Автоматизация процесса исследования функций одной и двух переменных с помощью математического пакета MathCAD
Автоматизация
процесса исследования функций одной и двух переменных с помощью математического
пакета MathCAD
Чебоксары,
2010г.
Содержание
Введение
Глава I.
Исследование функции в математическом анализе
. Общие свойства
функции одной переменной
.1 Задание области
определения и области значений функции
.2 Монотонность.
Четность. Периодичность. Ограниченность
.3 Возрастание и
убывание функции одной переменной
.4 Экстремумы
функции одной переменной
.5 Наибольшее и
наименьшее значение функции
.6 Вогнутость и
выпуклость графика функции
.7 Точки перегиба
.8 Асимптоты
графика функции
. Общие свойства
функции двух переменных
2.1 Область
определения функции двух и более переменных
.2 Предел функции
двух переменных в точке, понятие о повторных пределах
.3 Непрерывность
функции
.4.
Дифференцирование функции двух переменных
2.5 Экстремумы функции двух
переменных
.6 Нахождение глобального экстремума
непрерывной функции
2.7 Линии уровня
3. Исследование и
построение графика функции
.1 Исследования
функции одной переменной
.2 Исследования
функции двух переменных
Вывод
Глава II.
Инструментальная среда MathCAD
как средство исследования функции
1. Вычислительные
возможности
1.1 Решение уравнений
.2 Решение систем уравнений
.3 Вычисление пределов
.4 Нахождение производных
.5 Исследование функции на экстремум
2. Графические
возможности
2.1. Двумерные графики
2.2 Трехмерные графики
Вывод
Глава III.
Исследование функции в математическом пакете MathCAD
1. Схемы
исследования функции с помощью математического пакета MathCAD
1.1 Схема
исследования функции одной переменной
1.2 Схема исследования функции двух
переменных
2. Исследование функции в
математическом пакете MathCAD
2.1 Шаблон исследования функции
одной переменной
2.2 Шаблон исследования функции двух
переменных
2.3 Исследование функции одной
переменной
.4 Исследование функции двух
переменных
Вывод
Заключение
На защиту выносится
Список
использованной литературы
Введение
математический экстремум график точка
Актуальность работы.
Исследование функции является
одним из важных разделов в математическом анализе. Школьники старших классов и
студенты любых учебных заведений, даже не технических специальностей,
сталкиваются с этой задачей. Процесс исследования функций содержит много
вычислений и весьма трудоемкий. Приходиться тратить много времени на решение.
Но весь этот процесс можно автоматизировать с помощью математических пакетов.
На сегодняшний день их не так уж и мало, и все они весьма доступны. Их
использование позволяет нам экономить время, получать более точные вычисления и
результаты, ну и, конечно же, хорошее качество чертежей графиков. Проблема лишь
в том, что не все пользователи ПК хорошо знакомы с математическими пакетами. И
поэтому моей задачей является автоматизировать процесс исследования функции с
использованием математического пакета MathCAD
для внедрения его в школу или средне - специальные учебные заведения в качестве
дополнительных занятий или элективных курсов по информатике в старших классах.
ЭВМ изначально создавались для
вычислений математических задач. В последние годы во всем мире существенно
возрос интерес к серьезному применению ПК, в том числе в области математических
расчетов. Сегодня показателем интеллектуальной мощи персональных компьютеров
стали новейшие программные системы символьной математики или компьютерной
алгебры, которые выпускаются самого разного «калибра».
Наиболее подходящей для
широкого круга пользователей является математическая система - MathCAD.
Этот пакет позволяет студенту или школьнику, не
владеющему в полной мере техникой математических преобразований, самостоятельно
проводить громоздкие вычисления, и, в конечном счете, приобрести навыки
современного инженерного подхода к решению естественнонаучных проблем. С другой
стороны, этот же пакет помогает преподавателям подготовить содержательный
иллюстративный материал, перенести акценты на концептуальные аспекты изучаемых
проблем, обогатить курс примерами из различных областей науки и практики,
которые обычно не рассматриваются в учебных курсах из-за их сложности.
MathCAD
имеет
чрезвычайно удобный математико-ориентированный интерфейс и прекрасные средства
научной графики. Применение доступной системы MathCAD
позволяет упростить работу учащихся, оптимизировать учебное время, так как
большое внимание можно обращать на методы моделирования, не затрачивая время и
усилий на ручные расчеты и построение графиков. При исследовании функции от
пользователя требуется только творческое участие и наблюдение за процессом.
Цель работы: автоматизация
процесса исследования функции одной и двух переменных с помощью математического
пакета MathCAD.
Предмет исследования:
возможности математического пакета MathCAD
для автоматизации процесса исследования функции одной и двух переменных.
Объект исследования:
) Функции одной и двух
переменных;
2) Математический пакет MathCAD;
) Процесс исследования
функций одной и двух переменных.
Задачи исследования:
1) Определить математические
операции для исследования функции одной и двух переменных;
2) Выделить
инструментальную среду математического пакета MathCAD
реализующую соответствующие математические операции исследования функции одной
и двух переменных;
) Модифицировать схемы
исследования функции одной и двух переменных для применения их в математическом
пакте MathCAD;
4) Автоматизировать процесс
исследования функции с помощью математического пакета MathCAD;
) Разработать шаблон для
исследования функции с указаниями в нем, какие этапы исследования возможно
автоматизировать, а в каких случаях требуется участие пользователя.
Краткое содержание глав
В первой главе описываются
основные свойства функций одной и двух переменных. Определяются математические
операторы, необходимые при исследовании функции. Приводится схема для
исследования функций из курса математического анализа. Рассматривается пример
исследования функции одной переменой.
Во второй главе рассказывается
о возможностях системы MathCAD
для исследования функций. Определяются операторы, используемые в исследование.
Приводятся примеры использования этих операторов. Рассматриваются так же и
графические возможности системы, что очень важно при исследовании функции на
последнем этапе - построение графика заданной функции.
В третей главе описываются
преимущества автоматизации исследования функций. Модифицируется схема
исследования функций для применения ее в математическом пакете. Приводятся 2
таблицы для исследования функций одной и двух переменных, по которым видно
какие этапы можно автоматизировать, а в каких требуется участие пользователя,
так же в в ней указаны операторы для каждого этапа исследования. С учетом всех
особенностей системы разработан шаблон для исследования функций одной и двух
переменных, который так же представлен в данной главе. В шаблоне указано, где
пользователю следует вмешаться в процесс исследования функции; даны комментарии
и указания к его действиям.
На основе шаблонов разработаны
примеры исследования функций одной и двух переменных, которые представлены в
приложении к диплому на диске.
Глава I.
Исследование функции в математическом анализе
. Общие свойства функции одной
переменной
1.1 Области определения и
область значений функции
Область определения и область
значений функции могут состоять из отрезков, интервалов и отдельных числовых
значений.
Интервал - множество
действительных значений х, заключенных между двумя не совпадающими значениями х
= а и х = b (а < b),
исключая сами эти значения а и b.
Обозначения: х є (а, b),
а < х < b. Значения а и b
называются концами интервала, а значения. х є (а, b)-
внутренними точками интервала.
Если х є R,
т. е. областью определения являются все действительные числа, то иногда пишут х
є (-∞, +∞). Аналогичной записью пользуются, когда интервал не
ограничен с одной стороны. Если к интервалу присоединим его концы а и b,
то получим отрезок. Отрезок и интервал называются промежутками.
Если к интервалу присоединим
один из его концов (левый или правый), то получим полуоткрытый промежуток.
Окрестностью точки х = хо
называется всякий интервал, для которого точка хо является внутренней.
Если областью определения
функции являются все действительные числа, то говорят, что функция определена
на всей числовой оси, или в интервале «от минус бесконечности до плюс
бесконечности».
1.2 Монотонность. Четность.
Периодичность. Ограниченность
Функция называется возрастающей
в некотором интервале, если для любых двух значений x1,
x2
аргумента из этого интервала значения функции удовлетворяют условию f(x2)>f(x1)
при x2>x1.
Функция называется убывающей в
некотором интервале, если f(x2)<f(x1)
при x2<x1.
Функция либо только
возрастающая, либо только убывающая называется монотонной.
Четной называется функция,
удовлетворяющая условию f(-x)=f(x),
если х и -х принадлежат области определения функции f(х)
.
Нечетной называется функция,
удовлетворяющая условию f(-х)
= -f(х) , если х и - х
принадлежат области определения функции f(х)
.
Периодической называется
функция, удовлетворяющая условию f(х+Т)
= f(х) для любого х.
Наименьшее значение Т > О, удовлетворяющее этому условию, называется
периодом функции.
Функция f(х)
называется ограниченной, если существует такая постоянная величина A
что |f(x)|≤
А при любом значении аргументах. В противном случае функция f(х)
называется неограниченной.
1.3 Возрастание и убывание функции одной
переменной
Определение. Говорят, что
функция f(х) возрастает в
промежутке (а, b), если
любому большому значению аргумента х в этом промежутке соответствует большее
значение функции; иными словами, f(х)
есть возрастающая функция в промежутке (а, b),
если, каковы бы ни были значения x1
и x2
из этого промежутка, из неравенства x2>x1
вытекает
неравенство f(x2)>f(x1)
Аналогично, говорят, что f(х)
убывает в промежутке (а, b),
если любому большему значению аргумента х в этом промежутке соответствует
меньшее значение функции; иными словами, f(x)
есть убывающая функция (рис. 1,б).
Теорема 1. Необходимый признак
возрастания (убывания) функции
)Если дифференцируемая функция
возрастает в некотором промежутке, то производная этой функции неотрицательна в
этом промежутке.
)Если дифференцируемая функция
убывает в некотором промежутке, то ее производная и неположительная в этом
промежутке.

