Моделирование процесса принятия решений

  • Вид работы:
    Контрольная работа
  • Предмет:
    Менеджмент
  • Язык:
    Русский
    ,
    Формат файла:
    MS Word
    155,96 Кб
  • Опубликовано:
    2013-11-24
Вы можете узнать стоимость помощи в написании студенческой работы.
Помощь в написании работы, которую точно примут!

Моделирование процесса принятия решений

Моделирование процесса принятия решений

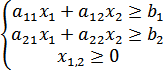
1. Задача линейного программирования

На мебельной фабрике из стандартных листов фанеры необходимо вырезать заготовки двух видов в количествах, соответственно равных 1800, 3780 шт. Каждый лист фанеры может быть разрезан на заготовки двумя способами. Количество получаемых заготовок при данном способе раскроя приведено в таблице. В ней же указана величина отходов, которые получаются при данном способе раскроя одного листа фанеры. Определить, сколько листов фанеры и по какому способу следует раскроить так, чтобы было получено не менее нужного количества заготовок при минимальной стоимости.

Вид заготовок

Количество заготовок (шт.) при раскрое по способу


1

2

1

60

60

2

45

180

Величина стоимости, руб.

900

1440


Сформулировать двойственную задачу и найти ее решение. Выявить изменение общей стоимости от реализации продукции, если увеличить количество заготовок 1 вида на 10% и уменьшить количество заготовок 2 вида на 40%.

Решение:

Для формализации условия задачи введем условные обозначения: х1 и х2 - количество заготовок при раскрое по 1 и 2 способу. Переменные подлежащие определению, ресурсы ограничения: с1, с2 - величина стоимости. Удельная полезность: b1, b2 - количество листов. Удельный расход ресурсов а1, а2. Формальная запись условия задачи.

Целевая функция: F = c1x1 + c2x2 → min

 

С учетом исходных данных: F = 900x1+1440x2→ min

 

В связи с тем, что задача содержит две неизвестных, она может быть решена графическим методом. Для построения ограничений (1) и (2) определим точки пересечения с осями координат.

Ограничение (1): Ограничение (2):

При х1 = 0, х2 = =30; При х1 = 0, х2 = = 21;

х2 = 0, х1 =  = 30. х2=0, х1= = 84.

Произведем графическое построение. Линии ограничений построены на рисунке 1.1.

Рис. 1.1

Для построения целевой функции, при ее значении равном 0, рассчитываем вторую точку целевой функции из условия F(x)=0.

F(x)=900х1 + 1440х2 =0

Произвольно задаем: х2=5, тогда х1=-8

Графическое решение задачи находится путем переноса целевой функции параллельной самой себе. Для условий данной задачи min значение целевой функции соответствует точка В. Координаты точки В:

 

Рассчитаем по формуле Крамера:

△== 10800-2700=8100;

х1==324000-226800=97200

х2==226800-81000=145800

Х1===12

Х2= = =18

Рассчитаем значение целевой функции в каждой области допустимых значений (ABC).

F(A) = 0+ 301440 = 43200

F(B) = 12  900 + 181440 = 36720

F(C) = 84900 + 01440 = 75600

Таким образом, в связи с тем, что целевое значение имеет min в точке В, оптимальным решением является х1=12, х2=18. Т.е чтобы фабрике раскроить листы фанеры так, чтобы было получено не менее нужного количества заготовок при минимальной стоимости, необходимо раскроить 12 листов 1 вида и 18 листов 2 вида.

Если количество заготовок первого вида увеличить на 10%, т.е. на 1, а второго вида уменьшить на 40%, т.е. на 7, то общая стоимость реализации продукции

Z1=13900+144011=27540

Общая стоимость уменьшится на 9180 ден. Ед.

Сформулируем двойственную задачу. Формальная запись двойственной задачи с учетом исходных данных:

Целевая функция: G = 1800y1 + 3780y2→ max


Решим задачу графически:

Ограничение (1): Ограничение (2):

При y1=0, y2= = 20; При y1=0, y2=  = 8;

y2=0, y1 =  = 15. y2=0, y1 =  = 24.

Произведем графическое построение двойственной задачи. Линии ограничений построены на рисунке 1.2.

