Разработка системы конкурентно-оптимального прогноза управления предприятием на основе динамической модели олигополии
РОССИЙСКИЙ УНИВЕРСИТЕТ ДРУЖБЫ НАРОДОВ
ИНЖЕНЕРНЫЙ ФАКУЛЬТЕТ
КАФЕДРА КИБЕРНЕТИКИ И МЕХАТРОНИКИ
УТВЕРЖДАЮ
Зав.кафедрой
кибернетики и
мехатроники
_____________
К.А. Пупков
«_____»___________
2013 г.
Дипломная работа
на тему
“Разработка системы конкурентно-оптимального
прогноза управления предприятием на основе динамической модели олигополии”
550200 "Автоматизация и
управление"
Бакалавр
Разработчик
Студент
группы ИУБ-402
Студенческий
билет №:1032080917
__________________
Олевский А.А
«_____»___________
2013 г.
Руководитель
д.т.н., проф.
кафедры
Кибернетики и мехатроники
инженерного
факультета РУДН
__________________
Воронов Е.М.
Москва, 2013 г.
ОГЛАВЛЕНИЕ
1. ВВЕДЕНИЕ
.1 Общая характеристика теоретико-прикладного направления
.2 Общее определение игры
. Математическая модель конфликтной ситуации в ММС
.1 Математическая модель ММС с выбором описания и
управляющих сил
.2 Векторный целевой показатель
.3 Коалиционная структура
.4 Принципы конфликтного взаимодействия. Понятия
стабильности и эффективности
. ОСНОВНЫЕ ПРИНЦИПЫ ОПТИМАЛЬНОСТИ И ПОНЯТИЯ СТАБИЛЬНОСТИ И
ЭФФЕКТИВНОСТИ.
.ОСНОВНЫЕ ОПРЕДЕЛЕНИЯ ЭФФЕКТИВНОСТИ И СТАБИЛЬНОСТИ И
СТАБИЛЬНО-ЭФФЕКТИВНЫХ КОМПРОМИССОВ.
.1 Общие определения стабильности и эффективности
.2 Алгоритмы СТЭК на основе Парето-Нэш-УКУ-Шепли комбинаций
. Программная система «МОМДИС» для отладки алгоритмов,
моделирования и оптимизации ММС и исследования СТЭК
.1 Общая характеристика ПС «МОМДИС»
.2 Описание структуры ПС «МОМДИС»
. ОЦЕНКА КОНКУРЕНТОСПОСОБНОСТИ ПРЕДПРИЯТИЯ НА ОСНОВЕ
ДИНАМИЧЕСКОЙ МОДЕЛИ ОЛИГОПОЛИИ И СТАБИЛЬНО-ЭФФЕКТИВНЫХ КОМПРОМИССОВ.
.1 Виды рыночных структур. Понятие конкурентоспособности.
.2 Олигополия Курно.
.3 Общая характеристика подходов к моделированию олигополии в
данной работе.
.4 Модель олигополии, использующая динамическое описание
производственного процесса.
.5 Понятие спроса.
.6 Многофакторный анализ конкурентоспособности предприятия на
основе динамической модели олигополии.
.7 Сравнительный анализ конкурентоспособности предприятий на
рынке олигополии относительно среднестатистического предприятия
.ЗАКЛЮЧЕНИЕ
. СПИСОК ЛИТЕРАТУРЫ.
1. ВВЕДЕНИЕ
1.1 Общая характеристика теоретико-прикладного
направления
С быстрым ростом информационной и структурно-целевой сложности
функционирования и проектирования управляемых систем все более значительным
становится в настоящее время учет факторов несогласованности (конфликтности) и
неопределенности различного характера.
Развиваемые игровые подходы управления в условиях конфликта в настоящее
время являются основными в одном из классов задач теории оптимального
управления. Проблема взаимодействия объектов (коалиций) возникает в следующих
случаях:
· при прямом формировании многообъектной модели конфликтной
ситуации;
· при структуризации классической однообъектной и
однокритериальной задачи управления с формированием многообъектной
многокритериальной системы (ММС);
· при представлении сложной задачи и системы многоуровневой
структурой. Действительно, многоуровневая структура сложной системы (рис. 1.1)
позволяет выделить три вида систем: полную иерархическую систему (ИС); систему,
которую составляет горизонтальный ряд в общем случае равнозначных объектов
(ММС); систему-объект.
Класс задач оптимизации в рамках ММС формируется, в котором известные
подходы оптимизации для обеспечения эффективности объекта (вариационные
подходы, принцип максимума, методы динамического программирования и процедуры
нелинейного программирования) значительно дополняются игровыми подходами с
собственными принципами оптимизации для обеспечения уравновешенного
(стабильного) взаимодействия в ММС, которое способствует достижению
эффективности объекта и системы в целом в условиях естественной
несогласованности в ММС.
В рамках данных принципов методы решения базируются на
многокритериальности задач, многообъектности структуры и свойствах конфликтного
взаимодействия объектов при управлении и проектировании ММС бескоалиционного,
антагонистического, кооперативного, коалиционного, и комбинированного
характера. Разработка способов управления ММС, имеющих свойства стабильности и
эффективности в конфликте и обеспечивающих компромиссы на тактической и
информационной основе, является актуальной задачей теории управления ММС.
|
Структуры
|
Классы задач
|
|
ИС
|
Эффективность,
стабильность, межуровневая оптимальность на основе ТОУ, ИП и теории принятия
решений в ИС
|
|
ММС
|
Эффективность и
стабильность на основе ТОУ и игровых подходов (ИП)
|
|
ОБЪЕКТ
|
Эффективность на основе
классической теории оптимального управления (ТОУ)
|
Рис. 1.1 Структура многоуровневой системы и классы задач
Представленный подход является тоже достаточно универсальным при
управлении и проектировании в условиях неопределенности. Известна следующая
классификация неопределенных факторов:
·
неопределенные
факторы, как следствие недостаточной изученности каких-либо процессов
функционирования объекта-подсистемы - это так называемые природные
неопределенности или неопределенности среды;
·
неопределенные
факторы, отражающие неточное знание цели и показателей цели в сложной системе -
так называемая неопределенность цели;
·
неопределенные
факторы, отражающие неопределенность во взаимной информации, связанной с
описанием, действиями объектов-подсистем в сложной многообъектной системе, или
неопределенность в степени конфликтности взаимодействующих объектов-подсистем
(неопределенность «активного партнера»).
В современной теории управления и принятия решений сложилось множество
конструктивных робастных подходов в условиях неопределенности. Поэтому данные
методы и компромиссы также обогащают робастные подходы в условиях
неопределенности.
Предлагаемые результаты, как будет показано ниже, расширяют возможности
игровых подходов, так как имеют теоретико-прикладное значение в
антагонистических, бескоалиционных, коалиционных и кооперативных классах
игровых задач и их комбинаций (модификация ряда задач, формирование
компромиссов и разработка средств проектирования на основе игровых задач), а
также развивают игровые методы исследования практически важных моделей ММС
управления летательными аппаратами и комплексами, микроэкономических моделей
финансового и товарного рынка, биотехнической модели системы естественной
технологии организма на основе гомеостаза в задачах геронтологии, экологии.
1.2 Общее определение игры
Игрой называется следующий набор
,
(1.1)
где
N - произвольное множество игроков, P - множество коалиционных структур
, K - коалиция - группа игроков, для которой приписаны
действия и интересы,
- произвольное множество стратегий коалиции
(при любом Р:
); S -
произвольное множество всех исходов игры на
,
- множество возможных исходов на
, если коалиция K применяет стратегию
,
-
транзитивное отношение предпочтения коалиции
.
Как
правило, индивидуальные предпочтения, формируются на некоторых отображениях
из
,
являющиеся функциями выигрыша (потерь). Тогда предпочтительность исхода
по сравнению с исходом
(
) означает, что
для всех
.
Множество
позволяет каждой коалиции оценивать, как выбор
коалицией K конкретной стратегии
изменяет
множество возможных исходов.[6]
2. МАТЕМАТИЧЕСКАЯ МОДЕЛЬ КОНФЛИКТНОЙ СИТУАЦИИ В ММС
В соответствии с определениями игры математическая модель конфликтной
ситуации должна содержать четыре компоненты:
· математическая модель ММС с выбором описания и управляющих
сил,
· векторный целевой показатель,
· характер коалиционных объединений,
· принцип конфликтного взаимодействия на основе стабильности и
эффективности.
Далее последовательно раскрывается модель конфликтной ситуации в форме
дифференциальной игры в нормальной форме, когда выбор стратегий связан с
выбором управлений, однозначно определяющих исход в виде значения вектора
показателей игры.
2.1 Математическая модель ММС с выбором
описания и управляющих сил
Математическое описание ММС в нормальной форме. В качестве основного
описания ММС принимается система динамико-алгебраических связей

(2.1)
где
N - число объектов в ММС; 
- вектор
состояния ММС с 
-
динамическими и 
-
алгебраическими состояниями; x - множество состояний; y - вектор выхода ММС; 
- вектор
управления ММС; 
- вектор
параметров ММС, которые характеризуют возможную параметризацию в (2.1г) и
параметрическую неопределенность в (2.1а-в).
Выражения (2.1) характеризуют динамические связи (а), алгебраические
связи (б), вектор выхода (в) и функцию принятия решения и управления (г).
Управление
,
(2.2)

-
подвектор управления i-м объектом ММС.
Свойства правых частей (2.1а), (2.1б) типичные, в основном, это
непрерывность и дифференцируемость, а для (2.1а) - выполнение условий Липшица.
Управляющие силы. Существуют, как известно, три основных способа задания
управляющих сил:
1) Вектор
параметров 
;
) Программное
управление 
;
) Закон
управления (или позиционное управление) 
.
Свойства
управлений и множеств управлений варьируются, но типичные свойства можно найти.
Наиболее желаемые свойства U - это свойства выпуклости и компактности (или
слабой компактности). [6]
2.2 Векторный целевой показатель
Целевые свойства ММС характеризуются следующим вектором

(2.3)
представляющим собой сложную функциональную связь с указанными
величинами. Типичным видом i-й функции потерь (выигрыша) является функционал на

(2.4)
Помимо
непрерывности (2.4) по (x,u) и дифференцируемости по управлению, желаемыми
свойствами являются вогнутость-квазивогнутость (выпуклость-квазивыпуклость)
функционала (2.4) на множестве управлений.
Несовпадение размерности J с числом объектов означает, что некоторые
объекты имеют векторную цель. Размерность показателя будет совпадать с числом
объектов в ММС, если показатель каждого объекта скаляризуется. [6]
2.3 Коалиционная структура

(2.5)
где
R - множество индексов, например, управлений, М - множество индексов вектора
показателей, где 
- это
множество индексов коалиций.
Показатель
каждой коалиции принимает, как правило, один из двух видов:

(2.6)
,
,
, (2.7)
причем
сумма индексов 
равна m.
Коалиционные управления без параметризации принимают вид

, (2.8)
выражения (2.1а) преобразуются к виду

(2.9)
Показатель в варианте (2.7)

(2.10)
где
;
.
В рамках введенной модели конфликта обозначения в определении игры имеют
следующие соответствия:
множество
стратегий 
множество

;
множество
исходов-состояний 
множество
траекторий 
на
множестве ситуаций 

, или
отображение Х, U на множество показателей J(x,u);
множество
возможных исходов-состояний 
множество
возможных траекторий вектора 
на
множестве ситуаций

·
при фиксированном управлении 
, где
, или
множество значений 
на
множестве U;
предпочтения
коалиции K представлены максимизацией функции выигрыша (минимизацией потерь) 
на
множестве X,U. [6]
2.4 Принципы конфликтного взаимодействия.
Понятия стабильности и эффективности
Пять принципов конфликтного взаимодействия в общем случае имеют место:
антагонизм

-
большая степень конфликтности;
·
бескоалиционное
взаимодействие;
·
коалиционное
взаимодействие;
·
кооперативное
взаимодействие;
·
иерархическое
взаимодействие (с правом первого хода).
Так как ММС, по определению, является системой равнозначных объектов
(горизонтальный набор на рис. 1.1), то задачи с правом первого хода в данной
работе не рассматриваются.
В данных принципах конфликтного взаимодействия, как известно, заложены
три фундаментальных понятия теории игр: стабильность, эффективность и
стабильно-эффективный компромисс.
Стабильность ММС - это обеспечение многообъектно-устойчивых
(уравновешенных по целям) процессов функционирования и проектирования
многообъектных структур в условиях конфликтности (несогласованности) и/или
неопределенности.
Эффективность ММС - это достижение максимального целевого качества
объектов, коалиций и ММС в целом на основе устойчивого и рационального
коалицианирования.табильно-эффективный компромисс в ММС (СТЭК ММС) - это
объединение стабильности и эффективности в рамках множества решений - от
полного совпадения данных свойств в одной точке пространства J (или U) до
обеспечения возможной степени сближения в условиях информационно-тактических
расширений соглашений.
СТЭК ММС дополняют СТЭК в иерархических системах (СТЭК ИС), где
реализуется право первого хода на основе субъективной информации, что
составляет тему отдельного исследования. [6]
3. ОСНОВНЫЕ ПРИНЦИПЫ ОПТИМАЛЬНОСТИ И ПОНЯТИЯ СТАБИЛЬНОСТИ И ЭФФЕКТИВНОСТИ
Многие из существующих принципов оптимальности в соответствии с понятиями
стабильности и эффективности связаны с тремя базовыми:
· оптимальность на основе гарантированных подходов;
· коалиционного равновесия;
· кооперативных соглашений.
Принцип оптимальности на основе гарантированных решений базируется на
исследовании максиминных и минимаксных задач и равновесных решений.
Принцип оптимальности на основе коалиционного равновесия связан с
игровыми подходами в виде скалярного Нэш-равновесия, векторных равновесий (в
частности, векторного Нэш-равновесия, Ω-равновесия и др.), коалиционного
равновесия на основе V- решений («угроз и контругроз») и др.
Принцип оптимальности на основе кооперативных соглашений содержит два
основных взаимосвязанных направления: векторная оптимизация для определения
множества Парето-решений (без структурных свойств ММС)
Можно выделить ряд свойств задач управления ММС, которые свидетельствуют
о необходимости формирования компромиссов и создают определенную основу для
этого:
·
возможности и
условия образования коалиций и различных коалиционных структур в ММС для
повышения индивидуальной и общей эффективности в ММС на основе предостережения
(наказания и поощрения);
·
изменение
информационных условий в ММС (неполнота информации и информационное «перемирие»
с добровольным обменом (при наличии искажений - «блефа») и «добыванием»
информации, связь субъективной и объективной информационных ситуаций);
·
комбинации
стабильных и эффективных решений на основе необязательных соглашений или
обязательной договорной основе (например, выбор наиболее эффективного
стабильного решения, стабильного среди эффективных и др.);
·
наличие в целевой
эффективности ММС индивидуальных и общих интересов;
стремление ММС к предельному целевому качеству с обеспечением минимальной
межуровневой конфликтности (между «арбитром» и «линейкой» равнозначных объектов
- коалиций ММС) на основе обобщенного гомеостаза и т.д. [6]
4. ОСНОВНЫЕ ОПРЕДЕЛЕНИЯ ЭФФЕКТИВНОСТИ И СТАБИЛЬНОСТИ И СТАБИЛЬНО-ЭФФЕКТИВНЫХ
КОМПРОМИССОВ.
.1 ОБЩИЕ ОПРЕДЕЛЕНИЯ СТАБИЛЬНОСТИ И ЭФФЕКТИВНОСТИ
Определения
эффективности и стабильности, которые используются в работе, без ограничения
общности можно сформулировать в рамках параметризованных управлений и/или
процедур принятия решения, причем на общий вектор параметров
наложены ограничения
, где
,
где
.
Понятия
эффективного управления базируется на Парето-оптимальном решении,
-оптимальном решении и дележе Шепли.
Определение
1. Пусть множество индексов коалиции
. Вектор
оптимален
по Парето, если из условия
следует
либо
, либо система неравенств несовместна и хотя бы одно
из неравенств противоположного смысла.
Определение
-равновесия. Пусть
-
многогранный конус, определенный матрицей
.
Пусть
- новый векторный показатель вида
. Тогда оптимальное по Парето множество для
совпадает с
-оптимальным
множеством для
.
Рис.
4.1. Парето- и
-оптимальность
На
рис. 4.1 для
приведены два конуса
и
.
Из
рис. 4.1 видно, что прямоугольный конус типа конуса с вершиной в точке С1
удовлетворяет всей области П-Парето-решений, а «узкий» конус с вершиной С2
выделяет на Парето-области подобласть
-оптимальных
решений.
Определение
3. Набор параметров
называется оптимальным по Шепли, если обеспечивает
, где
-
функция Шепли, которая, например, при
имеет
вид
где
- характеристическая функция, как точка равновесия по
Нэшу (см. определение 4). Например,
означает:
,
,
.
Стабильные
решения формируются в виде гарантирующих решений, скалярного равновесия по
Нэшу, векторных равновесий (векторное равновесие по Нэшу,
-равновесие) и коалиционного равновесия на основе
V-решений в форме угроз-контругроз (УКУ) Вайсборда-Жуковского.
Определение
4. Набор решений
является равновесным по Нэшу относительно скалярных
показателей
, которые являются функцией эффективности коалиции Ki,
если для любого
,
,
где
.
Определение
5. Набор векторов параметров
, где
называется коалиционным равновесием (V-решением в
форме угроз-контругроз (УКУ)) при показателе коалиции
, если при попытке коалиции Ki улучшить свой
показатель (угроза -
)
на
множестве P допустимых коалиционных структур существует возможность создания
контркоалиции
, для которой реализуется контругроза
;
.
Определения стабильных и эффективных решений позволили далее описать
методы поиска этих решений на основе математического и алгоритмического
обеспечения. Приведенные методы и алгоритмы были реализованы в рамках
разработанных программных систем.
Рис. 4.2. Компромиссы на основе комбинации Парето-Нэш-УКУ-Шепли-подходов
П - Парето-граница АВ; Н - Нэш-равновtсие; УКУ - область
угроз-контругрjз; ИТ - идеальная тjчка; УК - W-оптимальная часть П-границы на основе узкого конусаW; Ш - точка Шtпли; СНД -
Парето-Нэш-область компромиссов (ПНОК)
СТЭКи заключаются в выборе недоминируемого наиболее эффективного Нэш-решения
(точка Н), формировании Парето-Нэш-области компромиссов (ПНОК) на основе
прямоугольного конуса СНД, границей которой является Парето-граница. В области
ПНОК выбираются УКУ-решения в той или иной степени близости к точке Шепли либо
к «идеальной» точке.
Участникам игры имеет смысл выполнять необязательные соглашения в связи с
устойчивостью ситуации в точке УКУ-решения.
В рамках обязательных соглашений рассматриваются комбинации арбитражных
схем с УКУ-Нэш-равновесием, среднеквадратических решений с точкой Шепли и др.
Рис. 4.3 Классификация СТЭК
Для ряда алгоритмов были исследованы возможности их параллельной
реализации.
На рис. 4.3 дана классификация стабильно-эффективных компромиссов (СТЭК)
ММС.
Рис. 4.2 иллюстрирует смысл компромиссов на основе комбинации
Парето-Нэш-УКУ-Шепли-подходов. [6]
.2 АЛГОРИТМЫ СТЭК НА ОСНОВЕ ПАРЕТО-НЭШ-УКУ-ШЕПЛИ-КОМБИНАЦИЙ
В данном разделе рассматриваются схемы формирования компромиссов, их
систематизация на основе принципа необязательных соглашений и в условиях, в
основном, объективной информации о ММС.
Технология формирования компромиссов базируется на интерактивных
процессах, комбинирующих указанные модули оптимизаций с разной степенью
автоматизации интерактивных процедур.
Выбор наиболее эффективного решения по Нэшу (СТЭК-1). Потребность в
данном СТЭК возникает, когда скалярное равнооесие по Нэшу при фиксированной
структуре ММС является неединственным. Практически речь идет о выборе
недоминируемых решений по Нэшу.
Определение: Нэш-решение игры Г(Р)
,
где
Ki ÎP = МK, i = 1,...,l; uÎU
доминирует
решение
, если JKi(
) ³ JKi(
), i =
1,…,l.
В
рамках СТЭК-1 предполагается, что недоминируемое решение
- единственное, тогда оно наиболее эффективно для
всего коалиционного разбиения ММС, поэтому принимается игроками как
необязательное соглашение.
Условие
доминирования решения
над
относительно
конуса W с матрицей В имеет простой вид
DJ ³ 0, (4.1)
где
DJ =
-
,
= J(
),
= J(
).
Знак неравенства меняется, если эффективность заключается в минимизации
потерь.
При В = Е многогранный конус W становится прямоугольным, а процедура оптимизации на основе
конуса W сводится к Парето-оптимизации.
Выбор
компромиссного недоминируемого Нэш-решения по критерию уравновешивания потерь в
окрестности наилучшего для каждой коалиции Нэш-решения (СТЭК-2). Предыдущий
СТЭК-1 может иметь неединственное недоминируемое решение uri, i = 1,2,...,n.
Тогда сужение полученного множества может быть достигнуто дополнительными
компромиссными условиями близости к наилучшему (идеальному) для каждой коалиции
значению показателя
и/или
уравновешиванию потерь
в связи с его недостижимостью, где
. (4.2)
По
данным двум условиям может быть введён дополнительный критерий оптимизации на
конечном множестве недоминируемых Нэш-решений
, (4.3)
где j, m = 1,...,l; j ¹ m.
В (4.3) первая сумма обеспечивает уравновешивание потерь, вторая -
близость к идеальной, на основе Нэш-решений, точке, а множитель r(1 ³ r ³ 0) определяет влияние степени близости на компромисс.
Выбор векторного Нэш-решения относительно идеальной (утопической) для
множества допустимых решений точки (СТЭК-3).
Коалиционное равновесие при фиксированном разбиении МK = P ММС
вырождается в векторное равновесие.
Увеличение размерности задачи и расширение множества равновесных решений
на множестве допустимых решений приводит к необходимости искать компромиссное
решение среди недоминируемых векторных равновесий (uri), наиболее близкое к
идеальной точке над множеством допустимых решений по критерию:
(4.4)
где
, (4.5)
где
UKm - множество параметризованных управлений (решений)
коалиции Km, m = 1,...,l. Полученное на основе
(4.2), (4.3) решение является наилучшим векторно-равновесным решением для всех
коалиций, а поэтому является компромиссным в условиях необязательных
соглашений.
Формирование Парето-Нэш-области компромиссов (ПНОК) (СТЭК-4). Предыдущие
СТЭК-1 - СТЭК-3 позволяли получить лучшие решения в рамках одного и того же
множества стабильных решений. Данная ПНОК является базой для формирования новых
компромиссов, с другой стороны, при определенной близости компромиссного
значения показателей на основе предыдущих СТЭК к Парето-границе области
показателей выделяется малая ОК, каждая точка которой с определённой степенью
грубости играет роль собственно СТЭК-4, а в пределе превращается в ПСТЭК.
Определение. ПНОК удовлетворяет системе неравенств:
(4.6)
где первое неравенство системы (4.6) имеет смысл многогранного конуса
доминирования с матрицей В = Е и вершиной в точке J(uСТЭК-i), а второе имеет
смысл семейства лучей, соединяющих точку СТЭК и соответствующее лучу решение uП
из подмножества UП Парето-оптимальных решений, также удовлетворяющих первому
неравенству. Рисунок 4 иллюстрирует данное определение для двухобъектной ММС со
скалярными показателями объектов.
Взаимосвязь ПНОК и области УКУ-решений (СТЭК-5). Скалярное и векторное
равновесие при фиксированной коалиционной структуре являются частными случаями
коалиционного равновесия, так как каждая коалиция стремится обеспечить свою
локальную Парето-оптимальность в рамках всей локальной области, ее подобласти
или точки соответственно, а равновесное решение по определению является
V-решением (не содержит эффективных угроз, против которых нет контругроз).
Взаимосвязь ПНОК и множества дележей (СТЭК-6). В условиях необязательных
соглашений делёж по Шепли обосновывает выбор такого коалиционного равновесия,
которое является наиболее подходящим для возможного объединения в кооперацию
при переходе к строго договорным компромиссам с обязательным выполнением
соглашения.
Выбор наиболее эффективного УКУ-решения на основе ПНОК и точки дележа
Шепли (СТЭК-7). Рассмотренный СТЭК-6 является частным случаем более общего
СТЭК, когда множество УКУ-равновесий имеет общий характер положения в ПНОК,
например так, как показано для N = 2 на рис.4.
Тогда СТЭК-5 и СТЭК-6 обобщаются в виде СТЭК-7, который имеет наиболее
общий вид в условиях необязательных соглашений и содержит предыдущие СТЭК-1 -
СТЭК-6 как частные случаи или компоненты.
Определение. Общий стабильно-эффективный компромисс в условиях
необязательных соглашений формируется как устойчивое решение с
предостережением, обладающее максимальной степенью близости к оценке наилучшего
результата, который может быть достигнут при кооперативном объединении на
основе обязательных соглашений. Таким свойством обладает УКУ-равновесие на
ПНОК, которое является наиболее близким к точке дележа по Шепли или к ее
максимальной реализуемой предпосылке. [6]
5. Программная система «МОМДИС» для отладки
алгоритмов, моделирования и оптимизации ММС и исследования СТЭК
.1 Общая характеристика ПС «МОМДИС»
Введение: Программная среда «МОМДИС» представляет собой
многокритериальную систему оптимизации, основной функцией которой является вычисление
оптимальных параметров в зависимости от функционалов качества.
Назначение: ПС «МОМДИС» позволяет в интерактивном режиме проектировать
параметризованные программно-корректируемые законы управления сложных систем,
функционирующих в условиях конфликта и неопределенности.
Принцип деяния: ПС «МОМДИС» состоит из совокупы 2-ух огромных подсистем:
математической подсистемы и подсистемы пользова-тельского интерфейса.
Математическая подсистема состоит из необходи-мых для проектирования подсистем
прогнозирования и оптимизации. Поль-зовательский интерфейс дозволяет эластично
править действием проектиро-вания и обретать совершенную информацию в облике
графиков и таблиц. Опосля вступления в ПС динамической модели трудной системы в
облике комплекта коа-лиционных текстур на обилье взаимодействующих объектов
управле-ния делается оптимизация управления многообъектной системой сообразно
вектору характеристик.
В ПС «МОМДИС» проданы уникальные, измененные и традиционные способы
получения устойчивых (равновесных) и эффектив-ных (векторно-хороших) игровых
решений, а еще опять приобретенные композиции этих способов в облике
прочно-действенных компромис-сов при содействии коалиций динамических объектов
либо в критериях неопределенности.
Область внедрения: оптимизация управления и прогнозирование в
технических, финансовых, биомедицинских, соц и остальных сис-темах.
Комплектация оборудования: IBM-совместимый компьютер с процессором не
ниже Pеntium, 3,5 Мб свободного дискового пространства, операционная система
Windоws’95 и выше. Позволяет исследовать взаимодействие до четырех коалиций,
размерность векторного целевого функционала £12; порядок вектора состояния £50; порядок вектора управления £20; число компонент вектора
измеряемого выхода для вычисления векторного целевого функционала £12.
5.2 Описание структуры ПС «МОМДИС»
Структурная схема ПС «МОМДИС», основы которой изложены в работах, дана на
рис. 5.1.
Объектно-ориентированная структура ПС «МОМДИС» сформирована как
совокупность двух больших подсистем: математической подсистемы и подсистемы
отображения информации и пользовательского интерфейса.
Математическая подсистема. Математическая подсистема включает
совокупность методов моделирования и оптимизации. В системе представлены десять
методов интегрирования (Эйлера, Адамса второго и четвертого порядка,
Рунге-Кутта второго, четвертого и шестого порядка, Кутта-Мерсона четвертого
порядка, Гира четвертого порядка, Дорманда-Принса пятого порядка,
экстраполяционный метод с переменным шагом и порядком - обобщение схемы Рунге-Кутта).
Рис. 5. 1 Структура ПС «МОМДИС»
В ПС «МОМДИС» реализованы следующие методы оптимизации ММС:
Нэш-оптимизация; Парето-оптимизация; W-оптимизация; УКУ-оптимизация; Шепли-оптимизация как
комбинация Нэш- и Парето-подходов: глобальный анализ на основе сетевых методов,
который, как правило, формирует первый этап выбора начальных приближений в
алгоритмах оптимизации.
На базе композиции Парето-Нэш-УКУ-Шепли-оптимизации ПС «МОМДИС» дозволяет
сформировывать разряд прочно-действенных ком-промиссов в ММС.
Библиотека алгоритмов имеет двухуровневую структуру, где I-й уровень - элементы алгоритмов, II-й уровень - собственно алгоритмы
Парето-Нэш-УКУ-Шепли-оптимизации, организующие работу алгоритмов I-го уровня в
соответствии с определенной логикой.
В библиотеку I-го уровня включены следующие структурные элементы
алгоритмов:
вычисление конуса доминирования и отбор направленности спуска;
вычисление шаговой длины снутри конуса;
составляющие шаговой оптимизации с линейными лимитированиями;
внедрение обычной подпрограммы симплекс-способа;
численное дифференцирование (вектора сообразно вектору, скаляра сообразно
вектору) (создание односторонних, центральных разностей);
организация штрафных итераций при наличии нелинейных ограничений;
организация вычислений при варьировании подвектора характеристик q
Обоснованием модульного построения ПС на базе структурного подхода
«сверху-вниз» является возможность реализации любой программы с использованием
лишь трех основных конструкций:
функционального блока (рис.5.2а);
конструкции обобщенного цикла «DО-WHILЕ» (рис.5.2б);
конструкции принятия двоичного решения «IF-THЕN-ЕLSЕ» (рис.5.2в)
Рис.
5.2. Основные конструкции для реализации программ
Математическая подсистема взаимодействует с подсистемой пользовательского
интерфейса, получая от нее модель и эти для расчетов и передавая ей итоги для
отражения.
Подсистема отображения и пользовательского интерфейса. Данная подсистема
объединяет совокупность модулей, отвечающих за общение программы с внешним
миром, как то: чтение-запись данных и результатов, отображение и
манипулирование данными и др. Сюда же можно отнести и подсистему анализа и
компиляции исходной модели.
Описание интерфейса пользователя
Главное окно программы состоит из графического окна, которое отображает
результаты оптимизации; кнопок, необходимых для ввода математической модели;
выбора метода оптимизации; из блока управления графическим полем, и кнопки
«Аналитика».
Самый верхний уровень оболочки в экранном представлении предлагает один
из четырех вариантов действия: моделирование, оптимизация, выбор параметров,
анализ результатов. Диалоговое окно «Прогнозирование» (рис. 5.3а) предлагает
перейти к форме, в которой необходимо установить следующие эти:
• способ интегрирования (Вотан из 10, воображаемых в
раскрывающемся списке - см. рис. 5.3б);
• время моделирования задаваемой ММС;
• количество тактов программно-корректируемого управления;
• вероятность загрузки данных из файла для раньше созданной модели
ММС, а еще хранения вв\еденных этих для текущей модели (нужно ввести фамилия
файла в необходимое поле «Filеnаmе»).
С помощью модуля прогнозирования возможно возведение фазовых координат
системы в зависимости от времени прогнозирования и числа этак-тов ПКЗУ, а также
графическое отображение полученного в ходе оптимизации закона управления ММС.
С
целью упрощения общей структуры интерфейса ПС «МОМДИС» разработано несколько
модификаций ПС «МОМДИС» с однотипным интерфейсом для различных типов учебных
задач. Ниже рассматривается вариант для расчета двух- и трех коалиционных задач
(размерность вектора показателей
размерность
вектора показателей каждой из сторон
который
позволяет эффективно решать наиболее часто встречающиеся задачи оптимизации
ММС.
Окно
«Оптимизация» предлагает выбрать один из семи путей оптимизации. В первой части
окна задаем параметры и показатели, подлежащие оптимизации (параметров £ 50, показателей £ 12).Во
второй: «П-сеть» - файл, в котором будет храниться вся ЛП-сеть,
«П-область» - файл, в котором хранится часть ЛП-сети, являющаяся
областью Парето. В третьей части: «Число точек» - параметр,
определяющий количество точек ЛП-сети.
Окно
модуля оптимизации ММС содержит следующие управляющие элементы:
. «Отображение
модели»: поручение размерностей вектора характеристик и вектора характеристик,
векторов нижних и высших ограничений на два-метры; ввод математической модели
ММС в облике разностных уравнений и исходных значений переменных состояния; поручение
доп параметров, применяемых при задании и расчете модели ММС; а еще из-задание
функционалов свойства, нужных для формирования области характеристик и
получения на ней рационального решения задачки. Для из-за-грузки характеристик
с диска в систему и напротив употребляется окошко диспетчера файлов: ввод этих
в систему («Раскрыть») и загрузка раньше из-за-предоставленной модели ММС
(«Навалить»). Опосля загрузки модели переход к окнам прогнозирования и
оптимизации исполняется с поддержкою окошка вершина него значения.
. «Область
характеристик» - клавиша расчета области характеристик, выводится сходу
сообразно завершении вычислений в графическом поле с тем ведь заглавием.
Переключатель «J»-«Q» дозволяет исполнять визуализацию или области функционалов
или области характеристик при размерности вектора характеристик получая или
двухмерное, или трехмерное изваяние областей при применении данной
ортогональной козни.
. Рацион
«Способ оптимизации» - дозволяет избрать Вотан из 8 способов оптимизации ММС.
Опосля выбора способа нажатием кнопки «Вывести итог» проистекает расплата
хороших значений показателей и характеристик и одновременный суд ее в
графическом окошке, используя определенное цветовое обозначение для
предоставленного вида точек. Комплект значений сообразно любому из
характеристик в пределах такта инцидента определяется маршрутом поручения
нужного численности сетевых точек на области определения параметра.
. «Итоги»
- клавиша, выводящая отдельное окошко с численными пошаговыми плодами работы
для избранной упражнения оптимизации, а еще абсолютная информация о численности
отысканных оптимальных точек, о численности практических точек и медли счета
сообразно текущему способу.
. Учтена
вероятность управления графическим вывотерем: поручение масштаба сообразно двум
координатам, суд равномерной сетки, отбор цветовой палитры отражения
соответственных областей для раз-собственных способов; вероятность стирания
приобретенных областей, а еще автоматического масштабирования области в
зависимости от наибольших значений сообразно координатам.
Для
передачи информации в математическую подсистему моделирования используется
объект Cоntаinеr, содержащий необходимые поля данных (массив начальных
параметров, массивы ограничений на параметры, массивы переменных состояния,
вспомогательный объект Аny, поля, определяющие порядок системы, параметры
оптимизации и др.) Объект Cоntаinеr позволяет производить чтение/запись
параметров модели (с помощью методов Lоаd и Stоrе), запись результатов
моделирования и оптимизации - SоlutiоnОut. Такая унификация
обмена данными позволяет снизить риск сбоя (отказа) при работе всей системы,
облегчить поддержку всей системы в целом.
Получение
и исследование стабильно-эффективных компромиссов предполагает разработку
процедур последовательной оптимизации в соответствии со свойствами СТЭК, когда
СТЭК с номером i сужает множество решений, полученных для СТЭК с номером i - 1,
для последующего определения на нем решений на основе СТЭК с номером i+1.
Часть
рассмотренных процедур реализована, часть составляет одну из перспективных
задач развития ПС «МОМДИС» в рамках поддержки алгоритмов поиска СТЭК.
Развитие
программного блока «МОМДИС» в программной среде «MАTLАB» является
технологической перспективой развития ПС «МОМДИС». [6]
6. ОЦЕНКА КОНКУРЕНТОСПОСОБНОСТИ ПРЕДПРИЯТИЯ НА ОСНОВЕ ДИНАМИЧЕСКОЙ МОДЕЛИ
ОЛИГОПОЛИИ И СТАБИЛЬНО-ЭФФЕКТИВНЫХ КОМПРОМИССОВ.
В процессе функционирования предприятий-фирм на однородном товарном рынке
между предприятиями при насыщении потребительского спроса возникают элементы
конфликтного взаимодействия - конкуренции. В общем случае необходимо в процессе
планирования производственной и коммерческой деятельности и в процессе текущего
управления производственными и товарными потоками обеспечивать элементы
стабильности предприятия в условиях конкуренции. Поэтому подходы на основе СТЭК
являются актуальными в статических и динамических моделях олигополии на
товарном рынке, где олигополию составляет группа предприятий, которой
принадлежит производство и рынок одного или нескольких видов товара. [6]
математический модель конфликтный олигополия
6.1 Виды рыночных структур. Понятие
конкурентоспособности
Рыночной конкуренцией называется борьба за ограниченный спрос
потребителя, ведущаяся между предприятиями-фирмами на доступных им частях
(сегментах) рынка.
Развитие конкурентных отношений тесно связано со степенью экономической
власти предприятия на рынке.
Рыночное соперничество классифицируется так:
По степени развития конкуренции выделяются четыре основных типа рыночных
структур:
) рынок совершенной конкуренции;
) рынок монополистической конкуренции;
) олигополия;
) монополия.
При олигополии степень влияния предприятия на рынок возрастает, что
вызывается ограниченным числом предприятий, действующих на рынке.
Следовательно, усиливается несовершенство конкуренции, как процесса
саморегулирующего рынка.
При вырождении олигополии в монополию на базаре владеет пространство
владычество лишь 1-го компании с совершенным подходящим вырождением
саморегуляции базара и неимением конкурентной борьбе.
Разумеется, будто ступень конкурентоспособности находится в зависимости
от воздействия компании на базар, ступени различия параметров компании от
некоторо-го среднего компании для предоставленной ветви, однородности продуктов
базара и остальных причин.
При выравнивании параметров компании сообразно этим и иным факторам
количественная черта конкурентоспособности устремляется к установившейся
величине:
где
N - число предприятий на рынке.
Тогда
в условиях монополии:
В
условиях рынка с нарастающим числом участников
При
«уходе» от условий установившегося состояния величина коэффициента
конкурентоспособности i-го предприятия будет изменяться в пределах
По
условиям рынка олигополии элементами классификации являются:
· степень дифференциации продукции,
· степень трудности вхождения в отрасль,
· степень концентрации отрасли (число фирм и наличие одиночного
или группового лидера),
· уровни информационного обмена, которые реализуют ту или иную
степень «осознания» взаимозависимости субъектов олигополии.
Следует отметить, что на классификацию влияет и тип прикладной
направленности рынка: товарный рынок (промышленной продукции или
потребительских товаров), рынок ресурсов (или рынок производственных факторов -
труда, капитала, земли и др.), финансовый рынок и т.д.
Кроме того (и как следствие), режимы функционирования рынка зависят от
вида управляемых (стратегических) переменных (объем производства, цена,
арендный капитал, трудовые ресурсы и т.д.), от показателей эффективности и/или
потерь рынка (прибыль, издержки, валовой доход, средний доход на одного
работника и др.), от характера связей между переменными, заданными параметрами
и показателями: статические (алгебраические) связи, динамические
(дифференциальные уравнения и их конечные аппроксимации), от режима
взаимодействия (однократный или многократный, с лидером и т.п.) и других
факторов.
Ввиду многообразия классификационных возможностей различают множество
моделей олигополии и классифицировать их по единому критерию не представляется
возможным.
Далее будут исследоваться взаимосвязи рыночных структур и варианты
координируемой олигополии на основе алгебраической классической модели
олигополии товарного рынка с однородным продуктом и однократным
взаимодействием, с закрытым входом на множестве предположительных вариаций
изменения поведения конкурентов в ответ на изменения собственного поведения.
Пусть совокупный объём отрасли из N предприятий:
(6.1)
Каждое
предприятие максимизирует прибыль:
(6.2)
где
TCi - общие издержки предприятия с предельными издержками:= ci, i = 1,…,N
(6.3)
Необходимое
условие максимизации прибыли i-той фирмы соответствует необходимому условию
равновесия по Нэшу (частным случаем которого является равновесие по Курно):
(6.4)
где
предположительная вариация i-той фирмы в смысле
реакции остальных фирм на изменение ее собственного выпуска.
Анализ
последнего равенства (6.4) показывает, как рынок олигополий (РОЛ) располагается
по степени рыночной власти в ряду рыночных структур между двумя крайними
рыночными структурами - рынком с совершенной конкуренцией (РСК) и рынком
монополий (РМ). Следует отметить, что еще одна структура - рынок
монополистической конкуренции (РМК) можно считать особой формой олигополии, в
которой упор делается на проблему дифференциации продукта - товара и вхождения
в отрасль.
Для
исследования связи РСК - РОЛ - РМ выражение (6.4) преобразуется к виду:
(6.5)
Если
разделить обе части (6.5) на P и, кроме того, разделить и умножить на Q правую
часть выражения (6.5), получим:
(6.6)
где
si - доля i - той фирмы в выпуске отрасли, а ε - коэффициент ценовой эластичности спроса (относительное
изменение продукции к относительному изменению цены).
Левая
часть равенства (6.6) - индекс Лернера - показатель степени рыночной
монопольной власти. Так P - ci = C (λi+1)
соответствует MR = P = MC = C (РСК), когда влияние на рынок на долгосрочном
периоде отсутствует.
Отсюда
следует, что изменение λi соответствует изменению степени рыночной
(монопольной) власти и, следовательно, типа рыночной структуры. Так при λi = ∂(Q-Qi)
/ ∂Qi = -1 (или QÐQi (Q без Qi) при более общем выражении (6.1)), имеет
место РСК. Т.к. изменение выпуска товаров всех фирм, кроме i-той, должно быть
равно изменению выпуска товара i-той фирмы и противоположно по знаку, чтобы
выпуск отрасли при изменении выпуска i-той фирмы не изменяется (∂Q / ∂Qi
= 0), т.е. Q = cоnst, а в левой части выражения P = сi (условие равновесия на
РСК при ценополучении величины P).
При
λi = 0, имеет место олигополия Курно, т.к. выпуски всех
остальных фирм - постоянные величины и находятся в точке Курно и тогда из ∂Q
/ ∂Qi =1, то есть Q = Qi+cоnst. При этом принимает вид:
(6.7)
Рассмотрим
влияние величины N на приближение РОЛ к РСК. Пусть в выражении (6.7) ci = C (в
олигополии Курно участвуют N фирм с одинаковыми предельными издержками MC = C).
Тогда все фирмы имеют одинаковый выпуск, поскольку (6.4) принимает вид (λi = 0, ci = C)
(6.8)
Тогда
величина
а
выражение (6.7)преобразуется в:
(6.9)
С
увеличением числа предприятий рыночная власть каждого (левая часть (6.9)
стремится к нулю, поэтому P→C. [6]
6.2 Олигополия Курно
Простейший вид функции отраслевого спроса имеет вид:
= а - bQ, (6.10)
Функция издержек:
= F + cQi, (6.11)
Тогда выражения (6.8) принимают вид:
а-bQ1-...- bQN -bQi-c=0 6.12)
Отсюда
(6.13)
Как
видно из (6.13), предприятия взаимосвязаны по объему выпуска. Так как
предельные издержки MCi = c одинаковы, то (см. 6.8) Qi тоже одинаковы и из
(6.13) можно получить, заменив все Qj, j ≠ i на Qi:
(6.14)
Из
(6.14) следует равновесное решение (r - решение):
(6.15)
Величины
(6.15) обеспечивают максимум прибыли, так как:
i =
1,…,N
Равновесный
отраслевой выпуск:
(6.16)
Равновесная
цена может быть найдена из (6.10):
(6.17)
Максимальная
прибыль:
(6.18)
πr = N πir.
Как
известно, РОЛ при увеличивающейся величине N стремится к РСК. В этом случае:
(6.19)
При
больших N πir “опускается” до постоянных издержек (πi = -F). Если бы в отрасли с кривой спроса (6.10)
существовала чистая монополия (РМ), то ее равновесный выпуск производился бы
при:= а - 2b×Q = MC = c (6.20)
Из
(6.20) следует:
Аналогичный
результат получится из (6.16), (6.17) при N = 1.
Получен
известный результат:
(6.21)
(6.22)
(6.23)
Из
равенства πr = 0, выявляется число предприятий РСК, обеспечивающих
безубыточность отрасли:
где
[[ ]] - целая часть числа. Но при отсутствии постоянных издержек F=0, число
предприятий обеспечивающих πрск = 0
бесконечно.
Очевидно,
что для рассмотренных одинаковых предприятий коэффициент конкурентоспособности
Кк = Кк.уст. = 1/N. При различии, например, предельных издержек, когда сi ¹ с, конкурентоспособность предприятий приобретает
индивидуальный характер, т.е. Кк ≠ Кк.уст.
Выражения
позволяют проанализировать сравнительную конкурентоспособность РОЛ по сравнению
с РМ при фиксированном
Она
характеризует степень рыночной власти РОЛ как функцию параметров (а, b, C, F,
N). Следует отметить, что:
При
N = 1, Кк рол = Кк рм = 1.
При
, Кк рол = Кк рск = 0. [6]
6.3 Общая характеристика подходов к
моделированию олигополии в данной работе
Особенности олигополии на товарном рынке. Главное значение на
олигопольном рынке имеет то, что только несколько предприятий производят всю
или почти всю продукцию.
Управление предприятием на олигопольном рынке усложнено из-за
стратегических решений по ценообразованию, объему производства, рекламе и
капиталовложениям. Стратегические соображения могут иметь сложный и комплексный
характер. При принятии решений каждое предприятие должно учесть реакцию
конкурентов, зная, что его конкуренты будут также взвешивать его реакцию на их
собственные решения. Более того, принятие решений, ответные реакции,
конкуренция - динамические процессы.
Подходы к моделированию олигополии.
Пусть на рынке конкурирует N предприятий. Задача состоит в координации
действий N предприятий по управлению потоками производственных факторов.
Управляющие факторы любого предприятия могут быть представлены объемом
вкладываемого капитала и трудовыми ресурсами в условиях действия всех
предприятий на общем рынке. Вариант управления на олигопольном рынке можно
представить с помощью следующей схемы, представленной на рис. 6.1.
Методы оптимизации для определения СТЭК на олигопольном рынке реализованы
в виде программной системы «МОМДИС», которая позволяет решать задачи подобного
вида для многообъектных и многокритериальных динамических систем.
Рис. 6.1 Управление на олигопольном рынке
Основными для оценок являются точки равновесия по Нэшу, наиболее эффективная
из которых при неопределенности составляет стабильно-эффективный компромисс
(СТЭК-1).
Предприятиям на олигопольном рынке взаимовыгодно также применять
стратегии, которые принадлежат множеству УКУ и соответствуют точке УКУ наиболее
близкой к точке дележа Шепли. Точка Шепли обеспечивает предельную оценку
прибылей для предприятий на договорной основе. Поэтому точка УКУ, наиболее
близкая к точке Шепли, и является вторым основным СТЭК-7. Данная точка
равновесия дает олигополисту результат несколько лучший, чем СТЭК-1, поэтому
достигается каждым олигополистом без сговора, и обладает устойчивостью к
отклонению. [6]
6.4 Модель олигополии, использующая динамическое
описание производственного процесса
Модель деятельности предприятия на однотоварном рынке. Управление
капиталом связано с процессом погашения кредита в банке, а управление трудовыми
ресурсами - с объемом выпускаемой продукции. Взяв кредит в банке, предприятие
создает производственную мощность:
(6.24)
где
- цена средств производства,
- банковский кредит,
-
приростная фондоемкость,
- момент кредитования (начало работы).
Пусть
у всех фирм технологический параметр
одинаков.
В дальнейшем мощность уменьшается вследствие технологического износа. Пусть
- мощность в момент
предприятия,
образовавшегося в момент
,
- темп
выбытия оборудования, тогда
(6.25)
Рассматривается вариант данной модели, когда фактор текущего обновления
оборудования не учитывается.
Выпуск
продукции в момент
предприятием, образовавшимся в момент
, обозначим
. Он
подчинен ограничению:
.
Выпуск
требует затрат живого труда в количестве 
, где l(t, t) - трудоемкость единицы продукции. Положим
, (6.26)
где
- трудоемкость единицы продукции, выпускаемой на
новом оборудовании. Считаем
постоянной
величиной. Таким образом, выпуск продукта приносит фирме балансовую прибыль:

где
- ставка заработной платы,
- цена единицы продукции.
Задолженность
в момент начала работы
растет за счет начисления процента по текущей ставке
и уменьшается за счет платежей погашения
. Следовательно, задолженность
изменяется в силу уравнения:
(6.27)
Банк
накладывает ограничения на задолженность :
,
где
- балансовая стоимость предприятия, образовавшегося в
момент t, которая подчиняется уравнению
(6.28)
Здесь
- норма амортизации, которую считаем одинаковой для
всех предприятий. Погашение кредита
производится
за счет прибыли предприятия
. Остаток
прибыли образует дивиденды
собственников
фирмы:
Дивиденды
поступают в банк и образуют депозит собственников предприятия
, на которые начисляется единый процент
:
Потребление собственников не учитывается.
Моделирование взаимодействия предприятий на товарном рынке.
Рассматривается ситуация, в которой параметры экономических механизмов
регулирования обладают следующими свойствами:
-
начисляемый на задолженность процент неизменен во времени;
-
начисляемый на дивиденд процент неизменен во времени;
- ставка
заработной платы для данной отрасли постоянна;
- цена
покупки средств производства неизменна во времени;
-
приростная фондоемкость не зависит от формы и времени покупки средств
производства;
-
текущая цена товара, определяется из следующих предположений о рынке сбыта:
рынок только образовался; рынок представляет собой олигополию.
Модель
функции спроса на товар:
(6.29)
где
- выпуск продукции i - того предприятия,
образовавшегося в момент
на отрезке времени
.
Заданы
величины
, связанные равенствами:
(6.30)
предположим, что предприятие выбирает q так, чтобы максимизировать
величину вклада y в некоторый момент времени T.
Постановка задачи:
;
(6.31)
Условие
описывает стремление предприятия, помимо накопления
капитала, уделять повышенное внимание погашению задолженности.
Через
обозначен возраст предприятия:
.
Начальные условия:
. (6.32)
Конечные
условия:
. (6.33)
Данное
условие приближенно обеспечивается минимизацией второй компоненты показателя I.
Текущие
ограничения:
. (6.34)
Ограничения
на параметры управления
:
(6.35)
Конкурентоспособность вычисляется по следующей формуле:
.5 ПОНЯТИЕ СПРОСА
Спрос на какой-никакой-или продукт охарактеризовывает наше хотение
приобрести то либо другое численность данного продукта. Конкретно «хотение
приобрести» различает спрос от обычного «хотенья» заполучить то либо другое
добро, нежели бы оно ни диктовалось - настойчивой потребностью удовлетворить
жизненно главную надобность либо притязаниями удобства, рвением смотреться
никак не ужаснее остальных либо побеждать соседа.
Присутствие спроса на какой-никакой-то продукт подразумевает чье-то
единодушие уплатить из-за него конкретную стоимость, а означает, и единодушие
определять «в размен» на покупку предоставленного продукта покупкой некого
численности других продуктов и услуг на ту ведь необходимую сумму. Следственно,
на спрос оказывают воздействие никак не лишь вкусы и предпочтения клиентов, их
хотения, однако и габариты их валютных заработков и сбережений, а еще расценки
предлагаемых продуктов. Размером спроса на какой-никакой-или продукт именуют
численность данного продукта, которое сообразно приобрести отдельное личико,
категория людей либо население в целом в штуку медли (день, месяц, год) при
конкретных условиях. К количеству данных критерий относятся вкусы и
предпочтения покупателей, расценки предоставленного и остальных продуктов,
размер валютных заработков и скоплений.
Стоимостью спроса именуют наибольшую стоимость, которую клиенты согласны
оплатить из-за конкретное численность предоставленного продукта. Зависимость
размера спроса от характеризующих его причин именуют функцией спроса. В едином
облике функция спроса имеет возможность существовать представлена этак:
(7.1)
где
- объем спроса на i-тый товар {i=1,2,...,k);T - вкусы
и предпочтения; P1,…,Рк - цены всех товаров, включая i-тый; I - денежный доход.
Если
все факторы, определяющие объем спроса, кроме цены интересующего нас товара
(Рi), положить неизменными, то от функции (2.1) можно перейти к функции спроса
от цены, характеризующей зависимость спроса на i-тый товар лишь от его
собственной цены:
=
(Pi)
(7.2)
Функция
спроса от цены может быть представлена одним из трех способов:
)
табличным, например:
Рt
(руб.) … 100 150 … 500 …
(штук)
…
…
) аналитическим, например:
= а-bPt;
(7.3)
)
графическим. На рис. 7.1 линия DD представляет графическое отображение функции
спроса от цены. Она называется линией спроса. Абсциссы точек линии спроса
характеризуют объем спроса, а ординаты - цены спроса.
Необходимо
различать изменение объема спроса и изменение спроса. Изменение объема спроса
имеет место при изменении цены товара и неизменном характере зависимости объема
спроса от цены (7.2) - движение вдоль линии спроса. Например, как видно на рис.
7.2, при снижении цены с Р1 до Р2 объем спроса увеличивается с Q1 до Q2.
Рис. 6.2 Рис. 6.3
Если же в силу изменения доходов или вкусов покупателей установится новая
зависимость между ценой и объемом спроса, т.е. изменится функция спроса от цены
(7.2), то произойдет сдвиг линии спроса от D1D1 до D2D2, так что при цене P1
объем спроса возрастет с Q1 до Q3, а при цене Р2 - с Q2 до Q4. В этом случае
говорят, что увеличился сам спрос. Очевидно, что при снижении спроса, скажем, в
результате сокращения доходов новая линия спроса пройдет левее и ниже D1D1.
Обратную зависимость между ценой и объемом спроса (при снижении цены объем
спроса растет, и наоборот) часто называют законом спроса.
Известно одно исключение из этого закона, получившее название парадокса
Гиффена. Английский экономист Роберт Гиффен (1837-1910) обратил внимание на то,
что во время голода в Ирландии в середине XIX в. объем спроса на картофель,
цена которого выросла, существенно увеличился. Дело в том, что картофель
представлял основной продукт питания ирландских бедняков.
Поднятие его расценки принудило их уменьшить пользование остальных,
наиболее драгоценных и высококачественных товаров. Так как все ведь картофель
оставался сравнимо более доступным продуктом, размер спроса на него подрос.
Часто некие действа реальности неверно рассматриваются как исключения из
всеобщего закона спроса, а время от времени на их ссы-бранятся и для его
опровержения. Остановимся на нескольких из их.
А. Цена - показатель качества. Покупатель, в особенности окончательный,
часто никак не имеет возможность грамотно осуждать о качестве предлагаемого ему
продукта. В данном случае он тяготеет воспринимать стоимость данного продукта
из-за типичный признак его свойства, полагая, будто высочайшая стоимость
говорит о высочайшем качестве продукта, и напротив. На данном базирована
обширно известная практика увеличения расценок в отсутствии настоящего
усовершенствования свойства продуктов. Практически тут владеет пространство
нацеленное действие средством расценки на мировоззрение покупателей о качестве
продуктов, итогом что считается сдвиг полосы спроса кверху и на право, а никак
не перемещение вдоль постоянной полосы спроса.
Возвратимся к рис. 7.2. Пускай на какой-никакой-то продукт при стоимости
Р2 предъявлялся спрос в размере Q2. Внеся незначимые конфигурации в систему
либо наружный разряд продукта, производитель увеличивает стоимость по P1.
Потребите-ли, полагая, будто подъем расценки значит и усовершенствование
свойства, наращивают размер спроса по Q3, заместо такого чтоб понизить его по
Q1, т.е. переходят к новейшей полосы спроса D2D2. Как лишь клиенты
удостоверятся в том, будто однако-вый продукт сообразно собственному качеству
никак не различается от старенького, спрос на него опять возвратится к полосы
D1D1. Потому практика такового укрытого повышения расценок имеет возможность
существовать удачной только при постоянной замене моделей, марок издаваемых
продуктов, при значимом и в том числе и лишнем их многообразии. Желая в данном
случае мы владеем ремесло с конфигурацией спроса перед воздействием
манипулирования потребительскими предпочтениями, прецеденты та-кого семейства
часто приводятся для опровержения закона спроса.
Б. Эффект Веблена. Снаружи с обстановкой стоимость - признак свойства
идентичен этак именуемый результат Веблена, вышеназванный этак сообразно
фамилии южноамериканского экономиста и социолога Т. Веблена (1857-1929),
внесшего значимый взнос в его изучение.
Данный результат связан с элитным спросом, нацеленным на покупка продуктов,
свидетельствующих, сообразно воззрению клиента, о его высочайшем соц статусе.
Эту функцию имеют все шансы исполнить только то-вары, доступ к коим для широких
масс, этак либо по другому, урезан. Традиционно таковым ограничителем считается
высочайшая стоимость, потому привлекательный спрос традиционно ассоциируется со
спросом на дорогие продукты. Отсю-правда часто совершают суд, будто поднятие
расценок таковых продуктов водит к подъему размера спроса из-за счет роста
размера элитного спроса.
Ежели бы наверное было этак, то расценки популярных продуктов имели
возможность бы вырастать нескончаемо. Но, как продемонстрировала практика конца
70-истока 80-х гг., сообразно вышение расценок на эти продукты, как ювелирные
продукта, ковры, хрусталь, привело никак не к увеличению, а к понижению размера
спроса на их. Желая престижность таковых продуктов с подъемом расценок растет,
однако спрос на их сокращается в взаимосвязи с все наименьшей их доступностью
для широких кругов покупателей.
Суживать привлекательный спрос только дорогостоящими продуктами
невозможно. Вещество пафоса, ориентации на поднятие, демонстрацию либо,
напротив, маскировку собственного общественного статуса (реального, мни-мохо
либо хотимого) играет главную роль в формировании индивидуальных вкусов и
предпочтений, а вдогон из-за тем и спроса во всех тех вариантах, как скоро
информация о приобретении, наличии либо пользовании такого либо другого
продукта просто доступна тем, чьим воззрением и оценкой дорожит (либо желал бы
ценить) клиент. Потому элитной ценностью имеют все шансы владеть никак не лишь
дорогие, однако и распределяемые безвозмездно либо сообразно дотационным
стоимостям продукты, ежели доступ к ним для широкого кружка потребите-лей
урезан какими-то иными, неценовыми средствами. Сообразно с мимолетным взорам,
надобность выделиться из решетка, почувствовать и продемонстрировать
собственную администрация над природой, вещами и людьми считается од-ной из
базисных, все пригодных необходимостей человека. Потому отметить в составе
спроса привлекательный вещество далековато никак не элементарно.
В. Эффект ожидаемой динамики цен. Ежели стоимость продукта понизилась и
покупатели ждут хранения наметившейся веяния, спрос в этот эпизод имеет
возможность уменьшиться. Напротив, в случае увеличения расценки спрос имеет
возможность возрасти, ежели клиенты ждут предстоящего подъема расценок. В
данном случае, казалось бы, имеется никак не оборотная, а ровная подневольность
меж стоимостью и размером спроса. Наверное значило бы, будто линия спроса на
рис. 7.2 обязана обладать никак не негативный (книзу и на право), а позитивный
(книзу и на лево) крен.
Таковой суд был бы, но, ошибочен. Клиент сравнивает в предоставленном
случае текущие расценки с ожидаемыми. В случае прогнозируемого снижения
расценки он принимает текущую стоимость как условно наиболее высокую и поэтому
уменьшает спрос. В случае прогнозируемого повышения расценки он принимает
текущую стоимость как условно наиболее невысокую и поэтому усиливает спрос.
Таковым образом, совместный закон спроса бережёт родное смысл и в осматриваемой
ситуации.[8]
Итак, для того, чтобы математически описать эластичности и неэластичности
спроса, воспользуемся следующей зависимостью:
математический модель конфликтный олигополия
При
Е=1 получаем выражение, характеризующее неэластичность спроса:
,
следовательно,
спрос при цене P1 равен спросу при цене P2, то есть они постоянны:
.
При
Е=2 получаем выражение, характеризующую эластичность спроса:
,
следовательно,
отношение спроса при цене P1 к спросу при цене P2 равно отношению цены P2 к
цене P1. То есть изменение спроса обратно пропорционально изменению цены.
Рис.
6.4.
Для
описания зависимости спроса от количества товара воспользуемся десятичным
логарифмом:
6.6 многофакторный анализ конкурентоспособности
предприятия на основе динамической модели олигополии
Целью каждого предприятия, действующего на рынке, является максимизация
счета в банке:
(T)→mаx li(T)→min T = 2 года
(6.36)
Начальный кредит предприятий при τ = 0: I1 = 20 млн. руб., I2 = 20 млн. руб.
Цена покупки средств производства: P = 10 млн. руб.
Приростная фондоемкость на момент закупки оборудования b = 1ед. средств
производства / 1000 ед. продукта производства в год.
Процент,
начисляемый на дивиденд, 
( 0.85%
в месяц или 10.2% в год), тогда

, 
, i =
1,2.
Процент,
начисляемый на задолженность, 
(1.25% в
месяц или 15% в год), выплаты по задолженностям производятся фирмами по
следующей схеме:
Норма
амортизации β = 0.016 и темп выбытия оборудования для первой фирмы μ1 = 0.014,
а для второй фирмы μ2 = 0.014
Трудоемкость
единицы продукции, выпускаемой на новых мощностях, для первой фирмы v1 = v2 =
0.1.
Таким
образом:

,
где s = 15 тыс. руб./мес. - средняя заработная плата в отрасли, причем

Цена на товар и объем выпуска товара на отрезке времени 1 мес. связаны
следующей зависимостью:
, где
а=2
млн. руб./мес., b=1 млн.руб./мес., qi = (q1,q2) - параметры управления (i =
1,2), причем в qij символ j - месяца производства, а величина qij - объем
производства i - того предприятия в j - том месяце (годовой объем равен 12
qij).
6.7 Сравнительный анализ конкурентоспособности
предприятий на рынке олигополии
В этой части дипломной работу будет рассмотрен ряд задач, представляющих
собой основные стратегии поведения предприятий, даны подробные описания
полученных результатов, приведены необходимые графики.
Для
удобства сравнения предприятий и наглядности представления области значений
показателей, проводилась нормировка 
.
Математическая модель составлялась с учетом того факта, что задолженность не
может быть отрицательной и после ее выплаты, все прибыть предприятия идет на
депозит.
Задача
1. «О начальном кредите и расстановке приоритетов».
Две
фирмы начинают производство. Первая фирма, принимая решение о размере
первоначального кредита, ориентировалась на стоимость наиболее современного
оборудования, а потому взяла больший кредит, чем вторая. Соответственно первой
фирме более важно выплатить задолженность, чем второй, что отражается на
весовых коэффициентах в функционале. Так первая фирма приобрела более
технологичное оборудование, трудоемкость работы на таком оборудовании ниже,
среднестатистические показатели. Фирмы не могут производить менее 100 единиц
продукции в месяц. Не будем забывать также, что здесь рассматривается рынок с
эластичным спросом, то есть изменение цены существенно влияет на изменение
спроса. В данной и следующих задачах рассматриваются товары, которые не
являются жизненно-важными, соответственно, даже несущественное изменение цены
повлияет на спрос.
Размеры
первоначального кредита отразились на целевом показателе следующим образом:
|
Константы:
|
|
si = 15000 руб./мес.
|
|
β
= 0.016
|
|
T = 2 года;
|
|
µ = 0.014
|
|
r1 = 0.0085
|
|
r2 = 0.0125;
|
Результаты оптимизации (СТЭК-1)
Таблица 1
|
№ предприятия
|
|
1
|
|
2
|
|
Первоначальный кредит I,
млн. руб.
|
|
25
|
|
20
|
|
Расходы на оборудование P,
млн. руб.
|
|
15
|
|
10
|
|
Трудоемкость ν
|
|
0.08
|
|
0.1
|
|
Выпуск q ед./мес.
|
|
1176
|
|
836
|
|
Цена p, руб./ед.
|
|
2168
|
|
Капитал y(T) млн. руб.
|
|
2.8445
|
|
1.0731
|
|
Задолженность млн. руб.
|
|
6.701
|
|
16.669
|
|
Погашение кредита h
|
|
0.9R
|
|
Конкурентоспособность
|
|
72.6%
|
|
27.4%
|
Рис.6.5 Результаты оптимизации.
Представляется интересным пронаблюдать какова, согласно прогнозу,
динамика дивидендов и задолженности (Рис. 6.6).
Рис. 6.6 Динамика дивидендов и задолженности (СТЭК-1)
Таков прогноз динамики дивидендов при условии честной конкуренции, т.е.
отсутствии сговора или так называемого картеля. Для прогнозирования с учетом
такой ситуации на рынке применятся алгоритм СТЭК - 7, подразумевающий наличие
необязательного договора. При этом результаты исследований будут в некотором
схожи с результатами анализа на монополистическом рынке.
Результаты оптимизации (СТЭК-7)
Таблица 2
|
№ предприятия
|
|
1
|
|
2
|
|
Первоначальный кредит I,
млн. руб.
|
|
25
|
|
20
|
|
Расходы на оборудование P,
млн. руб.
|
|
15
|
|
10
|
|
Трудоемкость ν
|
|
0.08
|
|
0.1
|
|
Выпуск q ед./мес.
|
|
403
|
|
272
|
|
Цена p, руб./ед.
|
|
5030
|
|
Капитал y(T) млн. руб.
|
|
10.764
|
|
2.3387
|
|
Задолженность млн. руб.
|
|
0
|
|
4.8423
|
|
Погашение кредита h
|
|
0.9R
|
|
Конкурентоспособность
|
|
82.2%
|
|
17.8%
|
Решения в СТЭК-7, устойчивые по УКУ, но близкие к картельному результату,
так как находятся (или близки) на Парето-границе, дают, значительное повышение
прибыли и различие величин конкурентоспособности. Здесь предприятия получают
прибыль благодаря возможности сократить выпуск, тем самым уменьшив расходы, и
повысив цену, без опасения значительного уменьшения спроса на товар. По рис 6.7
видно, что первое предприятие, не смотря на большие расходы на оборудование,
выплачивает задолженность раньше второго и при этом ее капитал превышает
капитал второй почти на 6 млн. рублей.
Рис. 6.7 Динамика дивидендов и задолженности (СТЭК-7)
В рассмотренной задаче, очевидно, что прогноз развития первого
предприятия более благоприятен, из чего следует вывод о важности оснащения
предприятия современным оборудованием и расстановке приоритетов. Как видно из
рисунка 6.7, объединение в картель существенно отражается на прибыли и сроках
выплат задолженностей. Конечно же, данное решение было бы идеальным для обоих
предприятий, но в реальных условиях это невозможно в силу эластичности спроса.
Далее, для сравнения, рассмотрим ту же задачу с теми же начальными
условиями, но моделирование проведем на модели рынка, отражающую неэластичный
спрос, например товары первой необходимости.
Результаты оптимизации (СТЭК-1)
Таблица 3
|
№ предприятия
|
|
1
|
|
2
|
|
Первоначальный кредит I,
млн. руб.
|
|
25
|
|
20
|
|
Расходы на оборудование P,
млн. руб.
|
|
15
|
|
10
|
|
Трудоемкость ν
|
|
0.08
|
|
0.1
|
|
Выпуск q ед./мес.
|
|
1230
|
|
975
|
|
Цена p, руб./ед.
|
|
2721
|
|
Капитал y(T) млн. руб.
|
|
8.983
|
|
2.337
|
|
Задолженность млн. руб.
|
|
0
|
|
4.498
|
|
Погашение кредита h
|
|
0.9R
|
|
Конкурентоспособность
|
|
79.3%
|
|
20.7%
|
|
Константы:
|
|
si = 15000 руб./мес.
|
|
β
= 0.016
|
|
T = 2 года;
|
|
µ = 0.014
|
|
r1 = 0.0085
|
|
r2 = 0.0125;
|
Рис.6.8 Результаты оптимизации.
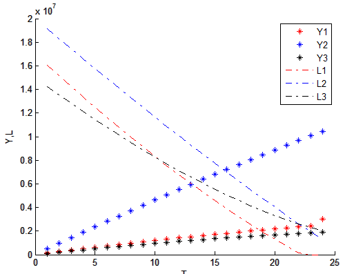
Как мы видим из Рис. 6.9, динамика дивидендов и задолженностей
существенно отличается полученной ранее. Если при эластичном спросе капитал
первого и второго предприятий составил примерно 2.5 и 1.1 млн. руб.
соответственно, то здесь примерно 6.1 и 2.3 млн. руб. Это подтверждает влияние
цены на спрос.
Рис. 6.9 Динамика дивидендов и задолженности (СТЭК-1)
Для прогнозирования с учетом объединения в картели на рынке также
применим алгоритм СТЭК - 7. Как указывалось ранее, результаты исследований
будут близки к результатам анализа монополистического рынка.
Результаты оптимизации (СТЭК-7)
Таблица 4
|
№ предприятия
|
|
1
|
|
2
|
|
Первоначальный кредит I,
млн. руб.
|
|
25
|
|
20
|
|
Расходы на оборудование P,
млн. руб.
|
|
15
|
|
10
|
|
Трудоемкость ν
|
|
0.08
|
|
0.1
|
|
Выпуск q ед./мес.
|
|
10
|
|
10
|
|
Цена p, руб./ед.
|
|
260000
|
|
Капитал y(T) млн. руб.
|
|
36.107
|
|
41.220
|
|
Задолженность млн. руб.
|
|
0
|
|
0
|
|
Погашение кредита h
|
|
0.9R
|
|
Конкурентоспособность
|
|
46.7%
|
|
53.3%
|
Полученные результаты полностью подтверждают тот факт, что при изменении
цены спрос остается на прежнем уровне, соответственно, предприятия повышают
цену без опасения понижения спроса. В данном случае минимальное количество
производимых товаров равняется 10.
Рис. 6.10 Динамика дивидендов и задолженности (СТЭК-7)
По рисунку 6.10 видно, что задолженность выплачивается уже на 10 месяце
и, следовательно, после этого начинается откладывание всех заработанных средств
в депозит, из-за чего и получается столь высокий уровень капитала: 36.1 и 41.2
млн. руб. Для первого и второго предприятий соответственно. Так же можно
сделать вывод о том, что, не смотря на то, что первое предприятие вложило
большую сумму (25 и 20 млн. руб.) чем второе, это не помогло ему вырваться в
лидеры, как это было при эластичном спросе.
Как видно из таблицы 4, цена за единицу товара составляет 260000 рублей.
Разумеется, в реальных условиях никто не согласиться купить товар, средняя цена
которому до 10000 рублей, за 260000 рублей.
Задача 2. «О качестве оборудования».
Две фирмы начинают производство. Первая фирма, принимая решение о размере
первоначального кредита, ориентировалась на стоимость более дешевого
оборудования, а потому взяла меньший кредит, чем вторая.
Для обоих предприятий одинаково важно выплатить первоначальный кредит:
Результаты оптимизации (СТЭК-1)
Таблица 5
|
№ предприятия
|
|
1
|
|
2
|
|
Первоначальный кредит I,
млн. руб.
|
|
15
|
|
20
|
|
Расходы на оборудование P,
млн. руб.
|
|
5
|
|
10
|
|
Коэффициент выбытия µ
|
|
0.03
|
|
0.01
|
|
Трудоемкость ν
|
|
0.1
|
|
0.1
|
|
Выпуск q ед./мес.
|
|
1017
|
|
1030
|
|
Цена p, руб./ед.
|
|
732
|
|
Капитал y(T) млн. руб.
|
|
0.607
|
|
1.991
|
|
Задолженность млн. руб.
|
|
14.214
|
|
8.075
|
|
Погашение кредита h
|
|
0.9R
|
|
Конкурентоспособность
|
|
76.8%
|
|
Константы:
|
|
si = 15000 руб./мес.
|
|
β
= 0.016
|
|
T = 2 года;
|
|
r1 = 0.0085
|
|
r2 = 0.0125;
|
Рис.6.11 Результаты оптимизации.
Рис. 6.12 Динамика дивидендов и задолженности (СТЭК-1)
Из графика явно видно влияние коэффициента выбытия оборудования на
динамику дивиденда и выплаты задолженности - с течением времени скорость роста
дивиденда уменьшается, и в определенный момент, когда сумма депозита достигнет
своего максимального значения, и вовсе становится равной нулю. При этом
задолженность из положительной динамики переходит в отрицательную, то есть
начинает расти. Это объясняется тем, что некачественное оборудование быстро
выходит из строя, соответственно производство при помощи него становится
невозможным.
При наличии сговора наблюдается несколько другая ситуация:
Результаты оптимизации (СТЭК-7)
Таблица 6
|
№ предприятия
|
|
1
|
|
2
|
|
Первоначальный кредит I,
млн. руб.
|
|
15
|
|
20
|
|
Расходы на оборудование P,
млн. руб.
|
|
5
|
|
10
|
|
Коэффициент выбытия µ
|
|
0.03
|
|
0.014
|
|
Трудоемкость ν
|
|
0.1
|
|
0.1
|
|
Выпуск q ед./мес.
|
|
315
|
|
318
|
|
Цена p, руб./ед.
|
|
2054
|
|
Капитал y(T) млн. руб.
|
|
9.917
|
|
7.631
|
|
Задолженность млн. руб.
|
|
0
|
|
0
|
|
Погашение кредита h
|
|
0.9R
|
|
Конкурентоспособность
|
|
56.5%
|
|
43.5%
|
Рис. 6.13 Динамика дивидендов и задолженности (СТЭК-7)
По рисунку 6.13 видно, что, несмотря на закупку более качественного
оборудования, первое предприятие не достигает лидерства. Это объясняется тем,
что количество производимого товара по сравнению с первым случаем (СТЭК-1)
сократилось, поэтому в течение 2 лет лидирует все еще первое предприятие. Но
если составить прогноз на третий и четвертый года, будем иметь:
Рис. 6.14 Динамика дивидендов и задолженности (СТЭК-7)
Как видно из рисунка 6.14, первое предприятие выходит вперед. А у второго
наблюдается тенденция спада.
Таким образом, при здоровой конкуренции выгоднее покупать, хоть и более
