Математическая модель многообъектной многокритериальной системы
1.
Общая характеристика теоретико-прикладного направления
С ростом информационной и структурно-целевой сложности
функционирования и проектирования управляемых систем все более важным
становится учет факторов несогласованности (конфликтности) и неопределенности
разного характера.
Развиваемые в наше время игровые подходы управления в
условиях конфликта являются главными в одном из классов задач ТОУ. Проблема
взаимодействия объектов появляется при прямом формировании многообъектной
модели конфликтной ситуации, при структуризации классической однообъектной и
однокритериальной задачи управления с формированием многообъектной
многокритериальной системы (ММС), а также при представлении сложной задачи и
системы многоуровневой структурой. Действительно, многоуровневая структура
сложной системы (рис. 1.1) позволяет выделять три вида систем: систему-объект;
систему, которую составляет горизонтальный ряд в общем случае равнозначных
объектов (ММС); полную иерархическую систему (ИС). Каждый вид данных систем
формирует свой «вклад» в задачи оптимизации. В рамках ММС формируется класс
задач оптимизации, в котором известные подходы оптимизации для обеспечения
эффективности объекта - вариационные подходы, принцип максимума, методы
динамического программирования и процедуры нелинейного программирования, -
существенно дополняются игровыми подходами с собственными принципами
оптимизации для обеспечения стабильного взаимодействия в ММС, которое
способствует достижению эффективности объекта и системы в целом в условиях
естественной несогласованности в ММС.
Рис. 1.1. Структура многоуровневой системы, классы задач
Методы решения в рамках этих принципов опираются на
многообъектность структуры, многокритериальности задач и свойствах конфликтного
взаимодействия объектов при проектировании и управлении ММС антагонистического,
бескоалиционного, коалиционного, кооперативного и комбинированного характера.
Создается достаточно полный набор методов оптимизации ММС как основа теории
оптимального управления ММС, которая занимает установленное промежуточное место
между классической теорией управления и теорией оптимизации решений в
многоуровневых системах. Поэтому разработка методов управления ММС, имеющих
свойства стабильности и эффективности в конфликте и обеспечивающих компромиссы
на тактической и информационной основе, является важной задачей теории
управления ММС.
Данный подход является довольно универсальным при управлении
и планировании в условиях неопределенности. Есть следующая классификация
неопределенных факторов:
·
неопределенные
факторы из-за недостаточной изученности каких-либо процессов функционирования
объекта-подсистемы (начальных условий, внешних воздействий, возмущений,
текущего состояния - позиции, параметров функций, а именно: законов распределения
и моментов случайных функций и т.д.) - это так называемые природные
неопределенности или неопределенности среды;
·
неопределенные
факторы, которые отражают неопределенность во взаимной информации, связанной с
описанием, действиями объектов-подсистем в сложной МС, или неопределенность в
степени конфликтности взаимодействующих объектов-подсистем;
·
неопределенные
факторы, которые отражают не совсем верное знание цели и ее показателей в
сложной системе.
2.
Математическая модель конфликтной ситуации в ММС
Математическая модель конфликтной ситуации должна содержать
четыре компонента: математическую модель ММС с выбором описания и управляющих
сил, векторный целевой показатель, характер коалиционных объединений и принцип
конфликтного взаимодействия на основе стабильности и эффективности.
2.1
Математическая модель ММС с выбором описания и управляющих сил
Математическое описание ММС
В качестве главного описания ММС берется система
динамико-алгебраических связей
(2.1)
где N - число объектов в ММС;
- вектор состояния ММС с
- динамическими и
- алгебраическими состояниями;
- множество состояний; y - вектор выхода ММС;
- вектор управления ММС;
- вектор параметров ММС, которые
характеризуют параметрическую неопределенность в (2.1 а-в) и возможную
параметризацию в (2.1 г).
Выражения (2.1) характеризуют динамические связи (а),
алгебраические связи (б), вектор выхода (в) и функцию принятия решения и
управления (г).
Управление
,
- подвектор управления i-м
объектом ММС.
Свойства правых частей (2.1а), (2.1б) типичные в основном,
это непрерывность и дифференцируемость, а для (2.1а) - выполнение условий
Липшица.
Выбор управляющих сил
Как известно, существуют три ключевых способа задания
управляющих сил:
1) Вектор параметров
;
) Программное управление
;
) Закон управления (или позиционное управление)
,
.
Свойства управлений и множеств управлений варьируются.
Наиболее желаемые свойства U - это выпуклость и компактность (или слабая
компактность).
Ввиду сложности краевых задач в ММС имеет смысл
ориентироваться на комбинацию приближенных гибких вычислительных схем и
классических оптимизационных структур управления, например, математического
программирования и оперативного управления, с существенной параметризацией
управляющих сил во временных интервалах их приложения.
Поэтому, кроме трех указанных, рассматриваются следующие
комбинации в представлении управляющих сил.
4) Программно-корректируемый закон управления (ПКЗУ) (стратегия)
при заданном разбиении отрезка
с малым
, (2.2)
где
- допустимое программное управление
на отрезке
при известном начальном условии
и реализуемое на
.
5) Параметризованный ПКЗУ, например, в виде (2.2), где
(2.3)
с разбиением
на отрезке
при фиксированном
.
Следует заметить, что параметризация управляющих сил
позволяет на основе параметрических сетей, например, преодолевать возрастающие
трудности глобальной оптимизации в многокритериальных задачах, приближенно
оценивать существование и единственность решения и назначать начальное
приближение для локального поиска точного решения. В этом случае методы и
алгоритмы приобретают, по меньшей мере, двухэтапную структуру. На первом этапе
на основе сетевых подходов оценивается множество решений и выбирается начальное
приближение в «выгодной» локальной области. На втором этапе на основе
начального приближения решается точная задача определения параметризованного
оптимального управления или управления в форме 2,3.
2.2
Векторный целевой показатель
Целевые свойства ММС характеризуются вектором
, (2.4)
Он представляет собой сложную функциональную связь с указанными
величинами. Типичным видом i-й функции
выигрыша (потерь) является функционал на
. (2.5)
Кроме непрерывности (2.5) по (x, u) и дифференцируемости по
управлению, желаемыми свойствами являются вогнутость-квазивогнутость
(выпуклость-квазивыпуклость) функционала (2.5) на множестве управлений. При
общих свойствах целевого вектора проблема глобальной оптимизации может быть
преодолена, на основе двухэтапной структуры методов оптимизации с сетевым
глобальным анализом и приблизительным решением на первом этапе и точным
локальным решением на втором.
Несовпадение размерности J с числом объектов
означает, что некоторые объекты имеют векторную цель. Размерность показателя
будет совпадать с числом объектов в ММС, если показатель каждого объекта
скаляризуется.
2.3
Коалиционная структура действий и интересов ММС
, (2.6)
где R - множество индексов, например, управлений, М - множество
индексов вектора показателей.
Показатель каждой коалиции принимает, как правило, один из
двух видов:
; (2.7а)
,
,
, (2.7б)
причем сумма индексов
равна m.
Коалиционные управления без параметризации принимают вид
,
, (2.8)
выражения (2.1а) преобразуются к виду
(2.9)
Показатель в варианте (2.7б)
, (2.10)
где
;
.
