Моделювання процесу прогнозування валютних курсів на базі теорії нечітких множин
Вступ
Актуальність теми.
Поведінка тимчасових фінансових рядів належить до областей в яких сучасна наука
не може відчувати себе повноправною господинею. Підтвердженням тому служить
невичерпне вже не одне десятиліття потік робіт на тему фінансових ринків, в
яких доводяться часом протилежні точки зору, а також величезна різноманітність
методів і підходів, що використовуються для їх дослідження. Безсумнівно,
фінансові ринки, будучи втіленням стихійних процесів, пробуджують у людині одне
з найдревніших і дивовижних його якостей: прагнення до підкорення і
підпорядкування власним цілям процесів навколишнього середовища. Дана обставина
в сукупності з перспективою практично необмеженого заробітку є основною
причиною такого високого інтересу до теми фінансових ринків.
Як було зазначено раніше, ймовірність успіху в
досягненні мети, переслідуваної у відношенні того чи іншого процесу або явища,
тим вище, чим більше інформації по даному процесі або явищі є в розпорядженні
суб'єкта, що формує мету. Для досягнення мети на фінансових ринках необхідною
інформацією є прогноз майбутньої поведінки фінансового часового ряду.
Дана робота є спробою
розібратися в принциповому існуванні чи відсутності можливості прогнозування
фінансових ринків, а також сутності класичних і сучасних методів прогнозування.
Мета дослідження. Метою даної
роботи є отримання теоретичних і практичних навичок ефективного прогнозування
фінансових ринків.
Завдання роботи. Завданням даної
роботи є розкриття сутності здійснення операцій на фінансовому ринку на прикладі
валютного ринку FOREX, опис методів прогнозування за допомогою теорії нейронних
мереж, застосування нейронно-нечітких гібридних мереж для прогнозування
валютних курсів
Об'єктом дослідження є побудова
моделі для прогнозування валютних курсів USDUAH на базі нечітких множин.
Предметом дослідження є інструменти та
засоби побудування моделей, зокрема MATLAB.
1. Характеристика
валютного ринку та методів прогнозування валютних курсів
.1 Введення в міжнародний валютний ринок FOREX
Міжнародний валютний ринок в тій формі, що ми
бачимо сьогодні, існує порівняно недавно. Глобальні зміни почалися в 30-ті роки
XX століття, коли вибухнула світова фінансова криза. Разом з початком кризи йде
в минуле панування золотомонетного стандарту, руйнуються багато торгово-економічні
зв'язки.
У 1944 пройшла Бреттон-Вудська конференція. У
результаті даної конференції Міжнародний валютний фонд (МВФ) стає найважливішим
інститутом, контролюючим міжнародні фінансово-економічні відносини. Були
встановлені регульовані паритети валют, прив'язані до долара США (можливе
відхилення могло становити не більше 1%), долар ж, у свою чергу, був
прив'язаний до золота. Зміни обмінного курсу могли мати місце, але для цього
необхідно було згода МВФ. У результаті планувалося через деякий час всі валюти
зробити конвертованими. До 1958 року багато європейських країн оголошують про
вільну конвертованість своїх валют, в 1964 це зробила Японія. У 1967 році
відбулася девальвація англійського фунта, що завдало останнього удару по
Бреттон-Вудської системи. Все це супроводжувалося економічною кризою в США, які
вже не могли підтримувати колишню ціну на унцію золота.
Як результат, в серпні 1971 зростання дефіциту
платіжного балансу змусив президента Р. Ніксона призупинити конвертованість
доларів на золото. У результаті, в 1973-1974 роках колишня система припинила
своє існування.
У 1976 році відбулася Ямайська конференція в м.
Кінгстон. Представники провідних світових держав сформували нові принципи
Світової валютної системи. Держави відмовилися від використання золота як
засобу покриття дефіциту при міжнародних платежах. Основними елементами нової
системи виступають міждержавні організації, регулюючі валютні відносини,
конвертованість валют. Платіжними засобами виступають національні валюти.
Головним механізмом, за допомогою якого здійснюються міжнародні валютні
операції, виступають комерційні банки. [1]
Розглянемо тепер більш детально поняття «вільно
конвертована валюта» (ВКВ). ВКВ - це національна валюта тих держав, які
ратифікували статтю 8 Статуту Міжнародного валютного фонду. Ці валюти без
обмежень обмінюються на інші види валют і широко використовуються для
здійснення платежів на міжнародних ринках. [2]
Статут МВФ (Articles of agreement of the IMF) був
розроблений в липні 1944 року. Стаття 8 Статуту МВФ свідчить, що країни, що
ратифікували даний статут, зобов'язуються:
· Усунути перешкоди
поточними платежами (avoidance of restrictions on current payments)
· Усунути дискримінаційну
валютну політику (avoidance of discriminatory currency practices)
· Забезпечити
конвертованість іноземних торгових балансів (convertibility of foreign trade
balances)
· Забезпечити фонд
інформацією, необхідною для його діяльності (furnishing of information)
· Обов'язок співпрацювати з
фондом та іншими членами угоди згідно політики резервних активів (obligation to
collaborate regarding policies on reserve assets). Це означає, що країни
повинні погоджувати активи фонду, щоб підтримувати його працездатність.
Таким чином, зробивши свої грошові знаки вільно
конвертованими, світова економіка перейшла на новий етап розвитку. Світовий
валютний ринок найчастіше називають FOREX (FOReigh EXchange - «іноземний
обмін»). Щоденний обсяг операцій по валютному ринку набагато перевищує
аналогічний показник по іншим ринкам. Щоденний обсяг ринку FOREX становить 3-4
трильйони доларів США. З кожним роком ця цифра зростає.
На даному ринку комерційні, державні організації
та фізичні особи продають і купують валюту однієї країни в обмін на валюту
іншої. Для зручності розрахунків було введено таке поняття, як мінімальний
«лот» покупки. Він був покладений рівним одному мільйону доларів. Тільки
починаючи з цієї суми фізичній особі або організації можна виходити на
Міжнародний валютний ринок.
Для підтримки ліквідності і мобільності даного
ринку було введено поняття «маркет-мейкерів» (market-maker). Ними є великі
транснаціональні банки, які взяли на себе зобов'язання постійно оновлювати
курси, по яких вони готові купувати і продавати ті чи інші валюти. Відмовитися
від угоди за заявленою ціною маркет-мейкери права не мають. Розглянемо тепер
інших учасників ринку FOREX.
Для тих організацій та фізичних осіб, чия заявка
менше, ніж мінімально можлива, передбачений наступний варіант. Вони можуть
укласти договір про надання послуг з тим банком або організацією, у якої є
угода з ким-небудь з маркет-мейкерів. Тоді операції, які хочуть проводити більш
дрібні гравці, будуть проходити через посередника, і, збільшуючись, формувати
повноцінні заявки. Ці заявки надходять на ринок FOREX. Дрібні операції
обмежуються однієї сотої лота, тобто $ 10,000. Зазвичай посередники, що
виникають на даному ринку, пропонують своїм клієнтам «кредитне плече». Кредитне
плече - це додаткова сума, яку посередник дає в борг для збільшення купівельної
спроможності при здійсненні операцій. Кредитне плече - безрозмірна величина, на
яку множиться заявка клієнта. Якщо посередник пропонує кредитне плече в розмірі
100, то за наявності у клієнта $ 100 він може здійснювати операції на ринку
FOREX на суму $ 10,000. [3]
Існування даного ринку життєво необхідна ринку товарному
і іншим ринкам, оскільки угоди в кожній країні здійснюються в національній
валюті. Для купівлі товарів закордоном необхідна її валюта, яку можна отримати,
обмінявши на неї свою валюту. Це одна з багатьох причин існування Міжнародного
валютного ринку. Оскільки відносні вартості валют постійно змінюються,
представляється можливим отримувати прибуток від покупки тієї або іншої валюти
в момент, коли ціна її знизилася, і продажі в період підйому ціни.
Серед основних причин популярності ринку FOREX
можна виділити наступні:
· Ліквідність. Саме гроші
мають найвищу ліквідність з усіх можливих активів. Тому ринок FOREX, на якому в
якості активів звертаються гроші, приваблює багатьох інвесторів. Адже саме
ліквідність і дозволяє їм вільно працювати на ринку, здійснювати угоди
будь-якого обсягу.
· Оперативність. Ринок
FOREX працює цілодобово, що дуже зручно для учасників ринку, так як їм не
доводитися чекати, щоб відреагувати на ту чи іншу подію на ринку.
· Вартість. Ринок FOREX
традиційно не має ніяких комісійних витрат, окрім природної ринкової різниці,
спреду (spread), між цінами попиту та пропозиції.
· Однозначність котирувань.
Через високу ліквідність ринку продаж практично необмеженого кількість лотів
може бути виконана за єдиною ринковою ціною. Це дозволяє уникнути проблеми
нестійкості, що існує у ф'ючерсах та інших фондових інвестиціях, де в один час
і за певною ціною можуть бути продані тільки обмежена кількість контрактів.
· Розмір маржі. Дилінговий
важіль (кредитне «плече») на ринку FOREX встановлюється ділінгової компанією і,
як вже було сказано вище, визначає співвідношення між сумою застави і виділеним
під неї заставним капіталом: 1:20; 1:40; 1:50; 1:100 і так далі. Використання
таких великих кредитних «плечей» робить цей ринок високоприбутковим і одночасно
високо ризикованим. [4]
Міжнародний валютний ринок можна класифікувати з
різних сторін. З одного боку, він може бути класифікований по виду операцій.
Наприклад, існує світовий ринок конверсійних операцій (у ньому можна виділити
ринки конверсійних операцій типу долар США / японська ієна або долар США /
канадський долар тощо). З іншого боку, можна провести класифікацію за
територіальною ознакою. В даний час світовий валютний ринок FOREX утворює
систему постійно взаємодіючих між собою за допомогою новітніх комп'ютерних
технологій валютних ринків, які знаходяться в різних куточках світу, в різних
часових поясах. Найбільш значними ринками можна вважати Азіатський (Токіо,
Сінгапур, Гонконг), Європейський (Лондон, Франкфурт на Майні, Цюріх) і
Американський (Нью-Йорк, Чикаго, Лос-Анджелес).
Основними учасниками валютного ринку є комерційні
банки, фірми, що здійснюють міжнародні валютні операції, компанії, що
здійснюють зарубіжні вкладення активів, центральні банки, валютні біржі,
валютні брокерські фірми, а також приватні особи. [5]
Комерційні банки. Основні обсяги (90-95%) угод на
ринку FOREX здійснюють найбільші комерційні банки. Вони проводять найбільший
обсяг операцій. Крім роботи від особи клієнтів банки також здійснюють операції
самостійно за рахунок власних коштів. Щоденний обсяг таких операцій досягає
декількох мільярдів доларів. Це такі банки, як Deutsche Bank, Barclays Bank,
Union Bank of Switzerland, Citibank, Standard Chartered Bank та інші. Їх
основною відмінністю є великі обсяги угод, які можуть призвести до значних змін
у котируваннях валютних пар.
