Система анализа использования материальных ресурсов предприятий

  • Вид работы:
    Курсовая работа (т)
  • Предмет:
    Эктеория
  • Язык:
    Русский
    ,
    Формат файла:
    MS Word
    351,88 Кб
  • Опубликовано:
    2013-10-27
Вы можете узнать стоимость помощи в написании студенческой работы.
Помощь в написании работы, которую точно примут!

Система анализа использования материальных ресурсов предприятий

СОДЕРЖАНИЕ

ВВЕДЕНИЕ

ГЛАВА 1. МАТЕРИАЛЬНЫЕ РЕСУРСЫ ПРЕДПРИЯТИЯ КАК ЭКОНОМИЧЕСКАЯ КАТЕГОРИЯ

1.1 Понятие материальных ресурсов

.2 Значение экономии материальных ресурсов

ГЛАВА 2. МЕТОДИКА АНАЛИЗА МАТЕРИАЛЬНЫХ РЕСУРСОВ

.1 Задачи, последовательность проведения и информационное обеспечение анализа

.2 Анализ обеспеченности предприятия материальными ресурсами

.3 Показатели эффективности использования материальных ресурсов

.4 Анализ рациональности использования сырья и материалов

ЗАКЛЮЧЕНИЕ

СПИСОК ИСПОЛЬЗОВАННОЙ ЛИТЕРАТУРЫ

ВВЕДЕНИЕ

Сегодня всё больше предприятий адаптируются к рынку. Целью любой предпринимательской деятельности является получение возможно большей прибыли при минимальных затратах на производство. В мире ограниченных ресурсов фирмы вынуждены платить за факторы производства. Преуспевающие бизнесмены прекрасно понимают это, когда ставят перед собой те или иные производственные и сбытовые задачи, так как каждый рубль лишних издержек сокращает прибыль фирмы на тот же самый рубль. Рациональное использование материальных ресурсов - это качественная характеристика их потребления на разумном уровне, который можно было бы признать общественно необходимым, а рационализация потребления материальных ресурсов - это непрерывный процесс совершенствования их использования, связанный с развитием производства. Большую роль в повышении рационализации использования материальных ресурсов предприятия играет экономический анализ данных ресурсов.

Создание системы анализа использования материальных ресурсов позволяет достичь: стратегической направленности принятия решений в области управления издержками; четкого определения объектов управления - не зная причин появления тех или иных видов издержек, нельзя говорить об управлении ими; вся документация одинаково воспринимается на всех уровнях управления предприятия; планирование направлено на упреждение негативных последствий изменения внешнего окружения бизнеса; управление затратами поставлено на системную основу, а не осуществляться время от времени. Таким образом, этапе одной из важнейших проблем в деятельности предприятия является снижение материалоемкости продукции, всестороннее изучение факторов, от которых зависит улучшение использования сырья и материалов.

Целью настоящей работы является исследование системы анализа использования материальных ресурсов предприятий.

В соответствии с указанной целью в работе были поставлены следующие задачи:

. раскрыть понятие материальных ресурсов предприятия;

. выявить значение экономии материальных ресурсов;

. исследовать задачи и методику анализа материальных ресурсов предприятия

Предметом исследования выступают теоретические и методические вопросы экономического анализа использования материальных ресурсов на предприятиях.

Объектом исследования является процесс анализа материальных ресурсов предприятия.

ГЛАВА 1. МАТЕРИАЛЬНЫЕ РЕСУРСЫ ПРЕДПРИЯТИЯ КАК ЭКОНОМИЧЕСКАЯ КАТЕГОРИЯ

1.1 Понятие материальных ресурсов


В отечественной и зарубежной экономической литературе предлагаются различные точки зрения по поводу экономического содержания и состава материальных ресурсов. На наш взгляд наиболее целесообразным является использование термина материально-технические ресурсы, которые представляют важнейшую часть производственных ресурсов, предназначенных для использования в процессе создания общественного продукта и постоянно находящихся в виде материальных запасов, незавершенного производства. Материально-технические ресурсы составляют материальную основу продукта (сырье, материалы) и ресурсов особого рода, обязательных к потреблению в процессе производства продукции (топливо, энергия).

Необходимость систематизации и классификации материально-технических ресурсов определяется многообразием их видов и разницей использования в производственном процессе.