рис.1
Теорема 2. Достаточный признак
возрастания (убывания) функции
) Если производная
дифференцируемой функции положительна внутри некоторого промежутка, то функция
возрастает на этом промежутке.
) Если производная
дифференцируемой функции отрицательна внутри некоторого промежутка, то функция
убывает на этом промежутке.
Функция, возрастающая (или
убывающая), называется монотонной. Промежутки, в которых данная функция возрастает
или убывает, называются промежутками монотонности этой функции.
1.4 Максимумы и минимумы
функции
Точка х = хо называется точкой
(относительного) максимума функции f(х)
(рис. 2), если существует такая окрестность точки хо, что для всех значений х
из этой окрестности выполняется неравенство:
f(х)
< f(х0)
рис.2
Точках = хо называется точкой
(относительного) минимума функции f(х)(рис.
3), если существует такая окрестность точки хо, что для всех значений х из этой
окрестности выполняется неравенство
Максимум или минимум функции
называется экстремумом функции, а те значения аргумента, при которых
достигаются экстремумы функции, называются точками экстремума функции
(соответственно: точками максимума или точками минимума функции).
f
(х) >f(х())
рис.3
. Необходимое условие
экстремума функции
Теорема. В точке экстремума
дифференцируемой функции производная равна нулю.
рис.4
Следствие. Непрерывная функция
может иметь экстремум лишь в тех точках, где производная функции равна нулю или
не существует.
Те значения аргумента х,
которые для данной функции f(х)
обращают в нуль ее производную f
'(х) или для которых производная f
'(х) не существует (например, обращается в бесконечность), называются
критическими значениями аргумента.
. Достаточные условия
экстремума функции
Из того обстоятельства, что f
'(х0) = 0, вовсе не следует, что функция f(х)
имеет экстремум при х = х0.
Не для всякого критического значения
аргумента функции f(х) имеет
место экстремум этой функции.
Теорема. Если дифференцируемая
функция f(х) такова, что для
некоторого значения хо ее аргумента х производная f
'(х) равна нулю и меняет свой знак при переходе через это значение, то число f
(хо)
является экстремумом функции f(х)
причем:
) функция f
(х) имеет максимум при х = хо, если изменение знака производной f
'(х) происходит с плюса на минус;
) функция f(х)
имеет минимум при х = хо, если изменение знака производной f
'(х) происходит с минуса на плюс.
Отыскание точек максимума или
минимума
. Выразив сообразно условию
задачи данную переменную величину как функцию независимой переменной, находят
производную этой функции (пусть (а,b)
-область определения этой функции).
. Приравнивают производную
нулю, решают полученное уравнение f
'(х) = 0 и находят его корни (стационарные точки). Кроме них находят еще и
точки разрыва производной f
‘(x)=0
. Каждую из стационарных точек,
а также точек разрыва производной исследуют на максимум и минимум следующем
способом.
Допустим, что с1, c2,…,ck
- корни уравнения f '(х) = 0 .
В таком случае определяем знаки производной f
'(х) в каждом из интервалов (а, с1), (с1, c2),
..., (сk
,b).
Тем самым будет выяснено,
изменяет ли и как именно производная знак при переходе (слева направо) через
каждую из точек с1 ,с2,..., сk.
Если при переходе, например, через точку с1 производная меняет знак
с «-» на «+», то в точке с1 функция имеет минимум, если с «+» на «-»
- то максимум. Если же знак производной при переходе, например, через точку с2
не меняется, то в этой точке функция не имеет экстремума.
.5 Наибольшие и наименьшие
значения функции на отрезке
Для отыскания наибольшего
(наименьшего) значения функции на отрезке [а, b]
надо найти все максимумы (минимумы) этой функции на данном отрезке и значения f(а)
и f(b)
функции на концах отрезка. Наибольшее (наименьшее) из всех этих значений и
будет наибольшим (наименьшим) значением функции на отрезке [а, b].
.6 Выпуклость и вогнутость
графика функции
Определение. График
дифференцируемой функции у = f
(х) называется вогнутым вверх (или выпуклым вниз) в промежутке (а, b),
если соответствующая часть кривой
y=f(x),
(x є (a,b)
(1)
расположена выше касательной,
проведенной в любой ее точке М(х, f(х))
(рис.5, а).

рис. 5
Аналогично, график
дифференцируемой функции у = f
(х) называется выпуклым вверх (или вогнутым в низ) в промежутке (а, b),
если соответствующая часть кривой расположена ниже касательной, проведенной в
любой ее точке М(х , f(х))
(рис 5, б).
Кривая у =f(х)
называется выпуклой (вогнутой) кверху, если ее произвольная дуга лежит над
(под) хордой, стягивающей эту дугу. Выпуклая дуга лежит под любой своей
касательной, а вогнутая - над любой своей касательной.
Достаточное условие вогнутости
(выпуклости) графика функции
Теорема. 1) Если для дважды
дифференцируемой функции у = f
(х) , вторая ее производная f
" (х) положительна внутри промежутка (а, b),
то график этой функции вогнут вверх в данном промежутке.
) Если же вторая производная f
" (х) отрицательна внутри промежутка (а,b),
то график функции у = f
(х) вогнут вниз в этом промежутке.
.7 Точки перегиба
Определение. Точкой перегиба
графика дифференцируемой функции у =f
(х) называется его точка, при переходе через которую кривая меняет свою
вогнутость на выпуклость или наоборот (рис 6).
Теорема. Если для функции у = f
(х) вторая производная ее f
" (х) в некоторой точке х0 обращается в нуль и при переходе
через эту точку меняет свой знак на обратный, то точка М(хо, f
(хо)) является точкой перегиба графика функции.
рис.6
Необходимый признак
существования точки перегиба
В точках перегиба графика
функции у = f (х) ее вторая
производная f " (х)
обращается в нуль f “(x)=0.
Замечание 1. Однако не при
всяком значении хо, для которого вторая производная обращается в нуль (f’’(хо)=0),
функция f(х) имеет точку
перегиба.
Замечание 2. Функция у = f
(х) может иметь точку перегиба и в точках разрыва второй производной f
" (х).
Отыскание точек перегиба
Для отыскания точек перегиба
графика функции у = f (х)
необходимо:
. Вычислить вторую производную f
" (х) данной функции.
. Найти те значения х в
интервале (а, b), при которых f
" (х) обращается в нуль (т. е. решить уравнение f
" (х)=0) или имеет точку разрыва; пусть эти значения будут: x1,
x2,…,
xk.
. Определить знак второй
производной f " (х) в
каждом из интервалов
(а, x1),
(х1,х2, ... , хk,
b). Тем самым будет
выяснено, изменяет ли вторая производная f
(х) знак при переходе через каждую из точек x1,
x2,…,
xk. Изменение знака f
" (х), например, в точке х1 указывает, что при х = х1
функция имеет точку перегиба. Если знак f
" (х) не изменяется, например, при переходе через точку х2, то
при х = х2 функция не имеет точки перегиба.
. Если при х=x1
функция f (х) имеет точку
перегиба, то, определив значение функции в этой точке f
(х1), найдем координаты точки перегиба (x1,
f(x1)).
.8 Асимптоты графика функции
Асимптотой кривой называется
такая прямая, к которой неограниченно приближается точка кривой при
неограниченном удалении ее от начала координат, например, если lim(f(x)-(kx+b))=
0, то прямая у = kх + b
является асимптотой, при х→ +∞.
2. Общие свойства функции двух
переменных
.1 Область определения функции
двух переменных
Определение. Пусть каждой паре
действительных величин (x, y) поставлено в соответствие по закону f одно
определенное число z. Тогда будем говорить, что задана функция z, зависящая от
двух аргументов x и y по закону f и писать
= f (x, y).
При этом пару величин (x, y)
называем аргументом (полным аргументом) функции z , а каждую из отдельно взятых
величин x и y называем частными аргументами этой функции. Совокупность пар (x,
y), для которых функция z= f (x, y) определена, называется областью определения
функции z. Область определения можно изображать геометрически на координатной
плоскости в виде некоторого множества точек D.
Отметим способы задания функций
двух переменных:
Таблицы (многомерные) - не
очень удобный способ задания.
Аналитический способ (в явном виде
z= f (x, y) с помощью формул, или в неявном виде, с помощью уравнений F (x, y,
z) = 0 и др.).
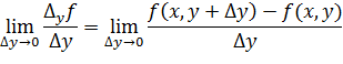
.2 Предел функции двух
переменных в точке, понятие о повторных пределах
Сначала введем понятие
проколотой окрестности точки на плоскости.
Проколотой окрестностью точки M0
на плоскости будем называть множество точек M, образующих круг некоторого
конечного радиуса с центром в точке M0 , причем сама точка M0
исключается из проколотой окрестности.
В ряде случаев удобно
рассматривать окрестность точки на плоскости как множество точек некоторого
прямоугольника или квадрата (прямого параллелепипеда или куба и т.д.) с центром
в рассматриваемой точке.
Определение. Пусть функция z= f
(x, y) определена в некоторой проколотой окрестности точки M0(x0,y0).
Пределом функции z= f (x, y) в
точке M0(x0,y0) называется такое число A,
которое удовлетворяет следующему условию.
Обозначение:
Для любого положительного числа ε >0
найдется такое положительное число δ>0 (δ=δ(ε)), что для
всех точек M(x, y), удаленных от точки (x0,y0) не более
чем на δ
(т.е.
при выполнении 
), имеет место неравенство
Требование выполнения одного
неравенства
в определении предела можно заменить
требованием одновременного выполнения двух неравенств:

