|
Попит на r одиниць
|
Частота запитів r
|
|
4
|
2
|
|
5
|
3
|
|
6
|
3
|
|
7
|
5
|
|
8
|
5
|
|
9
|
10
|
|
10
|
15
|
|
11
|
20
|
|
12
|
25
|
|
13
|
35
|
|
14
|
43
|
|
15
|
52
|
|
16
|
60
|
|
17
|
66
|
|
18
|
70
|
|
19
|
73
|
|
20
|
71
|
|
21
|
68
|
|
22
|
60
|
|
23
|
52
|
|
24
|
45
|
|
25
|
35
|
|
26
|
27
|
|
27
|
20
|
|
28
|
14
|
|
29
|
8
|
|
30
|
7
|
|
31
|
4
|
|
32
|
2
|
|
33
|
1
|
Необхідно виконати два завдання:
) Визначити оптимальний запас
за інтервал T = 1 місяць
) Визначити оптимальний запас
за інтервал T = 2 місяці
Актуальність роботи:
Об’єктом дослідження є фірма по
ремонту ексклюзивних мобільних телефонів (телефони виробництва Apple,
BlackBerry, Sony…).
В основному ремонту потребує дисплей телефону, оскільки за статистикою він є
найбільш схильним до поломок.
Оскільки зараз дуже стрімко
створюються все нові та нові моделі мобільних телефонів, а давніші виходять з
"моди", потрібно завжди бути напоготові ремонтувати будь які моделі,
і мати необхідну кількість деталей, в інакшому ж випадку користувачі підуть в
іншу майстерню. Для невеликих компаній невигідно закуповувати і зберігати на
складі велику кількість товарів, а особливо в даному випадку, оскільки часто
буде ставатися їх "старіння" і вони просто стануть непотрібними. Але
разом із тим, при відсутності необхідної деталі її потрібно терміново закупити,
а оскільки купівля буде проходити не в оптовому замовленні і терміново, ціни
можуть дуже зростати, і прибуток від ремонту буде стрімко зменшуватися, а то і
виходити в збитки. Тому, бажано розраховувати оптимальні запаси товарів, щоб
отримувати максимум прибутку від виробництва.
Підсумовуючи все вищесказане, можна
стверджувати, що дослідження пропозиції і попиту на певні деталі і визначення
оптимальної кількості запасів є досить актуальним.
Завдання 1
1.1 Оскільки функція розподілу
ймовірностей невідома, визначимо її виходячи з відомої частоти запитів
Запит n одиниць - це подія. Для
кожного n розрахуємо імовірність появи події за формулою:
Результати розрахунків запишемо до
таблиці 2. Проілюструємо розподіл ймовірностей на рисунку 1.
Рис. 1. - Розподіл ймовірностей.
Як бачимо із графіку (на рис.1),
ймовірність для попиту в розмірі 19 одиниць найбільша. Але скоріше за все,
значення s = 19 не буде оптимальним розміром запасу, враховуючи різну величину
збитків за надлишкову одиницю і за дефіцитну одиницю.
1.2 Визначимо
рівень збитків за надлишкову одиницю і одиницю, яка в дефіциті
Якщо попит нижче рівня запасів s, то
надлишок продається зі збитками С1, якщо ж попит вище рівня запасу, то
недостачу потрібно компенсувати, що витікає в збитки С2 на одну одиницю
(виробу/товару). Значення С1 і С2 беремо згідно до умови завдання.
пропозиція попит збитки
дефіцит
Згідно до умови, затрати на
зберігання малі, відносно С1 та С2, а отже, можна не брати до уваги час
перебування деталі на складі.
1.3 Математичне
очікування збитків описується формулою
(1)
Користуючись нею можна показати, що
мінімум функції Г(S) буде при значенні
, (2) де
Розрахуємо значення
і
запишемо до таблиці 2.