Привлекаемые предприятием материально-технические ресурсы могут классифицироваться по признаку происхождения, в зависимости от отраслевой принадлежности, по роли в производстве, взаимозаменяемости и т. д. Классификация материально-технических ресурсов и выявление закономерностей их производственного использования помогают обосновать факторы их рационального использования, выявить резервы экономии материальных ресурсов, факторы снижения материалоемкости продукции и активно воздействовать на них.

Рассмотрим классификацию материальных ресурсов:

По форме существования:

1. наличные ресурсы (запасы готовой продукции и резервы)

2. потенциальные ресурсы (т.е. которые могут быть получены за счет производства, импорта и повторного использования)

Материальные ресурсы выступают в виде разнообразных элементов производства, используемых в основном в качестве предметов труда (сырье, основные и вспомогательные материалы, топливо и энергия, полуфабрикаты, запасные части, спецодежда, инструмент)

Продукция - результат производственной деятельности предприятия, назначение которой - удовлетворение производственных и личных потребностей общества в виде конкретных продуктов (материалов, машин, энергии, услуг). Продукция производственно-технического назначения - часть созданного обществом ВНП, предназначенного для использования в отраслях производственной и непроизводственной сфер (сырье, основные и вспомогательные материалы, комплектующие изделия, запасные части, инструменты)

По назначению в процессе производства:

1. предметы труда

2. средства труда

В отличие от предметов труда потребление средства труда характеризуется следующими особенностями:

1. участвуя в процессе производства, средства труда не входят составной частью в готовый продукт, практически не изменяют свою вещественную форму

2. участвуют в нескольких производственных циклах

3. переносят свою стоимость на готовую продукцию по частям (в виде амортизационных отчислений)

Средства труда, составляя основной капитал предприятия, в зависимости от их роли в процессе производства подразделяются на:

1. производственные

2. непроизводственные (обслуживают процесс производства и социальную сферу предприятия)

Предметы труда - совокупность материальных ресурсов, подвергающихся воздействию труда с помощью средств труда с целью получения потребительской стоимости.

По роду функции, выполняемой в процессе производства:

1. сырье

2. основные материалы

3. вспомогательные материалы

4. топливо и энергия

5. полуфабрикаты

6. незавершенной производство

Сырье - исходная форма предметов труда, на добычу или производство которых затрачен труд. По способу получения различают: промышленной сырье, то есть добываемое из недр или производимое промышленным путем; природно-минеральное; искусственное; сельскохозяйственное сырье, то есть получаемое в различных отраслях сельского хозяйства; растительное (зерно, плоды); животное (мясо, шерсть, шкуры)

Материалы - сырье, уже подвергшееся предварительной переработке.

В зависимости от роли в процессе производства: основные, то есть вещественно входят в готовый продукт; вспомогательные - используются для производственно-эксплуатационных нужд и не образуют вещественного содержания изготовляемой продукции ;топливо и энергия

Полуфабрикаты - продукты, которые подлежат использованию или окончательной доработке либо на другом предприятии, либо внутри предприятия.

В целях рациональной организации процесса материально - технического обеспечения предметы труда делят на следующие группы в зависимости от их физико-химических свойств:

·   черные металлы

·   цветные металлы

·   лесоматериалы

·   топливо и нефтепродукты

·   химическое сырье и продукция химического производства

·   строительные материалы

1.2 Значение экономии материальных ресурсов


Хозяйственное значение экономии материальных ресурсов (снижения удельных норм расхода сырья, материалов, топлива, энергии и т. д.) велико и многообразно.

Во-первых, экономия расходования средств производства хотя бы на одном участке производственной подсистемы обязательно влечет за собой повышение общественной производительности труда. В самом деле, если на каком-либо этапе обработки продукта уменьшаются материальные затраты, то общие суммарные затраты живого и овеществленного труда, затрачиваемые на изготовление единицы продукта, уменьшатся.

Во-вторых, экономия сырья, материалов, топлива и энергии, выражающаяся в уменьшении расхода материалов на единицу продукции (или на единицу работы), позволяет при неизменном количестве средств производства выпустить большое количество конечного продукта, т. е. увеличить объем выпуска. Это обстоятельство становится особенно существенным, если речь идет о дорогостоящем сырье или материалах. При этом темп (процент) роста выпуска продукции из данного количества сырья или материалов будет всегда по числовому значению больше процента снижения удельной нормы расхода на единицу выпускаемой продукции.

