Гармонічні функції та їх застосування
Рівненський
державний гуманітарний університет
Кафедра
вищої математики
КУРСОВА
РОБОТА
з
вищої математики
на
тему: Гармонічні функції та їх застосування
Студентки ІІІ курсу групи МЕФ -
31
напрямку підготовки 6.040201
“Математика”
Смірнова І.О.
Керівник: в. Тимчук М.В.
м.
Рівне - 2013 рік
Зміст
Вступ
. Загальні відомості про
гармонічні функції
1.1 Означення гармонічних
функцій
.2 Властивості гармонічних
функцій,
виражені теоремами
. Субгармонічні функції та їх
деякі властивості
3. Задача Діріхле
3.1 Поняття про задачу Діріхле
3.2 Функція Гріна задачі
Діріхле
4. Теореми Фрагмена-Ліндельофа
Висновки
Список використаної літератури
Вступ
Функція (відображення,
трансформація, оператор) в математиці - це правило, яке кожному елементу з першої
множини (області визначення) ставить у відповідність один і тільки один елемент
з другої множини. Часто цю другу множину називають цільовою множиною, образом
функції чи відображенням.
У традиційному університетському
курсі математичного аналізу з різних причин не знаходиться місця для
систематичного викладу основних фактів теорії гармонічних функцій. Відомості
про гармонічні функції, які там містяться, як правило, є мізерними, носять
епізодичний характер і розкидані в різних місцях, де вони наводяться зазвичай
на другому плані. Тому, при написанні роботи був узятий матеріал з книг,
присвячених детальному вивченню математичного аналізу, теорії аналітичних
функцій, теорії функцій комплексної змінної та інші.
Ознайомлення з цією теорією в більш
детальному аспекті обумовлене безперервним розвитком її різних напрямів,
розширенням області застосувань. Також теорія гармонічних та субгармонічних
функцій відіграє важливу роль в отриманні різних оцінок для аналітичних
функцій. Дана робота написана з метою ознайомлення з теорією гармонічних
функцій в її класичному варіанті.
1.
Загальні відомості про гармонічні функцій
.1 Означення гармонічних функцій
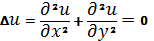
Гармонічною в області D
функцією називається дійсна функція 
двох дійсних змінних, що має в цій
області неперервні частинні похідні другого порядку і задовольняє
диференціальному рівнянню
(
- символ
диференціального оператора, його називають оператором Лапласа).
Нехай на області D площини Z
задана аналітична функція
Тоді,
функція
має на D
неперервні похідні будь-якого порядку. Але тоді функції u(x,y) і v(x,y)
мають на D неперервні частинні похідні будь-якого порядку, а перші похідні
задовольняють умовам Коші - Рімана (Д’Аламбера - Ейлера):
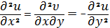
з яких слідує

Додавши ці рівності отримують:
(1.1)
Ліву частину рівняння (1.1)
позначають символом
Рівняння
зазвичай називають рівнянням
Лапласа. Однак Лаплас розглянув його в 1782р., а задовго до нього це рівняння
використовував Л. Ейлер у своїх роботах з гідродинаміки та інших розділів
математичної фізики.
В силу лінійності рівняння Лапласа
будь-яка лінійна комбінація
гармонічних функцій
з дійсними
сталими коефіцієнтами
знову є
гармонічною функцією. Важливо те, що це визначення поширюється на комплексні
функції виду
, тільки
тоді, коли їх дійсні та уявні частини
та Im
є
гармонічними функціями.
1.2
Властивості гармонічних функцій
Зв'язок між поняттями
аналітичних та гармонічних функцій виражається в наступних двох простих
властивостях.
Властивість
1.
Дійсна і уявна частини довільної функції
, однозначної та аналітичної в
області D, є в цій області гармонічними функціями.
Доведення безпосередньо
випливає з умов Коші-Рімана
. (1.2)
Справді, так як аналітичні
функції мають похідні всіх порядків, то рівняння (1.2) можна диференціювати по
x і по
y.
