Основы технической диагностики вагонов
Федеральное
Агентство Железнодорожного Транспорта
Федеральное
государственное бюджетное образовательное учреждение высшего бюджетного
профессионального образования
«Уральский
государственный университет путей сообщения»
(ФГБОУ ВПО
УрГУПС)
кафедра
«Вагоны»
Основы
технической диагностики вагонов
курсовая
работа по дисциплине
«Техническая
диагностика подвижного состава»
Разработал: Проверил:
студент группы ПСв - 211 ассистент
Низамутдинов И.О. Сигилева Е.И.
Екатеринбург
Реферат
В данной курсовой работе всего: страниц 18,
рисунков 3, использованных источников 3.
мЕТОД БАЙЕСА, бУКСОВЫЙ
ПОДШИПНИК, дИАГНОСТИЧЕСКАЯ МОДЕЛЬ ВАГОНА, ДИАГНОСТИЧЕСКИЙ ПРИЗНАК ТЕЛЕЖКИ,
кОНТРОЛЕПРИГОДНОСТЬ, кОЛЕСНАЯ пара, гРУЗОПОДЪЕМНОСТЬ, бАЗА ТЕЛЕЖКИ.
В курсовой работе изучили теорию
контролепригодности, узнали статистические методы распознавания и основы
информации. Одним из основных теорем теории вероятностей, по теореме Байеса
высчитали вероятность наличия неточных событий, теоретическим путем нашли
решения распознавания состояния объекта, так же ознакомились диагностическими
признаками и диагностической моделью вагона и тележки.
Содержание
Введение
Что изучает теория
контролепригодности
. Статистические методы
распознавания. Основы теории информации.
.1 Метод Байеса. Расчет вероятности
при условии обнаружения
.2 Расчет информации о состоянии
сложной системы.
. Диагностические признаки
технического состояния вагона
.1 Диагностические признаки
технического состояния вагона
.2 Диагностические признаки
технического состояния тележки
Заключение
Список использованных источников
Введение
Техническая диагностика - определение
технического состояния объектов.
Техническая диагностика является составной
частью технического обслуживания. Основной задачей технического диагностирования
является обеспечение безопасности, функциональной надёжности и эффективности
работы технического объекта, а также сокращение затрат на его техническое
обслуживание и уменьшение потерь от простоев в результате отказов и
преждевременных выводов в ремонт.веке с особой остротой возникает проблема
всестороннего совершенствования работы всех видов транспорта с целью более
полного удовлетворения потребностей страны в перевозках грузов и пассажиров.
Успешное решение этой задачи на железнодорожном транспорте в значительной мере
зависит от технического состояния подвижного состава и прежде всего вагонного
парка. Для поддержания вагонов и локомотивов в постоянной исправности на
железных дорогах России нашла применение планово-предупредительная система ремонта.
Изучение теоретических и физических основ
технологии производства и ремонта вагонов, технологических средств повышения
надежности вагонов, базирующееся на выявлении закономерностей возникновения
износов и повреждений в деталях и сборочных единицах, а также на проектировании
и протекании технологических процессов изготовления и восстановления деталей,
сборочных единиц и узлов вагонов.
1. Что
изучает теория контролепригодности?
Приспособленность объекта к
диагностированию .Свойство объекта, характеризующее его пригодность к
проведению диагностирования (контроля) заданными средствами диагностирования
(контроля) называется контролепригодностью.
Один из источников повышения коэффициентов
готовности и использования транспортных средств - снижение времени их простоев
на ТО и ТР, которое обеспечивается увеличением объемов
контрольно-диагностических работ в общем объеме работ по ТО и ТР. Особенно
заметно увеличение контрольно-диагностических работ в процессе ТО транспортных
средств. Объем контрольно-диагностических и регулировочных работ превышает 25 -
30% общего объема работ по ТО транспортных средств. Как правило, полезное
время, затрачиваемое на непосредственное измерение диагностических и
контролируемых параметров в среднем равно 5 - 10% общего времени диагностирования;
остальные 90 - 95% приходятся на установку и снятие первичных преобразователей,
установление нужного режима работы транспортного средства для диагностирования
и обработку результатов диагностирования. Причем на снятие и установку
преобразователей приходится до 50 - 80% общего времени диагностирования.
Радикальным способом снижения трудоемкости
контрольно-диагностических работ является повышение контролепригодности
транспортных средств, в том числе их приспособленности к диагностированию, и
внедрение более эффективных методов контроля и диагностирования.
Повышение контролепригодности транспортных
средств может быть осуществлен следующими способами:
а)приспособлением транспортного средства к
удобному и простому подключению измерительных преобразователей на период
диагностирования и контроля, выбором наиболее эффективных методов
диагностирования и контроля, обеспечением универсальных, специально выполненных
в транспортных средствах присоединительных мест, разъемов, штуцеров, заглушек
и.т.п.;
б)введением в конструкцию транспортных средств
встроенных измерительных преобразователей, к выводам которых в период
диагностирования можно подключать внебортовые (стационарные и переносные)
средства диагностирования (для удобства подключения последних выходы измерительных
преобразователей выводят на специально предусмотренные разъемы);
в) комплектованием транспортных средств
постоянно действующими измерительными преобразователями и вторичными приборами
(системами бортового контроля), выдающими в любой момент времени, выбираемый
оператором, информацию о техническом состоянии узла или элемента транспортного
средства.
На практике наиболее целесообразно комплексное
использование всех трехспособов.
Контролепригодность транспортного средства
(системы, агрегата, узла, элемента) обеспечивают на стадиях проектирования,
разработки и изготовления. В целом требования контролепригодности должны
содержать требования к конструктивному исполнению; к параметрам и методам
диагностирования; критерии контролепригодности.
2. Статистические
методы распознавания. Основы теории информации
2.1 Метод
Байеса. Расчет вероятности 
при
условии обнаружения 
контролепригодность
вагон тележка байес
Теорема Байеса (или формула Байеса)
- одна из основных теорем теории вероятностей, которая позволяет определить
вероятность того, что произошло какое-либо событие (гипотеза) при наличии лишь
косвенных тому подтверждений (данных), которые могут быть неточны.
Формула Байеса позволяет
«переставить причину и следствие»: по известному факту события вычислить
вероятность того, что оно было вызвано данной причиной.
События, отражающие действие
«причин», в данном случае обычно называют гипотезами, так как они -
предполагаемые события, повлекшие данное. Безусловную вероятность
справедливости гипотезы называют априорной (насколько вероятна причина вообще),
а условную - с учетом факта произошедшего события - апостериорной (насколько
вероятна причина оказалась с учетом данных о событии). Формула Байеса является
важным следствием из формулы полной вероятности события, зависящего от
нескольких несовместных гипотез.
Пусть событие
происходит
одновременно с одним из
несовместных
событий
.
Требуется найти вероятность события
,
если известно, что событие
произошло.
На основании теоремы о вероятности произведения
двух событий можно написать:
(1)
Откуда
(2)
Или