В-третьих, экономное расходование материальных ресурсов и уменьшение удельных норм расхода сырья и материалов на единицу выпускаемой продукции очень важный фактор при осуществлении мероприятий по снижению себестоимости производства и повышению рентабельности. Рационализация материалопотребления - это процесс совершенствования факторов производства и обращения, целью и результатом которого является экономия материальных ресурсов. Факторами рационализации потребления материальных ресурсов являются «результативные», то есть обусловливающие, с одной стороны, наращивание материальных ресурсов, и, с другой - сокращение потребности в них, а также «обеспечивающие» организационно - экономические мероприятия, без разработки которых невозможно эффективное использование ресурсного потенциала. В обобщенном виде основными направлениями работы в области рационального потребления и экономичного использования материальных факторов производства являются:

·        использование достижений научно - технического прогресса для доведения технического состояния производства до высшего мирового уровня, применение высокоэффективной техники и безотходных технологий, повышение качества продукции; улучшение использования и применение новых видов сырья и материалов; изменение конструкции и технических характеристик изделий;

·        улучшение организации производства и потребления материальных ресурсов, совершенствование учета и отчетности, применение современных методов планирования и оптимизации ресурсоиспользования, повышение трудовой дисциплины;

·        совершенствование материально-технического снабжения и использования материальных ресурсов, что находит отражение в уменьшении норм расхода сырья и материалов, снижении их себестоимости за счет уменьшения заготовительно-складских расходов.

·        прогрессивная структурная и инвестиционная политика, обеспечивающая преимущественный рост результатов производства по сравнению с материальными затратами;

·        использование всех элементов хозяйственного механизма для повышения материальной заинтересованности трудовых коллективов в наиболее рациональном расходовании ресурсов, снижении потерь их при добыче и обработке, транспортировке и хранении;

Осуществление отмеченных мероприятий будет способствовать усилению режима оптимальной экономии, рациональному использованию прошлого труда и, в конечном счете, повышению эффективности деятельности промышленных предприятий и предприятий сферы обращения.

Реализация эффективной программы экономии материальных ресурсов на промышленном предприятии, прежде всего, обусловлено наличием грамотно организованной и систематически функционирующей системы анализа их использования.


ГЛАВА 2. МЕТОДИКА АНАЛИЗА МАТЕРИАЛЬНЫХ РЕСУРСОВ


2.1 Задачи, последовательность проведения и информационное обеспечение анализа


Анализ использования материальных ресурсов обычно проводят на основе специальных материальных балансов. Для детального анализа использования материальных ресурсов разрабатываются материальные балансы по каждому виду ресурсов в натуральном или стоимостном выражении. Дадим характеристику основных материальных балансов.

Баланс топлива может составляться по всем видам топлива и по отдельным его видам (каменному углю, нефтетопливу, торфу, дровам, горючим сланцам и газу) в натуральном (условных единицах) и стоимостном выражении.

Баланс электроэнергии показывает источники поступления (единая энергосистема, конкретные электростанции, автономные дизельные электростанции) и направления расходования электроэнергии. В натуральном выражении этот баланс разрабатывается в киловатт-часах.

Баланс удобрений включает различные виды минеральных, органических и синтетических удобрений и отражает направления их использования для выращивания сельскохозяйственных культур.

Баланс кормов отражает взаимосвязь между растениеводством и животноводством.

Баланс металла позволяет отразить каналы поступления металла и направления его использования.

Балансы лесных и строительных материалов разрабатываются по деловой древесине, пиломатериалам, цементу, стеклу, мягкой кровле и т.п.

Анализ использования материальных ресурсов основан на изучении количества, структуры и особенностей применения отдельных видов материальных ресурсов.

Межотраслевой баланс отражает взаимосвязи в процессе производства и позволяет определить общую величину материальных затрат (полные затраты) на выпуск определенной продукции (работ, услуг).

