Валютний ринок
Содержание
Вступ
. Теоретичні основи валютного ринку
1.1 Валютний ринок України
.2 Аналіз світового ринку валюти
.3 Прогнозування валютного курсу
2. Математичне моделювання та аналіз адаптивних методів прогнозування валютного курсу
2.1 Прогнозування валютного курсу
2.2 Математичні методи прогнозування та аналітичні залежності
2.3 Адаптивні методи прогнозування
2.4 Короткострокове прогнозування валютного курсу
3. Моделі прогнозування динаміки курсів валют
3.1 Адаптивні та
імпиричні моделі
прогнозування динаміки курсів валют
3.2 Математична задача прогнозування валютного курсу
Висновок
Література
Вступ
Підвищення ефективності короткострокових операцій із валютою
- одне з важливих завдань у діяльності банків. Щоденно (а іноді й декілька
разів на день) банки продають і купують різні валюти в значних обсягах,
прагнучи надати руху вільним валютним резервам з метою уникнення втрат від
кон’юнктурних коливань курсів та отримання додаткового прибутку. Ефективність
валютних операцій істотним чином залежить від надійності прогнозів коливань
курсів валют. Саме тому прогнозування має велике практичне значення для
оперативної діяльності банків, а питання про можливість застосування
статистичних методів стає актуальним і природним. Як відомо, моделювання
прогнозних оцінок майбутнього стану економічних об’єктів є найбільш успішним
тільки в тих випадках, коли модель повною мірою відображає як природу процесу
управління, так і специфіку ділового середовища, тобто йдеться, по суті, про
адекватність використовуваної моделі. Формально адекватність оцінюється за
результатами постпрогнозних розрахунків. Однак проблема полягає не тільки в
пошуку способів досягнення адекватності, а й у тому, щоб наділити модель
властивостями, які будуть забезпечувати підтримання адекватності протягом
необхідного часу при розрахунках на достатньо велику глибину прогнозного
періоду. Ми вважаємо, що вирішення цієї проблеми слід шукати в побудові
моделей, які компілюють на абстрактному рівні природу реальних процесів
управління з урахуванням характеристики ділового середовища. А це означає, що у
прогнозній моделі повинні бути сконцентровані інерційність тенденцій минулого,
раціональність задумів щодо майбутнього і адаптивність до виникаючих
закономірностей дійсності. З трьох складових пропонованої моделі особливий
інтерес викликає адаптивність і, перш за все, її кількісне уявлення. Значний
внесок у розробку адаптивних моделей прогнозування внесли такі вчені, як О. В.
Бережна, В. В. Давніс, П. А. Іващенко, Ю. П. Лукашин, Ю. П. Лушин, Р. Нельсон,
Л. Ф. Ніколаєнко, В. Н. Подладчиков, А. А. Ривкін, Т. В. Струченкова, В. І.
Тінякова, О. Ю. Урицька, Е. М. Четиркін та інші.
Моделі, які володіють властивістю адаптивності, або адаптивні
моделі, - це моделі дисконтування даних, які здатні швидко пристосовувати свою
структуру і параметри до зміни умов. За функціональним призначенням адаптивні
моделі - це самокореговані рекурентні моделі, які, відображаючи змінні в часі
динамічні властивості часового ряду і, враховуючи інформаційну цінність його
ретроспективних членів, здатні давати досить точні оцінки майбутніх елементів.
Такі моделі призначаються, перш за все, для короткострокового прогнозування.
Але існує відмінність поняття цього виду прогнозування в економіці та
статистиці. В економіці під короткостроковим прогнозом, зазвичай, розуміють
прогноз із періодом випередження до одного року. У статистиці інформацію про
процес зазвичай отримують у формі записів значень, спостережуваних через рівні
проміжки часу. Відповідно, під короткостроковим прогнозом, як правило, мається
на увазі прогноз на один інтервал часу (у крайньому разі на декілька). Сам же
інтервал може бути будь-яким. Коли потрібен курс валюти на наступний день,
звичайно, бажано знати і напрямок зміни курсу за день і його величину. Однак
для отримання позитивного ефекту від валютних операцій практично достатньо передбачити знак приросту
курсу валюти, тобто передбачити його динаміку.
1. Теоретичні
основи валютного ринку
1.1 Валютний
ринок України
Операції з іноземною валютою на території України здійснюються відповідно
до чинного законодавства.
До валютних операцій належать:
операції з використанням валютних цінностей у мінімальному обігу як
засобів платежу;
операції, пов’язані з переказом і пересиланням за її межі валютних
цінностей.
Валютними цінностями на території України вважаються: валюта України,
платіжні документи й інші папери, іноземна валюта, платіжні документи й інші
папери виражені в іноземній валюті, монетарні метали, метали платинових груп.
Валютний ринок не може бути статичним - це суперечить його природі. На
ньому постійно коливаються курси залежно від ситуації.
Важливими елементами зовнішньоекономічного механізму в умовах розвинутої
ринкової системи є податкова, кредитна, депозитна, цінова, митно-тарифна
політика, зокрема і валютна. В Україні ці процеси мають поки що недосконалий
характер і потребують загального поліпшення.
Ключовим елементом зовнішньоекономічного механізму є валютна політика,
яка являє собою сукупність заходів держави та центрального банку у сфері
валютних відносин (валютні обмеження, регулювання валютних курсів, імпортні
депозити) з метою впливу на платіжний баланс, валютний курс та
конкурентоздатність національного виробництва.
Крім зазначених загальних завдань, українська держава має вирішувати в
галузі валютних відносин і ряд специфічних проблем, що випливають із
конкретно-історичної ситуації, яка склалася сьогодні:
забезпечення стабільності гривні відносно провідних валют світу;
залучення іноземної валюти в країну і використання її як засобу
стабілізації національної економіки;
створення державного валютного фонду й ринку валюти.
На жаль, валютні проблеми вирішуються в Україні вкрай повільно і
наштовхуються на великі труднощі. Слабкий експортний потенціал не забезпечує
достатніх валютних надходжень у країну, а відсутність нормальної економічної
ситуації примушує експортерів приховувати валюту за кордоном, оскільки у них
немає гарантій вільного розпорядження своїми валютними коштами й необхідних
стимулів до їх інвестування в національну економіку. Зроблені лише перші кроки
до організації системи купівлі валюти Національним і комерційними банками,
торгівлі валютою за участю держави та її структур, функціонування української
валютної біржі. Розбалансованість механізму валютних операцій не дає змоги
звести валютний та платіжний баланси України. Таким чином, нинішня неефективна
валютна політика є фактором, що дестабілізує економіку, й одним із могутніх
джерел інфляції.
Найскладнішим і неоднозначним за своїми економічними наслідками елементом
проведеної грошової реформи в Україні є введення валютної конвертованості.
Конвертованість - це один з дійових заходів стабілізації національної грошової
системи, посилення її впливу на розвиток ринкових відносин, забезпечення
ефективної структурної перебудови економіки, її конкурентоздатності та прискорення
інтеграції у світове господарство.
Нині для валютних операцій використовуються обмінні курси іноземних
валют, виражені у валюті України. Вони встановлюються Національним банком на
основі результатів торгів на міжбанківському валютному ринку України.
Включення валютних стабілізаторів у зовнішньоекономічний механізм
забезпечило б значною мірою створення умов для зниження курсу вільно
конвертованої валюти відносно української гривні, формування передумов для її
повної конвертованості, рееміграції валютних коштів в Україну, залучення
іноземної валюти в країну тощо.
1.2 Аналіз
світового ринку валюти
Міжнародні валютні ринки обслуговують рух міжнародних
потоків, через міжнародний обмін товарами, послугами, рухом капіталів. В
результаті тривалої конкуренції сформувались світові центри, де зосередились
найбільші біржі та банки, спеціалізовані кредитно-фінансові установи.
Міжнародні валютні ринки розміщені у найбільших фінансових центрах світу - у
Західній Європі, США, Близькому та Далекому Сході, в країнах Південно-Східної
Азії. Найбільшими є валютні ринки в Лондоні, Цюриху, Нью-Йорку, Парижі, Токіо,
Сінгапурі. На цих валютних ринках проводять операції з ключовими валютами, що
широко використовуються у світовому платіжному обороті. До таких ключових валют
відносять американський долар, англійський фунт стерлінгів, євро та японську
ієну. Розглянемо графік динаміки основних валют у 2009 році.
Як і прогнозувалося, стан світової економіки погіршився на
початку 2009 року у зв’язку із світовою фінансовою кризою. Також на динаміку
валютного курсу вплинув ріст безробіття. Для більше детального аналізу
розглянемо попарно динаміку курсів ключових валют [6].
Уряду США дорогий долар вигідний лише на тих умовах, коли
вони друкуються у космічній кількості, щоб стимулювати займовими грошами власну
економіку. А коли наступить час повертати борги, то вигідніше мати більш дешеву
валюту, що ми і бачимо на початку року. Щодо загальної динаміки курсу долара,
можна сказати наступне. Як і було прогнозовано, курс долара у 2009 році коливався
- знижався та зростав, проте ніякої його девальвації не було, тому що США ні за
яких умов не відмовилося би від долара. За його курсом стоїть довга історія
фінансової стабільності і саме це дозволяє йому залишатися світовою резервною
валютою. Крім того, державний борг, за світовими мірками, не такий вже
нереальний.
Рис. 2.1 Курс долара США по відношенню до євро (січень
2009-січень 2010)
Проте, на початку 2009 року, інвестори почали відзивати свої
капітали в надії на іх збереження, що призвело до падіння долару, яке ми бачимо
на рисунку 2.1. Така тенденція простежується до початку березня, а далі долар
починає рости в ціні. Причиною цьому стали політичні дестабілізуючі фактори на
міжбанківському ринку. Щодо відображення коливання курсу долара на українському
валютному ринку, то його коливання за півроку (період липень-грудень 2009 року)
на 58% призвели до парадоксу серед українців. Тобто, навесні всі продали долар
по 4,55 грн, а восени почали скуповувати валюту вже по 7,2 грн. Така валютна
«гойдалка» підірвала довіру українців до національної валюти [10].
У березні долар досяг нових трирічних максимумів проти кошика
валют. За словами аналітиків, позитивна динаміка піднялася на гребені нових
страхів щодо стану світової економіки, які змушували інвесторів кидати все, і
скуповувати американські активи, навіть незважаючи на те, що американський уряд
вже відкрито оголошував про свою стурбованість дефіцитом бюджету. За словами
Бена Бернанке, світові кредитори можуть відмовитися від інвестицій в економіку
США, якщо уряд не зможе взяти під контроль дефіцит бюджету. 'У нормальних
умовах зростаючий дефіцит працює проти валюти', - зазначив Ганс Редекер з BNP
Paribas. 'Проте зараз йде процес відмови від позикових коштів з боку фінансових
інститутів, які намагаються очистити свої баланси. Це і спричиняє за собою
природний попит на долари '. Аналітики вважають, що основна частина процесу в
контексті субстандартної іпотеки та інших структурних продуктів вже
завершилася, на валютному ринку ця тема, як і раніше залишається одним з
ключових каталізаторів рухів. Крім того, після колапсу Lehman Brothers почався
масовий вихід з спекулятивних позицій, який призвів до утворення доларового
дефіциту. Американська валюта буде користуватися підтримкою незважаючи ні на
які негативні дані, поки не зміниться ситуація навколо.
До того ж, варто зауважити, що наприкінці року долар почав
падати разом із стрімким ростом цін на нафту. Пояснення цьому можна дати тим,
що для забезпечення внутрішніх потреб США у нафті, Сполученим Штатам було
вигідніше знизити долар у ціні, щоб розплатитися по ціні 128 доларів за барель.
Закриття 13 жовтня 2009 сесії на торгах у Нью-Йорку ознаменувалося падінням
долара до позначки серпня 2008 року. Курс американської валюти ослабів до 1,
4887 долара за євро. Протягом дня на біржі була зафіксована відмітка 1,4890
доларів за євро. Також 14 жовтня курс євро зменшився на 0,6% по відношенню до
ієни через зниження японських фондових індексів і цін виробників, що збільшили
попит на валюту Японії через її відносну безпеку [11]. За день до цього, 13
жовтня, євро і долар зросли по відношенню до ієни за рахунок відновлення
глобальної економіки від рецесії. Відновлення з рецесії автоматично означає
зниження попиту на низькодохідні малоризиковий операції. (На біржах
відображаються коливання курсів валют, що залежать від ступеня довіри і
недовіри.)
Щодо аналізу динаміки євро у 2009 році, то майже на протязі
всього року євро щодо долару дешевшав і лише після вересня почав рости у ціні.
Позиція європейських владних структур щодо виходу з кризи в частині витрачених
фінансів, досить ясно прозвучала на зустрічі міністрів фінансів G20, що
підкосили безтурботне сходження європейської валюти. Грошей витрачено
достатньо, а, значить, на швидкі чергові вливання розраховувати економіці не
доводиться, що у свою чергу знову викликало побоювання інвесторів з приводу
долі євро [13].
Консервативна політика фінансової влади Європи, що
проводиться не тільки регулятором, але і правлячими урядовими структурами знову
зробила негативний вплив на позиції єдиної валюти регіону. Більшість
представників єврозони прийшли до єдиної думки про те, що грошей, витрачених на
боротьбу з кризою цілком достатньо, а подальше збільшення фінансування
економічних структур, що терплять фіаско, лише додасть проблем основним
фінансовим документом країни - бюджетам. Природно, роздувати бюджет жодна з
країн не має наміру. Агресивна політика США в даному напрямку абсолютно не
співвідноситися з обережністю європейського регіону. Хто опиниться правий в
кінцевому результаті, і хто швидше вибереться з кризової ями, з найбільшою
часткою ймовірності, можна було спостерігати восени. (Саме на осінь зорієнтував
економічне співтовариство глава ФРС Бен Бернанке.) А тоді, відкрито заявлене
небажання вливати в економіку ресурси відправило євро в легкий нокдаун.
Вперше за 5 останніх сесій європейська валюта перейшла в
червону зону. Причому не тільки по відношенню до долара, але і до ще 9 з 16
найбільш активно торгованих валют світу.
«Очікування подальшого пом'якшення кредитно-грошової політики
і небажання збільшити держвитрати негативно позначаться на курсі євро, -
відзначив валютний аналітик і економіст Credit Suisse Group у Токіо Сатору
Огасавара. - Подібні політичні рішення означають зниження для євро».
Втрата євро своїх позицій підживлювалася і очікуваним
черговим засіданням європейського регулятора. Ринок знову чекає від ЄЦБ
зниження ставки, яка на даний момент складає 1,5 %. Очікування, відзначимо,
досить сумнівні (оскільки не варто сподіватися на несподівану агресію в одній
із найбільш консервативних організацій). Проте зростання євро вони навряд чи
посприяють. валютний ринок прогнозування курс
Просліджується цікава тенденція у динаміці євро. Якщо навесні
курс долара виріс до $ 1,25 за євро, то протягом вересня відзначена протилежна
динаміка: євро зміцнився до долара до $ 1,42 за євро. Чому ж валюта єврозони
набирає силу?
Фундаментально нічого не змінилося: інвестори як і раніше
згортають carry-trade, ліквідність все так само не поступає на кредитні ринки,
проте євро в останні два тижні почав зміцнюватися. Все дуже просто. Надлишок
ліквідності по долару, сформований вливаннями ФРС США, і дефіцит по інших валют
природним чином приводять до продажів доларів. На даний момент доларова
ліквідність найбільш активно переходить в євро, оскільки євро посідає друге
місце після долара з використання центральними банками як резервної валюти, що
визначає достатню довіру до нього як до об'єкта інвестицій. Крім того, сильна
інтеграція європейської та американської банківських систем породила дірки
ліквідності на балансах європейських банків, які потрібно закривати.
Втім, на думку експертів, попит на євро найближчим часом може
зійти нанівець. Закриття дірок ліквідності, номіновані в євро, за рахунок
конвертації доларів має цілком природні межі, що визначаються нормативами Basel
II. Справа в тому, що фінансування активів за рахунок зобов'язань, номінованих
в іншій валюті, утворює відкриту валютну позицію, величина якої обмежена рівнем
капіталу. Тому при закритті всіх дір у європейській банківській системі явно не
обійтися без вливань Європейського центрального банку. На сьогоднішній день ЄЦБ
повідомляв про додаткові планах "закачування" у фінансову систему
(мова йде про програму викупу забезпечених облігацій на 60 млрд євро), І,
швидше за все, цією сумою стабілізаційні заходи ЄЦБ не вичерпаються. Цілком
виправдано очікувати, що зі вступом ліквідності в євро тиск на долари значно
знизиться, а додаткову підтримку долару буде надавати триваюче згортання carry
trade.
Мабуть, ФРС США, будучи, по суті, світовим центром емісії
грошової бази, буде діяти більш інтенсивно, ніж ЄЦБ, що грає на руку євро.
Проте в середньостроковій перспективі такі фактори, як "жорстка
посадка" економіки єврозони, зниження ставки ЄЦБ і зростаючі дефляційні
ризики будуть надавати підтримку долару. Як це зазвичай буває, здуте одного
міхура неминуче веде до появи іншого. Отримавши вливання з боку центральних
банків, фінансові інститути не поспішають направляти ліквідність на кредитний
ринок, очікуючи списань "токсичних" активів, а також відтоку
клієнтських коштів.
А поки отримана ліквідність акумулюється в високоліквідних
активах, тобто казначейських облігаціях США. Таким чином, пузир на кредитному
ринку трансформується в пузир на ринку КВ [4]. Зростанню цін КВ сприяють
дефляційні ризики, які збережуться в середньостроковій перспективі на тлі
рецесії в розвинених країнах. Однак при перших ознаках наростання інфляційних
ризиків ситуація може різко змінитися. Інвестори почнуть направляти свої
ліквідні активи, розпродаючи КВ, на кредитні ринки, оскільки зростання інфляції
означає початок відновлення, що збільшує схильність інвесторів до ризику.
Тепер розглянемо динаміку англійського фунта стерлінгів за
останній рік (рис.2.2). На початку року
простежується стабільність курсу, а у березні фунт вже впав . За словами
експертів, британський фунт падає на тлі похмурих перспектив банківської
системи Великобританії, незважаючи на те, що напередодні уряд країни оголосив,
що надасть комерційним банкам країни допомогу в розмірі 300 млрд. фунтів
стерлінгів. Новий етап допомоги банкам з боку держави спрямований на
відновлення системи кредитування банками бізнесу та позбавлення
кредитно-фінансових установ від так званих 'токсичних активів' - незабезпечених
цінних паперів і кредитів, у тому числі іпотечних.
Рис. 2.2 Динаміка англійського фунта стерлінгів по відношенню
до долара США січень 2009-січень 2010
Проте вже на початку другого кварталу, фунт поступово
стабілізувався. Як висновок - за останні місяці 2009 року ставка фунту зросла
на 12%. Яких-небудь фундаментальних переваг у британської економіки та її
валюти проти американського конкурента немає. Навпаки, незважаючи на порівнянні
розміри бюджетних дефіцитів (у відсотках від ВВП), економіці Туманного Альбіону
за підсумками III кварталу 2009 року так і не вдалося продемонструвати
квартальне зростання, на відміну від США. У липні-вересні ВВП Сполученого
Королівства впав на 0,3%, за рік на 5,1%. Тобто стимулюючі заходи, що
вживаються урядом Великобританії, поки менш ефективні, ніж у США (хоча і
Америка не може похвалитися високою «ефективністю» бюджетних витрат).
Немає істотних відмінностей у двох держав і в
грошово-кредитній політиці. Ключова ставка в Сполученому Королівстві в даний момент
знаходиться на рівні 0,5%. При цьому, згідно зі звітом британського Центру
економічних і ділових досліджень, Банк Англії не стане підвищувати поточне
значення ставки аж до 2011 року. І навіть до 2014 р. вартість рефінансування у
ЦБ, на думку експертів Центру, не перевищить 2,0%.
Подібні перспективи не лякають валютних спекулянтів, яких
цікавить виключно ситуація з розряду «тут і зараз», і наразі дохідність фунта
все-таки вище, ніж у долара (наприклад, ставки по 3-місячному USD Libor в 2,5
рази нижче, ніж по позиками в британській валюті), зростаючий тренд по парі
збережеться.
Рис. 2.3 Динаміка японської ієни по відношенню до долара США
січень 2009-січень 2010
Японська ієна входить до числа базових валют, а курс ієни по
відношенню до основних світових валют є однією з базових величин. Японська ієна
часто грає роль валюти-притулки, тому курс ієни є своєрідним індикатором
поведінки великих гравців на ринку капіталу.
У 2008 році курс ієни значно зріс по відношенню до світових
валют (рис 2.4). Причиною цьому з'явився міжнародна фінансова криза. У
результаті фінансового колапсу багатьом банкам терміново знадобилися гроші,
вони виводили їх з акцій і згортали свої операції керрі-трейд.
Логічно, що вони продавали національні валюти інших країн і
купували ієну. Багато йшли в резервні валюти. Ми бачимо як виріс долар США, але
ми бачимо, що ще більше виросла японська ієна (рис. 2.3). І якби не численні
валютні інтервенції центробанку Японії проти власної національної валюти, то
курс ієни міг би зміцнитися ще більше.
Рис. 2.4 Курс USD/JPY в періоді 2007-2010 рр
За станом на середину 2009 року практично всі можливі
операції керрі-трейд згорнуті або припинені [14]. Легко припустити, що як тільки
стане зрозуміло, що дно світової фінансової кризи пройдене і починається новий
виток економічного розвитку, очолить який до речі кажучи технологічний сектор,
знову почнуть відкриватися операції керрі-трейд. До того часу центробанки
більшості країн почнуть знову закручувати гайки, підвищуючи відсоткові ставки
для боротьби з інфляцією. Зростання інфляції - це неодмінно атрибут завершення
всіх кризових періодів. Вона викликається простим підвищенням купівельної
спроможності і зростанням грошової маси. У Японії ж історично з 70-х років ХХ
століття панує дефляція, що і призводить до такої низької процентної ставки.
Підвівши підсумок можна сказати, що завершення кризи сприяло
падінню курсу японської ієни. Японський уряд не перешкоджав цьому, оскільки так
ситуація для експортної економіки Японії стане більш ніж сприятливою.
Проте за даними графіка (рис 2.3, рис. 2.4) очевидно, що в
період травень-листопад 2009 року ієна стабільно йшла вгору. Причиною цього
рекордного падіння долару проти ієни називають масові застереження щодо
нестабільності економіки США. Зростанню ієни проти долара також сприяли
спекуляції щодо подальшого погіршення ситуації на ринку нерухомості та ринку
праці США. Тобто, можна сказати, що не ієна зросла, а потерпів крах долар у цій
парі.
Проте Міністерство фінансів Японії ще раз підкреслило, що
уряд не зацікавлений в таких коливаннях валюти, і що можливими будуть
проведення валютних інтервенцій, що у листопаді 2009 вже знизило курс ієни и
дещо стабілізувало її. За даними на початок 2010 року ієна все ще продовжувала
падати в ціні щодо основних світових валют [11].
1.3 Прогнозування
валютного курсу
Одним з напрямів валютної політики є прогнозування
валютного курсу, яке здійснюють банки, фірми, ТНК. Метою прогнозування є
поліпшення страхування валютних ризиків і підвищення ефективності рішень у
галузі міжнародного фінансового менеджменту. Прогнозування дає можливість
зробити правильний вибір щодо валюти ціни і валюти платежу в
зовнішньоторговельних контрактах; валюти міжнародного кредиту та платежу;
валюти, в якій ведеться рахунок корпорацій у банку; грошової одиниці, в якій
деномінуються закордонні капіталовкладення компанії або закордонні активи
банку.
Прогнозні оцінки використовують валютні дилери,
брокери, тобто професійні валютні спекулянти, що грають на різниці курсів
валют.
Зрушення валютних курсів викликається різноманітними
чинниками. Враховуючи ці чинники, можна отримати уявлення про напрям змін
валютних курсів.
Прогнозування - це не точна наука, прогнози не можна
вважати достатньо надійними. Однак загальне розуміння того, які економічні сили
впливають на формування валютних курсів, дає інвесторам змогу своєчасно
реагувати на очікувані зміни майбутньої їхньої динаміки. При цьому потрібно
враховувати і ті чинники, котрими керуються уряди, втручаючись у ситуацію на
валютних ринках. Результат офіційних інтервенцій на валютному ринку залежить
від реакції спекулянтів. Якщо останні переконані, що центральний банк має
можливість стабілізувати той чи інший валютний курс, то вони сприятимуть підтримці
курсу цієї валюти. Якщо спекулянти вважають, що спроби підтримати курс слабкої
валюти не досягнуть мети, то спекуляція проти цієї валюти посилиться.
Основними даними, які впливають на очікування
майбутньої динаміки валютного курсу і на підставі яких можна будувати
передбачення про тенденції змін валютних курсів, є:
· паритет купівельної спроможності
валют (ПКС);
· відмінності в темпах інфляції;
· відносний рівень реальних відсоткових
ставок;
· стан платіжного балансу країни;
· стан економіки і валютна політика;
· політична обстановка.
Відносний стан грошових мас різних країн впливає на
валютні курси. На міжнародному ринку, як і на національному, вартість валюти
тим менша, чим більше її перебуває в обігу.
Попит на готівкові гроші залежить від річного обсягу
операцій, що виникають при обміні грошей на товари і послуги, котрий (обсяг)
тісно пов'язаний з рівнем виробленого продукту - ВНП. Попит на валюту тієї чи
іншої країни являє собою попит на право купівлі частини ВНП цієї країни. Цей
попит повинен бути пропорціональним ВНП певної країни незалежно від того,
звідки йде цей попит.
Рівняння кількісної теорії попиту на гроші виходить з
того, що пропозиція грошей будь-якої країни дорівнює попиту на гроші, котрий
прямо пропорційний вартості ВНП.
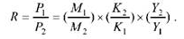
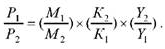
Рівняння для двох країн має такий вигляд:
де М1 і М2 - внутрішня і
зовнішня пропозиції грошей (наприклад, у доларах чи євро);
Р1 і Р2 - рівні цін;
У1 і У2 - реальні (в постійних
цінах) національні продукти;
К1 і К2 - поведінківські
коефіцієнти, що визначаються кожним рівнем. Рівняння кількісної теорії можуть
бути використані для визначень співвідношення рівня цін між країнами:
У довгостроковій перспективі, за умови, що товари і
послуги можуть бути куплені в одній або іншій країні, відносний стан грошових
мас різних країн впливає на валютні курси: вартість валюти тим менша, чим
більше її перебуває в обігу, і навпаки.
Передбачення, що міжнародна торгівля зрівнює тенденції
руху цін основних товарів, які беруть участь у міжнародній торгівлі, призвело
до гіпотези паритету купівельної спроможності, яка пов'язала ціни в
національній валюті з валютними курсами.
Паритет купівельної спроможності - це рівність
купівельної спроможності різних валют при незмінному рівні цін у кожній з країн.
Існують теорії абсолютного та відносного паритету
купівельної спроможності. В теорії абсолютного паритету купівельної
спроможності стверджується, що обмінний курс між валютами двох країн дорівнює
відношенню рівнів цін у цих країнах:
Наприклад, споживчий кошик в Україні коштує 1000 грн і
200 дол. - у США. За такого співвідношення цін повинен установитися валютний
курс 5 грн за 1 дол. Якщо рівень цін в Україні збільшиться втричі, то
збільшиться і ціна долара в гривнях у три рази: 15 грн за 1 дол. (3000 грн/200
дол.). Таким чином, купівельна спроможність національної валюти кожної країни
залежить від рівня її внутрішніх цін. У результаті зростання внутрішніх цін
купівельна спроможність національної валюти знижується, що призведе до
пропорційного зниження (знецінення) її валютного курсу.
Об'єднання рівняння паритету купівельної спроможності
і рівняння кількісної теорії грошей дає прогноз валютних курсів, що ґрунтується
на співвідношенні грошової маси і ВНП:
Рівняння говорить про те, що валюта країни (М2)
підвищуватиметься (зростання Я), якщо в цій країні повільніші темпи зростання
грошової маси (М1/М2 зростає), швидші темпи реального ВНП
(У2/У1 зростає) і збільшується співвідношення К2/К1.
І навпаки, валюта країни з високими темпами зростання
грошової маси і стагнуючою реальною економікою знецінюватиметься.
У довгостроковій перспективі практика підтверджує цей
висновок.
Теорія відносного паритету купівельної спроможності
стверджує, що зміна обмінного курсу між валютами двох країн пропорційна
відносній зміні рівнів цін у цих країнах, тобто враховується інфляція:
Припустимо, що індекс споживчих цін в Україні
підвищився зі 100 до 110, а індекс споживчих цін у США - зі 100 до 103.
Обмінний курс у базовому році дорівнював 5,200 грн за 1 дол.
Таким чином, курс долара зросте на 7 %, що дорівнює
різниці темпів інфляції в Україні та США.
Іншим способом визначення валютного курсу на основі
теорії відносного паритету купівельної спроможності є зіставлення різниці
темпів інфляції в середині країни та за кордоном зі зміною курсу національної
валюти:
Зміни валютних курсів часто ідуть слідом за
збільшенням розриву у відсоткових ставках у двох або більше країнах. Якщо
відсоткова ставка в певній країні збільшилась, а в інших країнах залишилась
незмінною, то інвестори прагнуть купити на валютному ринку "спот"
валюту цієї країни, оскільки надання в подальшому цієї валюти в позику
(короткостроковий депозит, облігація) принесе великий доход у вигляді відсотка.
Зростання попиту на таку валюту підвищує її курс на ринку "спот". Так
діє механізм взаємозв'язку між валютними курсами і відсотковою ставкою, якщо
залишити осторонь (тобто за інших рівних умов) ті чинники, які впливають на
самі відсоткові ставки. Так, якщо підвищення відсоткових ставок пов'язане з
більш жорсткою грошово-кредитною політикою, то курс валюти на ринках зросте.
Якщо ж відсоткові ставки зростають внаслідок посилення інфляції або збільшення
дефіциту державного бюджету, то очікувати зміцнення курсу валюти марно.
Іншими словами, очікувані зміни валютного курсу під
впливом зміни відсоткових ставок залежать від тих сил, які впливають на самі
відсоткові ставки. Це стосується насамперед інфляції.
Докладно зв'язок між відсотковими ставками та
інфляцією довів американський економіст Ірвінг Фішер.
Згідно з його теорією, зростання рівня інфляції веде
до пропорційного зростання рівня відсоткових ставок, і навпаки. Цю
закономірність називають "ефектом Фішера".
"Ефект Фішера" встановлює співвідношення між
номінальною відсотковою ставкою (р), реальною ставкою відсотка (Р) і темпом
інфляції (і) в країні:
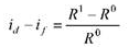
Для двох та більше країн використовується
генералізований ефект Фішера: різниця темпів інфляції між двома країнами
дорівняє різниці в них відсоткових ставок, тобто
Так, якщо реальна ставка відсотка знаходиться на рівні
5 %, темпи інфляції в одній країні (id) становлять 2,9 %, а в другій (if) - 1,5
%, то номінальні відсоткові ставки будуть:
Перехід від відсоткових ставок до валютних курсів
пояснює "міжнародний ефект Фішера", котрий показує, що очікувана
відсоткова зміна обмінного курсу є функцією різних відсоткових ставок в двох
країнах.
Міжнародний ефект Фішера виражає таке рівняння:
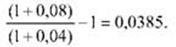
Наприклад, якщо в США і Японії номінальні відсоткові
ставки становлять відповідно 8 і 4 відсотки, то можна очікувати, що вартість
єни на наступний рік зросте на 3,85 %:
Таким чином, з "міжнародного ефекту Фішера"
випливає, що коли в США номінальні відсоткові ставки вищі, ніж у Японії, то
вартість долара в подальшому знизиться на величину, яка дорівнює різниці у
відсоткових ставках. Отримана величина в дійсності може бути і підвищена, і
знижена.
Теорія Фішера демонструє прямий зв'язок між
номінальною відсотковою ставкою, темпом інфляції та валютним курсом (див.
формули 1.10, 1.12) [14]:
Вищий темп інфляції всередині країни, ніж за кордоном,
змушує місцеві банки встановлювати вищі відсоткові ставки порівняно з
іноземними, тому що в них закладено інфляційне очікування. Це веде до
знецінення національної валюти.
Між тим слід розуміти, що зростання відсоткової ставки
може привести як до зростання валютного курсу, так і до його зниження. Це
залежить від причини зростання відсоткової ставки.
Як відомо, номінальна відсоткова ставка дорівнює сумі
реальної відсоткової ставки та очікуваного темпу інфляції (р = Р + /).
З наведеної формули виходить, що на рівень номінальної
відсоткової ставки може впливати як зміна темпу інфляції, так і зміна реальної
відсоткової ставки. Курс національної валюти зростатиме або знижуватиметься
залежно від того, яка складова формули (Р або /') впливає на зміну номінальної
відсоткової ставки. Якщо на зростання номінальної відсоткової ставки впливає
зростання реальної відсоткової ставки, то це веде до зростання курсу
національної валюти, а якщо впливає темп інфляції, то це буде причиною падіння
курсу національної валюти.
Різниця відсоткових ставок є важливим чинником при
визначенні строкових (форвардних) валютних курсів. Форвардні курси в основному
визначаються різницею відсоткових ставок. Так, якби обмінний курс валют між США
і Японією залишався постійним, а відсоткові ставки в США були значно вищими,
ніж у Японії, та інвестори завжди вкладали б свої капітали в США. Форвардний
курс у цьому випадку може повністю нейтралізувати різницю відсоткових ставок у
США і Японії. Іншими словами, якщо відсоткові ставки в США вищі, ніж у Японії,
то форвардний курс долара США буде нижчим, ніж японської єни на різницю у
відсоткових ставках. При цьому доход у доларах від інвестицій в США зрівняється
з доходом у доларах від інвестицій у єнах, скоригованим за форвардною операцією.
Прогнозуванню валютного курсу сприяє аналіз платіжного
балансу. Платіжний баланс країни дає характеристику діяльності, пов'язаної з
операціями виплат грошових коштів та їх отримання. Операції отримання пов'язані
з отриманням коштів резидентами даної країни, а операції виплат приводять до
виплати грошових коштів резидентами.
Отримання грошових коштів пов'язане з експортом
товарів і послуг, отриманням доходу від інвестицій за кордоном і припливом
капіталу (придбання зарубіжними компаніями внутрішніх активів країни). Ці
операції становлять джерела іноземної валюти. Виплати грошових коштів пов'язані
з імпортом товарів і послуг, відпливом капіталу (придбання резидентами
зарубіжних активів). Ці операції є способами використання іноземної валюти.
Прогнозування змін обмінних курсів на основі
платіжного балансу ґрунтується на прогнозуванні змін надходження і витрачання
резервів іноземної валюти, виявлення розбіжності між передбачуваними доходами і
витратами.
Міжнародна торгівля впливає на валютні курси через співвідношення
імпорту й експорту. Імпорт товарів і послуг породжує пропозицію валюти цієї
країни, а експорт з країни приводить до попиту на валюту цієї країни на ринку
валютних обмінів.
Збільшення імпорту призводить до зниження курсу
валюти, зменшення імпорту - до його зростання.
Прогнозування змін обмінного курсу може ґрунтуватися
на будь-яких чинниках, які впливають на підвищення або зниження імпорту в
країну: фазі ділового циклу, податках, тарифах, імпортних квотах, регулюванні з
боку уряду тощо.
Оскільки експорт товарів і послуг приводить до попиту
на валюту країни-експортера, збільшення експорту призводить до збільшення
вартості її валюти, зниження експорту викликає зниження обмінного курсу.
Усі чинники, які впливають на обсяг експорту, можуть
бути використані для прогнозування змін валютного курсу.
Такі показники платіжного балансу, як торговельний
баланс (нетто - співвідношення експорту й імпорту країни), баланс розрахунків
за поточними операціями впливають на тенденції руху валютного курсу. Наприклад,
дефіцит торговельного або поточного балансу є відображенням того, що країна
витрачає грошей за кордоном більше, ніж отримує, відбувається збільшення
закупівлі товарів і послуг в іноземній валюті і дедалі більше учасників
валютного ринку віддають перевагу тому, щоб мати (або витрачати) іноземну
валюту, а потреба в національній валюті падає. Валютний ринок враховує цю
ситуацію і відбувається падіння курсу національної валюти.
Ключовими чинниками, що впливають на зміни валютних
курсів, є також чинник довіри до надійності валюти, спред - величина, на яку
ринковий курс перевищує курс офіційний - між офіційним і ринковим курсами та
ряд технічних чинників, таких як публікація національних статистичних даних,
сезонна потреба у валюті, деяке зміцнення валюти після її тривалого
послаблення, і навпаки.
2. Математичне
моделювання та аналіз адаптивних методів прогнозування валютного курсу
2.1 Прогнозування валютного курсу
Зміна курсів валют по відношенню один до одного відбувається
в силу численних чинників, наприклад: у зв'язку зі зміною внутрішньої вартості
валют, постійним переливом грошових потоків із країни в країну, спекуляцією і
т.д. Ключовим чинником, що характеризує будь-яку валюту є ступінь довіри до
валюти резидентів і нерезидентів. Довіра до валюти - складний багатофакторний
критерій, що складається із кількох показників, наприклад: показник довіри до
політичного режиму, ступеня відкритості країни, лібералізації економіки і
режиму обмінного курсу, експортно-імпортного балансу країни, базових
макроекономічних показників і віри інвесторів у стабільність розвитку країни в
майбутньому.