Продиференціювавши перше з них по x, а друге по 
та користуючись теоремою про
рівність мішаних похідних, знаходять:

звідки

.
Для функції v(x,y) доведення
аналогічне.
Дві гармонічні в області D
функції 
та 
, зв’язані умовами Коші - Рімана,
називаються спряженими.
Властивість
2.
Для всякої функції 
, гармонічної в однозв’язній області
D, можна знайти спряжену з нею гармонічну функцію
.
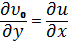
Справді, нехай дано інтеграл:
,
де 
- фіксована, а 
- змінна точка області D. В силу
рівняння Лапласа 
, цей інтеграл не залежить від шляху
інтегрування і є функцією тільки від точки 
; і нехай цією функцією є 
. Виходячи з властивостей
криволінійних інтегралів:
( можна взяти інтеграл від 
до 
по горизонтальному відрізку, на
якому 
); аналогічно 
, а тому, 
і є шуканою функцією, спряженою з
функцією 
. Так як функція визначається своїми
частинними похідними з точністю до сталого доданка, то сукупність всіх
гармонічних функцій, спряжених з
, дає формула

, (1.3)
де С - довільна (дійсна)
стала.
Приклад 1.
Функція
задовольняє,
очевидно, рівнянню
. Знайти
аналітичну функцію
, в якої
. Уявну
частину цієї функції шукаємо за формулою (1.3):

Тоді, функція
аналітична
на всій комплексній площині.
В многозвязній області D
інтеграл (1.3) визначає в загальному многозначну функцію. Він може приймати
різні значення вздовж двох шляхів L і 
, що з’єднують точки
і
, якщо ці
шляхи не можна деформувати один в одного, залишаючись в області D (тобто, якщо
в середині області обмеженої L і
знаходяться точки, які не належать
D). Можна стверджувати, що в многозвязній області загальна формула для значень
функції 
яка визначається інтегралом
має вид:
де 
довільні цілі числа і
- інтеграли
вздовж замкнених контурів 
, кожен з яких має в собі одну
зв’язну частину межі D:
.
Сталі
називаються
періодами інтеграла (1.3)
або циклічними сталими.
Якщо в деякій області
, яка лежить
в D, можна виділити однозначну і неперервну вітку функції 
, яка визначається формулою (1.4),
то ця вітка, очевидно, є гармонічною функцією, спряженою з
, тому
функцію 
вважають многозначною гармонічною
функцією. Крім того, частинні похідні цієї функції однозначні:

;
це витікає із формули (1.4).
Властивість 2 можна
сформулювати так:
будь-яку гармонічну в області
D функцію можна розглядати як дійсну або уявну частину деякої аналітичної
функції 
; остання визначається з точністю до
сталого доданка, відповідно уявного чи дійсного.
Властивість
3.
Для того, щоб функція u(z) була гармонічною в області D, необхідно і
достатньо, щоб вона була дійсною частиною аналітичної в області D функції w(z),
яка задовольняє умовам:
) функція
регулярна в
області D;
) інтеграл від
по
будь-якому замкнутому контуру, який лежить в області D, дорівнює тільки уявному
числу (або нулю).
Для доведення достатності
потрібно переконатись, що умови 1) і 2) забезпечують однозначність дійсної
частини аналітичної в області D функції w(z). Так як функція
регулярна в
області D, то будь-який елемент аналітичної функції w(z) може бути
отриманий з вихідного елемента інтегруванням
по деякому шляху, який лежить в
області D. Значення різних елементів в одній і тій же точці різняться
інтегралом від
по деякому
замкнутому шляху. Згідно умови 2) цей інтеграл є уявним, і його додавання не
впливає на дійсну частину. Достатність доведена.