Таблиця 2. Результати обчислень
|
Попит на r одиниць
|
Частота запитів r
|
p
|
p(r <= s)
|
|
4
|
2
|
0.0022
|
0.0022
|
|
5
|
3
|
0.0033
|
0.0055
|
|
6
|
3
|
0.0033
|
0.0089
|
|
7
|
5
|
0.0055
|
0.0144
|
|
8
|
5
|
0.0055
|
0.0200
|
|
9
|
10
|
0.0111
|
0.0311
|
|
10
|
15
|
0.0166
|
0.0477
|
|
11
|
20
|
0.0222
|
0.0699
|
|
12
|
25
|
0.0277
|
0.0977
|
|
13
|
35
|
0.0388
|
0.1365
|
|
14
|
43
|
0.0477
|
0.1842
|
|
15
|
52
|
0.0577
|
0.2420
|
|
16
|
60
|
0.0666
|
0.3085
|
|
17
|
66
|
0.0733
|
0.3818
|
|
18
|
70
|
0.0777
|
0.4595
|
|
19
|
73
|
0.0810
|
0.5405
|
|
20
|
71
|
0.0788
|
0.6193
|
|
21
|
68
|
0.0755
|
0.6948
|
|
22
|
60
|
0.0666
|
0.7614
|
|
23
|
52
|
0.0577
|
0.8191
|
|
24
|
45
|
0.0499
|
0.8690
|
|
25
|
35
|
0.0388
|
0.9079
|
|
26
|
27
|
0.0300
|
0.9378
|
|
27
|
20
|
0.0222
|
0.9600
|
|
28
|
14
|
0.0155
|
0.9756
|
|
29
|
8
|
0.0089
|
0.9845
|
|
30
|
7
|
0.0078
|
0.9922
|
|
31
|
4
|
0.0044
|
0.9967
|
|
32
|
2
|
0.0022
|
0.9989
|
|
33
|
1
|
0.0011
|
1.0000
|
1.4
Розрахуємо значення ρ,
що задовольняє нерівності
Приймемо значення
.5
Знайдемо розмір запасу, оптимальний при
З таблиці 2 знайдемо найменше
значення
,
яке більше ρ = 0,909. Це
значення 0, 9378, якому відповідають 26 одиниць.
.6
За формулою (1) розрахуємо математичне очікування збитків при s = 26
1.7
Повторимо розрахунки для
Таблиця 3. Результати обчислень
|
С2
|
ρ
|
s0
|
Г(s0)
|
|
500
|
0.909
|
26
|
438.24
|
|
1000
|
0.952
|
27
|
500.11
|
|
1500
|
0.967
|
28
|
534.24
|
|
2000
|
0.975
|
29
|
560.27
|
Як бачимо, при зміні С2 оптимальне
значення запасу змінюється.
Розрахуємо залежність математичного
очікування збитків від значень
:
Таблиця 4. Результати обчислень
|
S
|
C2
|
|
500
|
1000
|
1500
|
2000
|
|
21
|
709.54
|
1260.60
|
1811.65
|
2362.71
|
|
22
|
591.68
|
990.12
|
1388.57
|
1787.01
|
|
23
|
510.43
|
789.57
|
1068.70
|
1347.84
|
|
24
|
460.93
|
649.61
|
838.29
|
1026.97
|
|
25
|
438.90
|
562.10
|
685.29
|
808.49
|
|
26
|
438.24
|
515.37
|
592.51
|
669.64
|
|
27
|
454.05
|
500.11
|
546.17
|
592.23
|
|
28
|
482.08
|
508.16
|
534.24
|
560.32
|
|
29
|
518.65
|
532.52
|
546.39
|
560.27
|
|
30
|
560.10
|
566.20
|
572.31
|
578.41
|
|
31
|
605.83
|
608.05
|
610.27
|
612.49
|
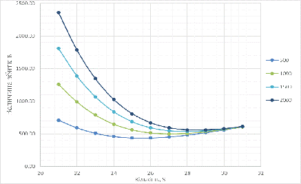
Побудуємо залежність, описану в
таблиці 4. (рис. 2).
Рис. 2. - Залежність математичного
очікування збитків від С2 та S.
Завдання 2
.1 Розрахунок функції попиту на
інтервалі в 2 місяці
Для того, щоб розрахувати
ймовірність попиту на вдвічі більшому інтервалі, варто припустити, що функція
попиту за однакові проміжки часу однакова.
З таблиці 1 робимо висновок, що
менше ніж на 4 одиниці товару за проміжок часу 1 місяць в нас не буває. Іншими
словами, ймовірність попиту менше ніж 4 одиниці дорівнює нулю.
Для знаходження функції попиту
скористаємось формулою:
З (3) та (4) випливає, що
Розрахуємо значення для r = 8:

Аналогічним чином розрахуємо
значення для всіх інших можливих значень попиту (до r = 66). Результат подано в
таблиці 5.
Розрахована функція розподілу попиту
за період рівний 2Т зображена на рисунку 3.
Рис. 3. - Розподіл ймовірностей за
інтервал Т = 2 місяці.
.2 Розрахуємо оптимальну
кількість запасів за термін 2Т
Нехай ми можемо замовляти новий
товар лише раз на 2 місяці. Тоді потрібно знайти такий запас товару на складі,
який мінімізує збитки.