Фірми, що здійснюють зовнішньоторговельні
операції. Тут маються на увазі компанії, які беруть участь у міжнародній
торгівлі, пред'являють стійкий попит на іноземну валюту і пропозиція іноземної
валюти. Такі компанії зазвичай не мають прямого доступу на валютний ринок і
проводять всі операції через комерційні банки.
Компанії, що здійснюють зарубіжні вкладення
активів. Дані компанії, представлені різного роду міжнародними інвестиційними
фондами, здійснюють політику диверсифікованого управління портфелем активів,
розміщуючи кошти в цінних паперах урядів і корпорацій різних країн. До даного
виду фірм відносяться також крупні міжнародні корпорації, що здійснюють
іноземні виробничі інвестиції: створення іноземних філій, спільних підприємств
і тому подібного. Як приклад можна навести Xerox, Nestle, General Motors, BP та
інші. [6]
Центральні банки. У завдання центральних банків
входить регулювання валюти на зовнішньому ринку, іншими словами, вони
запобігають різкі скачки курсів щоб уникнути економічних криз, підтримки
балансу експорту та імпорту тощо. Центральні банки мають прямий вплив на
валютний ринок. Їх не можна відносити ні до ведмедів, ні до биків, тому що вони
можуть грати як на зниження, так і на підвищення, виходячи з поставлених перед
ними завдань.
Валютні біржі. У ряді країн з перехідною
економікою функціонують валютні біржі, у функції яких входить здійснення обміну
валют для юридичних осіб і формування ринкового валютного курсу. Держава
зазвичай активно регулює рівень обмінного курсу, користуючись компактністю
біржового ринку.
Валютні брокерські фірми. Їх завданням є зведення
покупця і продавця іноземної валюти і здійснення між ними конверсійної
операції. За своє посередництво брокерські фірми стягують комісію у вигляді
відсотка від суми угоди.
Приватні особи. Фізичні особи проводять велику
кількість неторгових операцій в частині зарубіжного туризму, перекладів
заробітної плати, пенсій, гонорарів, покупки і продажу готівкової валюти. З
спрощенням валютної торгівлі, фізичні особи отримали можливість інвестувати
кошти на ринку FOREX з метою отримання прибутку. Таких людей називають
трейдерами. [7]
Наведемо визначення основних понять, які
використовуються на ринку FOREX.
Маржа - це сума гарантійного застави, під яку
надається кредитне «плече». Під маржевой торгівлею розуміють угоди на валютному
ринку, які здійснюються за допомогою виділення гарантійного застави під надання
кредитного «плеча».
Дилинговий важіль («плече») - це система надання
кредиту під заставу для проведення операцій на міжнародному ринку. Дилинговий
важіль встановлюється дилинговою компанією і визначає співвідношення між сумою
застави та виділяються під неї позиковим капіталом: 1:20, 1:40, 1:50, 1:100 і
так далі.
Валютний курс - це ціна грошової одиниці однієї
країни, виражена в грошовій одиниці іншої країни. [8]
Лот - фіксована стандартна сума валюти, що
виділяється для операцій з купівлі-продажу валюти. Іноді також називається
розміром контракту. Розмір одного лота дорівнює 1 000 000 USD.
Всього в світі існує більше 50 видів валют.
Теоретично, торгувати можна кожної з них, однак на практиці це не так.
Більшість валют не є вільно конвертованими, обмінний курс багатьох валют
жорстко прив'язаний до долара або до іншої валюти сильної держави. Найчастіше
дилингові центри пропонують котирування по наступним основних валютних парах:,
GBPUSD, USDCHF, USDJPY, USDCAD, AUDUSD, EURGBP, EURCHF, EURJPY, GBPCHF, GBPJPY
(EUR - євро, GBP - фунт стерлінгів, CHF - швейцарський франк, JPY - японська
ієна, CAD - канадський долар, AUD - австралійський долар). Останні п'ять
валютних пар, не пов'язаних з USD (доларом США) називаються крос-курсами.
Спробуємо тепер провести класифікацію різних
валютних пар за кількома ознаками з тим, щоб виявити плюси і мінуси роботи з
кожною з них. В якості критеріїв для оцінки валютних пар були обрані:
волатильність, середня зміна за день, вартість одного пункту, сила державного
впливу на обмінний курс, співвідношення реального обмінного курсу та
номінального, динаміка макроекономічних показників, до яких відноситься валюта,
в тому числі інфляція і процентні ставки. [9]
) Під волатильністю розуміється стандартне
відхилення прибутковості.
Класи всередині ознаки:
· Низька волатильність
· Середня волатильність
· Висока волатильність
) Середня зміна за день обчислюється як сума всіх
змін за всі дні, поділена на кількість днів.
Класи всередині ознаки:
· Зміна за день в
середньому менше 50 пунктів
· Зміна за день більше 50
пунктів, але менше 150
· Зміна за день в
середньому більше 150 пунктів Дана класифікація дуже схожа з волатильністю, але
більш конкретна.
) Вартість одного пункту обчислюється в доларах і
показує, на скільки збільшується прибуток при підвищенні / зменшенні курсу на 1
пункт.
Наступні характеристики ставляться скоріше до
макроекономічних і
довгостроковим характеристикам валютної пари, які
можуть проявлятися не відразу у нашому короткостроковому світі.
) У всіх країнах, крім сил попиту та пропозиції,
існує ще регулюючий орган в особі держави. Ратифікація договору про
конвертованості валюти обмежує втручання держави в процес встановлення курсів
валют, однак в тій чи іншій мірі втручання залишається і варіюється від країни
до країни.
Класи всередині ознаки:
· Держава майже не здійснює
великих операцій на ринку FOREX
· Держава вступає в гру при
значному відхиленні курсу від встановленого коридору
· Держава встановлює курс
по своєму розумінню (у цьому випадку валюта не може бути віднесена до розряду
вільно конвертованих валют).
) Співвідношення номінального обмінного курсу та
реального.
Реальний валютний курс можна визначити як
відношення цін товарів двох країн, взятих у відповідній валюті.

де Є - реальний валютний курс;
Рh - ціни на внутрішньому ринку;
Рf - ціни на закордонному ринку.
Номінальний валютний курс показує обмінний курс валют, що
діє в даний момент часу на валютному ринку країни.
Класи всередині ознаки:
· Реальний курс дорівнює
номінальному курсом.
· Номінальний курс
завищений.
· Номінальний курс занижений.
) Темпи інфляції та валютний курс. Тут
аналізується динаміка інфляції та інфляційних очікувань для декількох країн,
щоб визначити можливий запас потужності для зростання або падіння обмінного
курсу.
) Динаміка інших макроекономічних показників
країни, до якої належить валюта.
Класи всередині ознаки:
· Тенденція до зміцнення
валюти.
· Тенденція до ослаблення
валюти.
Самою агресивною політикою щодо своєї валюти
відрізняється центральний банк Японії, який часто проводить інтервенції на
ринку FOREX з метою послабити зміцнювала ієну. Федеральна Резервна Система
(США) більше оперує процентними ставками, які мають великий вплив на ціну
долара, виражену в інших валютах. На жаль, передбачити проведення подібної
політики державою на підставі історичної інформації представляється скрутним.
[10]
Що ж до інших макроекономічних показників, таких,
як інфляція, темп зростання ВВП, безробіття тощо, то їх вплив багато в чому
умовно і часто важко визначити, чи враховано вже їх вплив на ринковий курс чи
ні.
Найбільш зручною для розгляду валютною парою
можна вважати USDUAH. По-перше, дана валютна пара володіє високою волатильністю,
завдяки якій можна отримати більший прибуток. По-друге, один пункт даної
валютної пари відносно дешевий, тому навіть сильний зворотній рух не приведе до
великих збитків при торгівлі.
Розглянемо тепер принципи торгівлі приватних осіб
на ринку FOREX. Найчастіше аналіз валютного ринку ділять на технічний і
фундаментальний аналіз. Більш загальне поняття, називається «торгова система».
У кожного трейдера, ефективно працюючого на ринку
FOREX, є своя торгова система. Торгова система - це набір правил (часто
розроблений самим трейдером), якими користується дилер при прийнятті рішень на
ринку. Іншими словами, торгова система говорить що купувати, коли купувати,
скільки купувати і коли здійснювати зворотню угоду. [11]
Ефективна торгова система повинна бути досить
детальною, щоб врахувати багато нюансів сучасного ринку, але, в той же час,
досить короткою, щоб не суперечити самій собі. Серед гуру валютного ринку існує
думка, що найкраща торгова система може вміститися на зворотний бік поштової
марки.
Торговельна система включає в себе певний набір
правил, згідно з якими виконуються наступні дії:
· Відкриття / закриття
довгої позиції
· Відкриття / закриття
короткої позиції
1.2 Проблема прогнозованості валютного ринку
На ринку FOREX одночасно присутні мільйони
гравців з різних країн різних континентів. Кожен з них працює з однією або
декількома валютними парами. Таким чином, в кожен момент часу на ринку є
учасники, що відкривають довгі позиції (угода на купівлю), і ті, хто відкриває
короткі позиції (угода на продаж). Зміна ціни розвивається залежно від
співвідношення між цими двома категоріями гравців. Тих, хто грає на підвищення
(намагається купити дешевше і продати дорожче), називають «биками». Тих же, хто
грає на пониження (спочатку продає дорожче, потім купує дешевше), називають
«ведмедями». Присвоєння тварин аналогій може бути пояснено з точки зору
здорового глузду: свою жертву бик підкидає (грає на підвищення), а ведмідь
підводиться і прибиває лапами до землі (грає на зниження).
Поведінка ринку залежить від співвідношення між
биками і ведмедями в конкретний момент часу. Якщо переважають бики, то ринок
називається «бичачим», в іншому випадку - «ведмежим». Якщо на ринку панують
бичачі настрої, то більше угод відбувається на купівлю тієї чи іншої валюти,
ніж угод на продаж. Звідси випливає, що попит перевищує пропозицію, що підніме
ціну. Іншими словами, ціна однієї валюти в одиницях іншої буде збільшуватися.
Якщо на ринку переважають ведмежі настрої, тобто полягає більше угод на продаж,
ніж на покупку, ціна знижується. На ринку завжди є бики і ведмеді, причому
поперемінно ними можуть бути одні й ті ж учасники ринку. Підбивши підсумок
описаної ситуації, приходимо до того, що поведінка ціни на ринку FOREX залежить
від агрегованого вирішення всіх суб'єктів, що складається з безлічі приватних
рішень.