Для доведення необхідності
потрібно по заданій функції u(z) побудувати функцію w(z),
аналітичну в області D і яка має однозначну аналітичну частину, яка рівна u(z),
а далі показати, що виконуються умови 1) і 2). З цією метою функцію
записують
як тотожність:
. Ця функція
регулярна в області D, так як вона визначена в цій області і її дійсна та уявна
частини задовольняють умовам Коші-Рімана (в силу рівняння Лапласа для u(х,у)).
Первісна функції, регулярної в області D, є аналітичною в області D функцією.
Крім того, дійсна частина
функції w(z) (первісної для
) збігається з u(z) на всій
області D, якщо вона збігається в якійсь одній точці
. Справді
,
і
Інтеграл береться від повного
диференціала
, отже він
не залежить від шляху інтегрування і дорівнює різниці значень функції u(х,у)
на кінцях шляху. Тому,
Із однозначності функції
слідує, що
всі елементи функції w(z) в одній і тій самій точці можуть відрізнятися
лише уявною частиною. З іншого боку ці елементи відрізняються лише інтегралами
від
по
замкнених контурах. Тому інтеграл від
по будь-якому замкненому шляху -
уявне число(чи нуль).
В наслідок
властивості 3 багато питань які стосуються гармонічних функцій автоматично
зводяться до тих чи інших питань для аналітичних функцій. Наприклад, велике
значення має наступний результат про заміну змінних:
Властивість
4.
Нехай функція
регулярна в
області D і її значення лежать в області G. Якщо функція U(z) гармонічна
області G, то функція
гармонічна в області D.
Справді, якщо W(z) -
аналітична в області G функція, для якої
, то функція
аналітична
в області D (наприклад тому, що функція
регулярна в області D) і, очевидно,
.
Властивість
5.
Нехай u(z) - гармонічна функція в області D. Якщо u(z)=0 в
деякому околі точки
, то функція
u(z) - тотожний нуль.
Нехай w(z) -
аналітична в області D функція, для якої
. Легко переконатись, що
Так як
в околі
точки
, то і
=0 в околі
цієї точки. За теоремою єдності маємо
, тобто
Значить і
а оскільки u(z)=0
в околі точки
, то
.
Зв'язок гармонічних функцій з
аналітичними відіграє важливу роль при дослідженні гармонічних функцій. Однак
значна кількість властивостей гармонічних функцій легше доводиться
безпосередньо. Основою більшості безпосередніх доведень є частковий випадок
добре відомої формули Гріна-Остроградського
(1.5)
(D - деяка область, С - межа
D). Формула Гріна-Остроградського справедлива для будь-яких
неперервнодиференційовних в області D функцій
і
. Частковий випадок цієї формули
називається формулою Гріна. Ця формула має вигляд:
(1.6)
Формула (1.6) легко
отримується з формули (1.5), якщо провести ряд перепозначень та виконати ряд
певних дій.
Властивість
6.
(про середнє для гармонічних функцій). Якщо функція u(z) неперервна в
деякому замкненому колі радіуса r, з центром в точці z і гармонічна в середині
цього кола, то
Доведення здійснюється з
використанням формули Коші (
) та отриманої з неї теореми про
середнє для аналітичних функцій.
2. Субгармонічні функції та їх деякі
властивості
Нехай
- дійсна
функція, яка може перетворюватися в -
, і нехай функція
неперервна
в області D. Якщо для будь-яких
і
, для яких коло
лежить в
області D
то функція
називається
субгармонічною в області D.
Функція, гармонічна в області
D, є субгармонічною в цій області функцією. Ця властивість випливає з
властивості гармонічних функцій (теорема про середнє для гармонічних функцій).
Доцільно назвати декілька властивостей субгармонічних функцій.
) Сума (але не різниця) двох
субгармонічних в області D функцій, також є субгармонічною функцією в D.
Множення на додатну константу залишає функцію субгармонічною.
) Рівномірна границя
субгармонічних в області D функцій також є субгармонічною в D функцією.
) Якщо функції
та
субгармонічні
в області D, то і функція
субгармонійна
в області D.
