Несобственные интегралы

  • Вид работы:
    Курсовая работа (т)
  • Предмет:
    Математика
  • Язык:
    Русский
    ,
    Формат файла:
    MS Word
    448,81 Кб
  • Опубликовано:
    2013-09-20
Вы можете узнать стоимость помощи в написании студенческой работы.
Помощь в написании работы, которую точно примут!

Несобственные интегралы

СОДЕРЖАНИЕ

Введение

. Несобственные интегралы

.1 Несобственные интегралы первого рода

.2 Несобственные интегралы второго и третьего рода

.3 Вычисление несобственных интегралов с помощью вычетов

.4 Несобственные интегралы, содержащие параметр

.5 Гамма-функция и бета-функция Эйлера

. Реализация на ЭВМ

.1 Текст программы

.2 Результат работы программы

Заключение

Список использованной литературы

Приложение

ВВЕДЕНИЕ

Задачи, приводящие к несобственным интегралам рассматривались в геометрической форме Э. Торричелли <#"663007.files/image001.gif"> и принимает комплексные значения. Если f(x)= u(x)+ iv(x), где u(х) и v(х) вещественны, мы полагаем по определению

.

Таким образом, интегрируемость функции f(х) по отрезку [а, b] равносильна одновременной интегрируемости по этому отрезку функций u(х) и v(x).

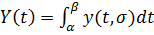
Пусть функция f(x) интегрируема (например, кусочнонепрерывна) на каждом конечном промежутке , где а фиксировано, а b произвольно. Мы желаем придать смысл «несобственному интегралу 1-го рода»

 (1.1.1.1)

Рассмотрим комплексную функцию от аргумента Х а

. (1.1.1.2)

Определение. Если при  функция  имеет конечный предел , то мы называем несобственный интеграл (1.1.1.1) сходящимся и полагаем по определению

. (1.1.1.3)

Если при  функция  не имеет конечного предела, мы называем интеграл (1.1.1.1) расходящимся и не приписываем ему никакого значения.

Критерий Коши и эквивалентные условия сходимости. Утверждается, что следующие четыре предложения эквивалентны:

а. Существует такое I, что для любого  > 0 найдется  такое, что для каждого

.

б.      Для любой последовательности  числа  имеют (конечный) предел.

в.       Для любой последовательности  ряд  сходится.

г. Для любого  > 0 существует такое X > а, что при ,  (критерий Коши).

Предложение а есть просто определение предела функции I(Х) на бесконечности. Предложение г есть критерий Коши для существования этого предела. Предложение б представляет собой эквивалентное условие на языке последовательностей. Наконец, предложение в выражает обычную связь между сходимостью ряда и сходимостью последовательности его частных сумм. Итак, предложения а-г эквивалентны.

В предложении б существенно, что речь идет о любой последовательности  . Если известно, что для некоторой последовательности  числа  имеют предел, то это еще не означает, что интеграл (1.1.1.1) сходится.

Случай неотрицательной подынтегральной функции.

а. Рассмотрим несобственный интеграл

. (1.1.3.1) с неотрицательной функцией f(x). Тогда первообразная  не убывает; если I(Х) не ограничена на (а, ), то при  она стремится к + и мы говорим, что интеграл (1.1.3.1) расходится к + ; если I(Х) ограничена на (а, ), то sup I(X) =  I(X) ) и интеграл (1.1.3.1) сходится.

б. Признак сравнения формулируется следующим образом: если на (а,  заданы две неотрицательные интегрируемые на каждом конечном промежутке функции (х)и (х) и (x)  c(x) при х , то из сходимости интеграла от (х) следует сходимость интеграла от (х), из расходимости интеграла от (х) следует расходимость интеграла от (х).

Все эти выводы следуют из неравенства  имеющего место для любого , и из сходимости интеграла с ограниченной первообразной I(X) (а).

Интегральный признак сходимости числового ряда. Пусть  есть ряд с положительными невозрастающими членами, так что  (n=1,2, ...), и пусть, далее, у=а(х) - положительная невозрастающая функция, такая, что a(n)=. Из рис. 1.1.4 видно, что

. (1.1.4.1)

Из неравенства (1.1.4.1) вытекает: если сходится интеграл , то сходится ряд  ,u если расходится интеграл , то расходится и ряд. Это- интегральный признак Коши сходимости числового ряда.

Рис.1.1.4

Абсолютная и неабсолютная сходимость несобственных интегралов. Рассмотрим несобственный интеграл

, (1.1.5.1)

где f(x)-кусочно-непрерывная комплексная функция. Если сходится интеграл

, (1.1.5.2)

то сходится и интеграл (1.1.5.1), поскольку при любых X' и X"

 

и можно применить критерий Коши. В этом случае интеграл (1.1.5.1.) называется абсолютно сходящимся, а функция f(x) - абсолютно интегрируемой на (а, ). Но интеграл (1.1.5.1) может сходиться и при расходимости интеграла (1.1.5.2); в этом случае интеграл (1.1.5.1) называется условно или неабсолютно сходящимся. Существуют признаки сходимости, применимые к неабсолютно сходящимся интегралам.