Можна зробити припущення про те, що кожне
приватне рішення приймається окремо, незалежно від рішення інших. У такому
випадку виходить наступна картина: кожен учасник ринку аналізує наявну у нього
інформацію про ринок, приймає рішення (здійснює операцію на покупку або
продаж); далі ринок зіставляє агрегований попит і пропозицію, маркет-мейкери
знижують або підвищують ціну. [12]
Можна, однак, припустити (це буде ближче до
дійсності), що рішення учасниками приймаються не одночасно, а в різний час. При
досить великій кількості учасників можна також припустити, що рішення про
купівлю або продаж приймаються на ринку постійно. Тоді, проаналізувавши
характеристики ринку, гравець на ринку бачить, які настрої превалюють на ринку,
тобто бичачий це ринок чи ведмежий. У результаті, на додаток до його особистих
міркувань відносно зміни ціни валюти в майбутньому у нього буде матися уявлення
про співвідношення биків і ведмедів на ринку. Це означає, що рішення він прийме
не незалежне від інших учасників ринку, а беручи до уваги рішення, прийняті до
нього на ринку.
Якщо прийняти гіпотезу про взаємозалежність
прийнятих рішень, можна трактувати коливання ринкових цін виходячи також з
колективної психології.
Існує поширена думка, що міжнародний валютний
ринок являє собою випадковий процес або щось близьке до нього. Також
стверджується, що процес зміни ціни на коротких проміжках часу носять виключно
випадковий характер. Наведемо в спростування даної позиції кілька теорій, які
доводять нестохастичний характер ринку FOREX.
Дійсно, з першого погляду може здатися, що ринок
мало або взагалі не передбачуваний. Однак емпірично доведено, що існують
фундаментальні показники, зміна яких впливає на валютні котирування, проте їх
зміни носять непередбачуваний характер. Прикладом до такої точки зору може
служити взаємозв'язок між курсом долара до решти валют і зміною облікової
ставки Федеральною Резервною Системою. Облікова ставка - це той відсоток, під
який Федеральний Резервний Банк кредитує комерційні банки. Цей макроекономічний
показник корегує сукупний попит на долар США. При підвищенні облікової ставки
капітал стає більш дорогим (а депозити більш привабливими). Іноземні інвестори
прагнуть розмістити свої кошти в банках. Більше валюти обмінюється на долари,
через що долари стають дорожчими. Аналогічним чином можна розписати ситуацію зі
зниженням облікової ставки.
У ринку також є деякі очікування щодо того, як
зміниться облікова ставка ФРС і інші макроекономічні показники. Однак точно
передбачити такі зміни представляється мало можливим через сильну домішки
політики в даних питаннях.
Можна зробити припущення (аналогічно одному з
постулатів технічного аналізу) про те, що ринок досить ємний, щоб обробити і
прореагувати на всю інформацію, яка може мати відношення до FOREX. У такому
випадку практично кожна новина, яка викидається на ринок, робить на нього
вплив. Різні новини мають різний вплив на ринок і можуть діяти одночасно. Більш
наочно це припущення можна пояснити на ринку акцій, де гучні відставки і
призначення можуть вплинути як на компанію, яка фігурує в даній новини, так і
на всю галузь і весь ринок в цілому.
Поєднуючи початкові міркування про колективності
прийняття рішень і фактори, які впливають на ринок, можна зробити наступні
висновки. Новини, що з'являються на ринку, оцінюються його учасниками і
породжують у них бичачі або ведмежі настрої. Таким чином, ринок відображає не
самі новини, а ставлення до них учасників ринку, які приймають свої рішення.
Для того щоб успішно торгувати на ринку FOREX,
необхідно постійно аналізувати інформацію, що надходить. Зазвичай розрізняють
два види аналізу: фундаментальний і технічний.
Фундаментальним називається аналіз міжнародного
валютного ринку з метою виявлення взаємозв'язку між мінливими макроекономічними
показниками і котируваннями валютних пар. Як писав відомий американський
фінансист та інвестор Дж. Сорос: «Фундаментальний аналіз прагне визначити, яким
чином реальна цінність акцій відображається в їх котируваннях» [13]
Технічним називається аналіз міжнародного
валютного ринку з метою виявлення взаємозв'язку між наступними котируваннями
ряду та історичними даними.
Відповідно, і торговельні системи розрізняють на
фундаментальні, технічні та змішані. Зупинимося детальніше на змісті кожного з
видів аналізу ринку FOREX.
У роботі на ринку FOREX, заснованої на
фундаментальному аналізі, робиться припущення, що котирування валютних пар
враховують в собі основні економічні та політичні події. Наприклад, емпірично
встановлено, що на ринок впливають гучні відставки і призначення глав держав,
початок військових дій, несподіване зростання інфляції тощо. На жаль,
найчастіше передбачити зміну макроекономічних показників досить важко. Навіть якщо
це вдається, завжди треба враховувати очікування учасників ринку.
Припустимо, що зростання процентної ставки
однозначно впливає на зміцнення вартості однієї валюти по відношенню до решти.
Викликано це може бути тим, що одночасно із зростанням ставки рефінансування
збільшуються ставки за депозитами, в результаті чого іноземна валюта тече в
країну, курс зміцнюється, щоб задовольнити збільшений попит. Припустимо, що це
відбулося зараз. Відразу після оголошення в прямому ефірі новини про зміну
ставки вартість валюти по відношенню до інших може як зрости, так і впасти, а
може і не змінитися. Різниця між подіями полягає в очікуваннях учасників ринку.
Якщо очікування виправдалися, то стан ринку не зміниться, оскільки ринок уже
ввібрав в себе дану інформацію. При надмірних очікуваннях ринку ефект може бути
прямо протилежним очікуваному ефекту.
Саме з цієї причини прихильники технічного
аналізу закликають помірно звертати увагу на ті чи інші новини. Часто в змішану
торгову стратегію входить правило про закриття всіх позицій при наближенні
новин, що стосуються фундаментального аналізу.
Іншою складністю у використанні фундаментального
аналізу є його важка передбачуваність. Найчастіше, справжні наміри центральних
банків або ФРС США завуальовані з метою отримання максимального ефекту.
Залишимо на цьому розгляд фундаментального аналізу і перейдемо до технічного
аналізу. [14]
Технічний аналіз - це дослідження динаміки
основних показників ринку за допомогою графічних методів з метою прогнозування
майбутніх напрямів їх руху. Технічний аналіз передбачає, що ринок має пам'ять.
Це означає, що на майбутній рух курсу суттєво впливають закономірності його
минулого поведінки. Іншими словами, ринок може «запам'ятати», як себе вести в
певній ситуації, наступного разу це може повторитися.
Об'єктом дослідження в технічному аналізі є
графіки (charts), що відображають поведінку цін. У технічному аналізі прийнято
виділяти на графіках певний набір типових елементів. На їх основі будується
опис поведінки графіків.
Перш за все, це лінія тренда (trend line), яка
вказує напрямок і темп зростання / падіння цін. Також важливим елементом є
канал (channel) - діапазон коливань ціни (курсу валюти). Нижню межу каналу
утворює лінія підтримки, а верхню - лінія опору. [15]
За допомогою комп'ютера трейдер здійснює
математичну обробку графіків, отримуючи додаткову інформацію для виявлення
тенденцій ринку, можна автоматизувати побудову кількох десятків статистичних
показників динаміки цін - індикаторів. Під індикаторами розуміються спеціальні
графіки, побудовані на основі історичних даних.
Основні передумови, на яких заснований технічний
аналіз, прийнято формулювати у вигляді наступних трьох постулатів:
· Ринок враховує все.
Іншими словами, ціна є наслідком і вичерпним відображенням всіх рушійних сил
ринку.
· Рух цін підпорядкований
тенденціям. Життя ринку складається з чергуються періодів зростання і падіння
цін, так що всередині кожного періоду відбувається розвиток пануючої тенденції.
Вона діє до тих пір, поки не почнеться рух ринку у зворотному напрямку.
· Історія повторюється.
Часто ключ до розуміння майбутнього криється у вивченні минулого. Діє цей
постулат такий спосіб. Давно було помічено, що певні конфігурації на графіках
цін мають властивість з'являтися стійко і багаторазово. Повторення відбувається
на різних ринках і в різних масштабах часу. Воно є наслідком дії деяких
стереотипів поведінки, властивих людській психіці.
У результаті, можна укласти, що обгрунтування
працездатності методів технічного аналізу криється в особливостях психології
людей і існування стереотипів їхньої поведінки на ринку. Приблизно однаковий
набір факторів, що впливають на прийняття рішень про покупку і продаж валюти,
призводить щоразу до подібному результату - появи повторюваних закономірностей
руху курсу.
Основна властивість поведінки ринку полягає в
тому, що рух ціни завжди відбувається хвилеподібно, підвищення змінюється
зниженням і навпаки. На основі технічного та фундаментального аналізу будується
«торгова система», мова про яку піде далі.
На основі наведених у даному розділі міркувань
можна укласти, що міжнародний валютний ринок є результатом безлічі одиночних
рішень, пов'язаних між собою. Зупинимося тепер на методах прогнозування, які
можуть бути застосовані до ринку FOREX. Ці методи допоможуть довести або
спростувати укладення даного розділу.
1.3 Аналіз математичних методів прогнозування валютних курсів
Будь-яка сукупність валютних курсів є сукупністю
часових рядів. Далі ми розглянемо прогнозування часових рядів методами
лінійного підходу та за допомого теорії нейронних мереж.
Лінійний підхід виявляє закономірності, необхідні
для побудови прогнозу, на припущенні про лінійну залежність розглянутих рядів.
Основоположним визначенням в теорії часових рядів є поняття стаціонарності.
Робота з часовими рядами за допомогою економетричного
апарату пов'язана з деякими труднощами. На відміну від просторових вибірок,
часові ряди повинні мати певні властивості для того, щоб з ними можна було
працювати. Однією з таких вимог є вимога стаціонарності від ряду. Якщо
розглянутий ряд виявляється нестаціонарним, то при його аналізі велика
ймовірність побудови «уявної регресії», тобто визначення статистично значущою
зв'язку там, де її насправді немає.
Введемо визначення стаціонарного ряду. Ряд у,
називається строго стаціонарним (strictly stationary) або стаціонарним у
вузькому сенсі, якщо спільний розподіл m спостережень yt1,
yt2,…, ytm не залежить від зсуву за
часом, тобто збігається з розподілом yt1+t, yt2+t,…,
ytm+t для будь-яких m і t. Зазвичай нас цікавлять середні
значення та коваріації, а не весь розподіл. Тому часто використовується поняття
слабкої стаціонарності (weak stationarity) або стаціонарності в широкому сенсі,
яке полягає в тому, що середнє, дисперсія і коваріації у, не залежать від
моменту часу t:
E(yt)=µ<∞
V(yt)=ɣ0
Cov(yt, yt-k)= ɣk
Як можна бачити, з суворої стаціонарності слід
слабка стаціонарність. Надалі скрізь під «стаціонарним» поруч буде розумітися
слабо стаціонарний ряд.
Введемо поняття автокореляційної функції
(autocorrelation function), ACF:
грає важливу роль в задачі ідентифікації моделей
часових рядів. У цьому можна переконатися, побачивши ряд прикладів, наведених
нижче.
Прикладом нестаціонарного ряду є «випадкове
блукання» (random walk):


валютний прогнозування
нечіткий множина
Іншими словами, ряд діє за принципом «сьогодні як
вчора», спотворюючись на випадкову величину з нульовим середнім і постійною
дисперсією. Таке блукання нестаціонарні, тому що дисперсія від спостереження до
спостереження тільки зростає. Графічна ілюстрація наведена нижче.
На відміну від випадкового блукання процес AR (1)
(авторегресійна модель порядку 1) у, = 
стаціонарне при 
. Процес випадкового блукання відрізняється від стаціонарного AR
(1) процесу тим, що вплив випадкових складових у першому разі не загасає, в той
час як у другому випадку вплив збурень загасає з часом:
Магнус Я.Р. показує також, що процес виду 
не є стаціонарним і не зустрічається в реальних економічних
прикладах. [16]
Тренд і сезонність.
Розглянемо деякі приклади нестаціонарних рядів і
визначимо порядок дій при виявленні ряду того чи іншого типу. Будуть розглянуті
тренд і сезонність.
Якщо часовий ряд містить тренд, то його вигляд
можна представити таким чином:

.
Тут ряд представлений у вигляді композиції детермінованою
складової 
і випадкової складової, що є стаціонарним часовим поруч з
нульовим середнім. Часто зустрічаються такі приклади тренда: квадратичний,
експонентний тощо.
Для того щоб виділити тренд в моделі з лінійним трендом (і
їй подібних), можна застосувати звичайну техніку оцінювання параметрів
регресійних рівнянь, вважаючи t незалежної змінної. Після цього ми отримаємо
ряд, залишків, для опису якого можна буде застосувати моделі стаціонарних
часових рядів.
В економічних даних часто зустрічається сезонна компонента.
Наприклад, в квартальних даних може спостерігатися сезонна компонента з
періодом 4:

Тут ряд представлений у вигляді композиції періодичної
детермінованою складової 
(сезонна компонента) і випадкової складової, що є стаціонарним
часовим поруч з нульовим середнім. Сезонну компоненту можна представити у
вигляді суми фіктивних (бінарних) змінних. У цьому випадку сезонна модель
приймає наступний вигляд:
До розглянутих вище рядам (тренд, сезонність і випадкове
блукання) може бути застосована методика взяття послідовної різниці.
Як вже було визначено вище, випадкове блукання є прикладом
нестаціонарного часового ряду. Однак якщо до нього застосувати операцію взяття
послідовної різниці, одержимо стаціонарний часовий ряд:

,
Взяття різниці також призводить до стаціонарного
процесу ряд з лінійним трендом:

(1.16), де 
У випадку з квадратичним трендом взяття першої різниці не
приводить до стаціонарного ряду, але якщо взяти другу різниця, то вийшов ряд є
стаціонарним.
У разі наявності сезонної компоненти усунути її можна за
допомогою оператора взяття сезонної послідовної різниці (за умови, якщо період
сезонної компоненти дорівнює 4):
Зауважимо, що застосування оператора послідовної різниці не
обов'язково призводить нестаціонарний ряд до стаціонарного. Наприклад, процес
AR(1) з коефіцієнтом при лагірованній змінній більше 1 не є стаціонарним.
Застосувавши до даного ряду оператор різниці, ми отримаємо все той же
нестаціонарний ряд. Повторне застосування оператора різниці також не приводить
до стаціонарного ряду.
Таким чином, застосовуючи виділення тренда, сезонності і /
або оператор послідовної різниці, часто можна одержати з вихідного часового
ряду стаціонарний.
Існує кілька способів виявлення стаціонарності розглянутого
ряду. Першим способом є візуальний аналіз графіка ряду з метою виявлення
трендів, сезонності, різких стрибків розглянутих даних. Все це є аргументом для
прийняття гіпотези про нестаціонарності часового ряду. [17]
Якщо візуально стаціонарність визначити складно, зазвичай
аналізують автокореляційну (ACF) і приватну автокореляційну функцію (PACF). У
процедурі обчислення вибіркового приватного коефіцієнта кореляції виявляється,
що у разі стаціонарного ряду значення вибіркової приватної автокореляційної функції
PACF (k) обчислюється як МНК-оцінка останнього коефіцієнта в AR (k)
регресійному рівнянні:
Коррелограмма стаціонарного часового ряду «швидко убуває» з
ростом k після кількох перших значень. Якщо ж графік убуває досить повільно, то
є підстави припустити нестаціонарність ряду. Графік PACF повинен також швидко
спадати для стаціонарного ряду.
У коррелограмі є ще одна дуже корисна властивість: з її
допомогою можна визначати залежність між членами ряду. Іншими словами, за
коррелограми можна визначити вид авторегресійної моделі.
Якщо і після цього методу залишаються сумніви щодо
стаціонарності ряду, можна використовувати формальні тести на наявність в
операторі зсуву одиничного кореня (ознака нестаціонарності). Зазвичай використовують
тест Дікі-Фуллера (DF), розширений тест Дікі-Фуллера (ADF), та інші.
Нульовою гіпотезою тесту Дікі-Фуллера і його розширення є
наявність випадкового блукання, тобто відсутності стаціонарності ряду. У своїй
роботі Д.А. Дікі і В.А. Фуллер довели, що якщо ряд нестаціонарний, то звичайний
спосіб перевірки статистичної значущості отриманих оцінок (розподіл Стьюдента і
асимптотично нормальний розподіл) не можуть бути використані. Основою для
перевірки гіпотези служить розроблена цими вченими статистика. [18]
Якщо замість членів часового ряду розглядаються їх різниці
різного порядку, то тест називається розширеним.
Моделі авторегресії і
ковзного середнього
Розглянемо наступний клас
моделей стаціонарних часових рядів:

У більш короткому записі модель можна переписати так (через
оператори зсуву):

, де

і

поліноми від оператора зсуву. Така модель називається
моделлю авторегресії і ковзного середнього (autoregressive moving average) або
ARMA (p, q). Найчастіше зустрічаються прості моделі типу AR (1), AR (2), MA
(1), MA (2), ARMA (1,1).
Моделі Бокса-Дженкінса (ARIМА).
Модель Бокса-Дженкінса розглядає моделі часових
рядів у вузькому сенсі, тобто поведінка часового ряду пояснюється виключно з
його значень у попередні моменти часу.
Як було показано вище, статистичні властивості
стаціонарних і нестаціонарних часових рядів істотно відрізняються, і для їх
моделювання повинні застосовуватися різні методи.
Як було показано вище, деякі нестаціонарні часові ряди
можуть бути приведені до стаціонарних за допомогою оператора взяття послідовної
різниці. Припустимо, що часовий ряд 
, після того, як до нього застосували d раз оператор
послідовної різниці, став стаціонарним рядом 
, задовольняє ARMA (p, q) моделі. Тоді процес у, називається
інтегрованим процесом авторегресії і ковзного середнього ARIMA (p, d, q). [19]
Нейронні мережі у прогнозуванні часових рядів.
Під нейронними мережами маються на увазі
обчислювальні структури, які моделюють прості біологічні процеси, зазвичай
асоційовані з процесами людського мозку. Адаптуються і навчають, вони
представляють собою розпаралеленні системи, здатні до навчання шляхом аналізу
позитивних і негативних впливів. Елементарним перетворювачем в даних мережах є
штучний нейрон або просто нейрон, названий так за аналогією з біологічним
прототипом.
До теперішнього часу запропоновано і вивчено
велику кількість моделей нейроподібних елементів і нейронних мереж, ряд з яких
розглянуто в цьому розділі.
Термін «нейронні мережі» (neural networks)
сформувався в 40-х роках XX століття в середовищі дослідників, які вивчали
принципи організації та функціонування біологічних нейронних мереж. Основні
результати, отримані в цій області, пов'язані з іменами американських
дослідників У. Маккалоха, Д. Хебба, Ф. Розенблатта, М. Мінського, Дж. Хопфілда
та ін. [20]
Уявімо деякі проблеми, які вирішуються в
контексті нейронних мереж і представляють інтерес для користувачів.
Ø Класифікація
образів. Завдання полягає у вказівці приналежності вхідного образа (наприклад,
мовного сигналу або рукописного символу), представленого вектором ознак, одному
або декільком попередньо визначеним класам. До відомих додатків ставляться
розпізнавання букв, розпізнавання мови, класифікація сигналу
електрокардіограми, класифікація клітин крові.
Ø Кластеризація /
категоризація. При вирішенні завдання кластеризації, яка відома також як
класифікація образів «без вчителя», відсутня навчальна вибірка з мітками
класів. Алгоритм кластеризації заснований на подобі образів і розміщує близькі
образи в один кластер. Відомі випадки застосування кластеризації для
видобування знань, стиснення даних, дослідження властивостей даних.
Ø Апроксимація функцій. Припустимо, що є
навчальна вибірка 
(пари даних вхід-вихід), яка генерується невідомою функцією F(х),
спотвореної шумом. Завдання апроксимації полягає в знаходженні оцінки невідомої
функції F(х). Апроксимація функцій необхідна при вирішенні численних інженерних
і наукових задач моделювання.
Ø Передбачення/прогноз. Нехай задані п
дискретних відліків 
в послідовні моменти часу. Завдання полягає в прогнозі значення 
в деякий майбутній момент часу до k+1. Передбачення/прогноз має
значний вплив на прийняття рішень у бізнесі, науці і техніці. Передбачення цін
на фондовій біржі і прогноз погоди є типовими додатками техніки передбачення /
прогнозу.
Ø Оптимізація. Численні проблеми в
математичній статистиці, техніці, науці, медицині та економіці можуть
розглядатися як проблеми оптимізації. Завданням алгоритму оптимізації є
знаходження такого рішення, яке задовольняє системі обмежень і максимізує або
мінімізує цільову функцію. Відома завдання комівояжера є класичним прикладом
задачі оптимізації.
Ø Пам'ять, що адресується за змістом. У
моделі обчислень фон Неймана звернення до пам'яті доступно тільки за допомогою
адреси, який не залежить від змісту пам'яті. Більше того, якщо допущена помилка
в обчисленні адреси, то може бути знайдена зовсім інша інформація. Асоціативна
пам'ять, або пам'ять, що адресується за змістом, доступна за вказівкою заданого
змісту. Вміст пам'яті може бути викликано навіть часткового входу чи
спотвореного змісту. Асоціативна пам'ять надзвичайно бажана при створенні
мультимедійних інформаційних баз даних.
Ø Управління. Розглянемо динамічну систему,
задану сукупністю
, де u(t) є вхідним керуючим впливом, а у(t) - виходом системи в
момент часу t. У системах управління з еталонною моделлю метою управління є
розрахунок такого вхідного впливу u(t), при якому система слід за бажаною
траєкторії, що диктується еталонною моделлю. Прикладом є оптимальне управління
двигуном.
Мається багато вражаючих демонстрацій можливостей
штучних нейронних мереж: мережа навчили перетворювати текст у фонетичне
уявлення, яке потім за допомогою вже інших методів перетворювалося в мову; інша
мережа може розпізнавати рукописні букви; сконструйована система стиснення
зображень, заснована на нейронної мережі. Всі вони використовують мережу зворотного
поширення - найбільш успішний, мабуть, з сучасних алгоритмів. Зворотне
поширення є систематичним методом для навчання багатошарових мереж. [21]
Однак, зворотне поширення не вільне від проблем.