Велике значення має наступна
теорема, яка має назву принцип максимуму.
Теорема.
Нехай функція
субгармонічна
в області D і
. Якщо
в точці
, то
(Іншими
словами: субгармонічна функція, відмінна від сталої, не може набувати
найбільшого значення в середині області).
Доведення.
Нехай дано множину Е, яка складається з точок області D, в яких
. Множина М
замкнена в D, так як
-
неперервна функція, а множина точок, в яких неперервна функція набуває задане
значення, замкнена. Нехай існує межова точка множини Е, яка лежить в області D,
наприклад
. В силу
замкненості множини Е
Тоді
знайдеться таке
, що коло
лежить в
області D, і на його окружності знайдуться точки, які не належать множині Е.
Доповнення до множини Е є відкритою множиною, тому якщо
, то і
деякий окіл точки
не належить
множині Е. Тому можна вибрати такі числа
,
і
, що
(
). Так як
при всіх інших
, то
Але згідно означення
субгармонічності інтеграл, написаний спочатку, не менше
Отримане
протиріччя доводить, що множина Е не може мати межових точок в середині області
D. Відповідно множина Е або порожня, або співпадає з D. Теорема доведена.
Справедливі наступні
твердження:
Якщо
-
гармонічна функція, то і
та -
є
субгармонічними функціями, тому гармонічна функція, відмінна від сталої, не
може набувати всередині області гармонічності ні найменшого, ні найбільшого
значення.
Нехай
-
гармонічна, а
-
субгармонічна в області D функція. Якщо на межі D
, (
), то і
всередині D
.
Справедливим є також таке
твердження:
нехай функція
субгармонічна
та обмежена зверху в області D, яка має хоча б одну зовнішню точку і нехай
де
- деяка
послідовність точок С (межі D). Тоді,
, або
Справді, нехай
- зовнішня
точка області D. Для кожного
можна вказати таке число
, щоб для
всіх
, які лежать
в області D, мала місце нерівність
. Позначимо
і
розглянемо допоміжну функцію
. Так як доданки, які стоять під
знаком суми, від’ємні, то
(
), а
(n=1,2,…),
так як функція
за умовою
обмежена зверху, а один з доданків у сумі наближається до
при
. Тому
. Перейшовши
до границі при
, отримують
.
3. Задача
Діріхле
.1 Поняття
про задачу Діріхле
Задача Діріхле полягає в
знаходженні гармонічної в області D функції, неперервної аж до межі D, за її
значеннями на межовій кривій. Надалі розглядатиметься більш загальна задача,
яку теж називають задачею Діріхле, а саме: нехай
- деяка
область, обмежена кривою С, і нехай функція
всюди неперервна на кривій С та
обмежена на ній, за винятком зчисленної множини точок. Задача полягає в тому,
щоб знайти в області
гармонічну
функцію
, яка
задовольняє умовам:
)
- обмежена
в
;
)
неперервна
аж до межі
в усіх
точках неперервності функції
і в цих точках
.
Функцію
називають
межовою функцією або межовими даними задачі Діріхле.
Зважаючи на вище згадане
твердження легко помітити, що задача Діріхле має не більше одного розв’язку.
Дійсно, якщо
і
- два
розв'язки задачі Діріхле з однією і тією ж межовою функцією
, то функція
гармонічна
і обмежена в області
, а
для всіх
, за
виключенням зчисленної множини точок. Використавши згадане твердження до
функцій
і
, отримують
,
, тобто
чи
.
3.2 Функція Гріна задачі Діріхле
Функцією Гріна задачі Діріхле
для області
називається
функція двох комплексних змінних
, для якої виконуються наступні
властивості:
)
де функція
неперервна
по сукупності змінних при
,
, гармонічна
по
в
, при
будь-якому
і
гармонічна по
в
при
будь-якому
.
) Функція
неперервна
по
в
при
будь-якому
, і
при
будь-яких
и
, які лежать
на межі
. Таким
чином,
при
будь-яких
.