2.4
Принципы конфликтного взаимодействия. Понятия стабильности и эффективности
Существует пять принципов конфликтного взаимодействия:
антагонизм
;
·
кооперативное
взаимодействие;
·
бескоалиционное
взаимодействие;
·
коалиционное
взаимодействие;
·
иерархическое
взаимодействие (с правом первого хода).
Так как ММС, по определению, является системой равнозначных
объектов (горизонтальный набор на рис. 1), то задачи с правом первого хода в данной
работе не рассматриваются.
Данное перечисление показывает, что свойства конфликтных
взаимодействий робастны, так как позволяют делать здравые оценки эффективности
в условиях неопределенности среды, неопределенности «активного партнера» и
неопределенности цели с учетом характера неопределенности и конфликтности.
В данных принципах конфликтного взаимодействия вложены три
основных понятия теории игр: стабильность, эффективность и
стабильно-эффективный компромисс.
Стабильность ММС - это обеспечение межобъектно-устойчивых
(уравновешенных по целям) процессов функционирования и проектирования
многообъектных структур в условиях конфликтности (несогласованности) и / или
неопределенности.
Эффективность ММС - это достижение
максимального целевого качества объектов, коалиций и ММС в целом на основе
устойчивого и рационального коалицианирования.
Cтабильно-эффективный компромисс в ММС (СТЭК ММС) - это объединение
стабильности и эффективности в рамках множества решений - от полного совпадения
данных свойств в одной точке пространства J (или U) до обеспечения
возможной степени сближения в условиях информационно-тактических расширений
соглашений.
В соответствии с определениями стабильности и эффективности
многие из существующих принципов оптимальности связаны с тремя базовыми:
оптимальность на основе гарантированных подходов, коалиционного равновесия и
кооперативных соглашений.
2.5
Общие определения эффективности и стабильности
Определения стабильности и эффективности, используемые в работе,
без ограничения общности сформулированы в рамках параметризованных управлений и
/ или процедур принятия решения, причем на общий вектор параметров
наложены ограничения
, где
,
где
.
Понятия эффективного управления базируется на Парето-оптимальном
решении,
-оптимальном решении и дележе Шепли.
.5.1 Оптимальность по Парето
Пусть множество индексов коалиции
. Вектор
оптимален по Парето, если из условия
следует либо
, либо система неравенств несовместна и
хотя бы одно из неравенств противоположного смысла.
2.5.2 Ω-оптимальность
Пусть
- многогранный конус, определенный
матрицей
.
Пусть
- новый векторный показатель вида
. Тогда оптимальное по Парето множество
для
совпадает с
-оптимальным множеством для
.
Рис. 2.1. Парето- и
-оптимальность
На рис. 2.1 для
приведены два конуса
и
. Из рис. 2 видно, что прямоугольный конус
типа конуса с вершиной в точке С1 удовлетворяет всей области
П-Парето-решений, а «узкий» конус с вершиной С2 выделяет на
Парето-области подобласть
-оптимальных решений.
2.5.3 Оптимальность по Шепли
Набор параметров
называется оптимальным по Шепли, если обеспечивает
, где
- функция Шепли, которая, например, при
имеет вид
где
- характеристическая функция, как точка
равновесия по Нэшу. Например,
означает:
,
,
.
Стабильные решения формируются в виде гарантирующих решений,
скалярного равновесия по Нэшу, векторных равновесий (векторное равновесие по
Нэшу, Ω-равновесие) и коалиционного равновесия на основе решений в форме
угроз-контругроз (УКУ).
2.5.4 Скалярное Нэш равновесие.
Набор решений
является равновесным по Нэшу относительно скалярного показателя
, который является функцией эффективности
коалиции
, если для любого
,
,
где
.
Если
и цели антагонистические, т.е.
, то равновесие по Нэшу превращается в
седловую точку
.
2.5.5 Равновесие на основе угроз-контругроз.
Набор векторов параметров
, где
называется коалиционным равновесием
(V-решением в форме угроз-контругроз (УКУ)) при показателе коалиции
, если при попытке коалиции
улучшить свой показатель (угроза -
)
на множестве P допустимых
коалиционных структур существует возможность создания контркоалиции
, для которой реализуется контругроза
;
.
3.
СТЭК на основе ПАРЕТО-НЭШ-УКУ-ШЕПЛИ-комбинаций
Технология формирования компромиссов базируется на интерактивных
процессах, комбинирующих указанные модули оптимизаций с разной степенью
автоматизации интерактивных процедур.
Интерактивные процедуры, как и модули оптимизации,
реализуются, в основном, в программной системе многокритериальной оптимизации
многообъектных динамических систем («МОМДИС»).
Результат оптимизации позволяет получить параметры
программно-корректируемых законов управления (ПКЗУ), оптимальные управления и
решения в ММС. Параллельная реализация модулей оптимизации позволяет обеспечить
реальное время для схем СТЭК.
Большинство схем СТЭК полностью реализованы в среде «МОМДИС»,
«MATLAB», «DELPHI» или в собственной
среде.
3.1
Выбор наиболее эффективного решения по Нэшу (СТЭК-1)
Необходимость в данном СТЭК возникает, когда скалярное
равновесие по Нэшу при фиксированной структуре ММС является неединственным.
Здесь речь идет о выборе недоминируемых решений по Нэшу.
Нэш-решение игры Г(Р)
, где Ki ÎP = МK, i = 1,…, l; uÎU
доминирует решение
, если
JKi(
) ³ JKi(
), i = 1,…, l.
В рамках СТЭК-1 предполагается, что недоминируемое решение
- единственное, тогда оно наиболее
эффективно для всего коалиционного разбиения ММС, поэтому принимается игроками
как условное соглашение.
Алгоритмическая схема СТЭК-1 может быть сформирована с помощью
одного из методов Парето-оптимизации на конечном множестве точек. Одной из
технологически удобных процедур является Парето-оптимизация на основе конусов
доминирования.
Условие доминирования решения
над
относительно конуса W с матрицей В имеет простой вид
BDJ ³ 0, (3.1)
где DJ
=
-
,
= J(
),
= J(
).
Знак неравенства меняется, если эффективность заключается в
минимизации потерь.
Как известно, при В = Е многогранный конус W становится прямоугольным, а процедура
оптимизации на основе конуса W
сводится к Парето-оптимизации.
В терминах рассмотренной ранее реализации данного метода конечное
множество значений вектора J задаёт
таблицу испытаний, по которой происходит попарное сравнение точек таблицы и
выделение недоминируемой. При этом на каждой итерации исключаются точки
, обеспечивающие обратный знак соотношения
(3.1), таким образом, итерация алгоритма для получения СТЭК-1 состоит из
нескольких этапов.
Этап 1. Получение решения, равновесного по Нэшу.
Этап 2. Сравнение данного решения с ранее полученными на основе (3.1).
Этап 3. Исключение доминируемых решений на данном подмножестве.
3.2
Выбор наиболее эффективного УКУ-решения на основе ПНОК и точки дележа Шепли
(СТЭК-7)
Рассмотренный СТЭК-6 является частным случаем более общего
СТЭК, когда множество УКУ-равновесий имеет общий характер положения в ПНОК,
например так, как показано для N = 2 на рис. 3.2.