Перш за все, немає гарантії, що мережа може бути навчена за кінцевий час.
Багато зусиль, витрачених на навчання, пропадає марно після витрат великої
кількості машинного часу. Коли це відбувається, спроба навчання повторюється -
без всякої впевненості, що результат виявиться кращим. Немає також впевненості,
що мережа навчиться найкращим можливим чином. Алгоритм навчання може потрапити
в «пастку» так званого локального мінімуму і буде отримане гірше рішення.
Розроблено багато інших мережевих алгоритмів
навчання, що мають свої специфічні переваги.
Більш детально застосування теорії нейронних
мереж та алгоритм роботи нейронних мереж у зв’язку із теорією нечітких множин
буде розписаний у наступному розділі.
2. Застосування теорії нечітких множин для
прогнозування валютних курсів
.1 Формалізація задачі прогнозування валютних курсів на основі
теорії нечітких множин
Суть завдання полягає в тому, щоб, знаючи
динаміку зміни курсової вартості продажу валюти (у нашому випадку
американського долару) за фіксований інтервал часу, передбачити значення її
курсової вартості на певний момент в майбутньому. При цьому характерною
особливістю динаміки зміни курсу є наявність двох основних тенденцій в
коливаннях відповідних цін:
) спостерігається загальне довгострокове
підвищення курсової вартості, пов'язане з величиною інфляції.
) спостерігається короткострокове коливання цін,
пов'язане з цілою низкою випадкових чинників, адекватне уявлення яких в тій чи
іншій формальній моделі навряд чи можливо.
У цілому коливання обумовлені факторами,
пов'язаними із загальним станом національної і світової економіки (динаміка
інфляції, безробіття, процентні ставки). Якщо глобальна тенденція зміни курсу
валюти все-таки визначається станом економіки країни, в першу чергу,
привабливістю переведення капіталу в валюту цієї країни (попит), то
короткочасна реакція ринку на ті чи інші показники практично не пов'язана з
економікою.
Для вирішення даної задачі застосовуються різні
моделі технічного аналізу. У той же час наявність неявних тенденцій у динаміці
зміни курсової вартості валют дозволяє застосувати модель адаптивних
нейро-нечітких мереж.
Вперше термін нечітка логіка (fuzzy logic) був
введений американським професором Лотфі Заде в 1965 році в роботі «Нечіткі
множини» в журналі «Інформатика і управління».
У Японії цей напрямок переживає справжній бум.
Тут функціонує спеціально створена лабораторія Laboratory for International
Fuzzy Engineering Research (LIFE). Програмою цієї організації є створення більш
близьких людині обчислювальних пристроїв. LIFE об'єднує 48 компаній, в числі
яких знаходяться: Hitachi, Mitsubishi, NEC, Sharp, Sony, Honda, Mazda, Toyota.
Із зарубіжних (Не Японських) учасників LIFE можна виділити: IBM, Fuji, Xerox, а
також до діяльності LIFE проявляє інтерес NASA.
Міць і інтуїтивна простота нечіткої логіки як
методології вирішення проблем гарантує її успішне використання у вбудованих
системах контролю та аналізу інформації. При цьому відбувається підключення
людської інтуїції і досвіду оператора.
Системи з нечіткою логікою доцільно застосовувати
для:
· складних процесів,
· коли відсутня проста
математична модель;
· якщо експертні знання про
об'єкт або про процес можна сформулювати тільки в лінгвістичній формі.
· Основні недоліки систем з
нечіткою логікою пов'язані з тим, що:
· початковий набір нечітких
правил формулюється експертом-людиною і може виявитися неповним або
суперечливим;
· вигляд і параметри
функції приналежності, що описують вхідні і вихідні змінні системи, вибираються
суб'єктивно і можуть виявитися не цілком відображають реальну дійсність.
Але ці недоліки можна подолати, при поєднанні з
теорією нечітких множин нейронної мережі.
Для багатьох економістів, добре знайомих з
економетрикою і поверхнево знайомих з теорією нейромережевих обчислень,
нейронна мережа представляється подобою «чорного ящика», в який необхідно
завантажити вхідну інформацію (вхід), щоб отримати якийсь бажаний результат
(вихід).
Включення концепції нечіткої логіки в нейронні
мережі дає можливість гібридній системі мати справу з людиноподібним процесом
міркувань, закладати в інформаційне поле нейронної мережі апріорний досвід
експертів-економістів, використовувати нечітке уявлення інформації, витягати
знання з вхідного потоку економічних показників, а інтелектуальні засоби
аналізу дозволяють оптимізувати витрати на модифікацію та експлуатацію
корпоративного сайту суб'єкта ринкових відносин.
Штучні нейронні мережі (ШНМ) - математичні
моделі, а також їхня програмна та апаратна реалізація, побудовані за принципом
функціонування біологічних нейронних мереж - мереж нервових клітин живого
організму. Системи, архітектура і принцип дії базується на аналогії з мозком
живих істот. Ключовим елементом цих систем виступає штучний нейрон як
імітаційна модель нервової клітини мозку - біологічного нейрона. Цей термін
виник при вивченні процесів, які відбуваються в мозку, та при спробі
змоделювати ці процеси. Першою такою спробою були нейронні мережі Маккалока і
Піттса. Як наслідок, після розробки алгоритмів навчання, отримані моделі стали
використовуватися в практичних цілях: в задачах прогнозування, для
розпізнавання образів, в задачах керування та інші.
Включення концепції нечіткої логіки в нейронні
мережі дає можливість гібридній системі мати справу з людиноподібним процесом
міркувань, закладати в інформаційне поле нейронної мережі апріорний досвід
експертів-економістів, використовувати нечітке уявлення інформації, витягати
знання з вхідного потоку економічних показників, а інтелектуальні засоби
аналізу дозволяють оптимізувати витрати на модифікацію та експлуатацію
корпоративного сайту суб'єкта ринкових відносин.
Об'єднання можливостей нейронних мереж і нечіткої
логіки є найбільш перспективним підходом до організації систем інтелектуального
аналізу економічних даних. Системи нечіткої логіки компенсують дві основні
«непрозорості» нейронної мережі в поданні знань та пояснень результатів роботи
інтелектуальної системи, тобто нечітка логіка найкращим чином доповнює нейронні
мережі.
Нечітка логіка дозволяє формалізувати якісну
інформацію, отриману від експертів-економістів для конкретної сфери
застосування, і представити сукупність отриманих знань у вигляді системи
нечітких правил логічного висновку, що дозволяють аналізувати висновки,
отримані в процесі роботи гібридної інтелектуальної системи.
Нейронні мережі дають можливість відобразити
алгоритми нечіткого логічного висновку в структурі, вводячи в інформаційне поле
нейронної мережі інформацію, отриману від експертів-економістів.
Знання кваліфікованих економістів для конкретної
предметної області, представлені у формі нечітких правил логічного висновку,
можуть бути прозорим способом відображені в структурі нейро-нечіткої мережі.
Навчання нечіткої нейронної мережі дозволяє не тільки налаштувати ваги зв'язків
(тобто відкоригувати достовірність нечітких правил логічного висновку), але й
усунути суперечливість системи нечітких правил в цілому. У разі відсутності
вихідної інформації з даної предметної області, але при достатньому обсязі
навчальної вибірки нейро-нечітка мережа автоматично перетворює приховані в
аналізованих економічних показниках закономірності в базу знань у вигляді
системи правил нечіткого логічного висновку.
Сформована подібним чином база знань автоматично
коригується в процесі навчання нейро-нечіткої мережі виходячи з реальних
значень аналізованих економічних показників і результати корекції можуть бути
піддані подальшому аналізу. [22]
Основна ідея, покладена в основу моделі гібридних
мереж, полягає в тому, щоб використовувати існуючу вибірку даних для визначення
параметрів функцій належності, які найкраще відповідають деякої системі
нечіткого виводу. При цьому для знаходження параметрів функцій належності
використовуються відомі процедури навчання нейронних мереж.
Завдання прогнозування валютних цін на
фінансовому ринку, типова в практиці аналізу та прогнозування, буде реалізована
в середовищі розробки MATLAB Fuzzy Logic Toolbox, зокрема ANFIS.
У пакеті Fuzzy Logic Toolbox системи MATLAB
гібридні мережі реалізовані у формі так званої адаптивної системи
нейро-нечіткого виводу ANFIS. З одного боку, гібридна мережа ANFIS являє собою
нейронну мережу з єдиним виходом і декількома входами, які представляють собою
нечіткі лінгвістичні змінні. При цьому терми вхідних лінгвістичних змінних
описуються стандартними для системи MATLAB функціями належності, а терми
вихідної змінної представляються лінійної або постійною функцією приналежності.
Редактор ANFIS дозволяє створювати або завантажувати конкретну модель
адаптивної системи нейро-нечіткого виводу, виконувати її навчання,
візуалізувати її структуру, змінювати і налаштовувати її параметри, а також
використовувати налаштовану мережу для отримання результатів нечіткого виводу.
Під назвою адаптивної нейро-нечіткої системою
виводу - ANFIS (Adaptive Neuro-Fuzzy Inference System) відома спеціалізована
нейромережева структура, що характеризується хорошою збіжністю і орієнтована на
витяг знань у вигляді системи нечітких правил з даних навчальної вибірки. ANFIS
- функціональний еквівалент нечіткої моделі виведення за алгоритмом Sugeno.
[23]
При прогнозуванні валютних ринків за допомогою
нечітких нейронних мереж в якості вхідної інформації можуть виступати: значення
курсів, динаміка їх змін, а також інші ринкові показники.
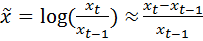
Як інший варіант ми можемо використовувати інший
спосіб введення даних, який полягає в тому, що представлення вхідних образів
грунтуються не на зростанні і зміні котирувань, а на їх прирості, тобто
процентній зміні до попереднього періоду. У такому випадку формула переходу
буде мати наступний вигляд:

(2.1) або 
(2.2)
Якщо при аналізі статистичної залежності даних вхідного
образу з'ясується, що прирости також впливають один на одного, то взяття
логарифма від ставлення цієї котирування і попередньої, як правило, володіє
найбільшою статистичної незалежністю.
Існує ще один спосіб представлення вхідних даних,
побудований за принципом експертних оцінок або нечіткої логіки. При методі
експертних оцінок дослідник має право сам вхідним образам ставити у
відповідність числа від 0 до 1, згідно з прийнятими їм правилами. Даний метод
може виявитися досить точним при кваліфікованому підході, однак вимагає великих
затрат часу, адже метою дослідника залишається передача найбільш ресурсоємних
завдань техніці. Для вирішення даної задачі підходить теорія нечіткої логіки.
Скажемо кілька слів про саму теорії перед тим, як перейти до її застосування
для перетворення вхідних даних.
Сучасні обчислювальні машини побудовані за принципом чіткої
логіки, в той час як людська розумова система діє за принципом нечіткої логіки.
Сенс її полягає в здатності суджень, віднесенню об'єктів і явищ до класів, в
яких немає чітких меж. Повертаючись до задачі, відзначимо, що експертні оцінки
про кожен об'єкт можуть бути замінені перетвореннями з розділу нечіткої логіки.
Як можна переконатися, ці поняття суто індивідуальні, хоча між судженнями
різних дослідників можуть мати багато схожого. Логічним буде запровадити не
лише абсолютні критерії, а й значення попередніх даних, щоб врахувати
відносність понять. Шляхом нескладних перетворень (найкраще ввести вагові
коефіцієнти, які допоможуть перетворити дані для нейронної мережі) отримуємо
дані для входу нейронної мережі.
. Постановка завдання.
Нейронна мережа не може вирішувати завдання, поставленого в
довільній формі. Вона може «зрозуміти» лише обмежене коло завдань,
представлених у певній формі. Сильно спростивши процес постановки завдання,
можна вважати, що необхідно визначити, що слід дати на вхід мережі, а що на
вихід. Число входів краще взяти з запасом, буде навіть краще, якщо список
виявиться надмірною. Пов'язано це з тим, що не можна заздалегідь визначити, яка
з залежних змінних найкраще пояснює вихід.
. Збір даних для входу і виходу.
Після визначення структури завдання, виявивши, які дані
необхідні для входу і для виходу майбутньої нейронної мережі, дослідник повинен
зібрати ряди даних для подальшого аналізу. Також важливо відзначити, що дані
різних рядів повинні бути порівняні один з одним. Тут вибирається розмір
вибірки, з якою буде надалі працювати дослідник.
. Перетворення даних під нейронну мережу.
На жаль, дані в їх звичайному поданні не можуть бути подані
на вхід нейронної мережі. Зазвичай на вхід можуть бути подані числа, що лежать
у відрізку [0,1]. Звідси виникає інваріантність представлення вхідних даних,
навіть якщо мова спочатку йшла лише про одне ряді вхідних даних. Існує безліч
методів нормалізації даних, які дозволяють втрачати мінімум інформації про
первісному ряді. Зважаючи на наявність великої кількості варіантів, як
традиційних, так і менш традиційних, даний пункт дає досліднику великий простір
для творчості та індивідуалізації дослідницької роботи.
. Вибір конфігурації нейронної мережі.
Після перетворення даних під можливості нейронної мережі,
дослідник переходить до вибору конфігурації самої нейронної мережі. На даний
момент вивчено велику кількість нейромережевих конфігурацій (парадигм), кожна з
яких пристосована до вирішення тієї чи іншої задачі. Усередині кожної парадигми
також існує безліч варіантів для побудови нейронної мережі. На даному етапі
вибирається переважно кількість шарів нейронів, кількість нейронів в одному
шарі. Успішне виконання цього пункту залежить від досвіду дослідника, а також
від часу, який він витратить на аналіз здібностей кожної з обраних
конфігурацій. На жаль, на даний момент існують керівництва до вибору
конфігурацій нейронних мереж, що базуються не на теоретичних, а на емпіричних
результатах.
У більшості випадків, як вже було відмічено раніше, для
вирішення завдання прогнозування найбільше підходить клас нейронних мереж типу
«багатошаровий перцептрон».
. Навчання нейронної мережі.
Існує кілька способів навчання нейронної мережі. Найбільш
поширений з них - навчання з вчителем. цей метод має назву навчання за 
, і більш детально буде розглядатися нижче.
. Аналіз отриманих результатів.
В результаті пунктів 1-5 дослідник має кілько нейронних
мереж, які показали себе найбільш успішно у вирішенні поставленого завдання. У
6 пункті за допомогою нейронної мережі вирішують завдання, поставлене в першому
пункті. Якщо перед дослідником стоїть завдання прогнозування, то результатом є
значення ряду в наступний момент часу. Аналіз же полягає в тому, щоб оцінити
якість отриманого прогнозу. [24]
Навчання нейронної мережі буде проводитися за Δ-правилом.
Алгоритм навчання за Δ-правилом:
крок: ініціалізація матриці ваг (і порогів, у разі
використання порогової функції активації) випадковим чином.
крок: пред'явлення нейронної мережі образу (на вхід
подаються значення з навчальної вибірки - вектор Х), береться відповідний вихід
(вектор D).
крок: обчислення вихідних значень нейронної мережі (вектор
Y).
крок: обчислення для кожного нейрона величини розбіжності
реального результату з бажаним.

де 
- бажане вихідне значення на і-нейроні, 
- реальне значення на і-нейроні.
крок: зміна ваг (і порогів при використанні порогової
функції) за формулами:


де t-номер поточної ітерації циклу навчання, 
- вага зв'язку j-входу з i-нейроном, 
- коефіцієнт навчання, задається від 0 до 1, 
- вхідне значення, 
- порогове значення нейрона.
6 крок: перевірка умови продовження навчання
(обчислення значення помилки і/або перевірка заданої кількості ітерацій). Якщо
навчання не завершено, то 2 крок, інакше закінчуємо навчання. [25]
Прогнозування валютних курсів майже ідеально
підходить для використання теорії нечітких множин у поєднанні із нейронними
мережами, так як загальним для всіх цих інструментів з позицій технічного
аналізу є відсутність апріорних припущень про динаміку коливань відповідних
курсів цін, що цілком узгоджується з вихідними передумовами побудови нечітких
моделей адаптивних систем нейро-нечіткого виводу.
2.2 Моделювання процесу прогнозування та вирішення задачі в
середовищі MATLAB
Однією з найбільш необхідних завдань при проведенні
аналізу фінансового ринку є отримання прогнозних значень деяких найбільш
значимих фінансових коефіцієнтів таких як, наприклад курси валют. У даному
проекті ми будемо займатися прогнозуванням курсу японської ієни до рубля. Як і
планування, прогнозування - це рід передбачення, оскільки має справу з
отриманням інформації про майбутнє. У нашій роботі ми будемо використовувати
технології нейронних мереж для побудови систем нечіткого виводу.
Нейромережеві технології - це комп'ютерний
алгоритм, роботу якого можна умовно розділити на два основних етапи: навчання
та побудова прогнозу. На першому етапі на вхід мережі подаються дані, необхідні
для формування навчальної вибірки. Мережа аналізує і знаходить взаємозв'язок
між рядами даних навчальної вибірки за період часу N, де N - кількість
спостережень навчальної вибірки. Навчальна вибірка містить два типи параметрів
- визначальні (вхідні) і прогнозовані (вихідні).
Образно кажучи, в навчальній множині на вхід мережі
подається вектор вихідних даних, на вихідний вузол повідомляється бажане
значення результату обчислень. Нейронна мережа привласнює кожному з вхідних
значень його вага 
, а потім із застосуванням спеціального алгоритму, який було наведено
в попередньому розділі, навчання коригує ці ваги так, щоб прогнозне значення,
що вийшло в результаті роботи мережі на вихідному вузлі, було максимально
наближене до заданого реальному. Таким чином, оскільки якість роботи мережі
визначається, головним чином, якістю побудови навчальної вибірки, її ретельне
опрацювання дозволить заощадити масу часу і забезпечити точність прогнозу.
На етапі навчання виникають дві головні проблеми: яким
чином слід встановити параметри навчання і коли слід зупинити процес навчання.
На сьогоднішній день не існує ніяких алгоритмів, за допомогою яких можна було б
налаштувати параметри навчання під конкретне завдання. [23]
Особливістю нейронних мереж є те, яким чином відбувається
обробка даних. При використанні стандартного алгоритму зворотного поширення
помилки мережа «бачить» і аналізує дані вихідної матриці рядами. Щоб нейронна
мережа змогла «побачити» тренди, потрібно представити дані таким чином, щоб у
кожному рядку навчальної матриці відбивалася «історія» часового ряду тобто
містилася інформація як про поточний спостереженні, так і про минулі.
При вирішенні нашого завдання ми будемо враховувати
п'ятиденну історію, тобто всі зміни, які відбувалися протягом попереднього
тижня. Тут потрібно зауважити, що спроби розглядати більш довгу «історію»
призводять до скорочення числа спостережень у навчальній вибірці і до
одночасного невиправданого її зростанню «вшир», що може негативно вплинути на
здатність мережі до навчання.
Тепер необхідно перетворити наявну інформацію в вигляд
зрозумілий і змістовний для мережі.
Неможливо отримати скільки задовільний результат за
допомогою нейронних мереж, подавши на вхід необроблені дані. Для роботи з
нейронними мережами важливо не тільки ретельно відібрати показники: необхідно
також подати їх у певній, зрозумілою для мережі формі. Можна виділити два
основних правила, згідно з якими формується навчальна вибірка.У якості вихідних
даних можна скористатися інформацією про динаміку продажу курсу по валюті
«Долар США» (USD) за певний часовий інтервал, яка доступна в Інтернеті за
адресою: #"662787.files/image044.gif">
де через 
позначений поточний банківський день. Тоді третя вхідна змінна
буде відповідати курсу USD на 
банківський день, а четверта - курсу USD на 
банківський день.
Відповідні навчальні дані можуть бути зведені в окрему
таблицю. Обсяг отриманої таким чином навчальної вибірки дорівнює 80 (табл.
2.3), що відповідає динаміці курсу USD в період з 1січня 2013 р. по 30 квітня
2013 р. При цьому дані за травень 2013 р. не увійшли до складу навчальної
вибірки і можуть бути використані для перевірки адекватності побудованої
нечіткої моделі.