З використанням функції Гріна, можна
визначити розв’язок задачі Діріхле. Варто довести деяку теорему, яка має
допоміжне значення.
Нехай функція Гріна задачі
Діріхле для області
неперервна
аж до межі
разом зі
своїми частинними похідними першого порядку по
і
(за виключенням точки
). Тоді
будь-яка функція
, гармонічна
в області
і
неперервно диференційовна аж до її межі С, може бути представлена в області
через її
значення на межовій кривій С формулою:

(3.1)
Доведення здійснюється на
основі властивостей гармонічних функцій.
У випадку, коли
-
однозв’язна область, функція Гріна легко виражається через функцію, яка
конформно відображає область
на коло
. А саме
якщо
- будь-яка
функція, яка конформно відображає область
на коло
, то
,
. (3.2)
З допомогою формули (3.2)
можна записати функцію Гріна для простих областей (круг, півплощина) в
кінцевому вигляді і більш детально дослідити формулу (3.1) для розв’язання
задачі Діріхле.
Нехай функція
-
періодична функція з періодом
, неперервна на всій осі, за
винятком замкненої зчисленної множини точок розриву. Функція
, що
визначена формулою
є гармонічною функцією в колі
. Якщо
функція
неперервна
в точці
, то
при
. Крім того,
, де М -
верхня, а
- нижня
межа значень функції
в точка
неперервності.
Дана теорема дає розв’язок
задачі Діріхле для кола
.
4. Теореми
Фрагмена-Ліндельофа
В якості іншого доповнення теорії
гармонічних та субгармонічних функцій, доведемо дві важливі та зручні для
різноманітного використання теореми про зростання та спадання функції
регулярної в нескінченній області, в залежності від виду області.
В наступних теоремах
використовується, власне, не регулярність функції
, а тільки
субгармонічність функції
, це
значить, що ці теореми можна сформулювати і для субгармонічних функцій.
Теорема 4.1.
Нехай
-
однозв’язна область, де точки
і
- граничні точки області,
- переріз
області
колом
, а
- його
довжина. Якщо функція
регулярна в
області
, неперервна
аж до її межі С (крім точки
) і задовольняє умовам
,
,
де
,
,
То
.
Доведення. Нехай
функція,
яка конформно відображає область
на півплощину
, і яка
переводить точки
і
в точки
та
відповідно,
а
- це
функція обернена до функції
. Очевидно, що ці функції
визначаються з точністю до сталого множника.
Нехай
- довільна
точка із
, а значення
досить
велике. І нехай
- зв’язна
частина області
, яка
знаходиться в середині кола
і яка містить точку
. При
область
не порожня.
Образ області
при
відображенні
позначають
через
. Область
обмежена
відрізками уявної осі та деякими кривими
, які є образами дуг кола
, які
входять в
. Серед
кривих
знайдеться
хоча б одна, яка з’єднує від’ємну частину уявної осі з її додатною частиною.
Нехай цю криву позначено
; дугу з
, яка є
прообразом
, позначено
, а довжину
, позначено
. Область,
яка обмежена кривою
та
відрізком уявної осі, яка з’єднує її кінці, позначимо
, а прообраз
області
позначимо
через
. (Якщо
область
перетинається
колом
по одній
дузі, то величини, позначені зірочкою збігаються з тими ж величинами без
зірочки. В загальному випадку
і
, а
і
).
Область
представляє
собою видозмінене півколо.
Для оцінки радіусу
найбільшого півкола
,
, яке
входить в область, тобто величини
використовують нерівність Альфорса,
яка визначається наступним чином: якщо
,
,
а
,
то
.