Для построения целевой функции, при ее значении равном 0, рассчитываем вторую точку целевой функции из условия G(y)=0.

(y)= 1800y1+ 3780y2 = 0

Произвольно задаем: y2=5, тогда y1=-10,5.

Рис. 1.2

Графическое решение задачи находится путем переноса целевой функции параллельной самой себе. Рассчитаем значение целевой функции в каждой области допустимых значений(ODEK).

G(D)= 01800 + 83780 = 30240

G(E)=121800 + 43780 = 36720

G(K)=151800 + 0 3780 = 27000

G(O)= 0×1800+0×3780= 0

Из этого следует что Gmах=36720.

2. Регрессионный анализ

В результате исследования работы отделения банка получены статистические данные доходов, сбережений.

15

10

7

5

12

9

14

Сбережения, млн. руб.

4

3

3

1

3

2

4

Требуется построить модели зависимости сбережений от дохода по данным таблицы. Постулируемые виды моделей: y=a+bx и y=a+bx2, выбрать адекватную модель.

Решение:

.        Установление наличия и тесноты корреляционной связи между переменными.

Принимаем за независимую переменную х - сбережения, а за зависимую переменную у - доход за год.

Наличие и тесноту взаимосвязи рассчитаем за счет коэффициента корреляции.

Zxy=

Для получения Zxy рассчитаем промежуточные данные в таблице.

№ п/п

х

у

ху

х2

У2

х2у

х4

х4у

1

4

15

60

16

225

240

256

3840

2

3

10

30

9

100

90

81

810

3

3

7

21

9

49

63

81

567

4

1

5

5

1

25

5

1

5

5

3

12

9

144

108

81

972

6

2

9

18

4

81

36

16

144

7

4

14

56

16

196

224

256

3584

20

72

226

64

820

766

772

9922


Подставим данные в формулу.

Zxy= =  0,87

Таким образом, по полученному значению коэффициента корреляции можно определить, что между сбережениями и доходом за год имеется тесная корреляционная связь.

Изобразим статистические данные графически.


2.      Построение моделей зависимости сбережений от дохода за год.

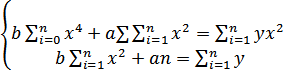
Для определения параметров функциональной модели заданной зависимости используется метод наименьших квадратов.

вид модели y=a+bx

Чтобы построить модель данного вида нужно подставить значение в следующее выражение:

 

Получаем:

 

Решим данную систему методом Крамера:

 = = 448 - 400 = 48;

а = = 4608 - 4520 = 88;

b = = 1582-1440 = 142;

a= =  ≈ 2;

b =  =.

Таким образом данная модель имеет следующий вид: у= 2+3х

Изобразим полученную модель графически и сопоставим ее с исходными данными.

Х

4

3

3

1

3

2

4

у

14

11

11

5

11

8

14



2 вид модели у= а+bx2


 

Получаем:

 

Решим данную систему методом Крамера:

△==5404 - 4096 = 1308;

а = =55584 - 49024= 6560;

b =  = 5362 -4608= 754;

a=  =  5,02;

b =  =   0,58.

Таким образом данная модель имеет следующий вид у=5,02+0,58х2

Изобразим полученную модель графически и сопоставим ее с исходными данными.

Х

0

4

3

3

1

3

2

4

у

0

14,3

10,24

10,24

5,6

10,24

7,34

14,3



Для того, чтобы найти оптимальную модель решения данной задачи, решим полученные модели методом наименьших квадратов. Для этого воспользуемся формулой

I= →min

I1= (2+34-15)2+(2+33-10)2+(2+33-7)2+(2+31-5)2+ (2+33-12)2+ +(2+32-9)2+ (2+34-14)2= 1+1+16+0+1+1+0=202=(5,02+0,5816-15)2+(5,02+0,589-10)2+(5,02+0,589-7)2+(5,02+0,581-5)2+ +(5,02+0,589-12)2+ (5,02+0,584-9)2+ (5,02+0,5816-14)2 =0,49+0,0576+1,04976+0,36+3,0976+2,7556+ 0,09=7,90056

Т.к. модель у=a+bx2 удовлетворяет решению, значит она является оптимальным решением данной задачи.

Выводы

)        Между сбережениями и доходом за год существует положительная корреляционная связь.

)        Получено 2 модели:

у= 2+3х и у=5,02+0,58х2

Вторая модель является оптимальным решением задачи.

3. Принятие решений в условиях неопределенности

Используя известные правила принятия решений в условиях неопределенности, определите, сколько тортов необходимо закупать в день для продажи, пользуясь матрицей дохода в разных условиях спроса.

Матрица дохода

Количество закупаемых тортов, шт.

Спрос, шт.


15

20

25

10

15

340

354

333

300

20

270

400

400

107

25

250

380

530

450

Вероятность спроса

0,5

0,2

0,2

0,1

1.     
Построим таблицу выигрышей используя исходные данные:


Q1

Q3

Q4

P1

170

70,8

66,6

30

P2

135

80

80

10,7

P3

125

76

106

45


Введем условные обозначения: варианты решения Р1,2,3 - количество закупаемых тортов; Q1,2,3,4 - обстановка в условиях неопределенности будущей ситуации на рынке продукции.

аij - выйгрыш или прибыль предприятия, полученная при применении i-й стратегии в j-й обстановке. Так как вероятность каждой обстановки разная, то можно рассчитать математическое ожидание по каждой из стратегий:

Wi=∑p(Qi) aij

W1 = 0,5×170+0,2×70,8+0,2×66,6+0,1×30=115,48

W2=0,5×135+0,2×80+0,2×80+0,1×10,7=100,57

W3=0,5×125+0,2×76+0,2×106+0,1×45= 103,4

В условиях установленных вероятности спроса наиболее оптимальным условием количества закупаемых тортов в условии неопределенности является вариант Р1.

.        Матрица рисков (критерий Сэвиджа):

Воспользуемся формулой γ= min maxZij


Q1

Q2

Q3

Q4

P1

0

9,2

39,4

15

P2

35

0

26

34,3

P3

45

4

0

0



Наименьший риск по первому решению =9,2, а наибольший риск =39,4; во втором решении наименьший риск =26, а наибольший риск =35; в третьем решении наименьший риск =4, наибольший риск=45

Наибольшим рискованным значением является решение Р3, значит лучше всего принимать решение Р2.

.        Критерий Вольда.

Определим оптимальное решение, при котором выигрыш в любых условиях будет не меньше, чем наибольший возможный в худших условиях. Воспользуемся формулой λ =max min aij, получаем, что для варианта Р1 наименьший выигрыш составит 30, для

Р2 -10,7, для Р3 - 45.

Таким образом, наибольший возможный выигрыш при самом плохом стечении обстоятельств составит 45, что соответствует количеству закупаемых тортов Р3, т.е. при любых вариантах спроса решение Р3 будет не самым худшим.

.        Критерий Лапласа.

Применяется, когда все составляющие спроса равновероятны, то есть q1=q2=q3=q4=

α1= (170+70,8+66,6+30)=84,35

α2= (135+80+80+10,7)=76,425

α3= (125+76+106+45)=88

αmax= 88

Если все состояния спроса равновероятны, то критерий Лапласа рекомендует выбор 25-й закупаемых тортов.

.        Критерий азартного игрока.

Найдем оптимальное решение, при котором выигрыш в любых условиях будет лучшим из всех количеств закупаемых тортов. Используя формулу β=max max aij, получаем, что наибольший выигрыш Р1=170, для Р2=135, для Р3=125. Отсюда следует, что наибольшим спросом является решение Р1 из всех наибольших.

.        Критерий Гурвица

При других значениях вероятностей ситуаций, решение может быть иным. Так, выбор решения, основанный на критерии пессимизма - оптимизма Гурвица для различных количеств закупаемых тортов с условным коэффициентом k=0,5 по формуле a=max[Gi =k × aijmin+ +(1 - k) aijmax], будет таким для количества закупаемых тортов:

Для Р1=G1= 0,530+0,5×170=100;

Для Р2=G2= 0,5×10,7+0,5×135=72,85;

Для Р3=G3=0,5×45+0,5×125=85.