З завдання 1 візьмемо С1 = 50
(витрати на зберігання одиниці товару), С2 = 500 (1000, 1500, 2000) (збитки за
недостачу товару). Користуючись методикою з попереднього завдання знайдемо
оптимальний запас. Всі результати розрахунків наведені в таблиці 5.
Таблиця 5. Результати обрахунків
|
Попит на r одиниць
|
p
|
p(r <= s)
|
Збитки при С1 = 50
|
C2 = 1000
|
C2 = 1500
|
C2 = 2000
|
|
8
|
4.93E-06
|
4.93E-06
|
14932.3
|
29864.59
|
44796.89
|
59729.19
|
|
9
|
1.48E-05
|
1.97E-05
|
14432.3
|
28864.6
|
43296.9
|
57729.2
|
|
10
|
2.59E-05
|
4.56E-05
|
13932.31
|
27864.62
|
41796.93
|
55729.24
|
|
11
|
4.68E-05
|
9.24E-05
|
13432.34
|
26864.67
|
40297
|
53729.33
|
|
12
|
7.27E-05
|
1.65E-04
|
12932.39
|
25864.77
|
38797.14
|
51729.52
|
|
13
|
0.000123
|
2.88E-04
|
12432.48
|
24864.94
|
37297.4
|
49729.86
|
|
14
|
0.000216
|
5.04E-04
|
11932.64
|
23865.24
|
35797.85
|
47730.45
|
|
15
|
0.000345
|
8.49E-04
|
11432.91
|
22865.77
|
34298.63
|
45731.49
|
|
16
|
0.000536
|
1.38E-03
|
10933.38
|
21866.66
|
32799.94
|
43733.23
|
|
17
|
0.000813
|
2.20E-03
|
10434.14
|
20868.12
|
31302.09
|
41736.06
|
|
18
|
0.00121
|
3.41E-03
|
9935.35
|
19870.42
|
29805.5
|
39740.57
|
|
19
|
0.001757
|
5.16E-03
|
9437.224
|
18874
|
28310.78
|
37747.55
|
|
20
|
0.002507
|
7.67E-03
|
8940.064
|
17879.42
|
26818.78
|
35758.14
|
|
21
|
0.003469
|
1.11E-02
|
8444.283
|
16887.48
|
25330.67
|
33773.86
|
|
22
|
0.004725
|
1.59E-02
|
7950.41
|
15899.17
|
23847.94
|
31796.7
|
|
23
|
0.006329
|
2.22E-02
|
7459.135
|
14915.83
|
22372.53
|
29829.22
|
|
24
|
0.008323
|
3.05E-02
|
6971.342
|
13939.13
|
20906.93
|
27874.72
|
|
25
|
0.010749
|
4.13E-02
|
6488.127
|
12971.18
|
19454.23
|
25937.28
|
|
26
|
0.013647
|
5.49E-02
|
6010.823
|
12014.51
|
18018.19
|
24021.88
|
|
27
|
0.017007
|
7.19E-02
|
5541.026
|
11072.17
|
16603.31
|
22134.45
|
|
28
|
0.020856
|
9.28E-02
|
5080.582
|
10147.68
|
15214.78
|
20281.89
|
|
29
|
0.02511
|
1.18E-01
|
4631.609
|
9245.098
|
13858.59
|
18472.08
|
|
30
|
0.02969
|
1.48E-01
|
4196.446
|
8368.879
|
12541.31
|
16713.74
|
|
31
|
0.034452
|
1.82E-01
|
3777.613
|
7523.833
|
11270.05
|
15016.27
|
|
32
|
0.039224
|
2.21E-01
|
3377.728
|
6714.962
|
10052.2
|
13389.43
|
|
33
|
0.043809
|
2.65E-01
|
2999.416
|
5947.276
|
8895.136
|
11843
|
|
34
|
0.048009
|
3.13E-01
|
2645.199
|
5225.589
|
7805.979
|
10386.37
|
|
35
|
0.051574
|
3.65E-01
|
2317.387
|
4554.312
|
6791.236
|
9028.16
|
|
36
|
0.054301
|
4.19E-01
|
2017.941
|
3937.187
|
5856.434
|
7775.68
|
|
37
|
0.056065
|
4.75E-01
|
1748.361
|
3377.08
|
5005.798
|
6634.517
|
|
38
|
0.056702
|
5.32E-01
|
1509.617
|
2875.841
|
4242.065
|
5608.289
|
|
39
|
0.056211
|
5.88E-01
|
1302.059
|
2434.139
|
3566.219
|
4698.3
|
|
40
|
0.054613
|
6.43E-01
|
1125.417
|
2051.459
|
2977.501
|
3903.543
|
|
41
|
0.051976
|
6.95E-01
|
978.8119
|
1726.123
|
2473.433
|
3220.744
|
|
42
|
0.048448
|