На сьогоднішній день у світовій практиці існує кілька типів
режимів валютних курсів в залежності від специфіки кожної конкретної країни.
Тип валютної системи можна умовно визначити за деяких характеристиками:
) Тип країни з закритим ринком має такі характеристики:
тенденцію до закритості економіки й економічної інформації, жорсткі обмеження
для інвесторів і експортно-імпортних операцій, переважно державну форму
економіки, директивну форму визначення режиму валютного курсу. Курс валюти
такої країни непередбачуваний, інвестори й імпортери звичайно намагаються
уникати угод в такій валюті, реальні розрахунки по товарообігу проводяться у
валюті третіх країн. Ринок подібних валют звичайно дуже вузький (або взагалі не
існує).
) Країни з пріоритетом фіксованого курсу при значному
економічному потенціалі. Звичайно курси валют таких країн жорстко фіксовані
стосовно «авторитетної» валюти і є підходящими для здійснення
експортно-імпортних операцій і інвестицій. Макроекономічні показники звичайно
не впливають або дуже слабо впливають на курс національної валюти таких країн.
) Існує також дуже широке коло країн із порівняно вільною але
не стабільною економікою, курс валют таких країн важко прогнозований і може
залежати від випадкових чинників: політичної нестабільності, непередбаченої
економічної політики уряду, міжнародної неконкурентноздатності, інфляційне
фінансування дефіциту держбюджету, недостатності рівня валютних резервів у тому
числі і від макроекономічних показників. Інвестування в подібну валюту звичайно
ризикований захід і імпортери схильні використовувати валюту третіх країн у
розрахунках по товарообігу з такими країнами.
) Країни зі стабільною економікою, що дотримуються пріоритету
вільного плавання курсу національної валюти. Найважливіша характеристика таких
країн: розвита ринкова економіка, економічний добробут, прогнозована політика
уряду, жорсткий контроль грошової маси, процентних ставок і інфляції в країні.
Інвестиції в дані валюти менш рисковані, експортно-імпортні операції
відбуваються з використанням саме цих валют. Курс валют активно реагує на зміну
макроекономічних показників економіки у таких країнах.
Фундаментальний аналіз зміни курсів валют заснований на
припущенні, що основні зміни курсів відбуваються під дією макроекономічних
чинників розвитку економік країн-емітентів валюти. Аналітики, що прираховують
себе до фундаменталістів, уважно відслідковують базові показники
макроекономічного розвитку окремих країн і прогнозують зміни курсів валют у
довгостроковій перспективі.
2.2 Математичні
методи прогнозування та аналітичні залежності
Математичні методи прогнозування можуть розроблятися
на основі різних функцій, динамічних рядів і аналітичних залежностей. Для
математичного моделювання та прогнозування валютних ринків в якості вхідної
інформації можуть виступати як цінова динаміка і її похідні (значення
індикаторів, значущі рівні і т.п.), так і ринкові макроекономічні показники.
У математичних моделях прогнозування фінансових часових рядів в якості
вхідної інформації використовується цінова динаміка. Однак інакше відбувається
робота з інформаційними моделями часових рядів, які є описами
об'єктів-оригіналів за допомогою схем, графіків, формул, креслень і т.п. Одним
з найважливіших видів інформаційного моделювання є математичне, коли опису
формулюються на мові математики. Відповідно, і дослідження таких моделей
ведеться з використанням математичних методів.
Математично задача прогнозування валютного курсу може
бути зведена до задачі апроксимації багатовимірних функцій і, отже, до задачі
побудови багатовимірного відображення. Залежно від типу вихідних змінних
апроксимація функцій може приймати вигляд: класифікації або регресії. Отже, в
моделях прогнозування валютних курсів можна виділити дві великі підзадачі:
1. побудова математичної моделі; 2ю навчання експертних мереж, що реалізують
рішення задачі. В результаті вивчення предметної області повинна бути
розроблена математична модель прогнозування, що включає набір вхідних змінних;
метод формування вхідних ознак і метод навчання експертної системи.
Аналітичні залежності
Розглянемо
особливості моделі прогнозування валютного курсу
<#"657851.files/image017.gif">
Такий ряд називається знаковим рядом [3].
Зрозуміло, спрощення, досягнуте переходом від вихідного
часового ряду до знакового, пов’язане
з втратою частини інформації. Аналізуючи знаковий ряд, наприклад, нічого не можна сказати про амплітуду
коливань вихідного ряду. Однак безперечно, що в знаковому ряді основна
інформація про характер і послідовність змін курсу валюти зберігається, причому
в найрафінованішому вигляді, а виключається інформація, що має для нас
другорядне значення. Одним із наслідків такого перетворення вихідної
статистичної бази є те, що досить складне питання про наявність тренду та його
використання при прогнозуванні переходить в іншу площину і зводиться до
вивчення закономірності чергування або збереження знаків. Знаковий ряд,
очевидно, більш адекватний поставленій задачі. В основі формули (1) лежить гіпотеза
про інерційність дій основної маси учасників валютної гри. У загальному випадку
можуть бути лише три ситуації.
. Основна маса учасників валютного ринку очікує незмінний рух
курсу, і їх спільні дії через попит і пропозицію сприяють збереженню знаку
приросту курсу (І рівність).
. Більшість гравців припускає зміну направлення руху курсу і
масовий характер валютних операцій у передбачені цього дійсно викликає зміну
знаку приросту курсу (ІІІ рівність).
. Ситуація невизначеності. Коли не очікується ні зростання,
ні падіння, і індиферентність до валюти залишає її курс у такому ж стані (ІІ
рівність).
Побудову моделі почнемо з дослідження добутку mi= ki*ki−1.
Зауважимо, що

Помітимо, що mi описує рух курсу лише на одиничному інтервалі
від точки (i - 1) до точки i. Для того, щоб з’ясувати, яка ж ситуація
найчастіше трапляється останнім часом, доцільно якимось чином усереднити ряд на
відомому інтервалі.
Одним із найвідоміших методів такого усереднення є метод
експоненційного згладжування. Експоненційне згладжування ряду (2) відбувається
за рекурентною формулою:

де Si - значення експонеційної середньої;
α - параметр адаптації [4].
Формулу (3) можна переписати так:

тобто Si-1можна розглядати як прогноз на один
крок уперед, тобто як прогноз величини Si, зроблений у момент (i - 1). Тоді величина (mi - Si-1 )
− є похибкою, а новий прогноз Si отримується в результаті корегування попереднього з урахуванням його
похибки. У цьому і складається адаптація моделі.
Зауважимо, що ki = ΔXi / |ΔXi| та mi = ΔXi*ΔXi-1 / |ΔXi*ΔXi-1|, тобто mi є адаптивним коефіцієнтом кореляції.
Зрозуміло, що значення Si,
яке є результатом усереднення одиниць та нулів, буде дробовим числом з
інтервалу [-1, 1], тому прогноз для mi+1 на момент часу (i + 1)
будемо визначати як

З цієї формули, та з того, що mi є адаптивним коефіцієнтом
кореляції, знак приросту будемо визначати з формули

Ураховуючи той факт, що розподіли більшості фінансових
показників є неперервними, можемо зробити висновок, що ймовірність події {ki=
0} дорівнює нулю. Тому доцільніше у формулі (1) задавати верхню і нижню межі
істотних змін величин ΔXi. Іншими словами, для випадку ki = 0
пропонується формувати внутрішній інтервал (наприклад 5%), крайні точки якого
будуть цими межами. Якщо ж значення ΔXi не попадає в цей інтервал (назвемо
його інтервал байдужості), то ki покладаємо 1 або -1. Оскільки модель
адаптивна, то цей інтервал буде постійно змінюватись. Ми пропонуємо нову
«інтервальну» адаптивну модель

де εx > 0 - ширина інтервалу байдужості.
mi та Si будуємо аналогічно як у формулах (2)
та (3) відповідно. Прогноз для mi+1отримуємо
з формули

де εS> 0 - ширина інтервалу байдужості для
експоненційної середньої Si.
