Вычисление модулей гладкости
1. Вспомогательные леммы
Будем говорить, что 
, если для 
функция 
измерима на отрезке 
и 
, а для
функция 
непрерывна на отрезке 
и 
.
Будем также говорить,
что
, если 
, причем 
.
Для
и данных чисел 
и 
введем оператор
обобщенного сдвига 
по правилу:
) для 
, 
+
) для 
, 
) для 
, 
) для 
, 
, где

.

. Пусть заданы числа 
, 
и 
такие, что 
, 
. Пусть числа 
выбраны по правилу:
) если 
, то 
при 
) если 
, то 
и 
при 
, 
при 
, 
при
) если 
, то 
и 
при 
, 
при 
, 
при
) если 
, то 
и 
при 
и 
при 
, 
и 
при 
.
Тогда

,
где положительная
постоянная 
не зависит от 
и 
.
Лемма 2. Пусть 
и 
. Тогда 
Доказательство. Пусть 
1) 
Сделаем замену
переменной 
. Тогда
) 
,
Сделаем замену переменных

, 
тогда 

, 
) 
,

Сделаем замену
переменной 
Тогда
где 
Сделаем еще замену
переменных
Тогда

, 
Далее замена переменной 
Тогда

, 
Сделав замену переменных
Получим
Лемма 2 доказана.
Лемма 3. Если функция
имеет абсолютно
непрерывную 
(
производную на каждом
отрезке 
, тогда при
фиксированном 
функция 
также имеет абсолютно
непрерывную 
производную на каждом
отрезке 
Доказательство. Пусть 
. Выберем произвольный
отрезок 
. На нем имеем:

1) 
Функции 
и 
абсолютно непрерывны на

и так как 
а 
то в силу строгой
монотонности 
на 
и 
, строгой монотонности 
на 
и 
и строгой монотонности 
, 
строго монотонна на 
и 
, а 
строго монотонна на 
и 
. В силу теоремы: пусть
абсолютно непрерывная функция
, заданная на отрезке 
строго возрастает. Если
, абсолютно непрерывна
на 
, то функция 
, абсолютно непрерывна
на 
(если 
строго убывает
доказательство не меняется) функция
абсолютно непрерывна на
каждом из отрезков 
и 
, а
абсолютно непрерывна на 
и 
. А поскольку 
и 
непрерывны на 
. Поскольку сумма,
разность, произведение и частное, если знаменатель не обращается в нуль,
абсолютно непрерывных функций абсолютно непрерывны, то 
абсолютно непрерывна на

.
) 
Пусть
Как и в случае 1)
доказывается, что 
абсолютно непрерывна на

. Так как по теореме
Лагранжа о среднем

,
то 
при любых 
. Тогда по теореме
Лебега о предельном переходе под знаком интеграла при фиксированном 
на отрезке 
существует конечная
производная
В силу абсолютной
непрерывности 
на 
также абсолютно
непрерывна на 
. 3) и 4) разбираются
также как и 2).
б)
1) 
В силу абсолютной
непрерывности 
и 
на каждом отрезке 
рассуждая как и в случае
а) 1) получаем, что 
абсолютно непрерывна на

) 
, 
Таким образом, 
также абсолютно
непрерывна на 
и воспользовавшись как
и в случае а) 2) теоремой Лебега о предельном переходе под знаком интеграла
получим, что 
абсолютно непрерывна на

и в этом случае.
) и 4)
разбираются также как и 2). Для произвольного
доказывается индукцией
по 
.
Через
обозначим множество
таких функций 
, что 
, 
имеет абсолютно
непрерывную 
производную на каждом
отрезке 
и 
где


Тогда 
. Действительно,
Сделав замену переменной

имеем
где 
.
Лемма 4. Пусть 
Тогда
) для почти всех 
и почти всех 
справедливы равенства:
а) 
б)
) для почти всех 
и для любых 
а) 
,
где

б) 

) если 
, то для почти всех 
и для любых 
Лемма 9. 
и

(4)
Доказательство: Из Леммы
8 следует, что 
. Далее применим
индукцию по
.
) 
. Ясно, что функция