,

.
Можно писать и такие равенства:
Понятие о повторных пределах
Рассмотрим функцию двух переменных z
= f (x, y), определенную в некоторой проколотой окрестности точки (x0,
y0).
Зафиксируем у нее один частный
аргумент y (при этом полагаем y ≠ y0.), а другой
частный аргумент будем считать переменным. Тогда получим функцию одного
аргумента x. Найдем ее предел при x → x0:

.
Далее найдем предел
Число B называют повторным пределом.
Можно сокращенно писать так:

.
Аналогично можно найти другой
повторный предел:
Оказывается, что повторные пределы B
и C - отнюдь не всегда то же самое, что A, ибо могут быть такие ситуации:- не
существует, C - не существует; B - существует, C - не существует ; B - не
существует, C - существует; B - существует, C - существует, но B ≠ C.
Тогда A не существует.
Может случиться, что повторные
(частные) пределы B и C существуют, равны друг другу: B = C, тем не менее
двойной предел A не существует.
Может случиться, что повторные
(частные) пределы B и C существуют, равны друг другу:= C, тем не менее двойной
предел A не существует.
Но: если двойной предел A
существует, то существуют и повторные пределы B и C, причем имеет место
равенство: A=B=C.
На практике двойные пределы

.
.3 Непрерывность функции
Функция двух переменных f (x, y),
определенная в точке (x0, y0) и в некоторой окрестности
ее, называется непрерывной в точке (x0, y0), если предел
этой функции в точке (x0, y0) равен значению этой функции
f(x0, y0), т.е. если
Функция, непрерывная в каждой точке
некоторой области, называется непрерывной в этой области. Непрерывные функции
двух переменных обладают свойствами, аналогичными свойствам непрерывных функций
одной переменной.
Если в некоторой точке (x0,
y0) условие непрерывности не выполняется, то говорят, что функция f
(x, y) в точке (x0, y0 ) разрывна.
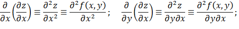
.4 Дифференцирование функции двух
переменных
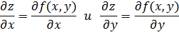
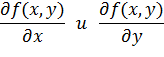
Частные производные первого порядка
Еще более важной характеристикой
изменения функции являются пределы:
Предел отношения
называется частной производной
первого порядка функции z = f (x, y) по аргументу x (сокращенно - частной производной)
и обозначается символами 
или 
или 
Аналогично, предел
называется частной производной
функции z =f (x, y) по аргументу y и обозначается символами 
или 
или 
.
Нахождение частных производных
называется частным дифференцированием.
Из определения частной производной
следует, что при нахождении ее по одному какому-нибудь частному аргументу, другой
частный аргумент считается постоянной величиной. После выполнения
дифференцирования, оба частных аргумента снова считаются переменными
величинами. Говоря другими словами, частные производные 
и 
являются функциями двух переменных
x и y.
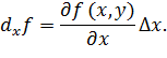
Частные дифференциалы
Величина
называется главной линейной частью
приращения ∆xf (линейной
по отношению к приращению частного аргумента ∆x). Эта
величина
называется частным дифференциалом, и
обозначается символом dxf.
Итак,
Аналогично
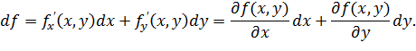
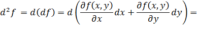
Полный дифференциал функции двух
переменных
По определению, полным
дифференциалом функции двух переменных, обозначаемым символом d f, называется
главная линейная часть полного приращения функции:

.
Полный дифференциал оказался равным
сумме частных дифференциалов. Теперь формулу для полного дифференциала можно
переписать так:
Подчеркнем, что формула для полного
дифференциала получается в предположении, что частные производные первого
порядка
непрерывны в некоторой окрестности
точки (x, y).
Функция, имеющая в точке полный
дифференциал, называется дифференцируемой в этой точке.
Чтобы функция двух переменных была
дифференцируемой в точке, недостаточно, чтобы она имела в этой точке все
частные производные. Необходимо, чтобы все эти частные производные были
непрерывными в некоторой окрестности рассматриваемой точки.
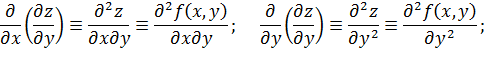
Производные и дифференциалы высших
порядков
Рассмотрим функцию двух переменных z
=f (x, y). Выше уже отмечалось, что частные производные первого
сами являются функциями двух
переменных, причем их можно дифференцировать по x и по y. Получаем производные
высшего (второго) порядка:
Частных производных второго порядка
оказалось уже четыре. Без доказательства высказывается утверждение: Если
смешанные частные производные второго порядка непрерывны, то они и равны:
Рассмотрим теперь дифференциал
первого порядка
Он является функцией от четырех
аргументов: x, y, dx, dy, могущих принимать различные значения.
Дифференциал второго порядка 
вычисляем как дифференциал от
дифференциала первого порядка: 
в предположении, что дифференциалы
частных аргументов dx и dy - постоянные величины:
2.5 Экстремумы функции двух переменных
Рассмотрим функцию двух
переменных z = f(x, y). Точка (x0, y0) называется точкой
локального максимума (строгого), если существует такая окрестность этой точки,
что для всех точек (x, y) из этой окрестности выполняется неравенство: f(x,
y)< f(x0, y0). В случае нестрогого неравенства f(x, y)≤
f(x0, y0) точка (x0, y0) называется
точкой нестрогого локального максимума. Аналогично определяется точка
нестрогого и строгого локального минимума, соответственно через неравенства
f(x, y)≥ f(x0, y0) и f(x, y)> f(x0, y0).
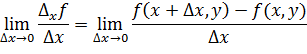
Необходимое условие локального
экстремума функции z =f(x, y) в точке (x0, y0): если в
этой точке обе частные производные первого порядка существуют, то они должны
равняться нулю, т. е.
Точки, в которых производные
обращаются в нуль, называются стационарными токами функции.
В некоторых случаях
стационарные точки функции являются точками ее экстремума. Но точками
экстремума функции многих переменных могут быть и точки, в которых функция не
дифференцируема.
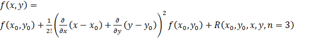
Достаточные условия локального экстремума
функции двух переменных
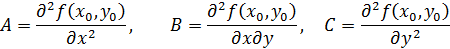
Рассмотрим функцию двух переменных z=f(x,y).
Пусть в точке (x0,y0) выполняются необходимые условия
локального экстремума:
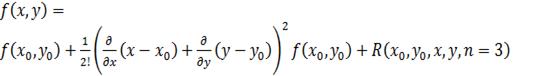
Разложим эту функцию по формуле Тейлора в
окрестности точки (x0,y0).
Получим:

=
Здесь в квадратных скобках применены упрощающие
обозначения:
Выражения вида
при произвольных постоянных
коэффициентах A,B и C называются квадратичными формами по отношению к
переменным величинам

.
Заметим, что при A≠0 с помощью
элементарных преобразований квадратичной форме можно придать следующий вид:

.
Отсюда видно, что квадратичная форма
ω
будет
знакоположительной, если одновременно A>0 и
>0. Если же 
, но при этом A<0, то
квадратичная форма ω
будет
знакоотрицательной.
Теперь можно сформулировать
достаточное условие локального экстремума: если в стационарной точке функции
двух аргументов выполняются два неравенства: A>0 и 
, то в этой точке функция имеет
локальный минимум. При выполнении в точке двух неравенств A<0,
, имеем локальный максимум, или,
если в стационарной точке функции имеют место неравенства C>0 и 
, то это точка локального минимума.
При C<0 и
, в стационарной точке будем иметь
локальный максимум. При A=0, экстремума в стационарной точке у функции нет.
.6 Нахождение глобального
экстремума непрерывной функции (нахождение наибольшего и наименьшего значения
функции)
Нахождение наибольшего и
наименьшего значений функции z=f(x, y) в некоторой замкнутой области. В таком
случае ищут наибольший максимум и наименьший минимум функции внутри замкнутой
области и на ее границе.
.7 Линии уровня
Построение графика функции обычно является
трудоемким процессом, поэтому удобнее геометрически описывать функцию двух
переменных не выходя в трехмерное пространство. Средство такого описывания
является линии уровня.
Линией уровня функции
называется
множество точек М
плоскости
Оху, удовлетворяющих равенству,
где с - константа.
Другими словами, линия уровня есть
кривая, во всех точках которой функция
принимает одно и то же постоянное
значение с. Геометрически линии уровня получаются как проекции на плоскость Oxy
линии пересечения графика функции и горизонтальной плоскости z=c.
Совокупность линий уровня,
соответствующие различным значениям z, называется сетью линий уровня данной
функции.
Сеть, при условии, что она проведена
для мало отличающихся друг от друга значений z, довольно наглядно характеризует
поведение функции.
Пример. Линиями уровня функции
являются
окружности
, то есть
линии пересечения поверхности
с плоскостями
(рис. 7).