Знак приросту визначаємо з формули (5), тобто аналогічно до попередньої моделі.
ІІ. Емпірични результати. Статистичною базою є дані про курс
п’яти пар валют: британського фунта (GBP), польського злотого (PLN),
американського долара (USD) та євро (EUR) щодо гривні (UAH), разом чотири пари,
а також пари євро / долар (EUR / USD). Довжина кожного часового ряду була
обрана рівною 150 щоденним спостереженням за період з 15.02.2010 до 20.09.2010. Перш ніж розпочати вивчення механізму
зв’язку між послідовними значеннями курсу валюти, була здійснена спроба з’ясувати, чи
вихідні ряди не є абсолютно випадковими, тобто чи не представляють вони так
званий білий шум, в якому залежність між значеннями ряду відсутня, та напрямок
руху якого в майбутньому буде непередбачуваним. Для цього обрані ряди
досліджуються за допомогою критеріїв випадковості, а в результаті такого
дослідження ми отримуємо перше уявлення про вихідні матеріали.Як критерії
випадковості використовувались: критерій поворотних точок, критерій розподілу
довжини фази, критерій, заснований на знаках різниць, і критерій рангової
кореляції Кендала [5]. Загалом, проведене вивчення рядів валютних курсів
виявило, що, попри значні коливання щоденних даних, вони не є повністю
випадковими. Крім того, на основі R/S
аналізу часових рядів валютних курсів установлено, що дані ряди є
персистентними, або трендостійкими. Показник Херста для всіх рядів є більший за
0,5. Якщо ряд зростає (спадає) у минулий період, то можна сподіватися, що він
буде зберігати тенденцію будь-який час у майбутньому [6].

Зазначимо, що проведений аналіз показав сильну залежність між
поведінкою курсів валютних пар EUR / USD та EUR / UAH. Зауваження підтверджує і
графік динаміки курсів цих пар (рис. 1). Тому в період невизначеності та важкої
прогнозованості національних показників для виявлення динаміки валютних курсів
можна використовувати пару євро / долар, де склалася достатньо дієва система
публікацій основ них макроекономічних показників і використання такої
інформації з метою прогнозування динаміки обмінного курсу [7].
Отже, доцільним є визначення конкретного прогнозного значення
щодо пари EUR / UAH на основі формули:
EUR / UAH = EUR / USD + UAH / USD, (8)
де EUR / USD - прогнозне значення для європейської валюти в
доларовому еквіваленті;
USD / UAH - прогноз для пари долар / гривня
[10].
В «інтервальній» адаптивній моделі це буде застосовуватись як аналіз
знаків приросту всіх трьох пар.
Наприклад, якщо адаптивні моделі валютних пар EUR / USD та
USD / UAH вказують на збереження тенденції, а значення EUR / UAH - на зміну, то
перевагу ми надаємо моделям перших двох пар. Якщо ж виникає конфлікт між
значеннями адаптивних моделей EUR / USD і USD / UAH, то перевага надається
значенням моделі EUR / UAH. Перед описом результатів оберемо критерії, за якими
можна робити висновки про корисність роботи моделі. Нас, зрозуміло, буде цікавити не
тільки точністьпрогнозів, а також отриманий від них економічний ефект. Тому при
розрахунку критеріїв умовно будемо вважати, що обсяг операцій з даною валютою
(тобто обсяг її придбання або продажу) дорівнює одній грошовій одиниці на день
(у нашому разі долара або гривні залежно від експерименту). Якщо прогноз
виявився правильним, то виграш дорівнює різниці |Xt+1 - Xt|, а якщо прогноз
помилковий, то |Xt+1 - Xt| буде вже розміром збитку. Проведемо випробування
описаних вище моделей. Усього є 150 точок ряду. Адаптуємо наші
моделі,наприклад, на перших 20 точках, які приймаємо за статистичну базу. Число
20 обрано довільно, основні міркування полягають у тому, що за 20 кроків вплив
на прогноз початкового значення практично зникає. Зробимо прогноз для 21-ї
точки. Потім зісунемо базу на один крок уперед і проженемо модель від точки 2
до точки 21, зробимо прогноз для 22-ї точки і т. д. Усього отримаємо 130
прогнозів. Однак перед тим, як отримувати прогноз, будемо на кожній
статистичній базі з 20 точок методом перебору визначати найкраще для даного
етапу значення α (з 10 значень від 0,1 до 1,0 з
інтервалом 0,1).Результати використання простої адаптивної моделі наведено в
табл. 1, з якої видно, що по чотирьох парах валют (EUR / UAH, USD / UAH, GBP /
UAH, PLN / UAH) отримано прибуток, причому відсоток реалізованих можливостей
помітно перевищує 50%. Операції з EUR / USD призвели до деяких втрат. Показник
суми виграшів, як правило, представлений дуже малим числом. Однак якщо йдеться
не про одну операцію в одну грошову одиницю, а про операції на велику суму
протягом великого числа днів, то сумарний виграш досягне значної величини.

Результати, отримані при використанні «інтервальної» адаптивної моделі,
наведено в табл. 2. Як видно, «інтервальна» адаптивна модель у середньому
перевершує просту адаптивну на 3,05%.

Найкращі результати ми отримали при використанні моделі EUR / UAH, які
наведено в табл. 3. Так, при використанні цієї моделі для прогнозування курсу
EUR / UAH ми змогли поліпшити результати прогнозів майже на 7%.

3.2 Математична задача прогнозування валютного курсу
Математично задача прогнозування валютного курсу може бути зведена до
задачі апроксимації багатовимірних функцій і, отже, до задачі побудови
багатовимірного відображення. Залежно від типу вихідних змінних, апроксимація
функцій може приймати вид класифікації або регресії. Отже, в моделях
прогнозування валютних курсів можна виділити дві великі підзадачі:
. побудова математичної моделі;
. навчання експертних мереж, що реалізують вирішення завдання.
У результаті вивчення предметної області повинна бути розроблена
математична модель прогнозування, що включає набір вхідних змінних; метод
формування вхідних ознак; метод навчання експертної системи.
Для цього отримане з використанням статистичної моделі безліч
короткострокових прогнозних значень xil *, l = b, ..., w тренда FI (xi *) при розгляді локального впливу на
нього трендів впливають індикаторів FI (xl), l = b, ..., w слід представити в якості
вектора-рядка Ri = [ri (l)], ri (l) = xil *, lÎL. Після чого, за аналогією з методами
подання динаміки індексів на фінансових ринках, що використовуються в
технічному аналізі, розширимо вектор-рядок Ri, перетворивши її в матрицю за допомогою додавання верхньої та нижньої
рядків, значення елементів яких відповідно рівні мінімальному і максимальному
фактичним значенням тренда FI (xi ) за деякий базовий інтервал часу
(наприклад, місячний інтервал). Тоді матриця Ri = [ri (s, l)], sÎS (S = 3), lÎL показує можливе безліч альтернатив у
зміні поточного значення тренду індикатора FI (xi) і дозволяє перейти до
визначення переважаючого з точки зору учасників ринку майбутнього прогнозного
значення тренду FI (xi) у розглянутому безлічі
альтернативних діапазонів зміни FI (xi).
Для математичного моделювання прогнозування валютних ринків в
якості вхідної інформації можуть виступати як цінова динаміка і її похідні
(значення індикаторів, значимі рівні тощо), так і ринкові макроекономічні
показники. У
математичних моделях прогнозування фінансових часових рядів в якості вхідної
інформації використовується цінова динаміка.
По своїй організації і функціональним призначенням штучна нейронна мережа
з кількома входами і виходами виконує деякий перетворення вхідних стимулів -
сенсорної інформації про зовнішній світ - у вихідні керуючі сигнали. Для
вирішення задачі прогнозування необхідно знайти таку експертну систему, яка б
найкращим чином будувала відображення F (x) в y, узагальнююче сформований на
основі цінової динаміки набір прикладів {x (t), y (t)}. Пошук такої системи або
комітету нейроекспертов здійснюється за допомогою одного або декількох
алгоритмів «навчання» і нейромережеве моделювання в чистому вигляді базується
лише на вихідних даних (тимчасовому ряді).
Далі коротко розглянемо деякі моменти математичного моделювання. Загальні
принципи нейромоделювання застосовні до задачі прогнозування в повному обсязі,
але пророкування фінансових часових рядів має свою специфіку.
На першому етапі дослідником визначаються базові характеристики даних, які визначаються
торговою стратегією. Формується база даних.
На другому етапі визначається набір вхідних і прогнозованих величин, виробляються аналіз
і очищення бази даних. Для цих цілей використовуються оптимізаційні,
статистичні та інші методи.
На третьому етапі проводиться формування образів, що подаються безпосередньо на виходи
нейромереж з наступним створенням навчальних і тестових множин. Структура
експертної системи залежить від поставленого завдання.
На четвертому етапі з використанням обраних алгоритмів навчання проводиться навчання
нейронної мережі, або, якщо це передбачається постановкою завдання, декількох
нейронних мереж (від двох до декількох тисяч), які й створять експертну
систему.
Прогнозування здійснюється по тому ж принципу, що і формування навчальної
вибірки. При цьому на етапі адаптивного передбачення і прийняття рішень
виділяються дві можливості: однокрокове і багатокрокове прогнозування.
Підзадача отримання вхідних образів для формування вхідного безлічі в
задачах прогнозування часових рядів часто передбачає використання «методу
вікон». Метод вікон увазі використання двох і більше вікон (індикаторів).
Причому перше вікно, отримавши дані, передає їх на вхід експертної системи, а
друге - на вихід (див. рис. 1). Передбачається наявність прихованих залежностей
в часовій послідовності як безлічі спостережень. Експертна система, навчаючись
на цих спостереженнях і відповідно налаштовуючи свої коефіцієнти, намагається
витягти ці закономірності і сформувати потрібну функцію прогнозу валютного
курсу.

Висновки
Для України, яка перебуває в умовах економічних реформ, питання
прогнозування подій на валютному ринку є особливо актуальним як на макро-, так
і на мікрорівні. Без надійного прогнозування валютного курсу неможливо
правильно оцінювати результати зовнішньоекономічної діяльності, планувати
дохідну та витратну частини бюджету, визначати експортні та імпортні ціни тощо,
розробляти ефективну валютну політику, спрямовану на захист економічних
інтересів України. Разом з тим, фінансові інститути, органи влади, комерційні
структури часто відчувають потребу в отриманні надійної інформації щодо
співвідношення курсів валют як в короткостроковому, так і довгостроковому
періоді. Причинами такого становища є постійні коливання на світовому валютному
ринку, велика кількість чинників, що впливають на курс валюти, та їх
невизначеність, відсутність однозначних аналітичних залежностей між вхідними та
вихідними параметрами моделей, які використовуються в даний час для
прогнозування валютного курсу. Все це визначає значну складність задач,
пов’язаних з прогнозуванням курсу національної валюти України.
За таких умов рішення, прийняті економістами щодо майбутнього
співвідношення курсів валют, часто спираються на власну інтуїцію, досвід,
кваліфікацію, думки експертів, прогнози інших аналітиків тощо і тому можуть
мати невисокий рівень вірогідності, а значить, високий ступінь ризику. За
певних умов реалізація таких рішень може викликати на макрорівні незапланований
перерозподіл валового національного продукту, а на мікрорівні - незаплановані
збитки для суб’єктів підприємництва.
Водночас, сучасні комп’ютерні технології дають можливість
значно підвищити рівень прогнозування складних економічних процесів, в тому
числі і прогнозування валютного курсу. Тому як в Україні, так і за її межами не припиняються пошуки
в цьому напрямку. Значний внесок в розробку більш ефективних моделей
прогнозування економічних процесів внесли такі вчені, як Бакаєв О.О., Бережна
О.В., Бесєдін В.Ф., Бондаренко Г.В., Бочарников В.П., Вітлінський В.В., Вовк
В.М., Геєць В.М., Глівенко С.В., Глушков В. Є., Горбачук В.М., Гуляницький
Л.В., Журавка Ф.О., Калина А.В., Коробова М.В., Корольов О.А., Крючкова І.В.,
Лукінов I.I., Лук’яненко І.Г., Ляшенко І.М., Ліндерт П., Леттер Т., Михалевич
М.В., Панасюк Б.Я., Пашута М.Т., Русаненко І.С., Сергієнко І.В., Ситник В.Ф.,
Скрипниченко M.I., Соколов М.О., Теліженко О.М., Ткаченко І.С., Трояновський
В.М. та інші.
Разом з цим, гострота питання прогнозування валютних курсів не
зменшилась. Більш того, входження України в європейські структури, загострення
конкурентної боротьби на світових фінансових та валютних ринках постійно
підвищує вимоги до достовірності зроблених прогнозів.
Література
1. Тинякова В. И. Адаптивно-рациональное моделирование
в задачах прогнозирования социально-экономических процессов: Дис. … канд. экон.
наук. - Воронеж, 2003. - 223 с.
2. Лукашин Ю. П. Адаптивные методы краткосрочного
прогнозирования. - М.: Статистика, 1979. - 254 с.
. Лукашин Ю. П. Адаптивные методы краткосрочного
прогнозирования временных рядов. - М.: Финансы и статистика, 2003. - 416 с.
. Лукашин Ю. П. Адаптивная эконометрика. - М.:
Финансы и статистика, 2006. - 310 с.
. Кендэл М. Временные ряды. - М.: Финансы и
статистика, 1981. - 198 с.
. Петерс Э. Хаос и порядок на рынках капитала.
Новый аналитический взгляд на циклы, цены и изменчивость рынка: Пер. с англ. -
М.: Мир, 2000. - 333 с.
. Юрченко І. Детермінанти валютно-курсової
політики України // Банківська справа. - 2004. - № 4. - С. 72-78.
. Сайт Forex - http://www.dailyfx.com.
. Фінанси України - http://www.fi nance.ua.
. Довгань О. В. Глобалізаційні фактори
прогнозування валютного курсу // Наукові праці. - 2009. - Вип. 96: Економіка. -
Т. 109. - C. 15-20.
. Мусієнко Т. Необхідні передумови і форми
взаємодії країн - учасниць ЄЕП у сфері грошово-кредитної та валютної політики
// Вісник НБУ. -2005. -№1. -С.22-25.
12. Чечко А.П. Мировой финансовый рынок: Курс лекций / Чечко
А.П. - Мн.: Академия управления при Президенте Республики Беларусь, 2006. - 86 с.
13. Якимкин В. Рынок Форекс - Ваш путь к успеху
//Москва, "Светоч Л", 2005.
14. http://podii.com.ua/business/