Анализ материальных ресурсов предприятия ставит перед собой следующие задачи:

определение уровня обеспеченности предприятия необходимыми ресурсами;

выявление сверхнормативных ценностей;

установление степени ритмичности постановок, их объемов, качества;

выяснения своевременности выполнения хоздоговоров на постановку материальных ресурсов;

При анализе использования материальных ресурсов изучаются следующие показатели:

общая характеристика изменения уровня материалоемкости в целом и по отдельным изделиям;

выявление причин и факторов изменения материалоемкости по изделиям и по видам расхода материалов;

изучение качества и динамики норм расхода материалов;

контроль за снижением норм расхода;

оценка эффективности снижения материалоемкости продукции;

выявление резервов снижения материалоемкости продукции и их влияние на снижение себестоимости и увеличения выпуска продукции;

разработка мер по реализации резервов;

Основными источниками информации при проведении анализа использования материальных ресурсов являются;

данные о запасе материальных ресурсов (бухгалтерский баланс);

отчет о выполнении норм и заданий по среднему снижению норм расхода сырья и материалов;

отчет о выполнении норм расхода тепло- и электроэнергии;

калькуляция себестоимости изделий;

документы бухгалтерского учета.

формы статистической отчетности № 1-СН, 3-СН, 4-СН, 11-СН, 12-СН о наличии и использовании материальных ресурсов и №5-3 о затратах на производство и реализацию продукции, работ, услуг.

Анализ может проводиться следующим образом:

1. на основании данных текущего года;

2. в сравнении с предыдущим периодом;

3. путем сравнения нормы расхода последнего периода с фактической нормой расхода.

 

2.2 Анализ обеспеченности предприятия материальными ресурсами


Источниками анализа обеспеченности предприятия материальными ресурсами является статистическая отчетность, данные аналитического учета о поступлении, расходе и остатки сырья, плановые и отчетные калькуляции на отдельные виды продукции. При определении общей потребности предприятия в сырье, материалах и топливе изменения остатков на начало и конец года, потребность капитального ремонта и других вспомогательных служб. Анализ обеспеченности производства материальными ресурсами начинается с установления правильности определения предприятием потребности в них, степени удовлетворения этой потребности, рациональности использования материальных ресурсов. Необходимо также выяснить в какой мере используются местные виды сырья и отходы.

Оценка выполнения плана материально-технического обеспечения производства по объему поставок, важнейших видов материалов в натуральном выражении нарастающим итогом с начала года по данным отчета об остатках, поступлении и расходе сырья и материалов в производственно-эксплуатационной деятельности.

Далее следует проанализировать обеспеченность договорами на поставку материалов и их выполнение поставщиками. При анализе необходимо (по данным бухгалтерии и договорно-правового отдела) выяснить, применялись ли к поставщикам санкции за нарушение договоров.

Следует внимательно рассмотреть состав предъявляемых предприятием исков, степень их удовлетворения поставщиками и органами арбитража. В отчете предприятия о претензионной работе должны содержаться сводные данные о количестве исков по видам, взысканным с поставщиков и потребителей. Кроме того, необходимо проверить соблюдались ли поставщиками сроки, комплектность и ассортимент поставок, а также каково качество поставляемых материалов.

Степень обеспеченности потребности в материальных ресурсах договорами на их поставку оценивается с помощью следующих показателей:

коэффициент обеспеченности по плану

; (2.1.)

коэффициент обеспеченности фактический

 (2.2.)

Большое значение для выполнения производственной программы имеет качество поступающих материалов и сырья. Снижение качества материалов обычно ведет к увеличению их расхода, что в свою очередь уменьшает выпуск продукции. В связи с этим большое значение имеет проверка количества и качества поступающих от поставщиков материалов при их приемке. Если таковой проверки нет, то предприятие не имеет возможности предъявить претензию поставщику или транспортной организации за снижение качества или несоответствие количества (недостача) полученных материалов. Выявленные в процессе производства недостачи или потери, связанные с низким качеством сырья или материалов, относятся к затратам производства или непроизводительным расходам и потерям, что приводит к удорожанию себестоимости продукции.

Особое внимание при анализе уделяется выполнению плана МТС по срокам поставки материальных ресурсов или ритмичности поставок.

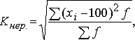
Для оценки ритмичности поставок используются показатели:

коэффициент неравномерности поставок материалов:

 (2.3.)

где x -процент выполнения плана поставки по периодам (дням, декадам, месяцам); f - план поставки за те же периоды;

коэффициент вариации:

 (2.4.)

где Δ f - отклонение объема поставки по периодам от плана; k - количество анализируемых периодов;  - средний объем поставки материалов за период.

Неритмичная поставка материальных ресурсов ведет к простоям оборудования, потерям рабочего времени, необходимости сверхурочных работ. Оплата простоев не по вине рабочих и сверхурочных работ ведет к увеличению себестоимости выпускаемой продукции и соответственно к снижению прибыли предприятия.