=
(3)
Совместимость вероятности диагноза и признака:

(4)
Формула Байеса:

(5)
Определяем вероятность обнаружения
неисправного подшипника по признаку перегрева корпуса букса.
N - данные
анализа обследования;
i - диагноз
(1-исправный, 2-дефект, 0-остальные случаи);
j - признак
(1-наличие перегрева, 0-все остальные случаи)


Вывод: условная вероятность перегрева подшипника
высока.
.2 Расчет
информации о состоянии сложной системы
Важное значение имеет подход к решению
распознавания состояния объекта, состоящего из нескольких систем и
взаимодействующие с другими объектами.
Вагон представляет собой ряд систем, называемыми
сборочными единицами (тележка, кузов, автотормоз, автосцепка), которые
функционально связаны между собой, а так же с другими системами.
Пусть:
А - надрессорная балка;
B - колесная пара;

- трещина надрессорной балки;

- ползуны на поверхности катания
колес.
Предполагаем, что наличие ползуна на
поверхности катания колеса может быть причиной трещин надрессорной балки.
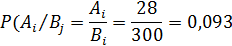
Имеем данные обследования 300
вагонов, поступивших в текущий ремонт 
=300.
В результате обследования были
выявлены 
=28 - с трещиной надрессорной балки.

, (6)
где: W - частота
отказов по сети.
L - cреднегодовой
пробег

- гарантийный участок

Информация:
Ответ: 7.4
Вывод: Таким образом, при малом значении
условной вероятности P(Ai/Bj)=0,093
мы имеем достаточно высокую информативность системы В относительно системы А и
можем сделать вывод о необходимости полной ревизии буксовых подшипников
колесных пар, поступивших на обточку из-за ползуна.
Аналогичную информативность можно определить и
по отношению состояния других элементов ходовых частей - литых деталей тележки,
рессорного подвешивания, тормозной системы.