Признак Лейбница. Рассмотрим несобственный интеграл

 

где функция f(x) вещественна. Пусть  есть последовательность всех корней функции f(x) на (а,), причем , f(х)>0 при , и f(x)< 0 при  (рис. 1.1.6).

Рис. 1.1.6

Числа

, (1.1.6.1)

образуют знакочередующуюся последовательность. Если для них выполняются условия признака Лейбница для числового ряда , т. е. если для всех n = N, N+1, N+2, ... выполняется неравенство  и , то интеграл (1.1.6.1) сходится.

Для доказательства найдем при заданном X такое n, что . Тогда .

Первое слагаемое справа постоянно. Сумма в квадратных скобках при  имеет предел в силу признака Лейбница для ряда. Последнее слагаемое по модулю не превосходит

 и в силу условия стремится к нулю при . Отсюда следует существование предела у левой    части, что нам и нужно.

а. Признак Абеля-Дирихле. Рассмотрим несобственный интеграл

. (1.1.7.1)

Если (комплексная) функция g(x) обладает кусочно-непрерывной абсолютно интегрируемой на (а,) производной и стремится к 0 при х , a s(x) имеет ограниченную первообразную G(x),, то интеграл (1.1.7.1) сходится.

Для доказательства воспользуемся интегрированием по частям:  Здесь внеинтегральный член допускает оценку

,

и, следовательно, стремится к нулю при р, . Интегральное слагаемое допускает следующую оценку:

 

откуда следует, что оно также стремится к нулю при , . Таким образом, для интеграла (1.1.7.1) выполняется критерий Коши , и, следовательно, интеграл сходится.

б. Для вещественной функции g(x) условие признака а можно несколько видоизменить; именно, в этом случае достаточно предположить, что g(x) стремится к нулю монотонно, обладая кусочно-непрерывной производной. Действительно, в указанном предположении функция (х) не меняет знака и

 

имеет конечный предел при , так что || интегрируема.

Условия на функцию s(x) остаются прежними.

Интегрирование по частям и через подстановку в несобственном интеграле. Фактически мы уже не раз пользовались этими приемами в конкретных случаях; выскажем теперь некоторые общие соображения. Достаточно проверить, что возможно произвести указанные действия на конечном промежутке (а, X), и затем перейти к пределу при . Так, если интегрирование по частям на промежутке (а, X) дает

,

то можно написать и равенство

,

в предположении, что по крайней мере два из написанных трех предельных выражений существуют (тогда, очевидно, будет существовать и третье). Здесь внеинтегральный член, в частности, определен так:

.

Аналогично, если в результате подстановки х=х(u) мы пришли к равенству

 

и при этом из  следует  и обратно, то справедливо равенство

 

если существует хотя бы один из написанных интегралов (тогда существует и второй).

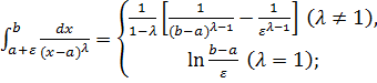
1.2 Несобственные интегралы второго и третьего рода

Несобственные интегралы второго рода.

а. Рассмотрим комплексную функцию f(x), заданную в конечном промежутке [a, b], интегрируемую в каждом промежутке [a+, b], но, возможно, не интегрируемую (например, не ограниченную) на всем отрезке [a, b]. Мы желаем придать смысл «несобственному интегралу 2-го рода»

. (1.2.1.1)

Для этого рассмотрим функцию от  

.

Если при  это выражение имеет конечный предел, положим I, то мы говорим, что несобственный интеграл 2-го рода (1.2.1.1) сходится, и приписываем ему значение

.

Если при  функция  не имеет предела, мы говорим, что несобственный интеграл (1.2.1.1) расходится, и не приписываем ему никакого значения.

б. Если интеграл

. (1.2.1.2)

существует как обычный определенный интеграл, то он существует и в нашем новом определении и имеет то же значение I. Действительно, если интеграл (1.2.1.2) существует в обычном смысле, то функция f(x) ограничена вместе с ее вещественной и мнимой частью; пусть, например, . При любом  имеем

, (1.2.1.3) причем

.

Отсюда следует, что при  предел второго интеграла в правой части (1.2.1.3) существует и равен интегралу в левой части, что и требуется.

в. Приведенное определение а очень похоже на определение несобственного интеграла 1-го рода (т. е. с бесконечным верхним пределом). И действительно, интеграл 2-го рода прямо приводится к интегралу 1-го рода с помощью подстановки . Поэтому можно всю теорию несобственных интегралов 2-го рода вывести из теории интегралов 1-го рода. Можно теорию строить и параллельно, формулируя заново соответствующие теоремы.