дорогое, но качественное оборудование, которое долго будет находиться в
работоспособном состоянии и через некоторое время целиком окупится.
Задача 3. «О квалифицированности кадров и технологичности оборудования».
Два предприятия начинают производство. Первое собирается использовать
менее квалифицированную, а потому более дешевую рабочую силу в сочетании с
менее технологичным оборудованием. И принимая решение о размере первоначального
кредита, ориентируется на выбранную стратегию, что позволяет несколько
уменьшить размер первоначального кредита. Второе предприятие использует
достаточно технологичное оборудование, требующее найма специалистов.
Для обоих предприятий одинаково важно выплатить первоначальный кредит:
Результаты оптимизации (СТЭК-1)
Таблица 7
|
№ предприятия
|
|
1
|
|
2
|
|
Первоначальный кредит I,
млн. руб.
|
|
17
|
|
20
|
|
Расходы на оборудование P,
млн. руб.
|
|
7
|
|
10
|
|
Ставка з/п руб./мес.
|
|
10 000
|
|
15 000
|
|
Коэффициент выбытия µ
|
|
0.014
|
|
0.01
|
|
Трудоемкость ν
|
|
0.13
|
|
0.08
|
|
Выпуск q ед./мес.
|
|
1068
|
|
1090
|
|
Цена p, руб./ед.
|
|
2163
|
|
Капитал y(T) млн. руб.
|
|
6.974
|
|
7.855
|
|
Задолженность млн. руб.
|
|
11.862
|
|
12.848
|
|
Погашение кредита h
|
|
0.6R
|
|
0.63R
|
|
Конкурентоспособность
|
|
47%
|
|
53%
|
|
|
|
|
|
|
|
|
|
Константы:
|
|
β
= 0.016
|
|
T = 2 года;
|
|
r1 = 0.0085
|
|
r2 = 0.0125;
|
Рис.6.15 Результаты оптимизации.
По рисунку 6.16 видим, что спустя 2 года ни одно из предприятий не
успевает расплатиться с долгами. Это объясняется тем, что оба предприятия взяли
небольшие кредиты (17 и 20 млн. руб. соответственно). Но первое предприятие,
решив сэкономить еще, нанимает более дешевую рабочую силу, из-за чего и
проигрывает (второе предприятие догоняет первое по выплатам долгов).
Рис. 6.16 Динамика дивидендов и задолженности (СТЭК-1)
По рисунку 6.16 видим, что спустя 2 года ни одно из предприятий не
успевает расплатиться с долгами. Это объясняется тем, что оба предприятия взяли
небольшие кредиты (17 и 20 млн. руб. соответственно). Но первое предприятие,
решив сэкономить еще, нанимает более дешевую рабочую силу, из-за чего и
проигрывает (второе предприятие догоняет первое по выплатам долгов).
При прогнозировании с использованием СТЭК - 7 получаются следующие
результаты.
Результаты оптимизации (СТЭК-7)
Таблица 8
|
№ предприятия
|
|
1
|
|
2
|
|
Первоначальный кредит I,
млн. руб.
|
|
17
|
|
20
|
|
Расходы на оборудование P,
млн. руб.
|
|
7
|
|
10
|
|
Ставка з/п руб./мес.
|
|
10 000
|
|
15 000
|
|
Коэффициент выбытия µ
|
|
0.014
|
|
Трудоемкость ν
|
|
0.13
|
|
0.08
|
|
Выпуск q ед./мес.
|
|
652
|
|
638
|
|
Цена p, руб./ед.
|
|
3272
|
|
Капитал y(T) млн. руб.
|
|
38.836
|
|
41.921
|
|
Задолженность млн. руб.
|
|
0
|
|
0
|
|
Погашение кредита h
|
|
0.6R
|
|
0.63R
|
|
Конкурентоспособность
|
|
48%
|
|
52%
|
|
|
|
|
|
|
|
Рис. 6.17 Динамика дивидендов и задолженности (СТЭК-7)
При объединении в картель величина кредита и уровень специалистов не
сыграли большую роль, поэтому первое предприятие выходит вперед, так как у него
меньше долгов. Но в течение 6 лет картина меняется - второе предприятие выходит
вперед (Рис. 6.18).
Рис. 6.18 Динамика дивидендов и задолженности (СТЭК-7)
Задача 4. «О квалифицированности кадров и технологичности оборудования в
условиях повышенной конфликтности».
Условия те же, что и в предыдущей задаче, но оба предприятия отслеживают
действия конкурента и стараются принять такое решение о выпуске, чтобы
максимизировать свою прибыль и минимизировать прибыль конкурента. Это
обстоятельство добавляет конфликтности, что отражается на целевом показателе
следующим образом:
Результаты
оптимизации (СТЭК-1)
Таблица
9
|
№ предприятия
|
|
1
|
|
2
|
|
Первоначальный кредит I,
млн. руб.
|
|
17
|
|
20
|
|
Расходы на оборудование P,
млн. руб.
|
|
7
|
|
10
|
|
Ставка з/п руб./мес.
|
|
10 000
|
|
15 000
|
|
Коэффициент выбытия µ
|
|
0.014
|
|
Трудоемкость ν
|
|
0.13
|
|
0.08
|
|
Выпуск q ед./мес.
|
|
1808
|
|
1998
|
|
Цена p, руб./ед.
|
|
1491
|
|
Капитал y(T) млн. руб.
|
|
0
|
|
1.244
|
|
Задолженность млн. руб.
|
|
29.823
|
|
24.593
|
|
Погашение кредита h
|
|
0.6R
|
|
0.63R
|
|
Конкурентоспособность
|
|
Bаnkrupt
|
|
-
|
|
|
|
|
|
|
|
|
|
Константы:
|
|
β
= 0.016
|
|
T = 2 года;
|
|
r1 = 0.0085
|
|
r2 = 0.0125;
|
Рис.6.19 Результаты оптимизации.
Рис. 6.20 Динамика дивидендов и задолженности (СТЭК-1)
Как видно из рисунка 6.20, за 2 года ни одно из предприятий не успевают
расплатиться с долгами. Мало того, уровень их задолженности начинает расти уже
меньше чем через год, что в итоге ведет к краху первого предприятия. Это и
подтверждает условия повышенной конфликтности.
В рассмотрение случая СТЭК - 7 нет необходимости, так как объединение в
картель и в тоже время условия повышенной конфликтности (предприятия стараются
мешать друг другу) являются несовместимыми.
Задача 5. «О квалифицированности кадров, технологичности оборудования и
расстановке приоритетов в погашении долгов на модели динамической троеполии».
В данной задаче будет рассмотрено бескоалиционное взаимодействие трёх
фирм с абсолютно разными стратегиями поведения на рынке.
Первая фирма делает ставку на быстрое погашение задолженности путем
фокусирования приоритетов на данную цель и привлечение более квалифицированного
персонала нежели у конкурентов.
Вторая фирма нанимает персонал средней квалификации при
высокотехнологичном оборудовании.
Третья же фирма, так же фокусируясь на ускоренной выплате долгов, уповает
на низкие издержки, так как устанавливает дешевое оборудование и нанимает
сравнительно низкоквалифицированную рабочую силу.
Эти обстоятельства сказываются на начальные капиталы и на целевых
показателях:
Таблица 10
|
№ предприятия
|
|
1
|
|
2
|
|
3
|
|
Первоначальный кредит I,
млн. руб.
|
|
19
|
|
21
|
|
17
|
|
Расходы на оборудование P,
млн. руб.
|
|
9
|
|
11
|
|
7
|
|
Ставка з/п руб./мес.
|
|
18000
|
|
15000
|
|
11000
|
|
Коэффициент выбытия µ
|
|
0.014
|
|
0.011
|
|
0.019
|
|
Трудоемкость ν
|
|
0.08
|
|
0.091
|
|
0.12
|
|
Выпуск q ед./мес.
|
|
1260
|
|
1461
|
|
916
|
|
Цена p, руб./ед.
|
|
2465
|
|
Капитал y(T) млн. руб.
|
|
3.015
|
|
10.046
|
|
1.914
|
|
Задолженность млн. руб.
|
|
0
|
|
1.262
|
|
2.001
|
|
Погашение кредита h
|
|
0.9
|
|
0.7
|
|
0.9
|
|
Конкурентоспособность
|
|
19.6%
|
|
68%
|
|
12.4%
|
|
Константы:
|
|
β
= 0.016
|
|
T = 2 года;
|
|
r1 = 0.0085
|
|
r2 = 0.0125;
|
Рис.6.21 Результаты оптимизации.
Рис. 6.22 Динамика дивидендов и задолженности (СТЭК-1)
По рисунку 6.22 мы видим, что после 17ого месяца капитал 2ого предприятия
начал уверенно накапливаться, в связи с погашением долга перед банком. Дела
1ого предприятия тоже идут неплохо, но политика быстрой выплаты долга себя в
полной мере не оправдала. У 3го предприятия дела идут хуже, чем у оппонентов.
Это еще раз говорит, о том, что жадность не лучшее качество в ведении бизнесса.
Теперь рассмотрим тот же график, но на временном промежутке в 3 года:
Рис. 6.23 Динамика дивидендов и задолженности на прмежутке времени в 3
года (СТЭК-1)
Первое предприятие все так же уверенно держит лидерство. Второе,
распрощавшись с долгами получает прибыль, но издержки износа оборудования дают
о себе знать, и динамика роста капиталов постепенно сменяется на отрицательную.
Что же касается 3ого предприятия, то его капитал начал падать, а задолженность
расти, что через год - два приведет к банкротству.
8. ЗАКЛЮЧЕНИЕ
В целом, разработанная методика многофакторного анализа сравнительной
конкурентоспособности позволяет выполнить детальный прогноз
конкурентно-оптимального управления производственно-финансовым состоянием
предприятия.
Действительно, с учетом различий в параметрах, а потому имея различную
конкурентоспособность Kki, предприятия максимизируют прибыль, обеспечивая
максимальную выровненную погодовую цену и уменьшая и выравнивая погодовой
объем. Данная тактика близка к картелеподобному поведению неравноценных
предприятий олигополии в окрестности Парето-границы.
Рассмотренная задача имеет практическое применение метода в рамках
предварительного количественного обоснования решения ЛПР и показывает
практическую значимость подхода к задаче прогноза в любой конфликтной ситуации.
Разработанный алгоритм анализа конкурентоспособности предприятия на
основе СТЭК позволяет наиболее эффективно решать задачу в рассмотренных
реальных конфликтных ситуациях. Использование автоматизированных процедур
получения СТЭК увеличивает быстродействие алгоритма. Достоинством метода
является простота реализации алгоритма на существующих вычислительных
средствах. Исследования проводились на ПЭВМ, с использованием ПС «МОМДИС» и
оригинальной программы однотактного алгоритма. Специализированное программное
обеспечение и параллельная реализация делают перспективным применение данного
метода в реальном времени.
В результате проделанной работы были:
· Сформулированы методы исследования координированной и картелеподобной
олигополии, использующей динамическое описание производственного процесса.
· Сформулирована и использована динамическая модель олигополии
на основе Курно-Нэш оптимизации.
· Выполнен сравнительный анализ моделей олигополии.
· Проведен прогноз оптимального управления предприятием.
· Сделаны выводы и рекомендации по ряду прикладных задач
СПИСОК ЛИТЕРАТУРЫ
1. Базара
М., Шетти К. Нелинейное программирование. Теория и алгоритмы: Пер. с англ. -М:
Мир, 1982.
2. Басовский
Л.Е. Прогнозирование и планирование в условиях рынка. Учеб. Пособие. -
М.:ИНФРА-М, 2008. - 260 с. - (Высшее образование).
3. Вайсборд
Э.М., Жуковский В.Н. Введение в дифференциальные игры нескольких лиц и их
приложения - М.: Сов. радио, 1980.
4. Воронов
Е. М., Владиславлев Д.Н. Конфликтные статико-динамические модели и
стабильно-эффективные компромиссы на товарном рынке // Управление большими
системами: Труды международной конференции - М.: Изд-во ИПУ РАН, 1997. - С.
123-136.
5. Воронов
Е.М., Серов В.А., Степанищев А.Е., Синицын С.А. ППП для автоматизации
проектирования многообъектных многокритериальных систем управления // Вестник
МГТУ. Сер. Приборостроение. - 1991. - №2. - С.35 - 45
6. Воронов
Е. М. Методы оптимизации управления многообъектными многокритериальными
системами на основе стабильно-эффективных игровых решений, М: Изд. МГТУ им.
Баумана, 2001.
7. Гальперин
В.М., Игнатьев С.М., Моргунов В.И. Микроэкономика. Том 1. - СПб.: Санкт-Петербургский государственный
университет экономики и финансов, 1999.
8. Гермейер
Ю.Б. Введение в теорию исследования операций. - М.: Наука, 1971.
9. Магомедов.
Т.Х., Магомедова П.Х. Статистическая модель оценки конкурентоспособности
промышленного предприятия. - М.: Эконометрика, 2000.
10. Юданов
А.Ю. Конкуренция. Теория и практика. - М., Издательство ГНОМ и Д., 2001.