При анализе обеспеченности предприятия материальными ресурсами необходимо проверить реальность и экономическую обоснованность планируемой потребности в материальных ресурсах по видам. Для этого следует выявить, имеется ли соответствие норм расхода материалов на единицу продукции в натуральном выражении, принятых в расчет потребности материально-технического обеспечения, нормами, заложенных в плановых калькуляциях себестоимости.

Важными факторами обеспеченности предприятия материальными ресурсами являются правильность расчета потребности в них, рационально организованное материально-техническое снабжение и экономное эффективное использование материальных ресурсов в производстве.

Потребность в материальных ресурсах определяется в разрезе их видов на нужды основной и не основной деятельности предприятия и на запасы, необходимые для нормального функционирования, на конец периода:

 (2.5)

где МРiп - общая потребность предприятия в i-м виде материальных ресурсов;

MPij - потребность i-го вида материальных ресурсов на j-й вид деятельности (на выполнение производственной программы, на прирост незавершенного производства), на ремонтно-эксплуатационные нужды, на изготовление инструмента и специальной оснастки, на опытные и экспериментальные работы и т. п.);

МРiз - необходимые для нормального функционирования предприятия запасы i-го вида материальных ресурсов на конец периода;

i = 1, 2, 3,..., m.

В процессе анализа обеспеченности предприятия материальными ресурсами проверяют также состояние запасов сырья и материалов на предмет выявления излишних и ненужных. Их можно установить по данным складского учета путем сравнения прихода и расхода. К неходовым относят материалы, по которым не было расходов более одного года.

2.3 Показатели эффективности использования материальных ресурсов

Показатели эффективности использования материальных ресурсов делятся на обобщающие и частные.

Для обобщающей характеристики уровня расхода материалов в производстве используется показатель удельной материалоемкости ().

Он исчисляется:

 =  (2.6.)

Он характеризует удельный расход материалов на 1 рубль оптовой цены продукции.

Или обратный показатель, называемый материалоотдачей(МО).

Этот показатель рассчитывается:

МО =  (2.7.)

Удельный вес затрат в себестоимости продукции характеризует отношение материальных затрат к полной себестоимости.

           (2.8.)

где Мз - материальные затраты;

Z- полная себестоимость.

Коэффициент использования материальных ресурсов - это отношение суммы фактических материальных затрат к величине материальных затрат, рассчитанной по плановым калькуляциям и фактическому выпуску и ассортименту продукции. Это показатель соблюдения норм расхода материалов:

                 (2.9.)

Если КИ > 1 - это перерасход материалов.

КИ < 1 - это экономия материальных ресурсов.

Кроме того, к обобщающим показателям относятся:

Коэффициент использования = Полезный расход / Общий расход (2.10.) ;

Коэффициент соблюдения нормы = Полезный расход / НР (2.11.);

Расходный коэффициент = 1 / Коэффициент использования (2.12.).

Частные показатели - используются для характеристики эффективности потребления отдельных элементов материальных ресурсов, а также для оценки материалоемкости отдельных изделий.

Представим систему частных показателей использования материальных ресурсов в таблице 1.

Таблица 1. Частные показатели использования материальных ресурсов

Показатели

Формула расчета

Экономическая интерпретация показателя

Сырьеемкость продукции (СМЕ)  Металлоемкость продукции (ММЕ) Топливоемкость продукции (ТМЕ) Энергоемкость продукции (ЭМЕ)

   

Показатели отражают эффективность потребления отдельных элементов материальных ресурсов на 1 руб. выпущенной продукцией

Удельная материалоемкость изделия (УМЕ)

Характеризует величину материальных затрат, израсходованных на одно изделие


Таким образом, в зависимости от специфики производства частными показателями могут быть: сырьеемкость - в перерабатывающей отрасли; металлоемкость - в машиностроении и металлообрабатывающей промышленности; топливоемкость и энергоемкость - на предприятиях ТЭЦ; полуфабрикатоемкость - в сборочных производствах и т.д.

В процессе анализа фактический уровень показателей эффективности использования материалов сравнивают с плановым, изучают их динамику и причины изменения.

Сопоставляя фактическую материалоемкость на рубль товарной продукции с плановой, определяют сверхплановое снижение или повышение материалоемкости продукции. Затем определяют влияние материалоемкости на выпуск продукции и снижение ее себестоимости

Между обобщающими и частными показателями существует определенная взаимосвязь. Рассмотрим схему этой взаимосвязи.