а. Для применения признака сравнения, как всегда, важно иметь широкий набор «эталонных» интегралов. Таковыми для интегралов 2-го рода служат чаще всего интегралы вида

. (1.2.2.1)

Мы имеем

 

поэтому интеграл вида (1.2.2.1) сходится при  < 1 и расходится при .

б. Применяя признак сравнения, получаем: если при  выполняется неравенство

 то интеграл

 сходится при  < 1 и расходится при .

в. Рассмотрим, в частности, интеграл

. (1.2.2.2)

При малых x мы имеем  а при любом . Можно взять ; сравнивая теперь интеграл (1.2.2.2) с интегралом

,

сходящимся в силу а, получаем, что и интеграл (1.2.2.2) сходится при любом .

Несобственные интегралы третьего рода. Пусть комплексная функция f(x) задана в промежутке (a, b), концы которого могут быть и в бесконечности (т.е. значения  допускаются). По отношению к функции f(x) будем называть точку с особой в следующих случаях:

а)      точки , если они являются концевыми точками промежутка (а,b), всегда считаются особыми;

б)      точка с, лежащая внутри (а, b), называется особой, если функция f(x) не является интегрируемой в обычном смысле ни в какой окрестности этой точки; концевая точка с считается особой, если f(x) не интегрируема ни в какой односторонней (со стороны промежутка (а, b)) окрестности этой точки.

Будем предполагать, что функция f(x) обладает не более чем конечным числом особых точек и что вне этих точек она непрерывна или кусочно-непрерывна. Мы хотим придать смысл «несобственному интегралу 3-го рода»

. (1.2.3.1)

Выбирая между каждыми двумя соседними особыми точками  неособую точку  мы получим совокупность промежутков вида , имеющих только по одной особой точке на границе. Определим сначала интегралы от функции f(x) по таким промежуткам, как несобственные интегралы 1-го и 2-го рода:

,  .

Только если все получающиеся несобственные интегралы сходятся, мы будем приписывать смысл интегралу (1.2.3.1); именно, положим

. (1.2.3.2)

Нужно проверить, что результат не зависит от выбора точек . Проверим это для одного из промежутков [].

Пусть . Тогда

.

1.3 Вычисление несобственных интегралов с помощью вычетов

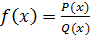
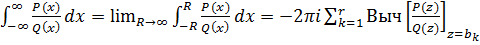
Интеграл от рациональной функции.

Рассмотрим несобственный интеграл от рациональной функции- отношения двух многочленов Р(х) и Q(x) (с комплексными коэффициентами):

. (1.3.1.1)

Он сходится, если знаменатель не имеет вещественных корней и степень числителя по крайней мере на две единицы меньше, чем степень знаменателя.

Как вычислить значение этого интеграла?

Можно, разумеется, взять неопределенный интеграл от рациональной функции  и подставить пределы . Но, оказывается, иногда быстрее применить методы, связанные с аналитической природой функции .

Функция комплексного переменного z, равная , аналитична всюду в плоскости переменного z, за исключением конечного числа точек-корней знаменателя. Рассмотрим в верхней полуплоскости замкнутый кусочно-гладкий контур L, образованный отрезком [-R, R] вещественной оси и полуокружностью

 

где R настолько велико, что вне полученного полукруга уже нет в верхней полуплоскости ни одного корня знаменателя.

Внутри этого полукруга имеется, вообще говоря, некоторое число корней знаменателя, например  (рис. 1.3.1).

Рис. 1.3.1

В силу формулы

 

мы получаем выражение

 . (1.3.1.2)

Устремим теперь R в . На полуокружности  мы имеем  в силу условия на степени многочленов Р(z) и Q(z), где А - некоторая постоянная; поэтому

.

Отсюда следует, что интеграл

 (1.3.1.3)

имеет пределом при  величину (1.3.1.2). Но так как интеграл (1.3.1.1) сходится, то он должен совпадать с пределом интеграла (1.3.1.3). Итак,

=. (1.3.1.4)

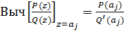
а. Если корни  простые, то по формуле

 

 и, следовательно,

. (1.3.1.5)

б. Замечание. Интеграл  их мы привели к сумме вычетов (умноженной на ) функции  в верхней полуплоскости, рассматривая контур L, составленный из отрезка [-R, R] и полуокружности .

Но таким же образом можно рассуждать и с контуром , составленным из отрезка [R, -R] (проходимого справа налево) и полуокружности  в нижней полуплоскости; мы получим

 

где  - корни многочлена Q(z), лежащие в нижней полуплоскости.

Переходя к пределу при , найдем

. (1.3.1.6)

Полученный результат по форме отличается от результата (1.3.1.4). В действительности они, конечно, совпадают, так что разность этих результатов, т. е. умноженная на  сумма вычетов функции  во всех корнях Q(z), как в верхней, так и в нижней полуплоскости, равна 0.

Это можно показать и непосредственно. Как мы знаем, эта сумма вычетов совпадает с интегралом

 (1.3.1.7)

по полной окружности радиуса R, достаточно большого, чтобы она содержала внутри все корни Q(z). Этот интеграл не зависит от R и в то же время допускает оценку

.

