять в уравнение
не значение найденного аргумента, а значения используемых в решении
тригонометрических функций [15].
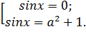
Пример 1. Для всех допустимых значений параметра a решить уравнение
Решение.
Преобразуем уравнение.
Согласно выше указанному принципу 1, преобразуем первое уравнение
системы:
Отметим, что
.
Таким образом, уравнение (1) равносильно системе:
В результате, чтобы уравнение (1) не имело решений, достаточно выполнения
неравенства
.
Пусть
.
Теперь, когда первое уравнение системы (2) всегда имеет решения, нужно
позаботиться о выполнении ее второго словия.
На основании вышеизложенного принципа 2 равносильными преобразованиями:
приведем систему (2) к виду:
Таким образом, при ограничении на параметр
возникают следующие дополнительные
условия: для того, чтобы уравнение (1) НЕ имело решений необходимо и
достаточно, чтобы любое значение переменной x, для которой
удовлетворяло совокупности уравнений:
) Если
, то
.
Однако при таких a уравнение (3) принимает вид
и не всякое его решение
удовлетворяет совокупности (4).
Таким образом, при
уравнение (1) имеет решениями те значения переменной x, для
которой
, т. е.
.
) Если
, то
, т. е.
.
При таких значениях параметра a уравнение (3) принимает вид:
Чтобы уравнение (1) имело, решения нужно, чтобы
.
Тогда остается, что
.
При остальных
уравнение имеет решение вида
.
Ответ: при
уравнение решений не имеет; при
; при
; при
[16, №1].
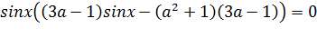
Пример 2. Определить количество корней уравнения
на отрезке
.
Решение.
Преобразуем левую часть.
Тогда исходное уравнение примет вид
Перенесем все слагаемые в левую часть и снова преобразуем уравнение.
Первое уравнение на отрезке
имеет четыре корня:
Второе уравнение при
корней не имеет. Если
, то очевидно, на рассматриваемом
отрезке уравнение
имеет единственное решение. Если
, то
, т.е. на отрезке
уравнение имеет два корня.
Заметим, что при
корни второго уравнения совокупности содержатся среди корней
первого уравнения.
Ответ: при
уравнение имеет ыетыре корня; при
уравнение имеет пять корней; при
уравнение имеет шесть корней [7, №
III.27].
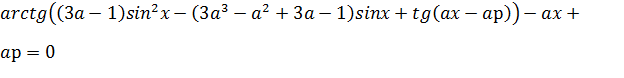
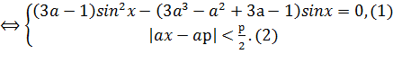
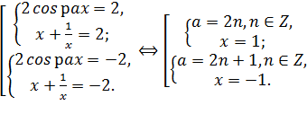
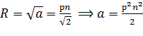
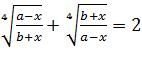
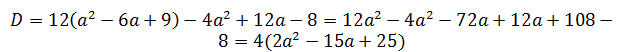
Пример 3. Найдите все значения параметра a, при которых уравнение
имеет ровно семь решений.
Решение.
Замена:
Тогда
.
На координатной плоскости cOb построим множество всех точек,
удовлетворяющих системе (2).
Первое уравнение
задает семейство прямых, параллельных прямой
.
Второе уравнение
- семейство окружностей радиуса
с центром в начале координат.
Но при выполнении условий
второе уравнение есть четверть окружности, расположенная в
первой координатной четверти. c и b одновременно не могут равняться нулю, иначе
окружность вырождается в точку.Т. к. количество корней должно быть нечетно, то
одна из прямых
должна касаться окружности в точку Mn.
Найдем радиус такой окружности.
.
.
Таким образом,
(3)
выражает зависимость параметра a от n, где
.
Рис.
12
Из рисунка видно, что с увеличением радиуса
четверти окружности растет число
решений системы (2), а значит, и число корней исходного уравнения. Их будет
ровно 7, когда четверть окружности касается прямых
. При этом, исходя из формулы (3)
Ответ: уравнение имеет семь решений при
.
Примечание. На первый взгляд может показаться, что четверть окружности,
касающаяся прямой, заданной уравнением
пройдет четез точки
и
. В действительности это не так, так
как радиус такой окружности
Аналогично четверть окружности, касающаяся прямой
не пройдет через точки
и
, так как радиус этой окружности
[10, № 1].