Общее относительное снижение материалоемкости продукции (Эм) равняется алгебраической сумме экономии отдельных видов материальных затрат, на которые в свою очередь оказывают воздействие отдельные технико-экономические факторы (ТЭФ), а именно: технические, организационные факторы, структурные сдвиги в ассортименте продукции:

Эм = Эс+Эм+Эт+Ээ+Эпр (2.13)

где Эс, Эм, Эт, Ээ, Эпр - относительное уменьшение затрат на сырье, материалы, топливо, энергию и прочие затраты в отчетном периоде по сравнению с базисным уровнем за счет действия ТЭФ.

Подставив это выражение в формулу (2.13), получим окончательную зависимость обобщающего показателя эффективности использования материальных ресурсов (МР) от изменения эффективности использования отдельных видов МР, а последних от ТЭФ:

Эме, % = (Эс+Эм+Эт+Ээ+Эпр) / Мр*100 = Эс/Мр*100 +Эм / Мр*100+Эт/Мр*100 +Ээ/Мр*100+Эпр / Мр*100. (2.14)

Таким образом, общий процент снижения материалоемкости продукции как обобщающий показатель эффективности использования МР равен сумме процентов снижения отдельных видов материальных ресурсов, полученных за счет влияния различных ТЭФ. Общая сумма затрат на сырье и материалы зависит от объема производства продукции (VВП), ее структуры (УДi) и изменения удельных затрат на отдельные изделия (УМЗi).

Материалоемкость (УМЗi) в свою очередь зависит от количества (массы) расходуемых материалов на единицу продукции (УРi) и средней цены единицы материалов (Цi).

Расчет влияния данных факторов производится способом цепных подстановок.

Затраты материалов на производство продукции, млн. руб.

а) по плану:

∑ (ВП плi х УРплi х Цплi) (2.15)

б) по плану, пересчитанному на фактический объем производства продукции:

∑ (ВП плi х УРплi х Цплi) х Ктп (2.16)

в) по плановым нормам и плановым ценам на тактический выпуск продукции:

∑ (ВП фi х УРплi х Цплi) (2.17)

г) фактически по плановым ценам:

∑ (ВП фi х УРфi х Цплi) (2.18)

д) фактически:

∑ (ВП фi х УРфi х Цфi) (2.19)

Материальные расходы при калькулировании себестоимости продукции учитываются как прямые (в составе статьи «Сырье и материалы»), так и косвенные (в составе комплексных статей расходов: расходов на содержание и эксплуатацию оборудования, цеховых, общезаводских расходов). В связи с этим их называют прямыми и общими.

Структурно-логическая факторная модель зависимости материальных расходов от эффективности использования материальных ресурсов и соответственно факторов, на нее влияющих, представлена на рисунке 1.

Как видно на схеме, изменение величины материальных ресурсов на первом уровне (порядке) факторной системы зависит от общей материалоемкости и объема выпуска продукции. Размер относительной экономии или перерасхода материальных ресурсов определяется как разность материалоемкости за два периода, умноженная на величину фактического объема выпуска за отчетный период:

Э(П)= ΔМе * N1 . (2.20)

Рисунок 1. Структурно-логическая модель изменения материальных расходов в зависимости от различных факторов

Факторы первого и второго уровня при оценке влияния на величину материальных расходов являются в свою очередь факторами второго и третьего уровня при оценке влияния на материалоемкость (рисунок 2).

Аналогичным образом рассчитывается влияние факторов второго и третьего порядка на материальные расходы в соответствии с факторной системой (рисунок 2). Каждый фактор второго порядка влияния на материалоемкость изменяется в свою очередь из-за изменения структуры продукции, изменения уровня затрат, цен на материальные ресурсы, отпускных цен на продукцию, которые являются по отношению к величине материальных расходов для аддитивного типа факторной системы факторами третьего порядка.

Рисунок 2. Структурно-логическая схема изменения материальных расходов при аддитивном типе факторной модели

экономический материальный ресурс рациональность

На изменение уровня материальных затрат на отдельные изделия (удельную материалоемкость) влияют мероприятия инновационной деятельности. Основные из них: совершенствование изделий; внедрение техники более высоких технологий; новых прогрессивных видов сырья, материалов, топлива; повышение уровня квалификации работников и др.