Щоб привести задачу до тієї
постановки, в якій була доведена ця нерівність, через
позначають
образ області
при
відображенні функцією
(функція
регулярна в
області
; на
будь-якій вітці). Тоді функція
конформно відображає область
на смугу
, а переріз
області
прямими
- це образи
перерізів області
колами
при
відображенні
. При цьому
відрізок
є образом
дуги
і
,
. Тому з
нерівності Альфорса слідує
(4.1)
Нехай дано функцію
в області
. На уявній
осі
так як при
відображенні
уявна вісь
переходить в межу області
, тобто в С,
а на С за умовами теореми
. На іншій
частині межі області
, тобто на
кривій
, яка є
образом дуги
при
відображенні
:
.
Застосовуючи до функції
в області
теорему про
дві константи з
в якості Е,
і М=1,
отримують
. (4.2)
Вище показано, що область
містить
півколо
,
, де
. За
принципом розширення гармонічна міра
не перевищує гармонічної міри пів
околу відносно півкола
,
(в тій же
точці). Остання гармонічна міра рівна
~
.
Тому при
і при
фіксованому
в силу
нерівності (4.1)
,
а в силу нерівності (4.2)
.
Згідно умов теореми існує
послідовність
, для якої
. Тому,
поклавши в останній нерівності
і перейшовши до границі при
, отримують
. Звідси
слідує, що
і так як
- будь-яка
точка області
, то теорема
доведена.
Варто зазначити, що у випадку
коли область
має простий
вид (півплощина, кут, смуга) чи навіть лежить в області такого виду, тоді
доведення стає достатньо легким. Теорему 4.1 варто сформулювати і для
часткового випадку, коли область
- це кут, адже даний випадок дуже
часто використовується.
Теорема 4.2.
Нехай функція
регулярна в
куті величиною
і
неперервна аж до його сторін. Якщо
на сторонах кута, то або
і в
середині кута, або
з деяким
.
Дійсно, для кута величиною
справедливо
і
, так що
теорема1 відразу наштовхує на шуканий результат. Приклад функції
в куті
показує що
суттєве збільшення цього результату неможливе.
Наступні теореми відносяться
до питання про допустиму швидкість прямування до нуля функції
регулярної
в деякій області, коли точка
прямує до межової точки цієї
області.
Теорема 4.3.
Нехай функція
регулярна в
середині кола
і неперервна
в колі
. Якщо
, то
.
Теорема 4.4.
Нехай функція
регулярна в
півплощині
, неперервна
в півплощині
та
задовольняє нерівності
(
),
де
-
неперервна додатна функція при
. Якщо
, то
.
Доведення. Функція
конформно
відображає коло
на
півплощину
. Тому
функція
регулярна в
колі
і неперервна
при
і
,
але
.
За формулою Крістофеля-Шварца
, а значить,
і
. Теорема
доведена.
Формула Крістофеля-Шварца: нехай D
- однозв’язний многокутник з вершинами в точках
та
з внутрішніми кутами в цих вершинах, рівними
.
Якщо функція
конформно
відображає круг
на многокутник D
в площині
, при чому
прообразами вершин
є точки
,
які лежать на колі
, то
- деякі сталі.
Аналогічно доводиться і наступна
теорема.
Теорема 4.5.
Нехай функція
регулярна в
смузі
, неперервна
в смузі
та
задовольняє нерівність
,
де
- додатна
неперервна функція. Якщо
, то
.
Теорема 4.6.
Нехай функція
регулярна в
області
, неперервна
в області
і
задовольняє нерівності
,
де
- додатна
неперервна не спадна функція. Зручно позначити
.
Якщо
, то
.
Доведення. Через
позначають
функцію, яка конформно відображає область
на смугу
так, що
при
. Спираючись
на припущення відносно
та
справедлива
нерівність Варшавського (про оцінку величини
).
Використовуючи деякі позначення, нерівність Варшавського набуде такого вигляду:
(стала
не залежить
від х, у, а, в). Поклавши а=0 ,
, нерівність
матиме вигляд:
. (4.3)
Позначивши через
функцію
обернену до
, а
.