Таким образом, интеграл (8) равен 0. Отсюда

.

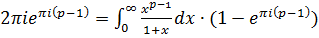
а. Интегралы Фурье. Часто встречаются интегралы вида

, (1.3.2.1)

, (1.3.2.2)

, (1.3.2.3)

содержащие вещественный параметр ; они называются интегралами Фурье.

Если выполнено условие

 то все три интеграла Фурье абсолютно сходятся. Если при  функция f(x) вещественна и монотонно стремится к нулю, интегралы (1.3.2.2) и (1.3.2.3) сходятся при , но, вообще говоря, неабсолютно. Если при этом f(- х)f(x) (т. е. функция f(x) четна), то интеграл (1.3.2.3) равен нулю, если же f(- х) = -f(x) (функция f(x) нечетна), то интеграл (1.3.2.2) равен нулю. Кроме того, имеется очевидная связь

 

так что в случае вещественной f(х) интегралы (1.3.2.2) и (1.3.2.3) представляют вещественную и мнимую части интеграла (1.3.2.1).

б. Часто бывают полезны методы контурного интегрирования. Пусть . есть рациональная функция и полином Q(х) имеет степень по крайней мере на единицу выше степени полинома Р(х) и не обращается в 0 при вещественных х. В этом случае интегралы (1.3.2.1) - (1.3.2.3) сходятся

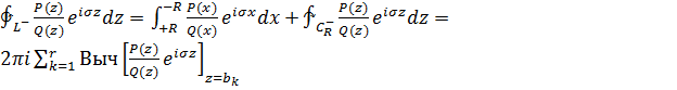
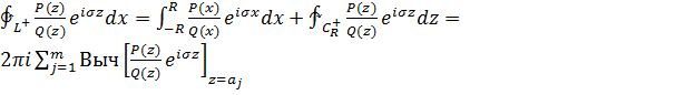
Пусть  - корни многочлена Q(х), лежащие в верхней полуплоскости. Образуем замкнутый контур , состоящий из отрезка [-R, R] вещественной оси и полуокружности .Тогда

 (1.3.2.4)

Покажем, что при

. (1.3.2.5)

Если , , то ||=||=. Поэтому если степень многочлена Q(z) по крайней мере на две единицы выше степени многочлена P(z), доказательство соотношения (1.3.2.5) можно провести точно так же, как в 1.3.1.

в. Если степень многочлена Q(z) лишь на единицу выше степени многочлена P(z), то рассуждение 1.3.1 не проходит. Для этого случая мы установим следующую лемму.

Лемма. При  справедливо неравенство

 (c - постоянная).

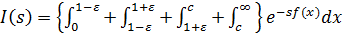
Доказательство. Так как , то достаточно рассмотреть интеграл

 составляющий ровно половину предыдущего. Мы имеем при  

 

поскольку функция  при u>0 ограничена. Лемма доказана.

г. Следствие (лемма Жордана). Если функция f(z) определена и аполитична в полуплоскости при и при этом

,

то для

.

Доказательство. Применяя лемму в, находим

 

что и требуется.

д. Теперь завершим вычисление интеграла (1.3.21) для . Так как эта функция при достаточно больших |z| удовлетворяет неравенству

 то из леммы Жордана следует выполнение равенства (1.3.2.5). Интеграл Фурье от функции f(z) получается теперь при  из (4) предельным переходом при :

.

е. Если , то проведенное рассуждение теряет силу, так как на дуге  функция  неограниченно возрастает. В этом случае аналогичное построение мы проведем не в верхней, а в нижней полуплоскости. Обозначим через  полуокружность  настолько большого радиуса, что все корни  многочлена Q(z) в нижней полуплоскости оказываются внутри нее; тогда

.

Интеграл по полуокружности  допускает оценку

 

и в силу леммы стремится к нулю при . Отсюда

 

что дает значение интеграла Фурье от функции  при .

Особые интегралы Фурье. Интегралы Фурье 1.3.2 (1.3.2.2) и (1.3.2.3) иногда могут существовать и для функций f(x), имеющих особенности на самой оси х, если эти особенности компенсируются соответствующими нулями функций  или  .

1.4 Несобственные интегралы, содержащие параметр

Определение. Несобственный интеграл с параметром

, (1.4.1.1)

сходящийся при каждом значении  из некоторого множества S, называется равномерно сходящимся на S, если для любого  существует такое N, что при любом  и любом

.

Возьмем произвольно числа  и составим последовательность функций

. (1.4.1.2)

Если интеграл (1.4.1.1) сходится равномерно на множестве S, то последовательность (1.4.1.2) в том же промежутке равномерно сходится к своему пределу, которым служит интеграл (1.4.1.1).

Теорема. Если S есть метрическое пространство, функция равномерно непрерывна на каждом произведении , и интеграл (1.4.1.1) сходится равномерно на S, то -непрерывная функция от  на множестве S.

Доказательство. Функция  непрерывна при . Функция , как предел равномерно сходящейся последовательности непрерывных функций, также непрерывна при . Теорема доказана.

Теорема. Если функция  непрерывна по совокупности  на каждом прямоугольнике

 

и интеграл (1.4.1.1) сходится при  равномерно по, то функция

 

обладает сходящимся несобственным интегралом по промежутку  и

. (1.4.3.1)

Доказательство. Из равномерной сходимости непрерывных функций  к  следует, что

. (1.4.3.2)

С другой стороны

.

Поэтому равенство (1.4.3.2) можно переписать в форме

. (1.4.3.3)

Но существование предела справа для любых  означает существование несобственного интеграла . Поэтому из (1.4.3.3) получаем (1.4.3.1). Теорема доказана.

а. Теорема. Если частная производная  непрерывна по совокупности  в любом прямоугольнике ,, интеграл  сходится при  равномерно по и сходится интеграл , то функция

 

существует при , дифференцируема по  и

. (1.4.4.1)

Доказательство.

.

По условию последовательность функций  сходится равномерно на отрезке , a последовательность функций  сходится в точке . Последовательность  сходится равномерно на отрезке , ее предел  есть дифференцируемая функция от  и

 

Тем самым доказаны существование и дифференцируемость по  интеграла

 и равенство (1.4.4.1).

б. Для аналитических функций теорема а приобретает несколько измененную формулировку.

Предположим, что функция у(t, s) определена при  и , где G-некоторая область в плоскости ; пусть, далее, у(t, s) аналитична по  при каждом t и непрерывна по совокупности (t, s) в каждом «цилиндре» вида , . Будем говорить, что интеграл

, (1.4.4.2)

сходится равномерно внутри G, если он сходится при каждом  и если для любого компакта QG и любого  существует такое , что

.

Теорема. Если интеграл (1.4.4.2) сходится равномерно внутри G, то функция

 аполитична внутри G и

.

Доказательство. Функция

 

аналитична по s, и при этом . Далее, функция  при  равномерно внутри G сходится к функции ;поэтому функция  аналитична в G. Функции  сходятся в области G к функции ; отсюда

 что и требуется.

Критерий Коши для равномерной сходимости интегралов. Несобственный интеграл

 (1.4.5.1)

с параметром , пробегающим некоторое множество S, сходится равномерно на S тогда и только тогда, когда для любого  найдется такое число N, что при любых

 (1.4.5.2)

Доказательство. Пусть интеграл (1.4.5.1) сходится равномерно на S. Для заданного  найдем число N так, чтобы иметь

 (1.4.5.3)

при любом  и любом . Пусть, далее, , так что и

 (1.4.5.4)

интеграл эйлер сходимость функция

Из неравенств (1.4.5.3) и (1.4.5.4) следует (1.4.5.2), чем доказана необходимость критерия Коши. Обратно, если выполнено неравенство (1.4.5.2), то интеграл (1.4.5.1) при каждом  сходится в силу 1.1.2 г. В неравенстве (1.4.5.2) перейдем к пределу при ; мы получим

 для всех и всех , что и означает равномерную сходимость интеграла (1.4.5.1) на множестве S. Теорема доказана.

а. Критерий Коши в свою очередь служит основой для получения частных признаков равномерной сходимости. Одним из простейших является «мажорантный признак».

Пусть имеется неотрицательная функция f(t) со сходящимся интегралом

 (1.4.6.1)

Мы будем называть ее интегрируемой мажорантой для всякой функции у(t), такой, что .

Теорема. Если функция  при всех  обладает одной и той же интегрируемой мажорантой f(t), то интеграл

 

сходится равномерно на S.

Это утверждение выводится из неравенства

 

путем применения критерия Коши 1.4.5.

Свертка двух функций. Сверткой двух комплексных функций g(t) и f(t), определенных при , называется интеграл 3-го рода

 (1.4.7.1)

Эта функция определена не всегда. Далее указываются условия ее существования и ее свойства.

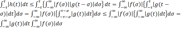
Теорема. Если f(t) и g(t) непрерывны, ограничены и абсолютно интегрируемы на оси ,, то h(t) существует при каждом t, непрерывна, ограничена и абсолютно интегрируема на оси ,, причем

.

Доказательство. Если , подынтегральная функция допускает оценку , откуда следует, что интеграл (1.4.7.1) сходится и притом равномерно по параметру . Далее, функция h(t) (1.4.7.1) ограничена, поскольку

,

Покажем, что подынтегральная функция непрерывна по совокупности аргументов в каждом конечном прямоугольнике , . Пусть  и . Для заданного  найдем  так, чтобы из   следовало  и из ,  следовало ; тогда при ,  мы имеем

и при  

 

что и означает непрерывность функции  по совокупности аргументов в указанном прямоугольнике. Функция h(t) непрерывна по t.

Теперь проверим абсолютную интегрируемость h(t). Для этого заметим сначала, что функции  и  удовлетворяют тем же условиям, что и  и ; следовательно, интеграл

 

также сходится равномерно по t, причем подынтегральная функция непрерывна по совокупности t и  в любом прямоугольнике , . Применяя к этому интегралу теорему 1.4.3, находим

 

откуда следует существование интеграла . Haконец

 

Мы докажем, что последний интеграл стремится к 0 при , чем и будет доказано последнее утверждение теоремы. Для заданного  найдем  так, чтобы

и затем  так, чтобы

 

Тогда мы будем иметь

 

откуда и следует утверждение. Теорема доказана.

Операция свертки, или свертывание, функций f(t) и g(t) обозначается знаком *.

Признак Абеля - Дирихле равномерной сходимости интегралов.

а. Этот признак может быть использован в некоторых случаях, когда мажорантный признак непригоден.

Рассмотрим интеграл

 (1.4.8.1)

Если (комплексная) функция u(t) обладает кусочно-непрерывной абсолютно интегрируемой производной и стремится к нулю при , а  , где С не зависит ни от Т, ни от , то интеграл (1.4.8.1) сходится равномерно на S.

Для доказательства положим  и воспользуемся интегрированием по частям:

.

Здесь мы имеем

;

.

В силу наших предположений полученные величины стремятся к 0 при T,, что и требуется.

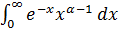
1.5 Гамма-функция и бета-функция Эйлера

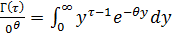
Гамма-функция Эйлера  определяется формулой

 (1.5.1.1)

Этот несобственный интеграл 3-го рода представляется в виде суммы интеграла 1-го рода

 и интеграла 2-го рода

 

первый сходится при любом вещественном , второй сходится при любом  > 0.

Поэтому Г() определена равенством (1.5.1.1) для всех  >0. Если , то подынтегральная функция обладает интегрируемой мажорантой ; поэтому на любом отрезке [] интеграл (1.5.1.1) сходится равномерно и представляет собой непрерывную функцию от . Таким образом, Г()-непрерывная функция от  на (). Производная по  подынтегральной функции имеет вид  и обладает интегрируемой мажорантой  на любом отрезке ;р, a так как функция  непрерывна по  при каждом  и непрерывна по t и  в любом прямоугольнике  то функция Г() имеет производную

 

которая непрерывна по тем же причинам, что и сама функция Г(). Можно продолжать дифференцирование, каждый раз применяя теорему 1.4.4 а; таким образом, Г() имеет производные всех порядков.

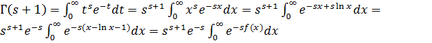
Из определения (1.5.1.1) интегрированием по частям получаем

 или

 (1.5.2.1)

Равенство (1.5.2.1) называется основным функциональным уравнением для гамма-функции. Применяя его несколько раз, получаем

 (1.5.2.2)

таким образом, если мы знаем значения гамма-функции в каком-либо промежутке длины 1, мы сможем найти ее значения в остальных точках полуоси  > 0. Поскольку

 мы получаем, что

 

Отсюда видно, что гамма-функция является распространением на все положительные числа функции n!, определенной лишь для натуральных значений n. Далее, из непрерывности  при  = 1 и из (1.5.2.1) следует, что при

 

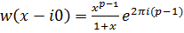
Бета-функция и ее связь с гамма-функцией. Интеграл

 (1.5.3.1)

являющийся функцией двух параметров p и q, называется бета-функцией Эйлера. Он существует для всех положительных значений р и q: при  как собственный, при остальных значениях р и q как несобственный интеграл.

Подстановка  преобразует интеграл (1.5.3.1) к виду

 (1.5.3.2)

Покажем, что бета-функцию можно выразить через гамма-функцию.

Сделав в выражении для гамма-функции

 

Подстановку , мы получим

 

Заменим здесь  на  и  на :

 

Умножим обе части этого равенства на  и проинтегрируем от 0 до n:

 (1.5.3.3)

При  левая часть стремится к .

Подынтегральная функция в правой части имеет интегрируемую мажоранту , поэтому интегралы можно переставить:

 

где функция

 при  стремится к функции , равной 0 при y=0 и равной постоянной  при у > 0. На отрезке  эта сходимость неравномерна (что видно хотя бы из разрывности предельной функции). Но на любом отрезке , где h>0, сходимость  уже равномерна, поскольку

 

Кроме того, поскольку  стремится к  возрастая, у совокупности функций  имеется интегрируемая мажоранта ; поэтому

 

С другой стороны, при любом h > 0

 (1.5.3.4)


 (1.5.3.5)

Далее, при выбранном h найдем N такое, чтобы при n>N

иметь

 (1.5.3.6)

Наконец, заметим, что при выбранном h

 (1.5.3.7)

Из неравенств (1.5.3.4), (1.5.3.5), (1.5.3.6), (1.5.3.7) следует, что

 

откуда следует, что

 .

Теперь, переходя к пределу в (1.5.3.3), получаем

 (1.5.3.8)

Это и есть искомое выражение бета-функции через гамма-функцию.

Многие тригонометрические интегралы в свою очередь выражаются через бета-функцию. Так, произведя в интеграле

 подстановку , получим

 

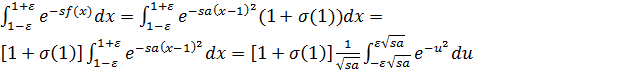
Формула дополнения для гамма-функции. Полагая q=1-р, получим

 (1.5.5.1)

Этот интеграл можно вычислить до конца. Рассмотрим вначале аналитическую функцию

 

в плоскости комплексного переменного z, разрезанной по вещественной положительной полуоси. Эта функция определена однозначно, если на верхнем крае разреза положить

 (1.5.5.2)

На нижнем крае разреза, совершив обход в положительном направлении вокруг начала координат, мы получаем ,

 (1.5.5.3)

Рис. 1.5.5.1

Рассмотрим замкнутый контур L (рис. 1.5.5), состоящий из отрезка [0, R] (R > 1) оси х на верхнем крае разреза, окружности  радиуса R с центром в начале координат и отрезка [R, 0] на нижнем крае разреза. Внутри контура L имеется одна особая точка функции w(z) - полюс первого порядка при z = - 1.

 (1.5.5.4)

С другой стороны,

 (1.5.5.5)

При |z|=R мы имеем , откуда при p<1

 (1.5.5.6)

Переходя в равенстве (1.5.5.5) к пределу при  и используя (1.5.5.2)- (1.5.5.5), находим

 

и, следовательно,

 

Таким образом, мы получаем

(1.5.5.7)

Эта формула называется формулой дополнения для гамма-функции. В частности, полагая в ней р=1/2, находим

 (1.5.5.8)

Используя основное функциональное уравнение, получаем

,

 

Рис. 1.5.5.2

На рис. 1.5.5.2 дан график гамма-функции при .

С помощью гамма-функции можно вычислить важные интегралы, встречающиеся в теории вероятностей:

 (1.5.6.1)

Именно, подстановка  приводит интеграл  к виду

 

В частности,

 (1.5.6.2)

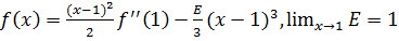
Асимптотическое выражение для гамма-функции. При больших значениях  величина гамма-функции

 

допускает простое асимптотическое представление.

а. Лемма. Пусть функция  определена при x > 0, равна 0 при х=1, монотонно убывает при 0 < х < 1 и монотонно возрастает при х>1, в окрестности точки х=1 допускает представление

,

 и при  удовлетворяет неравенству

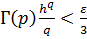
 (1.5.7.1)

Тогда

 (1.5.7.2)

при есть бесконечно малая, эквивалентная  .

Доказательство. Сходимость интеграла (1.5.7.2) при s>0 следует из оценки (1.5.7.1). Мы имеем при

.

Далее, при достаточно малом  по условию

, (1.5.7.3)

, (1.5.7.4)

. (1.5.7.5)

Переходя к вычислению интеграла от  до , замечаем, что в этом промежутке

 

если только

 (1.5.7.6)

Число  у нас пока произвольно; положим для

 

Тогда

 

и условие (1.5.7.6) заведомо выполняется. С другой стороны, при указанном выборе  

 

Теперь при  и любом  по построению

 так что

 где  при . Поэтому

 

Так как , то последний интеграл при  имеет предел

 так что

 где  при .. Итак,

 .

Что касается остальных слагаемых (1.5.7.3), (1.5.7.4), (1.5.7.5), то в силу

равенства  все они при  стремятся к 0 по экспоненциальному закону. Следовательно,

 

что и требуется.

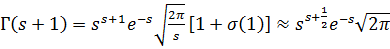
б. Теперь преобразуем выражение гамма-функции к такому виду, чтобы можно было использовать лемму. Мы имеем при подстановке  

 где

.

Функция , как нетрудно проверить, удовлетворяет условиям леммы. При этом ; в окрестности точки х=1

 

так что постоянная а равна . Применяя лемму, находим

 

что и дает искомое асимптотическое выражение.

В частности, если  - натуральное число, то , и мы получаем

 (формула Стирлинга, 1730).

Гамма-функция в комплексной области. Формула, определяющая гамма-функцию,

 (1.5.8.1)

пригодна не только для вещественных значений , но и для некоторых комплексных z. А именно, если , , то интеграл (1.5.8.1) также сходится, поскольку подынтегральная функция

 

лишь множителем , по модулю равным 1, отличается от функции . Таким образом, формула (1.5.8.1) непосредственно позволяет определить  для всех  с , т. е. во всей (открытой) правой полуплоскости G плоскости z. Интеграл (1.5.8.1) сходится равномерно внутри G, поскольку для любого компакта  величина  положительна и имеется интегрируемая мажоранта . Функция Г(z) аналитична в области G.

Исследуем возможность аналитического продолжения функции Г(z) в левую полуплоскость. Для этого используем уравнение 1.5.2 (1.5.2.2)

 (1.5.8.2)

Оно было доказано для вещественных значений z. Но так как обе части равенства представляют собой, очевидно, аналитические функции от z в области G, то из совпадения их на вещественной оси следует в силу теоремы единственности их совпадение во всей полуплоскости G. Переписывая равенство (1.5.8.2) в виде

(1.5.8.3)

обратим внимание на то, что правая часть определена и аналитична при всех z с , за исключением значений . Используя теперь формулу (1.5.8.3) для определения гамма-функции, мы получаем аналитическое продолжение ее -в область . При разных n получаются формально различные определения, но в силу единственности аналитического продолжения различные определения дают для любого z одно и то же значение функции Г(z). Так как n можно взять произвольно большим, функция Г(z) оказывается определенной во всей плоскости z, за исключением изолированных особенностей в точках  

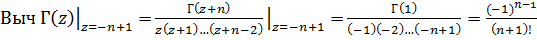
Из формулы (1.5.8.3) видно, что все эти особенности являются полюсами первого порядка. Можно вычислить и вычет функции Г(z) в полюсе , именно

.

.       
РЕАЛИЗАЦИЯ НА ЭВМ

2.1    Текст программы

integral;

{$APPTYPE CONSOLE}

SysUtils;

{задаем нижнюю границу интеграла}x1=1;

{процедура вывода на экран значения интеграла}

procedure Out(s:real);

begin

writeln ('znachenie integrala s =',s:10:5);

end;

{процедура вывода на экран верхней границы интеграла}

procedure Outt(a:real);

begin

writeln('verhnyaya granitsa integrala a =',a:10:5);

end;

{функция подсчета высоты прямоугольника}

function funct(x:real):real;

begin

funct:=1/(x);

end;

{описание переменных, используемых в программе}

var s,h,e,a,sh:real; k:integer

{ TODO -oUser -cConsole Main : Insert code here }('vvedite tochnost e = ');(e);('vvedite shag sh = ');

readln(sh);

s:=0;

h:=x1+sh;

k:=1;

{оператор, вычисляющий значение интеграла и его верхнюю границу}

while funct(x1+k*(h-x1)-(h-x1)/2)>e do

begin

s:=s+(h-x1)*funct(x1+k*(h-x1)-(h-x1)/2);

a:=x1+k*(h-x1);

k:=k+1;

end;

{вызов процедур Out и Outt}

Out(s);

Outt(a);

readln;.

2.2 Результат работы программы


ЗАКЛЮЧЕНИЕ

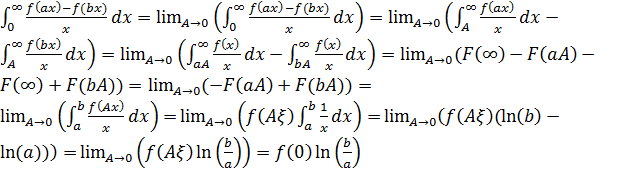
Несобственные интегралы имеют важное значение во многих областях математического анализа и его приложений. В теории специальных функций (цилиндрических функций, ортогональных многочленов и др.) одним из основных способов изучения является изображение функций в виде несобственных интегралов, зависящих от параметра, например . К несобственным интегралам относится и Фурье интеграл <#"663007.files/image434.gif"> 

Многие конкретные несобственные интегралы были вычислены в XVII и XVIII веках, еще до точного определения сходимости несобственного интеграла, данного Коши лишь в 1821 г. Коши указал также способ вычисления несобственных интегралов с помощью аналитического продолжения и теории вычетов. Абсолютно сходящиеся интегралы были выделены Дирихле (1854), равномерно сходящиеся-Валле-Пуссеиом (1892).

СПИСОК ИСПОЛЬЗОВАННОЙ ЛИТЕРАТУРЫ:

1. Шилов Г.Е. Математический анализ (функции одного переменного). М., 1969

. Данко П.Е. и др. Высшая математика. М., 1997

. Общий курс высшей математики. Под ред. Ермакова. М., 2004

. Пак В.В. Высшая математика. М., 1997

. Шипачев В.С. Высшая математика. М., 2003

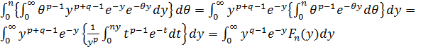
ПРИЛОЖЕНИЕ

Задание 1

Предположим, что А>0, тогда

 

Последнее выражение получилось исходя из того, что

 

Задание 2

 

Пусть  - корни многочлена Q(x), лежащие в верхней полуплоскости. Образуем замкнутый контур , состоящий из отрезка [-R, R] вещественной оси и полуокружности . Тогда

 


Не нашли материал для своей работы?
Поможем написать уникальную работу
Без плагиата!
Без нейросетей!