Рис. 7
3. Исследование и построение
графика функции
.1 Исследования функции одной
переменной
Схема исследования функции
одной переменной
В предыдущих параграфах мы
рассмотрели основные свойства функции с помощью производных двух первых порядков.
Пользуясь полученными знаниями, можно составить яркое представление о характере
функции и, в частности построить математически грамотный эскиз ее графика.
) область определения
функции, оси и центры симметрии графика (четность, нечетность и периодичность
функции);
2) точки разрыва функции,
точки пересечения с осями координат, нули функции
) точки максимума и
минимума функции, промежутки возрастания и убывания функции, наибольшее и
наименьшее значения;
) значения х, при
которых график имеет точки перегиба, промежутки выпуклости и вогнутости
функции;
) наносят на чертеж все
найденные точки и, принимая во внимание все результаты исследования,
вычерчивают график.
Анализ исследования функции
одной переменной по схеме
Теперь рассмотрим более
подробно каждый пункт схемы.
1) Анализируя свойства функции f
(х), определяем область существования ее; для простоты предположим, что это
будет некоторый промежуток (а, b).
Полезно также выяснить симметрию графика (четность или нечетность,
периодичность).
) Находим точки разрыва
функции, нули функции и точки пересечения с осями координат. Исследуем также
поведение функции при x→a
и х→b, где а и b
- граничные точки области существования функции.
Решая уравнение f(x)=0
(1) определяем корни (нули) функции.
Выясняем знак функции в
различных областях, учитывая, что элементарная функция может менять свой знак,
лишь проходя через нуль или через точку разрыва.
) Решая уравнение f
’(х) = 0 (2) находим критические значения аргумента для функции f
(х). Изучая затем знак производной f
’ (х) в каждом из промежутков между двумя соседними критическими значениями,
определяем промежутки возрастания и убывания функции и выясняем характер этих
критических значений.
) Решая уравнение f’’(x)
= 0 (3) определяем критические значения аргумента для производной f’
(х). Выясняя затем знак производной f
" (х) в каждом из промежутков между двумя соседними критическими
значениями аргумента для производной f
’ (х), устанавливаем промежутки выпуклости и вогнутости вверх графика функции f
’ (х)и находим его точки перегиба.
В более сложных случаях следует
исследовать также те точки, в которых производные f’
(х) и f " (х) не
существуют.
Пример исследования функции и
построение ее графика
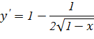
Пример 3.1. Построить график
функции
Исследуем функцию по
вышеприведенной схеме.
) Функция определена, если 0 ≤
1- x<+∞
Отсюда область существования
ее: - ∞ < х ≤ 1 или х ϵ (- ∞, 1]
Выясним четность функции. Для
этого находим у (- х) и - у (х) и сравниваем их.
Получаем, что y(-x)≠-y(x)
Значит данная функция нечетная.
) Точек разрыва нет, причем
Находим нули функции. Решая
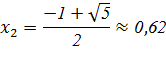
уравнение , при у = 0
получаем корни уравнения
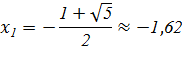
При y=0:
x1=-1,62
и x2=0,62.
Значит, x1
и x2
точки пересечения графика функции с осью Ох. Решая уравнение, при х = 0
При x
=0: y=1. Значит, y=1
точка пересечения графика функции с осью Оу.
) Находим производную
Находим критические точки. Для
этого приравниваем производную к нулю.
Получаем корень уравнения: х1
= 3/4 - является критической точкой.
Кроме того, очевидно, у'
обращается в ∞ при х = 1. Поэтому x2=1
также будет критической точкой.
Промежутками монотонности
функции являются (-∞, 3/4) и (3/4,1) причем, как нетрудно убедиться,
исследуя знак производной, функция возрастает на промежутке (- ∞, 3/4) и
убывает на промежутке (3/4, 1). Следовательно, х1=3/4 есть точка
максимума функции. В точке x2=1
точка минимума функции.
) Находим вторую производную
Так как вторая производная
всюду отрицательна, то график функции вогнут вниз и точек перегиба нет.
)По результатам, полученным в
предыдущих пунктах, построим график
рис. 8
.2 Исследование функции двух
переменных
Схема исследования функции двух
переменных
Для исследования функции двух переменных нет
определенной схемы. Все исследование сводится к исследованию функции на
экстремум.
Схема исследования функции двух переменных на
экстремум:
) область определения, нахождение точек
разрыва, предел функции;
2) частные производные, повторное
дифференцирование;
) точки локального и глобального
экстремума.
Анализ исследования функции
двух переменных по схеме
1. область определения, точки разрыва.
Анализируя свойства функции f (х, y), определяем
ее область определения. В некоторых случаях для этого необходимо решить либо
уравнение, либо систему уравнений, либо неравенство, либо систему неравенств.
Точки разрыва образуют множество точек плоскости Оxy, определяемое каким-либо
равенством.
. Частные производные. Повторное дифференцирование.
Находим
,
. Затем
находим частные производные второго порядка
,
,
. Точки локального и глобального
экстремума.
Для нахождения точек локального
экстремума используем схему:
) Определяем стационарные
точки. Для этого приравниваем частные производные первого порядка к нулю и
получаем точку
) Положим
а
. Тогда
а) если
, то в точке
функция
имеет экстремум, причём при
локальный максимум, а при
- локальный
минимум;
б) если
то в точке
экстремума
нет;
в) если
, то нужны
дополнительные исследования (экстремум может быть, а может отсутствовать).
Для нахождения глобального
экстремума используем схему:
1) Определяем стационарные и граничные точки.
2) Подставляем стационарные точки и
граничные точки в заданную функцию вместо аргументов. Среди полученных значений
функции выбираем наибольшее и наименьшее значение (наибольший максимум и
наименьший минимум).
Вывод
Итак, в данной главе мы вспомнили основные
свойства функции одной и двух переменных. Определили математические операции
для исследования функции одной и двух переменных
Кроме этого, приведена схема
для исследования функций из курса математического анализа. Представлен анализ
приведенной схемы с указаниями действий по каждому пункту.
Для наглядности рассмотрели
пример исследования функции одной переменой и построили ее график.
Теперь, мы знаем основные
математические операции, необходимые при исследовании и можем перейти к
следующей главе, в которой выделим математическую среду MathCAD
для автоматизации процесса исследования функции.
Глава II.
Инструментальная среда MathCAD
как средство исследования функции
Одна из задач ЭВМ - автоматизация труда,
повышение эффективности научных исследований. Основная особенность ЭВМ -
ориентация на применение пользователями, не владеющими языками
программирования. Такой подход позволяет преодолевать языковой барьер,
отделяющий человека от машины. С этой целью разрабатываются пакеты прикладных
программ, рассчитанные на широкие круги специалистов. К подобным пакетам
относится MathCAD.
Термин MathCAD
складывается из двух частей: Math - часть термина Mathematical
(математический), и Cad - аббревиатура от "Computer Aided Design"
(первые буквы названия, означающего "Разработка с использованием
компьютера").
MathCAD
- универсальный математический пакет, предназначенный для выполнения инженерных
и научных расчетов. Основное преимущество пакета - естественный математический
язык, на котором формируются решаемые задачи. Объединение текстового редактора
с возможностью использования общепринятого математического языка позволяет
пользователю получить готовый итоговый документ. Пакет обладает широкими
графическими возможностями, расширяемыми от версии к версии.
MathCAD
остается единственной системой, в которой описание решения задач задается с
помощью привычных математических формул и знаков. Имеет чрезвычайно удобный
математико-ориентированный интерфейс и прекрасные средства научной графики.
Интерфейс более дружествен, по сравнению с Mathematica
или Maple. Текст
формулы и графики можно свободно сочетать, передвигая их, как выделенные
штриховой рамкой объекты, и помещать их в произвольной точке экрана, при
изменении хотя бы в одном из объектов последовательно пересчитываются все
остальные данные.
От других продуктов аналогичного назначения,
отличается ориентацией на создание высококачественных документов (докладов,
отчетов, статей) в режиме WYSIWYG
(What You
See Is
What You
Get). Это означает,
что, внося изменения, пользователь немедленно видит их результаты и в любой
момент может распечатать документ. Работа с пакетом за экраном компьютера
практически совпадает с работой на бумаге с одной лишь разницей - она более
эффективна.
В ходе работы с системой пользователь готовит
так называемые документы. Они одновременно включают описания алгоритмов
вычислений, программы управляющие работой систем, и результат вычислений. По
внешнему виду тексты мало напоминают обычный программы.
. Вычислительные возможности
.1 Решение уравнений
Любое уравнение выглядит следующим образом:
Его можно преобразовать так, чтобы получилось
равенство с нулем в правой части:
Уравнения можно решать двумя способами.
Первый из них заключается в применении ключевого
слова solve из панели "Символика".
Решить уравнение 2х + 5 = -9х -14. сначала
переносим все ненулевые члены в левую часть и приводим подобные: 11х + 19 = 0.
На рабочем листе записываем левую часть, затем щелкаем мышкой по слову solve.
На место квадратика помещаем символ переменной величины, затем нажимаем клавишу
[Enter].
Получается выражение:
Пример 1. Решить уравнение
Записывая аналогично и применяя ключевое слово,
получаем результат:
Отметим, что приведены все три корня уравнения
(алгебраическое уравнение имеет столько корней, какова его степень) в
символическом виде -корни не вычислены. Если же мы хотим, чтобы значения корней
были приведены в приближенном виде (например, с 3 десятичными знаками), то один
из коэффициентов уравнения следует сделать приближенным, например, поставить
десятичную точку у числа 2:
Второй способ с помощью функции root.
Обращение к функции:
Возвращает значение, при котором функция f(x)=0.
Функция root решает уравнения итерационным
методом секущих и поэтому требует перед собой задания начальных значений. Кроме
того, функция root, производя вычисления методом спуска, вычисляет и выводит
только один корень, ближайший к начальному приближению.
Перед решением уравнения желательно построить
график функции f(x).
На графике видно, пересекает ли кривая f(x)
нулевую линию, то есть имеет ли действительные корни. Если есть точки
пересечения кривой с осью, то надо выбирать начальное приближение поближе к
значению корня. Если корней несколько, для нахождения каждого корня надо
задавать свое начальное приближение.
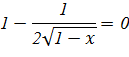
Пример .2. Решить уравнение
Чтобы решить его в MathCAD,
напишите:
Функция root
позволяет решить уравнение и в символьном виде. При этом начальное приближение
не требуется. Надо лишь ввести выражение, содержащее функцию root,
и выбрать символьный знак равенства нажав клавиши Ctrl+.
(точка). Если символьное решение существует, появится ответ, содержащий сразу
все корни уравнения, а не один, как при численном решении уравнения.
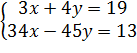
.2 Решение систем уравнений
В MathCAD
системы уравнений решаются с помощью вычислительного блока given -find. Так как
решение систем уравнений осуществляется итерационным методом, перед решением
необходимо задать начальные приближения для всех неизвестных.
Чтобы решить систему алгебраических уравнений,
нужно:
Ø задать начальные приближения для
всех неизвестных, входящих в систему;
Ø напечатать ключевое слово given
(Дано). Убедитесь, что при печати вы не находитесь в текстовой области. Если
нажать клавишу «пробел», то математическое выражение становится текстовой
областью и слово given перестает восприниматься как ключевое;
Ø ввести уравнения и неравенства,
входящие в систему, правее и ниже ключевого слова given. Между левой и правой
частями уравнения должен стоять жирный знак равенства. Это не знак присвоения
значения, а знак логического равенства. Для его ввода используйте сочетание
клавиш Ctrl+= или выберите его в панели Boolean (Булевы операторы);
Ø введите любое выражение, содержащее
функцию find. При печати слов given и find можно использовать любой шрифт,
прописные и строчные буквы.
Функция find может решать и одно уравнение с
одним неизвестным, как частный случай системы уравнений. Для системы из
нескольких уравнений функция find выводит решение в виде вектора. Функция find
позволяет решать системы уравнений в численном и в символьном виде.
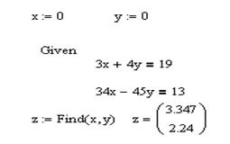
Пример 4.3. Решить систему уравнений
Для систем уравнений такого рода следует
задавать начальные значения неизвестных, например x:=0, y:=0. Далее запись
решения имеет такой вид:
рис.9
Здесь переменная величина z определяется как
вектор-столбец решения (найденные значения x и y) с помощью ключевого слова
Find (рис.9).
Аналогично решаются системы линейных уравнений.
Пример 4. Решить систему уравнений
Не забываем задать начальное значение.
рис.10
Если система уравнений не имеет точного решения,
для приближенного решения в MathCAD
существует функция minerr. Обращение к ней и использование функции не
отличаются от функции find. Функцию minerr удобно использовать для поиска
экстремума негладких функций с переломами на графике.
.3 Вычисление пределов
На панели Калькулус имеются три символических
пиктограммы предела (одна для обычного предела, еще две - для односторонних
пределов), с помощью которых можно быстро и непринужденно вычислять ответы для
сколь угодно сложных пределов (рис.11)
рис.11
В системе MathCAD
для вычисления пределов предназначены три кнопки панели Са1сu1us
(Вычисление):
-вычисляет предел
функции в точке;
,
-
возвращают значения правостороннего и левостороннего пределов соответственно.
Алгоритм вычисления предела с
помощью оператора символьного вывода:
• выбрать одну из перечисленных
кнопок;
• заполнить маркеры ввода
выражением или именем функции;
К сожалению, процедура вычисления остается
недосягаемой для пользователя, и он вынужден верить системе. Поэтому
рекомендуется использовать вычисления пределов (а также производных, интегралов
и т.п.) с помощью MathCAD
лишь для проверки собственных вычислений или для возможной оценки
соответствующих величин в случае невозможности получения результата вручную. На
рис.20 мы видим на панели символ бесконечности (∞), так что в качестве
предельного значения аргумента можно брать бесконечность (в том числе с плюсом
или минусом). Для решения задачи необходимо поставить на место курсора (якоря)
символ соответствующего предела, заполнить черные точки содержательными обозначениями
(аргумент, его предельное значение, функция, от которой берется предел), затем
после набора примера в конце вместо знака равенства поставить стрелочку (→)
из панелей Подсчет или Символика и нажать на клавишу Enter. Заметим, что в
примерах на вычисление пределов могут присутствовать неопределенные параметры;
они просто появятся в соответствующем виде в ответе. Приведем несколько
примеров.
Пример 5.
Для определения непрерывности функции мы так же
используем пределы. Для этого вычисляются пределы слева и справа от точки
разрыва.
.4 Нахождение производных
На панели Калькулус (рис.11) имеются две
пиктограммы для вычисления производных- первого порядка, а также произвольного
порядка n (порядок n также необходимо вставить при использовании второй
пиктограммы). Как и при вычислении пределов, мы сразу же получаем результат без
указания порядка вычислений.
- вычисляет первую
производную;
- вычисляет
значение n-й производной.
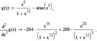
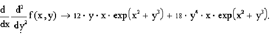
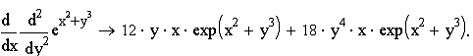
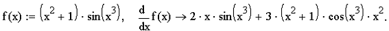
Пример 6. Найти вторую производную функций:
Частные производные функций двух или более
переменных вычисляются точно так же, как и производные функции одной
переменной. Пиктограммы для нахождения производных расположены на панели
Калькулус, только для производной по каждой из переменных следует точно
указывать символ переменной величины и кратность производной. Вот пример
смешанной производной третьего порядка:
Этот же пример можно решить иначе. Сначала
определим функцию двух переменных
Затем возьмем от нее производную:
Результат, как мы видим, точно такой же.
.5 Исследование функции на экстремум
Для непрерывной функции используем равенство
нулю производной от заданной функции. Удобно использовать функции maximize и
minimize (они вводятся аналогично применению функции find. Ключевое слово given
обычно можно опустить. Оно необходимо лишь в случае наличия ограничений.
Совет.
При анализе конкретного уравнения желательно
внимательно изучить поверхностный график функции, на котором хорошо видны
области нахождения экстремумов.
Minimize
(f, x0)
- определяет локальный минимум функции f,
заданной только своим именем, вблизи точки x=
x0.
Maximize
(f, x0)
- аналогично ищет локальный максимум функции f.
Пример 4.7.
рис.12
2. Графические возможности
Пакет предоставляет широкие графические
возможности. Кроме того, здесь можно использовать чертежи и рисунки, полученные
в других графических системах. Нажатием буквально одной кнопки можно задать
шаблон для генерации графика, причем в одних и тех же осях может быть несколько
графиков одновременно.
Построение графика в системе MathCAD
осуществляет встроенный в систему графический редактор. Большинство параметров,
необходимых для построения, задается по умолчанию, для чего достаточно указать
тип графика.
рис.13
Палитра Math-
математическая (рис.13), вызов которой осуществляется с помощью опции Toolbars
пункта View главного
меню, содержит кнопку вызова панели Graph
(Графические), где можно найти ссылки на семь типов графиков. Рассмотрим три
типа графиков, которые будем использовать при исследовании функции.
ü график в декартовой системе
координат (X-Y
Plot);
ü поверхность (Surface);
ü контурный график (Contour
Plot);
Деление графиков на типы несколько условно, так
как управляя установками многочисленных параметров, можно создавать
многочисленные комбинации типов графиков, а так же новые типы.
Все графики являются стандартными объектами MathCAD:
их можно редактировать, а при пересчете исходных данных они автоматически перерисовываются.
Кроме того, в средах «объемной» визуализации данных существует возможность
композиции задних планов. Существует большое количество опций для работы с
осями, а так же возможность импортировать графические изображения.
.1 Двумерные графики
К двумерным графикам относятся графики в
декартовой и полярной системах координат. Созданный однажды график одного типа
нельзя переделать в график другого типа (в отличие от трехмерных графиков).
Самый распространенный график: двумерный
декартовый график (X-Y
Plot), иллюстрирующий
связи между двумя или несколькими векторами.
Способы построения двумерных графиков
Чтобы создать двумерный график, надо
воспользоваться кнопкой
на панели Graph
(рис.14,а), после чего появится шаблон графической области, образованный двумя
вложенными прямоугольными рамками и маркерами ввода (рис.14,б).