При k= 0,5 оптимальным количеством закупаемых тортов будет решение Р1. Аналогично могут быть рассчитаны значения Gi. При значениях коэффициента 0; 0,25; 0,75; 1. Полученные значения сведем в таблицу:


Gi при заданных ki

Pi ki

0

0,25

0,75

1

Р1

170

135

100

65

30

Р2

135

103,925

72,85

41,775

10,7

Р3

125

105

85

65

45

Выбранное решение

Р1

Р1

Р1

Р1, Р3

Р3


Вывод: согласно полученным расчетам лицо принимающее решение, при заданных коэффициентах Гурвица, за оптимально решение будет принимать максимальное значение по таблице - решение Р1 при коэффициенте Гурвица «0» равное 170.

Заключение

Принятие решений - основная часть работы менеджеров любого звена любого предприятия. Поэтому понимание всех тонкостей процесса принятия решений в различных условиях, знание и применение на практике различных методов и моделей принятия решений играет значительную роль в повышении эффективности работы предприятия.

Для принятия оптимальных решений необходимо использовать научные методы. В науке управления научный метод подразумевает наличие определенной структуры процесса принятия решений и использование различных математических методов и моделей принятия решений.

Применение в практике управления математических методов позволяет проанализировать ситуацию и выбрать оптимальные решения по управлению ею или обосновать предложенные решения. Цель, которая при этом преследуется: решение той или иной задачи организационного управления в условиях, когда имеют место ограничения технико-экономического или какого-либо другого характера.

Таким образом, использование экономико-математических методов позволяет существенно повысить эффективность принимаемых управленческих решений, а значит, совершенствует производственно-хозяйственный процесс и обеспечивает предприятиям получение максимальной прибыли.

В итоге решения задач курсовой работы были получены следующие выводы:

По задаче линейного программирования - целевое значение имеет min в точке В, оптимальным решением является х1=12, х2=18. Т.е чтобы фабрике раскроить листы фанеры так, чтобы было получено не менее нужного количества заготовок при минимальной стоимости, необходимо раскроить 12 листов 1 вида и 18 листов 2 вида.

Если количество заготовок первого вида увеличить на 10%, т.е. на 1, а второго вида уменьшить на 40%, т.е. на 7, то общая стоимость реализации продукции уменьшится на 9180 ден. Ед.

По задаче с регрессионным анализом - Между сбережениями и доходом за год существует положительная корреляционная связь. Получено 2 модели: у= 2+3х и у=5,02+0,58х2. Вторая модель является оптимальным решением задачи.

По задаче принятия решений в условиях неопределенности - согласно полученным расчетам лицо принимающее решение, при заданных коэффициентах Гурвица, за оптимально решение будет принимать максимальное значение по таблице - решение Р1 при коэффициенте Гурвица «0» равное 170.

Список литературы

стоимость регрессионный доход фанера

1.     Замков О.О., Толстопятенко А.В., Черешных Ю.Н. Математические методы в экономике: Учебник. - М.: МГУ им. М.В. Ломоносова, Издательство «ДИС», 1997.

2.      Минюк С.А. Математические методы и модели в экономике: Учеб. пособие / Минюк С.А., Ровба Е.А., Кузьмич К.К. - Мн.: ТетраСистемс, 2002.

.        Смородинский С.С., Батин Н.В. Оптимизация решений на основе методов и моделей математического программирования. Мн.: БГУИР, 2003.

.        Экономико-математические методы и модели/ Под. ред. А.В. Кузнецова. Мн.: БГЭУ.1999.

5.     Бережная Е.В. Математические методы моделирования экономических систем: Учебное пособие. М.: Финансы и статистика, 2001.

6.      Ееланов Л.Г. Теория и практика принятия решения. М.: Экономика, 1984.

.        Раскш Л.Г., Кириченко И.О. Многоиндексные задачи линейного программирования (теория, методы, приложения). М.: Радио и связь, 1982

.        Хазанова Л.Э. Математическое моделирование в экономике: Учебное пособие. М.: БЕК, 1998.

9. Кравец О.Я. Основы математической экономики: практикум. - Воронеж: «Научная книга», 2007.

Похожие работы на - Моделирование процесса принятия решений

 

Не нашли материал для своей работы?
Поможем написать уникальную работу
Без плагиата!
Без нейросетей!