Матричный метод решения линейных уравнений. Аналитическая геометрия

  • Вид работы:
    Контрольная работа
  • Предмет:
    Математика
  • Язык:
    Русский
    ,
    Формат файла:
    MS Word
    372,84 Кб
  • Опубликовано:
    2013-05-21
Вы можете узнать стоимость помощи в написании студенческой работы.
Помощь в написании работы, которую точно примут!

Матричный метод решения линейных уравнений. Аналитическая геометрия

Содержание

Задание 1

Задание 2

Задание 3

Задание 4

Задание 5

Задание 6

Задание 7

Задание 8

Задание 9

Задание 1


Проверить совместность системы уравнений и, в случае совместности, решить ее:

а) по формулам Крамера;

б) с помощью обратной матрицы (матричным методом);

в) методом Гаусса.

.

Решение

1) Вычислим:

 - система совместна;


Найдем x, y, z по формулам Крамера:

.

Иак, получаем ответ (3;-2;1).

2) Составляем матричное уравнение ,

где , , .

Найдем все алгебраические дополнения матрицы A:

 

 

 

 


Составляем матрицу  и транспонируем ее:

.

Запишем обратную матрицу:

.

Следовательно,

.

Итак, получаем ответ (3;-2;1)

3) Решим систему методом Гаусса:

.

Тогда

  

Ответ: (3;-2;1).

Задание 2


По координатам точек А, В и С для указанных векторов найти:

а) модуль вектора ; б) скалярное произведение векторов  и ; в) проекцию вектора  на вектор ; г) координаты точки M, делящей отрезок l в отношении : ,  и , , , , , , .

Решение

Найдем векторы

,

,

1)       .

2)       .

3) Проекция вектора  на вектор  равна:

.

Тогда .

4) Координаты точки М, делящей отрезок l в отношении , находятся по формулам:

,

,

.

Значит, M(;;).

Задание 3


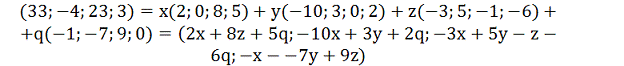
Даны векторы . Показать, что векторы образуют базис четырехмерного пространства, найти координаты вектора  в этом базисе: (2;0;8;5), (-10;3;0;2), (-3;5;-1;-6), (-1;-7;9;0), (33;-4;23;3).

Решение

Векторы (2;0;8;5), (-10;3;0;2), (-3;5;-1;-6), (-1;-7;9;0) образуют базис, так как:

.

Обозначим координаты вектора  в новом базисе . Тогда в новом базисе будем иметь:

.

,

получим систему уравнений:


Вычислим:

 - система совместна;

 

 

Найдем x, y, z, q по формулам Крамера:

;

.

Итак, получаем ответ .

Задание 4


Даны вершины ,  и  треугольника.

Найти: 1) длину стороны АВ; 2) внутренний угол А в радианах с точностью до 0,001; 3) уравнение высоты, проведенной через вершину С; 4) уравнение медианы проведенной через вершину С; 5) точку пересечения высот треугольника; 6) длину высоты, опущенной из вершины С; 7) систему линейных неравенств, определяющих внутреннюю область треугольника АВС. Сделать чертеж.

Решение

Рисунок 1

1) ;

2)      ; .

По теореме косинусов:

.

Тогда угол A равен 29,5.

3) Уравнение стороны АВ запишем, используя уравнение прямой, проходящей через точки А(), В():

.

Тогда .

Уравнение прямой АВ примет вид: .

Так как СН перпендикулярна АВ, то .

Тогда .

4) Так как CM - медиана, то точка M - середина AB. Значит,

, или .

Уравнение прямой CM примет вид: .

5) Уравнение стороны АС запишем, используя уравнение прямой, проходящей через точки А(), С():

.

Тогда .

Уравнение прямой АС примет вид:

.

Так как BK перпендикулярна АC, то

.

Тогда .

уравнение матрица предел производный

Прямые BK и CH пересекаются в точке O, найдем ее координаты. Для этого решим систему:

.

Тогда O(0;5) - точка пересечения высот исходного треугольника.