абсолютно непрерывна на
каждом отрезке 
и поскольку

то
для почти всех 
.
) Предположим 
и

. Тогда имеем:
где 
.
Так как
и по предположению 
имеет 
производную, абсолютно
непрерывную на каждом 
, то и 
абсолютно непрерывна на
любом отрезке 
. На основании 1) и
предположения индукции имеем
Лемма 9 доказана.
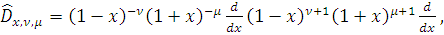
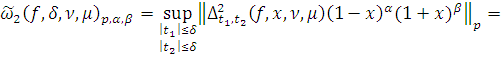
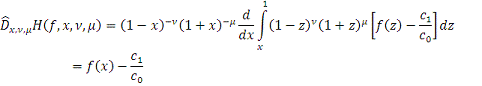
Для 
рассмотрим оператор

,
где 
Пусть 
и

Лемма 10. Пусть 
, 
и числа 
выбраны по правилу
Леммы 7. Тогда для
и 
выполнено равенство:

(5)
Доказательство: Применим
индукцию по
) 
. Из равенства (4) Леммы
9 при 
следует, что
И поскольку 
, то для 
имеем 
.
Поэтому

.
По Лемме 9 имеем, что 
. Применив Лемму 6,
получим
2) Предположим

Так же как и при
доказательстве равенства (4) при 
получаем, что

(6)
Из Лемм 1, 3 и 9
следует, что 
. Поэтому пользуясь
предположением индукции, Леммой 4. 2) б) и Леммой 6. 1) имеем:
На основании индукции
Лемма 10 доказана.
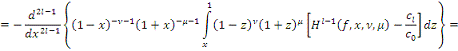
Лемма 11. Пусть 
, 
, 
выбраны по правилу
Леммы 7. Тогда, если 
, то

и

(7)
Доказательство: То, что 
следует из Лемм 10, 9,
1 и 3. Из равенства (5), Леммы 4. 2) б) и равенства (4) следует, что
Лемма 11 доказана.
2. Теоремы Джексона для
к-го обобщенного модуля гладкости
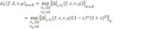
Для 
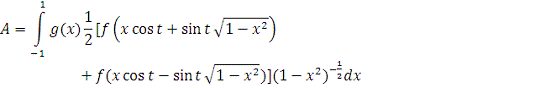
и данных чисел 
введем - функционал по
формуле:
Теорема 1. Пусть заданы
числа 
, 
и 
такие, что 
, 
. Пусть числа 
выбраны по правилу:
) если 
, то 
при 
) если 
, то 
и 
при 
, 
при 
, 
при

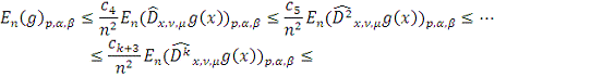
Тогда для 
справедливы
неравенства:
где положительные
постоянные 
и 
не зависят от 
и 
.
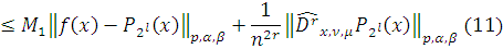
Доказательство:

для любой функции
. По Лемме 1 
, где положительная
постоянная 
не зависит от 
и 
. Если 
, то в силу Леммы 7

,
где положительная
постоянная 
не зависит от 
и 
.
Поэтому 
. Для доказательства
правого неравенства рассмотрим функцию
где 
.
Так как 
имеет 
абсолютно непрерывную
производную на каждом 
, то применяя Теорему
Лебега о предельном переходе под знаком интеграла (так же как и при
доказательстве случая 2) Леммы 3), Лемму 4. 1) б), обобщенное неравенство
Минковского и Лемму 1 имеем для 
и при 
Так как 
представляет собой
сумму произведений 
, то

и применяя равенство (7)
Леммы 11 имеем
Поскольку для 
где положительные
постоянные
и
не зависят от 
, то
где 
с другой стороны
Так как

то учитывая, что



имеем:
Из Леммы 4. 3) получаем
Поэтому из равенства (8)
и неравенства (****) следует, что