а) б) в)
рис.14
Построение быстрого графика
Для построения, так называемого, быстрого
графика (рис.14,в) необходимо указать выражение, задающие вид функции, ее
аргумент, границы изменения значения функции и аргумента соответственно (по
умолчанию кривая строится в интервале [-10;10]).
Построение графика по двум векторам
Еще один способ построения графика функции - это
сформировать два вектора данных, которые будут отложены вдоль осей х и у.
Последовательность построения графика двух векторов х и у показаны на рис.15. В
этом случае на маркерах возле осей вводятся просто имена векторов. В результате
получается график, на котором отложены точки, соответствующие парам элементов
векторов, соединенные отрезками прямых линий. Образованная ими ломанная
называется рядом данных, или кривой (trace).
Пример 1. Построить график функции двух
переменных по двум векторам
рис.15
В данном примере задается шаг для аргумента х,
равный 0,1. Для этого необходимо указать после знака равно начальное значение
х, затем следующие с учетом начальное значение + шаг, поставить 2 точки
(клавиша < ; >), и после указать конечное значение(правая граница).
Задаем функцию f(x).
Пишем первый вектор х, знак = и нажимаем клавишу <Enter>,
система автоматически строит таблицу со значениями вектора. Аналогично для
второго вектора f(x),
для него не нужно указывать шаг.
Построение нескольких графиков в одной области
На одном графической области может быть отложено
до 16 различных зависимостей. Для этого на месте маркера, где задается
выражение, указать все функции через запятую, на экране монитора вместо запятой
ниже первого выражения или функции появляется маркер ввода (рис. 16).
рис.16
Форматирование графика
Для форматирования графического объекта
достаточно, находясь в графическом окне, воспользоваться правой клавишей мыши
и, выбрав команду Format
открыть диалоговое окно с вкладками: X-Y
Axes (координатные оси
графика), Traces (ряды
данных), Labels (метки -
заголовки и подписи), Defaults
(установки по умолчанию) (рис.17).
Для настройки вида координатных осей имеется два
одинаковых списка параметров:
Log
Scale (Логарифмическая
шкала) - логарифмирует координаты (основание логарифма равно 10);
Grid
Lines (Линии
сетки) - визуализирует линии сетки;
Numbered
(Нумерованные) - нумерует координатную ось в соответствии с параметром Numbered
of Grids
(Число делений);
Autoscale
(Автошкала) - устанавливает автоматический выбор диапазона изменения оси;
Boxed (Прямоугольные)
- параметр установлен по умолчанию: оси пересекаются в точке с наименьшими
координатами;
Crossed
(Пересекающиеся) - устанавливает стандартное расположение осей;
None (Нет) - оси
не отображаются;