Взявши в нерівності (4.3) в
якості
те саме
значення, для якого
,
, отримаємо
. (4.4)
Тепер розглянемо функцію
в смузі
. Вона
регулярна в цій смузі і неперервна в замкненій смузі. Крім того, вона
задовольняє нерівності
так як
- не спадна
функція. Із нерівності (4.4.2) маємо
, де
- функція обернена до
( очевидно,
що
- не спадна
функція і що
при
). Тому
і
.
За теоремою 4.5
, а значить
. Теорема
доведена.
Висновки
гармонічний
субгармонічний діріхле
Теорія гармонічних функцій
являє собою один із найбільш цікавих, та разом з тим важливих розділів
класичного математичного аналізу. Будучи у багатьох відношеннях природним
узагальненням лінійних функцій однієї змінної, гармонічні функції є в певному
сенсі найпростішими функціями декількох змінних. Разом з тим запас таких
функцій досить великий і різноманітний. Вони займають важливе місце не тільки в
багатьох математичних дослідженнях, але також і в застосуваннях аналізу до
фізики і механіки, де ними часто описуються різні стаціонарні процеси.
В ході курсової роботи було
проведено більш детальний огляд теорії гармонічних функцій, який не передбачено
програмою вищого навчального закладу, що посприяло вдосконаленню навичок роботи
з різноманітною фаховою літературою та поглибленню знань з даної дисципліни.
В роботі систематизовано
відомості про гармонічні функції, зокрема розглянуто основні їх властивості та
приклади застосування.
Список
використаної літератури
1. Голузин Г.М. Геометрическая
теория функций комплексного переменного / Г.М. Голузин. - М. : Наука, 1956. -
288 с.
2. Грищенко О.Ю. Теорія функцій
комплексної змінної. Розв’язання задач. / О.Ю. Грищенко, М.І. Нагнибіда, П.П.
Настасієв. - К : Вища школа, 1994.- 376с.
. Евграфов М.А., Аналитические
функции / М.А. Евграфов. - М.:Наука, 1965. - 424 с.
. Дороговцев А.Я. Елементи
загальної теорії міри та інтеграла / А.Я. Дороговцев. - К. : Вища школа, 2001.
- 286 с.
. Дороговцев А.Я. Математичний
аналіз. Частина друга / А.Я. Дороговцев. - К. : Либідь, 1994. -491 с.
. Келли Дж. Л. Общая топология
/ Дж. Л. Келли. - М. : Наука. 1981. - 372 с.
. Лаврентьев М.А. Методы теории
функций комплексного переменного / М.. Лаврентьев, Б.В. Шабат. - М. : Наука,
1972. - 470 с.
. Лінчук С.С. Принцип Діріхле в
задачах / С.С.Лінчук, Ю.С. Лінчук. -Ч. : Рута, 2000.- 77с.
. Люстерник Л.А.
Елементы
функционального анализа / Л.А. Люстерник, В.П. Соболев. - М. : Наука, 1965. -
612 с.
. Ляшко
И.И. Математический
анализ/ И. И Ляшко.
-
М.
:
Едиториал УРСС, 2001. - 360
с.
. Математическая энциклопедия.
В пяти томах. Том 1 /
Под ред. И.М. Виноградова. - М.
: Советская энциклопедия, 1985. - 845
с.
. Перестюк М.О. Теорiя рiвнянь
математичної фiзики: Навч. посібник / М.О. Перестюк, В.В. Маринець. - К. :
Либiдь, 2001. - 336 с.
. Плахотник В.В. Вища
математика / В.В. Плахотник. - К. : Либідь, 2003. - 400 с.
. Привалов И.И., Граничные
свойства аналитических функций / И.И. Привалов. - М. : Просвещение, 1950. - 376
с.
. Рудин М.А. Функциональный
анализ / М.А. Рудин. - М. : Мир, 1975. - 243 с.
. Тиман А.Ф. Введение в теорию
гармонических функций / А.Ф. Тиман, В.Н. Трофимов. - М. : Просвещение, 1968. -
462 с.