Пример 4. Найдите все значения параметра a, при которых число 2 является
корнем уравнения
Решение.
Поставим в уравнение
Получим уравнение относительно параметра a:
Ответ: при
корнем уравнения является
[9, № 50].
Пример 5. Для всех допустимых значений параметра a решите уравнение
.
Решение.
Рассмотрим функцию
. Очевидно,
.
Рассмотрим функцию
.
Используя неравенство о среднем арифметическом и среднем геометрическом
двух положительных чисел (
), а также свойство нечетности функции g(x), получим
.
Таким образом, имеем
.
Тогда, по теореме 7, исходное уравнение равносильно совокупности двух
систем
Ответ: при
,
; при
; при
решений нет [23, № 53].
Помимо тригонометрических уравнений среди задач с параметрами встречаются
и задачи с параметрами, содержащие обратные тригонометрические функции.
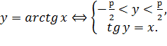
Напомним определения обратных тригонометрических функций:
1.
- это функция, определенная на
отрезке [-1;1], обратная функции
. Таким образом,
Для любого x из отрезка
[-1;1] имеем:
2.
- это функция, определенная на
отрезке [-1;1], обратная функции
. Таким образом,
Для любого x из отрезка
[-1;1] имеем:
Для любого x имеем:
4.
- это функция, определенная на
интервале
, обратная функции
. Таким образом,
Для любого x имеем:
Функции
называются обратными тригонометрическими функциями или
аркфункциями. Отметим некоторые важные тождества
Пример 6. Для каждого допустимого значения параметра a решить уравнение
Решение.
Преобразуем левую часть уравнения, воспользовавшись тождеством
.
На координатной плоскости tOb
(рис. 12) множество всех точек (t;b), значения координаты и параметра
каждой из которых удовлетворяют смешанной системе (2), (3), представляет собой
часть параболы
расположенной в области задаваемой неравенствами системы
(2), (3).
Следовательно, если
, то
.
Рис.
13
Ответ: если
, то
;
если
, то решений нет [13, № 79].
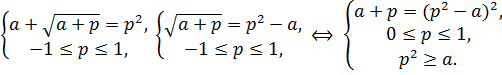
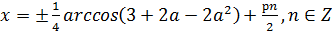
Пример 7. Найдите все значения параметра a, при каждом из которых уравнение
имеет ровно три решения.
Решение.
Перепишем исходное уравнение в виде
.
Поскольку равенство
равносильно тому, что
и
, исходное уравнение равносильно
тригонометрическому уравнению
Решим уравнение (1).
Если
, то
При
совокупность, а значит и уравнение (1), имеет бесконечно
много корней вида:
, которые удовлетворяют условию (2). Т. е.
не удовлетворяет требованию задачи.
При
уравнение (1) имеет бесконечно много корней вида:
.
Для них условие (2) превращается в неравенство
Параметр a включается в
ответ тогда и только тогда, когда это неравенство имеет ровно три целочисленных
решения. Используя геометрическую интерпретацию модуля разности двух чисел,
видно, что это равносильно неравенству
Учитывая условие
, получаем
Если
решением уравнения (1) являются все действительные числа,
условие же (2) принимает вид:
, так что множество решений исходного уравнение - это
интервал
. Поскольку это множество бесконечно,
значение
не входит в ответ.
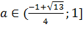
Ответ: при
уравнение имеет ровно три решения [24, № 3.59].
Исходя из всех рассмотренных задач, можно сделать вывод, что решать
трансцендентные уравнения с параметрами первого и четвертого типов лучше всего
методом «ветвления», т. к. требуется найти все значения переменной при каждом
возможном значении параметра (или при значениях параметра из заданного
промежутка) или же при которых множество решений удовлетворяет заданным
условиям. Однако такой метод не всегда надежен, поскольку ход решения
достаточно длителен и сложен, поэтому изначально целесообразно определить,
возможно ли применить к заданному уравнению функциональный подход, который
значительно упрощает решение.
А вот решать трансцендентные уравнения с параметрами второго и третьего
типов значительно проще, используя графический метод, поскольку в условии всего
лишь требуется определить либо количество решений в зависимости от значения
параметра, либо, наоборот, значения параметра, при которых задача имеет
заданное количество решений. Из построенных графиков наглядно видно, когда
выполняются заданные условия.