Рис. 3.2. Общий характер положения УКУ-равновесия на ПНОК
Тогда СТЭК-5 и СТЭК-6 обобщаются в виде СТЭК-7, который имеет
наиболее общий вид в условиях необязательных соглашений и содержит предыдущие
СТЭК-1 - СТЭК-6 как частные случаи или компоненты.
Общий стабильно-эффективный компромисс в условиях необязательных
соглашений формируется как устойчивое решение с предостережением, обладающее
максимальной степенью близости к оценке наилучшего результата, который может
быть достигнут при кооперативном объединении на основе обязательных соглашений.
Таким свойством обладает УКУ-равновесие на ПНОК, которое является наиболее
близким к точке дележа по Шепли или к ее максимальной реализуемой предпосылке.
Общая схема метода определения данного СТЭК состоит в
последовательном поэтапном решении следующих задач.
Этап 1. Определение множества Нэш-равновесий.
Этап 2. Определение наилучшего Нэш-решения на основе СТЭК-1, СТЭК-2,
СТЭК-3.
Этап 3. Определение множества УКУ-равновесных решений.
Этап 4. Формирование подмножества УКУ-решений, удовлетворяющих условиям
(3.6) на основе СТЭК-4, СТЭК-5.
Этап 5. Определение предпосылки дележа по Шепли на ПНОК (СТЭК-6).
Этап 6. Определение УКУ-решения, принадлежащего ПНОК и наиболее близкого к
точке дележа по Шепли.
Собственно, СТЭК-7 формируется на этапе 6 метода и заключается в
решении задачи перебора следующего вида:
,
где
= J(uiУКУ)
- значение вектора показателей i-го УКУ-решения uiУКУ на
ПНОК;
- значение вектора показателей точки
дележа по Шепли.
Элементы приближений при формировании управляющих функций, базовые
модули и интерактивные процедуры в рамках специализированной программной
системы «МОМДИС» и универсальной ПС «MATLAB», а также параллельные алгоритмы
реализации позволяют сформировать процесс автоматизированного проектирования
управления конкретной ММС на основе СТЭК-комбинации
Парето-Нэш-УКУ-Шепли-решений.
4.
Программная среда «МОМДИС»
4.1
Общая характеристика ПС «МОМДИС»
4.1.1 Введение
Программная среда «МОМДИС» (Программная Среда
Многокритериальной Оптимизации Многообъектных Динамических Систем) является
многокритериальной системой оптимизации, главной задачей которой является
вычисление оптимальных параметров в зависимости от функционалов качества.
Данная проблематика возникает не только при проектирование систем
автоматического регулирования, но и в других областях техники, экономики и
жизни. Данный продукт реализован на базе платформы известного программного
пакета - MatLab 5.2.1.1420, MatLab 6.0, 6. 5,7.0.
4.1.2 Назначение
Программная система «МОМДИС» является инструментом для
проектирования в интерактивном режиме параметризованных
программно-корректируемых законов управления сложных систем, проектируемых или
функционирующих в условиях исходной структурной несогласованности, конфликта и
неопределенности.
ПС «МОМДИС» позволяет:
1. Описать математическую модель исследуемой системы.
2. Организовать ввод исходной информации.
. Выбрать метод решения.
. Вывести результаты в форме, удобной для
пользователя.
. Проводить обработку результатов.
ПС «МОМДИС» позволяет проводить анализ в пространстве
показателей системы методами Парето-оптимизации (нахождение сетевой
Парето-области), Омега-оптимизации (нахождение точных решений Парето-области),
Нэш-оптимизации (нахождение точек равновесия по Нэшу сетевым и точным
методами), УКУ-оптимизации (нахождение областей Парето-Нэш-компромиссов, т.е.
точек, устойчивых по критерию угроз и контругроз), а также получать решение на
основе различных СТЭК.
ПС «МОМДИС» направлена на решение задач, возникающих при
проектировании сложных систем управления.
4.1.3 Принцип действия
ПС «МОМДИС» состоит из совокупности двух больших подсистем:
подсистемы пользовательского интерфейса и математической подсистемы.
Математическая подсистема состоит из нужных для проектирования подсистем
моделирования и оптимизации. Пользовательский интерфейс позволяет хорошо
управлять процессом проектирования и получать полную информацию посредством
графиков и таблиц. После введения в программную среду динамической модели
сложной системы (набора коалиционных структур на множестве взаимодействующих
объектов управления) производится оптимизация управления многообъектной
системой по вектору показателей. Подсистема оптимизации содержит в себе ряд
модулей, которые по отдельности и вместе позволяют найти оптимальное управление
или закон управления при бескоалиционном, коалиционном и кооперативном
взаимодействии объектов на основе методов оптимизации по Нэшу, Парето, Шепли,
по методу «угроз и контругроз» и пр.
Пользователь имеет возможности совмещать решения для
получения стабильно-эффективных компромиссов (СТЭК). Для выбора начальных
приближений применяется модуль сетевого глобального анализа. Поэтому алгоритмы
приобретают двухэтапный характер. Для получения и отладки законов управления
реализуется потактовая комбинация подсистемы моделирования и оптимизации.
В ПС «МОМДИС» на основе достижений теории игр и теории
управления реализованы оригинальные, модифицированные и классические методы
получения стабильных (равновесных) и эффективных (векторно-оптимальных) игровых
решений, а также вновь полученные комбинации данных методов в виде
стабильно-эффективных компромиссов при взаимодействии коалиций динамических
объектов или в условиях неопределенности.
4.1.4 Область применения
Оптимизация управления и моделирование в технических,
экономических, биомедицинских, социальных и других системах.
4.1.5 Комплектация оборудования.
Для использования ПС МОМДИС вам потребуются - IBM-совместимый
компьютер с процессором не ниже Pentium-II и установленным пакетом Matlab, 20 Мб свободного места
на диске, операционная система от Windows’98 и выше. Позволяет исследовать
взаимодействие до четырех коалиций, размерность векторного целевого функционала
£12; порядок вектора состояния £50; порядок вектора
управления £20; число компонент вектора измеряемого выхода для вычисления
векторного целевого функционала £12.
4.2
Описание структуры ПС «МОМДИС»
Структурная схема ПС «МОМДИС» рис. 5.1.
Объектно-ориентированная структура ПС «МОМДИС» сформирована
как совокупность двух больших подсистем: математической подсистемы и подсистемы
отображения информации и пользовательского интерфейса.
Рис. 4.1. Структура ПС «МОМДИС»
4.2.1 Математическая подсистема
Как показано на рис. 4.1, математическая подсистема включает
в себя несколько методов моделирования и оптимизации. В системе показаны десять
методов интегрирования (Эйлера, Адамса 2-го и 4-го порядка, Рунге-Кутта 2-го,
4-го и 6-го порядка, Кутта-Мерсона 4-го порядка, Гира 4-го порядка, Дорманда-Принса
5-го порядка, экстраполяционный метод с переменным шагом и порядком - обобщение схемы
Рунге-Кутта).
Каждый из этих методов применяется к отдельному классу задач,
но интерфейс создан таким образом, что пользователь в любое время может
использовать любой из вышеперечисленных методов.
Математическая подсистема реализует функции имитационного
моделирования, когда на начальном этапе проектирования отлаживается
математическая модель системы, изучается влияние различных факторов на
динамические свойства системы, а на заключительном этапе исследуются свойства
системы в окрестности полученных оптимальных режимов.