Таблиця. 2.3. Навчальна вибірка, яку ми будемо
використовувати в ANFIS
|
Перша
вхідна змінна
|
Друга
вхідна змінна
|
Третя
вхідна змінна
|
Четверта
вхідна змінна
|
Вихідна
змінна
|
|
8.06
|
8.07
|
8.08
|
8.08
|
8.07
|
|
8.07
|
8.06
|
8.07
|
8.08
|
8.08
|
|
8.08
|
8.07
|
8.06
|
8.07
|
8.17
|
|
8.17
|
8.08
|
8.07
|
8.06
|
8.17
|
|
8.17
|
8.17
|
8.08
|
8.07
|
8.17
|
|
8.17
|
8.17
|
8.17
|
8.08
|
8.15
|
|
8.15
|
8.17
|
8.17
|
8.17
|
8.155
|
|
8.155
|
8.15
|
8.17
|
8.17
|
8.155
|
|
8.155
|
8.155
|
8.15
|
8.17
|
8.16
|
|
8.16
|
8.155
|
8.155
|
8.15
|
8.16
|
|
8.16
|
8.16
|
8.155
|
8.155
|
8.16
|
|
8.16
|
8.16
|
8.16
|
8.155
|
8.16
|
|
8.16
|
8.16
|
8.16
|
8.16
|
8.16
|
|
8.16
|
8.16
|
8.16
|
8.16
|
8.15
|
|
8.15
|
8.16
|
8.16
|
8.16
|
8.15
|
|
8.15
|
8.16
|
8.16
|
8.15
|
|
8.15
|
8.15
|
8.15
|
8.16
|
8.15
|
|
8.15
|
8.15
|
8.15
|
8.15
|
8.15
|
|
8.15
|
8.15
|
8.15
|
8.15
|
8.16
|
|
8.16
|
8.15
|
8.15
|
8.15
|
8.16
|
|
8.16
|
8.16
|
8.15
|
8.15
|
8.16
|
|
8.16
|
8.16
|
8.16
|
8.15
|
8.145
|
|
8.145
|
8.16
|
8.16
|
8.16
|
8.15
|
|
8.15
|
8.145
|
8.16
|
8.16
|
8.129
|
|
8.129
|
8.15
|
8.145
|
8.16
|
8.14
|
|
8.14
|
8.129
|
8.15
|
8.145
|
8.13
|
|
8.13
|
8.14
|
8.129
|
8.15
|
8.12
|
|
8.12
|
8.13
|
8.14
|
8.129
|
8.13
|
|
8.13
|
8.12
|
8.13
|
8.14
|
8.125
|
|
8.125
|
8.13
|
8.12
|
8.13
|
8.13
|
|
8.13
|
8.125
|
8.13
|
8.12
|
8.14
|
|
8.14
|
8.13
|
8.125
|
8.13
|
8.14
|
|
8.14
|
8.14
|
8.13
|
8.125
|
8.138
|
|
8.138
|
8.14
|
8.14
|
8.13
|
8.138
|
|
8.138
|
8.138
|
8.14
|
8.14
|
8.139
|
|
8.139
|
8.138
|
8.138
|
8.14
|
8.15
|
|
8.15
|
8.139
|
8.138
|
8.139
|
8.15
|
|
8.15
|
8.15
|
8.139
|
8.138
|
8.144
|
|
8.144
|
8.15
|
8.15
|
8.139
|
8.148
|
|
8.148
|
8.144
|
8.15
|
8.15
|
8.149
|
|
8.149
|
8.148
|
8.144
|
8.15
|
8.146
|
|
8.146
|
8.149
|
8.148
|
8.144
|
8.14
|
|
8.14
|
8.146
|
8.149
|
8.148
|
8.14
|
|
8.14
|
8.14
|
8.146
|
8.149
|
8.13
|
|
8.13
|
8.14
|
8.14
|
8.146
|
8.125
|
|
8.125
|
8.13
|
8.14
|
8.14
|
8.135
|
|
8.135
|
8.125
|
8.13
|
8.14
|
8.129
|
|
8.129
|
8.135
|
8.125
|
8.13
|
8.13
|
|
8.13
|
8.129
|
8.135
|
8.125
|
8.135
|
|
8.135
|
8.13
|
8.129
|
8.135
|
8.139
|
|
8.139
|
8.135
|
8.13
|
8.129
|
8.145
|
|
8.145
|
8.139
|
8.135
|
8.13
|
8.135
|
|
8.135
|
8.145
|
8.139
|
8.135
|
8.15
|
|
8.15
|
8.135
|
8.145
|
8.139
|
8.145
|
|
8.145
|
8.15
|
8.135
|
8.145
|
8.14
|
|
8.14
|
8.145
|
8.15
|
8.135
|
8.145
|
|
8.145
|
8.14
|
8.145
|
8.15
|
8.145
|
|
8.145
|
8.145
|
8.14
|
8.145
|
8.135
|
|
8.135
|
8.145
|
8.145
|
8.14
|
8.15
|
|
8.15
|
8.135
|
8.145
|
8.145
|
8.154
|
|
8.154
|
8.15
|
8.135
|
8.145
|
8.155
|
|
8.155
|
8.154
|
8.15
|
8.135
|
8.145
|
|
8.145
|
8.155
|
8.154
|
8.15
|
8.14
|
|
8.14
|
8.145
|
8.155
|
8.154
|
8.139
|
|
8.139
|
8.14
|
8.145
|
8.155
|
8.138
|
|
8.138
|
8.139
|
8.14
|
8.145
|
8.138
|
|
8.138
|
8.138
|
8.14
|
8.145
|
8.135
|
|
8.135
|
8.138
|
8.138
|
8.139
|
8.135
|
|
8.135
|
8.135
|
8.138
|
8.138
|
8.139
|
|
8.139
|
8.135
|
8.135
|
8.138
|
8.14
|
|
8.14
|
8.139
|
8.135
|
8.135
|
8.14
|
|
8.14
|
8.14
|
8.139
|
8.135
|
8.145
|
|
8.145
|
8.14
|
8.14
|
8.139
|
8.139
|
|
8.139
|
8.145
|
8.14
|
8.14
|
8.14
|
|
8.14
|
8.139
|
8.145
|
8.14
|
8.14
|
|
8.14
|
8.14
|
8.139
|
8.145
|
8.14
|
|
8.14
|
8.14
|
8.14
|
8.139
|
8.14
|
|
8.14
|
8.14
|
8.14
|
8.14
|
8.139
|
|
8.139
|
8.14
|
8.14
|
8.14
|
8.14
|
|
8.14
|
8.139
|
8.14
|
8.14
|
8.138
|
Малюнок робочого вікна редактора ANFIS із
завантаженою навчальною вибіркою представлено на малюнку нижче (Рис. 2.2)
Рис. 2.2 Графічний інтерфейс редактора ANFIS
після завантаження навчальних даних
Перед генерацією структури системи нечіткого
висновку типу Сугено задамо для кожної з вхідних змінних по 3 лінгвістичних
терма, а в якості типу їх функцій належності виберемо трикутні функції. В
якості типу функції належності вихідної змінної задамо лінійну функцію (Рис.
2.3)
Рис. 2.3 Діалогове вікно для завдання кількості і
типу функцій приналежності
Для навчання гібридної мережі скористаємося
гібридним методом навчання з рівнем помилки 0, а кількість циклів навчання
задамо рівним 40. Після закінчення навчання даної гібридної мережі може бути
виконаний аналіз графіка помилки навчання (Рис. 2.4), який показує, що навчання
практично закінчилося після 7-го циклу. Алгоритм навчання було описано у
попередньому пункті.
Рис. 2.4 Графік залежності помилки навчання від
кількості циклів навчання
Після навчання гібридної мережі можна візуально
оцінити структуру побудованої нечіткої моделі (Рис. 2.5). Графічна наочність
даної моделі залишає бажати кращого, оскільки загальна кількість правил в
розробленій адаптивної системі нейро-нечіткого виводу дорівнює 81, що ускладнює
їх візуальний контроль і оцінку.
Рис. 2.5 Структура згенерованої системи нечіткого
виводу
За допомогою графічних засобів системи МАТLАВ
можна виконати контроль і налаштування параметрів функцій належності вхідних
змінних і правил нечітких продукцій. Для виконання відповідних операцій можна
скористатися редактором функцій належності. Проте до перевірки адекватності
побудованої нечіткої моделі залишимо всі параметри функцій належності без змін.
Протестуємо систему нечіткого виводу спочатку на
навчальній вибірці, а потім на останніх відомих значеннях курсу долара. Знову
складаємо таблицю входять даних, до якої увійшли дані за травень (Табл. 2.4),
яку будемо використовувати для перевірки точності роботи. Тестуюча вибірка
відображена в таблиці (Табл. 2.5).
Результати тестування, приведені на малюнку нижче
(Рис. 2.7). Як ми можемо бачити, середня помилка при тестуванні складає
0.012247.
Таблиця 2.4. Динаміка продажу курсу іноземної
валюти (USD) в період з 1.05.13 по 31.05.13
|
Курс
USD
|
Дата
|
|
8,12
|
7
|
|
8,12
|
8
|
|
8,119
|
13
|
|
8,139
|
14
|
|
8,155
|
|
8,159
|
16
|
|
8,165
|
17
|
|
8,156
|
18
|
|
8,16
|
20
|
|
8,16
|
21
|
|
8,165
|
22
|
|
8,165
|
23
|
|
8,17
|
24
|
|
8,169
|
27
|
|
8,169
|
28
|
|
8,169
|
29
|
|
8,159
|
30
|
|
8,16
|
31
|
Таблиця 2.5. Вибірка вхідних даних для тестування
системи нечіткого виводу
|
Перша
вхідна змінна
|
Друга
вхідна змінна
|
Третя
вхідна змінна
|
Четверта
вхідна змінна
|
Вихідна
змінна
|
|
8.139
|
8.119
|
8.12
|
8.12
|
8.155
|
|
8.155
|
8.139
|
8.119
|
8.12
|
8.159
|
|
8.159
|
8.155
|
8.139
|
8.119
|
8.165
|
|
8.165
|
8.159
|
8.155
|
8.139
|
8.156
|
|
8.156
|
8.165
|
8.159
|
8.155
|
8.16
|
|
8.16
|
8.156
|
8.165
|
8.159
|
8.16
|
|
8.16
|
8.16
|
8.156
|
8.165
|
8.165
|
|
8.165
|
8.16
|
8.16
|
8.156
|
8.165
|
|
8.165
|
8.165
|
8.16
|
8.16
|
8.17
|
|
8.17
|
8.165
|
8.165
|
8.16
|
8.169
|
|
8.169
|
8.17
|
8.165
|
8.165
|
8.169
|
|
8.169
|
8.169
|
8.17
|
8.165
|
8.169
|
|
8.169
|
8.169
|
8.169
|
8.17
|
8.159
|
|
8.159
|
8.169
|
8.169
|
8.169
|
8.16
|
Рис. 2.7 Графічний інтерфейс редактора ANFIS
після завантаження тестувальних даних
Результати перевірки адекватності наведені у
наступному розділі.
Перейдемо до другого методу вводу даних, який
було запропоновано вище. Дані, які будуть введені, представлені у таблиці 2.2.
Існує твердження, що нейронні мережі краще реагують не на абсолютні значення, а
на ряди збільшень. Цей факт можна пояснити тим, що в нейронній мережі задається
діапазон значень, який визначається найбільшим і найменшим значеннями з
навчальної вибірки. Якщо цей діапазон великий, а самі значення при переході від
спостереження до спостереження змінюється на незначну в порівнянні з діапазоном
величину, то нейронна мережа просто не надасть належного значення цим змінам.
Крім того, використання при роботі з мережею збільшень дозволяє отримувати
прогноз у разі, коли абсолютні значення змінних, на основі яких будується
прогноз, виходять за межі діапазону встановленого при навчанні.
Таким чином, щоб оптимізувати навчання і роботу
мережі, всі абсолютні значення даних були перетворені до приростів за формулою
(2.1)
Після завантаження навчальної вибірки, редактор
ANFIS зображена на малюнку (Рис. 2.8)
Рис. 2.8 Графічний інтерфейс редактора ANFIS
після завантаження навчальних даних
Згенеруємо систему нечіткого виводу типу Сугено
натисканням кнопки Generate FIS…. У вікні задамо для кожної вхідної змінної по
3 функції приналежності типу gaussmf. Вибір функції приналежності тут
обумовлений тим, що ми предполгаем нормальний розподіл для випадкової величини
(Курс USD), яке якраз визначається гауссовською функцією по Теорії Ймовірності.