Рис.17
Закладка Traces
позволяет изменять вид представления данных: отображать узловые точки, тип
линии графика, цвет и толщину линий.
Изменение внешнего вида шкалы, нанесенной на
координатную ось, производится с помощью диалогового окна Formatting
Currently
Selected
X-Y
Plot (Форматирование
выбранного графика), в котором следует перейти на вкладку X-Y
Axes (Оси Х-Y)
с помощью флажков и переключателей легко поменять внешний вид каждой из осей.
Маркером на координатных осях отмечаются метки
некоторых значений. Маркер представляет собой линию, перпендикулярную оси,
снабженную числом или переменной. Готовые маркеры показаны на рис.18. На каждой
из осей допускается установить по два маркера. Если определен один из них, то
второй виден не будет.
рис.18
Изменение масштаба фрагмента графика
Средствами MathCAD
можно изменить масштаб изображения фрагмента графика (рис.19) для чего следует:
ü поместить курсор внутрь графической
области и нажать правую кнопку мыши;
ü в всплывающем меню выбрать опцию Zoom
(лупа), вызывающую открытие диалогового окна X-Y
Zoom;

рис.19
ü удерживая левую клавишу мыши в
области графика, которую желательно увеличить, растянуть пунктирный
прямоугольник выделения - координаты области отобразятся в полях Min
и Max окна X-Y
Zoom (рис.19);
ü когда вся область, которую требуется
увеличить, выделена, отпустить левую клавишу мыши и нажать кнопку Ok
данного диалогового окна. В результате границы на осях координат изменяются в
соответствии с размерами области выделения, а график отобразится в новом
масштабе (рис. 20).
рис.20
.2 Трехмерные графики
Коллекция трехмерных графиков - настоящее чудо,
которое MathCAD
дарит пользователю. За несколько секунд вы можете создать великолепную
презентацию результатов своих расчетов.
Создание трехмерных графиков
Чтобы создать трехмерный график, требуется
нажать кнопку с изображением любого из типов трехмерных графиков на панели
инструментов Graph (График)
(рис.21).
рис.21
Следует отметить, что для получения графиков не
требуется никакого текста, кроме введения имени соответствующей функции на
месте маркеров. При быстром построении графиков имеется возможность строить их
в различном диапазоне аргументов, подобно двумерным графикам. Быстрое
построение трехмерного графика изображено на рис.22.
Для построения трехмерного графика (графика
поверхности) выполните следующие действия:
Ø Наберите имя функции двух
переменных, знак присвоения значения := , выражение функции.
Ø Установите курсор в то место, где вы
хотите построить график.
Ø В математической панели щелкните
мышью на кнопке Graph Toolbar (Панель графиков), изображающей график
Ø Surface Plot (трехмерный график). На
месте курсора появится шаблон трехмерного графика (рис.21).
Ø В единственном поле ввода шаблона
графика введите имя функции (без параметров).
Ø Щелкните мышью вне области шаблона
(рис.22).
Пример 2. Построить график функции двух
переменных
рис.22
График линий уровня
При исследовании функции для более точного
результата нам нужно построить и график линий уровня данной функции. Это можно
сделать используя панель Graph,
и выбрать вид графика - Contour
Plot. Строится он
аналогично трехмерному графику (рис.23).
Пример 3. Построить линии уровня
рис.23
Форматирование трехмерных графиков
График черно-белый, некрасивый, MathCAD
позволяет сделать из него почти произведение искусства.
Форматирование трехмерных графиков выполняется с
помощью диалогового окна 3-D
Plot Format
(Форматирование 3-D графика),
которое вызывается двойным щелчком мыши в области графика (рис.22). Параметры
трехмерных графиков всех типов устанавливаются посредством этого диалогового
окна.
Панель форматирования трехмерных графиков,
приведенная на рис. 24, содержит 9 вкладок, открывающих огромные возможности
форматирования графиков.
рис.24
Выберите пункт Appearance (появление) →Fill
surface (Залить поверхность) → Colormap (Разноцветный). Щелкните мышью на
кнопке Применить. График стал цветным (рис.25).Щелкните правой кнопкой мыши на
графике - откроется контекстное меню, дающее дополнительные возможности
улучшения графика. Выбирайте различные пункты и смотрите как они влияют на
график.
Преобразуем пример 2.:
рис.25
Вращение графика
Самый простой способ ориентации системы
координат с графиком в трехмерном пространстве - это перетаскивание его
указателем мыши. Попробуйте перемещать при нажатой левой кнопки мыши указатель
в пределах графика, и вы увидите как он поворачивается (рис.26).
Пример 4. Построить график функции двух
переменных, а затем развернуть его.
рис.26
Масштабирование графика
В поле Zoom
(Лупа) вкладки General
(Общие) (рис.24) можно задать числовое значение масштаба (рис.27).
Пример 5. Изменить масштаб построенного графика
функции двух переменных
рис.27
Теперь изменим масштаб данного графика:
1) График с масштабом 0,5 (рис.28,а);
2) График с масштабом 1,5(рис.28,б).