Таким образом для 
Пусть
Тогда 
, а для 
имеем:
Итак для любого 
Теорема 1 доказана.
Пусть заданы натуральные
числа 
и 
Известно, что функция 
есть четный
тригонометрический полином порядка 
Функция 
, где

обладает для 
и 
свойствами:
) 
,
где положительная
постоянная не зависит от 
Лемма 12. Если 
, то
есть алгебраический
многочлен степени не выше, чем 
.
Обозначим через 
наилучшее приближение
функции 
при помощи
алгебраических многочленов
степени не выше, чем 
, в метрике 
, то есть
Лемма 13. Пусть 
, 
и 
.
Тогда
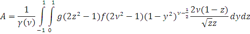
Доказательство: Пусть
. Положим
Для фиксированного 
подберем 
так, что 
. По Лемме 12 
есть алгебраический
многочлен степени не выше, чем 
. Используя обобщенное
неравенство Минковского, неравенство (3) при 
и свойство 2) 
имеем:
Пусть
Поскольку любой
многочлен можно представить в виде линейной комбинации многочленов Якоби, то
Положим
Тогда из (9) следует

=
поскольку
Таким образом
Лемма 13 доказана.
Следствие. Пусть 
и 
. Тогда
Доказательство: Применяя
неравенство (10) 
раз получаем
Следствие доказано.
Лемма 14. Пусть 
алгебраический полином
степени не выше, чем 
, 
, 
. Тогда справедливы
неравенства:
где положительная
постоянная 
не зависит от 
.
Теорема 2. Пусть даны
числа 
, 
и 
такие, что 
, 
. Пусть числа 
выбраны по правилу
Теоремы 1
Тогда для 
справедливы неравенства:
где положительные
постоянные 
и 
не зависят от 
и 
Доказательство: Пусть 
. Для любой функции
можем записать
По следствию
Переходя к точной нижней
грани по всем 
, получим
и по теореме 1 
Таким образом первое
неравенство теоремы доказано. Докажем второе.
Пусть 
алгебраический
многочлен наилучшего приближения для 
степени не выше, чем 
. Пусть 
. Из теоремы 1 следует,
что
Так как 
то используя равенство
типа Маркова
где 
многочлен степени 
, которое сразу следует
из Леммы 14, получаем:
Отсюда с учетом (11)
имеем
Теорема 2 доказана.
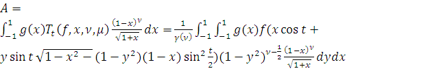
. Вычисление модулей
гладкости для некоторых функций
По определению
где
Пусть 
. Тогда обобщенный
оператор обобщенного сдвига 
имеет вид:
Т.к. 
, то окончательно
получаем:
Сделаем замену
переменных 
. Тогда
Т.к. 
, то 
. Тогда

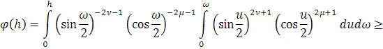
2. Найти модуль гладкости 2-го
порядка для функции
Найдем 
Поскольку 
, то 
и 
и 
и достаточно
рассмотреть случай 
. Тогда

+
Заключение
Для 
- периодических функций
хорошо известны прямая и обратная теоремы теории приближений, которые можно
записать в виде неравенств:
где 
- наилучшее приближение
непрерывной 
или интегрируемой в 
- й степени 
функции 
при помощи
тригонометрических полиномов порядка не выше, чем 
в метрике 
, 
- 
- й модуль гладкости 
в метрике 
и положительные
постоянные 
и 
не зависят от 
и 
.
При рассмотрении
непериодических функций уже не удается получить такие же связи, как неравенства

, между модулями
гладкости функции и ее наилучшими приближениями алгебраическими многочленами. В
данной дипломной работе были получены аналоги неравенств 
, где обычный модуль
гладкости заменен обобщенным модулем гладкости. Такие обобщенные модули
гладкости были определены при помощи операторов обобщенного сдвига. В ходе
выполнения дипломной работы были рассмотрены вспомогательные леммы и с помощью
них доказаны аналоги неравенств 
для обобщенных модулей
гладкости.
лемма гладкость полином
модуль