Для вихідної змінної задамо функцію приналежності const. Для навчання гібридної
мережі виберемо метод hybrid (зворотного поширення помилки) з рівнем помилки 0
і кількістю циклів 100. За результатами навчання середня помилка складає всього
лише приблизно 0.000518219. Дані для тестування наведені у таблиці (Табл. 2.6)
Середня помилка при тестуванні складає 0.0034449.
Таблиця 2.6. Вибірка вхідних даних для тестування
системи нечіткого виводу
|
Перша
вхідна змінна
|
Друга
вхідна змінна
|
Третя
вхідна змінна
|
Четверта
вхідна змінна
|
П’ята
вхідна змінна
|
Вихідна
змінна
|
|
0.0004905
|
0.0019658
|
0.0024634
|
-0.0001232
|
0
|
0.0007354
|
|
0.0007354
|
0.0004905
|
0.0019658
|
0.0024634
|
-0.0001232
|
-0.0011023
|
|
-0.0011023
|
0.0007354
|
0.0004905
|
0.0019658
|
0.0024634
|
0.0004904
|
|
0.0004904
|
-0.0011023
|
0.0007354
|
0.0004905
|
0.0019658
|
0
|
|
0
|
0.0004904
|
-0.0011023
|
0.0007354
|
0.0004905
|
0.0006127
|
|
0.0006127
|
0
|
0.0004904
|
-0.0011023
|
0.0007354
|
0
|
|
0
|
0.0006127
|
0
|
0.0004904
|
-0.0011023
|
0.0006124
|
|
0.0006124
|
0
|
0.0006127
|
0
|
0.0004904
|
-0.0001224
|
|
-0.0001224
|
0.0006124
|
0
|
0.0006127
|
0
|
0
|
|
0
|
-0.0001224
|
0.0006124
|
0
|
0.0006127
|
0
|
|
0
|
0
|
-0.0001224
|
0.0006124
|
0
|
-0.0012241
|
|
-0.0012241
|
0
|
0
|
-0.0001224
|
0.0006124
|
0.0001226
|
|
0.0004905
|
0.0019658
|
0.0024634
|
-0.0001232
|
0
|
0.0007354
|
Перевірка на адекватність даної моделі наведена у
наступному пункті.
.3 Оцінка адекватності отриманих результатів прогнозування
валютних курсів на основі запропонованого методу
Виконаємо перевірку адекватності побудованої
нечіткої моделі гібридної мережі для першого типу введення даних. Для цієї мети
зробимо ретроспективний прогноз значення курсової вартості USD на наступний
банківський день, наприклад, на 31 травня 2013 р., вважаючи для цього випадку
поточним банківським днем - 28 травня 2013
Оскільки точність кількісних значень, що
забезпечується графічними засобами пакета Fuzzy Logic Toolbox, є недостатньою
для вирішення даної задачі, скористаємося функцією командного рядка evalfis. В
якості аргументів цієї функції (див. додаток 3) вкажемо вектор значень курсової
вартості USD на поточний і 3 попередніх банківських дні. Повний формат виклику
цієї функції буде наступним:= evalfis ([8.169 8.169 8.17 8.165], VAL)
де out - умовне ім'я вихідної змінної; 8.169 -
значення курсової вартості USD на 28.05.13; 8.169 - значення курсової вартості
USD на 27.05.13; 8.17 - значення курсової вартості USD на 24.05.13; 8.165 -
значення курсової вартості USD на 23.05. 13; VAL - ім'я структури FIS,
попередньо завантаженої в робочу область системи MATLAB (Рис. 2.8).
Рис. 2.8 Вікно команд з результатом перевірки
адекватності нечіткої моделі гібридної мережі
Після виконання цієї команди за допомогою
розробленої нечіткої моделі буде отримано значення вихідної змінної для
31.05.13, рівне 8.1608 (Рис. 2.8). Порівнюючи отримане значення з відповідним
значенням (табл. 2.4). Можна констатувати майже абсолютний збіг цих значень.
Таким чином, перевірка побудованої нечіткої
моделі гібридної мережі показує досить високу ступінь її адекватності реальним
вихідними даними, що дозволяє зробити висновок про можливість її практичного
використання для прогнозування курсової вартості USD на фінансовому ринку
валют. У цьому випадку нечіткі моделі адаптивних систем нейро-нечіткого виводу
можуть вважатися новим і конструктивним інструментом технічного аналізу
фінансових ринків.
Складність даної роботи, а також актуальність
даного питання дозволяють продовжувати дослідження у даній сфері. У своїй
магістерській роботі я планую дослідити і побудувати адаптивну систему
нечіткого виводу, яка зможе робити довгострокові прогнози на макрорівні.
Висновки
В результаті виконання даної випускної роботи,
яка полягає в моделюванні процесу прогнозування валютних курсів на основі
теорії нечітких множин, отримані наступні результати:
. Проведено теоретико-аналітичний огляд
валютного ринку FOREX. Розглянута історія його розвитку, розкриті основні
поняття. Наведені основні методи проведення аналізу на валютному ринку.
. Визначено основні проблеми
прогнозованості даної галузі. Основна проблема на валютному ринку це одночасна
присутність на ринку FOREX мільйонів гравців з різних країн. Кожен з них працює
з однією або декількома валютними парами. Таким чином, в кожен момент часу на
ринку є учасники, що відкривають довгі позиції, і ті, хто відкриває короткі
позиції. Це спричиняє свого роду стохастичність.
. Наведено основні математичні методи
прогнозування валютних курсів. Були розглянуті основні властивості часових
рядів та основні моделі лінійного та нелінійного підходу. У рамках лінійного
підходу були вивчені такі моделі, як модель Бокса-Дженкінса та ін. Як приклад
нелінійного підходу була розглянута теорія нейронних мереж, та наведені основні
їх властивості та переваги.
. Проведено аналіз вітчизняного ринку
валюти за період з 01.01.2013 до 31.05.2013. На основі цих даних, було
запропоноване використання теорії нечітких множин із поєднанням теорії
нейронних мереж. Такий вибір обумовлюється тим, що об'єднання можливостей
нейронних мереж і нечіткої логіки є найбільш перспективним підходом до
організації систем інтелектуального аналізу економічних даних.
. Побудовано модель нейро-нечіткої
гібридної мережі за допомогою пакету прикладних програм для вирішення задач
технічних обчислень MATLAB, зокрема пакету розширення що містить інструменти
для проектування систем нечіткої логіки Fuzzy Logic Toolbox, а також
основної функції налаштування систем нечіткого логічного висновку типу Сугено -
ANFIS.
Завдяки побудованій системі нечіткого виводу
можливо робити короткострокові прогнози валютного курсу з великою точністю. Це
було доведено під час перевірки моделі на адекватність. Розроблена інформаційна
система може бути використана, як інструмент для аналізу фахівцями, які
займаються валютними торгами на ринку Forex.
Списoк викoристaних джeрeл
1. Філіпенко А.С. Міжнародні економічні відносини: Історія
міжнародних економічних відносин: підручник / Уклад.: А.С. Філіпенко, В.С.
Будкін. - К.: Либідь, 2007. - 187 с. - ISBN 5-325-00097-7: Б. ц.
2. Мочерний С.В. Економічна енциклопедія: У трьох томах. Т.
1. / Редкол.: Мочерний С.В. (відп. ред.) та ін. - К.: Видавничий центр
«Академія», 2010. - 864 с.
. Крамаренко В.І. Біржова діяльність: навчальний посібник/
за ред. д-ра екон. наук: В.І. Крамаренко, д-ра екон. наук Б.І. Холод. - К.:
ЦУЛ, 2008. - 264 с.
. Барінов, Е.А. Ринки: валютні та цінних паперів / Е.А.
Барінов - М.: Іспит, 2009.-608 с.
. Валютний ринок і валютне регулювання: Навчальний посібник
/ [під ред. І. Н. Платонової]. - Видавництво «БЕК», 2006. - 190 с.
. Валютний ринок Форекс. [Електронний ресурс]. - Режим
доступу: http://www.rus-plus.info/23.php
. Найман, Е.Л. Мала енциклопедія трейдера / Е.Л. Найман -
2007. - 204 с.
. Галкін І.В. Валютні ринки США та Росії: становлення та
регулювання / Галкін І.В. [И др.]. - М.: Економіка, 2008. - 105 с.
. Жваколюка, Ю. Внутрішньоденна торгівля на ринку ФОРЕКС»/
Ю. Жваколюка - «Пітер», С-Петербург, 2010. - 34 с.
. Круглов, В.В. Основи міжнародних валютно-фінансових і
кредитних відносин: підручник / В.В. Круглов - М., 2008. - 93 с.
. Піскулов Д.Ю. Теорія і практика валютного дилінгу / Д.Ю.
Піскулов - Фірма «Фінансист», 2006. - 432 с.
. Михайлов Д.М. Світовий фінансовий ринок: тенденції та
інструменти / Д.М. Михайлов - М., 2010. - 62 с.
. Сорос Дж. Алхимия финансов/ Сорос Дж. - «Инфра-М», 2001.
- 208 с.
. Колбі, Р.В. Енциклопедія технічних індикаторів ринку /
Р.В. Колбі, Т.А. Мейерс - Видавничий дім «Альпіна», 2010. - 145 с
. Ліховідов, В.М. Фундаментальний аналіз світових валютних
ринків: методи прогнозування і прийняття рішень / В.М. Ліховідов - М.: Рипол-Класик,
2007. - 206 с.
. Магнус Я.Р. Економетрика. Навчальний курс. Москва, М:
Депо, 2005
. Пламер, Т. Прогнозування фінансових ринків / Т. Пламер -
2006. - 118 с.
. Dickey, D. A and W.A. Fuller, «Distributions of the
estimators for autoregressive time series with a union root», Journal of
American Statistical Association, 75 (1979), 427-431
. Бокс Дж., Дженкинс Г. Анализ временних рядов. Прогноз и
управление / Пер. в анг./ - М.: Мир, 1974.
. Бестенс, Д. Нейронні мережі і фінансові ринки: прийняття
рішень в торгових операціях / Д. Бестенс, В.М. Ван-Ден Берг, Д. Вуд - М.: ТВП,
2007. - 366 с.
21. Каллан Р. Основние концепции нейронних сетей. - М.: Вільямс,
2001. - 544 с.
. Бойцун Н.Є., Кісельова О.М., Притоманова О.М. Прогнозування
економічних і фінансових процесів на основі нейронечітких технологій // Фінанси
України, 2005. - №5.
. Леоненков А. Нечеткое моделирование в среде Matlab и
FuzzyTech/ Леоненков А., - Санкт-Петербург «БХВ-Петербург» - 2005. - 725 с.
24. Голоскокова А.К. Возможности нейросетей в задачах
прогнозирования. Сборник докладов 1 научно-практической конференции
«современные проблемы прикладной информатики», СПбГИЭУ, 2005. - 340 с.
. Ліпатова С.В., «Сборник задач по курсу «Интеллектуальные
информационные системы» Навч. Посібник/ Ульяновск УлДУ, 2010. -64 с.