В настоящее время для настройки параметров ПКЗУ и
моделирования ПКЗУ ММС формируется последовательная процедура потактового
моделирования и оптимизации. В ПС «МОМДИС» реализованы методы оптимизации ММС:
Нэш-оптимизация; Парето-оптимизация; W-оптимизация;
УКУ-оптимизация; Шепли-оптимизация как комбинация Нэш- и Парето-подходов:
глобальный анализ на основе сетевых методов, который, как правило, формирует первый
этап выбора начальных приближений в алгоритмах оптимизации.
На основе комбинации Парето-Нэш-УКУ-Шепли-оптимизации ПС
«МОМДИС» позволяет формировать ряд стабильно-эффективных компромиссов в ММС.
Библиотека алгоритмов имеет двухуровневую структуру, где I-й
уровень -
элементы алгоритмов, II-й уровень - собственно алгоритмы
Парето-Нэш-УКУ-Шепли-оптимизации, организующие работу алгоритмов I-го уровня в
соответствии с определенной логикой.
В библиотеку I-го уровня включены следующие структурные
элементы алгоритмов:
·
вычисление
конуса доминирования и выбор направления спуска;
·
вычисление
шаговой длины внутри конуса;
·
элементы
шаговой оптимизации с линейными ограничениями (направление движения -
по градиенту (аппроксимирующему градиенту), по методу возможных направлений, по
методу Хука-Дживса; шаговая длина - дробление шага,
параболическая интерполяция, золотое сечение, комбинация двух последних,
модификация дробления шага на случай разрывных показателей; определение состава
активных ограничений; вычисление расстояния до границы допустимой области в
данном направлении);
·
использование
стандартной подпрограммы симплекс-метода;
·
численное
дифференцирование (вектора по вектору, скаляра по вектору) (формирование
односторонних, центральных разностей);
·
организация
штрафных итераций при наличии нелинейных ограничений;
·
организация
вычислений при варьировании подвектора параметров qÎQ в алгоритме Нэш-оптимизации;
·
элементы
глобального анализа (генерация ЛП-последовательности, равномерно заполняющей
допустимую область, или ортогональной последовательности; составление таблицы
испытаний; W- или УКУ-оптимизация таблицы);
Математическая подсистема взаимодействует с подсистемой
пользовательского интерфейса, получая от нее модель и данные для расчетов и
передавая ей результаты для отображения.
5.
Оценка конкурентоспособности производственного предприятия на основе
статической модели олигополии и СТЭК
В процессе функционирования предприятий-фирм на однородном
товарном рынке между предприятиями при насыщении потребительского спроса
возникают элементы конфликтного взаимодействия - конкуренции. В частном случае
это приводит к разделению рынка. В общем случае необходимо в процессе
планирования производственной и коммерческой деятельности и в процессе текущего
управления производственными и товарными потоками обеспечивать элементы
стабильности предприятия в условиях конкуренции. Поэтому подходы на основе СТЭК
являются актуальными в статических и динамических моделях олигополии на
товарном рынке, где олигополию составляет группа предприятий, которой
принадлежит производство и рынок одного или нескольких видов товара.
5.1
Виды рыночных структур. Понятие конкурентоспособности
Как известно, рыночной конкуренцией называется борьба за
ограниченный спрос потребителя, ведущаяся между предприятиями-фирмами на
доступных им частях (сегментах) рынка.
Развитие конкурентных отношений тесно связано со степенью
экономической власти предприятия на рынке.
По степени развития конкуренции выделяются основные типы
рыночных структур:
|
Формы конкуренции
|
Признаки,
определяющие форму конкуренции
|
Степень
контроля
|
|
Совершенная
|
Множество фирм,
производящих данный продукт; Полная однородность производимой продукции;
Отсутствие ограничений для межотраслевого перелива капитала; Полная
информация, т.е. совершенное знание рынка потребителями и производителями.
|
Отсутствие
контроля над ценами
|
|
Несовершенная
|
|
|
|
1. Монополия
(чистая)
|
Данный продукт
производится только одной фирмой;
|
Очень высокий
контроль над ценами;
|
|
2. Олигополия
|
Относительно
небольшое количество фирм, производящих данный вид продукции;
|
Частичный
контроль над ценами;
|
|
3.
Монополистическая конкуренция с дифференциацией продукта
|
Множество
производителей, много действительных или воображаемых различий в продукции
|
Очень слабый
контроль над ценами
|
На рынке совершенной конкуренции степень экономической власти
предприятия на рынке минимальна и механизмы конкуренции работают в полную силу.
Здесь множество предприятий-производителей достаточно велико, чтобы навязывание
каждым из них своей воли потребителю отсутствовало.
При несовершенной конкуренции появляется степень влияния
предприятия на рынке. Степень несовершенства рынка зависит от разновидности
несовершенной конкуренции. В условиях монополистической конкуренции степень
влияния каждого предприятия на рынок невелика и связана только с возможностью
производителя выпускать свою, отличную от конкурирующих фирм, разновидность
товаров.
При олигополии степень влияния предприятия на рынок
возрастает, что вызывается ограниченным числом предприятий, действующих на
рынке. Следовательно, усиливается несовершенство конкуренции, как процесса
саморегулирующего рынка.
При вырождении олигополии в монополию на рынке имеет место
господство только одного предприятия с полным соответствующим вырождением
саморегуляции рынка и отсутствием конкуренции.
Очевидно, что степень конкурентоспособности зависит от
влияния предприятия на рынок, степени отличия свойств предприятия от некоторого
среднестатистического предприятия для данной отрасли, однородности товаров
рынка и других факторов.
При выравнивании свойств предприятия по данным и другим
факторам количественная характеристика конкурентоспособности стремится к
установившейся величине:
где N - число предприятий на рынке.
Тогда в условиях монополии:
В условиях рынка с нарастающим числом участников
При «уходе» от условий установившегося состояния величина
коэффициента конкурентоспособности i-го
предприятия будет изменяться в пределах
Большинство реально существующих рынков являются рынками
несовершенной конкуренции. Это означает, что стихийные механизмы саморегуляции
действуют на них несовершенно. Предпосылками несовершенной конкуренции являются:
1.
Наличие
определенной доли рынка у отдельных производителей;
2.
Наличие
барьеров проникновения в отрасль;
3.
неоднородность
продукции;
4.
несовершенство
(ограниченность) рыночной информации.
Самой распространенной структурой рынка в
современной экономике является рынок олигополии (РОЛ). В большинстве стран,
например, почти все отрасли тяжёлой промышленности (металлургия, химия,
электроника, судостроение, самолётостроение и др.)
Основными условиями РОЛ являются: однородность или
разнородность продукции, ограниченное число средних и крупных предприятий,
существенные барьеры входа на рынок и несовершенная информация (субъективный
фактор).
Хотя основных предприятий-лидеров в олигополии немного, но
наряду с крупными в олигополии действуют немало средних и даже мелких.
Формально к РОЛ относят те отрасли, где несколько основных предприятий (за
точку отсчёта обычно принимается от трёх до восьми фирм) производят более
половины всей выпускаемой продукции.
Если концентрация производства становится меньше, то отрасль
постепенно перемещается в условия рынка монополистической конкуренции. В то же
время установление количественной границы между РОЛ и рынком монополистической
конкуренции (РМК) во многом условна, т. к. оба рынка имеют и качественные
отличия друг от друга.
Так, РМК является сугубо дифференцированным (в этом основная
причина несовершенства РМК по сравнению с рынком совершенной конкуренции
(РСК)), в то время как РОЛ может иметь значительную дифференциацию (например,
нефтяная промышленность). Другой важной особенностью формирования РОЛ является
экономия на масштабах производства. Число предприятий РОЛ минимально, если
крупный размер фирмы обеспечивает существенную экономию издержек и,
следовательно, крупные фирмы имеют значительные преимущества перед мелкими.
Третьей особенностью РОЛ, и одной из причин несовершенства конкуренции РОЛ,
является высокий барьер входа на РОЛ, если РОЛ составляет узкий круг
предприятий.
Четвертой, самой важной особенностью РОЛ по сравнению с РСК и
частично по сравнению с РМК является то, что поведение каждого из
предприятий-олигополистов непосредственно сказывается на всех остальных его
участниках и на отрасли в целом. То есть, в отличие от всех рыночных структур
РСК, РМК и рынка монополии (РМ) в рамках классической модели рынка,
максимизация прибыли РОЛ зависит не только от собственных решений об объёмах
производств и спроса, но и от действий конкурентов.
Существует множество моделей олигополии (Курно, Стекельберга,
Бертрана, со сговором и др.).
Следует отметить, что на классификацию влияет и тип
прикладной направленности рынка: товарный рынок (промышленной продукции или
потребительских товаров), рынок ресурсов (или рынок производственных факторов -
труда, капитала, земли и др.), финансовый рынок и т.д.
Кроме того (и как следствие), режимы функционирования рынка
зависят от вида управляемых (стратегических) переменных (объем производства,
цена, арендный капитал, трудовые ресурсы и т.д.), от показателей эффективности
и / или потерь рынка (прибыль, издержки, валовой доход, средний доход на одного
работника и др.), от характера связей между переменными, заданными параметрами
и показателями: статические (алгебраические) связи, динамические
(дифференциальные уравнения и их конечные аппроксимации), от режима
взаимодействия (однократный или многократный, с лидером и т.п.) и других
факторов.
Ввиду многообразия классификационных возможностей различают
множество моделей олигополии и классифицировать их по единому критерию не
представляется возможным.
5.2
Олигополия Курно
Простейший вид функции отраслевого спроса имеет вид:
P = a - bQ, (5.10)
Функция издержек:
TCi = F + cQi, (5.11)
Тогда выражения (5.8) принимают вид:
a-bQ1 - … - bQN - bQi-c=0
(5.12)
Отсюда
(5.13)
Как видно из (5.13), предприятия взаимосвязаны по объему выпуска.
Так как предельные издержки MCi = c одинаковы, то (см. 5.8) Qi тоже одинаковы и из (5.13) можно
получить, заменив все Qj, j ≠ i на Qi:
(5.14)
Из (5.14) следует равновесное решение (r - решение):
(5.15)
Величины (5.15) обеспечивают максимум прибыли, так как:
i = 1, N
Равновесный отраслевой выпуск:
(5.16)
Равновесная цена может быть найдена из (5.10):
(5.17)
Максимальная прибыль:
(5.18)
Прибыль отрасли: π r = N
πir.
Как известно, РОЛ при увеличивающейся величине N стремится к РСК. В этом случае:
(5.19)
При больших N πir «опускается» до постоянных издержек (πi = - F). Если бы в отрасли с кривой спроса (5.10) существовала чистая
монополия (РМ), то ее равновесный выпуск производился бы при:
MR = a - 2b×Q = MC = c (5.20)
Из (5.20) следует:
Аналогичный результат получится из (5.16), (5.17) при N = 1.
Получен известный результат:
(5.21)
(5.22)
(5.23)
Из равенства πr = 0, выявляется число предприятий РСК, обеспечивающих
безубыточность отрасли:
где [[]] - целая часть числа. Но при отсутствии постоянных
издержек F=0, число предприятий обеспечивающих πрск = 0 бесконечно.
Очевидно, что для рассмотренных одинаковых предприятий коэффициент
конкурентоспособности Кк = Кк.уст. = 1/N. При различии, например, предельных издержек, когда сi ¹ с, конкурентоспособность предприятий приобретает индивидуальный
характер, т.е. Кк ≠ Кк.уст.
Выражения (5.23) позволяют проанализировать сравнительную
конкурентоспособность РОЛ по сравнению с РМ при фиксированном N:
Она характеризует степень рыночной власти РОЛ как функцию
параметров (a, b, C, F, N). Следует отметить, что:
При N = 1, Кк
рол = Кк рм = 1.
При
, Кк рол = Кк
рск = 0.
6.
Общий анализ задачи
В процессе функционирования предприятий-фирм на однородном
товарном рынке между предприятиями при насыщении потребительского спроса
возникают элементы конфликтного взаимодействия - конкуренции. В частном случае
это приводит к разделению рынка. В общем случае необходимо в процессе
планирования производственной и коммерческой деятельности и в процессе текущего
управления производственными и товарными потоками прогнозировать управление
предприятием, чтобы обеспечивать элементы стабильности предприятия в условиях
конкуренции. Поэтому подходы на основе СТЭК являются актуальными в статических
и динамических моделях олигополии на товарном рынке, например, где олигополию
составляет группа предприятий, которой принадлежит производство и рынок одного
или нескольких видов товара. Данная задача раскрывает методику конкурентного
управления предприятием, дополнительные возможности анализа олигополии в
условиях конкуренции на основе СТЭК и формирует методику анализа. Приведенные
результаты анализа указывают на практическую ценность подхода.
В условиях картелеподобной олигополии без сговора [2], [3],
близкой к коалиционной игре, предприятиям на олигопольном рынке взаимовыгодно
применять стратегии, которые принадлежат множеству УКУ и соответствуют точке
УКУ, наиболее близкой к точке дележа Шепли. Точка Шепли обеспечивает предельную
оценку прибылей - предел прибылей для предприятий на договорной основе. Поэтому
точка УКУ, наиболее близкая к точке Шепли, и является вторым основным СТЭК
(СТЭК-7)
.
Данный СТЭК дает олигополии конкурентный результат несколько
лучший, чем СТЭК-1, достигшим каждым олигополистом без сговора и обладает
устойчивостью к отклонению.
Коэффициент сравнительной конкурентоспособности имеет вид
.
7.
Формирование производственно-финансовой модели предприятия на рынке статической
олигополии
Модель производственных связей и целевой
показатель. Предполагаем, что задача предприятия заключается в максимизации
прибыли на долговременном этапе и контроле издержек. Предположение о
максимизации прибыли часто используется в микроэкономике, так как с его помощью
можно прогнозировать поведение предприятия. [1, гл. 11].
Прибыль - это разница между доходом и издержками производства.
Совокупный доход
(Return), получаемый предприятием, равен цене продукта
, умноженной на количество продаваемых
единиц
товара:
(11.1)
Размер дохода зависит от объема выпуска продукции.
Валовые издержки
(Total Cost) на производство определенного объема продукции в
упрощенном виде равны сумме издержек на оплату рабочей силы
(где
- средняя зарплата работающих,
- количество занятых в производстве человек) и капитальных
издержек
(
- капитал, участвующий в производстве,
- доля капитала, уплачиваемая за аренду
оборудования):
. (11.2)
Аналогично функции полезности набора товара для потребителя
вводится функция полезности использования факторов производства, описывающая
объем выпускаемой продукции при данном уровне развития производства и
количестве используемых факторов: [1, гл. 11]
, (11.3)
где
- функция;
- коэффициенты, определяемые используемыми факторами развития
производства.
Если считать ограничение по валовым издержкам аналогом ограничения
по бюджету, то, не проводя рассуждений об эффективности использования факторов
производства, можно утверждать, что решение
соответствует точке касания кривых, описывающих
и прямых линий, описывающих
, как показано на рис. 11.2.
Таким образом, для любого объема производства можно однозначно
определить валовые издержки.
Прибыль предприятия равна:
. (11.4)
Получение производственной функции Кобба-Дугласа.
Производственная
функция (ПФ) - это функция, независимые переменные которой принимают значения
объемов затрачиваемых или используемых ресурсов, а значение функции имеет смысл
величин объемов выпуска.
Экономист Пол Дуглас показал, что распределение национального
дохода между капиталом и трудом почти не изменяется с течением времени.
Другими словами, по мере роста производства как рабочие, так
и собственники капитала пользуются благами возросшего процветания экономики в
постоянной пропорции. Этот результат поставил вопрос о причинах постоянства
долей факторов производства.
Описывающая этот факт производственная функция должна
обладать свойствами [1, гл. 11]:
доход на капитал
,
доход на труд
,
где
- предельный продукт капитала: количество
продукта, произведенного на единицу капитала;
-
предельный продукт труда: количество продукта, произведенного на единицу труда;
- производственная функция;
- постоянная, измеряющая долю капитала в
доходе (определяет, какая часть дохода достается владельцам капитала, а какая
идет на оплату труда).
Математик Чарльз Кобб показал, что функцией, обладающей
такими свойствами, является
, (11.5)
где
- положительный параметр, измеряющий
производительность существующей технологии. Эта функция стала известна как
производственная функция Кобба-дугласа.
Многие экономисты подтвердили, что функция Кобба-Дугласа
правильно отражает то, каким образом экономика преобразует производственные
ресурсы в конечную продукцию.
Отношение дохода труда к доходу капитала в США с 1948 г. по 1989
г., равное отношению
, несмотря на множество изменений в
экономике, имевших место за последние четыре десятилетия, оставалось в границах
от 2 до 3 (см. рис. 11.4). Такое распределение дохода легко объясняется
производственной функцией Кобба-Дугласа, в которой доля капитала
равна приблизительно 0,3.
Планово-финансовая модель управления ресурсами на товарном рынке,
использующая статическое описание олигополии.
Борьбу на рынке ведут несколько предприятий-фирм. Каждая фирма
должна оптимизировать объем выпускаемой продукции. Все фирмы принимают решение
в одно и то же время. Вводится следующая модель описания рынка и каждой фирмы.
)
- функция спроса на товар, производимый
фирмами, которая была получена с использованием функции полезности
Кобба-Дугласа, где
- объем продаж
-й фирмы,
- цена товара на рынке,
- денежный спрос (demand)
определяется бюджетными ограничениями потребителя и его предпочтениями [1, гл.
11, стр. 506-510].
Очевидно, что предприятия олигополии связаны между собой
функцией спроса
(11.6)
Функция эластичности для пары точек
имеет вид
.
При
имеет место постоянный спрос
:
При
спрос
уменьшается при увеличении цены.
,
откуда следует
.
При увеличении цены
спрос
уменьшается по сравнению со спросом
в
раз.
В приближенном виде спрос
для
может быть аппроксимирован функцией
.
Значения параметров
и
могут быть найдены из следующих условий
при
,
при
,
где
.
2) Совокупный доход, получаемый
-й фирмой, где
- число фирм:
. (11.7)
) Прибыль
, получаемая фирмой, определяется не только доходом, получаемым от
продажи продукции, но и издержками производства. Если доход определяется лишь
сложившейся конъюнктурой рынка готовой продукции, то издержки определяются
особенностями производства (организацией процесса производства, используемыми
технологиями).
. (11.8)
) Объем выпускаемой продукции каждой из фирм описывается
следующим выражением (алгебраическая связь переменных состояния
и параметров
):
- для
-й фирмы, (11.9)
где
- капитал, участвующий в производстве
продукции
-й фирмой;
- количество работников на
-й фирме,
;
- показатели производственного уровня
-й фирмы,
,
.
5) Вектор управляющих параметров имеет следующий вид:
- для
-й фирмы,
. (11.10)
6) Валовые издержки имеют вид
- для
-й фирмы,
где w - средняя зарплата работающих в данной
отрасли;
- доля капитала, уплачиваемая за аренду
оборудования, кредит и т.д.
Таким образом, прибыль каждой фирмы
, где
. (11.11)
7) Задача каждой фирмы состоит в максимизации
собственной прибыли при условии ограничений на превышение производственными
затратами запланированных производственных затрат
- вектор показателей для
-й фирмы.
Задача сводится к задаче минимизации:
(11.12)
где
- планируемый уровень затрат.
) Формируется обобщенный скалярный критерий для
-й фирмы:
, (11.13)
где
- штрафные веса, определяющие учет
превышения реальных издержек над планируемыми.
Коэффициент конкурентоспособности
. (11.14)
Модель 1-8 формирует статический вариант модели олигополии, в
которой основная связь между состоянием и управлением имеет алгебраический вид.
Для упрощения исследований конкурентно оптимальный прогноз
управления предприятием-фирмой формируется в рамках сравнения предприятия со
среднестатистическим предприятием олигополии. Но преподаватель может также
выдать исходные данные по дополнительному анализу конкурентно-оптимального
прогноза управления предприятием олигополии, состоящей из 3-5 предприятий.
8.
Исходные данные для среднестатистического предприятия олигополии
В работе имеют место следующие исходные данные:
1) годовая характеристика спроса
на товар, определяемая бюджетными
ограничениями потребителей, их предпочтениями и эластичностью
вычислить по предложенной методике на
базе Const=40 млн. у. е.;
) средняя зарплата работающих в данной отрасли
=24 тыс. у. е./год;
) доля капитала, уплачиваемая за аренду оборудования
= 150% / год;
) показатели технологического процесса фирм
,
;
;
) планируемые производственные затраты фирм
млн. у. е.
) допустимые значения ресурсов труда и капитала:
чел.;
млн. у. е.
7) штрафные веса, определяющие учет превышения реальных
издержек над планируемыми, для каждой из фирм имеют значения:
Вариации исходных данных предприятия относительно
среднестатистического при многофакторном анализе
|
Const
|
  
|
|
|
|
|
Вариант 1
|
40, 60
|
6, 8, 10
|
16, 24, 32
|
110, 150, 190
|
9, 12, 14
|
9.
Получение результатов с использованием ПС «МОМДИС»
Целью работы является анализ результатов
конкурентно-оптимального прогноза управления предприятиями (компаний, фирм)
статической олигополии в форме вычисления и многофакторного сравнения
конкурентоспособности предприятий на товарном рынке на основе СТЭК.
Для удобства графического отображения без ограничения
общности результатов анализа N=2, одно из предприятий - среднестатистическое.
Получим результаты оптимизации дуополии с использованием ПС
«МОМДИС». Результаты представим в виде таблицы и рисунков с областями значений
показателей, точками Шепли, областями УКУ и Парето решений, точками СТЭК-1 и
СТЭК-7.
Проведем многофакторный анализ влияния изменения функции спроса
базовой величины Const с пересчетом
, уровня зарплаты
, производственного уровня
, доли арендного капитала
, запланированных издержек
на результаты в дуополии предприятия с измененными данными и
среднестатистическим предприятием.
Математическая модель в ПС Момдис будет выглядеть следующим
образом:
Таблица 1. Сравнительный анализ конкурентоспособности предприятий
по производственному уровню
|
№ экспер.
|
1
|
2
|
3
|
|
СТЭК
|
1
|
7
|
1
|
7
|
1
|
7
|
|
8610
|
|
|
|
|
888
|
|
|
|
|
, млн. у. е.2.512.512.51
|
|
|
|
|
|
|
|
, млн. у. е.2.512.512.51
|
|
|
|
|
|
|
|
, чел250100250100250100
|
|
|
|
|
|
|
|
, чел250100250100250100
|
|
|
|
|
|
|
|
, млн. у. е.9.753.99.753.99.753.9
|
|
|
|
|
|
|
|
, млн. у. е.9.753.99.753.99.753.9
|
|
|
|
|
|
|
|
, млн. у. е.202017.1417.1422.2222.22
|
|
|
|
|
|
|
|
, млн. у. е.202022.8622.8617.7817.78
|
|
|
|
|
|
|
|
, млн. у. е.10.2516.17.39313.24312.47218.322
|
|
|
|
|
|
|
|
, млн. у. е.10.2516.113.10718.9578.02813.878
|
|
|
|
|
|
|
|
0.50.50.3610.4110.6080.569
|
|
|
|
|
|
|
|
0.50.50.6390.5890.3920.431
|
|
|
|
|
|
|
|
млн. у. е.-10.25-16.1-7.393-13.243-12.472-18.322
|
|
|
|
|
|
|
|
млн. у. е.-10.25-16.1-13.107-18.957-8.028-13.878
|
|
|
|
|
|
|
|
P, у. е.
|
275.6
|
755
|
314.9
|
862.9
|
244.9
|
671.1
|
|
Рис.
|
4
|
5
|
6
|
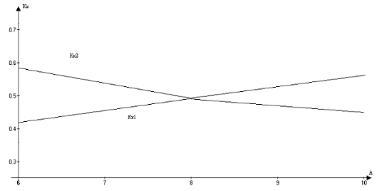
Оптимизация дуополии со среднестатистическим предприятием при А1=8,
Оптимизация дуополии со среднестатистическим предприятием при А1=6,
Оптимизация дуополии со среднестатистическим предприятием при А1=10,
Получение оценки изменения прибыли при изменении производственного
уровня предприятия
(СТЭК 1)
Получение оценки изменения коэффициента конкурентоспособности
при изменении производственного уровня
предприятия
(СТЭК 1)
Получение оценки изменения прибыли при изменении производственного
уровня предприятия
(СТЭК 7)
Получение оценки изменения коэффициента конкурентоспособности
при изменении производственного уровня
предприятия
(СТЭК 7)
Таблица 2. Сравнительный анализ конкурентоспособности по уровню
зарплаты
|
№ экспер.
|
1
|
2
|
3
|
|
СТЭК
|
1
|
7
|
1
|
7
|
1
|
7
|
|
1, тыс у. е./год241632
|
|
|
|
|
2, тыс у. е./год242424
|
|
|
|
|
, млн. у. е.2.512.51.752.51
|
|
|
|
|
|
|
|
, млн. у. е.2.512.512.51.75
|
|
|
|
|
|
|
|
, чел250100400100175100
|
|
|
|
|
|
|
|
, чел250100250100250100
|
|
|
|
|
|
|
|
, млн. у. е.9.753.910.155.8259.354.7
|
|
|
|
|
|
|
|
, млн. у. е.9.753.99.753.99.755.025
|
|
|
|
|
|
|
|
, млн. у. е.202023.1223.4517.6218.16
|
|
|
|
|
|
|
|
, млн. у. е.202016.8818.1622.821.84
|
|
|
|
|
|
|
|
, млн. у. е.10.2516.112.9717.628.2713.46
|
|
|
|
|
|
|
|
, млн. у. е.10.2516.17.1314.2612.6316.82
|
|
|
|
|
|
|
|
0.50.50.6450.5530.3960.445
|
|
|
|
|
|
|
|
0.50.50.3550.4470.6040.555
|
|
|
|
|
|
|
|
млн. у. е.-10.25-16.1-12.97-17.62-8.27-13.46
|
|
|
|
|
|
|
|
млн. у. е.-10.25-16.1-7.13-14.26-12.63-16.82
|
|
|
|
|
|
|
|
P, у. е.
|
275.6
|
755
|
403.8
|
1166
|
535.5
|
1086
|
|
Рис.
|
4
|
9
|
10
|
Оптимизация дуополии со среднестатистическим предприятием при
1=16 тыс. у.е.
Оптимизация дуополии со среднестатистическим предприятием при
=32 тыс. у.е.
Получение оценки изменения прибыли при изменении
(СТЭК-7)
Получение оценки изменения коэффициента конкурентоспособности
при изменении
(СТЭК-7)
Таблица 3. Сравнительный анализ конкурентоспособности по r
|
№ экспер.123
|
|
|
|
|
СТЭК
|
1
|
7
|
1
|
7
|
1
|
7
|
|
1, % / год,150110190
|
|
|
|
|
2, % / год,150150150
|
|
|
|
|
, млн. у. е.2.513.251.751.751
|
|
|
|
|
|
|
|
, млн. у. е.2.512.512.51
|
|
|
|
|
|
|
|
, чел250100250100250100
|
|
|
|
|
|
|
|
, чел250100250100250100
|
|
|
|
|
|
|
|
, млн. у. е.9.753.99.5754.3259.3254.3
|
|
|
|
|
|
|
|
, млн. у. е.9.753.99.753.99.753.9
|
|
|
|
|
|
|
|
, млн. у. е.202020.8721.8418.8320
|
|
|
|
|
|
|
|
, млн. у. е.202019.1318.1621.1820
|
|
|
|
|
|
|
|
, млн. у. е.10.2516.111.2917.529.515.7
|
|
|
|
|
|
|
|
, млн. у. е.10.2516.19.3814.2611.4316.1
|
|
|
|
|
|
|
|
0.50.50.5460.5510.4540.494
|
|
|
|
|
|
|
|
0.50.50.4540.4490.5460.506
|
|
|
|
|
|
|
|
млн. у. е.-10.25-16.1-11.29-17.52-9.5-15.7
|
|
|
|
|
|
|
|
млн. у. е.-10.25-16.1-9.38-14.26-11.43-16.1
|
|
|
|
|
|
|
|
P, у. е.
|
275.6
|
755
|
457.9
|
1087
|
506.8
|
1042
|
|
Рис.
|
4
|
13
|
14
|
Оптимизация дуополии со среднестатистическим предприятием при
=110%
Оптимизации дуополии со среднестатистическим предприятием при
=190%
Получение оценки изменения прибыли при изменении
(СТЭК-7)
Получение оценки изменения коэффициента конкурентоспособности
при изменении
(СТЭК 7)
Таблица 4. Анализ влияния уровня планируемых издержек на примере
дуополии среднестатистических предприятий
|
№ экспер.
|
1
|
2
|
3
|
|
СТЭК
|
1
|
7
|
1
|
7
|
1
|
7
|
|
TC*, млн у. е.
|
12
|
9
|
14
|
|
, млн. у. е.2.511.7512.51
|
|
|
|
|
|
|
|
, млн. у. е.2.511.7512.51
|
|
|
|
|
|
|
|
, чел250100250100250100
|
|
|
|
|
|
|
|
, чел250100250100250100
|
|
|
|
|
|
|
|
, млн. у. е.9.753.98.6253.99.753.9
|
|
|
|
|
|
|
|
, млн. у. е.9.753.98.6253.99.753.9
|
|
|
|
|
|
|
|
, млн. у. е.202020202020
|
|
|
|
|
|
|
|
, млн. у. е.202020202020
|
|
|
|
|
|
|
|
, млн. у. е.10.2516.111.37516.110.2516.1
|
|
|
|
|
|
|
|
, млн. у. е.10.2516.111.37516.110.2516.1
|
|
|
|
|
|
|
|
0.50.50.50.50.50.5
|
|
|
|
|
|
|
|
0.50.50.50.50.50.5
|
|
|
|
|
|
|
|
млн. у. е.-10.25-16.1-11.375-16.1-10.25-16.1
|
|
|
|
|
|
|
|
млн. у. е.-10.25-16.1-11.375-16.1-10.25-16.1
|
|
|
|
|
|
|
|
P, у. е.
|
275.6
|
755
|
310
|
755
|
275.6
|
755
|
|
Рис.
|
4
|
17
|
18
|
Оптимизация дуополии со среднестатистическим предприятием при
TC*=9 млн у. е.
Оптимизация дуополии со среднестатистическим предприятием при
TC*=14 млн у. е.
Получение оценки изменения прибыли
при изменении ТС (СТЭК 1)
Заключение
В рамках исследования в моей дипломной работе мы провели
несколько опытов, результаты которых будут описаны ниже.
В первом опыте мы изменяли производственный уровень первого
предприятия, а все остальные параметры оставались неизменными.
Естественно, при повышении этого уровня коэффициент
конкурентоспособности и прибыль возрастают. Это можно объяснить прямой
зависимостью количества проданного товара и производственного уровня.
Прибыль второго предприятия при этом уменьшалась, а
коэффициент конкурентоспособности падал. Это можно объяснить тем, что в
дуополии сумма коэффициентов конкурентоспособности всегда равна единице.
Значит, если возрастает коэффициент у первого предприятия, падает у второго.
Результаты по СТЭК-ам 1,7 дали одинаковые зависимости, но стоит заметить, что
СТЭК 7 всегда обеспечивал большую прибыль.
Во втором опыте мы изменяли заработную плату сотрудников.
Известно, что если платить работникам меньше, то издержки падают. Поэтому
прибыль обоих предприятий возрастала при понижении зарплат. Правда в реальной
ситуации необходимо учитывать, что больше сотрудников за меньшие деньги нанять
не так уж и просто. Стоит заметить, что эти зависимости были получены только
при использовании СТЭКа 7. СТЭК 1 почти никаких изменений не обнаружил
В третьем опыте мы изменяли арендную плату. По поводу этого
можно сказать то же самое, что и про зарплату. Чем меньше плата за аренду, тем
меньше издержки и выше прибыль.
В четвертом опыте мы меняли планируемые производственные
издержки. Эта величина в явном виде не входит ни в доход, ни в издержки,
поэтому СТЭК 7 разницы не выявил. Но СТЭК 1 выявил небольшую разницу. При
понижении планируемых издержек, прибыль возрастает. Это связано с тем, что СТЭК
7 сам понижает издержки, а СТЭК 1 можно считать лишь начальным приближением к
нему. Поэтому если ограничить издержки, то в данном случае СТЭК 1 будет
работать лучше.
В пятом опыте мы изменяли константу характеристики спроса.
Эта величина характеризует спрос на данный товар. Следовательно, чем она выше,
тем выше доход и прибыль. К этому мы и пришли в ходе эксперимента. Причем
прибыль возрастала сразу для обоих предприятий.
Для Трех-коалиционного случая все зависимости остаются такими
же, причем во многих случаях с точностью до цифр, и это позволяет нам обобщить
полученные результаты для более многомерных систем.
Во всех опытах СТЭК 7 показал себя лучше СТЭКа 1. И дал более
высокую прибыль для каждого из предприятий. Но во всех этих случаях олигополия
вырождалась в монополию. Предприятия производили мало товара и продавали его по
очень высоким ценам. В данной работе нам удалось побороть монополию двумя
способами:
1. Изменением эластичности рынка (по условию она была
равна 2, мы взяли эластичность равную 3)
2. Введением верхней границы цены. Эластичность влияет
на зависимость изменения спроса от изменения цен. Большая эластичность не дает
производителям завышать цены, потому что товар не будет пользоваться большим спросом
и, в конечном счете, прибыль фирмы упадет. Верхний предел цены тоже стимулирует
производителя выводить на рынок больше товара, потому что при отсутствии
возможности повысить цену это единственный способ поднять прибыль.
Литература
1. Вайсборд
Э.М., Жуковский В.Н. Введение в дифференциальные игры нескольких лиц и их
приложения. - М: Сов. Радио, 1980 г.
2. Воробьев
Н.Н. Основы теории игр. Бескоалиционные игры. - М.: Наука, 1984.
. Воронов
Е.М. Анализ стабильно-эффективных компромиссов в сложных системах на основе
метода угроз и контругроз // Вестник МГТУ. Сер. Приборостроение. - 1998. - №1.
. Воронов
Е.М., Владиславлев Д.Н. Конфликтные статико-динамические модели и
стабильно-эффективные компромиссы на товарном рынке // Управление большими
системами: Труды международной конференции. - М.: Изд-во ИПУ РАН, 1997
. Воронов
Е.М., Серов В.А., Степанищев А.Е., Синицын С.А. ППП для автоматизации
проектирования многообъектных многокритериальных систем управления // Вестник
МГТУ. Сер. Приборостроение. - 1991. - №2
6. Воронов
Е.М. Методы оптимизации управления многообъектными многокритериальными
системами на основе стабильно-эффективных игровых решений, М: Изд. МГТУ им.
Баумана, 2001.
7. Гермейер
Ю.Б. Введение в теорию исследования операций. - М: Наука, 1971.
8. Гермейер
Ю.Б. Игры с противоположными интересами. - М.: Наука, 1976
. Зверев
В.Ю. Задача принятия многокритериальных решений на расширенных множествах
альтернатив // Изд. ВУЗов. Приборостроение. - 1997. - Т.40, №5.
. Мулен
Э. Теория игр с примерами математической экономики. - М.: Мир, 1985
конкурентоспособность
олигополия модель многокритериальный