а)
б)
рис.28
Вывод
Мы вспомнили основные свойства функций,
определили основные математические операторы, необходимые для исследования
функции, рассмотрели возможности математического пакета MathCAD
для автоматизации некоторых операций, представили операторы системы, которые
будем использовать при исследовании и рассмотрели на примере их
работоспособность. Указали, для каких вычислений и операций автоматизация не
удастся. Описали способы построения графиков и их форматирования.
MathCAD
остается единственной системой, в которой описание решения задач задается с
помощью привычных математических формул и знаков. Имеет чрезвычайно удобный математико-ориентированный
интерфейс и прекрасные средства научной графики.
Теперь можно смело
автоматизировать процесс исследования функций.
Зачем использовать MathCAD
в исследовании функции? Возможно, им не станет пользоваться человек с высшим
образованием, отлично владеющий математическим анализом и программированием,
знаниями и умениями работать в более мощных математических пакетах. Но другое
дело учащиеся. Они, конечно же, исследуют функцию у себя в тетради и потратят
на это уйму времени. Составят схему и, опираясь на нее, будут строить график.
Но получив в ходе решения массу чисел и выражений, могут напутать с нанесением
точек на график или допустить в каком-либо пункте арифметические ошибки, и в
итоге все исследование будет не верным. Потому что ученики не понимают смысла
своей работы и всего исследования, не замечают своих ошибок, ведь этот процесс
не привлекает учеников, нет творческой работы, а значит, и нет интереса в ней.
Так зачем тратить время, если этот процесс можно автоматизировать?!
Глава III.
Исследование функции в системе MathCAD
. Схемы исследования функции с
помощью математического пакета MathCAD
В данной главе модифицируем
имеющиеся в I главе схемы. И
составим по ним схемы, по которым будем исследовать функцию одной переменной и
функцию двух переменных. На основе полученной схемы разработаем шаблон
исследования функций, которым может воспользоваться любой начинающий
пользователь. В шаблоне укажем пункты, где требуется участие пользователя и
приведем рекомендации.
.1 Схема исследования функции
одной переменной
1. Задаем функцию одной
переменной;
2. Чертим первоначальный
график функции;
3. Находим область
определения функции, оси и центры симметрии графика, определяем четность
функции и ее периодичность;
4. Точки разрыва, точки
пересечения с осями координат, нули функции;
5. Точки максимума и минимума
функции, промежутки возрастания и убывания функции, наибольшее и наименьшее
значение функции;
6. Точки перегиба графика,
промежутки выпуклости и вогнутости
графика;
7. Принимая во внимание все
результаты исследования, строим график данной функции и наносим на нем все
полученные точки.
Таблица. Этапы автоматизации
исследования функции одной переменной
|
Этап
исследования
|
Действия
|
Оператор
|
|
Задать
функцию
|
f(x):=
|
|
|
Построить
первоначальный график
|
Осуществляет
встроенный графический редактор. На панели Graph есть
ссылки на 7 типов графиков. В данном исследование мы воспользуемся только
одним типом графиков.
|
Graph: X-Y
Plot
|
|
Найти
область определения функции, оси и центры симметрии графика, определить
четность
|
Для
этого необходимо решить уравнения: 1)Для определения ОДЗ нужно сперва
самостоятельно составить уравнение существования функции, которое система
решит самостоятельно. 2)Для определения четности необходимо задать функцию
относительно переменной (-x) и составить уравнение
противоположное по знаку исходному. Система их решит, но вот сравнить их
придется самостоятельно. Анализируя полученное делается вывод о симметрии
графика.
|
-f(x)→ f(-x)→ (→
находится на панели Symbolic)
|
|
Найти
нули функции
|
Решается
уравнение при х=0 и у=0
|
Solve (→
на панели Symbolic)
|
|
Найти
предел функции (точки разрыва)
|
Найти
предел функции для х → -∞ х →0 х→ ∞
|
(находится
на панели Calculus)
|
|
Найти
точки экстремума функции
|
Найти
производную функции, приравнять ее к нулю и найти точки. Определить, которая
точка является точкой максимума, а которая минимума.
|
Minimize(f,x)
Maximize(f,x)
|
|
Найти
промежутки монотонности
|
Решаем
неравенство D(x)>0, D(x)<0 при
помощи оператора solve
|
D(x)>0 →solve,x D(x)<0→solve,x
|
|
Найти
точки перегиба
|
Находим
вторую производную функции, либо первую производную от функции получено
ранее. Приравниваем ее к нулю и получаем точки.
|
|
|
Построить
график функции
|
С
учетом всех полученных точек строим график функции и отмечаем точки на нем,
используя свойства графика.
|
Graph Properties
Format
|
1.2 Схема исследования функции двух переменных с
помощью математического пакета MathCAD
. Задаем функцию двух переменных.
2. Строим первоначальный график функции.
. Находим область определения функции и
точки разрыва.
. Точки пресечения с осями координат.
. Строим график линий уровня заданной
функции
. Находим повторный предел заданной
функции.
. Определяем частные производные функции.
Повторное дифференцирование.
. Определяем стационарные и граничные
точки функции.
. Находим локальный максимум и минимум
функции.
10. Находим глобальный экстремум функции.
11. Принимая во внимание все
результаты исследования, строим график данной функции.
Таблица. Этапы автоматизации
исследования функции двух переменных
|
Этап
исследования
|
Действия
|
Оператор
|
|
Задаем
функцию
|
z(x,y):=
|
|
|
Строим
первоначальный график функции
|
Осуществляет
встроенный графический редактор.
|
Graph: Surface
Plot
|
|
Находим
область определения, точки разрыва, точки пересечения графика с осями
координат
|
Для
этого необходимо решить уравнения: 1) Для определения ОДЗ нужно сперва
самостоятельно составить уравнение или чаще всего систему существования
функции, которое MathCAD решит за пользователя. 2) Для
точек разрыва надо решить уравнения, полученные при определении ОДЗ. 3) Для
отыскания точек пересечения с осями координат надо приравнять аргумент к нулю
и решить полученное уравнение, получим точки.
|
|
|
Строим
график линий уровня заданной функции
|
Осуществляет
встроенный графический редактор.
|
Graph: Contour
Plot
|
|
Находим
повторный предел функции
|
Для
этого сперва находим предел в точке x, а потом
ищем предел относительно полученного выражения в точке у, или наоборот. Можно
воспользоваться встроенным оператором для отыскания повторного предела на
панели Calculus.
|

|
|
Определяем
частные производные функции.
|
Находим
частные производные функции по переменной х и переменной у. Для этого
воспользуемся панелью Calculus. Повторное дифференцирование. 2 производные
первого порядка и 4 производных второго порядка
|
|
Находим
локальный экстремум функции Для непрерывной функции используем равенство нулю
производной (стационарные точки) от заданной функции.
а
. Тогда
а)
если
, то в точке
функция
имеет экстремум, причём при
─ локальный максимум, а при
- локальный
минимум;
б)
если
то в точке
экстремума
нет;
в)
если
, то нужны
дополнительные исследования (экстремум может быть, а может отсутствовать).
|
|
|
|
|
Находим
глобальный экстремум функции
|
Определяем
стационарные и граничные точки. Подставляем точки в заданную функцию. Среди
полученных значений выбираем наибольшее и наименьшее значение.
|
|
|
Построение
конечного графика функции
|
Принимая
во внимание все результаты исследования, строим график данной функции двух
переменных.
|
Graph 3-D
Plot
Format
|
. Исследование функции в системе MathCAD
Желтыми прямоугольниками выделены вычисления, в
которых требуется участие пользователя.
Красными прямоугольниками выделены комментарии к
пунктам, в которых требуется участие пользователя.
Зелеными прямоугольниками выделены пункты и
комментарии к ним, в которых система работает автоматически, т.е. без участия
пользователя.
2.1 Шаблон исследования функции одной переменной
Шаблон№1. Исследовать функцию
. Задаем функцию
// пользователь выбирает
функцию сам
. Строим первоначальный график заданной функции
// выводит автоматически
. Находим область определения функции
Определим четность функции