получилась больше 1,это значит, что
системы взаимосвязаны.
3.
Диагностические признаки и диагностическая модель вагона
.1 Диагностические
признаки технического состояния вагона
Диагностическая модель - устанавливает связь
между состояниями технической системы и их отображениями в пространстве
диагностических сигналов.
Диагностическая модель грузового вагона
представлена на рисунке 1.
Общие характеристики Rв определяются
конструкцией вагона и включают функциональное назначение вагона - показатели
назначения (род груза, условия обеспечения его сохранности и др.) и основные
технические характеристики (грузоподъемность, габарит, конструкционная скорость
и др.).
Параметры процесса функционирования вагона Fв
определяются интегральными признаками, по которым можно оценить техническое
состояние вагона в целом, к ним относятся сопротивление движению, параметры
колебаний, плавность хода и другие.
Структурные параметры вагона Ев определяются в
основном целостностью конструкций сборочных единиц. Можно сказать, что
параметры функционирования дают обобщенную оценку технического состояния, а
структурные параметры детализируют техническое состояние вагона.
Вспомогательные параметры Vв используются в качестве косвенных диагностических
признаков.
Диагностический признак (параметр) - признак
(параметр) объекта
диагностирования, используемый в установленном
порядке для определения технического состояния объекта.
Диагностическая модель устанавливает связь между
состояниями технической системы и их отображениями в пространстве
диагностических сигналов.
Рисунок 1. Диагностическая модель грузового
вагона
3.2 Диагностические
признаки и диагностическая модель тележки
Диагностические признаки и диагностическая
модель тележки представлены на таблице 2.
Рисунок 2. Диагностическая модель тележки
Методы измерений диагностических параметров
Классификация методов измерений
По виду физических параметров диагностирования
СТД разделяются на несколько групп. В вагонном хозяйстве применяют в основном
СТД в которых измеряют следующие параметры:
а) Кинематические (время, скорость, ускорение,
период, частота периодического процесса, колебания или вибрации).
б) Геометрические (расстояние, размер, площадь,
объем, угол).
в) Статические и динамические (сила, масса,
импульс силы, давление, момент силы, коэффициент трения, работа).
г)Механические свойства (плотность, твердость,
ударная вязкость).
д)Тепловые (температура, теплопроводность).
е)Акустические (звуковое давление, частота
звука, громкость, громкость звука, акустическое сопротивление).
ж)Электрические и магнитные (ток, напряжение,
электрическое сопротивление, частота тока, фаза, напряженность магнитного поля,
магнитная индукция, намагниченность).
з) Оптические (поток инфракрасного излучения,
коэффициент отражения, волоконная оптика, голография).
В основе всех методов измерений являются
различные преобразователи одного вида параметра в другой, удобный для
наблюдения, автоматизации измерений и регистрации.
Наглядное изображение тележки с подробными
обозначения представлены на рисунке 1.
Рисунок 3. Изображение тележки
Рассмотренные диагностические модели являются
общими для всех типов вагонов и не претендуют на полноту всех видов параметров,
а дают общее представление о возможности технического диагностирования .
Следует отметить, что для каждого типа вагона диагностическая модель кузова
будет иметь существенные различия.
Часть характеристик R и все параметры F, E, V,
приведенные в диагностических моделях, могут быть использованы в качестве
диагностических параметров, то есть образуют рабочее диагностическое
пространство, а затем, естественно, возникает проблема их измерения , оценки и
обнаружения признаков. Только после этого можно проводить диагностирование ,
как решение задачи обработки значений полученных параметров и их соответствия
определенной оценке состояния вагона или его сборочных единиц.
Заключение
Рост объёма перевозок на железных дорогах
страны, повышение массы и длины поездов, увеличение скоростей движения
предъявляют все более высокие требования к качеству технического обслуживания и
ремонта вагонов и в первую очередь таких ответственных узлов, как буксовый,
автосцепное оборудование и автотормоза. Дальнейшее повышение надежности их работы
за счёт своевременного выявления и высококачественного устранения
неисправностей будет способствовать обеспечению бесперебойного, безопасного
движения поездов по удлиненным гарантийным участкам. В то же время в связи с
усложнением конструкции и увеличением количества вагонов резко возрастают
затраты на их содержание, обслуживание и ремонт. Поэтому создание новых и
совершенствование существующих средств механизации и автоматизации процессов
обслуживания - непременное условие высококачественного и своевременного
выполнения работ. Без этих средств (агрегатов технического обслуживания,
моечных установок, диагностического оборудования, ремонтно-технологических,
разборочно - сборочных механизмов и приспособлений и т.д.) в настоящее время
невозможно обеспечить повышенную работоспособность вагонного парка.
В последнее время работа в области
диагностирования вагонов активизируется. Совершенствование на их основе системы
технического обслуживания и ремонта вагонов, безусловно, будет способствовать
улучшению состояния вагонного парка.
Список использованной
литературы
1
Биргер И.А. Техническая диагностика: - г.Москва.: «Машиностроение», 1978. - 240
с., ил. - (Надежность и качество).
Зыков
Ю.В., Сигилева Е.И. Техническая диагностирование вагонов: методические указания
- г.Екатеринбург. Издательство УрГУПС, 2012. - 32 с.
Зыков
Ю.В Лекции по технической диагностике: - г. Екатеринбург , УрГУПС 2013.