Результаты анализа материальных расходов используются при нормировании расходов сырья и материалов на изготовление продукции, а также при определении общей потребности в материальных ресурсах на выполнение производственной программы.

Факторные модели строятся на основе формулы определения материалоемкости, причем сама формула расчета не может рассматриваться в качестве факторной системы. Одна из факторных моделей, полученная приемом расширения, рассматривает изменение материалоемкости ресурсов в зависимости от материалоемкости по прямым затратам (Ме пр) и коэффициента соотношения общих и прямых затрат (КМЗ):

 (2.21)

Для изучения влияния факторов на Ме можно использовать любые способы детерминированного факторного анализа.

Материалоемкость по прямым материальным расходам Мепр и коэффициент соотношения затрат КМЗ - факторы первого порядка.

Факторами второго порядка, влияющими на материалоемкость продукции, являются (см. рис. 2.):

· структура продукции (увеличение доли материалоемкой продукции приводит к увеличению общей материалоемкости);

· уровень материальных расходов на отдельные изделия или удельная материалоемкость;

· цены на материалы;


2.4 Анализ рациональности использования сырья и материалов


Рациональность использования сырья и материалов анализируется путем проверки соблюдения норм расхода основных видов материалов на единицу продукции.

Перерасход сырья и материалов против плановой нормы свидетельствует о нерациональном их расходовании и требует выяснения конкретных причин и установлении виновников этого перерасхода. Экономия в расходовании материальных ресурсов может быть достигнута в результате использования более дешевых материалов, замены одних материалов другими, более экономичными, введения новой техники, передовой технологии. Вместе с тем экономия в расходовании сырья и материалов в ряде случаев может быть результатом применения завышенных норм их расхода, а также устаревших, которые не ориентируют коллективы предприятий на достижение наилучших результатов. Использование завышенных норм расхода материальных ресурсов не мобилизируют работников предприятий на рациональное их использование, а в ряде случаев приводит к накоплению сверхнормативных запасов отдельных видов сырья и материалов, к злоупотреблениям. В связи с этим при анализе использования материальных ресурсов следует, прежде всего, проанализировать сами нормы, их обоснованность. При этом следует установить, являются ли применяемые нормы технически обоснованными, своевременно ли они пересматриваются. Анализ использования материальных ресурсов производится по данным об их расходе на единицу продукции для того, чтобы определить влияние изменения нормы расхода на общий расход материальных ресурсов надо размер отклонений фактического расхода материалов от планового умножить на фактический выпуск продукции.

Влияние сверхпланового выпуска продукции на общий расход материалов определяют умножением сверхпланового выпуска продукции на норму расхода материалов (плановую).

Во время анализа следует, оценит обоснованность самих норм, своевременность их пересмотра. Современное нормативное хозяйство это важное условие для экономного использования ресурсов. Поэтому анализ качества норм и способов их формирования помогает избежать затрат ресурсов и тем самым облегчает эффективность работы предприятия.

При проведении анализа очень часто встречаются факты замены материалов. Замену осуществляют с целью удешевления себестоимости продукции, повышения надежности изделий, улучшения их внешнего вида и др. Но в большинстве случаев имеет место так называемые вынужденные замены, которые не всегда санкционируются высшим руководством. Эти замены или обусловлены отсутствием некоторых материалов в общем или в определенный период, или вызваны удешевлением производства любой ценой. Такие изменения имеют импульсивный характер и недостаточно обоснованы, вследствие чего они ухудшают качество производимой продукции, репутацию фирмы. Поэтому при большом количестве замен материалов, следует в целом негативно оценивать такое состояние использования ресурсов и организацию управления на предприятии.

На завершающей стадии анализа эффективности использования материальных ресурсов необходимо установить возможности дальнейшего снижения норм расхода материалов и материальных затрат, не использованные в отчетном году. Выявленные потенциальные возможности экономии материальных ресурсов должны быть учтены при разработке планов оргтехмероприятий и внедрения новой техники, а также при планировании соответствующих показателей на предстоящий год.

ЗАКЛЮЧЕНИЕ

В результате проведенного исследования было выяснено, что анализ использования материальных ресурсов является одним из основных вопросов анализа производства.