Однако не всегда возможно применение того или иного метода, иногда
встречаются и такие задачи, для решения которых нужно применить не один, а
несколько методов решения.
Заключение
Задачи с параметрами представляют собой весьма широкое поле для
полноценной математической деятельности. Решение такого рода задач открывает
перед учащимися значительное число эвристических приемов общего характера,
ценных для математического развития личности, применимых в исследованиях и на
любом другом математическом материале.
Спецификой задач с параметрами является то, что наряду с неизвестными
величинами в них фигурируют параметры, численные значения которых не указаны
конкретно, но считаются известными и заданными на некотором числовом множестве.
При этом значения параметров существенно влияют на логический и технический ход
решения задачи и форму ответа.
В дипломной работе рассмотрены основные методы и идеи решения
трансцендентных уравнений с параметрами. Большинство рассмотренных задач -
задачи, предлагавшиеся на Едином государственном экзамене (ЕГЭ) и в пособиях по
подготовке к ЕГЭ. Наибольшее затруднение при написании работы вызвали уравнения
с параметрами, содержащие тригонометрические и обратные тригонометрические
функции.
В приложении с указанием ответа представлено большое количество уравнений
с параметрами, содержащих трансцендентные функции. Материал дипломной работы
может служить основой для разработки элективных курсов для учащихся 10 - 11
классов и при подготовке к выпускному экзамену.
Библиографический список
1. Амелькин
В. В., Рабцевич В. Л. Задачи с параметрами: Справочное пособие по математике.
Мн.: Асар, 2004. 464с.
2. Википедия. Свободная
энциклопедия. - Режим доступа: <#"663733.files/image608.gif">имеет единственное не двойное решение?
Решение.
Построим графики функций
и
в системе xOy.
Как видно из графике, исходное уравнение имеет единственное не двойное
решение в точке касания косинусоиды
и параболы
. Определим абсциссу этой точки. Для
этого найдем координаты вершины параболы.
Поскольку графики касаются друг друга, то ордината вершины параболы
должна удовлетворять и
, т. е.
Ответ: при
уравнение имеет единственное не двойное решение.
. Найдите все значения параметра a, при каждом из которых имеет точно два различных решения на
отрезке
уравнение
.
Решение.
Построим графики функций
и
и определить значения параметра, при которых выполняется
условие задачи.
Ответ:
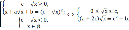
. При каких значениях параметров a и b не
имеет решений уравнение
?
Решение.
ОДЗ:
Замена:
Если
, то
и решений нет. Аналогично при
.
Ответ: при
решений нет.
. В зависимости от значений параметра a решите уравнение
.
Решение
Замена:
Ответ: при
,
. Сколько корней имеет уравнение
в зависимости от параметра a?
Решение. Замена:
.
Построим графики функций
при
в системе tOa.
Из графика виден ответ.
Ответ: при
решений нет, при
уравнение имеет два решения, при
уравнение имеет одно решение.
. Определить, при каких значениях параметра a уравнение
имеет ровно один корень.
Решение
Ответ: при
уравнение имеет ровно один корень
.
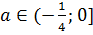
. Найдите все значения параметра p, при которых не имеет решений уравнение
Указание. Произвести замену
и рассмотреть случай, когда
полученное квадратное уравнение не имеет решений.
Отдельно рассмотреть случай, когда старший коэффициент квадратного
уравнения обращается в ноль (p-4=0).
Ответ: при
уравнение не имеет решений.
. При каких значениях параметра a имеет хотя бы одно решение уравнение
?
Указание. Квадратное уравнение имеет хотя бы одно решение, когда
, поэтому для решения задачи следует найти дискриминант
квадратного уравнения, а затем решить неравенство
.
Ответ: при
уравнение имеет хотя бы одно решение.
. При каких значениях параметра a имеет два различных решения уравнение
?
Указание. Привести уравнение к одному основанию, прологарифмировать его,
в результате чего получится квадратное уравнение относительно x. Условие задачи будет выполняться,
когда
.
Ответ: при
уравнение имеет два различных решения.
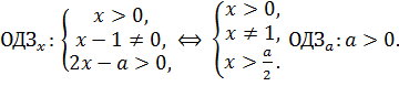
. Решить в зависимости от значений параметра a уравнение
.
Указание. Найти ОДЗ для неизвестного x и для параметра a, затем решить уравнение
.
Ответ: при
, при
решений нет.