7.43E-01
|
860.7938
|
1455.361
|
2049.928
|
2644.495
|
|
43
|
0.04425
|
7.87E-01
|
769.4221
|
1235.469
|
1701.516
|
2167.563
|
|
44
|
0.039574
|
8.27E-01
|
702.3877
|
1062.04
|
1421.692
|
1781.344
|
|
45
|
0.034666
|
8.61E-01
|
657.1188
|
930.1629
|
1203.207
|
1476.251
|
|
46
|
0.029726
|
8.91E-01
|
630.9163
|
834.6855
|
1038.455
|
1242.224
|
|
47
|
0.024949
|
9.16E-01
|
621.0634
|
770.4208
|
919.7782
|
1069.136
|
|
48
|
0.020489
|
9.37E-01
|
624.9327
|
732.3531
|
839.7735
|
947.194
|
|
49
|
0.016462
|
9.53E-01
|
640.071
|
715.7989
|
791.5268
|
867.2547
|
|
50
|
0.012926
|
9.66E-01
|
664.2634
|
716.5299
|
768.7964
|
821.0629
|
|
51
|
0.009926
|
9.76E-01
|
695.5649
|
730.8328
|
766.1007
|
801.3686
|
|
52
|
0.007434
|
9.83E-01
|
732.3258
|
755.5581
|
778.7904
|
802.0227
|
|
53
|
0.005423
|
9.89E-01
|
773.1754
|
788.0891
|
803.0029
|
817.9166
|
|
54
|
0.003865
|
9.93E-01
|
817.0074
|
826.3138
|
835.6203
|
844.9268
|
|
55
|
0.002673
|
9.95E-01
|
862.9654
|
868.5973
|
874.2292
|
879.8611
|
|
56
|
0.001796
|
9.97E-01
|
910.3936
|
913.6875
|
916.9814
|
920.2753
|
|
57
|
0.00117
|
9.98E-01
|
958.8095
|
962.5174
|
964.3713
|
|
58
|
0.000737
|
9.99E-01
|
1007.869
|
1008.868
|
1009.867
|
1010.866
|
|
59
|
0.000441
|
9.99E-01
|
1057.334
|
1057.846
|
1058.359
|
1058.871
|
|
60
|
0.000257
|
1.00E+00
|
1107.041
|
1107.288
|
1107.534
|
1107.78
|
|
61
|
0.000143
|
1.00E+00
|
1156.89
|
1156.999
|
1157.108
|
1157.217
|
|
62
|
7.39E-05
|
1.00E+00
|
1206.818
|
1206.861
|
1206.904
|
1206.947
|
|
63
|
3.70E-05
|
1.00E+00
|
1256.786
|
1256.8
|
1256.814
|
1256.828
|
|
64
|
1.48E-05
|
1.00E+00
|
1306.774
|
1306.778
|
1306.782
|
1306.785
|
|
65
|
4.93E-06
|
1.00E+00
|
1356.771
|
1356.772
|
1356.772
|
1356.773
|
|
66
|
1.23E-06
|
1.00E+00
|
1406.77
|
1406.77
|
1406.77
|
1406.77
|
Оптимальне значення запасів за
період часу 2Т і сума збитків, які понесемо при цьому, наведені в наступній
таблиці:
Таблиця 6. Оптимальні значення
запасів
|
С2
|
ρ
|
s0
|
Г(s0)
|
|
500
|
0.909
|
47
|
621.06
|
|
1000
|
0.952
|
49
|
715.8
|
|
1500
|
0.967
|
51
|
766.1
|
|
2000
|
0.975
|
51
|
801.37
|
Побудуємо залежність, описану в
таблиці 5. (рис. 4).
Рис. 4.
- Залежність математичного очікування збитків від С2 та S
Висновок
В роботі досліджена проблема
вирішення задачі про оптимальні запаси на складі. На основі даних про
пропозицію та попит на товари, виміряних протягом одного місяці, визначено
оптимальну кількість товарів на складі в залежності від різної ціни збитків за
надлишок та нестачу. Також визначено оптимальні запаси на час тривалістю два
місяці.
Проаналізувавши результати бачимо,
що зазвичай величина оптимальних запасів дещо більша ніж оптимум функції
розподілу ймовірностей, що пояснюється великими збитками за недостачу товару.
Як бачимо, вибрана математична
модель є адекватною і в дозволяє в повній мірі визначити величину оптимальних
запасів.