Разложение в ряд функций cos x и sin x
Министерство
образования и науки российской федерации
государственное
бюджетное образовательное учреждение
высшего
профессионального образования
“Тверской
государственный университет”
Факультет
прикладной математики и кибернетики
Курсовая
работа по предмету
«Кратные
интегралы и ряды»
Тема: Используя разложения в ряд функций 
и 
доказать, что

.
Выполнил: студент
26группы
Гаврилин Евгений
Константинович
Научный руководитель:
Зав. кафедрой
вычислительной математики
Климок Виктор Иванович
Тверь
- 2012
Тема
Используя разложения в
ряд функций 
и 
доказать, что

.
Показать, применяя ЭВМ,
что чем больше членов разложения, тем точнее выполняется равенство.
Проиллюстрировать это графически.
Учесть, что функции 
и 
могут быть представлены
рядами
И воспользоваться
правилом (Коши) перемножения рядов.
Решение
Для того, чтобы
доказать, что 
, возведём ряды 
в квадрат, используя
правило Коши.
Теорема (для числовых
рядов):
Пусть даны два
сходящихся ряда: (а) 
Если (а) и (б) сходятся
абсолютно и их суммы соответственно равны A и B, то и ряд, являющийся
произведением (а) и (б) сходится абсолютно.
Доказательство
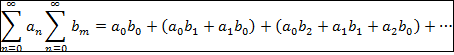
Расположим все
произведения в бесконечную матрицу:


(1)
Элементы этой матрицы можно
различными способами записать в форме последовательности. Для нас особенно
важны способы, изображенные на рис. 1 и рис. 2.

Первый из этих способов приводит к
ряду
1b1 + a1b2 + a2b1
+ a1b3 + a2b2 + a3b1
+ a1b4 + a2b5 +... (2)
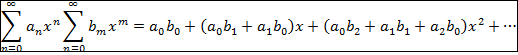
Рис. 2. приводит к ряду
1b1 + a1b2 + a2b2
+ a2b1 + a1b3 + a2b3
+ a3b3 + a3b2 +... (3)
Все ряды, получаемые расположением
элементов матрицы (1) в форме последовательности, получаются друг из друга
перестановками членов. Покажем, что все эти ряды сходятся абсолютно. Возьмем
какой-нибудь из этих рядов, составим ряд абсолютных величин членов взятого ряда
и обозначим через
частичную
сумму этого ряда абсолютных величин. Если n закреплено, а m достаточно велико,
то все слагаемые суммы
будут
содержаться среди чисел, заполняющих квадрат


Поэтому сумма
будет не больше, чем сумма всех чисел, входящих в указанный
квадрат, т. е. не больше, чем
(|a1| + |a2|
+... + |am|)(|b1| + |b2| +... + |bm|).
Если обозначить через A* и B* суммы
рядов, составленных из абсолютных величин членов рядов (а) и (б), то из
сказанного ясно, что

Отсюда и следует наше утверждение об
абсолютной сходимости рядов, порождаемых матрицей
Произведение рядов будет находиться
по формуле:
Для степенных рядов, исходя из
доказательства, формула будет выглядеть аналогично.
Но есть и более удобная запись этой
формулы, ей и воспользуемся:
Воспользуемся следующими формулами
тригонометрии:

(
)
)
)

(
)
)
)
Получим:
разложение функция бесконечная
матрица
Запишем полученное
выражение под одним знаком суммы, т.к пределы суммирования у первого и второго
слагаемого совпадают. Так же вынесем 
перед знаком суммы.

взаимно уничтожаются:
Так как 
не зависит от k, то его
можно вынести из-под знака суммы:
Представим 
, дополнительно домножив
числитель и знаменатель на n!


.
Графическая иллюстрация доказанного
равенства
Число слагаемых: 1
Число слагаемых: 2
Число слагаемых: 6
Ввод: уже приколичестве
слагаемых, больших 7-8 график функции 
, построенный через
разложение рядов, практически полностью совпадает с графиком функции cos2x,
взятый из библиотеки math.h.
Ниже приведена таблица
значений на [-7,7]. При разложении ряда использовались первые три слагаемых.
Предпоследний столбец:
cos2x: функция из библиотеки math.h.
Последний столбец:
разность двух рядов, в каждом из которых-3 слагаемых.
Код программы
#include "mainwindow.h"
#include "ui_mainwindow.h"
#include <math.h>int iCoff =
10;int scale = 250;//увеличение, чтобы график маленьким не
казался::MainWindow(QWidget *parent)
: QMainWindow(parent), ui(new
Ui::MainWindow)
{>setupUi(this);
}::~MainWindow()
{ui;
}
//cos2x - <math.h>MainWindow::cosY(double
x)
{cos(2*x);
}
//cosx -собственная
версияMainWindow::kv_cos(double x, int N)
{j=0;i=3;(x<0)
x=-x;x1=x;(x1>M_PI_2)
{=x1-M_PI;++;
}a1, y=1, a2=-x1*x1/2;(N==0) return
1;(int steps=0; steps<N; steps++, i++)
{=a2;=-a1*x1*x1/(i*(i+1));++; y+=a1;
}(j%2)-y;y;
}
//sinx-собственная
версияMainWindow::kv_sin(double x, int N){j=0;i=4;(x<0)
x=-x;x1=x;(x1>M_PI_2)
{=x1-M_PI;++;
}(N==0) return 0;a1, y=x1,
a2=-x1*x1*x1/6;(int steps=0; steps<N; steps++, i++)
{=a2;=-a1*x1*x1/(i*(i+1));++; y+=a1;
}(!j%2)y;-y;
}MainWindow::changeEvent(QEvent *e)
{::changeEvent(e);(e->type())
{QEvent::LanguageChange:>retranslateUi(this);;:;
}
}
//обработка события при нажатии на
кнопкуMainWindow::on_doBtn_clicked()
{= ui->Num->value();Step =
0.01;yCurr;yNext;*scene = new QGraphicsScene(ui->graphGV);
// Ox and Oy
axispen(Qt::green);pen1(Qt::blue);
//прорисовка
осей>addLine(-iCoff*100, 0, iCoff*100, 0, pen);>addLine(0, -iCoff*100, 0,
iCoff*100, pen);.setColor(Qt::red);
//рисуем график(double i=-iCoff;
i<iCoff; i+=Step)
{= cosY(i);=
cosY(i+Step);>addLine(i*scale, -yCurr*scale, (i+Step)*scale, -yNext*scale,
pen);= kv_cos(i, N)*kv_cos(i,N)-kv_sin(i,N)*kv_sin(i,N);=
kv_cos(i+Step,N)*kv_cos(i+Step,N)-kv_sin(i+Step,N)*kv_sin(i+Step,N);>addLine(i*scale,
-yCurr*scale, (i+Step)*scale, -yNext*scale, pen1);
}>graphGV->setScene(scene);
}
Список литературы
1. Курант Р. Курс дифференциального и интегрального исчисления
(том 1)
. Фихтенгольц Г.М. Курс дифференциального и интегрального
исчисления (том 2)