Многомерный статистический анализ в экономических задачах

  • Вид работы:
    Контрольная работа
  • Предмет:
    Менеджмент
  • Язык:
    Русский
    ,
    Формат файла:
    MS Word
    655,38 Кб
  • Опубликовано:
    2013-12-01
Вы можете узнать стоимость помощи в написании студенческой работы.
Помощь в написании работы, которую точно примут!

Многомерный статистический анализ в экономических задачах

Содержание

1. Задача №1. Множественная линейная регрессия 3

1.1 Теоретические сведения и алгоритм решения задачи  4

1.2 Компьютерная технология решения задачи       6

1.3 Выводы         7

2. Задача №2. Кластерный анализ          8

2.1 Теоретические сведения  9

2.2 Алгоритм решения задачи      10

Список литературы     15

1. Задача №1. Множественная линейная регрессия


1.   Построить модель множественной линейной регрессии по данным, представленным в таблице 1. Для построения модели применить функцию "Регрессия" надстройки "Пакет анализа" MS Excel.

2.      Оценить качество модели по коэффициентам детерминации и множественной корреляции.

.        Оценить значимость уравнения регрессии на основе F-критерия Фишера.

.        Оценить значимость коэффициентов уравнения регрессии на основе t-критерия Стьюдента.

Таблица 1.

y

x1

x2

x3

x4

x5

532

18

17

20

23

22

765

44

29

14

24

30

407

13

11

14

20

32

850

36

31

37

18

16

594

28

13

18

22

47

743

34

39

14

27

24

795

24

21

41

26

36

844

48

20

23

27

36

721

43

26

19

12

825

17

12

49

38

41

908

23

49

49

13

17

1092

43

42

49

23

27

870

38

40

24

28

29

980

42

28

49

13

41

707

34

16

19

36

17

экономическая модель регрессия линейная

1.1 Теоретические сведения и алгоритм решения задачи


Общий вид линейной модели множественной регрессии:

 

yi=β0+β1x1i+…+βmxmi+εi,

где yi - значение i-ой результативной переменной, i=;1i…xmi - значения факторных переменных;

β0…βm - неизвестные коэффициенты модели множественной регрессии;

εi - случайные ошибки модели множественной регрессии.


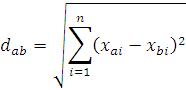
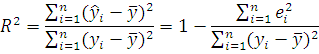
Для оценки качества модели используют коэффициент детерминации. Долю дисперсии, которая обусловлена регрессией, в общей дисперсии показателя у характеризует коэффициент детерминации R2.


где  - предсказанное значение зависимой переменной;  - среднее значение зависимой переменной.

Коэффициент детерминации, как и коэффициент корреляции, принимает значения от -1 до +1. [2,стр. 198].

 =

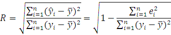
Для оценки качества регрессионных моделей целесообразно также использовать коэффициент множественной корреляции (индекс корреляции) [2, стр. 199]


тогда .

Для проверки значимости модели регрессии используется F-критерий Фишера, вычисляемый как отношение дисперсии исходного ряда и несмещенной дисперсии остаточной компоненты [2,стр. 200]:


Расчетное значение (Fрасч) равно 101276,16. Табличное значение F-критерия при доверительной вероятности 0,95 и числе степеней свободы

g1 = k = 5 и g2 = n - k - 1 = 15 - 5 - 1 = 9 составляет 3,48.

Значимость коэффициентов регрессии оценим с помощью t-критерия Стьюдента.

Расчетные значения критерия Стьюдента следующие: ta1 = 348,05, ta2 = 214,36, ta3 = 425,62, ta4 = 136,65, ta5 = 38,59. Табличное значение критерия при уровне значимости α = 0,05 и числе степеней свободы g = n - k - 1 = 9 равно 2,26. Значит, выполняются следующие неравенства:

ta1 > tтабл; ta2 > tтабл; ta3 > tтабл; ta4 > tтабл; ta5 > tтабл.

1.2 Компьютерная технология решения задачи


В качестве программного средства реализации анализа воспользуемся пакетом Анализ данных табличного процессора EXEL, инструмент Регрессия.

Выберите команду Данные Анализ данных; далее открывается диалоговое окно, следует выбрать инструмент Регрессия и нажать кнопку ОК

Рис. 1

В диалоговом окне Регрессия в поле Входной интервал Y введите адрес одного диапазона ячеек, который представляет зависимую переменную. В поле Входной интервал X введите адреса одного или нескольких диапазонов, которые содержат значения независимых переменных

Рис. 2

В результате перечисленных действий будет получен протокол выполнения регрессионного анализа

Рис. 3

 

1.3 Выводы

По всем статистическим показателям модель может быть признана удовлетворительной. У нее высокие t - статистики, Fрасч > Fтабл, следовательно коэффициент детерминации статистически значим и уравнение регрессии статистически надежно. Все это дает основание считать построенную модель весьма удачной. Она может быть использована для целей анализа и прогнозирования.

Коэффициент множественной корреляции, равный 0,99, показывает высокую тесноту связи зависимой переменной Y c включенными в модель объясняющими факторами.Начало формКонец формы

 

2. Задача №2. Кластерный анализ

 

Постановка задачи

1.   По данным таблицы 2 построить диаграмму рассеяния.

2.      Провести кластеризацию объектов применяя иерархический дивизимный алгоритм кластеризации. Для оценки расстояния между объектами применить формулу евклидова расстояния.

.        Построить дендрограмму кластеризации.

.        Оценить качество кластеризации на основе суммы попарных внутриклассовых расстояний между внутренними элементами.

Таблица 2.

 

Признаки

Объекты

1

2

1

90

60

2

20

90

3

40

20

4

90

70

5

50

100

6

10

90

7

90

80

8

30

20

9

50

20

10

20

100

2.1 Теоретические сведения


«Кластерный анализ» - это общее название множества вычислительных процедур, используемых при создании классификации. В результате работы с процедурами образуются «кластеры» или группы очень «похожих» объектов. Более точно, кластерный метод - это многомерная статистическая процедура, выполняющая сбор данных, содержащих информацию о выборке объектов, и затем упорядочивающая объекты в сравнительно однородные группы.

Кластерный анализ не содержит вычислительного механизма проверки гипотезы об адекватности получаемых классификаций. Результаты кластеризации в этом плане можно обосновать с использованием метода дискриминантного или других видов анализа.

Шаги кластерного анализа: получение выборки; определение признаков оценки объектов; вычисление меры сходства между объектами; применение метода кластеризации; проверка достоверности полученных результатов.

Методы кластерного анализа: 1) Иерархические агломеративные методы; 2) Иерархические дивизивные методы; 3) Итеративные методы группировки; 4) Методы поиска модальных значений плотности; 5) Факторные методы; 6) Методы сгущений; 7) Методы, использующие теорию графов [4].


2.2 Алгоритм решения задачи


Построим диаграмму рассеяния по таблице 2.

Рис. 1

Евклидово расстояние является геометрическим расстоянием в многомерном пространстве и вычисляется следующим образом:


Тогда согласно формуле, расстояние между первым и вторым объектами


Очевидно, что .

Аналогично находим все остальные расстояния между десятью объектами и строим матрицу расстояний:

1        2          3           4         5          6         7         8          9        10


Наиболее удаленными являются объекты  и  (); оценим расстояния оставшихся объектов до первого и шестого:

 - объект  ближе к ;

 - объект  ближе к ;

 - объект  ближе к ;

 - объект  ближе к ;

 - объект  ближе к ;

 - объект  ближе к ;

 - объект  ближе к ;

 - объект  ближе к .

Таким образом, получаем два кластера:

{1, 3, 4, 8, 7, 9} и {2,6, 5, 10}.

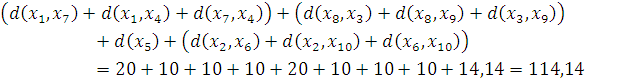
По кластеру  строим матрицу расстояний:

1          3            4          7            8            9


Наибольшее расстояние  = 84,85. Оценим расстояния оставшихся объектов до седьмого и десятого:

 - объект  ближе к ;

 - объект  ближе к ;

 - объект  ближе к ;

 - объект  ближе к ;

Таким образом, получаем два кластера: {7, 1, 4} и {8, 3, 9}. В кластере  находим наибольшее расстояние  = 20. По кластеру  наибольшее расстояние  = 20.   

По кластеру  строим матрицу расстояний:

0       2        5            6          10

 =

Наибольшее расстояние  = 41,23. Оценим расстояния оставшихся объектов до пятого и десятого:

 - объект  ближе к ;

 - объект  ближе к ;

Получаем два кластера: {5} и {2, 6, 10}. В кластере  находим наибольшее расстояние:  = 41,23.

На основе имеющихся данных построим дендрограмму кластеризации:



                                                                 

                                            

                                      

                

   


Рассчитаем сумму попарных внутриклассовых расстояний:


Из формулы следует:


Рассчитаем общую сумму расстояний:

76,15+64,03+10+56,56+85,44+20+72,11+56,56+80,62+72,80+72,80+31,62+10+70,71+70,71+76,15+10+70,71+80,62+76,15+78,10+10+10+82,46+50+82,46+10+78,10+64,03+76,15+41,23+44,72+82,46+80+30+80,62+72,80+80,62+14,14+84,85+72,11+72,80+20+80,62+85,44=2647,45

Исходя из полученных данных можно сделать вывод, что сумма попарных внутриклассовых расстояний почти в двадцать раз меньше общей суммы расстояний. В результате проведенного исследования был разработан программный комплекс, функционирующий на основе подготовленной выборки, позволяющий выявить эволюционные взаимосвязи между различными возбудителями и отобразить результаты в простой и понятной графической форме.

Список литературы


1.   Многомерный статистический анализ в экономических задачах: компьютерное моделирование в SPSS: учебное пособие / под ред. И.В. Орловой. - М.: Вузовский учебник, 2009. - 210 с.

2.      Орлова И.В., Половников В.А. Экономико-математические методы и модели: компьютерное моделирование: учебное пособие. - М.: Вузовский учебник, 2007, 2009. - 357 с.

.        Дюран Н., Оделл П. Кластерный анализ. - М.: Статистика, 2007. - 128 с.

.        http://rudocs.exdat.com/docs/index-78005.html

Похожие работы на - Многомерный статистический анализ в экономических задачах

 

Не нашли материал для своей работы?
Поможем написать уникальную работу
Без плагиата!
Без нейросетей!