функция ни нечетная, ни четная
// Пользователь сам составляет уравнение или
неравенство (возможно систему) для нахождения области определения функции.
Система решит его сама. После чего, получив точки, пользователь делает вывод.
Если область определения принадлежит множеству действительных чисел, то надо
лишь это указать, не решая никаких уравнений.
. Найдем нули функции
Точка пересечения
с осью Oy
точка пересечения с осью Ox
// Пользователю только надо сделать вывод о
четности функции
// В некоторых случаях требует участия
пользователя
. Найдем пределы функции
. Найдем точки экстремума. Для этого найдем
сперва производную функции
Приравняем производную к нулю:
являются критическими точками
Найдем точки экстремума
Точка минимума
Точка максимума
Определим промежутки возрастания и убывания
функции
График функции убывает на промежутке:
// Требует участия пользователя для анализа
точек и составления промежутков монотонности
График функции возрастает на промежутке: 
Наибольшее значение
Наименьшее
значение
// В скобках надо заменить значения на те,
которые получились при нахождении точек экстремума
. Найдем вторую производную
Точек перегиба нет
// Вывод делает пользователь(x) всюду
отрицательно, значит точек перегиба нет, и график функции выпуклый кверху на
всей области определения
. Построим график функции
.2 Шаблон исследования функции двух переменных
Шаблон №2. Исследовать функцию двух переменных:
. Задаем функцию
// Пользователь сам выбирает функцию
. Построим первоначальный график функции
// выводит автоматически
. Находим область определения функции
// Для функции двух переменных система MathCAD
может решать только функции с областью определения R. Для разрывных функции
график не строит
. Найдем точки пересечения с осями координат
Точка пересечения
в начале координат
. Строим линии уровня
// автоматически
. Определяем повторный предел заданной функции
. Находим частные производные
Проводим повторное дифференцирование
. Определяем стационарные точки
Приравниваем частные производные первого порядка
к нулю
стационарные
точки. Получаем точку с координатами
// Пользователь сам делает вывод
. Найдем точки локального экстремума
// Иногда требует участия пользователя
// Пользователь сам должен сделать вывод
т. к. Δ>0, то
в точке М функция имеет экстремум>0, C>0 значит точка М -точка локального
минимума
. Находим глобальный экстремум функции
// Заменить значения в скобках на ваши
координаты точки М
. Строим график функции
// автоматически
.3 Исследование функции одной переменной
Пример 1. Исследовать функцию
. Задаем функцию
. Строим первоначальный график заданной функции
. Находим область определения функции
Как видим из графика и самой функции, что заданная
функция существует на все области действительных чисел
Определим четность функции
Значит график функции симметричен относительно
начала координат
. Найдем нули функции
Точки пересечения с осью Ох
Точки
пересечения с осью Oy
5. Найдем пределы функции
У данной функции точек разрыва нет
. Найдем точки экстремума. Для этого найдем
сперва производную функции
Приравниваем производную к нулю:
Найдем точки экстремума
Точка минимума
Точка максимума
Определим промежутки возрастания и убывания
функции
График функции возрастает на промежутке:
График функции убывает на промежутке:
Найдем наибольшее и наименьшее значение функции
Наименьшее
значение
Наибольшее
значение
. Найдем вторую производную
Приравняем производную второго порядка к нулю:
Точка перегиба
График функции вогнут вниз на промежутке:
График функции выпуклый к верху на промежутке:
. Построим график функции
Пример 2. Исследовать функцию
. Задаем функцию
. Строим первоначальный график заданной функции
. Находим область определения функции
По свойству логарифмов имеем:
Учитывая знак модуля функция f(x) всегда
положительная
. Найдем нули функции
Точки пересечения с осью Oy
Точки пересечения с осью Ox
Раз функция всегда положительная, то график
находится выше оси Ох
. Найдем пределы функции
У данной функции точек разрыва нет
. Найдем точки экстремума.
Точкой экстремума является точка пересечения с
осями
точка минимума
Определим промежутки возрастания и убывания
функции
Учитывая, что область определения (-1,∞)
имеем:
График функции убывает на промежутке:
График функции возрастает на промежутке:
,
где ноль входит
. Найдем вторую производную
Нет точек перегиба и промежутков выпуклости и
вогнутости
. Построим график функции
Пример 3. Исследовать функцию
. Задаем функцию
. Строим первоначальный график заданной функции
. Находим область определения функции
Как видим из графика и самой функции, что
заданная функция существует на все области действительных чисел
Определим четность функции
Функция ни четная, ни не четная
. Найдем нули функции
Точки пересечения с осью Oy и
Ох, т.е. начало координат
. Найдем пределы функции
У данной функции точек разрыва нет
. Найдем точки экстремума. Для этого найдем
сперва производную функции
Приравняем производную к нулю:
Найдем точки экстремума
Точка минимума
Точки максимума нет
Определим промежутки возрастания и убывания
функции
График функции возрастает на промежутке:
График функции убывает на промежутке:
Найдем наибольшее и наименьшее значение функции
Наименьшее
значение
. Найдем вторую производную
Приравняем производную второго порядка к нулю:
Точка перегиба
График функции
выпуклый кверху
. Построим график функции
Пример 4. Исследовать функцию
. Задаем функцию
. Строим первоначальный график заданной функции
. Находим область определения функции
,
Вертикальные асимптоты
функция четная
Значит график функции симметричен относительно
оси Oy
. Найдем нули функции
Точки пересечения с осью Oy
Значит точек пересечения с осью Ox нет
. Найдем пределы функции
Точки разрыва x=2 и x= - 2
. Найдем точки экстремума. Для этого найдем
сперва производную функции
Приравняем производную к нулю:
Найдем точки экстремума
Точка минимума
Определим промежутки возрастания и убывания
функции
График функции возрастает на промежутке:
График функции убывает на промежутке:
Наименьшее значение
. Найдем вторую производную
Приравняем производную второго порядка к нулю:
График функции вогнут вниз на промежутке (2,2)
График функции выпуклый к верху на промежутке:
. Построим график функции
2.4 Исследование функции двух переменных
Пример 1. Исследовать функцию двух переменных:
. Задаем функцию
. Построим первоначальный график функции
3. Находим область определения функции
. Найдем точки пересечения с осями координат
Точка пересечения
в начале координат
. Строим линии уровня
. Определяем повторный предел заданной функции
. Находим частные производные
Проводим повторное дифференцирование
. Определяем стационарные точки
Приравниваем частные производные первого порядка
к нулю
стационарные точки
Получаем точку с координатами
. Найдем точки локального экстремума
т .к. Δ<0, то
в точке М функция не имеет экстремум
. Находим глобальный экстремум функции
нет глобального экстремума
. Строим график функции
Пример 2. Исследовать функцию двух переменных:
. Задаем функцию
. Построим первоначальный график функции
3. Находим область определения функции
. Найдем точки пересечения с осями координат
Точка пересечения
в начале координат
. Строим линии уровня
. Определяем повторный предел заданной функции
. Находим частные производные
Проводим повторное дифференцирование
. Определяем стационарные точки
Приравниваем частные производные первого порядка
к нулю
стационарные точки
Получаем точку с координатами
. Найдем точки локального экстремума
т .к. Δ<0, то
в точке М функция не имеет экстремум
. Находим глобальный экстремум функции
нет глобального экстремума
. Строим график функции
Пример 3. Исследовать функцию двух переменных:
. Задаем функцию
. Построим первоначальный график функции
. Находим область определения функции
. Найдем точки пересечения с осями координат
Точка пересечения
. Строим линии уровня
. Определяем повторный предел заданной функции
. Находим частные производные
Проводим повторное дифференцирование
. Определяем стационарные точки
Приравниваем частные производные первого порядка
к нулю
стационарные точки
9. Найдем точки локального экстремума
Нет точек экстремума
. Находим глобальный экстремум функции
. Строим график функции
Пример 4. Исследовать функцию двух переменных:
. Задаем функцию
. Построим первоначальный график функции
3. Находим область определения функции
. Найдем точки пересечения с осями координат
Точка пересечения
в начале координат
. Строим линии уровня
. Определяем повторный предел заданной функции
7. Находим частные производные
Проводим повторное дифференцирование
. Определяем стационарные точки
Приравниваем частные производные первого порядка
к нулю
,
стационарные
точки. Получаем точку с координатами
. Найдем точки локального экстремума
не существует,
значит точек экстремума нет
. Находим глобальный экстремум функции
. Строим график функции
Вывод
MathCAD
- это универсальная среда для решения задач в различных отраслях науки и
техники, финансов и экономики и другие.
Применение доступной системы MathCAD:
Ø позволяет упростить
работу учащихся,
Ø оптимизировать
учебное время,
Ø не затрачивать
время и усилий на ручные расчеты и построение графиков,
Ø повышает
информативность сообщаемого материала,
Ø нацеливает занятия
на формирование умений по изучаемой теме,
Ø не допускает
отвлечения на другие проблемы,
Ø описание
исследования функции задается с помощью привычных математических формул и
знаков, что придает ей математический вид,
Ø повышает
эффективность интеллектуального труда,
Ø позволяет готовить
документы, напоминающие вид записей у себя в тетради,
Ø решение становиться
понятным и доступным,
Ø существенно
повышает эффективность интеллектуального труда,
Ø позволяет получить
более точные вычисления и результаты,
Ø дает нам отличное
качество чертежей и графиков.
Ø пакет рассчитан на
школьников и учащихся, но не годится для использования в серьезных разработках.
Проблема лишь в том, что не все
пользователи ПК хорошо знакомы с математическими пакетами, возможно отчасти в
этом виноваты и учебные заведения, которые уделяют их изучению не достаточно
времени, а в некоторых школах и вовсе не изучают.
Заключение
Итак, мы вспомнили основные свойства функции
одой и двух переменных, рассмотрели математический пакет MathCAD,
составили схемы для исследования функции одной и двух переменных, совместив
полученные знания применили их к автоматизации исследования функции в среде MathCAD.
Система MathCAD
позволяет автоматизировать один из самых трудоемких и времяемких процессов.
При исследовании функции одной
переменной можно автоматизировать примерно 60% работы ручной работы. При
исследовании функции двух переменных автоматизируется около 80% работы. Так как
в исследовании функции одной переменной пользователю часто приходиться
вмешиваться в процесс, редактировать формулы и анализировать полученные данные.
Все рассмотренные примеры и
сама схема представлены в общем виде, таким образом, достаточно лишь в начале
документа изменить функцию и получить готовое исследование, которое стоит лишь
немного отредактировать
В своей работе я достигла
поставленной цели: автоматизировала процесс исследования функции в
математической среде MathCAD.
Задачи работы решены:
. Составлены две схемы для
исследования функции в общем виде;
2. Разобраны все
необходимые операции и возможности пакета для исследования функции;
. Процесс исследования в
среде MathCAD
автоматизирован более чем на 50%;
. Указаны этапы, которые
можно автоматизировать с помощью математического пакета, и которые требуют
участия пользователя.
Итак, с помощью MathCAD
можно составлять пакеты и библиотеки документов, реализующие такие исследования
различных графиков. К работе прилагается диск, на котором присутствует
библиотека примеров исследования функции одной и двух переменных.
Несомненно, важны и такие
достоинства системы, как высокая достоверность и надежность результатов
вычислений, наглядность документов и удобные графические средства вывода
результатов вычислений.
Процесс внедрения изучения
пакета MathCAD
в школе можно реализовать за счет дополнительных часов изучения информатики в
старших классах или проведения элективных курсов для старшеклассников.
Применение доступной системы MathCAD
позволяет упростить работу учащихся, оптимизировать учебное время, так как
большое внимание можно обращать на методы моделирования, не затрачивая время и
усилий на ручные расчеты и построение графиков. При исследовании функции от
пользователя требуется только творческое участие и наблюдение за процессом,
редактирование документа и анализ получаемых по мере решения данных.
На защиту выносится
Ø Список операций для исследования
функций;
Ø Выделенная инструментальная среда MathCAD
для исследования функций;
Ø Модифицированная схема для
исследования функций;
Ø Шаблон.
Список использованной литературы
1. Рывкин А.А., Рывкин А.З.,
Хренов Л.С. Справочник по математике. - М.: издательский центр «Высшая школа»,
1987г., 480 стр. с илл.
2. Кудрявцев В.А., Демидович
Б.П. Краткий курс высшей математики. - М.: издательский центр «Наука», 1987г.,
624 стр. с илл.
. Берман Г.Н. Сборник задач
по курсу математического анализа. - М.: издательский центр «Наука», 1977г., 416
стр. с илл.
. Рагулина М.И.
Информационные технологии в математике: учебное пособие для студентов высших
педагогических учебных заведений, под редакцией М.П. Лапчика. - М.:
издательский центр «Академия», 2008г., 134 стр.
. Шилов Г.Е. Функции
нескольких вещественных переменных. ч.1- М.: издательский центр «Наука»,
1977г., 547 стр. с илл.
. Макаров Е.Г. Инженерные
расчеты в MathCAD
14. - СПб.: издательство «Питер», 2007г.
. Макаров Е.Г. Компакт - диск
Самоучитель MathCAD
14. - М.: «Новый диск», 2008г.
. Фихтенгольц Г.М. Основы
математического анализа. Том 1. - М.: издательство «Физматлит», 2002г., 440
стр. с илл.
10. Алексеев В.Р. Решение задач
вычислительной математики в пакетах MathCAD,
MatLAB, Maple.
- М.: HT Пресс, 2006
г., 496 стр.
. Макаров Е.Г. MathACD(+
СD-ROM).
Учебный курс. - СПб.: издательство «Питер», 2009г., 384 стр.
.Очков В.Г. MathCAD
14 для студентов и инженеров. - М.: издательство «BHV»,
2009г., 512 стр.
. Гурский Д., Турбина Е. MathCAD
для студентов и школьников. - СПб.: издательство «Питер», 2005г., 400стр.
. Васильев А.Н. MathCAD
13 на примерах. - М.: издательство «BHV»,
2006г., 528 стр.