6) Прямые AB и CH пересекаются в точке H, найдем ее координаты. Для этого решим систему:

.

Тогда H().

Значит, .

7) Уравнение стороны BС запишем, используя уравнение прямой, проходящей через точки B(), С():

.

Тогда .

Уравнение прямой BС примет вид:

.

Cистемa линейных неравенств, определяющих внутреннюю область треугольника АВС, примет вид:

.

Задание 5


а) Составить уравнение плоскости, проходящей через середину отрезка  перпендикулярно к этому отрезку, если , .

б) Найти координаты точки пересечения прямой

 с плоскостью .

Решение

а) ;

;


уравнение плоскости, проходящей через середину отрезка  перпендикулярно вектору  (отрезку ).

б) ;

t=-2

Отсюда координаты точки пересечения прямой и плоскости (-3;-4;0).

Задание 6


Найти пределы:

а) ;

;

в) ;

г) .

Задание 7


а) Найти производные указанных функций:

;

б) Найти производную неявно заданной функции:

;

;

;

;

в) Найти производные функций, используя логарифмическую производную:

;

.

Задание 8


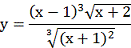
Исследовать функцию и построить ее график: .

Решение

1. Область определения функции .

2.      Функция ни четная, ни нечетная; непериодическая.

.        График функции пересекает ось Oy в точке , точки пересечения с Oх - ; .

.        Производная функции равна . Точки, подозрительные на экстремум: ; x=0, х=2.

При  , тогда функция возрастает;

при  - функция  убывает;

при  , тогда функция возрастает.

Следовательно, в точке  функция достигает своего максимума ; в точке  функция достигает своего минимума .

5. . Вторая производная существует всюду и всюду конечна: она обращается в нуль при .

При   - функция выпуклая, при  - функция вогнутая. При переходе через точку  вторая производная меняет знак, значит, в соответствующей точке имеется перегиб.

6. Функция не имеет асимптот.

7.      Инструментами программы MathCad построим график заданной функции:


Задание 9


Мотком проволоки длиною 20 м требуется огородить клумбу, имеющую форму кругового сектора. При каком радиусе круга площадь клумбы будет наибольшей?

Решение

Площадь клумбы (кругового сектора) равна

,

где .

Длина дуги, ограничивающей сектор, равна .

Тогда .

Отсюда .

Получаем функцию

.

Вычислим производную первого порядка:

.

Найдем R из уравнения

: .

При  ,

тогда функция  возрастает;

при  - функция  убывает. Следовательно, в точке  функция достигает своего максимума .

Таким образом, радиус круга должен быть равен 5 м, чтобы площадь клумбы была наибольшей.

Ответ: 5 м.

СПИСОК ИСПОЛЬЗОВАННЫХ ИСТОЧНИКОВ

1. Выгодский, М.Я. Справочник по высшей математике. - М., 1977, 872 с. с илл.

2.      Гантмахер, Ф.Р. Теория матриц. - М.: Издательство «Наука» (Главная редакция физико-математической литературы), 1966. - 576 с. с илл.

3. Гусак, А.А. Справочное пособие по решению задач: аналитическая геометрия и линейная алгебра. - Мн.: ТетраСистемс, 1998.

.   Гусак, А.А. Справочное пособие по высшей математике / А.А. Гусак, Г.М. Гусак, Е.А. Бричикова - 4-е изд. Стереотип. - Мн.: ТетраСистемс, 2002.

5.      Кузнецов, А.В., Кузнецова, Д.С., Шилкина. Е.И. и др. Сборник задач и упражнений по высшей математике. Общий курс. Учебное пособие. Мн., Выш. шк., 1994 г. 284 с.

.        Руководство к решению задач по высшей математике: Учеб. пособие . В 2ч. Ч.1,2 / Г.И. Гурский, В.П. Домашов, В.К. Кравцов, А.П. Сильванович; Под общ.ред. Г.И. Гурского - Мн.: Высш.шк., 1990.

Похожие работы на - Матричный метод решения линейных уравнений. Аналитическая геометрия

 

Не нашли материал для своей работы?
Поможем написать уникальную работу
Без плагиата!
Без нейросетей!