Задачами анализа использования материальных ресурсов являются:

.        контроль соблюдения норм расхода;

.        проверка точности и достоверности установленных норм расхода;

.        оценка уровня эффективности использования материальных ресурсов;

.        выявление внутрипроизводственных резервов экономии материальных ресурсов и разработка конкретных мероприятий по их использованию;

.        обобщение и анализ использования передового опыта использования новых материалов;

.        анализ данных об отходах и потерях в производстве;

.        выявление тенденций динамики материалоемкости продукции и т.д.

Для характеристики эффективности использования материальных ресурсов применяется система обобщающих и частных показателей.

К обобщающим показателям относятся материалоотдача, материалоемкость, коэффициент соотношения темпов роста объема производства и материальных затрат, удельный вес материальных затрат в себестоимости продукции, коэффициент использования материалов.

Материалоотдача определяется делением стоимости произведенной продукции на сумму материальных затрат. Этот показатель характеризует отдачу материалов, т.е. сколько произведено с каждой гривны потребленных материальных ресурсов (сырья, материалов, топлива, энергии и т. д.). Материалоемкость продукции рассчитывается отношением суммы материальных затрат к стоимости произведенной продукции. Она показывает, сколько материальных затрат необходимо произвести или фактически приходится на производство единицы продукции.

Коэффициент соотношения темпов роста объема производства и материальных затрат определяется отношением индекса валовой или товарной продукции к индексу материальных затрат. Он характеризует в относительном выражении динамику материалоотдачи и одновременно раскрывает факторы ее роста. Удельный вес материальных затрат в себестоимости продукции исчисляется отношением суммы материальных затрат к полной себестоимости произведенной продукции. Динамика этого показателя характеризует изменение материалоемкости продукции.

Частные показатели материалоемкости применяются для характеристики эффективности использования отдельных видов материальных ресурсов, а также для характеристики уровня материалоемкости отдельных изделий.

В процессе анализа фактический уровень показателей эффективности использования материалов сравнивают с плановым, изучают их динамику и причины изменения, а также влияние на объем производства продукции.

Материалоемкость, так же как и материалоотдача, зависит от объема валовой (товарной) продукции и суммы материальных затрат на ее производство. В свою очередь объем валовой (товарной) продукции в стоимостном выражении может измениться за счет количества произведенной продукции, ее структуры и уровня отпускных цен. В итоге общая материалоемкость зависит от структуры продукции, цен на материальные ресурсы и отпускных цен на продукцию.

На завершающей стадии анализа эффективности использования материальных ресурсов необходимо установить возможности дальнейшего снижения норм расхода материалов и материальных затрат, не использованные в отчетном году.

СПИСОК ИСПОЛЬЗОВАННОЙ ЛИТЕРАТУРЫ

1.      Артеменко, В.Г. Теория анализа хозяйственной деятельности. Учеб. пособие.- М.: ДиС, 2003.- 160 с.

.        Бланк, И.А. Финансовый менеджмент. Учеб. курс.- Киев: Эльга: Ника- центр, 2002.- 527 с.

.        Бочаров, В.В. Финансовый анализ. Учеб. пособие.- СПб.: Питер, 2002.- 218 с.

4.      Крейнина М. Н. Финансовое состояние предприятия. Методы оценки. - М.: ИКЦ «ДИС», 2004. - 209 с.

.        Крейнина М.Н. Финансовый менеджмент: Учебное пособие. -М.: Издательство “Дело и сервис”, 2001.-400 с.

6.      Кутузова Т.Ф. Особенности расчета и анализа себестоимости продукции предприятий. / Научная сессия ГУАП: Сб. докл.: В 3ч. Ч.III. Гуманитарные науки.- СПб.: ГУАП, 2007.- с.153-154.

7.      Павлова Л.Н. Финансы предприятий. - М.: Финансы и статистика, 2003. - 615 с.

8.      Раицкий К.А. Экономика предприятия: Учебник для вузов. 2-е изд. М.: ИВЦ "Маркетинг", 2004.- 696 с.

9.      Савицкая Г.В. Анализ хозяйственной деятельности предприятия: 4-е изд., перераб. и доп. -Минск: ООО “Новое знание”, 2005. -688 с.

10.    Хайрова Д.Ш. Теоретические основы анализа материальных ресурсов. / Научная сессия ГУАП: Сб. докл.: В 3ч. Ч.III. Гуманитарные науки.- СПб.: ГУАП, 2007.- с.187-192.

Похожие работы на - Система анализа использования материальных ресурсов предприятий

 

Не нашли материал для своей работы?
Поможем написать уникальную работу
Без плагиата!
Без нейросетей!