Точка экстремума и точка перегиба. Расчет области функции
ГОУ ВПО
«ВСГАО»
Кафедра
математики и методики обучения математике
Контрольная
работа по дисциплине
«МАТЕМАТИКА»
Выполнила:
Шепчугова
Наталья Викторовна
Курс:
1 (2010-2011 уч.годы)
Проверил:
ст. пр. Курьякова Т.С.
Иркутск -
2010
Задание 1.
Исследование функции
Элементарное исследование:
Область определения функции
очки пересечения с осями координат, промежутки
знакопостоянства.
Пересечение с осью ОХ:
График не
пересекает ось ОХ
Пересечение с осью ОУ:
. В точке
.
При любых значениях x,
следовательно,
график функции располагается выше оси ОХ на всей числовой прямой.
Исследование функции на непрерывность:
Следуя из области определения -
, график
не имеет
точек разрыва, т.е. является непрерывным
Асимптоты
Наклонные асимптоты:
Наклонная асимптота
или ось ОХ.
Исследование функции на
четность-нечетность и периодичность:
;
;
Функция является четной, так как
,
следовательно, ее грфик симметричен относительно оси ОХ.
Функция не является периодической,
так как равенство
будет верно только в случае, если T=0
Исследование функции по первой
производной (
)
Определить точки экстремума
- точка максимума
Экстремум
.
.
Определить промежутки монотонности
Функция возрастает при
.
Функция убывает при
.
Исследование функции по второй
производной (
)
Найдем вторую производную:

точки перегиба.
Получаем точки:
Определим характер выпуклости
Функция выпукла вниз при
Функция выпукла вверх при
Дополнительные точки:
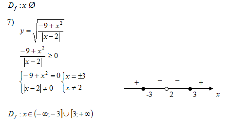
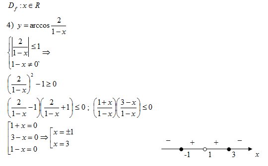
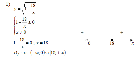
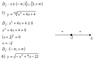
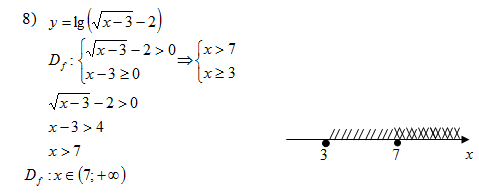
Задание 2. Найти область определения
функций, заданных аналитически
координата экстремум функция
непрерывность
Уравнение не имеет корней

Найдём вершину параболы:
Вершина параболы -
, ветви
направлены вниз, т.е. парабола расположена ниже оси OX
Задание 3
m)
n) Функция
возрастает:
o) Функция
убывает:
p)
Экстремумы: т. максимума
т. минимума
r)
s) Точка
минимума x=0
t) Функция ни
четная, ни нечетная (общего вида), т.к. её график не симметричен ни
относительно оси OX, ни начала координат.)
Нули
функции:
,
v)
)
)
Задание 4
Так как функция имеет период
, то
отсчитывая от начала координат
через 5 периодов будет
соответствовать
, и иметь
значение 
График функции расположен ниже оси OX на
промежутке
,
следовательно, на этом промежутке
принимает отрицательные значения,
точка
является
нулём графика функции и точкой экстремума исходной функции.
Следовательно, функция убывает на
промежутке
. Длина
промежутка убывания равна: